|
|
(21), (22) Заявка: 2007107076/04, 27.07.2005
(24) Дата начала отсчета срока действия патента:
27.07.2005
(30) Конвенционный приоритет:
27.07.2004 JP 2004-218895 29.11.2004 JP 2004-343942
(43) Дата публикации заявки: 10.09.2008
(46) Опубликовано: 20.04.2010
(56) Список документов, цитированных в отчете о поиске:
US 20010041674 A1, 15.11.2001. WO 2004013118 A1, 12.02.2004. WO 02083066 A2, 24.10.2002. AU 200778483 B2, 23.04.2001. RU 2165931 C2, 27.04.2001. RU 2147582 C1, 20.04.2000.
(85) Дата перевода заявки PCT на национальную фазу:
27.02.2007
(86) Заявка PCT:
JP 2005/013716 20050727
(87) Публикация PCT:
WO 2006/011502 20060202
Адрес для переписки:
129090, Москва, ул. Б.Спасская, 25, стр.3, ООО “Юридическая фирма Городисский и Партнеры”, пат.пов. Е.Е.Назиной
|
(72) Автор(ы):
МАЦУОКА Хирохару (JP), САТО Тсутому (JP), НИСИМОТО Масахиро (JP), КАТО Ясухару (JP), САКАЙТАНИ Масахиро (JP), ЛИ Санг-Хак (KR)
(73) Патентообладатель(и):
ЧУГАИ СЕЙЯКУ КАБУСИКИ КАЙСЯ (JP)
|
(54) НОВОЕ ПРОИЗВОДНОЕ ГЛЮЦИТОЛА, ЕГО ПРОЛЕКАРСТВО И ЕГО СОЛЬ И СОДЕРЖАЩИЙ ИХ ТЕРАПЕВТИЧЕСКИЙ АГЕНТ ДЛЯ ЛЕЧЕНИЯ ДИАБЕТА
(57) Реферат:
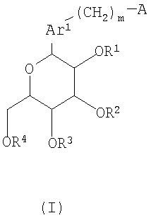
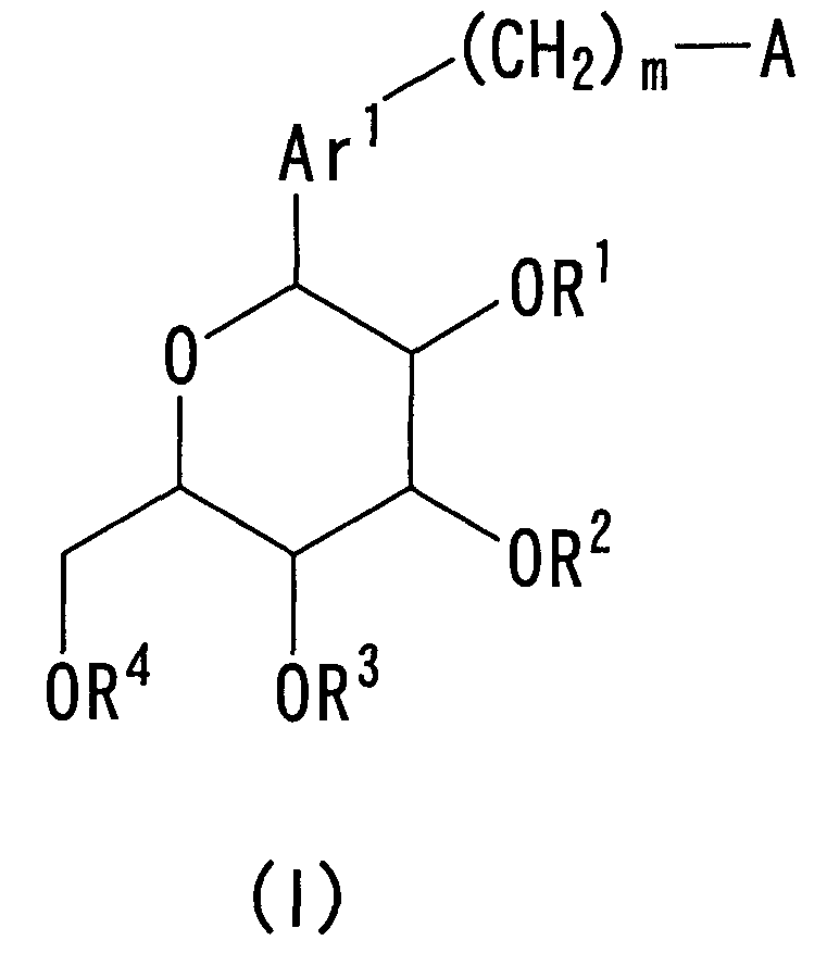
Изобретение относится к новому производному глюцитола формулы (I)

в которой m представляет собой целое число, выбранное из 1-3; каждый из R1, R2, R3 и R4 независимо выбирают из атома водорода и бензильной группы; Ar1 представляет собой нафтильную группу, которая может быть замещена одним или более заместителем, выбранным из группы, состоящей из C1-С6 алкильной группы или атома галогена; А представляет собой 5-7-членную ароматическую гетероциклическую группу, содержащую один или более гетероатомов, независимо выбранных из атома кислорода и атома серы, которая может образовывать конденсированный цикл с ароматическим карбоциклом или ароматическим гетероциклом, где А может быть замещена одним или более Rb, при условии, что, когда А является бензоконденсированным циклом, содержащим два или более колец, группа -(СН2)m– связана с гетероциклом в А; каждый из Rb независимо выбирают из C1-C6 алкильной группы, атома галогена и C1-С6-алкокси группы; или их фармацевтически приемлемым солям. Эти соединения используются в качестве ингибитора котраспортера Na+ и обладают способностью снижать уровень сахара в крови. Изобретение также относится к фармацевтической композиции на основе этих соединений, способу лечения и предупреждения таких заболеваний, связанных с гипергликемией, как диабет, осложнения диабета и ожирение. 4 н. и 7 з.п. ф-лы, 4 табл.
Область техники
Настоящее изобретение относится к производным глюцитола, их пролекарствам и их фармацевтически приемлемым солям, которые применимы в качестве лекарственных средств. В частности, настоящее изобретение относится к производным глюцитола, их пролекарствам и их солям, которые применимы в качестве профилактических или терапевтических агентов для лечения такого диабета, как инсулинозависимый диабет (диабет I типа) и инсулинонезависимый диабет (диабет II типа), осложнений диабета и таких заболеваний, как ожирение, вызванное гипергликемией, за счет ингибирования котранспортера 2 Na+-глюкозы (SGLT2).
Уровень техники
В последние годы количество пациентов, страдающих диабетом, возросло вследствие западной манеры питания, хронического недостатка физических упражнений и так далее. У страдающих диабетом пациентов из-за хронической гипергликемии снижена как секреция инсулина, так и чувствительность к инсулину, а это приводит к тому, что дальнейшее повышение уровня сахара в крови ухудшает состояние заболевания. В качестве терапевтических агентов для лечения диабета использовали бигуанидные лекарственные препараты, сульфонилмочевинные лекарственные препараты, лекарственные препараты-ингибиторы глюкозидазы, агенты, повышающие резистентность к инсулину, и так далее. Однако в качестве побочных эффектов, связанных с указанными агентами, сообщается о лактоцидозе в случае бигуанидных лекарственных препаратов, о гипогликемии в случае сульфонилмочевинных лекарственных препаратов, а также о диарее в случае ингибиторов глюкозидазы; и таким образом, настоящее положение дел таково, что в высшей степени желательно разработать терапевтические агенты для лечения диабета, обладающие новым механизмом действия, который отличается от механизма действия указанных лекарственных препаратов.
