|
|
(21), (22) Заявка: 2009110271/11, 23.03.2009
(24) Дата начала отсчета срока действия патента:
23.03.2009
(46) Опубликовано: 27.04.2010
(56) Список документов, цитированных в отчете о поиске:
RU 2256575 C1, 20.07.2005. RU 2147729 C1, 20.04.2000. EP 1418273 A1, 12.05.2004. RU 2152469 C1, 10.07.2000. RU 2212486 C2, 20.09.2003.
Адрес для переписки:
107174, Москва, ул. Новая Басманная, 2, ОАО “РЖД”, Управление по вопросам интеллектуальной собственности (ЦУИС)
|
(72) Автор(ы):
Араканцев Константин Геннадьевич (RU), Коротаев Валерий Викторович (RU), Серикова Мария Геннадьевна (RU), Тимофеев Александр Николаевич (RU), Ершова Кира Борисовна (RU), Петуховский Вячеслав Васильевич (RU), Петуховский Сергей Вячеславович (RU), Юдин Борис Александрович (RU), Холин Алексей Евгеньевич (RU)
(73) Патентообладатель(и):
Открытое акционерное общество “Российские железные дороги” (RU)
|
(54) ОПТИКО-ЭЛЕКТРОННАЯ СИСТЕМА ДЛЯ КОНТРОЛЯ ПРОСТРАНСТВЕННОГО ПОЛОЖЕНИЯ ЖЕЛЕЗНОДОРОЖНОГО ПУТИ
(57) Реферат:
Изобретение относится к контрольно-измерительной технике и может быть использовано для контроля железнодорожного пути, в частности для определения отклонения железнодорожного пути от проектного положения. Оптико-электронная система для контроля пространственного положения железнодорожного пути включает, по меньшей мере, один источник излучения, измерительную тележку, установленную на рельсовом пути, на которой расположены блок обработки и фотоприемный блок, оптически связанный с источником излучения. Источник излучения выполнен с возможностью его установки на конструкциях, вынесенных за пределы рельсового пути и расположенных по ходу движения измерительной тележки. Фотоприемный блок содержит две приемно-анализирующие системы, датчик угла наклона фотоприемного блока, модуль управления, выход которого соединен со входом блока обработки, другой вход которого соединен с выходом датчика угла наклона фотоприемного блока, и индикатор прохождения измерительной тележкой источника излучения, выход которого соединен со входом модуля управления. Техническим результатом заявленного изобретения является повышение точности измерения пространственного положения железнодорожного пути и возможности обеспечения контроля проектного положения рельсового пути одновременно в двух взаимно перпендикулярных направлениях – в продольном профиле и в плане. 5 з.п. ф-лы, 2 ил.
Изобретение относится к контрольно-измерительной технике и может быть использовано для контроля железнодорожного пути, в частности для определения отклонения железнодорожного пути от проектного положения.
Известно устройство для контроля пространственного положения железнодорожного пути (US 5613442 A, опубл. 25.03.1997, E01B 33/00). Устройство включает в себя источник излучения, расположенный на измерительной тележке, фотоприемный блок и датчик наклона, расположенные на путевой машине, и блок обработки. Измерение проводится следующим образом. Сначала выставляется оптический отсчетный луч между источником излучения на измерительной тележке и фотоприемным блоком на путевой машине, разделенными измеряемым участком пути. По мере движения путевой машины навстречу измерительной тележке происходит непрерывное считывание точки падения луча на фоточувствительную площадку позиционно-чувствительного приемника. По совокупности данных от позиционно-чувствительного приемника и датчика наклона блок обработки рассчитывает текущие координаты железнодорожного полотна, необходимые для выправки пути.
Недостатком устройства является низкая точность измерений из-за необходимости обеспечения точности выставления излучателя на измерительной тележке и невозможности привязки задаваемой системы координат к геодезической привязке проектного положения железнодорожного пути при непрерывном движении машины.
