|
|
(21), (22) Заявка: 2007146390/04, 15.05.2006
(24) Дата начала отсчета срока действия патента:
15.05.2006
(30) Конвенционный приоритет:
16.05.2005 US 60/681,853
(43) Дата публикации заявки: 27.06.2009
(46) Опубликовано: 27.04.2010
(56) Список документов, цитированных в отчете о поиске:
RU 95122760 А, 10.02.1998. RU 2221799 C1, 20.01.2004. WO 2004/016610 А1, 26.02.2004. WO 98/47899 A1, 29.10.1998. WO 02/04447 A1, 17.01.2002.
(85) Дата перевода заявки PCT на национальную фазу:
17.12.2007
(86) Заявка PCT:
US 2006/018868 20060515
(87) Публикация PCT:
WO 2006/124863 20061123
Адрес для переписки:
101000, Москва, М.Златоустинский пер., 10, кв.15, “ЕВРОМАРКПАТ”, пат.пов. И.А.Веселицкой, рег. 11
|
(72) Автор(ы):
ОКРАМ Барун (US), РЭНЬ Пинда (US), ГРЕЙ Натанаэл С. (US)
(73) Патентообладатель(и):
АЙРМ ЛЛК (BM), ДЗЕ СКРИППС РИСЁЧ ИНСТИТЬЮТ (US)
|
(54) СОЕДИНЕНИЯ И КОМПОЗИЦИИ В КАЧЕСТВЕ ИНГИБИТОРОВ ПРОТЕИНКИНАЗ
(57) Реферат:
Изобретение относится к новым соединениям, выбранным из соединений формул Ia, Ib и Ic, обладающим киназной активностью в отношении киназ, выбранных из CDKs, Aurora, Jak2, Rock, САМКII, FLT3, Tie2, TrkB, FGFR3 и KDR, аномальная активность которых наблюдается при патологических состояниях, таких как, например, доброкачественные и злокачественные пролиферативные заболевания. В соединениях формул Ia, Ib и Ic
  
n равно 0 или 1, R1 выбирают из группы, включающей галоген, C1-С6алкил, C1-С6алкокси, галогензамещенный С1-С6алкил и галогензамещенный C1-С6алкокси, R2 выбирают из группы, включающей фенил, 6-членный гетероарил, содержащий 1-2 атома азота в гетероарильном кольце в качестве гетероатомов, и фенил(С0-С4)алкил, причем указанный фенил и гетероарил в составе R2 необязательно замещен 1-3 радикалами, независимо выбранными из группы, включающей галоген, C1-С6алкил, C1-С6алкокси, галогензамещенный C1-С6алкил, галогензамещенный C1-С6алкокси, -S(O)0-2R5, -COOR5 и -NR5C(O)R6, при этом R5 выбирают из C1-С6алкила, а R6 выбирают из фенила, причем указанный фенил в составе R6 необязательно замещен 1-3 радикалами, независимо выбранными из группы, включающей C1-С6алкил, C1-С6алкокси, галогензамещенный C1-С6алкил и галогензамещенный С1-С6алкокси, Х выбирают из CR7 и N, при этом R7 выбирают из водорода и C1-С6алкила. 5 н. и 2 з.п. ф-лы, 1 табл.
Перекрестные ссылки на родственные заявки
Данная заявка испрашивает более ранний приоритет, основанный на предварительной заявке США сер. номер 60/681853, зарегистрированной 16 мая 2005 г. Полное описание этой заявки включено в настоящее описание в качестве ссылки в полном объеме и с указанием всей области применения.
Предпосылки создания изобретения
Область изобретения
В изобретении предлагаются новый класс соединений, фармацевтические композиции, включающие такие соединения, и способы применения таких соединений для лечения или профилактики заболеваний или нарушений, ассоциированных с аномальной или разрегулированной активностью киназы, прежде всего заболеваний или нарушений, которые включают аномальную активацию киназ CDK, Aurora, Jak2, Rock, САМКII, FLT3, Tie2, TrkB, FGFR3 и KDR.
Предпосылки создания изобретения
Протеинкиназы представляют собой многочисленное семейство белков, которые играют центральную роль в регуляции широкого круга клеточных процессов и в осуществлении контроля клеточных функций. Перечень таких киназ включает, без ограничения перечисленным, рецепторные тирозинкиназы, такие как FLT3, Tie2, TrkB, KDR и рецептор фактора роста фибробластов FGFR3, и серин/треонинкиназы, такие как CDK, Aurora, Jak2, Rock, САМКII. Аномальная активность киназ наблюдается при многих патологических состояниях, включая доброкачественные и злокачественные пролиферативные заболевания, а также заболевания, обусловленные аномальной активацией иммунной и нервной систем.
Новые соединения по настоящему изобретению ингибируют активность одной или более протеинкиназ и, следовательно, их можно использовать для лечения заболеваний, ассоциированных с киназами.
Краткое описание сущности изобретения
В одном объекте настоящего изобретения предлагаются соединения формулы Ia, Ib и Iс:
  
