Патент на изобретение №2386636
|
||||||||||||||||||||||||||
(54) ХИМИЧЕСКИЙ СПОСОБ
(57) Реферат:
Настоящее изобретение относится к способу получения соединения формулы I
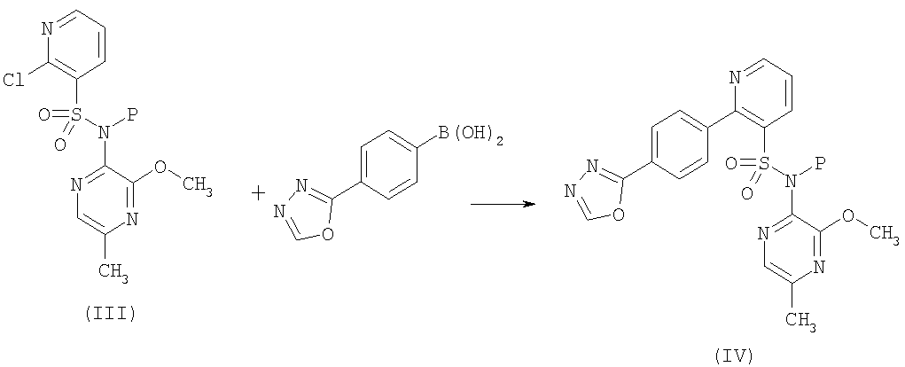
в которой X1 выбирают из О, и X2 представляет собой N; включающему последовательное взаимодействие соединения формулы II с (i) метил- или необязательно замещенным ариллитием, после этого (ii) н-бутил-, втор-бутил-, трет-бутил- или н-литием и затем (iii) сложным боратным эфиром. Изобретение также относится к способу получения соединений формулы IV:
который включает сочетание [4-(1,3,4-оксадиазол-2-ил)фенил]бороновой кислоты с соединением формулы III, в которой Р представляет собой азотзащитную группу, и к соединению формулы IV, где Р представляет собой C1-6алкоксикарбонил. 3 н. и 6 з.п. ф-лы.
Настоящее изобретение относится к улучшенному химическому способу получения промежуточных соединений. Некоторые из этих промежуточных соединений пригодны для приготовления соединений, которые применяются для лечения, например, злокачественного новообразования, боли и сердечно-сосудистых заболеваний у теплокровного животного, такого как человек, предпочтительно соединений, которые обладают антагонистическим действием по отношению к рецептору эндотелина. В частности, настоящее изобретение относится к химическому способу получения [4-(1,3,4-оксадиазол-2-ил)фенил]бороновой кислоты, которая используется для приготовления N-(3-метокси-5-метилпиразин-2-ил)-2-(4-[1,3,4-оксадиазол-2-ил]фенил)пиридин-3-сульфонамида, который описан в качестве примера 36 международной патентной заявки WO 96/40681. Это соединение обладает антагонистическим действием по отношению к рецептору эндотелина и, следовательно, полезно в тех случаях, когда требуется такая антагонистическая активность, в частности для исследовательских целей в фармакологии, диагностике средств, и для сходных исследований или для лечения заболеваний и патологических состояний, включая, но не ограничиваясь только ими, гипертонию, легочную гипертонию, заболевание с нарушениям сердечного или мозгового кровообращения и заболевание почек. Кроме того, это соединение также пригодно для лечения злокачественного новообразования и боли у теплокровного животного, такого как человек. Путь получения N-(3-метокси-5-метилпиразин-2-ил)-2-(4-[1,3,4-оксадиазол-2-ил]фенил)пиридин-3-сульфонамида описан в международных патентных заявках WO 96/40681 и WO 98/40332. В этом пути используют соединение N-(изобутоксикарбонил)-2-(4-метоксикарбонилфенил)-N-(3-метокси-5-метилпиразин-2-ил)пиридин-3-сульфонамид в качестве промежуточного продукта для образования 1,3,4-оксадиазола в 4-м положении фенильной группы, что происходит в конце синтеза. Этот существующий путь успешный для синтеза относительно небольших количеств N-(3-метокси-5-метилпиразин-2-ил)-2-(4-[1,3,4-оксадиазол-2-ил]фенил) пиридин-3-сульфонамида, но он является скорее линейным, чем конвергентным синтезом, включающим выделение значительного количества промежуточных соединений. Суммарный выход такого синтеза по существу не является большим. Кроме того, поскольку образование гетероарильной части в 4-м положении фенильной группы происходит на последней стадии, то существует необходимость использовать линейный подход синтеза с остальной частью молекулы, которая была получена ранее. Этот подход является чрезвычайно нежелательным, если заместители в различных частях молекулы должны изменяться для обеспечения возможности исследования взаимосвязей между структурой и активностью. Чрезвычайно желательной является разработка конвергентного подхода к синтезу соединений такого типа. Также его значительным преимуществом будет являться получение N-(3-метокси-5-метилпиразин-2-ил)-2-(4-[1,3,4-оксадиазол-2-ил]фенил) пиридин-3-сульфонамида в больших количествах. Сейчас нами был разработан значительно улучшенный способ получения гетероарил-фенил-бороновых