Сообщалось (см. непатентный документ 1), что флоризин, природное производное глюкозы, ингибирует повторную абсорбцию избытка глюкозы в почках за счет ингибирования натрийзависимого котранспортера 2 глюкозы (SGLT2), находящегося на сайте S1 почечного проксимального изогнутого канальца, и активирует выделение глюкозы для проявления снижения уровня сахара в крови, и с тех пор проводилось интенсивное исследование терапевтических агентов для лечения диабета на основе ингибирования SGLT2.
Например, в японской патентной публикации 2000-080041 А (патентный документ 1), международной публикации WO 01/068660 (патентный документ 2), WO 04/007517 (патентный документ 3) и так далее, описаны соединения, используемые в качестве ингибиторов SGLT2. Однако считается проблемой то, что при пероральном введении указанные соединения легко гидролизуются под действием глюкозидазы, присутствующей в тонкой кишке, или тому подобное, и их фармакологическое действие быстро пропадает. В случае флоризина сообщается, что флоретин, агликон флоризина, эффективно ингибирует транспортер сахара облегченного типа диффузии. Например, при внутривенном введении флоризина крысе сообщается о неблагоприятном эффекте снижения внутримозговой концентрации глюкозы (ссылка, например, на непатентный документ 2).
Тогда в целях предотвращения подобного разложения и повышения эффективности абсорбции были предприняты некоторые попытки перевести такие соединения в их пролекарства. При введении пролекарства желательно, чтобы указанное пролекарство соответствующим образом усваивалось в целевом органе либо рядом с ним, превращаясь в активное соединение. Однако, поскольку в живом организме присутствуют различные метаболические ферменты и индивидуальная изменчивость значительна, во многих случаях трудно обеспечить стабильное действие пролекарства. Кроме того, была предпринята попытка превращения гликозидной связи указанного соединения в углерод-углеродную связь (ссылка на патентные документы 4-8). Однако необходимо дальнейшее улучшение свойств лекарственного средства, включая активность, метаболическую стабильность и так далее.
Патентный документ 1: Японская патентная публикация 2000-080041 А.
Патентный документ 2: Международная публикация WO 01/068660 реферат.
Патентный документ 3: Международная публикация WO 04/007517 реферат.
Патентный документ 4: Патентная публикация США 2001/041674 А.
Патентный документ 5: Патентная публикация США 2002/137903 А.
Патентный документ 6: Международная публикация WO 01/027128 реферат.
Патентный документ 7: Международная публикация WO 02/083066 реферат.
Патентный документ 8: Международная публикация WO 04/013118 реферат.
Непатентный документ 1: J. Clin. Invest., 93, 397-404 (1994).
Непатентный документ 2: Stroke, 14, 388 (1983).
ОПИСАНИЕ ИЗОБРЕТЕНИЯ
Проблема, которую необходимо решить при помощи настоящего изобретения
Задача настоящего изобретения заключается в разработке производных глюцитола, обладающих подходящими для лекарственных препаратов свойствами. В частности, задача настоящего изобретения заключается в разработке производных глюцитола, которые снижают уровень сахара в крови и, кроме того, обладают такими подходящими свойствами в качестве лекарственных препаратов, как продолжительное действие, метаболическая стабильность и безопасность.
Кроме того, задача настоящего изобретения заключается в разработке фармацевтических композиций, используемых для профилактики или терапии такого диабета, как инсулинозависимый диабет (диабет I типа) и инсулинонезависимый диабет (диабет II типа), осложнений диабета и таких заболеваний, как ожирение, вызванное гипергликемией.
Способы решения проблемы
В результате напряженных исследований, проведенных авторами настоящего изобретения для решения описанных выше задач, найдено, что производные глюцитола формулы (I) обладают превосходной ингибирующей активностью в отношении SGLT2, и настоящее изобретение было завершено.
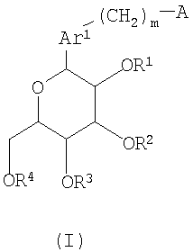
То есть согласно одному из аспектов настоящего изобретения предложено соединение формулы (I):

в которой
m представляет собой целое число, выбранное из 1-3;
каждый из R1, R2, R3 и R4 независимо выбирают из атома водорода, С1-С6 алкильной группы, которая может быть замещена одним или более Ra, С7-С14 аралкильной группы, которая может быть замещена одним или более Rb, и -С(=О)Rx;
Rx представляет собой С1-С6 алкильную группу, которая может быть замещена одним или более Ra, арильную группу, которая может быть замещена одним или более Rb, гетероарильную группу, которая может быть замещена одним или более Rb, С1-С6 алкоксигруппу, которая может быть замещена одним или более Ra, или -NReRf;
Ar1 представляет собой нафтильную группу, которая может быть замещена одним или более Rb;
А представляет собой гетероарильную группу, которая может быть замещена одним или более Rb, при этом указанная гетероарильная группа может образовывать конденсированный цикл с ароматическим карбоциклом или ароматическим гетероциклом при условии, что, когда А является бензоконденсированным циклом, содержащим два или несколько колец, группа -(CH2)m– связана с гетероциклом в А;
каждый из Ra независимо выбирают из атома галогена, гидроксигруппы, цианогруппы, нитрогруппы, карбоксильной группы, С1-С6 алкоксигруппы, которая может быть замещена одним или более Rc, арильной группы, которая может быть замещена одним или более Rd, арилоксигруппы, которая может быть замещена одним или более Rd, гетероарильной группы, которая может быть замещена одним или более Rd, гетероарилоксигруппы, которая может быть замещена одним или более Rd, меркаптогруппы, С1-С6 алкилтиогруппы, которая может быть замещена одним или более Rc, С1-С6 алкилсульфинильной группы, которая может быть замещена одним или более Rc, С1-С6 алкилсульфонильной группы, которая может быть замещена одним или более Rc, -NRfRg, С1-С6 алкоксикарбонильной группы, которая может быть замещена одним или более Rc, и С1-С6 алкилкарбонильной группы, которая может быть замещена одним или более Rc;
каждый из Rb независимо выбирают из С1-С6 алкильной группы, которая может быть замещена одним или более Rc, С3-С8 циклоалкильной группы, которая может быть замещена одним или более Rc, С7-С14 аралкильной группы, которая может быть замещена одним или более Rd, атома галогена, гидроксигруппы, цианогруппы, нитрогруппы, карбоксильной группы, С1-С6 алкоксикарбонильной группы, которая может быть замещена одним или более Rc, С1-С6 алкоксигруппы, которая может быть замещена одним или более Rc, арильной группы, которая может быть замещена одним или более Rd, арилоксигруппы, которая может быть замещена одним или более Rd, гетероарильной группы, которая может быть замещена Rd, гетероарилоксигруппы, которая может быть замещена одним или более Rd, меркаптогруппы, С1-С6 алкилтиогруппы, которая может быть замещена одним или более Rc, С1-С6 алкилсульфинильной группы, которая может быть замещена одним или более Rc, С1-С6 алкилсульфонильной группы, которая может быть замещена одним или более Rc, -NRfRg, С1-С6 алкилкарбонильной группы, которая может быть замещена одним или более Rc, С1-С3 алкилендиоксигруппы и гетероциклильной группы;
каждый из Rc независимо выбирают из атома галогена, гидроксигруппы, цианогруппы, нитрогруппы, карбоксильной группы, С1-С6 алкоксигруппы, арильной группы, которая может быть замещена одним или более Rd, арилоксигруппы, которая может быть замещена одним или более Rd, гетероарильной группы, которая может быть замещена одним или более Rd, гетероарилоксигруппы, которая может быть замещена одним или более Rd, аминогруппы, С1-С6 алкиламиногруппы и ди(С1-С6 алкил)аминогруппы;
каждый из Rd независимо выбирают из С1-С6 алкильной группы, которая может быть замещена одним или более атомами галогена, С7-С14 аралкильной группы, атома галогена, гидроксигруппы, цианогруппы, нитрогруппы, аминогруппы, С1-С6 алкиламиногруппы и ди(С1-С6 алкил)аминогруппы;
Re представляет собой атом водорода, С1-С6 алкильную группу, которая может быть замещена одним или более Rc, арильную группу, которая может быть замещена одним или более Rd, или гетероарильную группу, которая может быть замещена одним или более Rd;
Rf представляет собой атом водорода или С1-С6 алкильную группу, которая может быть замещена одним или более Rc,
Rg представляет собой атом водорода, С1-С6 алкильную группу, которая может быть замещена одним или более Rc, С1-С6 алкилкарбонильную группу, которая может быть замещена одним или более Rc, арильную группу, которая может быть замещена Rd, гетероарильную группу, которая может быть замещена одним или более Rd, карбамоильную группу, С1-С6 алкоксикарбонильную группу, которая может быть замещена одним или более Rc, или С1-С6 алкилсульфонильную группу, которая может быть замещена одним или более Rc; или
Re и Rf, и Rf и Rg могут образовывать 4-7-членный гетероцикл вместе с атомом азота, с которым они связаны,
или его пролекарство, или его фармацевтически приемлемая соль.