где n равно 0, 1 и 2,
R1 выбирают из группы, включающей галоген, C1-С6алкил, C1-С6алкокси, галогензамещенный C1-С6алкил и галогензамещенный C1-С6алкокси,
R2 выбирают из группы, включающей С6-С10арил(С0-С4)алкил и С5-С10гетероарил(С0-С4)алкил, причем указанный арил или гетероарил в составе R2 необязательно замещен 1-3 радикалами, выбранными из группы, включающей галоген, C1-С6алкил, C1-С6алкокси, галогензамещенный C1-С6алкил, галогензамещенный C1-С6алкокси, -S(O)0-2R5, -СООR5, -C(O)NR5R6 и -NR5C(O)R6, причем R5 выбирают из водорода и C1-С6алкила, а R6 выбирают из С6-С10арила и С5-С10гетероарила, причем указанный арил или гетероарил в составе R6 необязательно замещен 1-3 радикалами, независимо выбранными из группы, включающей галоген, C1-С6алкил, C1-С6алкокси, галогензамещенный C1-С6алкил и галогензамещенный C1-С6алкокси,
Х выбирают из CR7 или N, причем R7 выбирают из водорода и C1-С6алкила,
а также N-оксиды, пролекарства, защищенные производные, индивидуальные изомеры и смеси изомеров, а также фармацевтически приемлемые соли и сольваты (например, гидраты) таких соединений.
Во втором объекте настоящего изобретения предлагается фармацевтическая композиция, включающая соединение формулы I или N-оксид, индивидуальные изомеры и смеси изомеров, или их фармацевтически приемлемые соли, в смеси с одним или более пригодных эксципиентов.
В третьем объекте настоящего изобретения предлагается способ лечения заболевания у животного, который заключается в том, что при ингибировании киназной активности, прежде всего активности CDKs, Aurora, Jac2, Rock, САМКII, FLT3, Tie2, TrkB, FGFR3 и/или KDR, наблюдается предотвращение, подавление или снижение интенсивности заболевания и/или симптомов заболеваний, причем способ включает введение животному терапевтически эффективного количества соединения формулы I или N-оксида, индивидуальных изомеров и смеси изомеров, или их фармацевтически приемлемой соли.
В четвертом объекте настоящего изобретения предлагается применение соединения формулы I для получения лекарственного средства, предназначенного для лечения заболевания у животного, причем киназная активность, прежде всего активность CDKs, Aurora, Jac2, Rock, САМКII, FLT3, Tie2, TrkB, FGFR3 и/или KDR, принимает участие в развитии заболевания и/или симптомов заболевания.
В пятом объекте настоящего изобретения предлагается способ получения соединения формулы I и N-оксидов, пролекарств, защищенных производных, индивидуальных изомеров и смеси изомеров, а также фармацевтически приемлемых солей.
Подробное описание осуществления изобретения
Определение терминов
«Алкил» в качестве группы и структурного элемента других групп, например галогензамещенный алкил и алкокси, является линейным или разветвленным. С1-С4алкокси включает метокси, этокси и т.п. Галогензамещенный алкил включает трифторметил, пентафторэтил и т.п.
«Арил» означает моноциклический или конденсированный бициклический ароматический цикл, содержащий 6-10 атомов углерода в цикле. Например, арил означает фенил или нафтил, предпочтительно фенил. «Арилен» означает двухвалентный радикал, производное арила.
«Гетероарил» имеет значения, определенные выше для арила, причем один или более атомов углерода в цикле заменены на гетероатомы. Например, С5-С8гетероарил включает пиридил, индолил, индазолил, хиноксалинил, хинолинил, бензофуранил, бензопиранил, бензотиопиранил, бензо[1,3]диоксол, имидазолил, бензимидазолил, пиримидинил, фуранил, оксазолил, изоксазолил, триазолил, тетразолил, пиразолил, тиенил и т.п.
«Циклоалкил» означает насыщенный или частично ненасыщенный, моноциклический, конденсированный бициклический или мостиковый полициклический цикл, содержащий указанное количество атомов в цикле. Например, С5-С10циклоалкил включает циклопропил, циклобутил, циклопентил, циклогексил и т.п.
«Гетероциклоалкил» означает циклоалкил, как определено в данном контексте, при условии, что один или более указанных атомов углерода в цикле заменены на группу, выбранную из следующих групп: -О-, -N=, -NR-, -C(O)-, -S-, -S(O)- или -S(O)2-, где R означает водород, С1-С4алкил или азотзащитную группу. Например, С5-С8гетероциклоалкил, используемый в данном контексте для описания соединений по настоящему изобретению, включает морфолино, пирролидинил, пирролидинил-2-он, пиперазинил, пиперидинил, пиперидинилон, 1,4-диокса-8-азаспиро[4.5]дец-8-ил и т.п.
«Галоген» предпочтительно означает хлор или фтор, но также может означать бром или иод.
«Панель киназ» включает следующие киназы: Ab1 (человека), Ab1 (T315I), JAK2, JAK3, ALK, JNK1 1, ALK4, KDR, Aurora-A, Lck, Blk, MAPK1, Bmx, MAPKAP-K2, BRK, MEK1, CaMKII (крысы), Met, CDKl/циклинВ, p70S6K, CHK2, PAK2, CK1, PDGFR , CK2, PDK1, c-kit, Pim-2, c-RAF, РКА (человека), CSK, PKB , cSrc, PKC , DYRK2, Plk3, EGFR, ROCK-I, Fes, Ron, FGFR3, Ros, Flt3, SAPK2 , Fms, SGK, Fyn, SIK, GSK3 , Syk, IGF-1R, Tie-2, IKK , TrKB, IR, WNK3, IRAK4, ZAP-70, ITK, AMPK (крысы), LIMK1, Rsk2, Axl, LKB1, SAPK2 , BrSK2, Lyn (человека), SAPK3, ВТК, МАРКАР-К3, SAPK4, KaMKIV, MARK1, Snk, СDК2/циклинА, MINK, SRPK1, СDК3/циклинЕ, МКК4 (мыши), ТАК1, CDK5/p25, МКR6 (человека), ТВК1, СDR6/циклинD3, MLCK, TrkA, СDК7/циклинН/МАТ1, MRCK , TSSK1, CHK1, MSK1, Yes, CK1d, MST2, ZIPK, c-Kit (D816V), MuSK, DAPK2, NEK2, DDR2, NEK6, DMPK, PAK4, DRAK1, PAR-1B , EphAl, PDGFR , EphA2, Pim-1, EphA5, PKB , EphB2, PKC I, Eph 4, PKC , FGFR1, PKC , FGFR2, PKC , FGFR4, PKD2, Fgr, PKGl , Flt1, PRK2, Hck, PYK2, HIPK2, Ret, IKK , RIPK2, IRR, ROCK-II (человека), JNK2 2, Rse, JNK3, Rsk1 (человека), PI3 K , PI3 K и РI3-К . Соединения по настоящему изобретению анализировали с использованием указанной панели киназ (дикий тип и/или мутантная форма), полученные результаты свидетельствуют о том, что соединения ингибируют активность по крайней мере одной киназы из указанной панели.
“Мутантные формы BCR-Аbl” означают замену одной или многих аминокислот в последовательности киназы дикого типа. Мутации в киназе BCR-ABL часто приводят к повреждению важных контактных участков между белком и ингибитором (например, ингибитором Gleevec, и т.п.), индуцируя переход из неактивного состояния в активное состояние, т.е. переход в конформацию, при которой BCR-ABL и Gleevec неспособны связываться. Анализ клинических случаев свидетельствует о том, что спектр мутаций, ассоциированных с устойчивым фенотипом, со временем медленно, но неуклонно увеличивается. По-видимому, мутации накапливаются в четырех основных фрагментах. Одна группа мутаций (G250E, Q252R, Y253F/H, E255K/V) включает аминокислоты, которые образуют фосфат-связывающую петлю для АТФ (известную также как Р-петля). Вторая группа мутаций (V289A, F311L, T315I, F317L) обнаружена в участке связывания с ингибитором Gleevec и непосредственно взаимодействует с ингибитором за счет водородных связей и Вандер-Ваальсовых сил. Третья группа мутаций (М351Т, E355G) расположена вблизи каталитического домена. Четвертая группа мутаций (H396R/P) локализована в петле активации, конформация которой является молекулярным переключателем, регулирующим активацию/инактивацию киназной активности. Точечные мутации в BCR-ABL, ассоциированные с устойчивостью к ингибитору Gleevec, обнаруженные у пациентов с диагнозом CML и ALL, включают M224V, L248V, G250E, G250R, Q252R, Q252H, Y253H, Y253F, Е255К, E255V, D276G, Т277А, V289A, F311L, T315I, T315N, F317L, М343Т, М315Т, E355G, F359V, F359A, V379I, F382L, L387M, L387F, Н396Р, H396R, А397Р, S417Y, Е459К и F486S (положения аминокислот, указанных однобуквенным кодом, приводятся в соответствии с последовательностью, указанной в базе данных GenBank, номер ААВ60394, соответствующей ABL тип 1a, Martinelli и др., Haematologica/The Hematology Journal, 90-94, (2005, апрель). Если не указано иное, Всr-Abl означает фермент дикого типа и его мутантные формы.
“Лечение” означает способ снижения или ослабления интенсивности заболевания и/или его симптомов.
Подробное описание предпочтительных вариантов осуществления настоящего изобретения
В настоящем изобретении предлагаются соединения, композиции и способы лечения связанных с киназами заболеваний, прежде всего с киназами CDK, Aurora, Jak2, Rock, CAMKII, FLT3, Tie2, TrkB, FGFR3 и KDR.
В одном варианте осуществления изобретения предлагаются соединения формулы Ia, Ib и Iс,
где n равно 0 и 1,
R1 означает С1-С6алкокси, a R2 выбирают из группы, включающей С6-С10арил(С0-С4)алкил и С5-С10гетероарил(С0-С4)алкил, причем указанный арил или гетероарил в составе R2 необязательно замещен 1-3 радикалами, выбранными из группы, включающей галоген, С1-С6алкил, C1-С6алкокси, галогензамещенный C1-С6алкил, -S(O)0-2R5, -COOR5 и -NR5C(O)R6, причем R5 выбирают из водорода и C1-С6алкила, а R6 означает С6-С10арил, необязательно замещенный 1-3 радикалами, независимо выбранными из галогензамещенного C1-С6алкила.
В другом варианте осуществления изобретения R1 означает метокси, R2 выбирают из фенила, бензила и пиридинила, причем указанный фенил, бензил или пиридинил в составе R2 необязательно замещен 1-2 радикалами, независимо выбранными из группы, включающей хлор, бром, фтор, метил, трифторметокси, трифторметил, -СОО2R5, -S(O)2R5 и -NHC(O)R6, причем R5 выбирают из метила и этила, a R6 означает фенил, необязательно замещенный трифторметилом.
Предпочтительные соединения по настоящему изобретению выбирают из группы, включающей (3-хлорфенил)[4-(1Н-пирроло[2,3-b]пиридин-4-ил)пиримидин-2-ил]амин, (4-фторфенил)[4-(1Н-пирроло[2,3-b]пиридин-4-ил)пиримидин-2-ил]амин, [4-(1Н-пирроло[2,3-b]пиридин-4-ил)пиримидин-2-ил](4-трифторметоксифенил)амин, [4-(1Н-пирроло[2,3-b]пиридин-4-ил)пиримидин-2-ил](3-трифторметилфенил)амин, (3,4-дифторфенил)[4-(1Н-пирроло[2,3-b]пиридин-4-ил)пиримидин-2-ил]амин, [4-(1Н-пирроло[2,3-b]пиридин-4-ил)пиримидин-2-ил](4-трифторметилфенил)амин, этиловый эфир 4-[4-(1Н-пирроло[2,3-b]пиридин-4-ил)пиримидин-2-иламино]бензойной кислоты, (3-метоксифенил)[4-(1Н-пирроло[2,3-b]пиридин-4-ил)пиримидин-2-ил]амин, (3-фторбензил)[4-(1Н-пирроло[2,3-b]пиридин-4-ил)пиримидин-2-ил]амин, (3,5-диметоксифенил)[4-(1Н-пирроло[2,3-b]пиридин-4-ил)пиримидин-2-ил]амин, (2-метилпиридин-4-ил)[4-(1Н-пирроло[2,3-b]пиридин-4-ил)пиримидин-2-ил]амин, (2-хлорпиридин-4-ил)[4-(1Н-пирроло[2,3-b]пиридин-4-ил)пиримидин-2-ил]амин, (2-метоксипиридин-4-ил)[4-(1Н-пирроло[2,3-b]пиридин-4-ил)пиримидин-2-ил]амин, (4-метансульфонилфенил)[4-(1Н-пирроло[2,3-b]пиридин-4-ил)пиримидин-2-ил]амин, пиридин-4-ил[4-(1Н-пирроло[2,3-b]пиридин-4-ил)пиримидин-2-ил]амин, (4-метилпиримидин-2-ил)[4-(1Н-пирроло[2,3-b]пиридин-4-ил)пиримидин-2-ил]амин, (3-бромфенил)[4-(1-метил-1Н-пирроло[2,3-b]пиридин-4-ил)пиримидин-2-ил]амин, (3-хлорфенил)[4-(1-метил-1Н-пирроло[2,3-b]пиридин-4-ил)пиримидин-2-ил]амин, [4-(1-метил-1Н-пирроло[2,3-b]пиридин-4-ил)пиримидин-2-ил](3-трифторметилфенил)амин, (3-бром-4-метилфенил)[4-(1-метил-1Н-пирроло[2,3-b]пиридин-4-ил)пиримидин-2-ил]амин, 2-{4-[2-(3-бромфениламино)пиримидин-4-ил]пирроло[2,3-b]пиридин-1-ил}этанол, 2-{4-[2-(3-трифторметилфениламино)пиримидин-4-ил]пирроло[2,3-b]пиридин-1-ил}этанол, 2-{4-[2-(3-хлорфениламино)пиримидин-4-ил]пирроло[2,3-b]пиридин-1-ил}этанол, 2-{4-[2-(3-бром-4-метилфениламино)пиримидин-4-ил]пирроло[2,3-b]пиридин-1-ил}этанол, {4-[1-(2-аминоэтил)-1Н-пирроло[2,3-b]пиридин-4-ил]пиримидин-2-ил}(3-бромфенил)амин, {4-[1-(2-аминоэтил)-1Н-пирроло[2,3-b]пиридин-4-ил]пиримидин-2-ил}(3-бромфенил)метиламин, {4-[1-(2-аминоэтил)-1Н-пирроло[2,3-b]пиридин-4-ил]пиримидин-2-ил}(4-трифторметилфенил)амин, N-{4-метил-3-[4-(1Н-пирроло[2,3-b]пиридин-4-ил)пиримидин-2-иламино]фенил}-3-трифторметилбензамид, [4-(1Н-пирроло[2,3-b]пиридин-3-ил)пиримидин-2-ил](4-трифторметилфенил)амин, (3,5-диметоксифенил)[4-(1Н-пирроло[2,3-b]пиридин-3-ил)пиримидин-2-ил]амин, (3,5-дифторфенил)[4-(1Н-пирроло[2,3-b]пиридин-3-ил)пиримидин-2-ил]амин, (3-бромфенил)[4-(1Н-пирроло[2,3-b]пиридин-3-ил)пиримидин-2-ил]амин, (3-метоксифенил)[4-(1Н-пирроло[2,3-b]пиридин-3-ил)пиримидин-2-ил]амин, (4-хлорфенил)[4-(1Н-пирроло[2,3-b]пиридин-3-ил)пиримидин-2-ил]амин, этиловый эфир 4-[4-(1Н-пирроло[2,3-b]пиридин-3-ил)пиримидин-2-иламино]бензойной кислоты, N-{4-метил-3-[4-(1Н-пирроло[2,3-b]пиридин-3-ил)пиримидин-2-иламино]фенил}-3-трифторметилбензамид, (3-хлорфенил)[4-(4-метокси-1Н-пирроло[2,3-b]пиридин-3-ил)пиримидин-2-ил]амин, [4-(4-метокси-1Н-пирроло[2,3-b]пиридин-3-ил)пиримидин-2-ил](3-трифторметилфенил)амин, (3-бромфенил)[4-(4-метокси-1Н-пирроло[2,3-b]пиридин-3-ил)пиримидин-2-ил]амин, N-{4-метил-3-[4-(1Н-пирроло[2,3-b]пиридин-5-ил)пиримидин-2-иламино]фенил}-3-трифторметилбензамид, N-этил-4-[4-(1Н-пирроло[2,3-b]пиридин-4-ил)пиримидин-2-иламино]бензолсульфонамид, N-(2-метоксиэтил)-4-[4-(1Н-пирроло[2,3-b]пиридин-4-ил)пиримидин-2-иламино]бензолсульфонамид, N-(3-метоксипропил)-4-[4-(1Н-пирроло[2,3-b]пиридин-4-ил)пиримидин-2-иламино]бензолсульфонамид, N-(3-метоксипропил)-4-[4-(1Н-пирроло[2,3-b]пиридин-3-ил)пиримидин-2-иламино]бензолсульфонамид, (3-бромфенил)[4-(2-метил-1Н-пирроло[2,3-b]пиридин-4-ил)пиримидин-2-ил]амин, (3-хлорфенил)[4-(2-метил-1Н-пирроло[2,3-b]пиридин-4-ил)пиримидин-2-ил]амин, [4-(2-метил-1Н-пирроло[2,3-b]пиридин-4-ил)пиримидин-2-ил](3-трифторметилфенил)амин, N-(2-метоксиэтил)-4-[4-(2-метил-1Н-пирроло[2,3-b]пиридин-4-ил)пиримидин-2-иламино]бензолсульфонамид, N-(3-метоксипропил)-4-[4-(2-метил-1Н-пирроло[2,3-b]пиридин-4-ил)пиримидин-2-иламино]бензолсульфонамид, (3-бромфенил)[4-(1Н-пиразоло[3,4-b]пиридин-4-ил)пиримидин-2-ил]амин, (3-хлорфенил)[4-(1Н-пиразоло[3,4-b]пиридин-4-ил)пиримидин-2-ил]амин, [4-(1Н-пиразоло[3,4-b]пиридин-4-ил)пиримидин-2-ил](3-трифторметилфенил)амин, (3-хлорфенил)[4-(1Н-пирроло[2,3-b]пиридин-5-ил)пиримидин-2-ил]амин, (3-бромфенил)[4-(1Н-пирроло[2,3-b]пиридин-5-ил)пиримидин-2-ил]амин и [4-(1Н-пирроло[2,3-b]пиридин-5-ил)пиримидин-2-ил](3-трифторметилфенил)амин.
Другие предпочтительные соединения по настоящему изобретению приведены ниже в разделе «Примеры» и в таблице.
Фармакология и промышленная применимость
Соединения по изобретению модулируют активность киназ и как таковые используются для лечения заболеваний или нарушений, при которых киназы принимают участие в развитии патологии и/или симптоматике заболевания. Примеры киназ, которые ингибируются соединениями и композициями, описанными в данном контексте, и для подавления которых используются методы, описанные в данном контексте, включают, без ограничения перечисленным, CDK, Aurora, Jak2, Rock, CAMKII, FLT3, Tie2, TrkB, FGFR3 и KDR.