кислот, в частности [4-(1,3,4-оксадиазол-2-ил)фенил]бороновой кислоты. Этот способ позволяет использовать более конвергентный путь для N-(3-метокси-5-метилпиразин-2-ил)-2-(4-[1,3,4-оксадиазол-2-ил]фенил)пиридин-3-сульфонамида по сравнению с описанным ранее путем и обеспечивать уменьшение количества промежуточных продуктов, которые следует выделять. Это обеспечивает значительные преимущества относительно времени и стоимости получения. В дальнейшем варианте осуществления настоящего изобретения одна из гетероарил-фенил-бороновых кислот, [4-(1,3,4-оксадиазол-2-ил)фенил]бороновая кислота, полученная в соответствии с настоящим изобретением, используется для получения N-защищенных N-(3-метокси-5-метилпиразин-2-ил)-2-(4-[1,3,4-оксадиазол-2-ил]фенил)пиридин-3-сульфонамидов, в частности N-(изобутоксикарбонил) N-(3-метокси-5-метилпиразин-2-ил)-2-(4-[1,3,4-оксадиазол-2-ил]фенил) пиридин-3-сульфонамида. Затем с этих промежуточных соединений можно снимать защиту, получая N-(3-метокси-5-метилпиразин-2-ил)-2-(4-[1,3,4-оксадиазол-2-ил]фенил)пиридин-3-сульфонамид. В способе получения гетероарил-фенил-бороновых кислот согласно настоящему изобретению используют повышенную кислотность протона гетероарильного кольца и предусматривают последовательное применение двух оснований. Начальные попытки добавления одного эквивалента основания к гетероарил-фенил-бромному соединению для вызывания обмена галогена на металл приводили к полному депротонированию гетероарильного кольца. При закаливании с помощью сложного боратного эфира получали требуемый продукт с незначительным выходом, вместе с исходным веществом и побочными продуктами. Авторы настоящего изобретения неожиданно обнаружили, что последовательное применение двух оснований приводит к получению требуемых гетероарил-фенил-бороновых кислот с хорошим выходом. В способе согласно настоящему изобретению сначала гетероарильное кольцо депротонируют с (обычно) “менее сильным” основанием, затем индуцируют обмен галогена на металл с (обычно) “более сильным” основанием. В соответствии с первым вариантом осуществления настоящего изобретения обеспечивается способ получения соединения формулы I
в которой X1 выбирают из О, NR1 или S; Х2 выбирают из СН или N, где R1 представляет собой азотзащитную группу, который включает: последовательное взаимодействие соединения формулы II
с (i) метил- или необязательно замещенным ариллитием; и после этого (ii) н-бутил-, втор-бутил-, трет-бутил- или н-гексиллитием; и затем (iii) сложным боратным эфиром. Для стадий (i), (ii) и (iii) способа реакции подходяще можно осуществлять в инертном растворителе, или разбавителе, или эфирном растворителе, таком как диэтиловый эфир, тетрагидрофуран, диэтоксиметан, 1,2-диметоксиэтан или 1,4-диоксан. Следовательно реакцию можно осуществлять, например, путем последовательной обработки 2-(4-бромфенил)-1,3,4-оксадиазола 4-метилфениллитием, затем н-гексиллитием и в завершение триизопропилборатом в подходящем растворителе или разбавителе, например в эфирном растворителе, таком как тетрагидрофуран, при температуре в интервале, например, от -90 до -50°С, более предпочтительно от -70°С до -55°С, подходяще при -70°С или около 70°С. Необязательно гетероарил-фенил-бромное соединение формулы II можно загружать раствором первого основания для обеспечения возможности депротонирования с последующим добавлением второго основания для вызывания переметаллирования. Этот способ хотя и является немного менее эффективным по своему выходу и качеству, но он обладает преимуществами в тех случаях, когда первое основание должно быть образовано in situ вследствие недостаточной стабильности при температурах окружающей среды. В этом случае для завершения обработки требуется только один низкотемпературный сосуд. Молярное соотношение реагентов, которые используются на стадиях (i), (ii) и (iii) способа, предпочтительно находятся в интервале 