|
|
(21), (22) Заявка: 2006131552/04, 03.03.2005
(24) Дата начала отсчета срока действия патента:
03.03.2005
(30) Конвенционный приоритет:
04.03.2004 JP 2004-061429
(43) Дата публикации заявки: 10.03.2008
(46) Опубликовано: 27.04.2010
(56) Список документов, цитированных в отчете о поиске:
RU 2103272 С1, 27.01.1998. WO 03000712 А1, 03.01.2003. JP 2003012686 А, 15.01.2003. JP 2002193948 А, 10.07.2002. JP 2001354568 А, 25.12.2001. JP 2004300102 А, 28.10.2004.
(85) Дата перевода заявки PCT на национальную фазу:
01.09.2006
(86) Заявка PCT:
JP 2005/004152 20050303
(87) Публикация PCT:
WO 2005/085265 20050915
Адрес для переписки:
129090, Москва, ул. Б.Спасская, 25, стр.3, ООО “Юридическая фирма Городисский и Партнеры”, пат.пов. Е.Е.Назиной
|
(72) Автор(ы):
ФУСИМИ Нобухико (JP), ФУДЗИКУРА Хидеки (JP), ИЗАДЗИ Масаюки (JP)
(73) Патентообладатель(и):
КИССЕИ ФАРМАСЬЮТИКАЛ КО., ЛТД. (JP)
|
(54) КОНДЕНСИРОВАННЫЕ ГЕТЕРОЦИКЛИЧЕСКИЕ ПРОИЗВОДНЫЕ, СОДЕРЖАЩИЕ ИХ МЕДИЦИНСКИЕ КОМПОЗИЦИИ И ИХ МЕДИЦИНСКОЕ ПРИМЕНЕНИЕ
(57) Реферат:
Настоящее изобретение относится к производному формулы (I) и его применению в качестве ингибитора натрийзависимого переносчика глюкозы (SGLT) человека для лечения заболеваний, связанных с гипергликемией:

где А1 – О или S; А2 – СН или N; R1 или R4 – группа формулы (S):

где R5, R6 – водород, гидроксил, галоген, алкил, алкокси-, алкилтио; Q – алкилен, алкенилен, алкилен-O-, алкилен-S-, -O-алкилен-, -S-алкилен-, алкилен-O-алкилен-, -алкилен-S-алкилен-; А – фенил; R2, R3 – водород; G – группа формул:

или

Е1 – водород, фтор, гидроксил; Е2 – водород, фтор, метил, гидроксиметил. Технический результат – получение новых ингибиторов SGLT человека. 5 н. и 10 з.п. ф-лы, 7 табл.
Область техники
Настоящее изобретение относится к конденсированным гетероциклическим производным, к их фармацевтически приемлемым солям или их пролекарствам, которые находят применение в качестве лекарственных средств, к фармацевтическим композициям, содержащим указанные производные, и к их фармацевтическому применению.
Более конкретно, настоящее изобретение относится к конденсированным гетероциклическим производным, обладающим ингибирующей активностью в отношении SGLT человека, к их фармацевтически приемлемым солям или пролекарствам, которые находят применение в качестве средств для профилактики или лечения заболевания, связанного с гипергликемией, такого как диабет, нарушенная толерантность к глюкозе, диабетические осложнения или ожирение, к содержащим их фармацевтическим композициям и к их фармацевтическому применению.
Уровень техники
Диабет представляет собой одно из заболеваний, связанных с образом жизни, в связи с изменением культуры питания и недостатка физической нагрузки. Следовательно, для больных диабетом необходима диета и физиотерапия. Более того, когда достаточный контроль и постоянное осуществление диеты и физиотерапии затруднены, одновременно проводится лекарственная терапия. Кроме того, с помощью широких клинических испытаний подтверждено, что на практике необходимо проводить долговременный жесткий контроль содержания сахара в крови, чтобы уберечь больных диабетом от возникновения и развития диабетических осложнений из-за получаемого лечения (например, см. приведенные ниже ссылки 1 и 2). Кроме того, большое число эпидемиологических исследований нарушенной толерантности к глюкозе и макроангиопатии показали, что нарушенная толерантность к глюкозе, как пограничный тип, также представляет собой фактор риска при макроангиопатии, а также при диабете. Таким образом, внимание было сфокусировано на необходимости регулирования гипергликемии, возникающей после приема пищи (см., например, приведенную ниже ссылку 3).
В последние годы идет разработка различных противодиабетических средств из-за быстрого роста больных диабетом. Например, нашли применение противодиабетические средства, такие как бигуаниды, сульфонилмочевины, лекарства, повышающие восприимчивость к инсулину, ингибиторы -глюкозидазы и т.д. Однако бигуаниды и сульфонилмочевины иногда проявляют отрицательные эффекты, такие как лактоцидоз и гипогликемия соответственно. Средства, повышающие чувствительность к инсулину, иногда проявляют отрицательные эффекты, такие как отек, и имеют отношение к развитию ожирения. Кроме того, ингибиторы -глюкозидазы, которые замедляют сжигание углеводов и поглощение в тонкой кишке, используются для регулирования гипергликемии, возникающей после приема пищи. Также указывается, что акарбоза, один из ингибиторов -глюкозидазы, имеет эффект предупреждения или задержки случаев диабета при приеме больными с нарушенной толерантностью к глюкозе (см., например, приведенную ниже ссылку 4). Однако, так как ингибиторы -глюкозидазы не воздействуют на повышенные уровни глюкозы из-за сжигания моносахарида глюкозы (см., например, приведенную ниже ссылку 5) в связи с недавним изменением составов сахаров в пище, необходим широкий спектр активных компонентов, ингибирующих поглощение углеводов.
В последние годы развиваются исследования и разработка нового типа противодиабетических средств, которые стимулируют выведение мочевой глюкозы и понижают уровень глюкозы в крови за счет предупреждения повторного поглощения избытка глюкозы почками (см., например, приведенную ниже ссылку 6). Кроме того, сообщается, что SGLT2 (натрийзависимый переносчик глюкозы 2) присутствует в сегменте S1 почечного проксимального канальца и принимает участие преимущественно в повторном поглощении глюкозы после клубочковой фильтрации (см., например, приведенную ниже ссылку 7). Таким образом, ингибирование активности SGLT2 человека предупреждает повторное поглощение избытка глюкозы почками, затем стимулирует выведение избытка глюкозы с мочой и нормализует содержание глюкозы в крови. Кроме того, так как такие агенты для стимулирования выведения мочевой глюкозы выводят избыток глюкозы с мочой и, следовательно, накопление глюкозы в организме понижается, то такие агенты, как можно ожидать, также обладают предупреждающим или ослабляющим действием на ожирение и диуретическим действием. Более того, считается, что такие агенты могут быть использованы в случае различных близких заболеваний, которые имеют место при развитии диабета или ожирения вследствие гипергликемии.
Кроме того, известно, что SGLT1, натрийзависимый переносчик глюкозы 1, находится в тонкой кишке, которая контролирует поглощение углеводов. Также сообщается, что недостаточность поглощения глюкозы и галактозы возникает у больных с дисфункцией вследствие наследственных отклонений от нормы SGLT1 человека (см., например, приведенные ниже ссылки 8-10). Кроме того, подтверждено, что SGLT1 вовлечен в поглощение глюкозы и галактозы (см., например, приведенные ниже ссылки 11 и 12). Более того, подтверждено, что у OLETF крыс с индуцированными стрептозотоцином диабетическими симптомами растет количество мРНК и белка SGLT1 и поглощение глюкозы ускоряется (см., например, приведенные ниже ссылки 13 и 14). Обычно у больных диабетом усвоение и поглощение углеводов повышаются. Например, подтверждено, что в тонкой кишке человека количество мРНК и белка SGLT1 сильно повышено (см., например, приведенную ниже ссылку 15). Следовательно, блокирование активности SGLT1 человека ингибирует поглощение углеводов, таких как глюкоза, в тонкой кишке и может предупреждать повышение уровня глюкозы в крови. Особенно считается, что замедление поглощения глюкозы на основе описанного выше механизма эффективно для нормализации гипергликемии, возникающей после приема пищи.
Таким образом, желательна быстрая разработка противодиабетических средств с новым механизмом действия, которые оказывают ингибирующее действие на SGLT человека, с целью урегулирования или разрешения описанных выше проблем.
Конденсированные гетероциклические производные, предложенные в настоящем изобретении, представляют собой совершенно новые соединения. Кроме того, отсутствуют какие-либо сообщения, что такие производные обладают ингибирующей активностью в отношении SGLT1 и/или SGLT2 и ингибируют поглощение глюкозы и галактозы в тонкой кишке, или что они могут быть полезны в качестве агентов для ингибирования повторного поглощения избытка глюкозы почками.
Ссылка 1: The Diabetes Control and Complications Trial Research Group, N. Engl. J. Med., 1993.9, Vol.329, No.14, pp.977-986.
Ссылка 2: UK Prospective Diabetes Study Group, Lancet, 1998.9, Vol.352, No.9131, pp.837-853.
Ссылка 3: Makoto TOMINAGA, Endocrinology & Diabetology, 2001.11, Vol.13, No.5, pp.534-542.
Ссылка 4: Jean-Louis Chiasson and 5 persons, Lancet, 2002.6, Vol.359, No.9323, pp.2072-2077.
Ссылка 5: Hiroyuki ODAKA and 3 persons, Journal of Japanese Society of Nutrition and Food Science, 1992, Vol.45, p.27.
Ссылка 6: Luciano Rossetti and 4 persons, J. Clin. Invest., 1987.5, Vol.79, pp.1510-1515.
Ссылка 7: Yoshikatsu Kanai and 4 persons, J. Clin. Invest., 1994.1, Vol.93, pp.397-404.
Ссылка 8: Tadao BABA and 1 person, Supplementary volume of Nippon Rinsho, Ryoikibetsu Shokogun, 1998, No.19, pp.552-554.
Ссылка 9: Michihiro KASAHARA and 2 persons, Saishin Igaku, 1996.1, Vol.51, No.1, pp.84-90.
Ссылка 10: Tomofusa TSUCHIYA and 1 person, Nippon Rinsho, 1997.8, Vol.55, No.8, pp.2131-2139.
Ссылка 11: Yoshikatsu KANAI, Kidney and Dialysis, 1998.12, Vol.45, extra edition, pp.232-237.
Ссылка 12: E. Turk and 4 persons, Nature, 1991.3, Vol.350, pp.354-356.
Ссылка 13: Y. Fujita and 5 persons, Diabetologia, 1998, Vol.41, pp.1459-1466.
Ссылка 14: J. Dyer and 5 persons, Biochemical Society Transactions, 1997, Vol.25, p.479S.
Ссылка 15: J. Dyer and 4 persons, American Journal of Physiology, 2002.2, Vol.282, No.2, pp.G241-G248.
Описание изобретения
Настоящее изобретение выполнено преимущественно с целью поиска соединений, обладающих ингибирующей активностью в отношении SGLT человека. В результате установлено, что некоторые конденсированные гетероциклические производные, представленные приведенной ниже общей формулой (I), проявляют ингибирующую активность в отношении SGLT1 и/или SGLT2 человека и представляют собой прекрасные средства, обладающие ингибирующей активностью при повышении уровня глюкозы в крови или при понижении уровня глюкозы в крови, как показано ниже, что составляет основу настоящего изобретения.
Настоящее изобретение состоит в создании новых соединений, которые проявляют ингибирующую активность в отношении SGLT человека, содержащих их фармацевтических композиций и в их фармацевтическом применении.
Таким образом, предметом настоящего изобретения является
[1] конденсированное гетероциклическое производное, представленное следующей общей формулой (I):

где
один из заместителей R1 и R4 представляет собой группу, представленную общей формулой:

[в приведенной формуле заместители R5 и R6 независимо друг от друга представляют собой атом водорода, гидроксигруппу, атом галогена, С1-6-алкильную группу, С2-6-алкенильную группу, С2-6-алкинильную группу, С1-6-алкоксигруппу, С2-6-алкенилоксигруппу, С1-6-алкилтиогруппу, С2-6-алкенилтиогруппу, галоген-(С1-6-алкильную) группу, галоген(С1-6-алкокси)группу, галоген-(С1-6-алкилтио)группу, гидрокси(С1-6-алкильную) группу, гидрокси(С2-6-алкенильную) группу, гидрокси-(С1-6-алкокси)группу, гидрокси(С1-6-алкилтио)группу, карбоксильную группу, карбокси(С1-6-алкильную) группу, карбокси(С2-6-алкенильную) группу, карбокси(С1-6-алкокси)группу, карбокси-(С1-6-алкилтио)группу, С2-7-алкоксикарбонильную группу, С2-7-алкоксикарбонил(С1–6-алкильную) группу, С2-7-алкоксикарбонил(С2-6-алкенильную) группу, С2-7-алкоксикарбонил(С1-6-алкокси)группу, С2-7-алкоксикарбонил(С1-6-алкилтио)группу, С1-6-алкилсульфинильную группу, С1-6-алкилсульфонильную группу, -U-V-W-N(R7)-Z, или любой из следующих заместителей от (i) до (xxviii), которые могут содержать в цикле от 1 до 3 заместителей, выбранных из приведенной ниже группы заместителей ;
(i) С6-10-арильная группа, (ii) С6-10-арил-О-, (iii) С6-10-арил-S-, (iv) С6-10-арил-(С1-6-алкильная) группа, (v) С6-10-арил-(С1-6-алкокси)группа, (vi) С6-10-арил-(С1-6-алкилтио)группа, (vii) гетероарильная группа, (viii) гетероарил-О-, (ix) гетероарил-S-, (х) гетероарил(С1-6-алкильная) группа, (xi) гетероарил(С1-6-алкокоси)группа, (xii) гетероарил(С1-6-алкилтио)группа, (xiii) С3-7-циклоалкильная группа, (xiv) С3-7-циклоалкил-О-, (xv) С3-7-циклоалкил-S-, (xvi) С3-7-циклоалкил(С1-6-алкильная) группа, (xvii) С3-7-циклоалкил(С1-6-алкокси)группа, (xviii) С3-7-циклоалкил(С1-6-алкилтио)группа, (xix) гетероциклоалкильная группа, (хх) гетероциклоалкил-О-, (xxi) гетероциклоалкил-S-, (xxii) гетероциклоалкил(С1-6-алкильная) группа, (xxiii) гетероциклоалкил(С1-6-алкокси)группа, (xxiv) гетероциклоалкил(С1-6-алкилтио)группа, (xxv) ароматическая циклическая аминогруппа, (xxvi) ароматическая циклическая амино(С1-6-алкильная) группа или (xxvii) ароматическая циклическая амино(С1-6-алкокси)группа, (xxviii) ароматическая циклическая амино(С1-6-алкилтио)группа;
J представляет собой С1-6-алкиленовую группу, которая может содержать гидроксигруппу, или С2-6-алкениленовую группу;
U представляет собой -О-, -S- или простую связь при условии, что, по меньшей мере, один из V и W не является простой связью, когда U представляет собой -О- или -S-;
V представляет собой С1-6-алкиленовую группу, которая может содержать гидроксигруппу, С2-6-алкениленовую группу или простую связь;
W представляет собой -CO-, -SO2-, -C(=NH)- или простую связь;
Z независимо друг от друга представляет собой атом водорода, C2-7-алкоксикарбонильную группу, C6-10-арил(C2-7-алкоксикарбонильную) группу, формильную группу, -RA, -CORB, -SO2RB, -CON(RC)RD, -CSN(RC)RD, -SO2NHRA или -C(=NRE)N(RF)RG;
R7, RA, RC и RD независимо друг от друга представляют собой атом водорода, C1-6-алкильную группу, которая может содержать от 1 до 5 заместителей, выбранных из приведенной группы заместителей , или любой из следующих заместителей от (xxix) до (xxxii), которые могут содержать от 1 до 3 заместителей, выбранных из приведенной ниже группы заместителей ;
(xxix) С6-10-арильная группа, (xxx) гетероарильная группа, (xxxi) С3-7-циклоалкильная группа или (xxxii) гетероциклоалкильная группа;
или Z и R7, связанные вместе с соседним атомом азота, образуют алифатическую циклическую аминогруппу, которая может содержать от 1 до 3 заместителей, выбранных из приведенной ниже группы заместителей ;
или RC и RD, связанные вместе с соседним атомом азота, образуют алифатическую циклическую аминогруппу, которая может содержать от 1 до 3 заместителей, выбранных из приведенной ниже группы заместителей ;
RB представляет собой С2-7-алкоксикарбонильную группу, С1-6-алкилсульфониламиногруппу, С6-10-арилсульфониламиногруппу, С1-6-алкильную группу, которая содержит от 1 до 5 заместителей, выбранных из приведенной ниже группы заместителей , или любой из следующих заместителей от (xxxiii) до (xxxvi), которые могут содержать от 1 до 3 заместителей, выбранных из приведенной ниже группы заместителей ;
(xxxiii) С6-10-арильная группа, (xxxiv) гетероарильная группа, (xxxv) С3-7-циклоалкильная группа или (xxxvi) гетероциклоалкильная группа,
RE, RF и RG независимо друг от друга представляют собой атом водорода, цианогруппу, карбамоильную группу, С2-7-ацильную группу, С2-7-алкоксикарбонильную группу, С6-10-арил(С2-7-алкоксикарбонильную) группу, нитрогруппу, С1-6-алкилсульфонильную группу, сульфамидную группу, карбамимидоильную группу или С1-6-алкильную группу, которая может содержать от 1 до 5 заместителей, выбранных из приведенной ниже группы заместителей ;
или RE и RF, связанные вместе, образуют этиленовую группу;
или RF и RG, связанные вместе с соседним атомом азота, образуют алифатическую циклическую аминогруппу, которая может содержать любой заместитель, выбранный из приведенной ниже группы заместителей ;
Q представляет собой -С1-6-алкилен-, -С2-6-алкенилен-, -С2-6-алкинилен-, -С1-6-алкилен-О-, -С1-6-алкилен-S-, -О-С1-6-алкилен-, -S-С1-6-алкилен-,-С1-6-алкилен-О-С1-6-алкилен-, -С1-6-алкилен-S-C1-6-алкилен-, -CON(R8)-, -N(R8)CO-, -C1-6-алкилен-CON(R8)- или -CON(R8)-C1-6-алкилен-;
R8 представляет собой атом водорода или С1-6-алкильную группу;
цикл А представляет собой С6-10-арильную группу или гетероарильную группу], а другие заместители представляют собой атом водорода, гидроксигруппу, аминогруппу, атом галогена, С1-6-алкильную группу, С1-6-алкоксигруппу, цианогруппу, карбоксильную группу, С2-7-алкоксикарбонильную группу, карбамоильную группу, моно- или ди(С1-6-алкил)аминогруппу. галоген(С1-6-алкильную) группу, гидрокси(С1-6-алкильную) группу, циано(С1-6-алкильную) группу, карбокси(С1-6-алкильную) группу, С2-7-алкоксикарбонил(С1-6-алкильную) группу, карбамоил(С1-6-алкильную) группу, амино(С1-6-алкильную) группу, моно- или ди(С1-6-алкил)амино(С1-6-алкильную) группу, галоген(С1-6-алкокси)группу, гидрокси(С1-6-алкокси)группу, карбокси(С1-6-алкокси)группу, С2-7-алкоксикарбонил(С1-6-алкокси)группу, карбамоил(С1-6-алкокси)группу, амино(С1-6-алкокси)группу, моно- или ди(С1-6-алкил)амино(С1-6-алкокси)группу, С3-7-циклоалькильную группу, С3-7-циклоалкилоксигруппу, С3-7-циклоалкил(С1-6-алкильную) группу или С3-7-циклоалкил(С1-6-алкокси)группу;
R2 и R3 независимо друг от друга представляют собой атом водорода, гидроксигруппу, аминогруппу, атом галогена, С1-6-алкильную группу, С1-6-алкоксигруппу, цианогруппу, карбоксигруппу, С2-7-алкоксикарбонильную группу, карбамоильную группу, моно- или ди(С1-6-алкил)аминогруппу, галоген(С1-6-алкильную) группу, гидрокси(С1-6-алкильную) группу, циано(С1-6-алкильную) группу, карбокси(С1-6-алкильную) группу, С2-7-алкоксикарбонил(С1-6-алкильную) группу, карбамоил(С1-6-алкильную) группу, амино(С1-6-алкильную) группу, моно- или ди(С1-6-алкил)амино(С1-6-алкильную) группу, галоген(С1-6-алкокси)группу, гидрокси(С1-6-алкокси)группу, карбокси(С1-6-алкокси)группу, С2-7-алкоксикарбонил(С1-6-алкокси)группу, карбамоил(С1-6-алкокси)группу, амино(С1-6-алкокси)группу, моно- или ди(С1-6-алкил)амино(С1-6-алкокси)группу, С3-7-циклоалькильную группу, С3-7-циклоалкилоксигруппу, С3-7-циклоалкил(С1-6-алкильную) группу или С3-7-циклоалкил(С1-6-алкокси)группу;
А1 представляет собой О, S или NR9;
А2 представляет собой СН или N;
R9 представляет собой атом водорода или С1-6-алкильную группу;
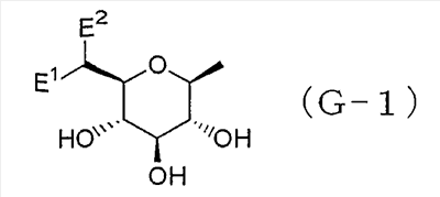
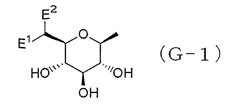
G представляет собой группу, представленную формулой:

или

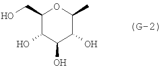
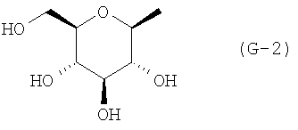
E1 представляет собой атом водорода, атом фтора или гидроксигруппу;
E2 представляет собой атом водорода, атом фтора, метильную группу или гидроксиметильную группу;
[группа заместителей ]
атом галогена, гидроксигруппа, аминогруппа, С1-6-алкильная группа, С1-6-алкоксигруппа, галоген(С1-6-алкильная) группа, галоген(С1-6-алкокси)группа, гидрокси(С1-6-алкильная) группа, С2-7-алкоксикарбонил(С1-6-алкильная) группа, гидрокси-(С1-6-алкокси)группа, амино(С1-6-алкильная) группа, амино(С1-6-алкокси)группа, моно- или ди(С1-6-алкил)аминогруппа, моно- или ди[гидрокси(С1-6-алкил)]аминогруппа, С1-6-алкилсульфонильная группа, С1-6-алкилсульфониламиногруппа, С1-6-алкилсульфониламино(С1-6-алкильная) группа, карбоксильная группа, С2-7-алкоксикарбонильная группа, сульфамоильная группа и -CON(RH)RI;
[группа заместителей ]
атом галогена, гидроксигруппа, аминогруппа, С1-6-алкоксигруппа, С1-6-алкилтиогруппа, галоген(С1-6-алкокси)группа, галоген(С1-6-алкилтио)группа, гидрокси(С1-6-алкокси)группа, гидрокси(С1-6-алкилтио)группа, амино(С1-6-алкокси)группа, амино(С1-6-алкилтио)группа, моно- или ди(С1-6-алкил)аминогруппа, моно- или ди[гидрокси(С1-6-алкил)]аминогруппа, уреидогруппа, сульфамидная группа, моно- или ди(С1-6-алкил)уреидогруппа, моно- или ди[гидрокси(С1-6-алкил)]уреидогруппа, моно- или ди(С1-6-алкил)сульфамидная группа, моно- или ди[гидрокси-(С1-6-алкил)]сульфамидная группа, С2-7-ациламиногруппа, амино(С2-7-ациламино)группа, С1-6-алкилсульфонильная группа, С1-6-алкилсульфониламиногруппа, карбамоил(С1-6-алкилсульфониламино)группа, карбоксигруппа, С2-7-алкоксикарбонильная группа, -CON(RH)RI, и любой из следующих заместителей от (xxxvii) до (xxxxviii), которые могут содержать от 1 до 3 заместителей, выбранных из приведенной выше группы заместителей ;
(xxxvii) С6-10-арильная группа, (xxxviii) С6-10-арил-О-, (xxxix) С6-10-арил(С1-6-алкокси)группа, (хххх) С6-10-арил(С1-6-алкилтио)группа, (xxxxi) гетероарильная группа, (xxxxii) гетероарил-О-; (xxxxiii) С3-7-циклоалкильная группа, (xxxxiv) C3-7-циклоалкил-О-, (xxxxv) гетероциклоалкильная группа, (xxxxvi) гетероциклоалкил-О-, (xxxxvii) алифатическая циклическая аминогруппа или (xxxxviii) ароматическая циклическая аминогруппа;
RH и RI независимо друг от друга представляют собой атом водорода или С1-6-алкильную группу, которая может содержать от 1 до 3 заместителей, выбранных из приведенной ниже группы заместителей ;
или как RH, так и RI, связанные вместе с соседним атомом азота, образуют алифатическую циклическую аминогруппу, которая может содержать от 1 до 3 заместителей, выбранных из приведенной ниже группы заместителей ;
[группа заместителей ]
атом галогена, гидроксигруппа, аминогруппа, С1-6-алкоксигруппа, галоген(С1-6-алкокси)группа, гидрокси(С1-6-алкокси)группа, амино(С1-6-алкокси)группа, моно- или ди(С1-6-алкил)аминогруппа, моно- или ди[гидрокси(С1-6-алкил)]аминогруппа, уреидогруппа, сульфамидная группа, моно- или ди(С1-6-алкил)уреидогруппа, моно- или ди[гидрокси(С1-6-алкил)]уреидогруппа, моно- или ди(С1-6-алкил)сульфамидная группа, моно- или ди[гидрокси(С1-6-алкил)]сульфамидная группа, С2-7-ациламиногруппа, амино(С2-7-ациламино)группа, С1-6-алкилсульфонильная группа, С1-6-алкилсульфониламиногруппа, карбамоил(С1-6-алкилсульфониламино)группа, карбоксигруппа, С2-7-алкоксикарбонильная группа, сульфамоильная группа и
-CON(RJ)RK;
[группа заместителей ]
атом галогена, гидроксигруппа, аминогруппа, С1-6-алкильная группа, С1-6-алкоксигруппа, галоген(С1-6-алкильная) группа, галоген(С1-6-алкокси)группа, гидрокси(С1-6-алкильная) группа, С2-7-алкоксикарбонил(С1-6-алкильная) группа, гидрокси-(С1-6-алкокси)группа, амино(С1-6-алкильная) группа, амино(С1-6-алкокси)группа, моно- или ди(С1-6-алкил)аминогруппа, моно- или ди[гидрокси(С1-6-алкил)]аминогруппа, С1-6-алкилсульфонильная группа, С1-6-алкилсульфониламиногруппа, С1-6-алкилсульфониламино(С1-6-алкильная) группа, карбоксильная группа, С2-7-алкоксикарбонильная группа, сульфамоильная группа и -CON(RJ)RK;
RJ и RK независимо друг от друга представляют собой атом водорода или С1-6-алкильную группу, которая может содержать от 1 до 3 заместителей, выбранных из гидроксигруппы, аминогруппы, моно- или ди(С1-6-алкил)аминогруппы, С2-7-алкоксикарбонильной группы и карбамоильной группы;
или оба заместителя RJ и RK, связанные вместе с соседним атомом азота, образуют алифатическую циклическую аминогруппу, которая может содержать любые от 1 до 3 заместителей, выбранных из гидроксигруппы, аминогруппы, моно- или ди(С1-6-алкил)аминогруппы, С1-6-алкильной группы, гидрокси(С1-6-алкильной) группы, С2-7-алкоксикарбонильной группы, С2-7-алкоксикарбонил(С1-6-алкильной) группы и карбамоильной группы,
или его фармацевтически приемлемая соль или его пролекарство;
[2] конденсированное гетероциклическое производное, описанное выше в пункте
[1], где Q представляет собой метиленовую группу, этиленовую группу, -ОСН2-, -СН2О-, -SCH2– или -CH2S-, или его фармацевтически приемлемую соль или его пролекарство;
[3] конденсированное гетероциклическое производное, описанное выше в пункте
[2], где Q представляет собой этиленовую группу, или его фармацевтически приемлемую соль или его пролекарство;
[4] конденсированное гетероциклическое производное, описанное выше в пункте
[2], где Q представляет собой метиленовую группу, или его фармацевтически приемлемую соль или его пролекарство;
[5] конденсированное гетероциклическое производное, описанное выше в пункте
[1], где заместители R5 и R6 независимо друг от друга представляют собой атом водорода, гидроксигруппу, атом галогена, С1-6-алкильную группу, С2-6-алкенильную группу, С2-6-алкинильную группу, С1-6-алкоксигруппу, С2-6-алкенилоксигруппу, С1-6-алкилтиогруппу, С2-6-алкенилтиогруппу, галоген(С1-6-алкильную) группу, галоген(С1-6-алкокси)группу, галоген(С1-6-алкилтио)группу, гидрокси(С1-6-алкильную) группу, гидрокси(С2-6-алкенильную) группу, гидрокси(С1-6-алкокси)группу или гидрокси(С1-6-алкилтио)группу, или его фармацевтически приемлемую соль или его пролекарство;
[6] конденсированное гетероциклическое производное, описанное в любом из приведенных выше пунктов от [1] до [5], где цикл А представляет собой бензольное кольцо или пиридиновое кольцо, или его фармацевтически приемлемую соль или его пролекарство;
[7] конденсированное гетероциклическое производное, описанное в любом из приведенных выше пунктов от [1] до [6], где G представляет собой группу, представленную формулой:

или его фармацевтически приемлемую соль или его пролекарство;
[8] фармацевтическая композиция, содержащая в качестве активного ингредиента конденсированное гетероциклическое производное, описанное в любом из приведенных выше пунктов от [1] до [7], или его фармацевтически приемлемую соль или его пролекарство;
[9] ингибитор SGLT человека, содержащий в качестве активного ингредиента конденсированное гетероциклическое производное, описанное в любом из приведенных выше пунктов от [1] до [7], или его фармацевтически приемлемую соль или пролекарство;
[10] ингибитор SGLT человека, описанный в приведенном выше пункте [9], где SGLT представляет собой SGLT1 и/или SGLT2;
[11] ингибитор SGLT человека, описанный в приведенном выше пункте [9], который представляет собой средство для ингибирования гипергликемии, возникающей после приема пищи;
[12] ингибитор SGLT человека, описанный в приведенном выше пункте [9], который представляет собой средство для предупреждения или лечения заболевания, связанного с гипергликемией;
[13] ингибитор SGLT человека, описанный в приведенном выше пункте [12], где заболевание, связанное с гипергликемией, представляет собой заболевание, выбранное из группы, включающей диабет, нарушенную толерантность к глюкозе, диабетические осложнения, ожирение, гиперинсулинемию, гиперлипидемию, гиперхолестеринемию, гипертриглицеридемию, нарушение липидного метаболизма, атеросклероз, гипертонию (повышенное кровяное давление), застойную сердечную недостаточность, отек, гиперурикимию и подагру;
[14] ингибитор SGLT человека, описанный в приведенном выше пункте [9], который представляет собой средство для ингибирования у субъекта развития нарушенной толерантности к глюкозе в диабет;
[15] фармацевтическая композиция, описанная в приведенном выше пункте [8], где дозированная лекарственная форма представляет собой состав с постепенным высвобождением;
[16] ингибитор SGLT человека, описанный в приведенном выше пункте [9], где дозированная лекарственная форма представляет собой состав с постепенным высвобождением;
[17] способ ингибирования гипергликемии, возникающей после приема пищи, который включает введение эффективного количества конденсированного гетероциклического производного, описанного в любом из пунктов от [1] до [7], или его фармацевтически приемлемой соли или пролекарства;
[18] способ профилактики или лечения заболевания, связанного с гипергликемией, который включает введение эффективного количества конденсированного гетероциклического производного, описанного в любом из пунктов от [1] до [7], или его фармацевтически приемлемой соли или пролекарства;
[19] способ профилактики или лечения, который описан в приведенном выше пункте [18], где заболевание, связанное с гипергликемией, представляет собой заболевание, выбранное из группы, включающей диабет, нарушенную толерантность к глюкозе, диабетические осложнения, ожирение, гиперинсулинемию, гиперлипидемию, гиперхолестеринемию, гипертриглицеридемию, нарушение липидного метаболизма, атеросклероз, повышенное кровяное давление, застойную сердечную недостаточность, отек, гиперурикимию и подагру;
[20] способ ингибирования у субъекта развития нарушенной толерантности к глюкозе в диабет, который включает введение эффективного количества конденсированного гетероциклического производного, описанного в любом из пунктов от [1] до [7], или его фармацевтически приемлемой соли или пролекарства;
[21] применение конденсированного гетероциклического производного, которое описано в любом из предыдущих пунктов от [1] до [7], или его фармацевтически приемлемой соли или его пролекарства для получения фармацевтической композиции для ингибирования гипергликемии, возникающей после приема пищи;
[22] применение конденсированного гетероциклического производного, которое описано в любом из предыдущих пунктов от [1] до [7], или его фармацевтически приемлемой соли или его пролекарства для получения фармацевтической композиции для профилактики или лечения заболевания, связанного с гипергликемией;
[23] применение, описанное в приведенном выше пункте [22], где заболевание, связанное с гипергликемией, представляет собой заболевание, выбранное из группы, включающей диабет, нарушенную толерантность к глюкозе, диабетические осложнения, ожирение, гиперинсулинемию, гиперлипидемию, гиперхолестеринемию, гипертриглицеридемию, нарушение липидного метаболизма, атеросклероз, повышенное кровяное давление, застойную сердечную недостаточность, отек, гиперурикимию и подагру;
[24] применение конденсированного гетероциклического производного, которое описано в любом из предыдущих пунктов от [1] до [7], или его фармацевтически приемлемой соли или его пролекарства для получения фармацевтической композиции для ингибирования развития у субъекта нарушенной толерантности к глюкозе в диабет;
[25] фармацевтическая композиция, описанная в приведенном выше пункте [8], которая включает комбинацию, по меньшей мере, с одним компонентом, выбранным из группы, включающей средство, повышающее чувствительность к инсулину, ингибитор поглощения глюкозы, бигуанид, средство, повышающее секрецию инсулина, ингибитор SGLT2, инсулин или аналог инсулина, антагонист рецептора глюкагона, стимулятор киназы инсулинового рецептора, ингибитор трипептидилпептидазы II, ингибитор дипептидилпептидазы IV, ингибитор протеинтирозинфосфатазы-1В, ингибитор гликогенфосфорилазы, ингибитор глюкоза-6-фосфатазы, ингибитор фруктозобисфосфатазы, ингибитор пируватдегидрогеназы, ингибитор печеночного глюконеогенеза, D-хироинзитол, ингибитор гликоген-синтаза-киназы-3, глюкагон-подобный пептид-1, аналог глюкагон-подобного пептида-1, агонист глюкагон-подобного пептида-1, амилин, аналог амилина, агонист амилина, ингибитор альдозоредуктазы, ингибитор образования конечных продуктов повышенного гликолиза, ингибитор протеинкиназы С, антагонист рецептора -аминомасляной кислоты, антагонист натриевого канала, ингибитор транскрипт-фактора NF-kB, ингибитор липидпероксидазы, ингибитор N-ацетилированной- -кислотносвязанной дипептидазы, инсулиноподобный фактор роста-I, тромбоцитарный фактор роста, аналог тромбоцитарного фактора роста, эпидермальный фактор роста, фактор роста нервов, производное карнитина, уридин, 5-гидрокси-1-метилгидантоин, EGB-761, бимокломол, сулодексид, Y-128, антидиарейные средства, слабительные средства, ингибитор гидроксиметилглутарилкофермент-А-редуктазы, фибрат, агонист 3-адренорецептора, ингибитор ацилкофермент-А-холестерин-ацилтрансферазы, пробкол, агонист рецептора тироидного гормона, ингибитор поглощения холестерина, ингибитор липазы, ингибитор белка-переносчика микросомального триглицерида, ингибитор липоксигеназы, ингибитор карнитинпальмитоил-трансферазы, ингибитор скваленсинтазы, стимулятор рецептора липопротеина низкой плотности, производное никотиновой кислоты, поглотитель желчных кислот, ингибитор со-переносчика натрия/желчных кислот, ингибитор белка-переносчика сложного эфира холестерина, средство для уменьшения аппетита, ингибитор ангиотензин-конвертирующего фермента, ингибитор нейтральной эндопептидазы, антагонист рецептора ангиотензина II, ингибитор эндотелин-конвертирующего фермента, антагонист рецептора эндотелина, диуретическое средство, антагонист кальция, сосудорасширяющее антигипертензивное средство, симпатическое блокирующее средство, антигипертензивное средство центрального действия, агонист 2-адренорецептора, антитромбоцитарное средство, ингибитор синтеза мочевой кислоты, урикозурическое средство и средство для ощелачивания мочи;
[26] ингибитор SGLT человека, описанный в приведенном выше пункте [9], который включает комбинацию, по меньшей мере, с одним компонентом, выбранным из группы, включающей средство, повышающее чувствительность к инсулину, ингибитор поглощения глюкозы, бигуанид, средство, повышающее секрецию инсулина, ингибитор SGLT2, инсулин или аналог инсулина, антагонист рецептора глюкагона, стимулятор киназы инсулинового рецептора, ингибитор трипептидилпептидазы II, ингибитор дипептидилпептидазы IV, ингибитор протеинтирозинфосфатазы-1 В, ингибитор гликогенфосфорилазы, ингибитор глюкоза-6-фосфатазы, ингибитор фруктозобисфосфатазы, ингибитор пируватдегидрогеназы, ингибитор печеночного глюконеогенеза, D-хироинзитол, ингибитор гликоген-синтаза-киназы-3, глюкагон-подобный пептид-1, аналог глюкагон-подобного пептида-1, агонист глюкагон-подобного пептида-1, амилин, аналог амилина, агонист амилина, ингибитор альдозоредуктазы, ингибитор образования конечных продуктов повышенного гликолиза, ингибитор протеинкиназы С, антагонист рецептора -аминомасляной кислоты, антагонист натриевого канала, ингибитор транскрипт-фактора NF-kB, ингибитор липидпероксидазы, ингибитор N-ацетилированной- -кислотносвязанной дипептидазы, инсулиноподобный фактор роста-I, тромбоцитарный фактор роста, аналог тромбоцитарного фактора роста, эпидермальный фактор роста, фактор роста нервов, производное карнитина, уридин, 5-гидрокси-1-метилгидантоин, EGB-761, бимокломол, сулодексид, Y-128, антидиарейные средства, слабительные средства, ингибитор гидроксиметилглутарилкофермент-А-редуктазы, фибрат, агонист 3-адренорецептора, ингибитор ацилкофермент-А-холестерин-ацилтрансферазы, пробкол, агонист рецептора тироидного гормона, ингибитор поглощения холестерина, ингибитор липазы, ингибитор белка-переносчика микросомального триглицерида, ингибитор липоксигеназы, ингибитор карнитинпальмитоил-трансферазы, ингибитор скваленсинтазы, стимулятор рецептора липопротеина низкой плотности, производное никотиновой кислоты, поглотитель желчных кислот, ингибитор со-переносчика натрий/желчные кислоты, ингибитор белка-переносчика сложного эфира холестерина, средство для уменьшения аппетита, ингибитор ангиотензин-конвертирующего фермента, ингибитор нейтральной эндопептидазы, антагонист рецептора ангиотензина II, ингибитор эндотелин-конвертирующего фермента, антагонист рецептора эндотелина, диуретическое средство, антагонист кальция, сосудорасширяющее антигипертензивное средство, симпатическое блокирующее средство, антигипертензивное средство центрального действия, агонист 2-адренорецептора, антитромбоцитарное средство, ингибитор синтеза мочевой кислоты, урикозурическое средство и средство для ощелачивания мочи;
[27] способ ингибирования гипергликемии, возникающей после приема пищи, описанный в приведенном выше пункте [17], который включает введение в комбинации, по меньшей мере, с одним компонентом, выбранным из группы, включающей средство, повышающее чувствительность к инсулину, ингибитор поглощения глюкозы, бигуанид, средство, повышающее секрецию инсулина, ингибитор SGLT2, инсулин или аналог инсулина, антагонист рецептора глюкагона, стимулятор киназы инсулинового рецептора, ингибитор трипептидилпептидазы II, ингибитор дипептидилпептидазы IV, ингибитор протеинтирозинфосфатазы-1 В, ингибитор гликогенфосфорилазы, ингибитор глюкоза-6-фосфатазы, ингибитор фруктозобисфосфатазы, ингибитор пируватдегидрогеназы, ингибитор печеночного глюконеогенеза, D-хироинзитол, ингибитор гликоген-синтаза-киназы-3, глюкагон-подобный пептид-1, аналог глюкагон-подобного пептида-1, агонист глюкагон-подобного пептида-1, амилин, аналог амилина, агонист амилина, ингибитор альдозоредуктазы, ингибитор образования конечных продуктов повышенного гликолиза, ингибитор протеинкиназы С, антагонист рецептора -аминомасляной кислоты, антагонист натриевого канала, ингибитор транскрипт-фактора NF-kB, ингибитор липидпероксидазы, ингибитор N-ацетилированной- -кислотносвязанной дипептидазы, инсулиноподобный фактор роста-I, тромбоцитарный фактор роста, аналог тромбоцитарного фактора роста, эпидермальный фактор роста, фактор роста нервов, производное карнитина, уридин, 5-гидрокси-1-метилгидантоин, EGB-761, бимокломол, сулодексид, Y-128, антидиарейные средства, слабительные средства, ингибитор гидроксиметилглутарилкофермент-А-редуктазы, фибрат, агонист 3-адренорецептора, ингибитор ацилкофермент-А-холестерин-ацилтрансферазы, пробкол, агонист рецептора тироидного гормона, ингибитор поглощения холестерина, ингибитор липазы, ингибитор белка-переносчика микросомального триглицерида, ингибитор липоксигеназы, ингибитор карнитинпальмитоил-трансферазы, ингибитор скваленсинтазы, стимулятор рецептора липопротеина низкой плотности, производное никотиновой кислоты, поглотитель желчных кислот, ингибитор со-переносчика натрий/желчные кислоты, ингибитор белка-переносчика сложного эфира холестерина, средство для уменьшения аппетита, ингибитор ангиотензин-конвертирующего фермента, ингибитор нейтральной эндопептидазы, антагонист рецептора ангиотензина II, ингибитор эндотелин-конвертирующего фермента, антагонист рецептора эндотелина, диуретическое средство, антагонист кальция, сосудорасширяющее антигипертензивное средство, симпатическое блокирующее средство, антигипертензивное средство центрального действия, агонист 2-адренорецептора, антитромбоцитарное средство, ингибитор синтеза мочевой кислоты, урикозурическое средство и средство для ощелачивания мочи;
[28] способ профилактики или лечения заболевания, связанного с гипергликемией, описанный в приведенном выше пункте [18], который включает введение в комбинации, по меньшей мере, с одним компонентом, выбранным из группы, включающей средство, повышающее чувствительность к инсулину, ингибитор поглощения глюкозы, бигуанид, средство, повышающее секрецию инсулина, ингибитор SGLT2, инсулин или аналог инсулина, антагонист рецептора глюкагона, стимулятор киназы инсулинового рецептора, ингибитор трипептидилпептидазы II, ингибитор дипептидилпептидазы IV, ингибитор протеинтирозинфосфатазы-1 В, ингибитор гликогенфосфорилазы, ингибитор глюкоза-6-фосфатазы, ингибитор фруктозобисфосфатазы, ингибитор пируватдегидрогеназы, ингибитор печеночного глюконеогенеза, D-хироинзитол, ингибитор гликоген-синтаза-киназы-3, глюкагон-подобный пептид-1, аналог глюкагон-подобного пептида-1, агонист глюкагон-подобного пептида-1, амилин, аналог амилина, агонист амилина, ингибитор альдозоредуктазы, ингибитор образования конечных продуктов повышенного гликолиза, ингибитор протеинкиназы С, антагонист рецептора -аминомасляной кислоты, антагонист натриевого канала, ингибитор транскрипт-фактора NF-kB, ингибитор липидпероксидазы, ингибитор N-ацетилированной- -кислотносвязанной дипептидазы, инсулиноподобный фактор роста-I, тромбоцитарный фактор роста, аналог тромбоцитарного фактора роста, эпидермальный фактор роста, фактор роста нервов, производное карнитина, уридин, 5-гидрокси-1-метилгидантоин, EGB-761, бимокломол, сулодексид, Y-128, антидиарейные средства, слабительные средства, ингибитор гидроксиметилглутарилкофермент-А-редуктазы, фибрат, агонист 3-адренорецептора, ингибитор ацилкофермент-А-холестерин-ацилтрансферазы, пробкол, агонист рецептора тироидного гормона, ингибитор поглощения холестерина, ингибитор липазы, ингибитор белка-переносчика микросомального триглицерида, ингибитор липоксигеназы, ингибитор карнитинпальмитоил-трансферазы, ингибитор скваленсинтазы, стимулятор рецептора липопротеина низкой плотности, производное никотиновой кислоты, поглотитель желчных кислот, ингибитор со-переносчика натрий/желчные кислоты, ингибитор белка-переносчика сложного эфира холестерина, средство для уменьшения аппетита, ингибитор ангиотензин-конвертирующего фермента, ингибитор нейтральной эндопептидазы, антагонист рецептора ангиотензина II, ингибитор эндотелин-конвертирующего фермента, антагонист рецептора эндотелина, диуретическое средство, антагонист кальция, сосудорасширяющее антигипертензивное средство, симпатическое блокирующее средство, антигипертензивное средство центрального действия, агонист 2-адренорецептора, антитромбоцитарное средство, ингибитор синтеза мочевой кислоты, урикозурическое средство и средство для ощелачивания мочи;
[29] способ ингибирования у субъекта развития нарушенной толерантности к глюкозе в диабет, описанный в приведенном выше пункте [19], который включает введение в комбинации, по меньшей мере, с одним компонентом, выбранным из группы, включающей средство, повышающее чувствительность к инсулину, ингибитор поглощения глюкозы, бигуанид, средство, повышающее секрецию инсулина, ингибитор SGLT2, инсулин или аналог инсулина, антагонист рецептора глюкагона, стимулятор киназы инсулинового рецептора, ингибитор трипептидилпептидазы II, ингибитор дипептидилпептидазы IV, ингибитор протеинтирозинфосфатазы-1 В, ингибитор гликогенфосфорилазы, ингибитор глюкоза-6-фосфатазы, ингибитор фруктозобисфосфатазы, ингибитор пируватдегидрогеназы, ингибитор печеночного глюконеогенеза, D-хироинзитол, ингибитор гликоген-синтаза-киназы-3, глюкагон-подобный пептид-1, аналог глюкагон-подобного пептида-1, агонист глюкагон-подобного пептида-1, амилин, аналог амилина, агонист амилина, ингибитор альдозоредуктазы, ингибитор образования конечных продуктов повышенного гликолиза, ингибитор протеинкиназы С, антагонист рецептора -аминомасляной кислоты, антагонист натриевого канала, ингибитор транскрипт-фактора NF-kB, ингибитор липидпероксидазы, ингибитор N-ацетилированной- -кислотносвязанной дипептидазы, инсулиноподобный фактор роста-I, тромбоцитарный фактор роста, аналог тромбоцитарного фактора роста, эпидермальный фактор роста, фактор роста нервов, производное карнитина, уридин, 5-гидрокси-1-метилгидантоин, EGB-761, бимокломол, сулодексид, Y-128, антидиарейные средства, слабительные средства, ингибитор гидроксиметилглутарилкофермент-А-редуктазы, фибрат, агонист 3-адренорецептора, ингибитор ацилкофермент-А-холестерин-ацилтрансферазы, пробкол, агонист рецептора тироидного гормона, ингибитор поглощения холестерина, ингибитор липазы, ингибитор белка-переносчика микросомального триглицерида, ингибитор липоксигеназы, ингибитор карнитинпальмитоил-трансферазы, ингибитор скваленсинтазы, стимулятор рецептора липопротеина низкой плотности, производное никотиновой кислоты, поглотитель желчных кислот, ингибитор со-переносчика натрий/желчные кислоты, ингибитор белка-переносчика сложного эфира холестерина, средство для уменьшения аппетита, ингибитор ангиотензин-конвертирующего фермента, ингибитор нейтральной эндопептидазы, антагонист рецептора ангиотензина II, ингибитор эндотелин-конвертирующего фермента, антагонист рецептора эндотелина, диуретическое средство, антагонист кальция, сосудорасширяющее антигипертензивное средство, симпатическое блокирующее средство, антигипертензивное средство центрального действия, агонист 2-адренорецептора, антитромбоцитарное средство, ингибитор синтеза мочевой кислоты, урикозурическое средство и средство для ощелачивания мочи;
[30] применение (А) конденсированного гетероциклического производного, описанного в любом из приведенных выше пунктов от [1] до [7], или его фармацевтически приемлемой соли или его пролекарства и (В) по меньшей мере, одного компонента, выбранного из группы, включающей средство, повышающее чувствительность к инсулину, ингибитор поглощения глюкозы, бигуанид, средство, повышающее секрецию инсулина, ингибитор SGLT2, инсулин или аналог инсулина, антагонист рецептора глюкагона, стимулятор киназы инсулинового рецептора, ингибитор трипептидилпептидазы II, ингибитор дипептидилпептидазы IV, ингибитор протеинтирозинфосфатазы-1 В, ингибитор гликогенфосфорилазы, ингибитор глюкоза-6-фосфатазы, ингибитор фруктозобисфосфатазы, ингибитор пируватдегидрогеназы, ингибитор печеночного глюконеогенеза, D-хироинзитол, ингибитор гликоген-синтаза-киназы-3, глюкагон-подобный пептид-1, аналог глюкагон-подобного пептида-1, агонист глюкагон-подобного пептида-1, амилин, аналог амилина, агонист амилина, ингибитор альдозоредуктазы, ингибитор образования конечных продуктов повышенного гликолиза, ингибитор протеинкиназы С, антагонист рецептора -аминомасляной кислоты, антагонист натриевого канала, ингибитор транскрипт-фактора NF-kB, ингибитор липидпероксидазы, ингибитор N-ацетилированной- -кислотносвязанной дипептидазы, инсулиноподобный фактор роста-I, тромбоцитарный фактор роста, аналог тромбоцитарного фактора роста, эпидермальный фактор роста, фактор роста нервов, производное карнитина, уридин, 5-гидрокси-1-метилгидантоин, EGB-761, бимокломол, сулодексид, Y-128, антидиарейные средства, слабительные средства, ингибитор гидроксиметилглутарилкофермент-А-редуктазы, фибрат, агонист 3-адренорецептора, ингибитор ацилкофермент-А-холестерин-ацилтрансферазы, пробкол, агонист рецептора тироидного гормона, ингибитор поглощения холестерина, ингибитор липазы, ингибитор белка-переносчика микросомального триглицерида, ингибитор липоксигеназы, ингибитор карнитинпальмитоил-трансферазы, ингибитор скваленсинтазы, стимулятор рецептора липопротеина низкой плотности, производное никотиновой кислоты, поглотитель желчных кислот, ингибитор со-переносчика натрий/желчные кислоты, ингибитор белка-переносчика сложного эфира холестерина, средство для уменьшения аппетита, ингибитор ангиотензин-конвертирующего фермента, ингибитор нейтральной эндопептидазы, антагонист рецептора ангиотензина II, ингибитор эндотелин-конвертирующего фермента, антагонист рецептора эндотелина, диуретическое средство, антагонист кальция, сосудорасширяющее антигипертензивное средство, симпатическое блокирующее средство, антигипертензивное средство центрального действия, агонист 2-адренорецептора, антитромбоцитарное средство, ингибитор синтеза мочевой кислоты, урикозурическое средство и средство для ощелачивания мочи, для получения фармацевтической композиции для ингибирования гипергликемии, возникающей после приема пищи;
[31] применение (А) конденсированного гетероциклического производного, описанного в любом из приведенных выше пунктов от [1] до [7], или его фармацевтически приемлемой соли или его пролекарства и (В) по меньшей мере одного компонента, выбранного из группы, включающей средство, повышающее чувствительность к инсулину, ингибитор поглощения глюкозы, бигуанид, средство, повышающее секрецию инсулина, ингибитор SGLT2, инсулин или аналог инсулина, антагонист рецептора глюкагона, стимулятор киназы инсулинового рецептора, ингибитор трипептидилпептидазы II, ингибитор дипептидилпептидазы IV, ингибитор протеинтирозинфосфатазы-1 В, ингибитор гликогенфосфорилазы, ингибитор глюкоза-6-фосфатазы, ингибитор фруктозобисфосфатазы, ингибитор пируватдегидрогеназы, ингибитор печеночного глюконеогенеза, D-хироинзитол, ингибитор гликоген-синтаза-киназы-3, глюкагон-подобный пептид-1, аналог глюкагон-подобного пептида-1, агонист глюкагон-подобного пептида-1, амилин, аналог амилина, агонист амилина, ингибитор альдозоредуктазы, ингибитор образования конечных продуктов повышенного гликолиза, ингибитор протеинкиназы С, антагонист рецептора -аминомасляной кислоты, антагонист натриевого канала, ингибитор транскрипт-фактора NF-kB, ингибитор липидпероксидазы, ингибитор N-ацетилированной- -кислотносвязанной дипептидазы, инсулиноподобный фактор роста-I, тромбоцитарный фактор роста, аналог тромбоцитарного фактора роста, эпидермальный фактор роста, фактор роста нервов, производное карнитина, уридин, 5-гидрокси-1-метилгидантоин, EGB-761, бимокломол, сулодексид, Y-128, антидиарейные средства, слабительные средства, ингибитор гидроксиметилглутарилкофермент-А-редуктазы, фибрат, агонист 3-адренорецептора, ингибитор ацилкофермент-А-холестерин-ацилтрансферазы, пробкол, агонист рецептора тироидного гормона, ингибитор поглощения холестерина, ингибитор липазы, ингибитор белка-переносчика микросомального триглицерида, ингибитор липоксигеназы, ингибитор карнитинпальмитоил-трансферазы, ингибитор скваленсинтазы, стимулятор рецептора липопротеина низкой плотности, производное никотиновой кислоты, поглотитель желчных кислот, ингибитор со-переносчика натрий/желчные кислоты, ингибитор белка-переносчика сложного эфира холестерина, средство для уменьшения аппетита, ингибитор ангиотензин-конвертирующего фермента, ингибитор нейтральной эндопептидазы, антагонист рецептора ангиотензина II, ингибитор эндотелин-конвертирующего фермента, антагонист рецептора эндотелина, диуретическое средство, антагонист кальция, сосудорасширяющее антигипертензивное средство, симпатическое блокирующее средство, антигипертензивное средство центрального действия, агонист 2-адренорецептора, антитромбоцитарное средство, ингибитор синтеза мочевой кислоты, урикозурическое средство и средство для ощелачивания мочи, для получения фармацевтической композиции для профилактики или лечения заболевания, связанного с гипергликемией;
[32] применение (А) конденсированного гетероциклического производного, описанного в любом из приведенных выше пунктов от [1] до [7], или его фармацевтически приемлемой соли или его пролекарства и (В) по меньшей мере, одного компонента, выбранного из группы, включающей средство, повышающее чувствительность к инсулину, ингибитор поглощения глюкозы, бигуанид, средство, повышающее секрецию инсулина, ингибитор SGLT2, инсулин или аналог инсулина, антагонист рецептора глюкагона, стимулятор киназы инсулинового рецептора, ингибитор трипептидилпептидазы II, ингибитор дипептидилпептидазы IV, ингибитор протеинтирозинфосфатазы-1 В, ингибитор гликогенфосфорилазы, ингибитор глюкоза-6-фосфатазы, ингибитор фруктозобисфосфатазы, ингибитор пируватдегидрогеназы, ингибитор печеночного глюконеогенеза, D-хироинзитол, ингибитор гликоген-синтаза-киназы-3, глюкагон-подобный пептид-1, аналог глюкагон-подобного пептида-1, агонист глюкагон-подобного пептида-1, амилин, аналог амилина, агонист амилина, ингибитор альдозоредуктазы, ингибитор образования конечных продуктов повышенного гликолиза, ингибитор протеинкиназы С, антагонист рецептора -аминомасляной кислоты, антагонист натриевого канала, ингибитор транскрипт-фактора NF-kB, ингибитор липидпероксидазы, ингибитор N-ацетилированной- -кислотносвязанной дипептидазы, инсулиноподобный фактор роста-I, тромбоцитарный фактор роста, аналог тромбоцитарного фактора роста, эпидермальный фактор роста, фактор роста нервов, производное карнитина, уридин, 5-гидрокси-1-метилгидантоин, EGB-761, бимокломол, сулодексид, Y-128, антидиарейные средства, слабительные средства, ингибитор гидроксиметилглутарилкофермент-А-редуктазы, фибрат, агонист 3-адренорецептора, ингибитор ацилкофермент-А-холестерин-ацилтрансферазы, пробкол, агонист рецептора тироидного гормона, ингибитор поглощения холестерина, ингибитор липазы, ингибитор белка-переносчика микросомального триглицерида, ингибитор липоксигеназы, ингибитор карнитинпальмитоил-трансферазы, ингибитор скваленсинтазы, стимулятор рецептора липопротеина низкой плотности, производное никотиновой кислоты, поглотитель желчных кислот, ингибитор со-переносчика натрий/желчные кислоты, ингибитор белка-переносчика сложного эфира холестерина, средство для уменьшения аппетита, ингибитор ангиотензин-конвертирующего фермента, ингибитор нейтральной эндопептидазы, антагонист рецептора ангиотензина II, ингибитор эндотелин-конвертирующего фермента, антагонист рецептора эндотелина, диуретическое средство, антагонист кальция, сосудорасширяющее антигипертензивное средство, симпатическое блокирующее средство, антигипертензивное средство центрального действия, агонист 2-адренорецептора, антитромбоцитарное средство, ингибитор синтеза мочевой кислоты, урикозурическое средство и средство для ощелачивания мочи, для получения фармацевтической композиции для ингибирования у субъекта развития нарушенной толерантности к глюкозе в диабет; и т.д.
В настоящем изобретении определение «С1-6-алкильная группа» означает линейную или разветвленную алкильную группу, содержащую от 1 до 6 атомов углерода, такую как метильная группа, этильная группа, пропильная группа, изопропильная группа, бутильная группа, изобутильная группа, втор-бутильная группа, трет-бутильная группа, пентильная группа, изопентильная группа, неопентильная группа, трет-пентильная группа, гексильная группа или др.; определение «С1-6-алкиленовая группа» или «-С1-6-алкилен-» означает линейную или разветвленную алкиленовую группу, содержащую от 1 до 6 атомов углерода, такую как метиленовая группа, этиленовая группа, триметиленовая группа, тетраметиленовая группа, пропиленовая группа, 1,1-диметиленовая группа или др.; и определение «С1-4-алкиленовая группа» или «-С1-4-алкилен-» означает линейную или разветвленную алкиленовую группу, содержащую от 1 до 4 атомов углерода, такую как метиленовая группа, этиленовая группа, триметиленовая группа, тетраметиленовая группа, пропиленовая группа, 1,1-диметилэтиленовая группа или др. Определение «гидрокси(С1-6-алкильная) группа» означает приведенную выше С1-6-алкильную группу, замещенную гидроксигруппой; определение «дигидрокси(С1-6-алкильная) группа» означает приведенную выше С1-6-алкильную группу, замещенную двумя гидроксигруппой, такую как 2,3-дигидроксипропильная группа, 1,3-дигидрокси-2-пропильная группа или др.; определение «амино(С1-6-алкильная) группа» означает приведенную выше
С1-6-алкильную группу, замещенную аминогруппой, такую как аминометильная группа, 2-аминоэтильная группа или др.; определение «карбамоил(С1-6-алкильная) группа» означает приведенную выше С1-6-алкильную группу, замещенную карбамоильной группой; и определение «карбокси(С1-6-алкильная) группа» означает приведенную выше С1-6-алкильную группу, замещенную карбоксильной группой.
Определение «С1-6-алкоксигруппа» означает линейную или разветвленную алкоксигруппу, содержащую от 1 до 6 атомов углерода, такую как метоксигруппа, этоксигруппа, пропоксигруппа, изопропоксигруппа, бутоксигруппа, изобутоксигруппа, втор-бутоксигруппа, трет-бутоксигруппа, пентилоксигруппа, изопентилоксигруппа, неопентилоксигруппа, трет-пентилоксигруппа, гексилоксигуруппа или др.; определение «гидрокси(С1-6-алкокси)группа» означает приведенную выше С1-6-алкоксигруппу, замещенную гидроксигруппой; определение «карбокси(С1-6-алкокси)группа» означает приведенную выше С1-6-алкоксигруппу, замещенную карбоксигруппой; определение «карбамоил(С1-6-алкокси)группа» означает приведенную выше С1-6-алкоксигруппу, замещенную карбамоильной группой; определение «амино(С1-6-алкокси)группа» означает приведенную выше С1-6-алкоксигруппу, замещенную аминогруппой. Определение «С1-6-алкилтиогруппа» означает линейную или разветвленную алкилтиогруппу, содержащую от 1 до 6 атомов углерода, такую как метилтиогруппа, этилтиогруппа, пропилтиогруппа, изопропилтиогруппа, бутилтиогруппа, изобутилтиогруппа, втор-бутилтиогруппа, трет-бутилтиогруппа, пентилтиогруппа, изопентилтиогруппа, неопентилтиогруппа, трет-пентилтиогруппа, гексилтиогруппа или др.; определение «гидрокси(С1-6-алкилтио)группа» означает приведенную выше С1-6-алкилтиогруппу, замещенную гидроксигруппой; определение «карбокси(С1-6-алкилтио)группа» означает приведенную выше С1-6-алкилтиогруппу, замещенную карбоксильной группой; и определение «амино(С1-6-алкилтио)группа» означает приведенную выше С1-6-алкилтиогруппу, замещенную аминогруппой.
Определение «С2-6-алкенильная группа» означает линейную или разветвленную алкенильную группу, содержащую от 2 до 6 атомов углерода, такую как винильная группа, аллильная группа, 1-пропенильная группа, изопропенильная группа, 1-бутенильная группа, 2-бутенильная группа, 2-метилаллильная группа или др.; определение «С2-6-алкениленовая группа» или «-С2-6-алкенилен-» означает линейную или разветвленную алкениленовую группу, содержащую от 2 до 6 атомов углерода, такую как виниленовая группа, пропениленовая группа или др.; определение «С2-4-алкениленовая группа» означает линейную или разветвленную алкениленовую группу, содержащую от 2 до 4 атомов углерода, такую как виниленовая группа, пропениленовая группа или др.; определение «гидрокси(С2-6-алкенильная) группа» означает приведенную выше С2-6-алкенильную группу, замещенную гидроксигруппой; определение «карбокси(С2-6-алкенильная) группа» означает приведенную выше С2-6-алкенильную группу, замещенную карбоксильной группой; определение «циано(С2-6-алкенильная) группа» означает приведенную выше С2-6-алкенильную группу, замещенную цианогруппой; определение «С2-6-алкенилоксигруппа» означает линейную или разветвленную алкенилоксигруппу, содержащую от 2 до 6 атомов углерода, такую как винилоксигруппа, аллилоксигруппа, 1-пропенилоксигруппа, изопропенилоксигруппа, 1-бутенилоксигруппа, 2-бутенилоксигруппа, 2-метилаллилоксигруппа или др.; определение «С2-6-алкенилтиогруппа» означает линейную или разветвленную алкенилтиогруппу, содержащую от 2 до 6 атомов углерода, такую как винилтиогруппу, аллилтиогруппу, 1-пропенилтиогруппу, изопропенилтиогруппу, 1-бутенилтиогруппу, 2-бутенилтиогруппу, 2-метилаллилтиогруппу или др.; определение «С2-6-алкинильная группа» означает линейную или разветвленную алкинильную группу, содержащую от 2 до 6 атомов углерода, такую как этинильная группа, 2-пропинильная группа или др.; и определение «-С2-4-алкинилен-» означает линейную или разветвленную алкиниленовую группу, содержащую от 2 до 4 атомов углерода, такую как этиниленовая группа, пропиниленовая группа или др.
Определение «моно- или ди(С1-6-алкил)аминогруппа» означает аминогруппу, монозамещенную приведенной выше С1-6-алкильной группой или дизамещенную одинаковыми или разными С1-6-алкильными группами, определенными выше; определение «моно- или ди(С1-6-алкил)амино(С1-6-алкильная) группа» означает приведенную выше С1-6-алкильную группу, замещенную описанной выше моно- или ди(С1-6-алкил)аминогруппой; определение «моно- или ди(С1-6-алкил)амино(С1-6-алкокси)группа» означает приведенную выше С1-6-алкоксигруппу, замещенную описанной выше моно- или ди(С1-6-алкил)аминогруппой; определение «моно- или ди[гидрокси(С1-6-алкил)]аминогруппа» означает аминогруппу, монозамещенную приведенной выше гидрокси(С1-6-алкильной) группой или дизамещенную любой из описанных выше гидрокси(С1-6-алкильных) групп; определение «моно- или ди(С1-6-алкил)уреидогруппа» означает уреидогруппу, монозамещенную описанной выше С1-6-алкильной группой или дизамещенную любой из описанных выше С1-6-алкильных групп; определение «моно- или ди[гидрокси(С1-6-алкил)]уреидогруппа» означает уреидогруппу, монозамещенную приведенной выше гидрокси(С1-6-алкильной) группой или дизамещенную любой из описанных выше гидрокси(С1-6-алкильных) групп; определение «моно- или ди(С1-6-алкил)сульфамидная группа» означает сульфамидную группу, монозамещенную описанной выше С1-6-алкильной группой или дизамещенную любой из описанных выше С1-6-алкильных групп; определение «моно- или ди[гидрокси(С1-6-алкил)]сульфамидная группа» означает сульфамидную группу, монозамещенную приведенной выше гидрокси(С1-6-алкильной) группой или дизамещенную любой из описанных выше гидрокси(С1-6-алкильных) групп; определение «С2-7-ацильная группа» означает линейную или разветвленную ацильную группу, содержащую от 2 до 7 атомов углерода, такую как ацетильная группа, пропионильная группа, бутирильная группа, изобутирильная группа, валерильная группа, пивалоильная группа, гексаноильная группа или др.; определение «С2-7-ациламиногруппа» означает аминогруппу, замещенную описанной выше С2-7-ацильной группой; и определение «амино(С2-7-ациламино)группа» означает описанную выше С2-7-ациламиногруппу, замещенную аминогруппой, такую как 2-аминоацетиламиногруппа, 3-аминопропиониламиногруппа или др. Определение
«С1-6-алкилсульфинильная группа» означает линейную или разветвленную алкилсульфинильную группу, содержащую от 1 до 6 атомов углерода, такую как метилсульфинильная группа, этилсульфинильная группа или др.; определение «С1-6-алкилсульфонильная группа» означает линейную или разветвленную алкилсульфонильную группу, содержащую от 1 до 6 атомов углерода, такую как метансульфонильная группа, этансульфонильная группа или др.; определение «С1-6-алкилсульфониламиногруппа» означает аминогруппу, замещенную приведенной выше С1-6-алкилсульфонильной группой; определение «карбамоил(С1-6-алкилсульфониламино)группа» означает приведенную выше С1-6-алкилсульфониламиногруппу, замещенную карбамоильной группой, такую как карбамоилметансульфониламиногруппа или др.; и определение «С1-6-алкилсульфониламино(С1-6-алкильная) группа означает описанную выше С1-6-алкильную группу, замещенную описанной выше С1-6-алкилсульфониламиногруппой.
Определение «атом галогена» означает атом фтора, атом хлора, атом брома или атом иода; определение «галоген(С1-6-алкильная) группа» означает описанную выше С1-6-алкильную группу, замещенную любыми 1-3 атомами галогена, обозначенными выше; определение «галоген(С1-6-алкокси)группа» означает описанную выше С1-6-алкоксигруппу, замещенную любыми 1-3 атомами галогена, обозначенными выше; определение «галоген(С1-6-алкилтио)группа» означает описанную выше С1-6-алкилтиогруппу, замещенную любыми 1-3 атомами галогена, обозначенными выше. Определение «С2-7-алкоксикарбонильная группа» означает линейную или разветвленную алкоксикарбонильную группу, содержащую от 2 до 7 атомов углерода, такую как метоксикарбонильная группа, этоксикарбонильная группа, пропоксикарбонильная группа, изопропоксикарбонильная группа, бутоксикарбонильная группа, изобутилоксикарбонильная группа, втор-бутоксикарбонильная группа, трет-бутоксикарбонильная группа, пентилоксикарбонильная группа, изопентилоксикарбонильная группа, неопентилоксикарбонильная группа, трет-пентилоксикарбонильная группа, гексилоксикарбонильная группа или др.; определение «С2-7-алкоксикарбонил(С1-6-алкильная) группа» означает описанную выше С1-6-алкильную группу, замещенную приведенной выше С2-7-алкоксикарбонильной группой; определение «С2-7-алкоксикарбонил(С1-6-алкокси)группа» означает описанную выше С1-6-алкоксигруппу, замещенную приведенной выше С2-7-алкоксикарбонильной группой; определение «С2-7-алкоксикарбонил(С1-6-алкилтио)группа» означает описанную выше С1-6-алкилтиогруппу, замещенную приведенной выше С2-7-алкоксикарбонильной группой; и определение «С2-7-алкоксикарбонил(С2-6-алкенильная) группа» означает описанную выше С2-6-алкенильную группу, замещенную приведенной выше С2-7-алкоксикарбонильной группой.
Определение «С3-7-циклоалкильная группа» или «С3-7-циклоалкил-» означает циклопропильную группу, циклобутильную группу, циклопентильную группу, циклогексильную группу или циклогептильную группу; определение «С3-7-циклоалкилоксигруппа» означает гидроксигруппу, замещенную описанной выше С3-7-циклоалкильной группой; определение «С3-7-циклоалкил(С1-6-алкильная) группа» означает приведенную выше С1-6-алкильную группу, замещенную приведенной выше С3-7-циклоалкильной группой; определение «С3-7-циклоалкил(С1-6-алкокси)группа» означает приведенную выше С1-6-алкоксигруппу, замещенную приведенной выше С3-7-циклоалкильной группой; и определение «С3-7-циклоалкил(С1-6-алкилтио)группа» означает приведенную выше
С1-6-алкилтиогруппу, замещенную приведенной выше С3-7-циклоалкильной группой. Определение «гетероциклоалкильная группа» или «гетероциклоалкил-» означает 3-7-членную алифатическую гетероциклическую группу, содержащую в цикле любые 1 или 2 гетероатома, кроме положения связывания, выбранные из атома кислорода, атома серы и атома азота, которые являются производными морфолина, тиоморфолина, тетрагидрофурана, тетрагидропирана, азиридина, азетидина, пирролидина, имидазолидина, оксазолина, пиперидина, пиперазина, пиразолидина, пирролина, имидазолина или др., или 5- или 6-членную алифатическую гетероциклическую группу, конденсированную с 6-членным кольцом, содержащим в цикле любые 1 или 2 гетероатома, кроме положения связывания, выбранные из атома кислорода, атома серы и атома азота, которые являются производными индолина, изоиндолина, тетрагидроиндолина, тетрагидроизоиндолина, гексагидроиндолина, гексагидроизоиндолина или др. Определение «гетероциклоалкил(С1-6-алкильная) группа» означает приведенную выше С1-6-алкильную группу, замещенную приведенной выше гетероциклоалкильной группой; определение
«гетероциклоалкил(С1-6-алкокси)группа» означает приведенную выше С1-6-алкоксигруппу, замещенную приведенной выше гетероциклоалкильной группой; и определение «гетероциклоалкил(С1-6-алкилтио)группа» означает приведенную выше С1-6-алкилтиогруппу, замещенную приведенной выше гетероциклоалкильной группой.
Определение «С6-10-арильная группа» или «С6-10-арил-» означает ароматическую циклическую углеводородную группу, содержащую от 6 до 10 атомов углерода, такую как фенильная группа, нафтильная группа или др.; определение «С6-10-арил(С1-6-алкильная) группа» означает приведенную выше С1-6-алкильную группу, замещенную приведенной выше С6-10-арильной группой; определение «С6-10-арил(С1-6-алкокси)группа» означает приведенную выше С1-6-алкоксигруппу, замещенную приведенной выше С6-10-арильной группой; и определение «С6-10-арил(С1-6-алкилтио)группа» означает приведенную выше С1-6-алкилтиогруппу, замещенную приведенной выше С6-10-арильной группой; определение «С6-10-арилсульфониламиногруппа» означает сульфониламиногруппу, содержащую приведенную выше С6-10-арильную группу, такую как бензолсульфониламиногруппа или др.; определение «С6-10-арил(С2-7-алкоксикарбонильная) группа» означает приведенную выше С2-7-алкоксикарбонильную группу, замещенную приведенной выше С6-10-арильной группой; и определение «гетероарильная группа» или «гетероарил-» означает 5- или 6-членную ароматическую гетероциклическую группу, содержащую в кольце любые 1-4 гетероатома, кроме положения связывания, выбранные из атома кислорода, атома серы и атома азота, которые являются производными тиазола, оксазола, изотиазола, изооксазола, пиридина, пиримидина, пиразина, пиридазина, пиррола, тиофена, имидазола, пиразола, оксадиазола, тиодиазола, тетразола, фуразана или др., или 5- или 6-членную ароматическую гетероциклическую группу, конденсированную с 6-членным ароматическим циклом, содержащую в цикле любые 1-4 гетероатома, кроме положения связывания, выбранные из атома кислорода, атома серы и атома азота, которые являются производными индола, изоиндола, бензофурана, изобензофурана, бензотиофена, бензоксазола, бензотиазола, индазола, бензоимидазола, хинолина, изохинолина, фталазина, хиноксалина, хиназолина, циннолина, индолизина, нафтиридина, птеридина или др. Определение «гетероарил(С1-6-алкильная) группа» означает приведенную выше С1-6-алкильную группу, замещенную приведенной выше гетероарильной группой; определение «гетероарил(С1-6-алкокси)группа» означает приведенную выше С1-6-алкоксигруппу, замещенную приведенной выше гетероарильной группой; и определение «гетероарил(С1-6-алкилтио)группа» означает приведенную выше С1-6-алкилтиогруппу, замещенную приведенной выше гетероарильной группой.
Определение «алифатическая циклическая аминогруппа» означает 5- или 6-членную алифатическую циклическую аминогруппу, которая может содержать в цикле один гетероатом, кроме атома азота в положении связывания, выбранный из атома кислорода, атома серы и атома азота, такую как морфолиногруппа, тиоморфолиногруппа, 1-азиридинильная группа, 1-азетидинильная группа, 1-пирролидинильная группа, пиперидиногруппа, 1-имидазолидинильная группа, 1-пиперазинильная группа, пиразолидинильная группа или др.; определение «ароматическая циклическая аминогруппа» означает 5-членную ароматическую циклическую аминогруппу, которая может содержать 1-3 атома азота в цикле, кроме атома азота в положении связывания, такую как 1-имидазолильная группа, 1-пирролильная группа, пиразолильная группа, 1-тетразолильная группа или др.; определение «ароматическая циклическая амино(С1-6-алкильная) группа» означает приведенную выше С1-6-алкильную группу, замещенную приведенной выше ароматической циклической аминогруппой; определение «ароматическая циклическая амино(С1-6-алкокси)группа» означает приведенную выше С1-6-алкоксигруппу, замещенную приведенной выше ароматической циклической аминогруппой; и определение «ароматическая циклическая амино(С1-6-алкилтио)группа» означает приведенную выше С1-6-алкилтиогруппу, замещенную приведенной выше ароматической циклической аминогруппой.
Определение «защитная группа для гидроксигруппы» означает защитную группу для гидроксигруппы, используемую в обычных органических синтезах, такую как метильная группа, бензильная группа, метоксиметильная группа, ацетильная группа, пивалоильная группа, бензоильная группа, трет-бутилдиметилсилильная группа, трет-бутилдифенилсилильная группа, аллильная группа или др.; определение «защитная группа для аминогруппы» означает защитную группу для аминогруппы, используемую в обычных органических синтезах, такую как бензилоксикарбонильная группа, трет-бутоксикарбонильная группа, бензильная группа, ацетильная группа, трифторацетильная группа или др.; и определение «защитная группа для карбоксильной группы» означает защитную группу для карбоксильной группы, используемую в обычных органических синтезах, такую как метильная группа, этильная группа, бензильная группа, трет-бутилдиметилсилильная группа, аллильная группа или др. Кроме того, в заместителе Q левосторонняя связь означает связь с азотсодержащим конденсированным кольцом и правосторонняя связь означает связь с циклом А.
Соединения настоящего изобретения, представленные приведенной выше общей формулой (I), могут быть получены в соответствии с приведенными ниже методиками или по аналогичным методикам, или по другим методикам, описанным в литературе или аналогичным им.