Тирозинкиназа Абельсона (т.е. Abl, с-Abl) принимает участие в регуляции клеточного цикла, в клеточном ответе на генотоксический стресс и в передаче информации о клеточном окружении через интегриновый сигнал. Таким образом белок Ab1 выполняет сложную функцию в качестве клеточного модуля, который интегрирует сигналы от различных межклеточных и внутриклеточных источников, что оказывает влияние на принятие решений относительно клеточного цикла и апоптоза. Тирозинкиназа Абельсона включает подтипы, такие как химерный гибридный белок (онкопротеин) BCR-Abl с разрегулированной тирозинкиназной активностью или v-Аbl. BCR-Abl играет решающую роль в патогенезе в 95% случаев хронического миелогенного лейкоза (CML) и в 10% случаев острого лимфолейкоза. STI-571 (Gleevec) является ингибитором онкогенной тирозинкиназы BCR-Abl и используется при лечении хронического миелоидного лейкоза (CML). Однако у некоторых пациентов на стадии бластного криза CML наблюдается устойчивость к STI-571 из-за мутаций в киназе BCR-Abl. К настоящему времени идентифицировано 22 мутации, наиболее частыми из которых являются G250E, E255V, T315I, F317L и М351Т.
Соединения по настоящему изобретению ингибируют киназу abl, прежде всего киназу v-abl. Соединения по настоящему изобретению также ингибируют дикий тип киназы BCR-Abl и мутированные формы киназы BCR-Abl и, следовательно, пригодны для лечения Всr-аbl-позитивного рака и опухолевых заболеваний, таких как лейкоз (прежде всего хронический миелоидный лейкоз и острый лимфолейкоз, при развитии которых прежде всего установлен апоптотический механизм действия), а также оказывают действие на подгруппу лейкозных стволовых клеток и могут использоваться для очистки этих клеток in vitro после их удаления из организма (например, удаления костного мозга) и реплантации популяции клеток, очищенных от раковых клеток (например, реплантации очищенных клеток костного мозга).
Сигнальный путь Ras-Raf-MEK-ERK опосредует клеточный ответ на ростовые сигналы. Ras мутирован в онкогенную форму в ~15% случаев рака человека. Семейство Raf относится к семейству серин/треонинпротеинкиназ и включает три члена семейства A-Raf, В-Раг и c-Raf (или Raf-1). Исследование Raf как мишени лекарственных средств направлено на изучение действия Raf в качестве подавляющего эффектора на Ras. Однако полученные недавно данные свидетельствуют о том, что B-Raf выполняет важную функцию в образовании некоторых опухолей без обязательного участия активированной аллели Ras (Nature, 417, 949-954 (01 июля 2002). Мутации B-Raf прежде всего обнаружены в большинстве злокачественных меланом.
Существующие методы лечения меланомы характеризуются недостаточной эффективностью прежде всего на поздней стадии заболевания. Соединения по настоящему изобретению ингибируют также клеточные процессы с участием киназы b-Raf и представляют собой новый терапевтический подход к лечению рака человека, прежде всего меланомы.
Соединения по настоящему изобретению, кроме того, ингибируют клеточные процессы с участием киназы c-Raf. c-Raf активируется онкогеном ras, который мутирован при многих видах рака человека. Следовательно, ингибирование киназной активности c-Raf представляет собой перспективный способ предотвращения роста опухоли, опосредованного геном ras (Campbell S.L., Oncogene, 17, 1395 (1998)).
PDGF (фактор роста тромбоцитов) представляет собой очень распространенный ростовой фактор, который играет важную роль как в процессе нормального роста, так и в патологической клеточной пролиферации, например, которая наблюдается при онкогенезе и при заболеваниях клеток гладкой мускулатуры кровеносных сосудов, например при атеросклерозе и тромбозе. Соединения по изобретению ингибируют активность рецептора PDGF (PDGFR) и, следовательно, могут использоваться при лечении опухолевых заболеваний, таких как глиома, саркома, рак предстательной железы и рак ободочной кишки, молочной железы и яичника.
Соединения по настоящему изобретению можно использовать не только в качестве подавляющих опухоль агентов, например при мелкоклеточном раке легких, но и в качестве агента для лечения незлокачественных пролиферативных нарушений, таких как атеросклероз, тромбоз, псориаз, склеродерма и фиброз, а также для защиты стволовых клеток, например, для борьбы с гемотоксическим действием химиотерапевтических агентов, таких как 5-фторурацил, и для лечения астмы. Соединения по изобретению прежде всего можно использовать для лечения заболеваний, которые чувствительны к ингибированию рецепторной киназы PDGF.
Соединения по настоящему изобретению оказывают лечебное действие при лечении нарушений, возникающих в результате трансплантации, например аллогенной трансплантации, прежде всего при отторжении тканей, таких как прежде всего облитерирующий бронхиолит (ОВ), т.е. хроническое отторжение аллогенных трансплантатов легкого. В отличие от пациентов, не страдающих от ОВ, у пациентов с диагнозом ОВ часто наблюдается повышенная концентрация PDGF в бронхоальвеолярной промывной жидкости.
Соединения по настоящему изобретению также являются эффективными при заболеваниях, ассоциированных с миграцией и пролиферацией клеток гладкой мускулатуры сосудов (при которых PDGF и PDGF-R часто играют заметную роль), таких как рестеноз и атеросклероз. Такое воздействие и его последующее влияние на пролиферацию и миграцию клеток гладкой мускулатуры сосудов in vitro и in vivo можно оценивать при введении соединений по настоящему изобретению, а также при исследовании воздействия на утолщение внутренней оболочки сосудов после механического повреждения in vivo.
Семейство trk рецепторов нейтрофина (trkA, trkB, trkC) стимулирует выживание, рост и дифференциацию нейронных и ненейронных тканей. Белок TrkB экспрессируется в клетках нейроэндокринного типа в тонкой кишке и ободочной кишке, в -клетках поджелудочной железы, в моноцитах и макрофагах лимфатических узлов и селезенки и в гранулярных слоях эпидермиса (Shibayama и Koizumi, 1996). Экспрессия белка TrkB ассоциируется с неблагоприятным прогнозом и прогрессированием опухолей Вилмса и нейробластомы. Более того, TkrB экспрессируется в злокачественных клетках предстательной железы, но не обнаруживается в нормальных клетках. Сигнальный путь подавления (экспрессии) рецепторов trk включает каскад активации МАРК с участием Shc, активированного Ras, генов ERK-1 и ERK-2, и пути трансдукции PLC- 1 (Sugimoto и др., 2001).
Киназа c-Src передает онкогенные сигналы многих рецепторов. Например, сверхэкспрессия EGFR или HER2/neu в опухолях приводит к конститутивной активации c-src, что является характеристикой злокачественных клеток, но не наблюдается в нормальных клетках. С другой стороны, мыши с дефицитом экспрессии c-src представляют собой фенотип «мраморной болезни», что свидетельствует о ключевой роли c-src в функционировании остеокластов и возможном участии в развитии ассоциированных нарушений.
Киназа семейства Tec, Bmx, нерецепторная протеинтирозинкиназа, контролируют пролиферацию эпителиальных раковых клеток молочной железы.
Установлено, что рецептор 3 фактора роста фибробластов обладает отрицательным регуляторным действием на рост костной ткани и ингибирование пролиферации хондроцитов. Летальная дисплазия вызывается различными мутациями в рецепторе 3 фактора роста фибробластов, а одна мутация, TDII FGFR3, обладает конститутивной тирозинкиназной активностью, которая активирует фактор транскрипции Stal1, что приводит к экспрессии ингибитора клеточного цикла, остановке роста и аномальному развитию костной ткани (Su и др., Nature, 386, 288-292 (1997)). Кроме того, FGFR3 часто экспрессируется в опухолях типа множественной миеломы. Ингибиторы активности FGFR3 можно использовать для лечения воспалительных или аутоиммунных заболеваний, опосредованных Т-клетками, включающих, без ограничения перечисленным, ревматоидный артрит (RA), коллагеновый артрит II, рассеянный склероз (МС:), системную красную волчанку (SLE), псориаз, юношеский диабет, болезнь Шенгрена, заболевание щитовидной железы, саркоидоз, аутоиммунный увеит, воспалительное заболевание кишечника (болезнь Крона и язвенный колит), глютеновую болезнь и тяжелую псевдопаралитическую миастению.
Активность сывороточной и глюкокортикоид-регулируемой киназы (SGK) коррелирует с активностями возмущенных ионных каналов, прежде всего активностью натриевых и/или калиевых каналов, и соединения по изобретению можно использовать для лечения гипертензии.
В работах Lin и др., J.Clin. Invest. 100, 8, 2072-2078 (1997) и Р.Lin, PNAS, 95, 8829-8834 (1998) установлено подавление роста опухоли и васкуляризации, а также снижение метастазирования в легких при аденовирусных инфекциях или при инъекциях внеклеточного домена Tie-2 (Tek) в опухоли молочной железы и модели ксенотрансплантата меланомы. Ингибиторы Tie2 можно использовать в случаях, при которых наблюдается аномальная неоваскуляризация (например, при диабетической ретинопатии, хроническом воспалении, псориазе, саркоме Капоши, хронической неоваскуляризации при дегенерации желтого пятна, ревматоидном артрите, инфантильной гемангиоме и раке).
Lck принимает участие в передаче сигнала Т-клетками. У мышей с отсутствием гена Lck наблюдается низкий уровень тимоцитов. Функция Lck в качестве положительного активатора передачи сигнала Т-клетками свидетельствует о том, что ингибиторы Lck можно использовать для лечения аутоиммунного заболевания, такого как ревматоидный артрит.
Киназы JNK и другие МАРК принимают участие в опосредовании клеточного ответа на рак, тромбин-индуцированную агрегацию тромбоцитов, нарушениях типа иммунодефицита, аутоиммунные заболевания, гибель клеток, аллергию, остеопороз и болезнь сердца. Терапевтические мишени, связанные с активацией пути JNK, включают хронический миелогенный лейкоз (CML), ревматоидный артрит, астму, остеоартрит, ишемию, рак и нейродегенеративные заболевания. В связи с активацией JNK, ассоциированной с заболеванием печени или приступами гепатической ишемии, соединения по изобретению можно также использовать для лечения различных нарушений функции печени. Сообщается также об участии JNK в развитии сердечно-сосудистого заболевания, такого как инфаркт миокарда или застойная сердечная недостаточность, а также установлено, что JNK опосредует гипертрофические ответные реакции на различные формы сердечного стресса. Установлено, что каскад JNK принимает участие в активации Т-клеток, включая активацию промотора IL-2. Таким образом, ингибиторы JNK могут оказывать лечебное действие при коррекции патологических ответных иммунных реакций. Установлена также роль активации JNK при развитии различных видов рака, что свидетельствует о возможности эффективного использования ингибиторов JNK при заболевании раком. Например, конститутивно активируемая JNK ассоциируется с онкогенезом, опосредованным HTLV-1 (Oncogene, 13, 135-142 (1996)]. JNK принимает участие в развитии саркомы Капоши (KS). Пролиферативное действие других цитокинов, принимающих участие в пролиферации KS, таких, как эндотелиальный фактор роста сосудов (VEGF), IL-6 и TNF , также может оказаться опосредованным JNK. Кроме того, регуляция гена c-jun в клетках р210, трансформированных BCR-ABL, соответствует активности JNK, что свидетельствует о возможности применений ингибиторов JNK при лечении хронического миелогенного лейкоза (CML) (Blood 92, 2450-2460 (1998)).
Принято считать, что некоторые аномальные пролиферативные состояния ассоциированы с экспрессией raf и, следовательно, чувствительны к ингибированию экспрессии raf. Аномально высокие уровни экспрессии белка raf также связаны с трансформацией и аномальной пролиферацией клеток. Предполагается также, что указанные аномальные пролиферативные состояния чувствительны к ингибированию экспрессии raf. Например, предполагается, что экспрессия белка c-raf играет роль в аномальной клеточной пролиферации, поскольку сообщается, что 60% всех клеточных линий карциномы легкого обычно экспрессируют высокий уровень мРНК и белка c-raf. Другими примерами аномальных пролиферативных состояний являются гиперпролиферативные нарушения, такие как рак, опухоли, гиперплазия, фиброз легких, ангиогенез, псориаз, атеросклероз и пролиферация клеток гладкой мускулатуры кровеносных сосудов, такие как стеноз или рестеноз после пластической операции на сосудах. Клеточный сигнальный путь, частью которого является raf, также принимает участие в воспалительных нарушениях, характеризующихся пролиферацией Т-клеток (активация и рост Т-клеток), таких, например, как отторжение тканевого трансплантата, эндотоксиновый шок и гломерулярный нефрит.
Стресс-активируемые протеинкиназы (SAPK) представляют собой семейство протеинкиназ, которые принимают участие на предпоследней стадии пути передачи сигнала, при этом происходит активация фактора транскрипции с-jun и экспрессия генов, регулируемых c-jun. Прежде всего c-jun принимает участие в транскрипции генов, которые кодируют белки, связанные с репарацией ДНК, поврежденной вследствие генотоксических эффектов. Следовательно, агенты, которые ингибируют активность SAPK в клетке, предотвращают репарацию ДНК и сенсибилизируют клетку к агентам, которые индуцируют повреждение ДНК или ингибируют синтез ДНК и индуцируют апоптоз клетки, или к агентам, которые ингибируют клеточную пролиферацию.
Митоген-активируемые протеинкиназы (МАРК) являются членами консервативных путей передачи сигнала, которые активируют факторы транскрипции, факторы трансляции и другие молекулы-мишени в ответ на различные внеклеточные сигналы. МАРК активируются митоген-активируемыми протеинкиназами (МКК) за счет двойного фосфорилирования по двум аминокислотам в последовательности Thr-X-Tyr. У высших эукариотов физиологическая роль передачи сигнала МАРК коррелирует с клеточными процессами, такими как пролиферация, онкогенез, развитие и дифференциация. Соответственно, способность регулировать передачу сигнала по указанным путям (прежде всего с участием МКК4 и МКК6) можно использовать при разработке способов лечения и профилактики заболеваний человека, ассоциированных с передачей сигнала МАРК, таких как воспалительные заболевания, аутоиммунные заболевания и рак.
Семейство протенкиназ рибосомального белка S6 человека включает по крайней мере 8 членов (RSK1, RSK2, RSK3, RSK4, MSK1, MSK2, p70S6K и p70S6 Kb). Протенкиназы рибосомального белка S6 выполняют важные плеотропные функции, в том числе играют ключевую роль в регуляции трансляции мРНК при биосинтезе белка (Eur. J. Biochem., 267 (21), 6321-6330 (2000, ноябрь); Exp Cell Res., 253 (1), 100-109 (1999, 25 ноября); Mol Cell Endocrinol., 151 (1-2), 65-77 (1999, 25 мая)). Кроме того, фосфорилирование рибосомального белка S6 киназой p70S6 связано с регуляцией клеточной подвижности (Immunol. Cell Biol., 78 (4), 447-451 (2000, август)) и клеточного роста (Prog. Nucleic Acid Res. Mol. Biol., 65, 101-127 (2000)), и, следовательно, является важным фактором при метастазировании опухоли, иммунном ответе и репарации ткани, а также при других патологических состояниях.