1,0-1,5:1,0-1,5:2,1-3 соответственно, но более предпочтительно в интервале 1,06-1,3:1,07-1,1:2,2-2,3 соответственно. Подходяще, образованные литиевые промежуточные соединения при превращении соединений формулы II в соединения формулы I как таковые не выделяют, но каждое из них получают и используют в виде раствора в органическом растворителе. Таким образом, соединения формулы I могут быть получены из соединений формулы II с помощью методики в одном сосуде. Ариллитий представляет собой, например, фенил или нафтиллитий. Необязательный заместитель для ариллития представляет собой, например, метил. Более предпочтительными необязательно замещенными ариллитиями являются, например, фенил-, 2-метилфенил-, 4-метилфенил-, мезитил- или нафтиллитий. Сложным боратным эфиром является алкильный, алкенильный или арильный бороновый сложный эфир, например, триметил-, триэтил- или триизопропил-борат. Если R1 представляет собой азотзащитную группу, то подходящими способами для защиты являются, например, способы, известные специалисту в данной области. Подходящие защитные группы могут использоваться согласно общепринятой практике (для иллюстрации смотри T.W.Green, Protective Groups in Organic Synthesis, John Wiley и Sons, 1991). Подходящей азотзащитной группой R1 является, например, C1-С6-алкильная, фенильная, аллильная, метоксиметильная, бензильная, трифенилметильная или дифенилфосфинильная защитная группа. В этом первом варианте осуществления настоящего изобретения обеспечиваются соединения формулы I в коммерчески приемлемых выходах и высокого качества. Дальнейшими значениями X1 и Х2 являются следующие значения. Такие значения могут использоваться, если это является подходящим, в соответствии с любыми определениями, пунктами формулы или вариантами осуществления изобретения, указанными ранее в настоящем изобретении или в дальнейшем. X1 представляет собой О. X1 представляет собой NR1. X1 представляет собой S. Х2 представляет собой СН. Х2 представляет собой N. X1 представляет собой О, а X2 представляет собой CH. X1 представляет собой О, а Х2 представляет собой N. X1 и Х2 представляют собой N. X1 представляет собой NR1, а Х2 представляет собой СН. X1 представляет собой NR1, a X2 представляет собой N. X1 представляет собой S, а Х2 представляет собой СН. X1 представляет собой S, а Х2 представляет собой N. R1 представляет собой аллил или бензил. R1 представляет собой бензил. Следовательно, в дополнительном варианте осуществления изобретения обеспечивается способ получения соединений формулы I
в которой X1 выбирают из О, NR1 или S; Х2 выбирают из СН или N; где R1 представляет собой азотзащитную группу; который включает последовательное взаимодействие соединений формулы II
с (i) 4-метилфениллитием; и затем (ii) н-гексиллитием; и затем (iii) триизопропилборатом. В дальнейшем варианте осуществления изобретения обеспечивается способ получения соединений формулы I
в которой X1 выбирают из О, NR1 или S; Х2 выбирают из СН или N, где R1 представляет собой азотзащитную группу, который включает: последовательное взаимодействие соединений формулы II
с (i) метиллитием; и затем (ii) н-гексиллитием; и затем (iii) триизопропилборатом. В дальнейшем варианте осуществления изобретения обеспечивается способ получения соединений формулы I
в которой X1 представляет собой О; и X2 представляет собой N, который включает: последовательное взаимодействие соединений формулы II
с (i) метиллитием; и затем (ii) н-бутиллитием; и затем (iii) триизопропилборатом. В дальнейшем варианте осуществления изобретения обеспечивается способ получения соединений формулы I
в которой X1 представляет собой О; и Х2 представляет собой N, который включает: последовательное взаимодействие соединений формулы II