Известна также оптико-электронная система для контроля пространственного положения железнодорожного пути (RU 2256575, опубл. 04.11.2003, B61K 9/08) – прототип, включающая источник излучения, измерительную тележку, установленную на рельсовом пути, на которой расположены блок обработки и фотоприемный блок, оптически связанный с источником излучения. При этом источник излучения, представляющий собой светодиод, установлен на первой по ходу движения измерительной тележке, связанной со второй измерительной тележкой как кинематически, так и оптическим измерительным каналом. Фотоприемный блок, установленный на второй по ходу движения измерительной тележке, состоит из оптической приемно-анализирующей системы, включающей в себя объектив и позиционно-чувствительный приемник оптического излучения, установленный в плоскости анализа изображения светодиода, и электронного устройства определения координат энергетического центра оптического изображения. Последнее устройство подключено к позиционно-чувствительному приемнику оптического излучения. Визирная ось фотоприемного блока расположена номинально параллельно базовому рельсу. Для измерения углов наклона тележек на них установлены датчики уровня. Для “привязки” результатов измерений к пройденному пути, то есть для обеспечения сопоставимости результатов измерений пикетажу, на второй тележке также расположен инкрементный датчик пройденного пути (одометр). Информацию о смещении источника излучения относительно визирной оси фотоприемного блока, а также данные о пройденном тележками расстоянии обрабатывают в блоке обработки, осуществляющем алгоритмическую обработку информации.
Недостатками известного устройства являются наличие нескольких измерительных тележек и низкая точность измерения из-за невозможности измерений положения пути относительно его проектного положения, поскольку используется относительный метод измерения координат положения железнодорожного пути, который базируется на формировании измерительной базы относительно перемещающихся измерительных тележек.
Техническим результатом заявленного изобретения является повышение точности измерения пространственного положения железнодорожного пути и возможности обеспечения контроля проектного положения рельсового пути одновременно в двух взаимно перпендикулярных направлениях – в продольном профиле и в плане.
Указанный технический результат достигается тем, что в оптико-электронной системе (ОЭС) для контроля пространственного положения железнодорожного пути, включающей, по меньшей мере, один источник излучения, измерительную тележку, установленную на рельсовом пути, на которой расположены блок обработки и фотоприемный блок, оптически связанный с источником излучения, источник излучения выполнен с возможностью его установки на конструкциях, вынесенных за пределы рельсового пути и расположенных по ходу движения измерительной тележки, при этом фотоприемный блок содержит две приемно-анализирующие системы, датчик угла наклона фотоприемного блока, модуль управления, выход которого соединен со входом блока обработки, другой вход которого соединен с выходом датчика угла наклона фотоприемного блока, и индикатор прохождения измерительной тележкой источника излучения, выход которого соединен со входом модуля управления.
При этом источник излучения может быть выполнен в виде реперной марки, содержащей светодиод, отражатель и источник питания.
В качестве конструкций для установки источника излучения могут быть использованы опоры контактной сети.
Каждая приемно-анализирующая система может включать объектив и позиционно-чувствительный приемник оптического излучения, установленный в плоскости анализа изображения источника излучения и выход которого соединен с входом блока обработки.
Индикатор может быть выполнен в виде лазерного датчика положения фотоприемного блока.
В качестве датчика угла наклона фотоприемного блока может быть использован инклинометр.
Оптико-электронная система может включать более одного источника излучения.
Вынесение источника излучения за пределы железнодорожного пути и «привязка» его положения к проектному положению пути, определенного в абсолютной геодезической измерительной сети (т.е. не зависящей от текущего положения пути), а также выполнение фотоприемного блока, содержащего две приемно-анализирующие системы, датчик угла наклона фотоприемного блока, модуль управления, индикатор прохождения измерительной тележкой источника излучения, и связь конструктивных элементов фотоприемного блока с блоком обработки позволяют устранить ошибку определения пространственного положения пути в процессе движения фотоприемного блока на тележке вдоль полотна, что соответственно повышает точность измерения.
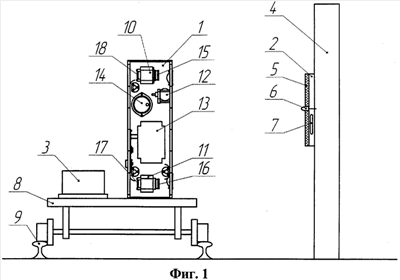
Сущность заявленного изобретения поясняется чертежами, где на фиг.1 представлена общая схема расположения элементов устройства, на фиг.2 – принципиальная схема измерений.