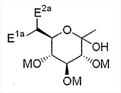
В формуле E1a представляет собой атом водорода, атом фтора или бензилоксигруппу; E2a представляет собой атом водорода, атом фтора, метильную группу или бензилоксиметильную группу; L1 представляет собой атом водорода, атом хлора, атом брома или атом иода; M представляет собой бензильную группу; G1 представляет собой группу формулы:

или формулу:

где М, E1a и E2a имеют те же значения, что описаны выше; G2 представляет собой заместитель G с гидроксильной группой, защищенной бензильной группой; R1-R4, A,
A2 и G имеют те же значения, что описаны выше, при условии, что в случае, когда в каждом соединении присутствуют гидроксильная группа, аминогруппа и/или карбоксильная группа, соответствующим образом может быть использовано соединение, имеющее защитную группу.
Способ 1
Соединение, представленное приведенной выше общей формулой (III), может быть получено путем введения соединения, представленного приведенной выше формулой (II), в реакцию литиирования с использованием агента для литиирования, такого как н-бутиллитий, втор-бутиллитий, трет-бутиллитий, диизопропиламид лития или др., в инертном растворителе. В качестве используемого растворителя можно назвать, например, тетрагидрофуран, диэтиловый эфир, смешанный растворитель и др. Температура реакции обычно составляет от -100°С до комнатной температуры, а время реакции обычно составляет от 1 минуты до 3 часов в зависимости от используемого исходного материала, растворителя и температуры реакции.
Способ 2
Соединение, представленное приведенной выше общей формулой (IV), может быть получено путем введения соединения, представленного приведенной выше общей формулой (III), в реакцию конденсации с лактоном сахара, представленным приведенной выше общей формулой (Ga) или (Gb), в инертном растворителе. В качестве используемого растворителя можно назвать, например, тетрагидрофуран, диэтиловый эфир, смешанный растворитель и др. Температура реакции обычно составляет от -100°С до комнатной температуры, а время реакции обычно составляет от 5 минут до 5 часов в зависимости от используемого исходного материала, растворителя и температуры реакции.
Способ 3
Соединение, представленное приведенной выше общей формулой (V), может быть получено путем введения соединения, представленного приведенной выше общей формулой (IV), в реакцию восстановления для удаления гидроксигруппы в аномерном положении с использованием такого реагента, как триэтилсилан, триизопропилсилан или др., в присутствии комплекса трифторэфирата бора в инертном растворителе. В качестве используемого растворителя можно назвать, например, ацетонитрил, дихлорметан, 1,2-дихлорэтан, смешанный растворитель и др. Температура реакции обычно составляет от -20°С до комнатной температуры, а время реакции обычно составляет от 30 минут до 1 дня в зависимости от используемого исходного материала, растворителя и температуры реакции.
Способ 4
Соединение настоящего изобретения, представленное приведенной выше общей формулой (I), может быть получено путем введения соединения, представленного приведенной выше общей формулой (V): 1) в реакцию каталитического гидрирования с использованием палладиевого катализатора, такого как порошок палладия на угле или др., в инертном растворителе, или 2) обработкой с использованием такого реагента, как этантиол, в присутствии кислоты, такой как комплекс трифторэфирата бора, для удаления бензильной группы в инертном растворителе. В качестве растворителя, используемого при каталитическом гидрировании, можно назвать, например, метанол, этанол, этилацетат, тетрагидрофуран, уксусную кислоту, смешанный растворитель и др. Температура реакции обычно составляет от 0°С до температуры кипения с обратным холодильником, а время реакции обычно составляет от 1 часа до 2 дней в зависимости от используемого исходного материала, растворителя и температуры реакции. В качестве растворителя, используемого при кислотной обработке, можно назвать, например, дихлорметан, 1,2-дихлорэтан, ацетонитрил, смешанный растворитель и др. Температура реакции обычно составляет от 0°С до температуры кипения с обратным холодильником, а время реакции обычно составляет от 30 минут до 1 дня в зависимости от используемого исходного материала, растворителя и температуры реакции.
Исходные материалы, используемые в приведенных выше способах производства, могут быть получены по описанным в литературе методикам или по аналогичным методикам. Кроме того, соединения, представленные приведенной выше общей формулой (II), соединение, представленное приведенной ниже общей формулой (IIa), (IIb) или (IIc), также могут быть получены в соответствии со следующими способами 5-9.

В формуле один из заместителей L2 и L3 представляет собой атом водорода, атом хлора, атом брома или атом иода; и другие заместители представляют собой атом водорода, атом галогена, С1-6-алкильную группу, галоген(С1-6-алкильную) группу, гидрокси(С1-6-алкильную) группу, дигидрокси(С1-6-алкильную) группу, С1-6-алкоксигруппу, С2-7-алкоксикарбонил(С1-6-алкильную) группу, карбокси(С1-6-алкильную) группу, С3-7-циклоалкильную группу или С3-7-циклоалкил(С1-6-алкильную) группу; L4 представляет собой -Р(=О)(OR0)2 или P+(PPh3)3X–; R0 представляет собой С1-6-алкильную группу; Ph представляет собой фенильную группу; Х представляет собой атом хлора, атом брома или атом иода; один из заместителей R10 и R11 представляет собой группу, представленную общей формулой:

и другие заместители представляют собой атом водорода, атом галогена, С1-6-алкильную группу, галоген(С1-6-алкильную) группу, гидрокси(С1-6-алкильную) группу, дигидрокси(С1-6-алкильную) группу, С1-6-алкоксигруппу, С2-7-алкоксикарбонил(С1-6-алкильную) группу, карбокси(С1-6-алкильную) группу,
С3-7-циклоалкильную группу или С3-7-циклоалкил(С1-6-алкильную) группу; один из заместителей R12 и R13 представляет собой группу, представленную общей формулой:

и другие заместители представляют собой атом водорода, атом галогена, С1-6-алкильную группу, галоген(С1-6-алкильную) группу, гидрокси(С1-6-алкильную) группу, дигидрокси(С1-6-алкильную) группу, С1-6-алкоксигруппу, С2-7-алкоксикарбонил(С1-6-алкильную) группу, карбокси(С1-6-алкильную) группу,
С3-7-циклоалкильную группу или С3-7-циклоалкил(С1-6-алкильную) группу; один из заместителей R14 и R15 представляет собой формильную группу, а другие заместители представляют собой атом водорода, атом галогена, С1-6-алкильную группу,
галоген(С1-6-алкильную) группу, гидрокси(С1-6-алкильную) группу, дигидрокси(С1-6-алкильную) группу, С1-6-алкоксигруппу, С2-7-алкоксикарбонил(С1-6-алкильную) группу, карбокси(С1-6-алкильную) группу,
С3-7-циклоалкильную группу или С3-7-циклоалкил(С1-6-алкильную) группу; один из заместителей R16 и R17 представляет собой группу, представленную общей формулой:

и другие заместители представляют собой атом водорода, атом галогена, С1-6-алкильную группу, галоген(С1-6-алкильную) группу, гидрокси(С1-6-алкильную) группу, дигидрокси(С1-6-алкильную) группу, С1-6-алкоксигруппу, С2-7-алкоксикарбонил(С1-6-алкильную) группу, карбокси(С1-6-алкильную) группу,
С3-7-циклоалкильную группу или С3-7-циклоалкил(С1-6-алкильную) группу; Q1 представляет собой винильную группу или этинильную группу; Q2 представляет собой простую связь, -C1-4-алкилен-, -С2-4-алкенилен-, -С2-4-алкинилен-, -С1-4-алкилен-О-,
-С1-4-алкилен-S-, -С1-4-алкилен-О-С1-6-алкилен- или -С1-4-алкилен-S-С1-6-алкилен-; Q3 представляет собой виниленовую группу или этиниленовую группу; и R2, R3, R5, R6, А1, А2 и цикл А имеют те же значения, которые определены выше.
Способ 5
Соединение, представленное приведенной выше общей формулой (IIa), может быть получено путем введения соединения, представленного приведенной выше общей формулой (VI), в реакцию Хека или реакцию Соногашира с соединением, представленным приведенной выше общей формулой (VII), с использованием палладиевого катализатора, такого как порошок палладия на угле, ацетат палладия, тетракис(трифенилфосфин)палладий, дибензилиденацетонпалладий, дихлорид бис(трифенилфосфин)палладия или др., в присутствии или в отсутствие лиганда, такого как трис(2-метилфенил)фосфин, трифенилфосфин или др., в присутствии основания, такого как триэтиламин, N,N-диизопропилэтиламин, трет-бутоксид натрия, трет-бутоксид калия, карбонат натрия, карбонат калия, фторид цезия или др., и в присутствии или в отсутствие иодида меди(I) в инертном растворителе. В качестве используемого растворителя можно назвать, например, ацетонитрил, толуол, тетрагидрофуран, триэтиламин, N,N-диизопропилэтиламин, смешанный растворитель и др. Температура реакции обычно составляет от комнатной температуры до температуры кипения с обратным холодильником, а время реакции обычно составляет от 1 часа до 1 дня в зависимости от используемого исходного материала, растворителя и температуры реакции.
Способ 6
Соединение, представленное приведенной выше общей формулой (IIb), может быть получено путем введения соединения, представленного приведенной выше общей формулой (IIa), 1) в реакцию каталитического гидрирования с использованием палладиевого катализатора, такого как порошок палладия на угле, в инертном растворителе, или 2) восстановлением диимидом в присутствии или в отсутствие основания, такого как триэтиламин, N,N-диизопропилэтиламин или др., с использованием такого реагента, как 2,4,6-триизопропилбензолсульфонилгидразид или др., в инертном растворителе. В качестве растворителя, используемого при каталитическом гидрировании, можно назвать, например, метанол, этанол, этилацетат, тетрагидрофуран, уксусную кислоту, смешанный растворитель и др. Температура реакции обычно составляет от 0°С до температуры кипения с обратным холодильником, а время реакции обычно составляет от 1 часа до 2 дней в зависимости от используемого исходного материала, растворителя и температуры реакции. В качестве растворителя, используемого при восстановлении диимидом, можно назвать, например, тетрагидрофуран, диэтиловый эфир, смешанный растворитель и др. Температура реакции обычно составляет от комнатной температуры до температуры кипения с обратным холодильником, а время реакции обычно составляет от 1 часа до 3 дней в зависимости от используемого исходного материала, растворителя и температуры реакции.
Способ 7
Соединение, представленное приведенной выше общей формулой (VIII), может быть получено путем введения соединения, представленного приведенной выше общей формулой (VI): 1) в реакцию литиирования в присутствии или в отсутствии вспомогательного вещества, такого как N,N,N’,N’-тетраметилэтилендиамин, гексаметилфосфорамид или др., с использованием основания, такого как н-бутиллитий, втор-бутиллитий, трет-бутиллитий или др., в инертном растворителе, или получением реактива Гриньяра в присутствии вспомогательного вещества, такого как иод, 1,2-диброэтан или др., с использованием магния в инертном растворителе, и затем 2) формилированием с использованием N,N-диметилформамида. В качестве используемого растворителя можно назвать, например, тетрагидрофуран, диэтиловый эфир, смешанный растворитель и др. Температура реакции обычно составляет от -100°С до температуры кипения с обратным холодильником в реакции 1) и обычно от -100°С до комнатной температуры в реакции 2), а время реакции обычно составляет от 1 минуты до 1 часа в реакции 1) и обычно от 30 минут до 1 дня в реакции 2) в зависимости от используемого исходного материала, растворителя и температуры реакции.
Способ 8
Соединение, представленное приведенной выше общей формулой (IIc), может быть получено путем введения соединения, представленного приведенной выше общей формулой (VIII), в реакцию Виттига или в реакцию Хорнера-Эммонса в присутствии основания, такого гидрид натрия, гидроксид натрия, трет-бутоксид калия, н-бутиллитий, трет-бутилтилий или др., с использованием соединения, представленного приведенной выше общей формулой (IX), в инертном растворителе. В качестве растворителя, используемого в реакции, можно назвать, например, тетрагидрофуран, N,N-диметилформамид, диметилсульфоксид, метанол, этанол, ацетонитрил, воду, смешанный растворитель и др. Температура реакции обычно составляет от 0°С до температуры кипения с обратным холодильником, а время реакции обычно составляет от 30 минут до 1 дня в зависимости от используемого исходного материала, растворителя и температуры реакции.
Способ 9
Соединение, представленное приведенной выше общей формулой (IIb), может быть получено путем введения соединения, представленного приведенной выше общей формулой (IIc): 1) в реакцию каталитического гидрирования с использованием палладиевого катализатора, такого как порошок палладия на угле или др., в инертном растворителе, или 2) восстановлением диимидом в присутствии или в отсутствие основания, такого как триэтиламин, N,N-диизопропилэтиламин или др., с использованием такого реагента, как 2,4,6-триизопропилбензолсульфонилгидразид или др., в инертном растворителе. В качестве растворителя, используемого при каталитическом гидрировании, можно назвать, например, метанол, этанол, этилацетат, тетрагидрофуран, уксусную кислоту, смешанный растворитель и др. Температура реакции обычно составляет от 0°С до температуры кипения с обратным холодильником, а время реакции обычно составляет от 1 часа до 2 дней в зависимости от используемого исходного материала, растворителя и температуры реакции. В качестве растворителя, используемого при восстановлении диимидом, можно назвать, например, тетрагидрофуран, диэтиловый эфир, смешанный растворитель и др. Температура реакции обычно составляет от комнатной температуры до температуры кипения с обратным холодильником, а время реакции обычно составляет от 1 часа до 3 дней в зависимости от используемого исходного материала, растворителя и температуры реакции.
Из соединений, представленных приведенной выше общей формулой (II), соединение, где А1 представляет собой атом серы; А2 представляет собой атом углерода; и L1 представляет собой атом водорода, также может быть получено в соответствии со следующими способами 10-11 или 12-15.

В формуле L5 представляет собой атом хлора, атом брома или атом иода; R представляет собой метильную группу или этильную группу, или оба заместителя R, связанные вместе, образуют этиленовую или триметиленовую группу; R18 представляет собой метильную группу или этильную группу; и R1-R4 имеют те же значения, которые определены выше.
Способ 10
Соединение, представленное приведенной выше общей формулой (XII), может быть получено путем введения соединения, представленного приведенной выше общей формулой (Х), в реакцию S-алкилирования в присутствии основания, такого как карбонат калия, карбонат цезия, триэтиламин, N,N-диизопропилэтиламин или др., с использованием соединения, представленного приведенной выше общей формулой (XI), в инертном растворителе. В качестве используемого растворителя можно назвать, например, N,N-диметилформамид, ацетон, дихлорметан, смешанный растворитель и др. Температура реакции обычно составляет от 0°С до температуры кипения с обратным холодильником, а время реакции обычно составляет от 30 минут до 1 дня в зависимости от используемого исходного материала, растворителя и температуры реакции.
Способ 11
Производное бензотиофена, представленное приведенной выше общей формулой (IId), может быть получено путем введения соединения, представленного приведенной выше общей формулой (XII), в реакцию циклизации в присутствии полифосфорной кислоты в инертном растворителе. В качестве используемого растворителя можно назвать, например, бензол, хлорбензол, толуол и др. Температура реакции обычно составляет от комнатной температуры до температуры кипения с обратным холодильником, а время реакции обычно составляет от 1 часа до 1 дня в зависимости от используемого исходного материала, растворителя и температуры реакции.
Способ 12
Соединение, представленное приведенной выше общей формулой (XIV), может быть получено путем введения соединения, представленного приведенной выше общей формулой (XIII): 1) в реакцию литиирования в присутствии или в отсутствие вспомогательного вещества, такого как N,N,N’,N’-тетраметилэтилендиамин, гексаметилфосфорамид или др., с использованием основания, такого как н-бутиллитий, втор-бутиллитий, трет-бутиллитий, диизопропиламид лития или др., в инертном растворителе, и затем 2) формилированием с использованием N,N-диметилформамида. В качестве используемого растворителя можно назвать, например, тетрагидрофуран, диэтиловый эфир, смешанный растворитель и др. Температура реакции обычно составляет от -100°С до 0°С в реакции 1) и обычно от -100°С до комнатной температуры в реакции 2); время реакции обычно составляет от 30 минут до 5 часов в реакции 1) и обычно от 30 минут до 1 дня в реакции 2) в зависимости от используемого исходного материала, растворителя и температуры реакции.
Способ 13
Производное бензотиофена, представленное приведенной выше общей формулой (XVI), может быть получено путем введения соединения, представленного приведенной выше общей формулой (XIV), в реакцию циклизации в присутствии основания, такого как триэтиламин, N,N-диизопропилэтиламин, карбонат калия, карбонат цезия, трет-бутоксид калия, гидрид натрия или др., с использованием эфира меркаптоуксусной кислоты, представленного приведенной выше общей формулой (XV), в инертном растворителе. В качестве используемого растворителя можно назвать, например, N,N-диметилформамид, диметилсульфоксид, тетрагидрофуран, метанол, этанол, н-бутанол и др. Температура реакции обычно составляет от комнатной температуры до температуры кипения с обратным холодильником, а время реакции обычно составляет от 1 часа до 1 дня в зависимости от используемого исходного материала, растворителя и температуры реакции.
Способ 14
Производное карбоновой кислоты, представленное приведенной выше общей формулой (XVII), может быть получено путем введения соединения, представленного приведенной выше общей формулой (XVI), в реакцию гидролиза в присутствии основания, такого как гидроксид натрия, гидроксид калия или др. В качестве используемого растворителя можно назвать, например, метанол, этанол, 2-пропанол, тетрагидрофуран, воду, смешанный растворитель и др. Температура реакции обычно составляет от комнатной температуры до температуры кипения с обратным холодильником, а время реакции обычно составляет от 1 часа до 1 дня в зависимости от используемого исходного материала, растворителя и температуры реакции.
Способ 15
Соединение, представленное приведенной выше общей формулой (IId), может быть получено путем введения соединения, представленного приведенной выше общей формулой (XVII), в реакцию декарбоксилирования с использованием катализатора, такого как порошок меди или др., в инертном растворителе. В качестве используемого растворителя можно назвать, например, хинолин и др. Температура реакции обычно составляет от 100°С до температуры кипения с обратным холодильником, а время реакции обычно составляет от 30 минут до 1 дня в зависимости от используемого исходного материала, растворителя и температуры реакции.
Из соединений, представленных приведенной выше общей формулой (II), соединения, где L1 представляет собой атом водорода; один из заместителей R1 и R4 представляет собой атом хлора, атом брома или атом иода, а другой представляет собой атом водорода, атом галогена, С1-6-алкильную группу, галоген(С1-6-алкильную) группу, гидрокси(С1-6-алкильную) группу, дигидрокси(С1-6-алкильную) группу, С1-6-алкоксигруппу, С2-7-алкоксикарбонил(С1-6-алкильную) группу, карбокси(С1-6-алкильную) группу,
С3-7-циклоалкильную группу или С3-7-циклоалкил(С1-6-алкильную) группу; и R9 представляет собой С1-6-алкильную группу; также может быть получено в соответствии с приведенными ниже способами 16-18.