с (i) 4-метифениллитием; и затем (ii) н-бутиллитием; и затем (iii) триизопропилборатом. Соединения формулы (II) могут быть получены согласно экспериментальным способам и методикам, описанным в Bioorganic & Medicinal Chemistry Letters, 2002, 12(20), 2879-2882; Eur. J. Med. Chem., 2000, 35, 157-162; Helvetica Chimica Acta, 1950, 33, 1271-1276; Eur. J. Med. Chem., 1985, 20(3), 257-66 и J. Het. Chem., 1989, 26, 1341. В дальнейшем варианте осуществления настоящего изобретения обеспечивается применение [4-(1,3,4-оксадиазол-2-ил)фенил]бороновой кислоты, полученной в соответствии с настоящим изобретением, для получения соединений формулы IV, которые являются промежуточными продуктами, полезными для получения N-(3-метокси-5-метилпиразин-2-ил)-2-(4-[1,3,4-оксадиазол-2-ил]фенил)пиридин-3-сульфонамида. N-(3-Метокси-5-метилпиразин-2-ил)-2-(4-[1,3,4-оксадиазол-2-ил]фенил)пиридин-3-сульфонамид получают путем снятия защиты с соединений формулы IV. В этом варианте осуществления изобретения [4-(1,3,4-оксадиазол-2-ил)фенил]бороновую кислоту сочетают с соединениями формулы III с образованием соединений формулы IV. Предпочтительно эту реакцию проводят в водном растворителе, например метаноле, этаноле, изопропаноле, промышленном метилированном спирте (IMS), изобутаноле, NMP (N-метилпирролидиноне), ДМФА; с органической фазой или без нее, например толуолом или ксилолом, при температуре в интервале, например, от 60 до 100°С, более предпочтительно от 75 до 85°С, в присутствии: (i) бороновой кислоты; (ii) подходящего источника палладия (0), например PdCl2, Pd(Ph3P)4 или Pd(OAc)2; (iii) подходящего лиганда, например трифенилфосфина или тринатриевой соли 3,3′,3”-фосфинидина трис(бензолсульфоновой кислоты); (iv) основания, например триэтиламина, бензилдиметиламина, N-метилморфолина, N-метилпиперидина, триэтаноламина, этилдиэтаноламина, диизопропилэтиламина, ацетата калия, фторида цезия или фторида калия. Подходящим источником палладия является ацетат палладия. Предпочтительным основанием является N-метилморфолин. В другом варианте осуществления, предпочтительным основанием является триэтиламин. Предпочтительно, эту реакцию осуществляют в водном растворителе без органической фазы. В другом варианте осуществления, предпочтительно эту реакцию осуществляют в водном растворителе с органической фазой. Если эту реакцию осуществляют в водном растворителе с органической фазой, то органическая фаза предпочтительно содержит толуол. В другом варианте осуществления настоящего изобретения, если реакцию осуществляют в водном растворителе с органической фазой, то органическая фаза предпочтительно содержит ксилол. В другом варианте осуществления, эту реакцию более предпочтительно осуществляют в присутствии ацетата палладия, тринатриевой соли 3,3′,3”-фосфинидина трис(бензолсульфоновой кислоты), N-метилморфолина в воде и изопропаноле. В другом варианте осуществления, эту реакцию более предпочтительно осуществляют в присутствии ацетата палладия, тринатриевой соли 3,3′,3”-фосфинидина трис(бензолсульфоновой кислоты), триэтиламина, ксилола, воды и IMS. Молярное соотношение реагентов, которые применяются на стадиях (i), (ii), (iii) и (iv) способа, предпочтительно находится в диапазоне 1,0-2,0:0,02-0,3:0,06-0,9:1,5-5,0 соответственно, но более предпочтительно в диапазоне 1,4-1,6:0,03-0,1:0,09-0,3:2,0-3,0 соответственно. В соединениях формулы III или формулы IV, Р представляет собой азотзащитную группу. Подходящими способами защиты являются способы, известные специалисту в данной области. В соответствии с общепринятой практикой могут использоваться подходящие защитные группы (для иллюстрации см. T.W.Green, Protective Groups in Organic Synthesis, John Wiley и Sons, 1991). Подходящим значением для Р является, например, ацильная группа, например C1-6алканоильная группа, такая как ацетил; ароильная группа, например бензоил; C1-6алкоксикарбонильная группа, например метоксикарбонильная, этоксикарбонильная, изобутоксикарбонильная или трет-бутоксикарбонильная группа; арилметоксикарбонильная группа, например бензилоксикарбонил; фосфинильная