Оптико-электронная система для контроля пространственного положения железнодорожного пути (фиг.1) включает три функциональных блока: фотоприемный блок 1, источник излучения, выполненный, например, в виде реперной марки 2, и блок обработки 3. Реперная марка 2 закрепляется на конструкциях, вынесенных за пределы рельсового пути, например на опорах контактной сети 4 или других конструкциях, расположенных вдоль железнодорожного пути по ходу движения машины и геодезические координаты которых определены. Реперная марка 2 может содержать отражатель 5, излучатель, например светодиод 6 гальванического типа, расположенный в плоскости отражателя 5, и источник питания 7 излучателя. Реперная марка 2 связана оптически с фотоприемным блоком 1, расположенным вместе с блоком обработки 3 на измерительной тележке 8, которая установлена на рельсовом пути 9. Фотоприемный блок 1 (стереоскопического типа) состоит из двух оптических приемно-анализирующих систем 10 и 11, служащих для приема оптического изображения от светодиода 6 и дальнейшего его преобразования в цифровые электрические сигналы; индикатора 12, служащего для определения момента прохождения измерительной тележкой 8 реперной марки 2, модуля управления 13, вырабатывающего в момент прохождения измерительной тележкой 8 реперной марки 2 управляющий сигнал, по которому оптические приемно-анализирующие системы 10 и 11 захватывают изображения светодиода 6 реперной марки 2 и преобразуют его в цифровые электрические сигналы; и датчика 14 угла наклона фотоприемного блока 1. Каждая из оптических приемно-анализирующих систем 10 и 11 включает объектив 15 и 16 (для верхней и нижней камер соответственно) и позиционно-чувствительный приемник оптического излучения 17 и 18, установленный в плоскости анализа изображения светодиода 6 реперной марки 2. Причем оптические оси этих систем пересекаются в точке максимальной дальности измерения. Выход модуля управления 13 соединен с одним из входов блока обработки 3, другой вход которого соединен с выходом датчика 14 угла наклона фотоприемного блок. Выход индикатора 12 прохождения измерительной тележкой источника излучения соединен со входом модуля управления 13.
Индикатор 12 может быть выполнен, например, в виде лазерного датчика и соединен оптически с отражателем 5 реперной марки 2 и электрически – со входом модуля управления 13. Угол наклона фотоприемного блока 1 контролируется с помощью датчика 14 угла наклона, например с помощью инклинометра.
Совокупные данные от оптических приемно-анализирующих систем 10 и 11, от модуля управления 13 и от датчика 14 угла наклона поступают в блок обработки 3, где в результате их обработки происходит вычисление величин дальности до реперной марки 2 и смещения относительно него, что определяет пространственное положение железнодорожного пути.
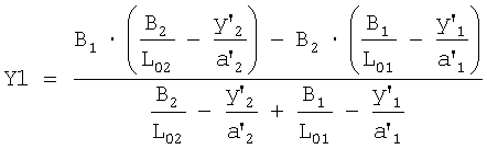
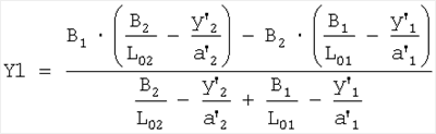
На фиг.2 представлена принципиальная схема измерений, реализуемая оптико-электронной системой для контроля пространственного положения железнодорожного пути. В устройстве оптические приемно-анализирующие системы 10 и 11 разнесены в пространстве на расстояние, равное величине базы В=В1+В2, а их оптические оси пересекают ось Oz приборной системы координат в точке максимальной дальности измерения соответственно L01 и L02, при этом образуя углы 1 и 2 с осью Oz. Оптические оси объективов 15 и 16 оптических приемно-анализирующих систем 10 и 11 проходят через точки y’001 и y’002 на поверхностях позиционно-чувствительных приемников оптического излучения 17 и 18 соответственно. Позиционно-чувствительные приемники оптического излучения 17 и 18 расположены на расстояниях a’1 и а’2 от задних узловых точек объективов 15 и 16. После захвата и анализа изображений источника излучения выдаются координаты y’1 и y’2 изображений в системе координат позиционно-чувствительных приемников оптического излучения. По этим координатам вычисляются величины дальности L1 и смещения Y1, определяющие пространственное положение железнодорожного пути.