Киназы SAPK (называемые также “jun N-концевые киназы” или “JNK”) представляют собой семейство протеинкиназ, которые принимают участие на предпоследней стадии пути передачи сигнала, при этом происходит активация фактора транскрипции c-jun и экспрессия генов, регулируемых c-jun. Прежде всего c-jun принимает участие в транскрипции генов, которые кодируют белки, связанные с репарацией ДНК, поврежденной вследствие генотоксических эффектов. Агенты, которые ингибируют активность SAPK в клетке, предотвращают репарацию ДНК и сенсибилизируют клетку к таким терапевтическим противоопухолевым агентам, которые оказывают действие за счет индуцирования повреждения ДНК.
ВТК играют важную роль в развитии аутоиммунного и/или воспалительного заболевания, такого как системная красная волчанка (SLE), ревматоидный артрит, рассеянный васкулит, идиопатическая тромбоцитопеническая пурпура (ITP), тяжелая псевдопаралитическая миастения и астма. Благодаря участию ВТК в активации В-клеток, ингибиторы ВТК можно использовать для подавления патогенных состояний, опосредованных В-клетками, таких как продуцирование аутоантител, и при лечении лимфомы и лейкоза В-клеток.
СНК2 является киназой контрольных точек семейства серин/треонинпротеинкиназ и принимает участие в механизме контроля повреждений ДНК, таких как повреждения, вызванные мутагенами окружающей среды и эндогенными видами активного кислорода. В результате ее можно использовать в качестве супрессора опухоли и мишени при онкотерапии.
CSK влияет на метастазирующую активность опухолевых клеток, прежде всего рака ободочной кишки.
Fes является нерецепторной протеинтирозинкиназой, которая принимает участие в ряде путей передачи сигнала с участием цитокинов, а также дифференциации миелоидных клеток. Fes является также ключевым компонентом в механизме дифференциации гранулоцитов.
Рецепторная тирозинкиназа Flt3 принимает участие в развитии лейкоза и миелодиспластического синдрома. Приблизительно 25% клеток лейкоза AML экспрессируют конститутивно активную форму аутофосфорилированной тирозинкиназы (ф)FLТ3 на клеточной поверхности. Активность ф-FLT3 обеспечивает рост и выживание предпочтительно лейкозных клеток. Пациенты с острым лейкозом, у которых лейкозные клетки экспрессируют киназу ф-FLТ3, в основном характеризуются неблагоприятным клиническим прогнозом. Ингибирование киназы ф-FLT3 индуцирует апоптоз (программируемую гибель клеток) лейкозных клеток.
Ингибиторы IKK и IKK (1 и 2) являются лекарственными средствами для лечения заболеваний, включающих ревматоидный артрит, отторжение трансплантата, воспалительное заболевание кишечника, остеоартрит, астму, хроническое обструктивное заболевание легких, атеросклероз, псориаз, рассеянный склероз, инсульт, системную красную волчанку, болезнь Альцгеймера, ишемию головного мозга, травматическое повреждение мозга, болезнь Паркинсона, боковой амиотрофический склероз, субарахноидальное кровоизлияние и другие заболевания или нарушения, ассоциированные с избыточным продуцированием воспалительных медиаторов в головном мозге и центральной нервной системе.
Met ассоциируется с большинством типов основных раков человека и экспрессия этого фермента часто коррелирует с неблагоприятным прогнозом и метастазированием. Ингибиторы Met являются лекарственными средствами для лечения заболеваний, включающих различные виды рака, такие как рак легких, NSCLC (немелкоклеточный рак легких), рак костной ткани, рак поджелудочной железы, рак кожи, рак головы и шеи, кожная и внутриглазная меланома, рак матки, рак яичника, ректальный рак, рак анальной области, рак желудка, рак ободочной кишки, рак молочной железы, гинекологические опухоли (например, саркома матки, карцинома маточных труб, карцинома эндометрия, карцинома шейки матки, карцинома влагалища или карцинома вульвы), болезнь Ходжкина, рак пищевода, рак тонкой кишки, рак эндокринной системы (например, рак щитовидной железы, паратиреоидный рак или рак надпочечников), саркомы мягких тканей, рак мочеиспускательного канала, рак пениса, рак предстательной железы, хронический или острый лейкоз, детские солидные опухоли, лимфоцитарные лимфомы, рак мочевого пузыря, рак почек или мочеточника (например, почечноклеточный рак, карцинома почечного пелвиса), детские злокачественные заболевания, опухоли центральной нервой системы (например, первичная лимфома ЦНС, опухоли позвоночника, глиома мозгового ствола или гипофизарная аденома), рак крови, такой как острый миелоидный лейкоз, хронический миелоидный лейкоз и т.п., язва пищевода Баррета (предраковый синдром), неопластическое заболевание кожи, псориаз, грибовидные микозы и доброкачественная гипертрофия предстательной железы, заболевания, ассоциированные с диабетом, такие как диабетическая ретинопатия, ретинальная ишемия и ретинальная неоваскуляризация, цирроз печени, сердечно-сосудистые заболевания, такие как атеросклероз, иммунологические заболевания, такие как аутоиммунное заболевание и почечное заболевание. Предпочтительно заболевание означает рак, такой как острый миелоидный лейкоз и колоректальный рак.
Nima-ассоциированная киназа 2 (Nek2) является протеинкиназой, регулирующей клеточный цикл, причем фермент локализуется в центросоме и обладает максимальной активностью на стадии митоза. Функциональные исследования свидетельствуют об участии Nek2 в регуляции разделения центросомы и образовании веретена. Повышенное содержание белка Nek2 (в 2-5 раз) наблюдается в клеточных линиях, полученных из некоторых опухолей человека, таких как рак шейки матки, яичника, предстательной железы и прежде всего рака молочной железы.
Заболевания или состояния, опосредованные p70S6K, включают, без ограничения перечисленным, пролиферативные нарушения, такие как рак и туберозный склероз.
В настоящее время существует постоянно возрастающее множество данных о надежном и эффективном лечении ингибиторами киназы раков, при которых киназа-мишень лекарственного средства конститутивно активируется мутациями в гене. Опубликовано множество работ о мутациях, выявленных в последовательностях киназ, которые происходят в результате естественного отбора опухоли. Список примеров таких киназ включает, без органичения перечисленным, мутант b-raf V599E в более 60% случаев меланом, мутанты Flt3-ITD в 30% случаев AML, мутации c-kit у пациентов с GIST, PDGFR у пациентов с GIST и HES, PDGFR у пациентов с CMML, мутанты Pi3K при раке ободочной кишки и желудка, а также при глиобластоме, и мутанты EGFR в 10% случаев рака легких (чувствительных к ирессе) и глиобластомы.
В соответствии с вышеизложенным в настоящем изобретении предлагается также способ профилактики или лечения любых заболеваний или нарушений, указанных выше, у субъекта, который нуждается в таком лечении, причем указанный способ включает введение указанному субъекту терапевтически эффективного количества (см. ниже в разделе Способы введения и фармацевтические композиции) соединения формулы I или его фармацевтически приемлемой соли. При любом вышеуказанном применении требуемые дозы могут изменяться в зависимости от способа введения, конкретного состояния, подлежащего лечению, и ожидаемого действия.
Способы введения и фармацевтические композиции
В общем случае соединения по изобретению вводят в терапевтически эффективных количествах любыми обычными и приемлемыми известными способами, отдельно или в комбинации с одним или более терапевтическими агентами. Терапевтически эффективное количество может изменяться в зависимости от тяжести заболевания, возраста и относительного состояния здоровья субъекта, активности используемого соединения и других факторов. В общем случае удовлетворительные результаты достигаются при системном введении суточных доз от приблизительно 0,03 до 2,5 мг/кг массы тела. Для более крупного млекопитающего, например человека, назначаемая суточная доза составляет от приблизительно 0,5 мг до приблизительно 100 мг, которую можно вводить, например, разделенными дозами до четырех раз в сутки или в виде формы с замедленным высвобождением. Пригодные стандартные лекарственные формы для перорального введения включают от приблизительно 1 до 50 мг активного ингредиента.
Соединения по изобретению можно вводить в виде фармацевтических композиций любым приемлемым способом, прежде всего энтеральным способом, например пероральным способом в форме таблеток или капсул, парентеральным способом, например в форме инъекционных растворов или суспензий, местным способом, например в форме лосьонов, гелей, мазей или кремов, или назальным способом, или в форме суппозиториев. Фармацевтические композиции, включающие соединение по настоящему изобретению в свободной форме или в форме фармацевтически приемлемой соли в смеси по крайней мере с одним фармацевтически приемлемым носителем или разбавителем, получают обычным способом с использованием обычных методов смешивания, гранулирования или покрытия оболочкой. Например, пероральные композиции могут представлять собой таблетки или желатиновые капсулы, включающие активный ингредиент в смеси с: а) разбавителями, например лактозой, декстрозой, сахарозой, маннитом, сорбитом, целлюлозой и/или глицином; б) замасливателями, например диоксидом кремния, тальком, стеариновой кислотой, ее кальциевой или магниевой солью и/или полиэтиленгликолем, а таблетки могут также включать в) связующие агенты, например силикат магния/алюминия, крахмал, желатин, трагакант, метилцеллюлозу, Na-соль карбоксиметилцеллюлозы и/или поливинилпирролидон, и при необходимости г) дезинтегрирующие агенты, например крахмалы, агар, альгиновую кислоту или ее натриевую соль, или шипучие смеси, и/или д) абсорбенты, красители, ароматизаторы и подсластители. Инъекционные композиции могут представлять собой водные изотонические растворы или суспензии, а суппозитории получают из жировых эмульсий или суспензий. Композиции можно стерилизовать или они могут содержать адъюванты, такие как консерванты, стабилизирующие, смачивающие или эмульгирующие агенты, способствующие растворению агенты, соли для регуляции осмотического давления и/или буферные вещества. Кроме того, они могут содержать другие терапевтически ценные соединения. Пригодные составы для чрескожного применения включают эффективное количество соединения по настоящему изобретению в смеси с носителем. Носитель может включать абсорбируемые фармакологически приемлемые растворители для обеспечения всасывания через кожу пациента. Например, системы для чрескожного введения представляют собой повязку, включающую защитную пленку, резервуар, содержащий соединение необязательно в смеси с носителем, необязательно мембрану, регулирующую доставку соединения на кожу пациента с заданной и контролируемой скоростью в течение продолжительного времени, и устройство, обеспечивающее удерживание повязки на поверхности кожи. Можно также использовать матричные чрескожные составы. Пригодные составы для местного применения, например для нанесения на кожу и в глаза, предпочтительно представляют собой водные растворы, мази, кремы или гели, известные в данной области. Такие составы могут содержать солюбилизирующие, стабилизирующие, тонизирующие агенты, буферные вещества и консерванты.
Соединения по изобретению можно вводить в терапевтически эффективных количествах в комбинации с одним или более терапевтических агентов (фармацевтические комбинации). Например, синергетическое действие достигается при использовании комбинации с другими иммуномодулирующими или противовоспалительными веществами, например, при использовании комбинации с циклоспорином, рапамицином или аскомицином, или их иммунодепрессантными аналогами, например циклоспорином A (CsA), циклоспорином G, FK-506, рапамицином, или аналогичными соединениями, кортикостероидами, циклофосфамидом, азатиоприном, метотрексатом, бреквинаром, лефлуномидом, мизорибином, микофеноловой кислотой, микофенолатом мофетила, 15-дезоксиспергуалином, иммунодепрессантными антителами, прежде всего моноклональными антелами к рецепторам лейкоцитов, например, МНС, CD2, CD3, CD4, CD7, CD25, CD28, В7, CD45, CD58 или их лигандам, или другими иммонумодулирующими соединениями, такими как CTLA41g. Если соединения по изобретению вводят совместно с другими терапевтически активными агентами, дозы совместно вводимых соединений варьируют в зависимости от типа совместно используемого лекарственного средства, от конкретного лекарственного средства, от состояния, подлежащего лечению, и т.п.
Кроме того, изобретение относится к фармацевтическим комбинациям, например набору, включавшему а) первый агент, который представляет собой соединение по изобретению, указанное выше, в свободной форме или в форме фармацевтически приемлемой соли, и б) по крайней мере один сопутствующий агент. Набор включает инструкции по введению лекарственных средств.
Термины “совместное введение” или “комбинированное введение” или аналогичные термины, используемые в описании, означают введение выбранных терапевтических агентов одному пациенту, а также курс лечения, согласно которому агенты необязательно вводят одновременно и одним и тем же способом.
Термин “фармацевтическая комбинация”, используемый в описании заявки, означает продукт, который образуется при смешивании или объединении более одного активного ингредиента и включает фиксированные и нефиксированные комбинации активных ингредиентов. Термин “фиксированная комбинация” означает, что активные ингредиенты, например соединение формулы I и сопутствующий агент, вводятся пациенту одновременно в форме одного материала или дозы. Термин “нефиксированная комбинация” означает, что активные ингредиенты, например соединение формулы I и сопутствующий агент, вводят пациенту раздельно, одновременно, совместно или последовательно, без ограничений по времени, причем такое введение обеспечивает достижение терапевтически эффективного уровня двух соединений в организме пациента. Последнее относится также к комбинированному лечению, например к введению трех или более активных ингредиентов.
Способы получения соединений по изобретению
Настоящее изобретение включает также способы получения соединений по изобретению. При использовании указанных способов существует необходимость защищать реакционно-способные функциональные группы, например гидрокси, амино, имино, тио или карбоксигруппы, если указанные группы должны присутствовать в конечном продукте, чтобы исключить их нежелательное участие в реакциях. Стандартные защитные группы вводят по обычным методикам, как описано, например, в книге T.W.Greene and P.G.M.Wuts «Protective Groups in Organic Chemistry», John Wiley and Sons (1991).
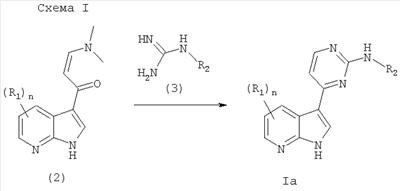
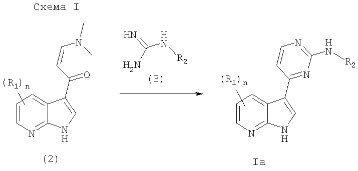
Соединения формулы I получают, как показано на схеме I