группа, например дифенилфосфинил; бензильная группа или С2-6алкенильная группа, такая как аллил. Подходящим значением для Р является C1-6алкоксикарбонильная группа. Более предпочтительными значениями для Р являются метоксикарбонильная, этоксикарбонильная или изобутоксикарбонильная группа. Наиболее предпочтительным значением для Р является изобутоксикарбонил. Условия снятия защиты для азотзащитных групп, описанных в настоящем изобретении, обязательно зависят от выбора защитной группы. Таким образом, например, ацильная группа, такая как C1-6алканоильная или C1-6алкоксикарбонильная группа, или ароильная группа, может быть удалена, например, путем гидролиза с подходящим основанием, таким как гидроксид щелочного металла, например гидроксид лития или натрия, или амином, например аммиаком. Альтернативно, алкоксикарбонильная группа, такая как трет-бутоксикарбонильная группа, может быть удалена, например, путем обработки подходящей кислотой, такой как соляная, серная или фосфорная кислота или трифторуксусная кислота, а арилметоксикарбонильная группа, такая как бензилоксикарбонильная группа, может быть удалена, например, путем гидрирования в присутствии катализатора, такого как палладий на угле, или путем обработки кислотой Льюиса, например трис(трифторацетатом) бора. Фосфинильная группа может быть удалена путем гидролиза с помощью щелочи, такой как гидроксид щелочного металла, например гидроксид лития, или натрия, или амина, например аммиака. Бензильная группа может быть удалена путем гидрирования в присутствии катализатора, такого как палладий на угле. С2-6алкенильная группа, такая как аллил, может быть удалена путем гидролиза с помощью палладия. В дальнейшем варианте осуществления изобретения обеспечивается способ получения соединения формулы IV, который включает взаимодействие [4-(1,3,4-оксадиазол-2-ил)фенил]бороновой кислоты с соединением формулы III. В дальнейшем варианте осуществления изобретения обеспечивается способ получения соединения формулы IV, который включает взаимодействие [4-(1,3,4-оксадиазол-2-ил)фенил]бороновой кислоты, полученной согласно настоящему изобретению, с соединением формулы III. В этом варианте осуществления изобретения более предпочтительно изобретение обеспечивает применение [4-(1,3,4-оксадиазол-2-ил)фенил] бороновой кислоты, полученной согласно настоящему изобретению, для получения N-(изобутоксикарбонил) N-(3-метокси-5-метилпиразин-2-ил)-2-(4-[1,3,4-оксадиазол-2-ил]фенил)пиридин-3-сульфонамида, соединения формулы IV и промежуточного соединения, пригодного для получения N-(3-метокси-5-метилпиразин-2-ил)-2-(4-[1,3,4-оксадиазол-2-ил]фенил)пиридин-3-сульфонамида. В этом варианте осуществления изобретения [4-(1,3,4-оксадиазол-2-ил)фенил]бороновую кислоту подвергают сочетанию с N-(изобутоксикарбонил)-2-хлор-N-(3-метокси-5-метилпиразин-2-ил) пиридин-3-сульфонамидом с получением N-(изобутоксикарбонил) N-(3-метокси-5-метилпиразин-2-ил)-2-(4-[1,3,4-оксадиазол-2-ил]фенил)пиридин-3-сульфонамида. Получение N-(изобутоксикарбонил)-2-хлор-N-(3-метокси-5-метилпиразин-2-ил)пиридин-3-сульфонамида описано в примере 1 заявки WO 96/40681. Таким образом, согласно этому варианту осуществления изобретения обеспечивается способ получения N-(изобутоксикарбонил) N-(3-метокси-5-метилпиразин-2-ил)-2-(4-[1,3,4-оксадиазол-2-ил]фенил)пиридин-3-сульфонамида, который включает сочетание [4-(1,3,4-оксадиазол-2-ил)фенил]бороновой кислоты с N-(изобутоксикарбонил)-2-хлор-N-(3-метокси-5-метилпиразин-2-ил)пиридин-3-сульфонамидом. Следовательно, в дальнейшем варианте осуществления изобретения обеспечивается применение [4-(1,3,4-оксадиазол-2-ил)фенил]бороновой кислоты для получения N-(изобутоксикарбонил) N-(3-метокси-5-метилпиразин-2-ил)-2-(4-[1,3,4-оксадиазол-2-ил]фенил)пиридин-3-сульфонамида. В дальнейшем варианте осуществления изобретения обеспечивается применение [4-(1,3,4-оксадиазол-2-ил)фенил]бороновой