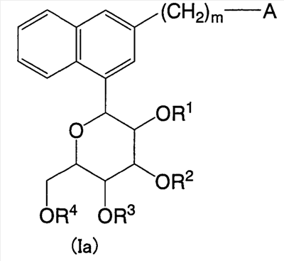
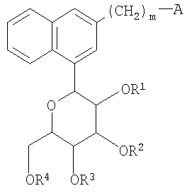
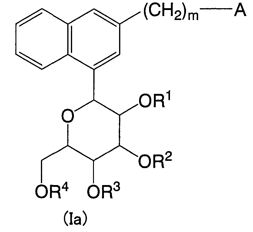
Согласно другому аспекту настоящего изобретения предложено соединение формулы (Ia):

в которой А, R1, R2, R3, R4 и m аналогичны определенным выше, или его пролекарство, или его фармакологически приемлемая соль.
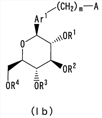
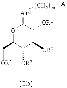
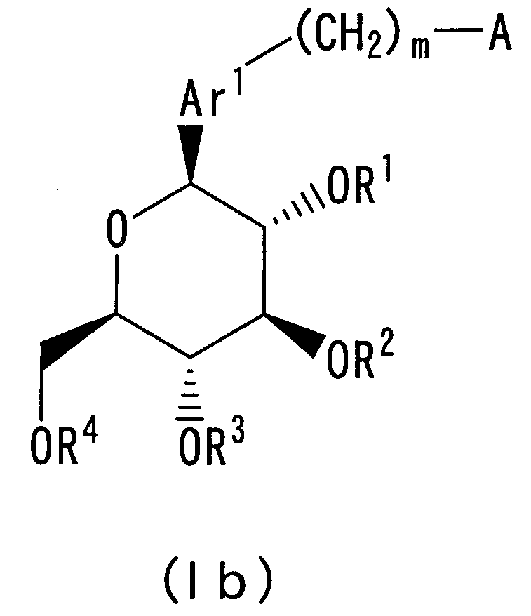
Согласно следующему аспекту настоящего изобретения предложено соединение формулы (Ib):

в которой А, Ar1, R1, R2, R3, R4 и m аналогичны определенным выше, или его пролекарство, или его фармацевтически приемлемая соль.
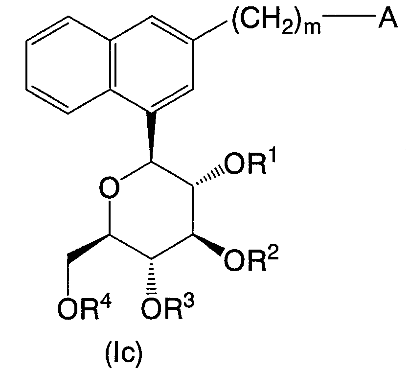
Согласно еще одному аспекту настоящего изобретения предложено соединение формулы (Iс):

в которой А, R1, R2, R3, R4 и m аналогичны определенным выше, или его пролекарство, или его фармацевтически приемлемая соль.
Предпочтительно Rb в настоящем изобретении независимо выбирают из С1-С6 алкильной группы, С1-С6 галогеналкильной группы, атома галогена, гидроксигруппы, цианогруппы, С1-С6 алкоксигруппы, С1-С6 алкилтиогруппы, С1-С6 алкилсульфинильной группы, С1-С6 алкилсульфонильной группы и С1-С3 алкилендиоксигруппы.
Предпочтительно, А представляет собой тиенильную группу или бензотиенильную группу, при этом указанные группы могут быть замещены одним или более Rb.
Кроме того, m в настоящем изобретении предпочтительно равно 1. Помимо этого, каждый из R1, R2, R3 и R4 независимо выбирают из атома водорода и -С(=О)Rx, а Rx представляет собой С1-С6 алкильную группу, которая может быть замещена одним или более Ra, или С1-С6 алкоксигруппу, которая может быть замещена одним или более Ra.
В качестве соединения, входящего в настоящее изобретение, например, может быть приведено следующее соединение:
(2S,3R,4R,5S,6R)-2-[3-(бензо[b]тиофен-2-илметил)нафталин-1-ил]-6-гидроксиметилтетрагидропиран-3,4,5-триол;
(2S,3R,4R,5S,6R)-2-[3-(5-фторбензо[b]тиофен-2-илметил)нафталин-1-ил]-6-гидроксиметилтетрагидропиран-3,4,5-триол;
(2S,3R,4R,5S,6R)-2-[3-(бензо[b]тиофен-2-илметил)-4-метоксинафталин-1-ил]-6-гидроксиметилтетрагидропиран-3,4,5-триол;
(2R,3S,4R,5R,6S)-2-гидроксиметил-6-[3-(5-метоксибензо[b]тиофен-2-илметил)нафталин-1-ил]тетрагидропиран-3,4,5-триол;
(2S,3R,4R,5S,6R)-2-[3-(5-этилбензо[b]тиофен-2-илметил)нафталин-1-ил]-6-гидроксиметилтетрагидропиран-3,4,5-триол;
(2S,3R,4R,5S,6R)-2-[3-(5-хлорбензо[b]тиофен-2-илметил)нафталин-1-ил]-6-гидроксиметилтетрагидропиран-3,4,5-триол;
(2R,3S,4R,5R,6S)-2-гидроксиметил-6-[3-(5-метилбензо[b]тиофен-2-илметил)нафталин-1-ил]тетрагидропиран-3,4,5-триол;
(2R,3S,4R,5R,6S)-2-гидроксиметил-6-[3-(5-метилтиофен-2-илметил)нафталин-1-ил]тетрагидропиран-3,4,5-триол и
(2R,3S,4R,5R,6S)-2-гидроксиметил-6-[3-(5-этилтиофен-2-илметил)нафталин-1-ил]тетрагидропиран-3,4,5-триол.
Согласно следующему аспекту настоящего изобретения предложена фармацевтическая композиция, содержащая описанное выше соединение, его пролекарство или фармацевтически приемлемую соль, которую используют в качестве ингибитора котранспортера Na+-глюкозы.
Согласно следующему аспекту настоящего изобретения предложена фармацевтическая композиция, содержащая описанное выше соединение, его пролекарство или фармацевтически приемлемую соль, которую используют для профилактики или терапии диабета [например, инсулинозависимого диабета (диабет I типа) и инсулинонезависимого диабета (диабет II типа)], осложнений диабета, вызванных гипергликемией, или ожирения.
Согласно еще одному аспекту настоящего изобретения предложен способ предупреждения или лечения диабета [например, инсулинозависимого диабета (диабет I типа) и инсулинонезависимого диабета (диабет II типа)], осложнений диабета, вызванных гипергликемией, или ожирения, который включает в себя введение пациенту эффективного количества описанного выше соединения, его пролекарства или фармакологически приемлемой соли.