где n, R1 и R2 имеют значения, определенные в разделе «Краткое описание сущности изобретения». Соединение формулы Iа получают при взаимодействии соединения формулы 2 с соединением формулы 3 в присутствии пригодного растворителя (например, втор-бутанола и т.п.). Реакцию проводят при температуре от приблизительно 20°С до приблизительно 80°С в течение приблизительно 24 ч до завершения реакции.
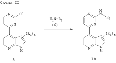
Соединения формулы I получают так же, как показано на схеме II

где n, R1 и R2 имеют значения, определенные в разделе «Краткое описание сущности изобретения». Соединение формулы Ib получают при взаимодействии соединения формулы 5 с соединением формулы 6 в присутствии пригодного растворителя (например, втор-бутанола и т.п.) и пригодного катализатора (например, моногидрата пара-толуолсульфоновой кислоты и т.п.). Реакцию проводят при температуре от приблизительно 60°С до приблизительно 130°С в течение приблизительно 24 ч до завершения реакции.
В другом варианте соединение формулы Ib получают при взаимодействии соединения формулы 5 с соединением формулы 6 в присутствии пригодного растворителя (например, диоксана и т.п.), пригодного катализатора (например, ацетата палладия и т.п.) и пригодного лиганда (например, XantPhos и т.п.). Реакцию проводят при температуре от приблизительно 60°С до приблизительно 130°С в течение приблизительно 24 ч до завершения реакции.
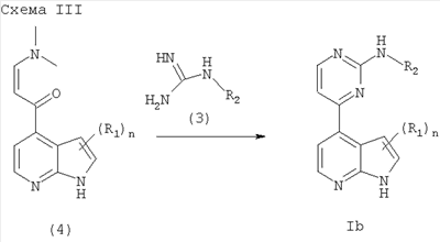
Соединения формулы I получают так же, как показано на схеме III