кислоты, полученной в соответствии со способом по настоящему изобретению, для получения N-(изобутоксикарбонил) N-(3-метокси-5-метилпиразин-2-ил)-2-(4-[1,3,4-оксадиазол-2-ил]фенил) пиридин-3-сульфонамида. В дальнейшем варианте осуществления изобретения обеспечивается соединение формулы IV. В дальнейшем варианте осуществления изобретения обеспечивается N-(изобутоксикарбонил) N-(3-метокси-5-метилпиразин-2-ил)-2-(4-[1,3,4-оксадиазол-2-ил]фенил)пиридин-3-сульфонамид. В дальнейшем варианте осуществления изобретения обеспечивается применение N-(изобутоксикарбонил) N-(3-метокси-5-метилпиразин-2-ил)-2-(4-[1,3,4-оксадиазол-2-ил]фенил)пиридин-3-сульфонамида для получения N-(3-метокси-5-метилпиразин-2-ил)-2-(4-[1,3,4-оксадиазол-2-ил]фенил)пиридин-3-сульфонамида. Далее изобретение иллюстрируется следующими примерами, которые не ограничивают его объем и в которых, если специально не указано иначе: (i) выходы представлены только с целью помощи читателю и необязательно, что их можно максимально получить при тщательном осуществлении способа; (ii) 1Н ЯМР спектры определяли при 270 МГц или 400 МГц в ДMCOd6, используя тетраметилсилан (ТМС) в качестве внутреннего стандарта, и выражали в виде химических сдвигов (дельта-значений) в част. на млн относительно ТМС, используя обычные сокращения для обозначения главных пиков: s, синглет; m, мультриплет; t, триплет; br, широкий; d, дублет. Пример 1 [4-(1,3,4-оксадиазол-2-ил)фенил]бороновая кислота Раствор метиллития (8 мас.% в диэтоксиметане) (65 мл) добавляли к суспензии 2-(4-бромфенил)-1,3,4-оксадиазола (40 г) в тетрагидрофуране (ТГФ) (415 мл) при -65°С. Затем через 1 час добавляли раствор н-бутиллития (2,5М в гексанах) (78 мл) при -65°С. Затем через 1 час добавляли триизопропилборат (90 мл), поддерживая реакционную смесь при -65°С. Реакционную смесь выдерживали при -65°С в течение часа и затем нагревали до -20°С и погружали в смесь уксусной кислоты (28 мл) в воде (222 мл). Полученное твердое вещество выделяли, промывали ТГФ и водой и высушивали, получая указанное в заглавии соединение (28,96 г @ 95,1 мас.%, 82%); 400 МГц ЯМР-спектр: (ДMCOd6) 8,00 (s, 4H), 8,31 (s, 2Н), 9,35 (s, 1Н). Масс-спектр MH+ 191,0628 (рассчитано с использованием 11-В) Обнаружено 191,0633. 2-(4-Бромфенил)-1,3,4-оксадиазол, используемый в качестве исходного вещества, получали следующим образом. К суспензии 4-бромбензойного гидразида (200 г) в промышленном метилированном спирте (700 мл) добавляли триэтилортоформиат (309 мл), промышленный метилированный спирт (100 мл) и серную кислоту (0,8 мл). Реакционную смесь нагревали в колбе с обратным холодильником в течение 1 часа. Реакционную смесь охлаждали до 0-5°С и продукт кристаллизовался. Продукт выделяли, промывали и высушивали, получая 2-(4-бромфенил)-1,3,4-оксадиазол (186,1 г, 89,9%). 400 МГц ЯМР-спектр: (ДMCOd6) 9,35 (s, 1Н), 7,98 (d, 1H), 7,95 (d, 1H), 7,84 (d, 1H), 7,81 (d, 1H). Масс-спектр MH+ 224,9663 (рассчитано с использованием 79-Вг) Обнаружено 224,9701. Пример 2 [4-(1,3,4-оксадиазол-2-ил)фенил]бороновая кислота Гранулы лития (8,2 г) и тетрагидрофурана (670 г) загружали в реактор в атмосфере аргона и смесь охлаждали до -35°С. Добавляли 4-хлортолуол (74,3 г) при -35°С и смесь выдерживали при этой температуре в течение 6 часов. Полученный раствор добавляли к суспензии 2-(4-бромфенил)-1,3,4-оксадиазола (124,4 г) в тетрагидрофуране (800 г) при -65°С. Затем через 30 минут добавляли раствор н-гексиллития (33 мас.