В приведенных выше формулах (I), (Ia), (Ib) и (Ic) группы, представленные R1, R2, R3 и R4, включают в себя, например, атом водорода, С1-С6 алкильную группу, С1-С6 алкокси С1-С6 алкильную группу, С7-С14 аралкильную группу, С1-С6 алкилкарбонильную группу, С7-С14 аралкилкарбонильную группу, С1-С6 алкоксикарбонильную группу и С7-С14 аралкилоксикарбонильную группу. Указанные группы могут быть замещены одним или более заместителями, каждый из которых независимо выбирают из атома галогена, гидроксигруппы, С1-С6 алкоксигруппы, С1-С6 алкилкарбонильной группы, карбоксильной группы, аминогруппы и замещенной аминогруппы. В качестве R1, R2, R3 и R4 предпочтителен атом водорода или С1-С6 алкилкарбонильная группа, а особенно предпочтителен атом водорода.
В приведенных выше формулах Ar1 может содержать, например, от одного до четырех одинаковых или различных заместителей, например, от одного до четырех заместителей, каждый из которых независимо выбирают из атома галогена; гидроксигруппы; С1-С6 алкильной группы, С3-С8 циклоалкильной группы, С1-С6 алкилоксигруппы и С1-С6 алкилтиогруппы (указанные четыре группы могут содержать от одного до четырех заместителей, выбранных из атома галогена, гидроксигруппы и аминогруппы); метилендиоксигруппы; цианогруппы; С1-С6 алкилсульфонильной группы; С1-С6 алкилсульфониламиногруппы; нитрогруппы; карбоксильной группы; замещенной аминогруппы; и 4-6-членной гетероциклильной группы.
В приведенных выше формулах A может содержать, например, от одного до четырех одинаковых или различных заместителей, например, от одного до четырех заместителей, каждый из которых независимо выбирают из атома галогена; гидроксигруппы; С1-С6 алкильной группы, С3-С8 циклоалкильной группы, С1-С6 алкилоксигруппы и С1-С6 алкилтиогруппы (указанные четыре группы могут содержать от одного до четырех заместителей, каждый из которых независимо выбирают из атома галогена, гидроксигруппы и аминогруппы); метилендиоксигруппы; цианогруппы; С1-С6 алкилсульфонильной группы; С1-С6 алкилсульфониламиногруппы; нитрогруппы; карбоксильной группы; замещенной аминогруппы; 5- или 6-членной гетероарильной группы; и 4-6-членной гетероциклильной группы.
Группа, представленная А, включает в себя, например, пирролильную группу, индолильную группу, пиридильную группу, хинолильную группу, изохинолильную группу, тиенильную группу, бензотиенильную группу, фурильную группу, бензофуранильную группу, тиазолильную группу, бензотиазолильную группу, изотиазолильную группу, бензоизотиазолильную группу, пиразолильную группу, индазолильную группу, оксазолильную группу, бензоксазолильную группу, изоксазолильную группу, бензоизоксазолильную группу, имидазолильную группу, бензоимидазолильную группу, триазолильную группу, бензотриазолильную группу, пиримидинильную группу, урацилильную группу, пиразинильную группу, пиридазинильную группу, имидазопиридильную группу, триазолопиридильную группу и пирролопиридильную группу; и, кроме того, предпочтительными являются тиенильная группа, бензотиенильная группа, фурильная группа и бензофуранильная группа; и более того, предпочтительными являются тиенильная группа и бензотиенильная группа. Когда А представляет собой бензоконденсированный цикл, содержащий два или несколько колец, группа -(CH2)m– в описанных выше формулах связана с гетероциклом в А.
Использованный в настоящем описании термин «С1-С6 алкильная группа» означает линейную или разветвленную алкильную группу, содержащую от 1 до 6 атомов углерода, и включает в себя, например, метил, этил, н-пропил, изопропил, н-бутил, втор-бутил, изобутил, трет-бутил, н-пентил, 3-метилбутил, 2-метилбутил, 1-метилбутил, 1-этилпропил, н-гексил, 4-метилпентил, 3-метилпентил, 2-метилпентил, 1-метилпентил, 3-этилбутил и 2-этилбутил; а предпочтительные С1-С6 алкильные группы включают в себя, например, линейные или разветвленные алкильные группы, содержащие от одного до трех атомов углерода; а особенно предпочтительными являются метил и этил.
Использованный в настоящем описании термин «С3-С8 циклоалкильная группа» означает циклическую алкильную группу, содержащую от 3 до 8 атомов углерода, и включает в себя, например, циклопропил, циклобутил, циклопентил, циклогексил, циклогептил и циклооктил.
Использованный в настоящем описании термин «С1-С6 алкоксигруппа» означает алкоксигруппу, включающую в себя линейную или разветвленную алкильную группу, содержащую от одного до шести атомов углерода, в виде алкильного фрагмента, и включает в себя, например, метокси, этокси, н-пропокси, изопропокси, н-бутокси, втор-бутокси, изобутокси, трет-бутокси, н-пентокси, 3-метилбутокси, 2-метилбутокси, 1-метилбутокси, 1-этилпропокси, н-гексилокси, 4-метилпентокси, 3-метилпентокси, 2-метилпентокси, 1-метилпентокси и 3-этилбутокси.
Использованный в настоящем описании термин «С7-С14 аралкильная группа» означает аралкильную группу, содержащую от 7 до 14 атомов углерода и включающую в себя арильную группу, и включает в себя, например, бензил, 1-фенетил, 2-фенетил, 1-нафтилметил и 2-нафтилметил.
Использованный в настоящем описании термин «С7-С14 аралкилоксигруппа» означает арилалкилоксигруппу, содержащую от 7 до 14 атомов углерода, включающую в себя определенную выше аралкильную группу, и включает в себя, например, бензилокси, 1-фенетилокси, 2-фенетилокси, 1-нафтилметилокси и 2-нафтилметилокси.
Использованный в настоящем описании термин «арильная группа» означает арильную группу, включающую в себя ароматический углеводородный цикл, содержащий от шести до десяти атомов углерода, и включает в себя, например, фенил, 1-нафтил и 2-нафтил.
Использованный в настоящем описании термин «гетероарильная группа» означает 5-10-членную ароматическую гетероциклическую группу, содержащую один или более гетероатомов, независимо выбранных из атома кислорода, атома азота и атома серы, и включает в себя, например, фурил, тиенил, пирролил, имидазолил, пиразолил, оксазолил, изоксазолил, тиазолил, изотиазолил, оксадиазолил, тиадиазолил, триазолил, тетразолил, пиридил, пиримидинил, пиразинил, пиридазинил, индолил, хинолил и изохинолил. Предпочтительными гетероарильными группами являются такие 5-6-членные гетероарильные группы, как пирролильная группа, пиразолильная группа, имидазолильная группа и пиридильная группа, а особенно предпочтительной является пиразолильная группа.
Использованный в настоящем описании термин «арилоксигруппа» означает арилоксигруппу, включающую в себя определенную выше ароматическую углеводородную группу, содержащую от шести до десяти атомов углерода, в качестве арильного фрагмента, и включает в себя, например, фенокси, 1-нафтокси и 2-нафтокси.
Использованный в настоящем описании термин «гетероарилоксигруппа» означает гетероарилоксигруппу, включающую в себя определенную выше 5-10-членную ароматическую гетероциклическую группу, содержащую один или более гетероатомов, выбранных из атома кислорода, атома азота и серы, в качестве гетероарильного фрагмента, и включает в себя, например, фурилокси, тиенилокси, пирролилокси, имидазолилокси, пиразолилокси, оксазолилокси, изоксазолилокси, тиазолилокси, изотиазолилокси, оксадиазолилокси, тиадиазолилокси, триазолилокси, тетразолилокси, пиридинилокси, пиримидинилокси, пиразинилокси, пиридазинилокси, индолилокси, хинолинилокси и изохинолинилокси. Предпочтительными гетероарилоксигруппами являются 5-6-членные гетероарилоксигруппы.