В формуле один из заместителей L4 и L5 представляет собой атом хлора, атом брома или атом иода, а другой представляет собой атом водорода, атом галогена, С1-6-алкильную группу, галоген(С1-6-алкильную) группу, гидрокси(С1-6-алкильную) группу, дигидрокси(С1-6-алкильную) группу, С1-6-алкоксигруппу, С2-7-алкоксикарбонил(С1-6-алкильную) группу, карбокси(С1-6-алкильную) группу,
С3-7-циклоалкильную группу или С3-7-циклоалкил(С1-6-алкильную) группу; один из заместителей L6 и L7 представляет собой MgCl, MgBr или MgI, а другой представляет собой атом водорода, атом галогена, С1-6-алкильную группу, галоген(С1-6-алкильную) группу, гидрокси(С1-6-алкильную) группу, дигидрокси(С1-6-алкильную) группу, С1-6-алкоксигруппу, С2-7-алкоксикарбонил(С1-6-алкильную) группу, карбокси(С1-6-алкильную) группу,
С3-7-циклоалкильную группу или С3-7-циклоалкил(С1-6-алкильную) группу; Q4 представляет собой простую связь, -С1-5-алкилен-, -С2-5-алкенилен-, -С2-5-алкинилен-, -С1-5-алкилен-О-, -С1-5-алкилен-S-, -С1-5-алкилен-О-C1-6-алкилен-,
-С1-5-алкилен-S-C1-6-алкилен- или -С1-5-алкилен-CON(R6)-; один из заместителей R18 и R19 представляет собой группу, представленную общей формулой:

а другой представляет собой атом водорода, атом галогена, С1-6-алкильную группу, галоген(С1-6-алкильную) группу, гидрокси-(С1-6-алкильную) группу, дигидрокси(С1-6-алкильную) группу, С1-6-алкоксигруппу, С2-7-алкоксикарбонил(С1-6-алкильную) группу, карбокси(С1-6-алкильную) группу,
С3-7-циклоалкильную группу или С3-7-циклоалкил(С1-6-алкильную) группу; один из заместителей R20 и R21 представляет собой группу, представленную формулой:

а другой представляет собой атом водорода, атом галогена, С1-6-алкильную группу, галоген(С1-6-алкильную) группу, гидрокси-(С1-6-алкильную) группу, дигидрокси(С1-6-алкильную) группу, С1-6-алкоксигруппу, С2-7-алкоксикарбонил(С1-6-алкильную) группу, карбокси(С1-6-алкильную) группу,
С3-7-циклоалкильную группу или С3-7-циклоалкил(С1-6-алкильную) группу; и циклы А, А1, А2, R2, R3, R5, R6 и R8 имеют те же значения, которые определены выше.
Способ 16
Реактив Гриньяра, представленный приведенной выше общей формулой (XIX), может быть получен путем введения соединения, представленного приведенной выше общей формулой (XVIII), в реакцию с металлическим магнием в присутствии активирующего агента, такого как каталитическое количество иода или др., в инертном растворителе. В качестве используемого растворителя можно назвать, например, диэтиловый эфир, тетрагидрофуран, смешанный растворитель и др. Температура реакции обычно составляет от 0°С до температуры кипения с обратным холодильником, а время реакции обычно составляет от 30 минут до 1 дня в зависимости от используемого исходного материала, растворителя и температуры реакции.
Способ 17
Производное спирта, представленное приведенной выше общей формулой (XX), может быть получено путем введения соединения, представленного приведенной выше общей формулой (XXI), в реакцию с реактивом Гриньяра, представленным приведенной выше общей формулой (XIX), в инертном растворителе. В качестве используемого растворителя можно назвать, например, диэтиловый эфир, тетрагидрофуран и др. Температура реакции обычно составляет от -20°С до температуры кипения с обратным холодильником, а время реакции обычно составляет от 30 минут до 1 дня в зависимости от используемого исходного материала, растворителя и температуры реакции.
Способ 18
Производное бензотиофена, представленное приведенной выше общей формулой (IIe), может быть получено путем введения производного спирта, представленного приведенной выше общей формулой (XX), в реакцию восстановления в присутствии иодтриметилсилана в инертном растворителе. В качестве используемого растворителя можно назвать, например, ацетонитрил и др. Температура реакции обычно составляет от -20°С до температуры кипения с обратным холодильником, а время реакции обычно составляет от 15 минут до 1 дня в зависимости от используемого исходного материала, растворителя и температуры реакции.
Из соединений, представленных приведенной выше общей формулой (II), соединение представленное следующей общей формулой (IIf), также может быть получено в соответствии с приведенным ниже способом 19.

В формуле один из заместителей R22 и R23 представляет собой группу, представленную общей формулой:

где Q5 представляет собой -С1-6-алкилен-; Q6 представляет собой атом кислорода, атом серы, -О-С1-6-алкил- или -S-С1-6-алкил-; R5, R6 и цикл А имеют те же значения, которые определены выше, а другие представляют собой атом водорода гидроксигруппу, аминогруппу, атом галогена, С1-6-алкильную группу, С1-6-алкоксигруппу, цианогруппу, карбоксильную группу, С2-7-алкоксикарбонильную группу, карбамоильную группу, моно- или ди(С1-6-алкил)аминогруппу, галоген(С1-6-алкильную) группу, гидрокси(С1-6-алкильную) группу, циано(С1-6-алкильную) группу, карбокси(С1-6-алкильную) группу, С2-7-алкоксикарбонил(С1-6-алкильную) группу, карбамоил(С1-6-алкильную) группу, амино(С1-6-алкильную) группу, моно- или ди(С1-6-алкил)амино(С1-6-алкильную) группу, галоген(С1-6-алкокси)группу, гидрокси(С1-6-алкокси)группу, карбокси(С1-6-алкокси)группу, С2-7-алкоксикарбонил(С1-6-алкокси)группу, карбамоил(С1-6-алкокси)группу, амино(С1-6-алкокси)группу, моно- или ди(С1-6-алкил)амино(С1-6-алкокси)группу, С3-7-циклоалкильную группу, С3-7-циклоалкилоксигруппу, С3-7-циклоалкил(С1-6-алкильную) группу или С3-7-циклоалкил(С1-6-алкокси)группу; один из заместителей R24 и R25 представляет собой группу, представленную общей формулой:
-Q5-L8
где L8 представляет собой атом хлора, атом брома, атом иода, мезилоксигруппу или тозилоксигруппу; Q5 имеет те же значения, которые определены выше, а другие заместители представляют собой атом водорода, гидроксигруппу, аминогруппу, атом галогена, С1-6-алкильную группу, С1-6-алкоксигруппу, цианогруппу, карбоксильную группу, С2-7-алкоксикарбонильную группу, карбамоильную группу, моно- или ди(С1-6-алкил)аминогруппу, галоген(С1-6-алкильную) группу, гидрокси(С1-6-алкильную) группу, циано(С1-6-алкильную) группу, карбокси(С1-6-алкильную) группу, С2-7-алкоксикарбонил(С1-6-алкильную) группу, карбамоил(С1-6-алкильную) группу, амино(С1-6-алкильную) группу, моно- или ди(С1-6-алкил)амино(С1-6-алкильную) группу, галоген(С1-6-алкокси)группу, гидрокси(С1-6-алкокси)группу, карбокси(С1-6-алкокси)группу, С2-7-алкоксикарбонил(С1-6-алкокси)группу, карбамоил(С1-6-алкокси)группу,
амино(С1-6-алкокси)группу, моно- или ди(С1-6-алкил)амино(С1-6-алкокси)группу, С3-7-циклоалкильную группу, С3-7-циклоалкилоксигруппу, С3-7-циклоалкил(С1-6-алкильную) группу или С3-7-циклоалкил(С1-6-алкокси)группу; и А1, А2, R2 и R3 имеют те же значения, которые описаны выше.
Способ 19
Соединение, представленное приведенной выше общей формулой (IIf), может быть получено путем введения соединения, представленного приведенной выше общей формулой (XXI), в реакцию конденсации с соединением, представленным приведенной выше общей формулой (XXII), в присутствии основания, такого как гидрид натрия, гидроксид калия, трет-бутоксид калия, карбонат цезия или др., в инертном растворителе. В качестве растворителя, используемого в реакции конденсации, можно назвать, например, тетрагидрофуран, N,N-диметилформамид, диметилсульфоксид, ацетон, метанол, смешанный растворитель и др. Температура реакции обычно составляет от 0°С до температуры кипения с обратным холодильником; время реакции обычно составляет от 1 часа до 1 дня в зависимости от используемого исходного материала, растворителя и температуры реакции.
В случае соединений, содержащих гидроксильную группу, аминогруппу и/или карбоксигруппу, при проведении рассмотренных выше способов такие группы также могут быть использованы в каждой реакции после введения любой защитной группы обычным способом. Защитная группа может быть необязательно снята в любой последующей реакции обычным способом.
Соединения настоящего изобретения, представленные приведенной выше общей формулой (I), полученные приведенными выше способами получения, могут быть выделены и очищены с помощью обычных средств разделения, таких как фракционная перекристаллизация, очистка с использованием хроматографии, экстракция растворителем и твердофазная экстракция.
Конденсированные гетероциклические производные настоящего изобретения, представленные приведенной выше формулой (I), могут быть превращены в их фармацевтически приемлемые соли обычным способом. Примерами таких солей являются кислотно-аддитивные соли с минеральными кислотами, такими как соляная кислота, бромистоводородная кислота, иодистоводородная кислота, серная кислота, азотная кислота, фосфорная кислота и др., кислотно-аддитивные соли с органическими кислотами, такими как муравьиная кислота, уксусная кислота, метансульфоновая кислота, бензолсульфоновая кислота, п-толуолсульфоновая кислота, пропионовая кислота, лимонная кислота, янтарная кислота, винная кислота, фумаровая кислота, масляная кислота, щавелевая кислота, малоновая кислота, малеиновая кислота, молочная кислота, яблочная кислота, угольная кислота, глютаминовая кислота, аспарагиновая кислота и др., соли с неорганическими основаниями, такими как соль натрия, соль калия и др., а также соли с органическими основаниями, такими как N-метил-D-глюкамин, N,N’-дибензилэтилендиамин, 2-аминоэтанол, трис(гидроксиметил)аминометан, аргинин, лизин и др.
Соединения настоящего изобретения, представленные приведенной выше общей формулой (I), включают их сольваты с фармацевтически приемлемыми растворителями, такими как вода и этанол.
Среди конденсированных гетероциклических производных настоящего изобретения, представленных выше общей формулой (I), и их пролекарств существуют два геометрических изомера, цис(Z)-изомер и транс(Е)-изомер, в каждом соединении, имеющем ненасыщенную связь. В настоящем изобретении может быть использован любой изомер.
Среди конденсированных гетероциклических производных настоящего изобретения, представленных выше общей формулой (I), и их пролекарств существуют два оптических изомера, R-изомер и S-изомер, в каждом соединении, имеющем асимметричный атом углерода, исключая фрагмент сахара. В настоящем изобретении может быть использован любой изомер и смесь обоих оптических изомеров.
Пролекарство соединения настоящего изобретения, представленного приведенной выше формулой (I), может быть получено путем введения соответствующей группы, образующей пролекарство, в любую одну или в несколько групп, выбираемых из гидроксигруппы, аминогруппы и циклической аминогруппы, такой как пиразольное кольцо, пиперазиновое кольцо или др., соединения, представленного приведенной выше формулой (I), с использованием соответствующего реагента и с получением пролекарства, такого как галогенид соединения или др., обычным способом, а затем соответствующим выделением и очисткой обычным рекомендуемым способом. В качестве образующей пролекарство группы, используемой в гидроксигруппе или в аминогруппе, можно назвать, например, С2-7-ацильную группу, С1-6-алкокси(С2-7-ацильную) группу, С2-7-алкоксикарбонил(С2-7-ацильную) группу,
С2-7-алкоксикарбонильную группу, С6-10-арил(С2-7-алкоксикарбонильную) группу,
С1-6-алкокси(С2-7-алкоксикарбонильную) группу и др. В качестве образующей пролекарство группы, используемой в циклической аминогруппе, можно назвать, например, С2-7-ацильную группу, С1-6-алкокси(С2-7-ацильную) группу, С2-7-алкоксикарбонил(С2-7-ацильную) группу, С2-7-алкоксикарбонильную группу,
С6-10-арил(С2-7-алкоксикарбонильную) группу, С1-6-алкокси(С2-7-алкоксикарбонильную) группу, (С2-7-ацилокси)метильную группу, 1-(С2-7-ацилокси)этильную группу, (С2-7-алкоксикарбонил)оксиметильную группу, 1-[(С2-7-алкоксикарбонил)окси]этильную группу, (С3-7-циклоалкил)оксикарбонилоксиметильную группу, 1-[(С3-7-циклоалкил)оксикарбонилокси]этильную группу или др. Определение «С1-6-алкокси(С2-7-ацильная) группа» означает приведенную выше С2-7-ацильную группу, замещенную приведенной выше С1-6-алкоксигруппой; определение «С2-7-алкоксикарбонил(С2-7-ацильная) группа» означает приведенную выше С2-7-ацильную группу, замещенную приведенной выше С2-7-алкоксикарбонильной группой; определение «С1-6-алкокси(С2-7-алкоксикарбонильная) группа» означает приведенную выше С2-7-алкоксикарбонильную группу, замещенную приведенной выше С1-6-алкилоксигруппой. Определение «(С2-7-ацилокси)метильная группа» означает гидроксиметильную группу, О-замещенную приведенной выше С2-7-ацильной группой; определение «1-(С2-7-ацилокси)этильная группа» означает 1-гидроксиэтильную группу, О-замещенную приведенной выше С2-7-ацильной группой; определение «(С2-7-алкоксикарбонил)оксиметильная группа» означает гидроксиметильную группу, О-замещенную приведенной выше С2-7-алкоксикарбонильной группой; определение «1-[(C2-7-алкоксикарбонил)окси]этильная группа» означает 1-гидроксиэтильную группу, О-замещенную приведенной выше С2-7-алкоксикарбонильной группой; определение «(С3-7-циклоалкил)оксикарбонильная группа» означает циклическую алкоксикарбонильную группу, содержащую приведенную выше С3-7-циклоалкильную группу; определение «(С3-7-циклоалкил)оксикарбонилоксиметильная группа» означает гидроксиметильную группу, О-замещенную приведенной выше (С3-7-циклоалкил)оксикарбонильной группой; и определение «1-[(С3-7-циклоалкил)оксикарбонилокси]этильная группа» означает 1-гидроксиэтильную группу, О-замещенную приведенной выше (С3-7-циклоалкил)оксикарбонильной группой. Кроме того, в качестве группы, образующей пролекарство, можно привести глюкопиранозильную группу или галактопиранозильную группу. Например, указанные группы предпочтительно вводят в гидроксигруппу в 4 или 6 положении глюкопиранозилоксигруппы или галактопиранозилоксигруппы, и более предпочтительно вводят в гидроксигруппу в 4 или 6 положении глюкопиранозилоксигруппы.
Конденсированные гетероциклические производные настоящего изобретения, представленные приведенной выше формулой (I), например, проявляют высокую ингибирующую активность в отношении SGLT1 или SGLT2 человека в подтверждающем SGLT1- или SGLT2-ингибирующую активность испытании, которое описано ниже. Таким образом, конденсированное гетероциклическое производное настоящего изобретения, представленное приведенной выше общей формулой (I), может проявлять прекрасную ингибирующую активность в отношении SGLT1 в тонкой кишке или прекрасную ингибирующую активность в отношении SGLT2 в почке и в значительной степени ингибировать повышение уровня глюкозы в крови или существенно снижать уровень глюкозы в крови. Таким образом, конденсированное гетероциклическое производное настоящего изобретения, представленное приведенной выше общей формулой (I), его фармацевтически приемлемая соль и его пролекарство являются весьма полезными в качестве средства для ингибирования гипергликемии, возникающей после приема пищи, для ингибирования развития диабета у субъекта с нарушенной толерантностью к глюкозе и для профилактики или лечения заболевания, связанного с гипергликемией, такого как диабет, нарушенная толерантность к глюкозе (IGT), диабетические осложнения (например, ретинопатия, невропатия, нефропатия, язва, макроангиопатия), ожирение, гиперинсулинемия, гиперлипидемия, гиперхолестеринемия, гипертриглицеридемия, нарушение липидного метаболизма, атеросклероз, повышенное кровяное давление, застойная сердечная недостаточность, отек, гиперурикимия, подагра или др., которые связаны с активностью SGLT1 в тонкой кишке и с активностью SGLT2 в почках.
Кроме того, соединения настоящего изобретения могут быть соответствующим образом использованы в комбинации, по меньшей мере, с одним компонентом, выбранным из приведенных ниже лекарств. Примерами лекарств, которые могут быть использованы в комбинации с соединениями настоящего изобретения, являются средство, повышающее чувствительность к инсулину, ингибитор поглощения глюкозы, бигуанид, средство, повышающее секрецию инсулина, ингибитор SGLT2, инсулин или аналог инсулина, антагонист рецептора глюкагона, стимулятор киназы инсулинового рецептора, ингибитор трипептидилпептидазы II, ингибитор дипептидилпептидазы IV, ингибитор протеинтирозинфосфатазы-1В, ингибитор гликогенфосфорилазы, ингибитор глюкоза-6-фосфатазы, ингибитор фруктозобисфосфатазы, ингибитор пируватдегидрогеназы, ингибитор печеночного глюконеогенеза, D-хироинзитол, ингибитор гликоген-синтаза-киназы-3, глюкагон-подобный пептид-1, аналог глюкагон-подобного пептида-1, агонист глюкагон-подобного пептида-1, амилин, аналог амилина, агонист амилина, ингибитор альдозоредуктазы, ингибитор образования конечных продуктов повышенного гликолиза, ингибитор протеинкиназы С, антагонист рецептора -аминомасляной кислоты, антагонист натриевого канала, ингибитор транскрипт-фактора NF-kB, ингибитор липидпероксидазы, ингибитор N-ацетилированной- -кислотносвязанной дипептидазы, инсулиноподобный фактор роста-I, тромбоцитарный фактор роста (PDGF), аналог тромбоцитарного фактора роста (EGF) (например, PDGF-AA, PDGF-BB, PDGF-AB), эпидермальный фактор роста, фактор роста нервов, производное карнитина, уридин, 5-гидрокси-1-метилгидантоин, EGB-761, бимокломол, сулодексид, Y-128, антидиарейные средства, слабительные средства, ингибитор гидроксиметилглутарилкофермент-А-редуктазы, фибрат, агонист 3-адренорецептора, ингибитор ацилкофермент-А-холестерин-ацилтрансферазы, пробкол, агонист рецептора тироидного гормона, ингибитор поглощения холестерина, ингибитор липазы, ингибитор белка-переносчика микросомального триглицерида, ингибитор липоксигеназы, ингибитор карнитинпальмитоилтрансферазы, ингибитор скваленсинтазы, стимулятор рецептора липопротеина низкой плотности, производное никотиновой кислоты, поглотитель желчных кислот, ингибитор со-переносчика натрия/желчных кислот, ингибитор белка-переносчика сложного эфира холестерина, средство для уменьшения аппетита, ингибитор ангиотензин-конвертирующего фермента, ингибитор нейтральной эндопептидазы, антагонист рецептора ангиотензина II, ингибитор эндотелин-конвертирующего фермента, антагонист рецептора эндотелина, диуретическое средство, антагонист кальция, сосудорасширяющее антигипертензивное средство, симпатическое блокирующее средство, антигипертензивное средство центрального действия, агонист 2-адренорецептора, антитромбоцитарное средство, ингибитор синтеза мочевой кислоты, урикозурическое средство и средство для ощелачивания мочи.
В случае применения соединения настоящего изобретения в комбинации с приведенными выше одним или несколькими лекарствами настоящее изобретение включает любые дозированные лекарственные формы для одновременного введения в виде одного препарата или в виде отдельных препаратов посредством одинакового или различных способов введения, и для введения при различных интервалах введения доз в виде отдельных препаратов посредством одинакового или различных способов введения. Фармацевтическая комбинация, содержащая соединение настоящего изобретения и описанное(ые) выше лекарство(а), включает как дозированные лекарственные формы в виде одного препарата, так и отдельные препараты для комбинации, описанной выше.
Соединения настоящего изобретения могут давать более благоприятное действие, чем аддитивный эффект при профилактике или лечении приведенных выше заболеваний в случае использования в комбинации с описанными выше одним или несколькими лекарствами. Кроме того, доза введения может быть понижена в сравнении с введением любого одного лекарства или отрицательное действие совместно введенных лекарств может быть исключено или уменьшено.
Конкретные соединения в качестве лекарств, используемых для комбинации, и предпочтительные заболевания, которые подвергаются лечению, приведены в качестве примеров ниже. Однако настоящее изобретение не ограничено этими примерами, а конкретные соединения включают их свободные соединения или их другие фармацевтически приемлемые соли.
В качестве средства, повышающего чувствительность к инсулину, могут быть названы агонисты активированного пролифератором пероксисомы рецептора- , такие как троглитазон, пиоглитазон-гидрохлорид, розиглитазон-малеат, натрий-дарглитазон, GI-262570, изаглитазон, LG-100641, NC-2100, T-174, DRF-2189, CLX-0921, CS-011, GW-1929, циглитазон, натрий-энглитазон и NIP-221, агонисты активированного пролифератором пероксисомы рецептора- , такие как GW-9578 и BM-170744, агонисты активированного пролифератором пероксисомы рецептора- / , такие как GW-409544, KRP-297, NN-622, CLX-0940, LR-90, SB-219994, DRF-4158 и DRF-MDX8, агонисты рецептора ретиноида Х, такие как ALRT-268, AGN-4204, MX-6054, AGN-194204, LG-100754 и бексаротен, и другие средства, повышающие чувствительность к инсулину, такие как регликсан, ONO-5816, MBX-102, CRE-1625, FK-614, CLX-0901, CRE-1633, NN-2344, BM-13125, BM-501050, HQL-975, CLX-0900, MBX-668, MBX-675, S-15261, GW-544, AZ-242, LY-510929, AR-H049020 и GW-501516. Средства, повышающие чувствительность к инсулину, предпочтительно используются в случае диабета, нарушенной толерантности к глюкозе, диабетических осложнений, ожирения, гиперинсулинемии, гиперлипидемии, гиперхолестеринемии, гипертриглицеридемии, нарушения липидного метаболизма или атеросклероза, и более предпочтительно в случае диабета, нарушенной толерантности к глюкозе или гиперинсулинемии вследствие урегулирования нарушения сигнальной трансдукции инсулина в периферических тканях и усиления поглощения глюкозы тканями из крови, что приводит к понижению уровня глюкозы в крови.
В качестве ингибиторов поглощения глюкозы могут быть использованы, например, ингибиторы -глюкозидазы, такие как акарбоза, воглибоза, миглитол, CKD-711, эмиглитат, MDL-25637, камиглибоза и MDL-73945, ингибиторы -амилазы, такие как AZM-127, ингибиторы SGLT1, описанные в проспектах международной публикации  WO 02/098893, WO 2004/014932 и др. Ингибиторы поглощения глюкозы предпочтительно используются в случае диабета, нарушенной толерантности к глюкозе, диабетических осложнений, ожирения и гиперинсулинемии, и более предпочтительно в случае нарушенной толерантности к глюкозе вследствие ингибирования желудочно-кишечного ферментативного сжигания углеводов, содержащихся в пищевых продуктах, и ингибирования или замедления поглощения глюкозы в организм.
В качестве бигуанидов можно привести фенформин, буформин-гидрохлорид, метформин-гидрохлорид или др. Бигуаниды предпочтительно используются в случае диабета, нарушенной толерантности к глюкозе, диабетических осложнений или гиперинсулинемии, и более предпочтительно в случае диабета, нарушенной толерантности к глюкозе или гиперинсулинемии вследствие снижения уровня глюкозы в крови за счет ингибирующего действия на печеночный глюконеогенез, ускоряющего действия на анаэробный гликолиз в тканях или улучшающего действия на резистентность к инсулину в периферических тканях.
В качестве средств, повышающих секрецию инсулина, могут быть приведены толбутамид, хлорпропамид, толазамид, ацетогексамид, гликлопирамид, глибурид (глибенкламид), гликлазид, 1-бутил-3-метанилилмочевина, карбутамид, глиборнурид, глипиразид, гликвидон, глизоксепид, глибутиазол, глибузол, глигексамид, натрий-глимидин, глипинамид, фенбутамид, толцикламид, глимепирид, натеглинид, митиглинид кальций-гидрат, репаглинид или др. Кроме того, средства, повышающие секрецию инсулина, включают активаторы глюкокиназы, такие как RO-28-1678. Средства, повышающие секрецию инсулина, предпочтительно используются в случае диабета, нарушенной толерантности к глюкозе или диабетических осложнений, и более предпочтительно в случае диабета или нарушенной толерантности к глюкозе вследствие снижения уровня глюкозы в крови за счет воздействия на панкреатические -клетки и усиления секреции инсулина.
В качестве ингибиторов SGLT2 можно назвать Т-1095 и соединения, описанные в Японских патентных публикациях  Hei 10-237089 и 2001-288178, а также в международных публикациях  WO 01/16147, WO 01/27128, WO 01/68660, WO 01/74834, WO 01/74835, WO 02/28872, WO 02/36602, WO 02/44192, WO 02/53573, WO 03/000712, WO 03/020737 и т.д. Ингибиторы SGLT2 предпочтительно используются в случае диабета, нарушенной толерантности к глюкозе, диабетических осложнений, ожирения или гиперинсулинемии, и более предпочтительно в случае диабета, нарушенной толерантности к глюкозе, ожирения или гиперинсулинемии вследствие понижения уровня глюкозы в крови за счет ингибирования повторной абсорбции глюкозы в почечных проксимальных канальцах.
В качестве инсулина или аналогов инсулина можно назвать человеческий инсулин, инсулин животного происхождения, аналог человеческого инсулина или инсулина животного происхождения. Указанные препараты предпочтительно используются в случае диабета, нарушенной толерантности к глюкозе или диабетических осложнений, и более предпочтительно в случае диабета или нарушенной толерантности к глюкозе.
В качестве антагонистов рецептора глюкагона можно назвать BAY-27-9955, NNC-92-1687 или др.; в качестве стимуляторов киназы рецептора инсулина можно назвать TER-17411, L-783281, KRX-613 или др.; в качестве ингибиторов трипептидилпептидазы II можно назвать UCL-1397 или др.; в качестве ингибиторов дипептидилпептидазы IV можно назвать NVP-DPP728A, TSL-225, P-32/98 или др.; в качестве ингибиторов протеинтирозинфосфатазы-1B можно назвать PTP-112, OC-86839, PNU-177496 или др.; в качестве ингибиторов гликогенфосфорилазы можно назвать NN-4201, CP-368296 или др.; в качестве ингибиторов фруктозобисфосфатазы можно назвать R-132917 или др.; в качестве ингибиторов пируватдегидрогеназы можно назвать AZD-7545 или др.; в качестве ингибиторов печеночного глюконеогенеза можно назвать FR-225659 или др.; в качестве аналогов глюкагон-подобного пептида-1 можно назвать эксендин-4, CJC-1131 или др.; в качестве агонистов глюкагон-подобного пептида-1 можно назвать AZM-134, LY-315902 или др.; и в качестве амилина, аналогов амилина или агонистов амилина можно назвать прамлинтид-ацетат или др. Указанные лекарства, ингибиторы глюкоза-6-фосфатазы, D-хироинзитол, ингибиторы гликоген-синтазы-киназы-3 и глюкагон-подобный пептид-1 предпочтительно используются в случае диабета, нарушенной толерантности к глюкозе, диабетических осложнений или гиперинсулинемии, и более предпочтительно в случае диабета и нарушенной толерантности к глюкозе.
В качестве ингибиторов альдозоредуктазы можно назвать аскорбилгамоленат, толрестат, эпалрестат, ADN-138, BAL-ARI8, ZD-5522, AND-311, GP-1447, IDD-598, фидарестат, сорбинил, поналрестат, ризарестат, зенарестат, миналрестат, метосорбинил, AL-1567, имирестат, M-16209, TAT, AD-5467, зополрестат, AS-3201, NZ-314, SG-210, JTT-811, линдолрестат или др. Ингибиторы альдозоредуктазы предпочтительно используются в случае диабетических осложнений, благодаря ингибированию альдозоредуктазы и понижению избыточного внутриклеточного накопления сорбита в ускоренном полиольном пути, которые при диабетических осложнениях находятся в тканях в постоянном гипергликемическом состоянии.
В качестве ингибиторов образования конечных продуктов повышенного гликолиза можно назвать пиридоксамин, OPB-9195, ALT-946, ALT-711, пимагедин-гидрохлорид или др. Ингибиторы образования конечных продуктов повышенного гликолиза предпочтительно используются в случае диабетических осложнений вследствие ингибирования образования конечных продуктов повышенного гликолиза, которое ускоряется при постоянных гипергликемических условиях при диабете и начинающемся клеточном поражении.
В качестве ингибиторов протеинкиназы С можно назвать LY-333531, мидостаурин или др. Ингибиторы протеинкиназы С предпочтительно используются при диабетических осложнениях вследствие ингибирования активности протеинкиназы С, которая усиливается при постоянных гипергликемических условиях при диабете.
В качестве антагонистов рецептора -аминомасляной кислоты можно назвать топирамат или др.; в качестве антагонистов натриевого канала можно привести мексилетин-гидрохлорид, оксарбазепин или др.; в качестве ингибиторов фактора транскрипции NF-kB можно назвать декслипотам или др.; в качестве ингибиторов липидпероксидазы можно назвать тирилазад-мезилат или др.; в качестве ингибиторов N-ацетилированной- -кислотносвязанной дипептидазы можно назвать GPI-5693 или др.; и в качестве производных карнитина можно привести карнитин, левацекарнин-гидрохлорид, левокарнитин-гидрохлорид, левокарнитин, ST-261 или др. Указанные лекарства, инсулиноподобный фактор роста-1, тромбоцитарный фактор роста, аналог тромбоцитарного фактора роста, эпидермальный фактор роста, фактор роста нервов, уридин, 5-гидрокси-1-метилгидантоин, EGB-761, бимокломол, сулодексид и Y-128 предпочтительно используются в случае диабетических осложнений.
В качестве антидиарейных средств или слабительных средств можно назвать поликарбофил-кальций, альбумин-таннат, субнитрат висмута или др. Указанные лекарства предпочтительно используются в случае диареи, запора или др., сопровождающих диабет или другие состояния.
В качестве ингибиторов гидроксиметилглутарил-кофермент-А-редуктазы можно назвать натрий-церивастатин, натрий-правастатин, ловастатин, симвастатин, натрий-флувастатин, гидрат аторвастатин-кальция, SC-45355, SQ-33600, CP-83101, BB-476, L-669262, S-2468, DMP-565, U-20685, BAY-x-2678, BAY-10-2987, кальций-питавастатин, кальций-розувастатин, колестолон, далвастатин, ацитемат, мевастатин, крилвастатин, BMS-180431, BMY-21950, гленвастатин, карвастатин, BMY-22089, бервастатин или др. Ингибиторы гидроксиметилглутарил-кофермент-А-редуктазы предпочтительно используются в случае гиперлипидемии, гиперхолестеринемии, гипертриглицеридемии, нарушения липидного метаболизма или атеросклероза, и более предпочтительно в случае гиперлипидемии, гиперхолестеринемии или атеросклероза вследствие понижения уровня холестерина в крови за счет ингибирования гидроксиметилглутарил-кофермент-А-редуктазы.
В качестве фибратов могут быть названы безафибрат, беклобрат, бинифибрат, ципрофибрат, клинофибрат, клофибрат, алюминий-клофибрат, клофибриновая кислота, этофибрат, фенофибрат, гемфиброзил, никофибрат, пирифибрат, ронифибрат, симфибрат, теофибрат, AHL-157 или др. Фибраты предпочтительно используются в случае гиперинсулинемии, гиперлипидемии, гиперхолестеринемии, гипертриглицеридемии, нарушения липидного метаболизма или атеросклероза, и более предпочтительно в случае гиперлипидемии, гипертриглицеридемии или атеросклероза вследствие активирования печеночной липопротеинлипазы и повышения окисления жирных кислот, что приводит к понижению уровня триглицеридов в крови.
В качестве агонистов 3-адренорецептора можно назвать BRL-28410, SR-58611A, ICI-198157, ZD-2079, BMS-194449, BRL-37344, CP-331679, CP-114271, L-750355, BMS-187413, SR-59062A, BMS-210285, LY-377604, SWR-0342SA, AZ-40140, SB-226552, D-7114, BRL-35135, FR-149175, BRL-26830A, CL-316243, AJ-9677, GW-427353, N-5984, GW-2696, YM178 или др. Агонисты 3-адренорецептора предпочтительно используются в случае ожирения, гиперинсулинемии, гиперлипидемии, гиперхолестеринемии, гипертриглицеридемии или нарушения липидного метаболизма, и более предпочтительно в случае ожирения или гиперинсулинемии вследствие стимуляции 3-адренорецептора в жировой ткани и усиления окисления жирных кислот, что приводит к индукции энергетических затрат.
В качестве ингибиторов ацилкофермента-А холестерин-ацилтрансферазы могут быть предложены NTE-122, MCC-147, PD-132301-2, DUP-129, U-73482, U-76807, RP-70676, P-06139, CP-113818, RP-73163, FR-129169, FY-038, EAB-309, KY-455, LS-3115, FR-145237, T-2591, J-104127, R-755, FCE-28654, YIC-C8-434, авазимид, CI-976, RP-64477, F-1394, элдацимид, CS-505, CL-283546, YM-17E, лецимибид, 447C88, YM-750, E-5324, KW-3033, HL-004, эфлуцимиб или др. Ингибиторы ацилкофермента-А холестеринацилтрансферазы предпочтительно используются в случае гиперлипидемии, гиперхолестеринемии, гипертриглицеридемии или нарушения липидного метаболизма, и белее предпочтительно в случае гиперлипидемии или гиперхолестеринемии вследствие понижения уровня холестерина в крови за счет ингибирования ацилкофермента-А холестерин-ацилтрансферазы.
В качестве агонистов рецептора тироидного гормона могут быть названы натрий-лиотиронин, натрий-левотироксин, КВ-2611 или др.; в качестве ингибиторов поглощения холестерина могут быть названы эзетимиб, SCH-48461 или др.; в качестве ингибиторов липазы могут быть названы орлистат, ATL-962, AZM-131, RED-103004 или др.; в качестве ингибиторов карнитин-пальмитоилтрансферазы могут быть названы этомоксир или др.; в качестве ингибиторов скваленсинтазы могут быть названы SDZ-268-198, BMS-188494, A-87049, RPR-101821, ZD-9720, RPR-107393, ER-27856, TAK-475 или др.; в качестве производных никотиновой кислоты могут быть приведены никотиновая кислота, никотинамид, никомол, ницеритрол, аципимокс, никорандил или др.; в качестве поглотителей желчных кислот могут быть названы колестирамин, колестилан, колесевелам-гидрохлорид, GT-102-279 или др.; в качестве ингибиторов со-переносчика натрия/желчных кислот могут быть названы 264W94, S-8921, SD-5613 или др.; и в качестве ингибиторов белка-переносчика сложного эфира холестерина могут быть названы PNU-107368E, SC-795, JTT-705, CP-529414 или др. Названные лекарства, пробкол, ингибиторы белка-переносчика микросомального триглицерида и стимуляторы рецептора липопротеина низкой плотности предпочтительно используют в случае гиперлипидемии, гиперхолестринемии, гипертриглицеридемии или нарушения липидного метаболизма.
В качестве средств для снижения аппетита могут быть приведены ингибиторы повторного поглощения моноамина, ингибиторы повторного поглощения серотонина, стимуляторы высвобождения серотонина, агонисты серотонина (в особенности 5НТ2С-агонисты), ингибиторы повторного поглощения норадреналина, стимуляторы высвобождения норадреналина, агонисты 1-адренорецептора, агонисты 2-адренорецептора, агонисты допамина, антагонисты каннабиноидного рецептора, антагонисты рецептора -аминомасляной кислоты, антагонисты Н3-гистамина, L-гистидин, лептин, аналог лептина, агонисты рецептора лептина, агонисты меланокортинового рецептора (в особенности агонисты MC3-R, агонисты MC4-R), -меланоцит-стимулирующий гормон, регулируемый кокаином и амфетамином транскрипт, махагониевый белок, агонисты энтеростатина, кальцитонин, пептид, связанный с геном кальцитонина, бомбезин, агонисты холецистокинина (в особенности агонисты ССК-А), кортикотропинрилизинг гормон, аналог кортикотропинрилизинг гормона, агонисты кортикотропинрилизинг гормона, урокортин, соматостатин, аналог соматостатина, агонисты соматостатинового рецептора, питуитараденилатциклаза-активирующий пептид, нейротрофический фактор головного мозга, цилиарный нейротрофический фактор, тиреотропинрелизинг гормон, нейротензин, саувагин, антагонисты нейропептида Y, антагонисты опиоидных пептидов, антагонисты галанина, антагонисты рецептора меланин-концентрирующего гормана, ингибиторы агути-связанного белка и антагонисты рецептора орексина. Более конкретно, в качестве ингибиторов повторного поглощения моноамина можно назвать мазиндол или др.; в качестве ингибиторов повторного поглощения серотонина можно назвать дексфенфлунамин-гидрохлорид, фенфлурамин, сибутрамин-гидрохлорид, флувоксамид-малеат, сертралин-гидрохлорид или др.; в качестве агонистов серотонина можно назвать инотриптан, (+)-норфенфлурамин или др.; в качестве ингибиторов повторного поглощения норадреналина можно использовать бупропион, CW-320659 или др.; в качестве стимуляторов высвобождения норадреналина могут быть названы ролипрам, YM-992 или др.; в качестве агонистов
2-адренорецептора могут быть названы амфетамин, декстроамфетамин, фентермин, бензфетамин, метамфетамин, фендиметразин, фенметразин, диэтилпропион, фенилпропаноламин, клобензорекс или др.; в качестве агонистов допамина можно назвать ER-230, допрексин, бромокриптин-мезилат или др.; в качестве антагонистов каннабиноидного рецептора можно назвать римонабант или др.; в качестве антагонистов рецептора -аминомасляной кислоты можно назвать топирамат или др.; в качестве антагонистов Н3-гистамина можно назвать GT-2394 или др.; в качестве лептина, аналогов лептина или агонистов рецептора лептина можно привести LY-355101 или др.; в качестве агонистов холецистокинина (в особенности агонистов ССК-А) можно назвать SR-146131, SSR-125180, BP-3.200, A-71623, FPL-15849, GI-248573, GW-7178, GI-181771, GW-7854, A-71378 или др.; и в качестве антагонистов нейропептида Y можно назвать SR-120819-A, PD-160170, NGD-95-1, BIBP-3226, 1229-U-91, CGP-71683, BIBO-3304, CP-671906-01, J-115814 или др. Средства для подавления аппетита предпочтительно используются при диабете, нарушенной толерантности к глюкозе, диабетических осложнениях, ожирении, гиперлипидемии, гиперхолестеринемии, гипертриглицеридемии, нарушении липидного метаболизма, атеросклерозе, застойной сердечной недостаточности, отеке, гиперурикимии или подагре, и более предпочтительно в случае ожирения, благодаря стимулированию или ингибированию активности внутримозговых моноаминов или биоактивных пептидов в центральной системе регуляции аппетита и подавления аппетита, что приводит к снижению энергетического потребления.