% в гексанах) (240 мл) при -65°С. Затем через 30 минут дополнительно добавляли триизопропилборат (230,8 г), поддерживая реакционную смесь при -65°С. Реакционную смесь оставляли нагреться до -35°С и погружали в раствор уксусной кислоты (91,5 г) в воде (688 г). Полученное твердое вещество выделяли, промывали ТГФ и водой и высушивали, получая указанное в заглавии соединение (92,2 г, 88%). Пример 3 [4-(1,3,4-оксадиазол-2-ил)фенил]бороновая кислота Пример 2 повторяли, но загрузку 4-хлортолуола повышали от 1,06 молей до 1,30 молей. Выход указанного в заглавии соединения повышался до 89,3%. Пример 4 [4-(1,3,4-оксадиазол-2-ил)фенил]бороновая кислота Тетрагидрофуран (250 г) загружали к смеси гранул лития (3,02 г) и бифенила (0,01 г) в атмосфере аргона и смесь охлаждали до -30°С. Медленно добавляли 2-хлортолуол (27,55 г) при -30°С. Реакционную смесь выдерживали при -30°С в течение 6 часов и затем охлаждали до -65°С. Медленно добавляли смесь 2-(4-бромфенил)-1,3,4-оксадиазола (50,0 г) в ТГФ (300 г) при -65°С. Реакционную смесь выдерживали при -65°С в течение 30 минут, затем добавляли раствор н-гексиллития (33 мас.% в гексанах, 86 мл) при -65°С. Реакционную смесь выдерживали при -65°С в течение 30 минут и затем добавляли триметилборат (48,7 г) при -65°С. Реакционную смесь выдерживали при -65°С в течение 10 минут, после этого добавляли метанол (55,3 г), затем 4-метил-2-пентанон (240 г). Реакционную смесь нагревали и низкокипящие растворители отгоняли в вакууме до максимальной температуры 55°С. Оставшуюся смесь охлаждали до 0°С и добавляли 10 мас.% серной кислоты (92 г), затем воду (92 г), при этом температуру поддерживали ниже 7°С. Продукт осаждали. рН доводили до 6,5 путем дополнительного добавления 10 мас.% серной кислоты (85,3 г). Смесь нагревали до 40°С, затем обратно охлаждали до 5-10°С. Продукт выделяли и промывали ТГФ (56 г) и водой (60 г), получая влажное указанное в заглавии соединение (25,2 г, 60%). Пример 5 [4-(1,3,4-оксадиазол-2-ил)фенил]бороновая кислота Тетрагидрофуран загружали к гранулам лития (7,6 г) в атмосфере аргона и смесь охлаждали до -30°С. Медленно добавляли 2-хлортолуол (69,4 г) при -30°С. Реакционную смесь выдерживали при -30°С в течение 6 часов, затем добавляли к суспензии 2-(4-бромфенил)-1,3,4-оксадиазола (124,4 г) в тетрагидрофуране (800 г) при -65°С. Реакционную смесь выдерживали при -65°С в течение 30 минут, затем добавляли раствор н-гексиллития (33 мас.% в гексанах, 245 мл) при -65°С. Реакционную смесь выдерживали при -65°С в течение 30 минут и затем добавляли триметилборат (230,8 г) при -65°С. Реакционную смесь выдерживали при -65°С в течение 30 минут, после этого добавляли метанол (175 мл), затем 4-метил-2-пентанон (600 г). Реакционную смесь нагревали и низкокипящие растворители отгоняли в вакууме до максимальной температуры 50°С. Реакционную смесь охлаждали до 5-10°С и рН доводили до 6,5 путем добавления 5 мас.% серной кислоты (990,5 г). Продукт осаждали. Смесь нагревали до 40°С, затем обратно охлаждали до 10°С. Продукт выделяли, промывали ТГФ и водой и высушивали, получая указанное в заглавии соединение (79,3 г, 75,5%). Пример 6 [4-(1,3,4-оксадиазол-2-ил)фенил]бороновая кислота Пример 4 повторяли, но использовали хлорбензол (61,6 г) вместо 2-хлортолуола. Указанное в заглавии соединение выделяли с выходом 87,8 г, (83,8%). Пример 7 N-(Изобутоксикарбонил) N-(3-метокси-5-метилпиразин-2-ил)-2-(4-[1,3,4-оксадиазол-2-ил]фенил)пиридин-3-сульфонамид Ацетат палладия (0,4144 г) и тринатриевую соль 3,3′,3”-фосфинидина трис(бензолсульфоновой кислоты) 30 мас.% водн. раств. (3,26 г) растворяли в воде (35 мл) в течение 6 минут в ультразвуковой ванне. Желтый раствор добавляли к перемешиваемой взвеси [4-(1,3,4-оксадиазол-2-ил)фенил]бороновой кислоты (10 г) и изобутил [(2-хлорпиридин-3-ил)сульфонил](3-метокси-5-метилпиразин-2-ил)карбамата (16,86 г) в ксилоле (100 мл), промышленном метилированном спирте (50 мл) и триэтиламине (17 мл). Затем колбу для растворения с катализатором промывали водой (5 мл) и реакционную смесь нагревали в колбе с обратным холодильником (80°С) на масляной бане (105°С) и перемешивали в колбе с обратным холодильником в течение 24,5 часов. Реакционную смесь охлаждали до 30°С и фильтровали через стелковолоконную фильтровальную бумагу Whatman GF/B и нижнюю водную фазу отделяли. Реакционную колбу и фильтровальный осадок промывали