Использованный в настоящем описании термин «С1-С6 алкиламиногруппа» означает алкиламиногруппу, включающую в себя линейную или разветвленную алкильную группу, содержащую от одного до шести атомов углерода, в качестве алкильного фрагмента, и включает в себя, например, метиламино, этиламино, н-пропиламино, изопропиламино, н-бутиламино, втор-бутиламино, изобутиламино, трет-бутиламино, н-пентиламино, 3-метилбутиламино, 2-метилбутиламино, 1-метилбутиламино, 1-этилпропиламино, н-гексиламино, 4-метилпентиламино, 3-метилпентиламино, 2-метилпентиламино, 1-метилпентиламино, 3-этилбутиламино и 2-этилбутиламино.
Использованный в настоящем описании термин «ди(С1-С6 алкил)аминогруппа» означает диалкиламиногруппу, включающую в себя линейные или разветвленные алкильные группы, каждая из которых содержит от одного до шести атомов углерода, в качестве двух алкильных фрагментов, которые могут быть одинаковыми или различными. «Ди(С1-С6 алкил)аминогруппа» включает в себя, например, диметиламино, диэтиламино, ди-н-пропиламино, диизопропиламино, ди-н-бутиламино, метил-н-бутиламино, метил-втор-бутиламино, метилизобутиламино, метил-трет-бутиламино, этил-н-бутиламино, этил-втор-бутиламино, этилизобутиламино и этил-трет-бутиламино.
Использованный в настоящем описании термин «С1-С6 алкилтиогруппа» означает алкилтиогруппу, включающую в себя линейную или разветвленную алкильную группу, содержащую от одного до шести атомов углерода, в качестве алкильного фрагмента, и включает в себя, например, метилтио, этилтио, н-пропилтио, изопропилтио, н-бутилтио, втор-бутилтио, изобутилтио, трет-бутилтио, н-пентилтио, 3-метилбутилтио, 2-метилбутилтио, 1-метилбутилтио, 1-этилпропилтио, н-гексилтио, 4-метилпентилтио, 3-метилпентилтио, 2-метилпентилтио, 1-метилпентилтио, 3-этилбутилтио и 2-этилбутилтио.
Использованный в настоящем описании термин «С1-С6 алкилсульфинильная группа» означает алкилсульфинильную группу (-SO-R), включающую в себя линейную или разветвленную алкильную группу, содержащую от одного до шести атомов углерода, в качестве алкильного фрагмента, и включает в себя, например, метилсульфинил, этилсульфинил, н-пропилсульфинил, изопропилсульфинил, н-бутилсульфинил, втор-бутилсульфинил, изобутилсульфинил, трет-бутилсульфинил, н-пентилсульфинил, 3-метилбутилсульфинил, 2-метилбутилсульфинил, 1-метилбутилсульфинил, 1-этилпропилсульфинил, н-гексилсульфинил, 4-метилпентилсульфинил, 3-метилпентилсульфинил, 2-метилпентилсульфинил, 1-метилпентилсульфинил, 3-этилбутилсульфинил и 2-этилбутилсульфинил.
Использованный в настоящем описании термин «С1-С6 алкилсульфонильная группа» означает алкилсульфонильную группу, включающую в себя линейную или разветвленную алкильную группу, содержащую от одного до шести атомов углерода, в качестве алкильного фрагмента, и включает в себя, например, метилсульфонил, этилсульфонил, н-пропилсульфонил, изопропилсульфонил, н-бутилсульфонил, втор-бутилсульфонил, изобутилсульфонил, трет-бутилсульфонил, н-пентилсульфонил, 3-метилбутилсульфонил, 2-метилбутилсульфонил, 1-метилбутилсульфонил, 1-этилпропилсульфонил, н-гексилсульфонил, 4-метилпентилсульфонил, 3-метилпентилсульфонил, 2-метилпентилсульфонил, 1-метилпентилсульфонил, 3-этилбутилсульфонил и 2-этилбутилсульфонил.
Использованная в настоящем описании группа «-С(=О)-Rx» включает в себя, например, С1-С6 алкилкарбонильную группу, С7-С14 аралкилкарбонильную группу, С1-С6 алкоксикарбонильную группу и С7-С14 аралкилоксикарбонильную группу. При этом С1-С6 алкилкарбонильная группа включает в себя, например, ацетильную группу, пропионильную группу, бутирильную группу и пивалоил, а особенно предпочтительной является ацетильная группа. С7-С14 аралкилкарбонильная группа включает в себя, например, бензилкарбонильную группу и нафтилметилкарбонильную группу, а предпочтительной является бензилкарбонильная группа.
С1-С6 алкоксикарбонильная группа включает в себя, например, метоксикарбонильную группу и этоксикарбонильную группу, а предпочтительной является метоксикарбонильная группа. С7-С14 аралкилоксикарбонильная группа включает в себя, например, бензилоксикарбонильную группу и нафтилметилоксикарбонильную группу, а предпочтительной является бензилоксикарбонильная группа.
Использованный в настоящем описании термин «атом галогена» включает в себя, например, атом фтора, атом хлора, атом брома и атом йода.
Использованный в настоящем описании термин «4-7-членный гетероцикл» означает гетероцикл, который может быть полностью насыщенным, или частично, или полностью ненасыщенным, и содержит один атом азота и может, кроме того, содержать один или более гетероатомов, независимо выбранных из атома кислорода, атома азота и атома серы, и включает в себя, например, азетидин, пирролидин, пиперидин и морфолин, а предпочтительным является пиперидин.
Использованный в настоящем описании термин «ароматический углеродный цикл» означает 6-10-членный ароматический углеродный цикл и включает в себя, например, бензольное кольцо и нафталиновое кольцо.
Использованный в настоящем описании термин «ароматический гетероцикл» означает 5-6-членный ароматический гетероцикл, содержащий один или более гетероатомов, независимо выбранных из атома кислорода, атома азота и атома серы, и включает в себя, например, пиррольный цикл, индольный цикл, тиофеновый цикл, бензотиофеновый цикл, фурановый цикл, бензофурановый цикл, пиридиновый цикл, хинолиновый цикл, изохинолиновый цикл, тиазольный цикл, бензотиазольный цикл, изотиазольный цикл, бензоизотиазольный цикл, пиразольный цикл, индазольный цикл, оксазольный цикл, бензоксазольный цикл, изоксазольный цикл, бензоизоксазольный цикл, имидазольный цикл, бензоимидазольный цикл, триазольный цикл, бензотриазольный цикл, пиримидиновый цикл, урацильный цикл, пиразиновый цикл и пиридазиновый цикл.
Использованный в настоящем описании термин «замещенная аминогруппа» включает в себя, например, -NReRf (где Re представляет собой атом водорода, С1-С6 алкильную группу, С1-С6 алкилкарбонильную группу, карбамоильную группу или С1-С6 алкоксикарбонильную группу; Rf представляет собой атом водорода, или С1-С6 алкильную группу; и Re и Rf могут образовывать 4-7-членный гетероцикл вместе с атомом азота, с которым они связаны).
Использованный в настоящем описании термин «С1-С3 алкилендиоксигруппа» означает двухвалентную группу, представленную формулой: -О-(С1-С3 алкилен)-О- и включает в себя, например, метилендиоксигруппу, этилендиоксигруппу и диметилендиоксигруппу.