В качестве ингибиторов ангиотензин-конвертирующего фермента можно назвать каптоприл, эналаприл-малеат, алацеприл, делаприл-гидрохлорид, рамиприл, лизиноприл, имадаприл-гидрохлорид, беназеприл-гидрохлорид, церонаприл-моногидрат, цилазаприл, натрий-фозиноприл, периндоприл-эрбумин, кальций-мовелтиприл, квинаприл-гидрохлорид, спираприл-гидрохлорид, темокаприл-гидрохлорид, трандолаприл, кальций-зофеноприл, моэксиприл-гидрохлорид, рентиаприл или др. Ангиотензин-конвертирующий фермент предпочтительно используют при диабетических осложнениях или повышенном кровяном давлении.
В качестве ингибиторов нейтральной эндопептидазы можно назвать омапатрилат, MDL-100240, фазидотрил, сампатрилат, GW-660511Х, миксанприл, SA-7060, Е-4030, SLV-306, экадотрил или др. Ингибиторы нейтральной эндопептидазы предпочтительно используются в случае диабетических осложнений или повышенного кровяного давления.
В качестве антагонистов рецептора ангиотензина II можно назвать кандесартан-цилексетил, кандесартан-цилексетил/гидрохлортиазид, калий-лосартан, эпросартан-мезилат, валсартан, телмисартан, ирбесартан, EXP-3174, L-158809, EXP-3312, олмесартан, тазосартан, KT-3-671, GA-0113, RU-64276, EMD-90423, BR-9701 или др. Антагонисты рецептора ангиотензина II предпочтительно используются в случае диабетических осложнений или повышенного кровяного давления.
В качестве ингибиторов эндотелин-конвертирующего фермента можно назвать CGS-31447, CGS-35066, SM-19712 или др.; в качестве антагонистов эндотелин-конвертирующего фермента можно назвать L-749805, TBC-3214, BMS-182874, BQ-610, TA-0201, SB-215355, PD-180988, натрий-ситаксентан, BMS-193884, дарусентан, TBC-3711, босентан, натрий-тезосентан, J-104132, YM-598, S-0139, SB-234551, RPR-118031A, ATZ-1993, RO-61-1790, ABT-546, энласентан, BMS-207940 или др. Указанные лекарства предпочтительно используются в случае диабетических осложнений или повышенного кровяного давления, и более предпочтительно при повышенном кровяном давлении.
В качестве диуретических средств можно назвать хлорталидон, метолазон, циклопентиазид, трихлорметиазид, гидрохлортиазид, гидрофлуметиазид, бензилгидрохлортиазид, пенфлутизид, метиклотиазид, индапамид, трипамид, мефрузид, азосемид, этакриновую кислоту, торасемид, пиретанид, фуросемид, буметанид, метикран, калий-канреноат, спиронолактон, триамтерен, аминофиллин, циклетанин-гидрохлорид, LLU- , PNU-80873A, изосорбид, D-маннит, D-сорбит, фруктоза, глицерин, ацетазоламид, метазоламид, FR-179544, ОРС-31260, ликсиваптан, кониваптан-гидрохлорид или др. Диуретические средства предпочтительно используются в случае диабетических осложнений, повышенного кровяного давления, застойной сердечной недостаточности или отека, и более предпочтительно в случае повышенного кровяного давления, застойной сердечной недостаточности или отека вследствие снижения кровяного давления или ослабления отека за счет увеличения мочевыделения.
В качестве антагонистов кальция можно назвать аранидипин, эфонидипин-гидрохлорид, никардипин-гидрохлорид, барнидипин-гидрохлорид, бенидипин-гидрохлорид, манидипин-гидрохлорид, цилнидипин, низолдипин, нитрендипин, пифедипин, нилвадипин, фелодипин, амлодипин-безилат, пранидипин, лерканидипин-гидрохлорид, израдипин, элгодипин, азелнидипин, лацидипин, ватанидипин-гидрохлорид, лемилдипин, дилтиазем-гидрохлорид, клентиазем-малеат, верапамил-гидрохлорид, S-верапамил, фазудил-гидрохлорид, бепридил-гидрохлорид, галлопамил-гидрохлорид или др.; в качестве сосудорасширяющих антигипертензивных средств могут быть названы индапамид, тодралазин-гидрохлорид, гидралазин-гидрохлорид, кадралазин, будралазин или др.; в качестве симпатических блокирующих средств могут быть приведены амосулалол-гидрохлорид, теразозин-гидрохлорид, буназозин-гидрохлорид, празозин-гидрохлорид, доксазозин-мезилат, пропранолол-гидрохлорид, атенолол, метопролол-тартрат, карведилол, нипрадилол, целипролол-гидрохлорид, небиволол, бетаксолол-гидрохлорид, пиндолол, тертатолол-гидрохлорид, бевантолол-гидрохлорид, тимолол-малеат, картеолол-гидрохлорид, бисопролол-гемифумарат, бопиндолол-малонат, нипрадилол, пенбутолол-сульфат, ацебутолол-гидрохлорид, тилисолол-гидрохлорид, надолол, урапидил, индорамин или др.; в качестве антигипертензивных средств центрального действия могут быть названы резерпин или др.; и в качестве агонистов 2-адренорецептора могут быть названы клонидин-гидрохлорид, метилдопа, CHF-1035, кванабенз-ацетат, гуанфацин-гидрохлорид, моксонидин, лофексидин, талипексол-гидрохлорид или др. Указанные лекарства предпочтительно используются при повышенном кровяном давлении.
В качестве антитромбоцитарных средств могут быть названы тиклопидин-гидрохлорид, дипиридамол, цилостазол, этил-икосапентат, сарпогрелат-гидрохлорид, дилазеп-дигидрохлорид, трапидил, берапрост-натрий, аспирин или др. Антитромбоцитарные средства предпочтительно используются в случае атеросклероза или застойной сердечной недостаточности.
В качестве ингибиторов синтеза мочевой кислоты могут быть названы аллопуринол, оксипуринол или др.; в качестве урикозурических средств могут быть использованы бензбромарон, пробенецид или др.; и в качестве средств для ощелачивания мочи могут быть названы кислый карбонат натрия, цитрат калия, цитрат натрия или др. Указанные лекарства предпочтительно используются в случае гиперурикимии и подагры.
При применении в комбинации с соединением настоящего изобретения, например, при применении в случае диабета, предпочтительна комбинация, по меньшей мере, с одним компонентом из группы, включающей средство, повышающее чувствительность к инсулину, ингибитор поглощения глюкозы, бигуанид, средство, повышающее секрецию инсулина, ингибиторы SGLT2, инсулин или аналог инсулина, антагонист рецептора глюкагона, стимулятор киназы рецептора инсулина, ингибитор трипептидилпептидазы II, ингибитор дипептидилпептидазы IV, ингибитор протеинтирозинфосфатазы-1 В, ингибитор гликоген-фосфорилазы, ингибитор глюкоза-6-фосфатазы, ингибитор фруктозобисфосфатазы, ингибитор пируватдегидрогеназы, ингибитор печеночного глюконеогенеза, D-хироинзитол, ингибитор гликогенсинтаза-киназы-3, глюкагон-подобный пептид-1, аналог глюкагон-подобного пептида-1, амилин, аналог амилина, агонист амилина и средство подавления аппетита; более предпочтительна комбинация, по меньшей мере, с одним компонентом из группы, включающей средство, повышающее чувствительность к инсулину, ингибитор поглощения глюкозы, бигуанид, средство, повышающее секрецию инсулина, ингибиторы SGLT2, инсулин или аналог инсулина, антагонист рецептора глюкагона, стимулятор киназы рецептора инсулина, ингибитор трипептидилпептидазы II, ингибитор дипептидилпептидазы IV, ингибитор протеинтирозин-фосфатазы-1 В, ингибитор гликоген-фосфорилазы, ингибитор глюкоза-6-фосфатазы, ингибитор фруктозобисфосфатазы, ингибитор пируватдегидрогеназы, ингибитор печеночного глюконеогенеза, D-хироинзитол, ингибитор гликогенсинтаза-киназы-3, глюкагон-подобный пептид-1, аналог глюкагон-подобного пептида-1, амилин, аналог амилина и агонист амилина; и наиболее предпочтительна комбинация, по меньшей мере, с одним компонентом из группы, включающей средство, повышающее чувствительность к инсулину, ингибитор поглощения глюкозы, бигуанид, усилитель выделения инсулина, ингибитор SGLT2, инсулин или аналог инсулина. Аналогично при применении в случае диабетических осложнений предпочтительна комбинация, по меньшей мере, с одним компонентом из группы, включающей средство, повышающее чувствительность к инсулину, ингибитор поглощения глюкозы, бигуанид, средство, повышающее секрецию инсулина, ингибитор SGLT2, инсулин или аналог инсулина, антагонист рецептора глюкагона, стимулятор киназы рецептора инсулина, ингибитор трипептидилпептидазы II, ингибитор дипептидилпептидазы IV, ингибитор протеинтирозинфосфатазы-1 В, ингибитор гликогенфосфорилазы, ингибитор глюкоза-6-фосфатазы, ингибитор фруктозобисфосфатазы, ингибитор пируватдегидрогеназы, ингибитор печеночного глюконеогенеза, D-хироинзитол, ингибитор гликогенсинтаза-киназы-3, глюкагон-подобный пептид-1, аналог глюкагон-подобного пептида-1, агонист глюкагон-подобного пептида-1, амилин, аналог амилина, агонист амилина, ингибитор альдозоредуктазы, ингибитор образования конечных продуктов повышенного гликолиза, ингибитор протеинкиназы С, антагонист рецептора -аминомасляной кислоты, антагонист натриевого канала, ингибитор транскрипции фактора NF-kB, ингибитор липидпероксидазы, ингибитор N-ацетилированной- -кислотносвязанной дипептидазы, инсулиноподобный фактор роста-I, тромбоцитарный фактор роста, аналог тромбоцитарного фактора роста, эпидермальный фактор роста, фактор роста нервов, производное карнитина, уридин, 5-гидрокси-1-метилгидантоин, EGB-761, бимокломол, сулодексид, Y-128, антидиарейные средства, слабительные средства, ингибитор ангиотензин-конвертирующего фермента, ингибитор нейтральной эндопептидазы, антагонист рецептора ангиотензина II, ингибитор эндотелин-конвертирующего фермента, антагонист рецептора эндотелина и диуретическое средство; и более предпочтительна комбинация, по меньшей мере, с одним компонентом из группы, включающей ингибитор альдозоредуктазы, ингибитор ангиотензин-конвертирующего фермента, ингибитор нейтральной эндопептидазы и антагонист рецептора ангиотензина II. Кроме того, при применении в случае ожирения предпочтительна комбинация, по меньшей мере, с одним компонентом из группы, включающей средство, повышающее чувствительность к инсулину, ингибитор поглощения глюкозы, бигуанид, средство, повышающее секрецию инсулина, ингибитор SGLT2, инсулин или аналог инсулина, антагонист рецептора глюкагона, стимулятор киназы рецептора инсулина, ингибитор трипептидилпептидазы II, ингибитор дипептидилпептидазы IV, ингибитор протеинтирозин-фосфатазы-1 В, ингибитор гликоген-фосфорилазы, ингибитор глюкоза-6-фосфатазы, ингибитор фруктозобисфосфатазы, ингибитор пируватдегидрогеназы, ингибитор печеночного глюконеогенеза, D-хироинзитол, ингибитор гликогенсинтаза-киназы-3, глюкагон-подобный пептид-1, аналог глюкагон-подобного пептида-1, агонист глюкагон-подобного пептида-1, амилин, аналог амилина, агонист амилина, агонист 3-адренорецептора и средство подавления аппетита; и более предпочтительна комбинация, по меньшей мере, с одним компонентом, выбранным из группы, включающей ингибитор поглощения глюкозы, ингибитор SGLT2, агонист 3-адренорецептора и средство подавления аппетита.
В случае применения фармацевтических композиций настоящего изобретения при практическом лечении используют различные дозированные лекарственные формы. Примерами дозированных лекарственных форм являются порошки, гранулы, мелкие гранулы, сухие сиропы, таблетки, капсулы, инъекции, растворы, мази, свечи, примочки и т.д., которые вводят перорально или парентерально. Фармацевтические композиции настоящего изобретения также включают составы с постепенным высвобождением, в том числе желудочно-кишечную мукоадгезивную рецептуру (см., например, международные публикации  WO 99/10010, WO 99/26606 и японскую патентную публикацию 2001-2567).
Указанные фармацевтические композиции могут быть получены путем смешения или разбавления подходящей фармацевтической добавкой или путем растворения в подходящей фармацевтической добавке, такой как наполнители, распределяющие вещества, связующие вещества, смазывающие вещества, разбавители, буферы, изотонирующие средства, антисептики, увлажняющие агенты, эмульгаторы, диспергирующие агенты, стабилизирующие агенты, добавки, способствующие растворению, и приготовлением смеси обычными способами. В случае применения соединения настоящего изобретения в комбинации с другим(и) лекарством(ами) композиции могут быть получены путем приготовления препарата каждого активного ингредиента вместе или отдельно способом, описанным выше.
При использовании фармацевтических композиций настоящего изобретения при практическом лечении дозировка соединения, представленного приведенной выше общей формулой (I), его фармацевтически приемлемой соли или его пролекарства в качестве активного ингредиента соответствующим образом определяется в зависимости от возраста, пола, массы тела и уровня симптомов и лечения каждого больного; и эта дозировка находится приблизительно в пределах интервала от 0,1 до 1000 мг в день для взрослого пациента в случае перорального введения и приблизительно в пределах интервала от 0,01 до 300 мг в день для взрослого пациента в случае парентерального введения; ежедневная доза может быть поделена на количество от одной до нескольких доз в день и может вводиться соответствующим образом. Кроме того, в случае применения соединения настоящего изобретения в комбинации с другим(и) лекарством(ами) дозировка соединения настоящего изобретения может быть уменьшена в зависимости от дозировки лекарства.
ПРИМЕРЫ
Настоящее изобретение дополнительно иллюстрируется более подробно с помощью следующих справочных примеров, примеров и примеров испытаний. Однако настоящее изобретение не ограничено ими.
Справочный пример 1
2-Бром-6-фторбензальдегид
К раствору диизопропиламина (2,65 мл) в тетрагидрофуране (30 мл) добавляют н-бутиллитий (2,44 моль/л, раствор в н-гексане, 7,03 мл) при -78°С в атмосфере аргона, и смесь перемешивают при той же температуре в течение 5 минут. К реакционной смеси добавляют 3-бромфторбензол (3 г) и смесь перемешивают при той же температуре 1 час. К реакционной смеси добавляют N,N-диметилформамид (1,45 мл) и смесь перемешивают при той же температуре 10 минут, затем к реакционной смеси добавляют насыщенный водный раствор хлорида аммония, и смесь перемешивают при охлаждении льдом 5 минут. Смесь выливают в воду, затем смесь экстрагируют диэтиловым эфиром. Экстракт промывают водой и рассолом и сушат над безводным сульфатом магния, растворитель удаляют при пониженном давлении, получают названное соединение (3,43 г).
1H-ЯМР (CDCl3) (м.д.: 7,1-7,2 (1H, м), 7,35-7,45 (1H, м), 7,45-7,55 (1H, м), 10,36 (1H, с).
Справочный пример 2
4-Бромбензо[b]тиофен
К суспензии гидрида натрия (55%, 1,11 г) в диметилсульфоксиде (20 мл) добавляют метилтиогликолат (1,53 мл) при комнатной температуре и смесь перемешивают 15 минут. К реакционной смеси добавляют раствор 2-бром-6-фторбензальдегида (3,43 г) в диметилсульфоксиде (4 мл) и смесь перемешивают при комнатной температуре 5 минут. Реакционную смесь выливают в воду со льдом и выпавшее в осадок твердое кристаллическое вещество отфильтровывают, промывают водой и сушат при пониженном давлении, получают 2-метоксикарбонил-4-бромбензо[b]тиофен (1,52 г). Полученный материал суспендируют в смешанном растворителе, метанол (20 мл) и вода (10 мл), и к суспензии добавляют гидроксид натрия (0,91 г). Смесь перемешивают при 50°С в течение 5 минут. Реакционную смесь охлаждают на ледяной бане и подкисляют путем добавления соляной кислоты (2 мол/л). Выпавшее в осадок твердое кристаллическое вещество отфильтровывают, промывают водой и сушат при пониженном давлении, получают 2-карбоксибензо[b]тиофен (1,27 г). К полученному материалу добавляют порошок меди (0,42 г) и хинолин (10 мл) и смесь перемешивают при 190°С в течение 1 часа. Затем реакционную смесь охлаждают до комнатной температуры, добавляют к реакционной смеси соляную кислоту (2 моль/л, 40 мл) и этилацетат (20 мл) и смесь перемешивают 15 минут. Нерастворимый материал в смеси отфильтровывают, органический слой фильтрата отделяют. Водный слой фильтрата экстрагируют этилацетатом. Органические слои смешивают и объединенный органический слой промывают соляной кислотой (2 мол/л), водой и рассолом и сушат над безводным сульфатом магния, растворитель удаляют при пониженном давлении. Остаток очищают колоночной хроматографией на силикагеле (элюент: н-гексан), получают названное соединение (0,55 г).
1H-ЯМР (CDCl3) (м.д.: 7,15-7,25 (1H, м), 7,45-7,6 (3H, м), 7,82 (1H, д, J=8,2 Гц).
Справочный пример 3
7-Бромбензо[b]тиофен
К смеси 2-бромтиофенола (5 г) и 2-бромметил-1,3-диоксолана (2,98 мл) в N,N-диметилформамиде (50 мл) добавляют карбонат калия (5,48 г) при комнатной температуре и смесь перемешивают в течение ночи. Реакционную смесь выливают в воду, смесь экстрагируют диэтиловым эфиром. Экстракт последовательно промывают водой, водным раствором гидроксида натрия (1 моль/л), водой и рассолом, сушат над безводным сульфатом магния, растворитель удаляют при пониженном давлении, получают (2-бромфенилтиометил)-1,3-диоксолан (7,25 г). К смеси полифосфорной кислоты (20 г) и хлорбензола (40 мл) добавляют раствор (2-бромфенилтиометил)-1,3-диоксолана (7,25 г) в хлорбензоле (20 мл) и смесь кипятят с обратным холодильником 8 часов. Реакционную смесь охлаждают до комнатной температуры и надосадочную жидкость собирают декантированием. К остатку добавляют толуол и после перемешивания смеси надосадочную жидкость собирают декантированием. Надосадочные жидкости объединяют и концентрируют при пониженном давлении. Остаток растворяют в этилацетате, раствор промывают насыщенным водным раствором гидрокарбоната натрия, водой и рассолом, сушат над безводным сульфатом магния и растворитель удаляют при пониженном давлении. Остаток очищают колоночной хроматографией на силикагеле (элюент: н-гексан), получают названное соединение (2,27 г).
1H-ЯМР (CDCl3) (м.д.: 7,25 (1H, т, J=7,8 Гц), 7,44 (1H, д, J=5,6 Гц), 7,45-7,55 (2H, м), 7,77 (1H, д, J=7,8 Гц).
Справочный пример 4
4-[(Е)-2-Фенилвинил]бензо[b]тиофен
Смесь 4-бромбензо[b]тиофена (0,55 г), стирола (0,89 мл), триэтиламина (1,81 мл), ацетата палладия (II) (59 мг) и трис(2-метилфенил)фосфина (0,16 г) в ацетонитриле (10 мл) кипятят с обратным холодильником в течение ночи в атмосфере аргона. Реакционную смесь разбавляют диэтиловым эфиром и нерастворимый материал отфильтровывают.Фильтрат промывают последовательно соляной кислотой (1 мол/л), водой и рассолом, сушат над безводным сульфатом магния и растворитель удаляют при пониженном давлении. Остаток очищают колоночной хроматографией на силикагеле (элюент: н-гексан-(н-гексан/этилацетат), 5:1)), получают названное соединение (0,56 г).
1H-ЯМР (CDCl3) (м.д.: 7,2-7,45 (6H, м), 7,51 (1H, д, J=5,5 Гц), 7,55-7,7 (4H, м), 7,81 (1H, д, J=7,8 Гц).
Справочный пример 5
7-[(Е)-2-Фенилвинил]бензо[b]тиофен
Названное соединение получают способом, аналогичным способу, описанному в справочном примере 4, с использованием 7-бромбензо[b]тиофена вместо 4-бромбензо[b]тиофена.
1H-ЯМР (CDCl3) (м.д.: 7,25-7,45 (7H, м), 7,5 (1H, д, J=5,7 Гц), 7,55-7,65 (3H, м), 7,77 (1H, дд, J=7,9 Гц, 1,1 Гц).
Справочный пример 6
4-(2-Фенилэтил)бензо[b]тиофен
К раствору 4-[(Е)-2-фенилвинил]бензо[b]тиофена (0,56 г) и триэтиламина (2,63 мл) в тетрагидрофуране (25 мл) добавляют 2,4,6-триизопропилбензолсульфонилгидразид (5 г) и смесь кипятят с обратным холодильником в течение ночи в атмосфере аргона. Затем реакционную смесь охлаждают до комнатной температуры, добавляют к смеси соляную кислоту (2 моль/л) и смесь перемешивают 10 минут. Смесь выливают в воду и затем экстрагируют диэтиловым эфиром. Экстракт промывают водой и рассолом и сушат над безводным сульфатом магния, растворитель удаляют в вакууме при пониженном давлении. Остаток очищают колоночной хроматографией на силикагеле (элюент: н-гексан), получают смесь исходного материала и названного соединения (0,43 г). Полученную смесь растворяют в триэтиламине (2,04 г) и тетрагидрофуране (18 мл) и к раствору добавляют 2,4,6-триизопропилбензолсульфонилгидразид (3,28 г), смесь кипятят с обратным холодильником в течение ночи в атмосфере аргона. Реакционную смесь охлаждают до комнатной температуры и к смеси добавляют соляную кислоту (2 моль/л), смесь перемешивают 10 минут. Смесь выливают в воду и экстрагируют диэтиловым эфиром. Экстракт промывают водой и рассолом и сушат над безводным сульфатом магния, растворитель удаляют при пониженном давлении. Остаток очищают колоночной хроматографией на силикагеле (элюент: н-гексан), получают названное соединение (0,4 г).
1H-ЯМР (CDCl3) (м.д.: 3,0-3,05 (2H, м), 3,2-3,3 (2H, м), 7,1-7,35 (7H, м), 7,4-7,5 (2H, м), 7,75 (1H, д, J=8,0 Гц).
Справочный пример 7
7-(2-Фенилэтил)бензо[b]тиофен
Названное соединение получают способом, аналогичным способу, описанному в справочном примере 6, с использованием 7-[(Е)-2-фенилвинил]бензо[b]тиофена вместо 4-[(Е)-2-фенилвинил]бензо[b]тиофена.
1H-ЯМР (CDCl3) (м.д.: 3,05-3,15 (2H, м), 3,15-3,25 (2H, м), 7,1-7,35 (7H, м), 7,38 (1H, д, J=5,4 Гц), 7,44 (1H, д, J=5,4 Гц), 7,7 (1H, д, J=7,9 Гц).
Справочный пример 8
2-(2,3,4,6-Тетра-О-бензил- -D-глюкопиранозил)-4-(2-фенилэтил)бензо[b]тиофен
К раствору 4-(2-фенилэтил)бензо[b]тиофена (0,4 г) в тетрагидрофуране (15 мл) добавляют н-бутиллитий (2,44 моль/л, раствор в н-гексане, 0,69 мл) при -78°С в атмосфере аргона и смесь перемешивают при той же температуре 30 минут. К смеси добавляют раствор 2,3,4,6-тетра-O-бензил-D-глюконо-1,5-лактон (0,82 г) в тетрагидрофуране (3 мл) и смесь перемешивают при охлаждении льдом 10 минут. Реакционную смесь выливают в насыщенный водный раствор хлорида аммония, смесь экстрагируют диэтиловым эфиром. Экстракт промывают водой и рассолом, сушат над безводным сульфатом магния, растворитель удаляют при пониженном давлении. Остаток очищают колоночной хроматографией на силикагеле (элюент: н-гексан/этилацетат, 4:1), получают 2,3,4,6-тетра-О-бензил-1-[4-(2-фенилэтил)бензо[b]тиофен-2-ил]-D-глюкопиранозу (1,02 г). Полученный материал растворяют в ацетонитриле (13 мл) и к раствору добавляют триэтиламин (0,42 мл). К раствору при -20°С добавляют комплекс трифтордиэтилэфирата бора (0,18 мл) и смесь перемешивают при комнатной температуре 1 час. К реакционной смеси добавляют насыщенный водный раствор карбоната калия и смесь экстрагируют диэтиловым эфиром. Экстракт промывают водой и рассолом и сушат над безводным сульфатом магния, растворитель удаляют при пониженном давлении. Остаток очищают колоночной хроматографией на силикагеле (элюент: н-гексан/этилацетат, 8:1), получают названное соединение (0,58 г).
1H-ЯМР (CDCl3) (м.д.: 2,9-3,05 (2H, м), 3,1-3,25 (2H, м), 3,6-3,7 (2H, м), 3,75-3,9 (4H, м), 4,11 (1H, д, J=10,4 Гц), 4,55-4,75 (5H, м), 4,88 (1H, д, J=10,7 Гц), 4,92 (1H, д, J=11,0 Гц), 4,96 (1H, д, J=11,0 Гц), 6,9-7,0 (2H, м), 7,05-7,4 (25H, м), 7,47 (1H, с), 7,7 (1H, д, J=8,1 Гц).
Справочный пример 9
2-(2,3,4,6-Тетра-О-бензил- -D-глюкопиранозил)-7-(2-фенилэтил)бензо[b]тиофен
Названное соединение получают способом, аналогичным способу, описанному в справочном примере 8, с использованием 7-(2-фенилэтил)бензо[b]тиофена вместо 4-(2-фенилэтил)бензо[b]-тиофена.
1H-ЯМР (CDCl3) (м.д.: 3,0-3,2 (4H, м), 3,6-3,7 (2H, м), 3,75-3,9 (4H, м), 4,11 (1H, д, J=10,3 Гц), 4,5-4,75 (5H, м), 4,87 (1H, д, J=10,7 Гц), 4,92 (1H, д, J=11,0 Гц), 4,97 (1H, д, J=11,0 Гц), 6,95-7,0 (2H, м), 7,1-7,45 (26H, м), 7,62 (1H, д, J=7,8 Гц).
Пример 1
2-( -D-Глюкопиранозил)-4-(2-фенилэтил)бензо[b]тиофен
К раствору 2-(2,3,4,6-тетра-О-бензил- -D-глюкопиранозил)-4-(2-фенилэтил)бензо[b]тиофена (0,58 г) и этантиола (1,13 мл) в дихлорметане (10 мл) добавляют комплекс трифтордиэтилэфирата бора (1,43 мл) при комнатной температуре и смесь перемешивают 3 часа. К реакционной смеси добавляют насыщенный водный раствор карбоната калия и смесь экстрагируют этилацетатом. Экстракт промывают рассолом и сушат над безводным сульфатом магния, растворитель удаляют при пониженном давлении. Остаток очищают колоночной хроматографией на силикагеле (элюент: дихлорметан/метанол, 10:1), получают названное соединение (94 мг).
1H-ЯМР (CD3OD) (м.д.: 2,95-3,05 (2H, м), 3,15-3,25 (2H, м), 3,35-3,55 (4H, м), 3,72 (1H, дд, J=12,1 Гц, 6,0 Гц), 3,92 (1H, дд, J=12,1 Гц, 2,1 Гц), 4,55 (1H, д, J=8,8 Гц), 7,06 (1H, д, J=6,8 Гц), 7,1-7,3 (6H, м), 7,54 (1H, с), 7,66 (1H, д, J=8,3 Гц).
Пример 2
2-( -D-Глюкопиранозил)-7-(2-фенилэтил)бензо[b]тиофен
Названное соединение получают способом, аналогичным способу, описанному в примере 1, с использованием 2-(2,3,4,6-тетра-О-бензил- -D-глюкопиранозил)-7-(2-фенилэтил)бензо[b]тиофена вместо 2-(2,3,4,6-тетра-О-бензил- -D-глюкопиранозил)-4-(2-фенилэтил)бензо[b]тиофена.
1H-ЯМР (CD3OD) (м.д.: 3,0-3,1 (2H, м), 3,1-3,2 (2H, м), 3,35-3,55 (4H, м), 3,73 (1H, дд, J=12,1 Гц, 5,8 Гц), 3,93 (1H, дд, J=12,1 Гц, 2,0 Гц), 4,54 (1H, д, J=8,6 Гц), 7,06 (1H, д, J=6,5 Гц), 7,1-7,3 (6H, м), 7,41 (1H, с), 7,55-7,65 (1H, м).
Пример 3
Способ 1
Бензо[b]тиофен-7-ил-п-толилметанол
По обычной методике готовят реактив Гриньяра с использованием 7-бромбензо[b]тиофена (1,0 г), магния (0,13 г), каталитического количества иода и тетрагидрофурана (3 мл). К раствору реактива Гриньяра добавляют раствор 4-метил-бензальдегида (0,62 г) в тетрагидрофуране (5 мл) при 0°С в атмосфере аргона. Реакционную смесь перемешивают при комнатной температуре в течение ночи и к смеси добавляют насыщенный водный раствор хлорида аммония. Смесь экстрагируют диэтиловым эфиром, органический слой промывают рассолом и сушат над безводным сульфатом магния. Растворитель удаляют при пониженном давлении, остаток очищают колоночной хроматографией на аминопропилированном силикагеле (элюент: тетрагидрофуран). Дополнительная очистка колоночной хроматографией на силикагеле (элюент: н-гексан/этилацетат, 6:1), дает названное соединение (0,68 г) в виде желтого масла.
1H-ЯМР (CDCl3) (м.д.: 2,32 (3H, с), 2,38 (1H, д, J=3,6 Гц), 6,11 (1H, д, J=3,4 Гц), 7,10-7,20 (2H, м), 7,30-7,45 (5H, м), 7,45-7,50 (1H, м), 7,70-7,80 (1H, м).
Способ 2
7-(4-Метилбензил)бензо[b]тиофен
К суспензии иодида натрия (2,0 г) в ацетонитриле добавляют при комнатной температуре хлортриметилсилан (1,5 г). После перемешивания смеси при комнатной температуре в течение 15 минут к смеси добавляют бензо[b]тиофен-7-ил-п-толилметанол (0,68 г) и смесь перемешивают при комнатной температуре 15 минут. Реакционную смесь выливают в воду, смесь экстрагируют гексаном. Органический слой промывают водой и рассолом и сушат над безводным сульфатом магния. Растворитель удаляют при пониженном давлении и остаток очищают колоночной хроматографией на силикагеле (элюент: н-гексан), получают названное соединение (0,57 г) в виде бесцветного масла.
1H-ЯМР (CDCl3) (м.д.: 2,31 (3H, с), 4,20 (2H, с), 7,05-7,14 (3H, м), 7,14-7,20 (2H, м), 7,25-7,45 (3H, м), 7,65-7,75 (1H, м).
Способ 3
2,3,4,6-Тетра-О-бензил-1-[7-(4-метилбензил)бензо[b]тиофен-2-ил]-D-глюкопираноза
К раствору 7-(4-метилбензил)бензо[b]тиофена (0,57 г) в тетрагидрофуране (10 мл) добавляют н-бутиллитий (2,71 моль/л, раствор в тетрагидрофуране, 0,88 мл) при -78°С в атмосфере аргона. Смесь перемешивают при той же температуре 30 мин и добавляют раствор 2,3,4,6-тетра-О-бензил-D-глюконо-1,5-лактона (1,2 г) в тетрагидрофуране (5 мл). Реакционную смесь нагревают до 0°С и перемешивают 10 минут. Реакционную смесь выливают в насыщенный водный раствор хлорида аммония, смесь экстрагируют диэтиловым эфиром. Органический слой промывают рассолом и сушат над безводным сульфатом магния. Растворитель удаляют при пониженном давлении, остаток очищают колоночной хроматографией на силикагеле (элюент: н-гексан/этилацетат, 4:1), получают названное соединение (1,2 г).
Способ 4
2-(2,3,4,6-Тетра-О-бензил- -D-глюкопиранозил)-7-(4-метилбензил)бензо[b]тиофен
К раствору 2,3,4,6-тетра-О-бензил-1-[7-(4-метилбензил)-бензо[b]тиофен-2-ил]-D-глюкопиранозы (1,2 г) и триэтилсилана (0,49 мл) в ацетонитриле (15 мл) добавляют комплекс трифтордиэтилэфирата бора (2,0 мл) при -20°С, смесь перемешивают 1 час. К смеси добавляют насыщенный водный раствор карбоната калия и смесь экстрагируют диэтиловым эфиром. Органический слой промывают водой и рассолом и сушат над безводным сульфатом магния. Растворитель удаляют при пониженном давлении, остаток очищают колоночной хроматографией на силикагеле (элюент: н-гексан/этилацетат, 6:1), получают названное соединение (0,95 г).
1H-ЯМР (CDCl3) (м.д.: 2,28 (3H, с), 3,55-3,70 (2H, м), 3,75-3,85 (4H, м), 4,09 (1H, д, J=10,5 Гц), 4,15-4,20 (2H, м), 4,52 (1H, д, J=10,4 Гц), 4,56-4,62 (2H, м), 4,62-4,72 (2H, м), 6,90-7,00 (2H, м), 7,00-7,40 (25H, м), 7,55-7,65 (1H, м).
Способ 5
2-( -D-Глюкопиранозил)-7-(4-метилбензил)бензо[b]тиофен
К раствору 2-(2,3,4,6-Тетра-О-бензил- -D-глюкопиранозил)-7-(4-метилбензил)бензо[b]тиофена (0,95 г) и этантиола (1,8 мл) в дихлорметане (15 мл) добавляют при комнатной температуре комплекс трифтордиэтилэфирата бора (2,1 мл). Реакционную смесь перемешивают при комнатной температуре 3 часа, к смеси добавляют насыщенный водный раствор карбоната калия. Смесь экстрагируют этилацетатом. Органический слой промывают рассолом и сушат над безводным сульфатом магния. Растворитель удаляют при пониженном давлении, остаток очищают колоночной хроматографией на силикагеле (элюент: дихлорметан/метанол, 10:1), получают названное соединение (0,16 г).
1H-ЯМР (CD3OD) (м.д.: 2,27 (3H, с), 3,30-3,50 (4H, м), 3,69 (1H, дд, J=5,9, 12,1 Гц), 3,90 (1H, дд, J=2,0, 12,1 Гц), 4,10-4,15 (2H, м), 4,50 (1H, д, J=9,0 Гц), 7,00-7,15 (5H, м), 7,25-7,35 (1H, м), 7,35-7,40 (1H, м), 7,55-7,70 (1H, м).
Пример 4 – Пример 11
Соединения, представленные в таблице 1 или 2, получены способом, аналогичным способу, описанному в примере 3, с использованием соответствующих исходных материалов.
| Таблица 1 |
| Номер примера |
Химическая структура |
Спектр 1Н-ЯМР (CD3OD), , м.д. |
| Пример 4 |
 |
1,19 (3H, т, J=7,5 Гц), 2,58 (2H, кв, J=7,5 Гц), 3,30-3,50 (4H, м), 3,69 (1H, дд, J=5,8, 12,1 Гц), 3,90 (1H, дд, J=1,9, 12,1 Гц), 4,10-4,20 (2H, м), 4,50 (1H, д, J=8,8 Гц), 7,00-7,20 (5H, м), 7,25-7,35 (1H, м), 7,35-7,45 (1H, м), 7,60-7,65 (1H, м) |
| Пример 5 |
 |
3,35-3,50 (4H, м), 3,69 (1H, дд, J=6,0, 12,1 Гц), 3,74 (3H, c), 3,90 (1H, дд, J=1,8, 12,1 Гц), 4,12 (2H, c), 4,50 (1H, д, J=9,2 Гц), 6,75-6,85 (2H, м), 7,05-7,20 (3H, м), 7,25-7,35 (1H, м), 7,35-7,45 (1H, м), 7,60-7,65 (1H, м) |
| Пример 6 |
 |
1,35 (3H, т, J=7,0 Гц), 3,30-3,50 (4H, м), 3,69 (1H, дд, J=5,8, 12,2 Гц), 3,90 (1H, дд, J=2,0, 12,2 Гц), 3,98 (2H, кв, J=7,0 Гц), 4,11 (2H, c), 4,50 (1H, д, J=9,0 Гц), 6,75-6,85 (2H, м), 7,05-7,20 (3H, м), 7,25-7,35 (1H, м), 7,35-7,45 (1H, м), 7,60-7,65 (1H, м) |
| Пример 7 |
 |
2,42 (3H, c), 3,30-3,50 (4H, м), 3,69 (1H, дд, J=5,9, 12,1 Гц), 3,90 (1H, дд, J=2,0, 12,1 Гц), 4,15 (2H, c), 4,50 (1H, д, J=9,2 Гц), 7,10-7,20 (5H, м), 7,25-7,35 (1H, м), 7,35-7,45 (1H, м), 7,60-7,70 (1H, м) |
| Пример 8 |
 |
3,30-3,50 (4H, м), 3,69 (1H, дд, J=6,0, 12,0 Гц), 3,90 (1H, дд, J=2,0, 12,0 Гц), 4,17 (2H, c), 4,50 (1H, д, J=9,2 Гц), 6,90-7,00 (2H, м), 7,10-7,15 (1H, м), 7,20-7,35 (3H, м), 7,35-7,45 (1H, м), 7,60-7,70 (1H, м) |
| Пример 9 |
 |
2,21 (3H, c), 3,30-3,55 (4H, м), 3,70 (1H, дд, J=6,0, 12,2 Гц), 3,91 (1H, дд, J=2,0, 12,2 Гц), 4,17 (2H, c), 4,52 (1H, д, J=9,3 Гц), 6,80-6,85 (1H, м), 7,00-7,30 (5H, м), 7,35-7,45 (1H, м), 7,60-7,65 (1H, м) |
| Таблица 2 |
| Номер примера |
Химическая структура |
Спектр 1Н-ЯМР (CD3OD), , м.д. |
| Пример 10 |
 |
2,26 (3H, c), 3,30-3,50 (4H, м), 3,69 (1H, дд, J=6,0, 12,0 Гц), 3,90 (1H, дд, J=2,2, 12,0 Гц), 4,14 (2H, c), 4,50 (1H, д, J=9,1 Гц), 6,95-7,15 (5H, м), 7,25-7,35 (1H, м), 7,35-7,45 (1H, м), 7,60-7,65 (1H, м) |
| Пример 11 |
 |
3,30-3,50 (4H, м), 3,70 (1H, дд, J=5,9, 12,0 Гц), 3,90 (1H, дд, J=2,2, 12,0 Гц), 4,12 (2H, c), 4,50 (1H, д, J=9,3 Гц), 7,10-7,17 (1H, м), 7,18-7,27 (4H, м), 7,18-7,35 (1H, м), 7,36-7,45 (1H, м) |
Пример 12 – Пример 16
Соединения, представленные в таблице 3 или 4, получены способом, аналогичным способу, описанному в примере 1, с использованием соответствующих исходных материалов.
| Таблица 3 |
| Номер примера |
Химическая структура |
Спектр 1Н-ЯМР (CD3OD), , м.д. |
| Пример 12 |
 |
2,80-2,95 (2H, м), 3,10-3,20 (2H, м), 3,30-3,55 (4H, м), 3,72 (1H, дд, J=5,7, 12,1 Гц), 3,92 (1H, дд, J=2,1, 12,1 Гц), 4,54 (1H, д, J=9,2 Гц), 6,65-6,70 (2H, м), 6,95-7,02 (2H, м), 7,03-7,08 (1H, м), 7,15-7,20 (1H, м), 7,45-7,55 (1H, м), 7,60-7,70 (1H, м) |
| Пример 13 |
 |
2,80-3,00 (2H, м), 3,10-3,25 (2H, м), 3,30-3,55 (4H, м), 3,72 (1H, дд, J=6,0, 11,8 Гц), 3,75 (3H, c), 3,92 (1H, дд, J=1,9, 11,8 Гц), 4,55 (1H, д, J=9,7 Гц), 6,75-6,85 (2H, м), 7,00-7,12 (3H, м), 7,14-7,20 (1H, м), 7,51 (1H, c), 7,65 (1H, д, J=8,5 Гц) |
| Пример 14 |
 |
2,85-2,95 (2H, м), 3,10-3,25 (2H, м), 3,30-3,55 (4H, м), 3,72 (1H, дд, J=6,0, 12,1 Гц), 3,92 (1H, дд, J=2,3, 12,1 Гц), 4,55 (1H, д, J=8,9 Гц), 6,55-6,70 (3H, м), 7,00-7,10 (2H, м), 7,15-7,25 (1H, м), 7,52 (1H, c), 7,66 (1H, д, J=7,7 Гц) |
| Таблица 4 |
| Номер примера |
Химическая структура |
Спектр 1Н-ЯМР (CD3OD), , м.д. |
| Пример 15 |
 |
2,90-3,05 (2H, м), 3,15-3,25 (2H, м), 3,30-3,55 (4H, м), 3,72 (1H, дд, J=6,1, 11,9 Гц), 3,72 (3H, c), 3,92 (1H, дд, J=2,4, 11,9 Гц), 4,55 (1H, д, J=8,9 Гц), 6,65-6,75 (2H, м), 6,75-6,80 (1H, м), 7,00-7,10 (1H, м), 7,10-7,25 (2H, м), 7,52 (1H, c), 7,66 (1H, д, J=8,4 Гц) |
| Пример 16 |
 |
2,28 (3H, c), 2,85-3,00 (2H, м), 3,10-3,25 (2H, м), 3,35-3,55 (4H, м), 3,72 (1H, дд, J=6,0, 12,1 Гц), 3,92 (1H, дд, J=2,3, 12,1 Гц), 4,55 (1H, д, J=8,8 Гц), 7,00-7,10 (5H, м), 7,10-7,25 (1H, м), 7,52 (1H, м), 7,65 (1H, д, J=7,9 Гц) |
Соединения, представленные в таблице 5, могут быть получены способом, аналогичным способам, описанным в приведенных выше примерах или справочных примерах.
Таблица 5