Устройство для контроля пространственного положения железнодорожного пути работает следующим образом.
В момент прохождения измерительной тележкой 8 реперной марки 2, который определяется индикатором 12 по возвращенному сигналу от отражателя 5, индикатор 12 вырабатывает сигнал захвата кадров оптическими приемно-анализирующими системами 10 и 11. Этот сигнал поступает в блок обработки 3, после чего в модулях памяти каждого измерительного канала сохраняются кадры, поступившие в данный момент от оптических приемно-анализирующих систем 10 и 11 и содержащие изображения источника излучения (реперной марки 2). Определение смещений источника излучения относительно базовой точки приборной системы координат в вертикальном и продольном направлениях выполняется в два этапа. Вначале в блоке обработки 3 вычисляются вертикальные координаты «энергетических центров тяжести» изображений у’1 у’2 в пикселях (фиг.2). Алгоритм определения энергетического центра тяжести является наиболее простым и обеспечивает погрешность 0,1 0,01 размера элемента позиционно-чувствительного приемника оптического излучения. Затем на основании математической модели рассчитываются смещения L1, Y1 относительно базовой точки, определяющие пространственное положение железнодорожного пути по следующим формулам:
,
.
где В1, В2 – базы верхнего и нижнего каналов соответственно;
L01, L02 – точки максимальной дальности измерения для верхнего и нижнего каналов соответственно;
а’1, а’2 – задние отрезки для верхнего и нижнего каналов соответственно;
у’1, у’2 – вертикальные координаты «энергетических центров тяжести» изображений для верхнего и нижнего каналов соответственно;
L1, Y1 – измеряемые величины дальности и смещения.
Для уменьшения систематической погрешности работы системы необходим учет наклона фотоприемного блока 1, который реализуется за счет датчика 14 угла наклона фотоприемного блока 1. В этом случае измеряемые координаты L и Y пересчитываются по следующим конечным формулам:
L=L1 cos 
Y=Y1-L1 tg 
где – угол наклона фотоприемного блока, равный положению пути по уровню и поступающий от датчика наклона.
Таким образом, заявляемая ОЭС для контроля пространственного положения железнодорожного пути обеспечивает одновременный контроль положения железнодорожного пути относительно реперных меток в двух взаимно перпендикулярных направлениях (в продольном профиле и плане) при непрерывном движении путевой машины с высокой точностью и привязкой измеряемых координат к проектному положению пути.
Формула изобретения
1. Оптико-электронная система для контроля пространственного положения железнодорожного пути, включающая, по меньшей мере, один источник излучения, измерительную тележку, установленную на рельсовом пути, на которой расположены блок обработки и фотоприемный блок, оптически связанный с источником излучения, отличающаяся тем, что источник излучения выполнен с возможностью его установки на конструкциях, вынесенных за пределы рельсового пути и расположенных по ходу движения измерительной тележки, при этом фотоприемный блок содержит две приемно-анализирующие системы, датчик угла наклона фотоприемного блока, модуль управления, выход которого соединен со входом блока обработки, другой вход которого соединен с выходом датчика угла наклона фотоприемного блока, и индикатор прохождения измерительной тележкой источника излучения, выход которого соединен со входом модуля управления, причем каждая приемно-анализирующая система включает объектив и позиционно-чувствительный приемник оптического излучения, установленный в плоскости анализа изображения источника излучения и выход которого соединен с входом блока обработки.
2. Оптико-электронная система по п.1, отличающаяся тем, что источник излучения выполнен в виде реперной марки, содержащей светодиод, отражатель и источник питания светодиода.
3. Оптико-электронная система по п.1, отличающаяся тем, что в качестве конструкций для установки источника излучения используют опоры контактной сети.
4. Оптико-электронная система по п.1, отличающаяся тем, что индикатор выполнен в виде лазерного датчика положения фотоприемного блока.
5. Оптико-электронная система по п.1, отличающаяся тем, что в качестве датчика угла наклона фотоприемного блока используют инклинометр.
6. Оптико-электронная система по п.1, отличающаяся тем, что содержит более одного источника излучения.
РИСУНКИ
|
|