где n, R1 и R2 имеют значения, определенные в разделе «Краткое описание сущности изобретения». Соединение формулы I получают при взаимодействии соединения формулы 4 с соединением формулы 3 в присутствии пригодного растворителя (например, втор-бутанола и т.п.). Реакцию проводят при температуре от приблизительно 20°С до приблизительно 80°С в течение приблизительно 24 ч до завершения реакции.
Подробное описание синтеза соединения формулы I приведено ниже в разделе «Примеры».
Дополнительные способы получения соединений по изобретению
Соединение по изобретению получают в виде фармацевтически приемлемой кислотно-аддитивной соли при взаимодействии соединения в форме свободного основания с фармацевтически приемлемой неорганической или органической кислотой. В другом варианте фармацевтически приемлемую основно-аддитивную соль получают при взаимодействии соединения в форме свободной кислоты с фармацевтически приемлемым неорганическим или органическим основанием.
В другом варианте соединения по изобретению в форме соли получают из солей исходных или промежуточных материалов.
Соединения по изобретению в форме свободной кислоты или свободного основания получают из основно-аддитивной соли или кислотно-аддитивной соли, соответственно. Например, соединение по изобретению в форме кислотно-аддитивной соли можно превратить в соответствующее свободное основание при обработке пригодным основанием (например, раствором гидроксида аммония, гидроксида натрия и т.п.). Соединение по изобретению в форме основно-аддитивной соли можно превратить в соответствующую свободную кислоту при обработке пригодной кислотой (например, хлористоводородной кислотой и т.п.).
Соединения по изобретению в неокисленной форме получают из N-оксидов соединений по изобретению при обработке восстанавливающим агентом (например, серой, диоксидом серы, трифенилфосфином, боргидридом лития, боргидридом натрия, трихлоридом фосфора, трибромидом или т.п.) в пригодном инертном органическом растворителе (например, ацетонитриле, этаноле, водном диоксане или т.п.) при температуре от 0 до 80°С.
Пролекарства соединений по изобретению получают известными методами (см. Saulnier и др. Bioorganic and Medicinal Chemistry Letters, т.4, с.1985 (1994)). Например, соответствующие пролекарства получают при взаимодействии немодифицированного соединения по изобретению с пригодным карбамилирующим агентом (например, 1,1-ацилоксиалкилкарбанохлоридатом, пара-нитрофенилкарбонатом или т.п.).
Защищенные производные соединений по изобретению получают известными способами. Более подробно методы введения и удаления защитных групп приведены в книге T.W.Greene «Protective Groups in Organic Chemistry», 3 изд., John Wiley and Sons, Inc. (1999).
Соединения по изобретению получают в виде сольватов (например, гидратов). Гидраты соединений по настоящему изобретению получают перекристаллизацией из водной/органической смеси растворителей, используя такие органические растворители, как диоксан, тетрагидрофуран или метанол.
Соединения по изобретению получают в виде индивидуальных стереоизомеров при взаимодействии рацемической смеси соединения с оптически активным разделяющим агентом с образованием пары диастереоизомерных соединений, при разделении диастереомеров и получении оптически чистых энантиомеров. Так как разделение энантиомеров происходит с использованием ковалентных диастереомерных производных соединений по изобретению, предпочтительными являются диссоциирующие комплексы (например, кристаллические диастереомерные соли). Диастереомеры обладают различными физическими свойствами (например, температура плавления, температура кипения, растворимость, реакционная способность и т.п.) и их легко разделить, используя эти различия. Диастереомеры разделяют хроматографией или, предпочтительно, способами, основанными на их различной растворимости, при этом получают оптически чистые энантиомеры наряду с разделяющим агентом, по любой методике, при которой не происходит рацемизации. Более подробно описание выделения стереоизомеров из их рацемических смесей приведено в книге Jean Jacques, Andre Collet, Samuel H. Wilen, «Enantiomers, Racemates and Resolutions», John Wiley and Sons, Inc. (1981).
Таким образом, соединения формулы I получают способом, который заключается в том, что
(a) проводят реакцию, как указано на схеме I, II или III и
(b) соединение по изобретению необязательно превращают в фармацевтически приемлемую соль,
(c) соль соединения по изобретению необязательно превращают в несолевую форму,
(d) неокисленную форму соединения по изобретению необязательно превращают в фармацевтически приемлемый N-оксид,
(e) N-оксид соединения по изобретению необязательно превращают в неокисленную форму,
(f) из смеси изомеров необязательно выделяют индивидуальный изомер соединения по изобретению,
(g) немодифицированное соединение по изобретению необязательно превращают в фармацевтически приемлемое пролекарство, и
(h) пролекарство необязательно превращают в немодифицированное соединение по изобретению.
Если получение исходных материалов не описано подробно, соединения известны или их получают по известным методикам, или как описано ниже в разделе «Примеры».
Следует понимать, что приведенные выше превращения даны только для иллюстрации способов получения соединений по настоящему изобретению, и что можно использовать также другие известные способы.
Примеры
Приведенные примеры иллюстрируют получение соединений формулы I по настоящему изобретению, не ограничивая его объем.
Пример 1
4-[2-(Замещенный фениламино)пиримидин-4-ил]-1Н-пирроло[2,3-b]пиридин

Получение 1Н-пирроло[2,3-b]пиридин-7-оксида (2)

В раствор 7-азаиндола (10 г, 84,6 ммоля) в этилацетате (80 мл) добавляли mСРВА (18,96 г, 103,21 ммоля) при 0°С в течение 30 мин. Полученную реакционную смесь нагревали до КТ и перемешивали в течение 3 ч, затем охлаждали до 0°С и перемешивали в течение 1 ч. Остаток отделяли фильтрованием, промывали этилацетатом и сушили, при этом получали N-оксид в виде соли mСРВА.
Суспензию полученной выше соли в воде (80 мл) охлаждали до 15°С и добавляли К2СО3 (30%) до рН 10. Реакционную смесь перемешивали при КТ в течение 1 ч, охлаждали до 0°С и выдерживали в течение 1 ч. Остаток отделяли фильтрованием, промывали холодной водой (10 мл) и сушили, при этом получали N-оксид (7 г).
Получение 4-бром-1Н-пирроло[2,3-b]пиридина (3)

Суспензию 1Н-пирроло[2,3-b]пиридин-7-оксида (6 г, 44,8 ммоля) и бромида тетраметиламмония (5,17 г, 34 ммоля) в ДМФА (60 мл) охлаждали до 0°С, перемешивали в течение 15 мин и добавляли метансульфоновый ангидрид (7,8 г, 44,8 ммоля) при указанной температуре. Суспензию нагревали до КТ и перемешивали в течение 4 ч, затем реакционную смесь выливали в воду (100 мл) и полученный раствор нейтрализовали NaOH (50%). Раствор охлаждали до температуры от 0 до 10°С, затем полученное твердое вещество отделяли фильтрованием и сушили, при этом получали 4-бром-7-азаиндол. МС m/z: 198,1 (M+1).
1Н ЯМР (600 МГц, ДМСО-d6): 10,81 (ушир.s, 1Н), 8,36 (d, J 3,2 Гц, 1Н), 7,63 (d, J 3,2 Гц, 1Н), 7,52 (d, J 4,1 Гц, 1Н), 6,79 (d, J 3,6 Гц, 1Н).
Получение 4-ацетил-1Н-пирроло[2,3-b]пиридина (5)