Пример испытаний 1
Оценка ингибирующего действия на активность SGLT1 человека
1) Клонирование и сборка вектора, экспрессирующего SGLT1 человека
Готовят библиотеку кДНК для PCR-амплификации с помощью обратной транскрипции из полной РНК, отобранной из тонкой кишки человека (Ori gene), с использованием в качестве праймера олиго-dT. Используя указанную библиотеку кДНК в качестве матрицы фрагмент ДНК, кодирующий от 1 до 2005 п.н. SGLT1 человека (ACCESSION: М24847), который описан Hediger et al., амплифицируют с помощью PCR-метода и вводят в мультиклонирующий сайт pcDNA3.1(-) (Invitrogen). Вставленная последовательность ДНК полностью совпадает с ранее описанной последовательностью.
2) Создание линии клеток, стабильно экспрессирующей SGLT1 человека
Вектор экспрессии SGLT1 человека сжигают с помощью Sca I в линейную ДНК. Линейную ДНК переносят в клетки СНО-К1 с помощью липофекции (lipofection) (Effectene Transfection Reagent: QIAGEN). Устойчивые к неомицину линии клеток выводят путем культивирования в среде, содержащей G418 (1 мг/мл, LIFE TECHNOLOGIES), и затем измеряют активность относительно поглощения метил- -D-глюкопиранозида описанным ниже способом. Линию клеток, которая проявляет наиболее высокую активность при поглощении, отбирают и обозначают как CS1-5-11D. Клетки CS1-5-11D культивируют в присутствии G418 при 200 мкг/мл.
3) Измерение ингибирующей активности относительно поглощения метил- -D-глюкопиранозида ( -MG)
Клетки CS1-5-11D высевают в 96-ти луночный культуральный планшет при плотности 3×104 клетка/лунка и культивируют 2 дня, затем используют при оценке поглощения. Смесь немеченого (Sigma) и 14C-меченого -MG (Amersham Pharmacia Biotech) добавляют к буферу для поглощения (рН 7,4, содержащему 140 мМ хлорида натрия, 2 мМ хлорида калия, 1 мМ хлорида кальция, 1 мМ хлорида магния, 10 мМ 2-[4-(2-гидроксиэтил)-1-пиперазинил]-этансульфоновой кислоты и 5 мМ трис(гидроксиметил)аминометана) при конечной концентрации 1 мМ. Испытуемое соединение растворяют в диметилсульфоксиде и затем соответствующим образом разбавляют дистиллированной водой. Раствор испытуемого соединения добавляют к буферу для поглощения, содержащему 1 мМ -MG, и обозначаемому как буфер для измерения. Для контрольной группы готовят буфер для измерения без испытуемого соединения. Для измерения фонового поглощения готовят буфер для измерения фонового поглощения, который содержит 140 мМ хоринхлорида (chorine chloride) вместо хлорида натрия. После удаления культуральной среды клеток CS1-5-11D к каждой лунке добавляют 180 мкл буфера для предварительной обработки (буфер для фонового поглощения без -MG) и выдерживают при 37°С в течение 10 минут. После повторения такой же обработки буфер для предварительной обработки удаляют. К каждой лунке добавляют 75 мкл буфера для измерения или буфера для фонового поглощения и выдерживают при 37°С в течение 1 часа. После удаления буфера для измерения клетки промывают дважды 180 мкл из расчета на лунку промывочного буфера (буфер для фонового поглощения, содержащий 10 мМ немеченого -MG). Клетки солюбилизируют с помощью 75 мкл из расчета на лунку раствора гидроксида натрия (0,2 моль/л). Клеточные лизаты переносят в PicoPlates (Packard) и затем добавляют 150 мкл MicroScint-40 (Packard) и смешивают. Радиоактивность измеряют с помощью микросцинтилляционного счетчика TopCount (Packard). Разницу между поглощением в контрольной группе и фоновым поглощением принимают за 100% и рассчитывают поглощение метил- -D-глюкопиранозида при каждой концентрации лекарства. Концентрацию лекарства, при которой ингибируется 50% поглощения метил- -D-глюкопиранозида (значение IC50), рассчитывают с использованием пробит-графика. Полученные результаты представлены в таблице 6.
| Таблица 6 |
| Испытуемое соединение |
Значение IC50 (нМ) |
| Пример 1 |
220 |
Пример испытаний 2
Оценка ингибирующего действия на активность SGLT2 человека
1) Клонирование и сборка вектора, экспрессирующего SGLT2 человека
Готовят библиотеку кДНК для PCR-амплификации с помощью обратной транскрипции из полной РНК, отобранной из почки человека (Ori gene), с использованием в качестве праймера олиго-dT. Используя указанную библиотеку кДНК в качестве матрицы, фрагмент ДНК, кодирующий от 2 до 2039 п.н. SGLT2 человека (ACCESSION: М95549, М95299), который описан R.G. Wells et al., амплифицируют с помощью PCR-метода, и вводят в мультиклонирующий сайт pcDNA3.1(-) (Invitrogen). Вставленная последовательность ДНК полностью совпадает с ранее описанной последовательностью.
2) Создание линии клеток, стабильно экспрессирующей SGLT2 человека
Вектор экспрессии SGLT2 человека сжигают с помощью Sca I в линейную ДНК. Линейную ДНК переносят в клетки СНО-К1 с помощью липофекции (lipofection) (Effectene Transfection Reagent: QIAGEN). Устойчивые к неомицину линии клеток выводят путем культивирования в среде, содержащей G418 (1 мг/мл, LIFE TECHNOLOGIES), и затем измеряют активность относительно поглощения метил- -D-глюкопиранозида описанным ниже способом. Линию клеток, которая проявляет наиболее высокую активность при поглощении, отбирают и обозначают как CS2-5-Е. Клетки CS2-5Е культивируют в присутствии G418 при 200 мкг/мл.
3) Измерение ингибирующей активности относительно поглощения метил- -D-глюкопиранозида ( -MG)
Клетки CS2-5Е высевают в 96-ти луночный культуральный планшет при плотности 3×104 клетка/лунка и культивируют 2 дня, затем используют при оценке поглощения. Смесь немеченого (Sigma) и 14C-меченого -MG (Amersham Pharmacia Biotech) добавляют к буферу для поглощения (рН 7,4, содержащему 140 мМ хлорида натрия, 2 мМ хлорида калия, 1 мМ хлорида кальция, 1 мМ хлорида магния, 10 мМ 2-[4-(2-гидроксиэтил)-1-пиперазинил]-этансульфоновой кислоты и 5 мМ трис(гидроксиметил)аминометана) при конечной концентрации 1 мМ. Испытуемое соединение растворяют в диметилсульфоксиде и затем соответствующим образом разбавляют дистиллированной водой. Раствор испытуемого соединения добавляют к буферу для поглощения, содержащему 1 мМ -MG, и обозначаемому как буфер для измерения. Для контрольной группы готовят буфер для измерения без испытуемого соединения. Для измерения фонового поглощения готовят буфер для измерения фонового поглощения, который содержит 140 мМ хоринхлорида (chorine chloride) вместо хлорида натрия. После удаления культуральной среды клеток CS2-5Е-11D к каждой лунке добавляют 180 мкл буфера для предварительной обработки (буфер для фонового поглощения без -MG) и выдерживают при 37°С в течение 10 минут. После повторения такой же обработки буфер для предварительной обработки удаляют. К каждой лунке добавляют 75 мкл буфера для измерения или буфера для фонового поглощения и выдерживают при 37°С в течение 1 часа. После удаления буфера для измерения клетки промывают дважды 180 мкл из расчета на лунку промывочного буфера (буфер для фонового поглощения, содержащий 10 мМ немеченого -MG). Клетки солюбилизируют с помощью 75 мкл из расчета на лунку раствора гидроксида натрия (0,2 моль/л). Клеточные лизаты переносят в PicoPlates (Packard) и затем добавляют 150 мкл MicroScint-40 (Packard) и смешивают.Радиоактивность измеряют с помощью микросцинтилляционного счетчика TopCount (Packard). Разницу между поглощением в контрольной группе и фоновым поглощением принимают за 100%, и рассчитывают поглощение метил- -D-глюкопиранозида при каждой концентрации лекарства. Концентрацию лекарства, при которой ингибируется 50% поглощения метил- -D-глюкопиранозида (значение IC50), рассчитывают с использованием пробит-графика. Полученные результаты представлены в таблице 7.
| Таблица 7 |
| Испытуемое соединение |
Значение IC50 (нМ) |
| Пример 1 |
58 |
| Пример 2 |
130 |
| Пример 3 |
2,0 |
Промышленное применение
Конденсированные гетероциклические производные настоящего изобретения, представленные приведенной выше общей формулой (I), их фармацевтически приемлемые соли и их пролекарства, проявляют ингибирующую активность в отношении SGLT человека и могут подавлять повышение уровня глюкозы в крови или понижать уровень глюкозы в крови за счет ингибирования поглощения углеводов, таких как глюкоза, в тонкой кишке, или за счет ингибирования повторного поглощения глюкозы почками. Таким образом, настоящее изобретение может обеспечить создание прекрасных средств для профилактики или лечения заболевания, связанного с гипергликемией, такого как диабет, гипергликемия, возникающая после приема пищи, нарушенная толерантность к глюкозе, диабетические осложнения, ожирение или др.
Формула изобретения
1. Конденсированное гетероциклическое производное, представленное следующей общей формулой (I):
 где А1 представляет собой О или S; А2 представляет собой СН или N; один из заместителей R1 и R4 представляет собой группу общей формулы (S):
 где заместители R5 и R6 независимо друг от друга представляют собой атом водорода, гидроксигруппу, атом галогена, C1-6-алкильную группу, C1-6-алкоксигруппу или С1-6-алкилтиогруппу; Q представляет собой -С1-6-алкилен-, -С2-6-алкенилен-, -С1-6-алкилен-O-, -С1-6-алкилен-3-, -O-C1-6-алкилен-, -3-С1-6-алкилен-, -С1-6-алкилен-O-С1-6-алкилен-, -С1-6-алкилен-S-C1-6-алкилен-; цикл А представляет собой фенильную группу; R2 и R3 независимо друг от друга представляют собой атом водорода; G представляет собой группу, представленную формулой:
 или
 Е1 представляет собой атом водорода, атом фтора или гидроксигруппу; Е2 представляет собой атом водорода, атом фтора, метильную группу или гидроксиметильную группу; или его фармацевтически приемлемую соль.
2. Конденсированное гетероциклическое производное по п.1, где Q представляет собой метиленовую группу, этиленовую группу, -ОСН2-, -СН2О-, -SCH2– или -CH2S-, или его фармацевтически приемлемая соль.
3. Конденсированное гетероциклическое производное по п.2, где Q представляет собой этиленовую группу, или его фармацевтически приемлемая соль.
4. Конденсированное гетероциклическое производное по п.2, где Q представляет собой метиленовую группу, или его фармацевтически приемлемая соль.
5. Конденсированное гетероциклическое производное по любому из пп.1-4, где G представляет собой группу, представленную формулой:
 или его фармацевтически приемлемая соль.
6. Ингибитор натрий-зависимого переносчика глюкозы (SGLT) человека, содержащий в качестве активного ингредиента конденсированное гетероциклическое производное по любому из пп.1-5, или его фармацевтически приемлемая соль.
7. Ингибитор SGLT человека по п.6, где SGLT представляет собой натрий-зависимый переносчик глюкозы 1 (SGLT1) и/или натрий-зависимый переносчик глюкозы 2 (SGLT2).
8. Ингибитор SGLT человека по п.6, который представляет собой средство для предупреждения или лечения заболевания, связанного с гипергликемией.
9. Ингибитор SGLT человека по п.8, где заболевание, связанное с гипергликемией, представляет собой заболевание, выбранное из группы, включающей диабет, нарушенную толерантность к глюкозе, диабетические осложнения и ожирение.
10. Ингибитор SGLT человека по п.6, представляющий собой средство для ингибирования у субъекта развития нарушенной толерантности к глюкозе в диабет.
11. Фармацевтическая композиция для профилактики или лечения заболевания, связанного с гипергликемией, представляющая собой дозированную лекарственную форму с постепенным высвобождением, содержащая в качестве активного ингредиента конденсированное гетероциклическое производное по любому из пп.1-5, или ее фармацевтически приемлемая соль.
12. Ингибитор SGLT человека по п.6, представляющий собой дозированную лекарственную форму с постепенным высвобождением.
13. Применение конденсированного гетероциклического производного по любому из пп.1-5 или его фармацевтически приемлемой соли для получения фармацевтической композиции для профилактики или лечения заболевания, связанного с гипергликемией.
14. Применение по п.13, где заболевание, связанное с гипергликемией, представляет собой заболевание, выбранное из группы, включающей диабет, нарушенную толерантность к глюкозе, диабетические осложнения и ожирение.
15. Применение конденсированного гетероциклического производного по любому из пп.1-5 или его фармацевтически приемлемой соли для получения фармацевтической композиции для ингибирования у субъекта развития нарушенной толерантности к глюкозе в диабет.
|
|