ксилолом (20 мл). Ксилоловые промывки использовали для повторного экстрагирования водной фазы. Объединенные органические фазы перемешивали и нагревали в колбе с обратным холодильником (85°С) в чистой 4-х горлой колбе объемом 500 мл, оборудованной напорной мешалкой, водяным конденсатором и в атмосфере азота. По каплям добавляли растворитель Essochem 30 (углеводороды Вр 100-130°С) (100 мл) в течение 6 минут и смеси позволяли самостоятельно охладиться до температуры окружающей среды и затем дополнительно охлаждали до -5°С и выдерживали в течение 1 часа. Продукт отфильтровывали и промывали растворителем Essochem 30 (50 мл). Осадок высушивали на фильтре в течение 3 часов, получая 15,20 г @100% концентрация, выход 76,8%. 270 МГц 1Н-ЯМР-спектр: 0,70 (d, 6Н), 1,72 (m, 1Н), 2,51 (s, 3Н), 3,84 (d, 2H), 4,00 (s, 3H), 7,59 (m, 1H); 7,80 (d, 2H), 7,90 (s, 1Н), 8,17 (d, 2H), 8,50 (s, 1Н), 8,90 (m, 1Н) и 9,00 (d, 1Н). Масс-спектр МН+=525,2 (C24H25N6O6S=525,16). Пример 8 N-(Изобутоксикарбонил) N-(3-метокси-5-метилпиразин-2-ил)-2-(4-[1,3,4-оксадиазол-2-ил]фенил)пиридин-3-сульфонамид В продуваемую азотом многогорлую колбу объемом 500 мл, которая оборудована напорной мешалкой, загружали изобутил [(2-хлорпиридин-3-ил)сульфонил](3-метокси-5-метилпиразин-2-ил)карбамат (22,15 г), [4-(1,3,4-оксадиазол-2-ил)фенил]бороновую кислоту (12,26 г), изопропанол (60 мл), воду (140 мл) и тринатриевую соль 3,3′,3”-фосфинидина трис(бензолсульфоновой кислоты) 30 мас.% водн. раств. (13,7 г). Начинали взбалтывание и через 10 минут добавляли ацетат палладия (0,541 г). Добавляли N-метилморфолин (13,25 мл) и температуру доводили до 80°С. Через 4 часа 20 минут добавляли толуол (140 мл) и температуру доводили до 60°С. Дополнительно через 45 минут смесь фильтровали через 1 мкм стелковолоконную фильтровальную бумагу и водную фазу отделяли. Реакционную колбу и фильтровальный осадок промывали толуолом (22 мл). Толуольные промывки использовали для повторного экстрагирования водной фазы и органические слои объединяли. Они содержали указанное в заглавии соединение (22,8 г, 90%), которое не выделяли. Пример 9 N-(Изобутоксикарбонил) N-(3-метокси-5-метилпиразин-2-ил)-2-(4-[1,3,4-оксадиазол-2-ил]фенил)пиридин-3-сульфонамид В продуваемую азотом многогорлую колбу объемом 150 мл, которая оборудована напорной мешалкой, загружали изобутил [(2-хлорпиридин-3-ил)сульфонил](3-метокси-5-метилпиразин-2-ил)карбамат (7,75 г), [4-(1,3,4-оксадиазол-2-ил)фенил]бороновую кислоту (4,29 г), изопропанол (21 мл), воду (49 мл) и тринатриевую соль 3,3′,3”-фосфинидина трис(бензолсульфоновой кислоты) 30 мас.% водн. раств. (2,88 г). Начинали взбалтывание и через 10 минут добавляли ацетат палладия (0,114 г). Добавляли фторид калия (2,48 г) и температуру доводили до 80°С. Через 5 часов добавляли толуол (49 мл) и температуру доводили до 60°С. Дополнительно через 10 минут смесь фильтровали через 1 мкм стелковолоконную фильтровальную бумагу и водную фазу отделяли. Органическая фаза содержала указанное в заглавии соединение (7,36 г, 83%), которое не выделяли.
Формула изобретения
1. Способ получения соединения формулы I 2. Способ по п.1, в котором указанный метил- или необязательно замещенный ариллитий представляет собой 4-метилфениллитий или метиллитий. 3. Способ по п.1, в котором указанный н-бутил-, втор-бутил-, трет-бутил- или н-гексиллитий представляет собой н-гексиллитий или н-бутиллитий. 4. Способ по п.1, в котором указанный сложный боратный эфир представляет собой триизопропилборат. 5. Способ получения соединений формулы IV 6. Способ по п.5, который осуществляют в присутствии 7. Способ по п.5, в котором Р представляет собой изобутоксикарбонил. 8. Соединение формулы IV 9. Соединение формулы IV по п.8, которое представляет собой N-(изобутоксикарбонил)-N-(3-метокси-5-метилпиразин-2-ил)-2-(4-[1,3,4-оксадиазол-2-ил]фенил)пиридин-3-сульфонамид.
|
||||||||||||||||||||||||||

11