Использованный в настоящем описании термин «гетероциклильная группа» означает 4-7-членную гетероциклильную группу, которая содержит один или более гетероатомов, независимо выбранных из атома кислорода, атома азота и атома серы, и может быть полностью насыщенной, или частично или полностью ненасыщенной, и включает в себя, например, азетидинил, пирролидинил, пиперидинил, пиперазинил, пирролил, имидазолил, имидазолинил, пиразолил, пиразолинил, оксазолинил, морфолинил, тиоморфолинил, пиридил, пиразинил, пиримидинил, пиридазинил, гексаметиленимино, фурил, тетрагидрофурил, тиенил, тетрагидротиенил, диоксоланил, оксотиоланил и диоксанил. Положение замещения в гетероциклильной группе особенно не ограничено, поскольку оно является замещаемым положением при атоме углерода или атоме азота.
Кроме того, соединения настоящего изобретения включают в себя таутомеры, смеси таких различных типов стереоизомеров, как оптические изомеры и их индивидуальные изомеры.
Соединения настоящего изобретения иногда образуют кислотно-аддитивные соли. Кроме того, в зависимости от типа заместителя они иногда образуют соли с основаниями. Подобные соли включают в себя, например, такие кислотно-аддитивные соли, как хлористоводородная кислота, бромистоводородная кислота, йодистоводородная кислота, серная кислота, азотная кислота и фосфорная кислота; такие органические кислоты, как муравьиная кислота, уксусная кислота, пропионовая кислота, щавелевая кислота, малоновая кислота, янтарная кислота, фумаровая кислота, малеиновая кислота, молочная кислота, яблочная кислота, винная кислота, лимонная кислота, метансульфокислота и этансульфокислота; такие кислотные аминокислоты, как аспарагиновая кислота и глутаминовая кислота. Кроме того, соли, образованные с основаниями, включают в себя соли с такими неорганическими основаниями, как натрий, калий, магний, кальций и алюминий; соли с такими органическими основаниями, как метиламин, этиламин и этаноламин; соли с такими основными аминокислотами, как лизин и орнитин; и соли аммония.
Кроме того, соединения настоящего изобретения включают в себя гидраты и различные фармацевтически приемлемые сольваты, полиморфы и так далее.
Кроме того, соединения настоящего изобретения не ограничены соединениями, которые будут описаны в приведенных далее примерах, и включают в себя все производные глюцитола, представленные описанной выше формулой (I), и их фармацевтически приемлемые соли.
Кроме того, настоящее изобретение включает в себя соединения, которые превращаются в соединения, представленные приведенной выше формулой (I), в результате метаболизма в живом организме, и их фармацевтически приемлемые соли, то есть так называемые пролекарства. Группы, составляющие пролекарства соединений настоящего изобретения, включают в себя, например, группы, описанные в Prog. Med., 5, 2157-2161 (1985), и группы, описанные в Development of Drugs, 7 (Molecular Designing), 163-198, Hirokawa Shoten, 1990.
Соединения настоящего изобретения можно получить при использовании различных известных методов синтеза в зависимости от особенностей, основанных на типе основного скелета или заместителя. Например, в том случае, когда группу предпочтительно защищают при помощи соответствующей защитной группы на стадии исходного соединения или промежуточного соединения с точки зрения методики получения, указанную защитную группу можно снять на более поздней стадии, чтобы получить требуемое соединение. Группы, которые необходимо защищать на стадии получения, включают в себя, например, гидроксигруппу и карбоксильную группу, а защитные группы для указанных групп включают в себя защитные группы, описанные у Green and Wuts, Protective Groups in Organic Synthesis, 2nd edition. Используемая защитная группа и условия реакции введения и снятия защитной группы выбирают соответствующим образом, исходя из таких известных методик, как в приведенных выше источниках.
Соединения настоящего изобретения обладают ингибирующей активностью по отношению к натрийзависимому транспортеру глюкозы 2 (SGLT2) (J. Clin. Invest., 93, 397 (1994)), относящемуся к повторной абсорбции глюкозы в почках. При ингибировании реабсорбции глюкозы выделяется избыток глюкозы и гипергликемия излечивается, не нагружая -клетки поджелудочной железы, оказывая терапевтический эффект на диабет и улучшенный эффект на резистентность к инсулину.
Таким образом, согласно одному из аспектов настоящего изобретения предложено лекарственное средство для предупреждения или лечения диабета, или состояния, которое можно облегчить за счет ингибирования активности SGLT2, например диабета, связанных с диабетом заболеваний и осложнений диабета.
Использованный в настоящем описании термин «диабет» включает в себя диабет I типа, диабет II типа и другие типы диабета, вызванные определенными причинами. Кроме того, использованный в настоящем описании термин «связанные с диабетом заболевания» включает в себя, например, ожирение, гиперинсулинизм, нарушение метаболизма сахара, гиперлипидемию, гиперхолестеринемию, гипертриглицеридемию, липогрануломатоз, гипертензию, застойную сердечную недостаточность, отек, гиперурикемию и подагру.
Кроме того, использованный в настоящем описании термин «осложнения диабета» включает в себя как острые осложнения, так и хронические осложнения. «Острые осложнения» включают в себя, например, гипергликемию (кетоацидоз и так далее) и инфекционные заболевания (такие, как заболевания кожи, мягких тканей, желчных путей, дыхательной системы и мочевыводящей системы), а «хронические осложнения» включают в себя, например, микроангиопатию (нефропатию и ретинопатию), артериосклероз (такой, как атеросклероз, инфаркт миокарда, тромбоз сосудов головного мозга и закупорку нижней лимбо артерии), невропатию (такую, как невропатию чувствительных нервов, двигательных нервов и автономных нервов) и гангрену ног. Основное осложнение диабета включает в себя, например, диабетическую ретинопатию, диабетическую нефропатию и диабетическую невропатию.
Кроме того, соединения настоящего изобретения можно использовать в сочетании с агентом для лечения диабета, терапевтическим агентом для лечения осложнений диабета, терапевтическим агентом для лечения гиперлипидемии, терапевтическим агентом для лечения гипертензии или тому подобным, механизм действия которых отличается от механизма действия ингибиторов активности SGLT2. При сочетании соединений настоящего изобретения с другими агентами можно ожидать аддитивного эффекта по сравнению с эффектом, полученным от каждого из отдельных агентов в случае указанных выше заболеваний.
«Терапевтические агенты для лечения диабета и терапевтические агенты для лечения осложнений диабета», которые можно использовать в виде сочетания, включают в себя, например, усилители чувствительности к инсулину (такие, как агонист PPAR , агонист PPAR / , агонист PPAR и агонист PPAR / / ), ингибиторы глюкозидазы, бигуанидные лекарственные средства, активаторы секреции инсулина, препараты инсулина, антагонисты глюкагоновых рецепторов, активаторы киназы рецепторов инсулина, ингибиторы трипептидилпептидазы II, ингибиторы дипептидилпептидазы IV, ингибиторы протеинтирозинфосфатазы-1В, ингибиторы гликогенфосфорилазы, ингибиторы глюкозо-6-фосфатазы, ингибиторы глюконеогенеза, ингибиторы фруктозобисфосфатазы, ингибиторы пируватдегидрогеназы, активаторы глюкокиназы, D-хироинозитол, ингибиторы киназы гликогенсинтазы 3, глюкагоноподобный пептид-1, аналоги глюкагоноподобного пептида-1, агонисты глюкагоноподобного пептида-1, амирин, аналоги амирина, агонисты амирина, антагонисты глюкокортикоидных рецепторов, ингибиторы 11 -гидроксистероидной дегидрогеназы, ингибиторы альдозоредуктазы, ингибиторы протеинкиназы С, антагонисты рецепторов -аминомасляной кислоты, антагонисты натриевых каналов, ингибиторы фактора транскрипции NF- B, ингибиторы IKK , ингибиторы липидопероксидазы, ингибиторы N-ацетилированной- -связанной-кислотной-дипептидазы, инсулиноподобный фактор роста-I, тромбоцитарный фактор роста (PDGF), аналоги тромбоцитарного фактора роста (PDGF), эпидермальный фактор роста (EGF), фактор нервного роста, производные карнитина, уридин, 5-гидрокси-1-метилгидантоин, EGB-761, бимокломол, сулодексин, Y-128 и TAR-428.