4-Бром-7-азаиндол (1 г, 5 ммолей) растворяли в ТГФ (15 мл) и охлаждали до -78°С, затем при той же температуре в течение 10 мин медленно добавляли н-BuLi (5,25 мл, 2 М раствор, 2,1 экв.). Смесь перемешивали в течение 45 мин, затем при той же температуре медленно добавляли N-метокси-N-метилацетамид (1,1 мл, 10,5 ммоля). Полученную реакционную смесь нагревали до КТ и перемешивали в течение 3 ч. Реакцию останавливали добавлением насыщенного раствора NH4Cl (2 мл) при -78°С. Реакционную смесь обрабатывали этилацетатом, органический слой промывали солевым раствором и сушили над Na2SO4. Растворитель удаляли в вакууме, неочищенное соединение очищали хроматографией на колонке с силикагелем (элюент: гексан/этилацетат). МС m/z: 161,1 (M+1).
1Н ЯМР (600 МГц, ДМСО-d6): 11,02 (ушир.s, 1Н), 8,41 (d, J 3,2 Гц, 1Н), 7,53 (d, J 3,2 Гц, 1Н), 7,54 (d, J 4,4 Гц, 1Н), 6,09 (d, J 3,5 Гц, 1Н), 2,47 (s, 3H).
Получение энаминона (7)

Смесь 4-ацетил-7-азаиндола (1 г, 6,2 ммоля) и реагента Bredereck (2,56 мл, 12,4 ммоля) нагревали в микроволновом реакторе при 110°С в течение 1 ч. Избыток реагента удаляли в вакууме, при этом получали энаминон, который использовали на следующей стадии без дополнительной очистки.
Получение 4-[2-(замещенный фениламино)пиримидин-4-ил]-1Н-пирроло[2,3-b]пиридина (9)

Смесь энаминона (35 мг, 0,16 ммоля), нитрата 3-бромфенилгуанидина (48,57 мг, 0,178 ммоля), LiOH (11,5 мг, 48 ммолей) во втор-бутаноле (1 мл) нагревали при 130°С в течение 24 ч. Растворитель удаляли в вакууме и неочищенное твердое вещество очищали обращено-фазовой ЖХ-МС, при этом получали указанное в заголовке соединение. МС m/z: 366,2 (M+1).
1Н ЯМР (600 МГц, ДМСО-d6): 11,92 (ушир.s, 1Н), 9,83 (s, 1Н), 8,65 (d, J 4,8 Гц, 1Н), 8.38 (d, J 4,8 Гц, 1Н), 8,12 (t, J 2 Гц, 1Н), 7,77 (m, 1Н), 7,69 (m, 1Н), 7,65 (d, J 4,8 Гц, 1Н), 7,59 (t, J 2 Гц, 1Н), 7,50 (d, J 5,2 Гц, 1Н), 7,33 (t, J 8,4 Гц, 1Н), 7,06-7,07 (m, 1Н).
Примеры 2а и 2b
Пиридин-2-ил-[4-(1Н-пирроло[2,3-b]пиридин-4-ил)пиримидин-2-ил]амин (2а) и (3-бром-4-метилфенил)[4-(1Н-пирроло[2,3-b]пиридин-4-ил)пиримидин-2-ил]амин (2b)


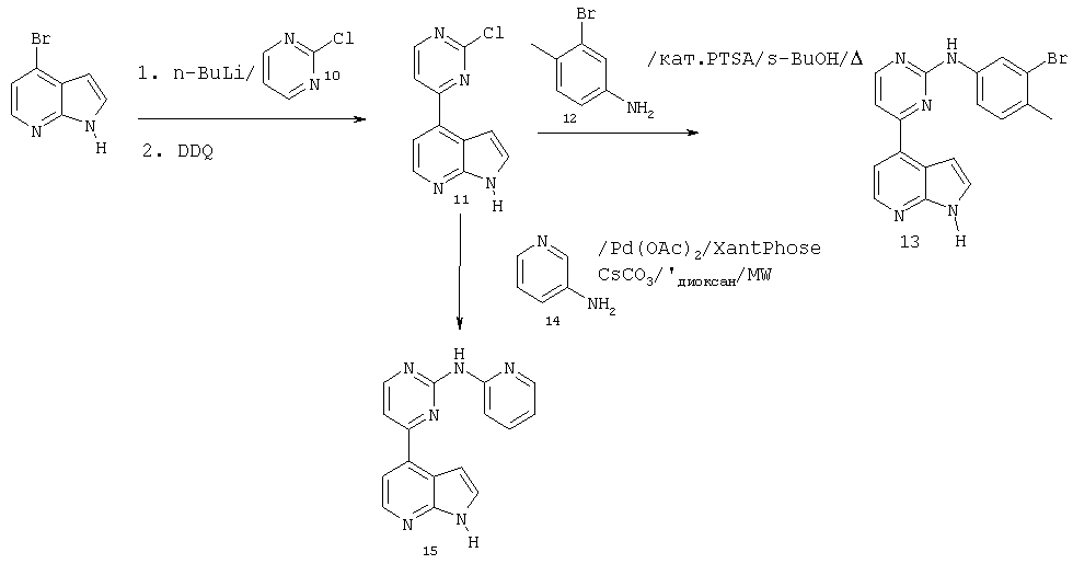
Получение 4-[2-хлорпиримидин-4-ил]-1Н-пирроло[2,3-b]пиридина (11)

В раствор 4-бром-7-азаиндола (500 мг, 2,5 ммоля) в ТГФ при -78°С добавляли н-BuLi (2,6 мл, 2 M раствор в гексане, 2,1 экв.). Смесь перемешивали в течение 45 мин при той же температуре, затем по каплям добавляли 2-хлорпиримидин (314,9 мг, 2,75 ммоля) в ТГФ. Полученную реакционную смесь перемешивали в течение 2 ч, затем добавляли воду (1 мл) и перемешивание продолжали в течение еще 20 мин. В полученную смесь при -78°С добавляли DDQ (618,7 мг, 2,75 ммоля) в ТГФ, реакционную смесь нагревали до 0°С и перемешивали в течение 1 ч. Реакцию останавливали добавлением раствора NaOH (1 н.), реакционную смесь обрабатывали этилацетатом. Органический слой промывали насыщенным раствором NaHCO3, солевым раствором и водой, объединенный органический слой сушили над MgSO4 и упаривали, при этом получали неочищенный 4-пиримидин-замещенный азаиндол. Соединение очищали хроматографией на колонке с силикагелем (элюент: гексан/этилацетат). MCm/z: 231,0 (М+1).
1Н ЯМР (600 МГц, ДМСО-d6): 12,05 (ушир.s, 1Н), 8,91 (d, J 5,2 Гц, 1Н), 8,41 (d, J 4,8 Гц, 1Н), 8,25 (d, J 5,2 Гц, 1Н), 7,76 (d, J 5.2 Гц, 1Н), 7,72 (ушир.s, 1H), 7,09 (ушир.s, 1Н).
Получение (3-бром-4-метилфенил)[4-(1Н-пирроло[2.3-b1пиридин-4-ил)пиримидин-2-ил]амина (13)

Во флакон Смита (2-5 мл) помещали соединение 11 (26,5 мг, 0,115 ммоля), 3-бром-4-метиланилин (42,54 мг, 0,23 ммоля) и моногидрат пара-толуолсульфоновой кислоты (4,4 мг, 0,023 ммоля), втор-ВиОН (0,5 мл). Сосуд продували аргоном, закрывали и нагревали при 100°С в течение 1,5 ч в синтезаторе Смита. Полученный раствор очищали обращено-фазовой ЖХ-МС, при этом получали указанное в заголовке соединение. МС m/z: 380,04 (М+1).
Получение пиридин-2-ил[4-(1Н-пирроло[2,3-b]пиридин-4-ил)пиримидин-2-ил]амина (15)

В раствор 4-[2-хлорпиримидин-4-ил]-1Н-пирроло[2,3-b]пиридина (26,5 мг, 0,12 ммоля) в диоксане (1 мл) добавляли Pd(OAc)2 (2,6 мг, 0,0115 мМ), XantPhose (9,98 мг, 0,017 ммоля), СsСО3 (112,40 мг, 0,345 ммоля) и 2-аминопиридин (16,17 мг, 0,172 ммоля). Сосуд продували аргоном, закрывали и нагревали при 150°С в течение 10 мин в микроволновом реакторе. Смесь фильтровали и упаривали в вакууме. Полученный раствор очищали обращено-фазовой ЖХ-МС, при этом получали указанное в заголовке соединение. МС m/z: 289,10 (М+1).
1Н ЯМР (600 МГц, ДМСО-d6): 11,97 (ушир.s, 1H), 11,55 (ушир.s, 1H), 8,79 (d, J 4,8 Гц, 1H), 8,37-8,35 (m, 2H), 8,12 (d, J 4,8 Гц, 1H), 7,84-7,83 (m, 2H), 7,70 (d, J 4,8 Гц, 1H), 7,65 (d, J 4,8 Гц, 1H), 7,25-7,20 (m, 2H).
Пример 3
(3-Хлорфенил)[4-(1Н-пирроло[2,3-b]пиридин-3-ил)пиримидин-2-ил]амин

4-Метокси-1Н-пирроло[2,3-b]пиридин (16)

4-Метокси-1Н-пирроло[2,3-b]пиридин получали из 7-азаиндола по методике, описанной в статье Cottan H.B., Girfis N.S., Robins R.К., Journal of Heterocyclic Chemistry, 26(2), 317-325 (1989).
3-Ацетил-1Н-пирроло[2,3-b]пиридин (17)

7-Азаиндол (1 г, 8,4 ммоля) растворяли в дихлорметане и полученный раствор при КТ добавляли в суспензию АlСl3 (5,6 г, 42 ммоля) в дихлорметане, затем при указанной температуре перемешивали в течение 1 ч, медленно добавляли ацетилхлорид (1,8 мл, 25,2 ммоля) и перемешивали в течение 2 ч. После завершения реакции (по данным ЖХВР) реакционную смесь охлаждали до 0°С и реакцию останавливали осторожным добавлением метанола (3 мл). Реакционную смесь концентрировали и остаток промывали гексаном. Остаток нейтрализовали раствором NaOH (30%) и экстрагировали дихлорметаном. Фильтрат промывали солевым раствором, сушили над MgSO4 и упаривали, при этом получали неочищенный продукт, который перекристаллизовывали из гексана/дихлорметана, при этом получали очищенный продукт.
Получение энаминона (19)

Смесь 3-ацетил-7-азаиндола (1 г, 6,2 ммоля) и реагента Bredereck (2,5 экв.) нагревали в микроволновом реакторе при 110°С в течение 1 ч. Избыток реагента удаляли в вакууме, при этом получали энаминон, который использовали на следующей стадии без дополнительной очистки.
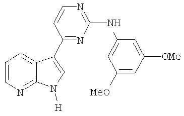
Получение (3-хлорфенил)[4-(1Н-пирроло[2,3-b]пиридин-3-ил)пиримидин-2-ил]амина (21)