В качестве терапевтических агентов для лечения диабета и терапевтических агентов для лечения осложнений диабета приведены следующие.
«Бигуанидные лекарственные средства» включают в себя, например, гидрохлорид метформина и фенформин.
В ряду «активаторов секреции инсулина» сульфонилмочевины включают в себя, например, глибурид (глибенкламид), глипизид, гликлазид и хлорпропамид, а несульфонилмочевины включают в себя, например, натеглинид, репаглинид и митиглинид.
«Препараты инсулина» включают в себя рекомбинантный человеческий инсулин и инсулин, полученный от животных, и подразделяются на три группы в соответствии с продолжительностью действия, то есть тип немедленного действия (человеческий инсулин и нейтральный человеческий инсулин), средний тип (водная суспензия инсулина-человеческого изофанинсулина, водная суспензия нейтрального человеческого инсулина-человеческого изофанинсулина, водная цинковая суспензия человеческого инсулина и водная цинковая суспензия инсулина) и тип продолжительного действия (цинковая суспензия кристаллического человеческого инсулина).
«Ингибиторы гликозидазы» включают в себя, например, акарбоз, воглибоз и миглитол.
Агонисты PPAR «усилителей чувствительности к инсулину» включают в себя, например, троглитазон, пиоглитазон и розиглитазон, а двойные агонисты PPAR / включают в себя, например, MK-767 (KRP-297), тезаглитазар, LM 4156, LY 510929, DRF-4823 и TY-51501, а агонисты PPAR включают в себя, например, GW-501516.
«Ингибиторы трипептидилпептидазы II» включают в себя, например, UСL-139.
«Ингибиторы дипептидилпептидазы IV» включают в себя, например, NVP-DPP728A, LAF-237, MK-0431, P32/98 и TSL-225.
«Ингибиторы альдозоредуктазы» включают в себя, например, аскорбилгамоленат, толрестат, эпалрестат, фидарестат, сорбинил, поналрестат, ризарестат и ценарестат.
«Антагонисты рецепторов -аминомасляной кислоты» включают в себя, например, топирамат.
«Антагонисты натриевых каналов» включают в себя, например, гидрохлорид мексилетина.
«Ингибиторы фактора транскрипции NF- B» включают в себя, например, декслипотам.
«Ингибиторы липопероксидазы» включают в себя, например, тирилазадмезилат.
«Ингибиторы N-ацетилированной -связанной-кислотной-дипептидазы» включают в себя, например, GPI-5693.
«Производные карнитина» включают в себя, например, карнитин и гидрохлорид левацекарнина.
«Терапевтические агенты для лечения гиперлипидемии и терапевтические агенты для лечения гипертензии», которые можно использовать в виде сочетания, включают в себя, например, ингибиторы гидроксиметилглутарил-кофермент А-редуктазы, фибратные соединения, агонисты рецепторов 3-адреналина, активаторы АМРК, ингибиторы ацилкофермент А: холестерин-ацилтрансферазы, пробукол, агонисты рецепторов тироидного гормона, ингибиторы абсорбции холестерина, ингибиторы липазы, ингибиторы микросомного белка переноса триглицеридов, ингибиторы липоксигеназы, ингибиторы карнитинпальмитоилтрансферазы, ингибиторы скваленсинтазы, активаторы рецепторов липопротеина низкой плотности, производные никотиновой кислоты, адсорбенты желчных кислот, ингибиторы транспортера натрийконъюгированных желчных кислот, ингибиторы белка переноса холестериловых сложных эфиров, ингибиторы ангиотензинпревращающего фермента, антагонисты рецептора ангиотензина II, ингибиторы эндотелинпревращающего фермента, антагонисты эндотелиновых рецепторов, диуретики, кальциевые антагонисты, сосудорасширяющие гипотензивные агенты, блокаторы симпатической активности, гипотензивные агенты центрального действия, агонисты 2-адренергических рецепторов, противотромбоцитные агенты, ингибиторы образования мочевых кислот, стимуляторы выделения мочевой кислоты, агенты подщелачивания мочи, аноректики, агонисты адипонектиновых рецепторов, агонисты GPR40 и антагонисты GPR40.
В качестве терапевтических агентов для лечения гиперлипидемии и терапевтических агентов для лечения гипертензии в качестве примера приведены следующие.
«Ингибиторы гидроксиметилглутарил-кофермент А-редуктазы» включают в себя, например, флувастатин, ловастатин, правастатин, церивастатин и питавастатин.
«Фибратные соединения» включают в себя, например, безафибрат, беклобрат и бинифибрат.
«Ингибиторы скваленсинтазы» включают в себя, например, ТАК-475, производные -фосфонсульфонатов (описанных в патенте США 5712396).
«Ацилкофермент А: ингибиторы холестерин-ацилтрансферазы» включают в себя, например, CI-1011, NTE-122, FCE-27677, RP-73163, MCC-147 и DPU-129.
«Активаторы рецепторов липопротеина низкой плотности» включают в себя, например, MD-700 и LY-295427.
«Ингибиторы микросомного белка переноса триглицеридов (ингибиторы МТР)» включают в себя, например, соединения, приведенные в описаниях патентов США  5739135, 5712279, 5760246 и так далее.
«Аноректики» включают в себя, например, адреналин·норадреналиновые агонисты (мазиндол, эфедрин и так далее), агонисты серотонина (такие селективные ингибиторы обратного захвата серотонина, как флувоксамин), адреналин·серотониновые агонисты (сибутрамин и так далее), агонисты рецептора меланокортина 4 (MC4R) и -меланоцитконцентрирующие гормоны ( -МСН), лептин, кокаин- и амфетаминрегулируемый транскрипт (CART) и так далее.
«Агонисты рецепторов тироидных гормонов» включают в себя, например, лиотиронин натрия и левотироксин натрия.
«Ингибиторы адсорбции холестерина» включают в себя, например, эзетимиб.
«Ингибиторы липазы» включают в себя, например, орлистат.
«Ингибиторы карнитинпальмитоилтрансферазы» включают в себя, например, этомоксир.
«Производные никотиновой кислоты» включают в себя, например, никотиновую кислоту, никотинамид, никомол и никорандил.
«Адсорбенты желчных кислот» включают в себя, например, холестирамин, холестилан и гидрохлорид холесевелама.
«Ингибиторы ангиотензинпревращающего фермента» включают в себя, например, каптоприл, эналаприлмалеат, арацеприл и силазаприл.
«Антагонисты рецепторов ангиотензина II» включают в себя, например, кандезартансилексетил, лозартан калия и эпрозартанмезилат.
«Ингибиторы эндотелинпревращающего фермента» включают в себя, например, CGS-31447 и CGS-35066.
«Антагонисты эндотелиновых рецепторов» включают в себя, например, L-749805, TBC-3214 и BMS-182874.
Например, при терапии диабета и тому подобного соединения настоящего изобретения предпочтительно использовать вместе, по меньшей мере, с одним агентом, выбранным из группы, включающей в себя усилители чувствительности к инсулину (агонисты PPAR , агонисты PPAR / , агонисты PPAR , агонисты PPAR / / и так далее), ингибиторы гликозидазы, бигуанидные лекарственные препараты, активаторы секреции инсулина, препараты инсулина и ингибиторы дипептидилпептидазы IV.