Смесь энаминона (35 мг, 0,16 ммоля), нитрата 3-хлорфенилгуанидина (41,29 мг, 0,178 экв.), LiOH (11,5 мг, 48 ммолей) во втор-бутаноле (1 мл) нагревали при 130°С в течение 24 ч. Растворитель удаляли и остаток промывали водой и гексаном, при этом получали требуемое соединение, которое очищали обращено-фазовой ЖХ-МС, при этом получали указанное в заголовке соединение. МС m/z: 322,14 (M+1).
1Н ЯМР (600 МГц, ДМСО-d6): 12,41 (s, 1Н), 9,71 (s, 1H), 8,90 (d, J 7,6 Гц, 1H), 8,53 (d, J 2,8 Гц, 1H), 8,38 (d, J 5,6 Гц, 1H), 8,33 (dd, J 4,4, 1,6 Гц, 1H), 7,85-7,83 (m, 2H), 7,39 (d, J 2,4 Гц, 2Н), 7,38 (s, 1H), 7,24 (dd, J 7,6, 4,4 Гц, 1H).
Соединения формулы I, приведенные в таблице, получали по методикам, описанным в приведенных выше примерах, с использованием соответствующих исходных материалов.
соединения |
Структура |
Физ. данные 1H ЯМР 400 МГц (ДМСО-d6) и/или МС (m/z) |
| 1 |
 |
11,88 (ушир.s, 1Н), 9,91 (s, 1Н), 8,62 (d, J 4,8 Гц, 1H), 8,32 (d, J 4,8 Гц, 1H), 8,06 (t, J 2 Гц, 1Н), 7,66 (m, 1H), 7,65 (m, 1H), 7,61 (d, J 4,8 Гц, 1H), 7,59 (t, J 2 Гц, 1H), 7,49 (d, J 5,2 Гц, 1H), 7,26 (t, J 8,4 Гц, 1H), 7,06-7,07 (ушир.s, 1H). МС: m/z 322,1 (M+1) |
| 2 |
 |
11,87 (ушир.s, 1H), 9,71 (s, 1H), 8,55 (d, J 5,2 Гц, 1H), 8,31 (d, J 4,8 Гц, 1H), 7,78-7,75 (m, 2H), 7,61 (d, J 5,2 Гц, 1Н), 7,58 (t,J 3,2 Гц, 1Н), 7,42 (d, 15,2 Гц, 1H), 7,12-6,98 (m, 3H). МС: m/z 306,11 (M+1) |
| 3 |
 |
11,88 (ушир.s, 1Н),9,90 (s, 1H), 8,60 (d, J 4,8 Гц, 1H), 8,32 (d, J 4,8 Гц, 1H), 7,89 (d, J 2,4 Гц, 1Н), 7,87 (d, J 2,1 Гц, 1H),7,62 (d, J 5,2 Гц, 1H), 7,59 (t, J 3,2 Гц, 1H), 7,26-7,24 (m, 2H), 7,04-7,03 (m, 2H). МС: m/z 372,09 (М+1) |
| 4 |
 |
11,85 (ушир.s, 1H), 10,01 (s, 1H), 8.59 (d, J 4,8 Гц, 1H), 8,30-8,29 (m, 1H), 8,27 (d, J 4,8 Гц, 1H), 7,94 (d, J 7,6 Гц, 1H), 7,59 (d, J 4,8, 1H), 7,53-7,52 (m, 1H), 7,47 (d, J 4,8 Гц, 1H), 7,42 (t, J 7,6 Гц, 1H), 7,18 (d, J 7,6 Гц, 1Н), 6,99 (m, 1H). МС: m/z 356,12 (М+1) |
| 5 |
 |
МС: m/z 324,2 (М+1) |
| 6 |
 |
МС: m/z 356,15 (М+1) |
| 7 |
 |
МС: m/z 360,13 (М+1) |
| 8 |
 |
MC: m/z 318,12 (М+1) |
| 9 |
 |
МС: m/z 320,2 (М+1) |
| 10 |
 |
MC: m/z 348,1 (М+1) |
| 11 |
 |
12,04 (ушир.s, 1Н), 11,39 (s, 1H), 8,91 (d, J 5,2 Гц, 1Н), 8,52 (d, J 6,8 Гц, 1Н), 8,44 (d, J 4,8 Hz, 1Н), 8,27-8,22 (m, 1Н), 8,09-8,08 (m, 1H), 7,90 (d, J 5,2 Гц, 1Н), 7,75-7,72 (m, 2H), 7,14 (m, 1H), 2,62 (s, 3H). MC: m/z 303,13 (М+1) |
| 12 |
 |
MC: m/z 323,07 (М+1) |
| 13 |
 |
МС: m/z 319,13 (М+1) |
| 14 |
 |
МС: m/z 366,21 (М+1) |
| 15 |
 |
МС: m/z 289,11 (М+1) |
| 16 |
 |
МС: m/z 304,31 (М+1) |
| 17 |
 |
МС: m/z 380,04 (М+1) |
| 18 |
 |
МС: m/z 336,21 (M+1) |
| 19 |
 |
MC: m/z 370,15 (M+1) |
| 20 |
 |
МС: m/z 394,04 (M+1) |
| 21 |
 |
МС: m/z 410,15 (M+1) |
| 22 |
 |
МС: m/z 400,13 (M+1) |
| 23 |
 |
MC: m/z 366,20 (М+1) |
| 24 |
 |
МС: m/z 424,10 (М+1) |
| 25 |
 |
МС: m/z 409,18 (М+1) |
| 26 |
 |
МС: m/z 423,21 (М+1) |
| 27 |
 |
МС: m/z 399,25 (М+1) |
| 28 |
 |
MC: m/z 489,14 (M+1) |
| 29 |
 |
12,52 (s, 1H), 10,08 (s, 1H), 9,17 (dd, J 4,8, 1,6 Гц, 1H), 8,72 (s, 1H), 8,65 (d, J 5,2 Гц, 1Н), 8,54 (dd, J 4,8, 1,6 Гц, 1H), 8,26(d, J 8,4 Гц, 2Н), 7,64 (d, J 8,4 Гц, 2H), 7,63 (d, J 5,6 Гц, 1H), 7,24 (dd, J 7,6, 4,4 Гц, 1H). MC: m/z 356,32 (M+1) |
| 30 |
 |
12,34 (s, 1H), 9,43 (s, 1H), 9,01 (d, J 7,6 Гц, 1H), 8,50 (s, 1H), 8,42 (d, J 5,2 Гц, 1H), 8,36 (d, J 4,6 Гц, 1H), 7,37 (d, J 5,6, 1H), 7,24 (dd, J 8,0, 4,8 Гц, 1H), 7,16 (s, 2H), 6,19 (t, J 2,0 Гц, 1Н). МС: m/z 348,37 (M+1) |
| 31 |
 |
МС: m/z 324,09 (M+1) |
| 32 |
 |
МС: m/z 366,02 (M+1) |
| 33 |
 |
MC: m/z 318,14 (M+1) |
| 34 |
 |
МС: m/z 322,01 (M+1) |
| 35 |
 |
МС: m/z 360,14 (M+1). |
| 36 |
 |
МС: m/z 489,33 (M+1) |
| 37 |
 |
МС: m/z 352,21 (M+1) |
| 38 |
 |
MC: m/z 386,32 (М+1) |
| 39 |
 |
МС: m/z 396,09 (М+1) |
| 40 |
 |
МС: m/z 489,21 (М+1) |
| 41 |
 |
MC: m/z 395,01 (М+1) |
| 42 |
 |
МС: m/z 425,12 (М+1) |
| 43 |
 |
МС: m/z 439,13 (M+1) |
| 44 |
 |
MC: m/z 439,15 (M+1) |
| 45 |
 |
МС: m/z 439,15 (М+1) |
| 46 |
 |
МС: m/z 336,21 (М+1) |
| 47 |
 |
МС: m/z 370,12 (М+1) |
| 48 |
 |
МС: m/z 439,14 (М+1) |
| 49 |
 |
МС: m/z 453,16 (М+1) |
| 50 |
 |
МС: m/z 367,01 (М+1) |
| 51 |
 |
МС: m/z 323,05 (М+1) |
| 52 |
 |
МС: m/z 357,12 (М+1) |
| 53 |
 |
MC: m/z 322,14(M+1) |
| 54 |
 |
МС: m/z 366,21 (M+1) |
| 55 |
 |
МС: m/z 356,12 (M+1) |
Методы анализа
Соединения по настоящему изобретению анализируют по их способности ингибировать киназы CDK, Aurora, Jak2, Rock, CAMKII, FLT3, Tie2, TrkB, FGFR3 и KDR.
FGFR3 (ферментативный анализ)
Анализ киназной активности очищенного FGFR3 (фирма Upstate) проводили в конечном объеме 10 мкл, содержащем 0,25 мкг/мл фермента в буферном растворе для определения киназы (30 мМ трис-HCl, рН 7,5, 15 мМ MgCl2, 4,5 мМ MnCl2, 15 мкМ Na3VO4 и 50 мкг/мл БСА), субстраты (5 мкг/мл биотин-поли-EY (Glu, Тyr) (фирма CIS-US, Inc.) и 3 мкМ АТФ. Анализ проводили с использованием двух растворов: первый раствор (5 мкл), содержащий фермент FGFR3 в буферном растворе для определения киназы, добавляли в 384-луночные планшеты ProxiPlate® (фирма Perkin-Elmer), в каждую лунку добавляли 50 нл раствора соединений в ДМСО, а затем 5 мкл второго раствора, содержащего субстрат (поли-EY) и АТФ в буферном растворе для определения киназы. Реакционную смесь инкубировали при комнатной температуре в течение 1 ч, реакцию останавливали добавлением 10 мкл смеси для обнаружения HTRF, содержащей 30 мМ трис-HCl, рН 7,5, 0,5 М KF, 50 мМ ETDA, 0,2 мг/мл БСА, 15 мкг/мл стрептавидин-ХL665 (фирма CIS-US, Inc.) и 150 нг/мл конъюгата криптата и антифосфотирозиновых антител (фирма CIS-US, Inc.). Смесь инкубировали при комнатной температуре в течение 1 ч для образования комплекса стрептавидин/биотин, сигналы флуоресценции с разрешением по времени регистрировали на флуориметре Analyst GT (фирма Molecular Devices Corp.). Величины IС50 рассчитывали методом линейной регрессии по проценту ингибирования каждым соединением при 12 концентрациях (разведение 1:3 исходного раствора от 50 мкМ до 0,28 нМ). По данным указанного анализа соединения по изобретению обладают величинами IС50 в интервале от 10 нМ до 2 мкМ.
FGFR3 (анализ в культуре клеток)
Соединения по изобретению анализировали по способности ингибировать пролиферацию трансформированных клеток Ba/F3-TEL-FGFR3, которая является зависимой от активности клеточной киназы FGFR3. Клетки Ba/F3-TEL-FGFR3 культивировали в суспензии в среде RPMI 1640, содержащей 10% эмбриональной телячьей сыворотки, до концентрации 800000 клеток/мл. Клетки высеивали в 384-луночные планшеты с плотностью 5000 клеток/лунку в 50 мкл культуральной среды. Соединения по изобретению растворяли и разбавляли диметилсульфоксидом (ДМСО). Получали 12 растворов в ДМСО при серийном разведении 1:3 обычно от 10 мМ до 0,05 мкМ. В лунки с клетками добавляли по 50 нл разбавленных растворов соединений и инкубировали в течение 48 ч в инкубаторе для клеточных культур. Затем в лунки с клетками добавляли реагент AlamarBlue® (фирма TREK Diagnostic Systems) до конечной концентрации 10%, который используется для регистрации восстанавливающей среды, создаваемой пролиферирующими клетками. Смесь инкубировали при 37°С в инкубаторе для клеточных культур в течение еще 4 ч и определяли интенсивность флуоресценции восстановленного AlamarBlue® (возбуждение при 530 нм, испускание при 580 нм) на флуориметре Analyst GT (фирма Molecular Devices Corp.). Величины IС50 рассчитывали методом линейной регрессии по проценту ингибирования каждым соединением при 12 концентрациях.
FLT3 (анализ в культуре клеток)
Действие соединений по изобретению на клеточную активность (активность в клетках) FLT3 оценивали с использованием методов, описанных выше для определения клеточной активности FGFR3, при этом вместо клеток Ba/F3-TEL-FGFR3 использовали клетки Ba/F3-FLT3-ITD.
Радиоферментный анализ при связывании субстрата на фильтре с использованием набора «Upstate KinaseProfiler »
Соединения по изобретению анализировали по их способности ингибировать активность индивидуальных членов киназной панели. Соединения анализировали при двойном повторе с конечной концентрацией 10 мкМ по следующей общей методике. При этом состав буферного раствора для определения киназы и субстраты варьируют при анализе различных киназ, включенных в набор “Upstate KinaseProfiler “. Буферный раствор для определения киназы (2,5 мкл, 10×, содержащий при необходимости MnCl2), активную киназу (0,001-0,01 ед., 2,5 мкл), специфический пептид или поли(Glu4-Тyr) (5-500 мкМ или 0,01 мг/мл) в буферном растворе для определения киназы и буферный раствор для определения киназы (50 мкМ, 5 мкл) смешивали в пробирке эппендорф на ледяной бане. Затем добавляли смесь Mg/АТФ (10 мкл, 67,5 (или 33,75) мМ MgCl2, 450 (или 225) мкМ АТФ и 1 мкКи/мкл [ –32Р]-АТФ (3000 Ки/ммоль)) и реакционную смесь инкубировали при приблизительно 30°С в течение приблизительно 10 мин. Реакционную смесь (20 мкл) наносили на квадратные кусочки бумаги Р81 (фосфоцеллюлоза, 2 см×2 см, в случае положительно заряженного пептидного субстрата) или ватман 1 (в случае пептидного субстрата поли(Glu4-Тyr). Квадратики четырехкратно промывали (каждый раз в течение 5 мин) 0,75% фосфорной кислотой, однократно ацетоном (в течение 5 мин), переносили в сцинтилляционный флакон, добавляли 5 мл сцинтилляционной жидкости и измеряли включение фосфора 32Р (расп/мин) в пептидный субстрат на сцинтиляционном счетчике Beckman. Для каждой реакции рассчитывали процент ингибирования.
Соединения формулы I, в свободной форме или в форме фармацевтически приемлемой соли, проявляют ценные фармакологические свойства, например, как показано при испытаниях in vitro, описанных в тексте заявки. Например, соединения формулы I предпочтительно характеризуются величинами IC50 в интервале от 1×10-10 до 1×10-5 M, предпочтительно менее 500 нМ, 400 нМ, 300 нМ и 200 нМ по крайней мере для одной киназы, указанной выше в панели киназ. Соединения формулы I в свободной форме или в форме фармацевтически приемлемой соли проявляют ценные фармакологические свойства, например, как описано в данном контексте при анализе in vitro, при концентрации 10 мкМ, предпочтительно ингибируют более 50%, предпочтительно более приблизительно 70% активности киназ CDK, Aurora, Jak2, Rock, САМКII, FLT3, Tie2, TrkB, FGFR3 и KDR.
Следует понимать, что описанные в данном контексте примеры и варианты осуществления изобретения представлены только для иллюстрации и что различные модификации или изменения, очевидные для специалиста в данной области техники, включены в объем и сущность настоящего изобретения и пункты прилагаемой формулы изобретения. Все публикации, патенты и опубликованные заявки, цитированные в данном контексте, включены в настоящее описание в качестве ссылок.
Формула изобретения
1. Соединение, выбранное из соединений формул Ia, Ib и Ic:
   где n равно 0 или 1, R1 выбирают из группы, включающей галоген, C1-С6алкил, C1-С6алкокси, галогензамещенный C1-С6алкил и галогензамещенный C1-С6алкокси, R2 выбирают из группы, включающей фенил, 6-членный гетероарил, содержащий 1-2 атома азота в гетероарильном кольце в качестве гетероатомов, и фенил(С0-С4)алкил, причем указанный фенил и гетероарил в составе R2 необязательно замещен 1-3 радикалами, независимо выбранными из группы, включающей галоген, C1-С6алкил, C1-С6алкокси, галогензамещенный C1-С6алкил, галогензамещенный C1-С6алкокси, -S(O)0-2R5, -COOR5 и -NR5C(O)R6, причем R5 выбирают из C1-С6алкила, a R6 выбирают из фенила, причем указанный фенил в составе R6 необязательно замещен 1-3 радикалами, независимо выбранными из группы, включающей C1-С6алкил, C1-С6алкокси, галогензамещенный C1-С6алкил и галогензамещенный C1-С6алкокси, Х выбирают из CR7 и N, причем R7 выбирают из водорода и C1-С6алкила, а также его фармацевтически приемлемые соли, гидраты, сольваты и изомеры.
2. Соединение по п.1, где n равно 0 и 1, R1 означает C1-С6алкокси, R2 выбирают из группы, включающей фенил(С0-С4)алкил и 6-членный гетероарил, содержащий 1-2 атома азота в гетероарильном кольце в качестве гетероатомов, причем указанный фенил или гетероарил в составе R2 необязательно замещен 1-3 радикалами, независимо выбранными из группы, включающей галоген, C1-С6алкил, C1-С6алкокси, галогензамещенный C1-С6алкил, -S(O)0-2R5, -COOR5, и -NR5C(O)R6, причем R5 выбирают из C1-С6алкила, а R6 означает фенил, необязательно замещенный 1-3 радикалами, независимо выбранными из галогензамещенного C1-С6алкила.
3. Соединение по п.2, где R1 означает метокси, R2 выбирают из фенила, бензила и пиридинила, причем указанный фенил, бензил или пиридинил в составе R2 необязательно замещен 1-2 радикалами, независимо выбранными из группы, включающей хлор, бром, фтор, метил, трифторметокси, трифторметил, -COOR5, -S(O)2R5 и -NHC(O)R6, причем R5 выбирают из метила и этила, а R6 означает фенил, необязательно замещенный трифторметилом.
4. Соединение, выбранное из группы, включающей (3-хлорфенил)[4-(1Н-пирроло[2,3-b]пиридин-4-ил)пиримидин-2-ил]амин, (4-фторфенил)[4-(1Н-пирроло[2,3-b]пиридин-4-ил)пиримидин-2-ил]амин, [4-(1Н-пирроло[2,3-b]пиридин-4-ил)пиримидин-2-ил](4-трифторметоксифенил)амин, [4-(1Н-пирроло[2,3-b]пиридин-4-ил)пиримидин-2-ил](3-трифторметилфенил)амин, (3,4-дифторфенил)[4-(1Н-пирроло[2,3-b]пиридин-4-ил)пиримидин-2-ил]амин, [4-(1Н-пирроло[2,3-b]пиридин-4-ил)пиримидин-2-ил](4-трифторметилфенил)амин, этиловый эфир 4-[4-(1Н-пирроло[2,3-b]пиридин-4-ил)пиримидин-2-иламино]бензойной кислоты, (3-метоксифенил)[4-(1Н-пирроло[2,3-b]пиридин-4-ил)пиримидин-2-ил]амин, (3-фторбензил)[4-(1Н-пирроло[2,3-b]пиридин-4-ил)пиримидин-2-ил]амин, (3,5-диметоксифенил)[4-(1Н-пирроло[2,3-b]пиридин-4-ил)пиримидин-2-ил]амин, (2-метилпиридин-4-ил)[4-(1Н-пирроло[2,3-b]пиридин-4-ил)пиримидин-2-ил]амин, (2-хлорпиридин-4-ил)[4-(1Н-пирроло[2,3-b]пиридин-4-ил)пиримидин-2-ил]амин, (2-метоксипиридин-4-ил)[4-(1Н-пирроло[2,3-b]пиридин-4-ил)пиримидин-2-ил]амин, (4-метансульфонилфенил)[4-(1Н-пирроло[2,3-b]пиридин-4-ил)пиримидин-2-ил]амин, пиридин-4-ил[4-(1Н-пирроло[2,3-b]пиридин-4-ил)пиримидин-2-ил]амин, (4-метилпиримидин-2-ил)[4-(1Н-пирроло[2,3-b]пиридин-4-ил)пиримидин-2-ил]амин, (3-бромфенил)[4-(1-метил-1Н-пирроло[2,3-b]пиридин-4-ил)пиримидин-2-ил]амин, (3-хлорфенил)[4-(1-метил-1Н-пирроло[2,3-b]пиридин-4-ил)пиримидин-2-ил]амин, [4-(1-метил-1Н-пирроло[2,3-b]пиридин-4-ил)пиримидин-2-ил](3-трифторметилфенил)амин, (3-бром-4-метилфенил)[4-(1-метил-1Н-пирроло[2,3-b]пиридин-4-ил)пиримидин-2-ил]амин, 2-{4-[2-(3-бромфениламино)пиримидин-4-ил]пирроло[2,3-b]пиридин-1-ил}этанол, 2-{4-[2-(3-трифторметилфениламино)пиримидин-4-ил]пирроло[2,3-b]пиридин-1-ил}этанол, 2-{4-[2-(3-хлорфениламино)пиримидин-4-ил]пирроло[2,3-b]пиридин-1-ил}этанол, 2-{4-[2-(3-бром-4-метилфениламино)пиримидин-4-ил]пирроло[2,3-b]пиридин-1-ил}этанол, {4-[1-(2-аминоэтил)-1H-пирроло[2,3-b]пиридин-4-ил]пиримидин-2-ил}(3-бромфенил)амин, {4-[1-(2-аминоэтил)-1Н-пирроло[2,3-b]пиридин-4-ил]пиримидин-2-ил}(3-бромфенил)метиламин, {4-[1-(2-аминоэтил)-1Н-пирроло[2,3-b]пиридин-4-ил]пиримидин-2-ил}(4-трифторметилфенил)амин, N-{4-метил-3-[4-(1Н-пирроло[2,3-b]пиридин-4-ил)пиримидин-2-иламино]фенил}-3-трифторметилбензамид, [4-(1Н-пирроло[2,3-b]пиридин-3-ил)пиримидин-2-ил](4-трифторметилфенил)амин, (3,5-диметоксифенил)[4-(1Н-пирроло[2,3-b]пиридин-3-ил)пиримидин-2-ил]амин, (3,5-дифторфенил)[4-(1Н-пирроло[2,3-b]пиридин-3-ил)пиримидин-2-ил]амин, (3-бромфенил)[4-(1Н-пирроло[2,3-b]пиридин-3-ил)пиримидин-2-ил]амин, (3-метоксифенил)[4-(1Н-пирроло[2,3-b]пиридин-3-ил)пиримидин-2-ил]амин, (4-хлорфенил)[4-(1Н-пирроло[2,3-b]пиридин-3-ил)пиримидин-2-ил]амин, этиловый эфир 4-[4-(1Н-пирроло[2,3-b]пиридин-3-ил)пиримидин-2-иламино]бензойной кислоты, N-{4-метил-3-[4-(1Н-пирроло[2,3-b]пиридин-3-ил)пиримидин-2-иламино]фенил}-3-трифторметилбензамид, (3-хлорфенил)[4-(4-метокси-1Н-пирроло[2,3-b]пиридин-3-ил)пиримидин-2-ил]амин, [4-(4-метокси-1Н-пирроло[2,3-b]пиридин-3-ил)пиримидин-2-ил](3-трифторметилфенил)амин, (3-бромфенил)[4-(4-метокси-1Н-пирроло[2,3-b]пиридин-3-ил)пиримидин-2-ил]амин, N-{4-метил-3-[4-(1Н-пирроло[2,3-b]пиридин-5-ил)пиримидин-2-иламино]фенил}-3-трифторметилбензамид, N-этил-4-[4-(1Н-пирроло[2,3-b]пиридин-4-ил)пиримидин-2-иламино]бензолсульфонамид, N-(2-метоксиэтил)-4-[4-(1Н-пирроло[2,3-b]пиридин-4-ил)пиримидин-2-иламино]бензолсульфонамид, N-(3-метоксипропил)-4-[4-(1Н-пирроло[2,3-b]пиридин-4-ил)пиримидин-2-иламино]бензолсульфонамид, N-(3-метоксипропил)-4-[4-(1Н-пирроло[2,3-b]пиридин-3-ил)пиримидин-2-иламино]бензолсульфонамид, (3-бромфенил)[4-(2-метил-1Н-пирроло[2,3-b]пиридин-4-ил)пиримидин-2-ил]амин, (3-хлорфенил)[4-(2-метил-1Н-пирроло[2,3-b]пиридин-4-ил)пиримидин-2-ил]амин, [4-(2-метил-1Н-пирроло[2,3-b]пиридин-4-ил)пиримидин-2-ил](3-трифторметилфенил)амин, N-(2-метоксиэтил)-4-[4-(2-метил-1Н-пирроло[2,3-b]пиридин-4-ил)пиримидин-2-иламино]бензолсульфонамид, N-(3-метоксипропил)-4-[4-(2-метил-1Н-пирроло[2,3-b]пиридин-4-ил)пиримидин-2-иламино]бензолсульфонамид, (3-бромфенил)[4-(1Н-пиразоло[3,4-b]пиридин-4-ил)пиримидин-2-ил]амин, (3-хлорфенил)[4-(1Н-пиразоло[3,4-b]пиридин-4-ил)пиримидин-2-ил]амин, [4-(1Н-пиразоло[3,4-b]пиридин-4-ил)пиримидин-2-ил](3-трифторметилфенил)амин, (3-хлорфенил)[4-(1Н-пирроло[2,3-b]пиридин-5-ил)пиримидин-2-ил]амин, (3-бромфенил)[4-(1Н-пирроло[2,3-b]пиридин-5-ил)пиримидин-2-ил]амин и [4-(1Н-пирроло[2,3-b]пиридин-5-ил)пиримидин-2-ил](3-трифторметилфенил)амин.
5. Фармацевтическая композиция, обладающая свойствами ингибитора активности киназ, выбранных из группы, включающей CDKs, Aurora, Jak2, Rock, CAMKII, FLT3, Tie2, TrkB, FGFR3 и KDR, включающая терапевтически эффективное количество соединения по п.1 в комбинации с фармацевтически приемлемым эксципиентом.
6. Способ ингибирования киназной активности, где киназы выбраны из CDKs, Aurora, Jak2, Rock, САМКII, FLT3, Tie2, TrkB, FGFR3 и KDR, включающий введение терапевтически эффективного количества соединения по п.1.
7. Применение соединения по п.1 для получения лекарственного средства, предназначенного для лечения заболевания, при котором киназная активность CDKs, Aurora, Jak2, Rock, САМКII, FLT3, Tie2, TrkB, FGFR3 и KDR связана с развитием заболевания и/или симптомов заболевания.
|
|