Кроме того, предпочтительно, чтобы соединения настоящего изобретения использовались вместе, по меньшей мере, с одним агентом, выбранным из группы, включающей в себя ингибиторы гидроксиметилглутарил-кофермент А-редуктазы, фибратные соединения, ингибиторы скваленсинтетазы, ингибиторы ацил-кофермент А: холестерин-ацилтрансферазы, активаторы рецепторов липопротеина низкой плотности, ингибиторы микросомного белка переноса триглицеридов и аноректики.
Лекарственные препараты настоящего изобретения можно вводить системным или местным, или пероральным, или парентеральным способом (например, ректально, подкожно, внутримышечно, внутривенно или чрескожно).
Соединения настоящего изобретения, которые используют в качестве лекарственных препаратов, могут иметь форму твердой композиции, жидкой композиции и другой композиции, а выбирают наиболее подходящую необходимую форму. Лекарственные препараты настоящего изобретения можно получить, вводя фармацевтически подходящий носитель в соединения настоящего изобретения. Конкретно, к соединениям настоящего изобретения добавляют обычно используемый эксципиент, наполнитель, связывающее вещество, разрыхлитель, агент для покрытия, агент для сахарного покрытия, регулятор рН, солюбилизирующий агент или водный или неводный растворитель для получения таблеток, пилюль, капсул, гранул, порошков для опудривания, порошков, жидкостей и растворов, эмульсий, суспензий, растворов для инъекций или тому подобного при помощи обычно используемых методик для получения фармацевтических составов. Эксципиенты и наполнители включают в себя, например, лактозу, стеарат магния, крахмал, тальк, желатин, агар, пектин, аравийскую камедь, оливковое масло, кунжутное масло, масло какао, этиленгликоль и другие обычно используемые вещества.
Кроме того, из соединений настоящего изобретения можно приготовить лекарственные препараты, получая клатратные соединения с -, – или -циклодекстрином либо метилированным циклодекстрином.
Доза соединений настоящего изобретения изменяется в зависимости от заболевания, состояния заболевания, массы, возраста, пола и способа введения, и предпочтительно составляет от 0,1 до 1000 мг/кг массы/день, более предпочтительно от 0,1 до 200 мг/кг массы/день и может вводиться раз в день, или раздельно, несколько раз в день.
Соединения настоящего изобретения можно синтезировать, например, при помощи способов получения, приведенных ниже.
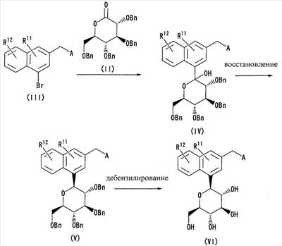
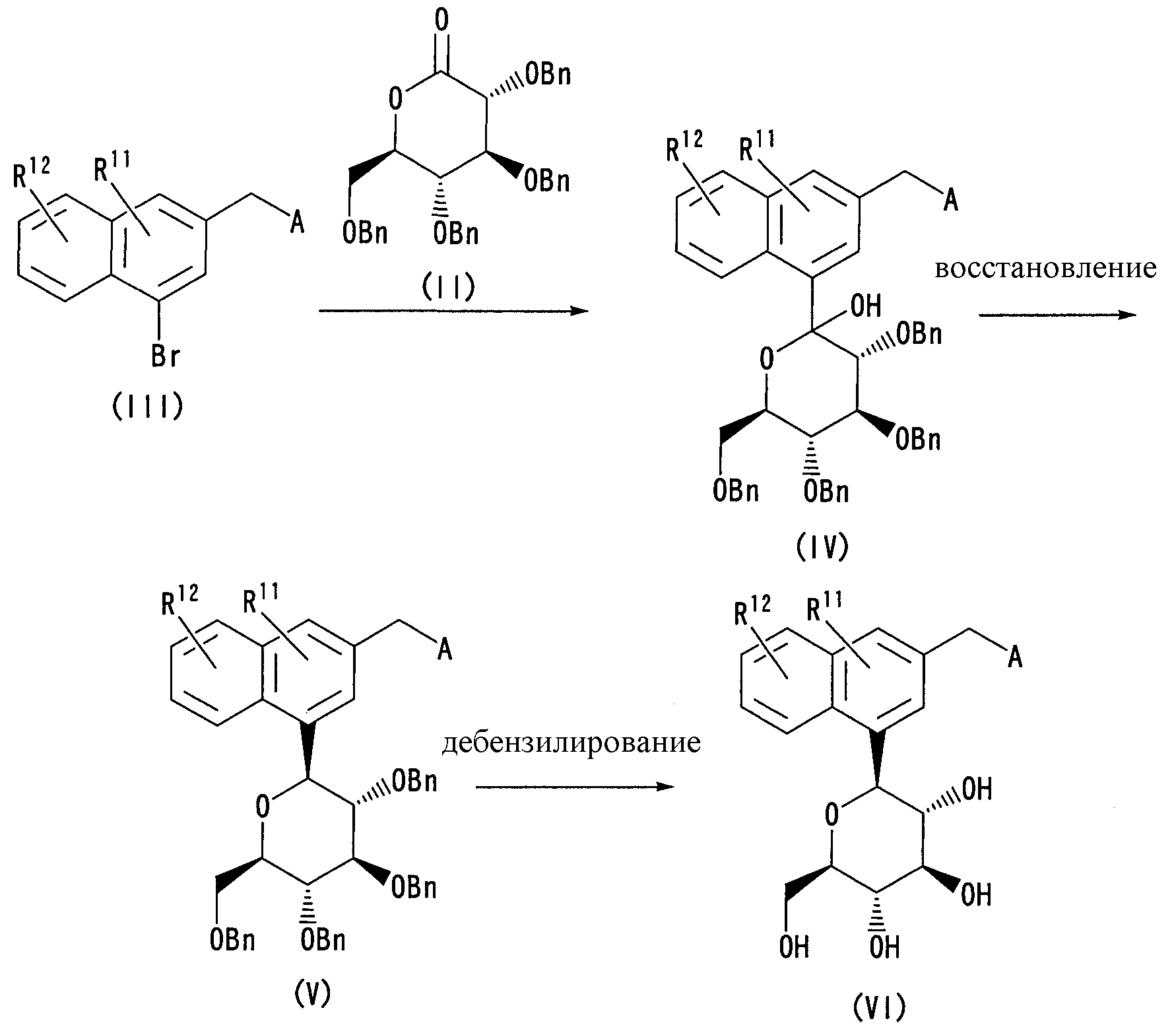
Соединения настоящего изобретения можно синтезировать способом, показанным на схеме 1.
Схема 1

в которой R11 и R12 аналогичны заместителям при Ar1, определенным выше, и А аналогичен определенному выше.
То есть на соединение (III) действуют алкиллитием (например, н-бутиллитием или тому подобным), а затем вводят во взаимодействие с соединением (II), получая соединение (IV), а затем силановым реагентом (например, триэтилсиланом или тому подобным) действуют на соединение (IV) в присутствии кислоты (например, трифторуксусной кислоты, комплекса трифторида бора-диэтилового эфира или тому подобного), получая производное соединия (V), а затем осуществляют дебензилирование реакцией каталитического гидрирования в присутствии палладиевого катализатора, при этом в способе используется кислота Льюиса (трибромид бора, трихлорид бора, комплекс трихлорид бора-диметилсульфид, комплекс трифторид бора-диэтиловый эфир и этантиол, комплекс трифторид бора-диэтиловый эфир и диметилсульфид или тому подобное) или тому подобное, получая соединение (VI). Кроме того, соединение (II) можно синтезировать, например, методом, описанным в источнике [Carbohydr. Res., 260, 243 (1994)], а соединение (III) можно синтезировать, например, методом, описанным в патентных документах (международные публикации WO 01/27128 и WO 04/013118).
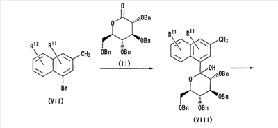
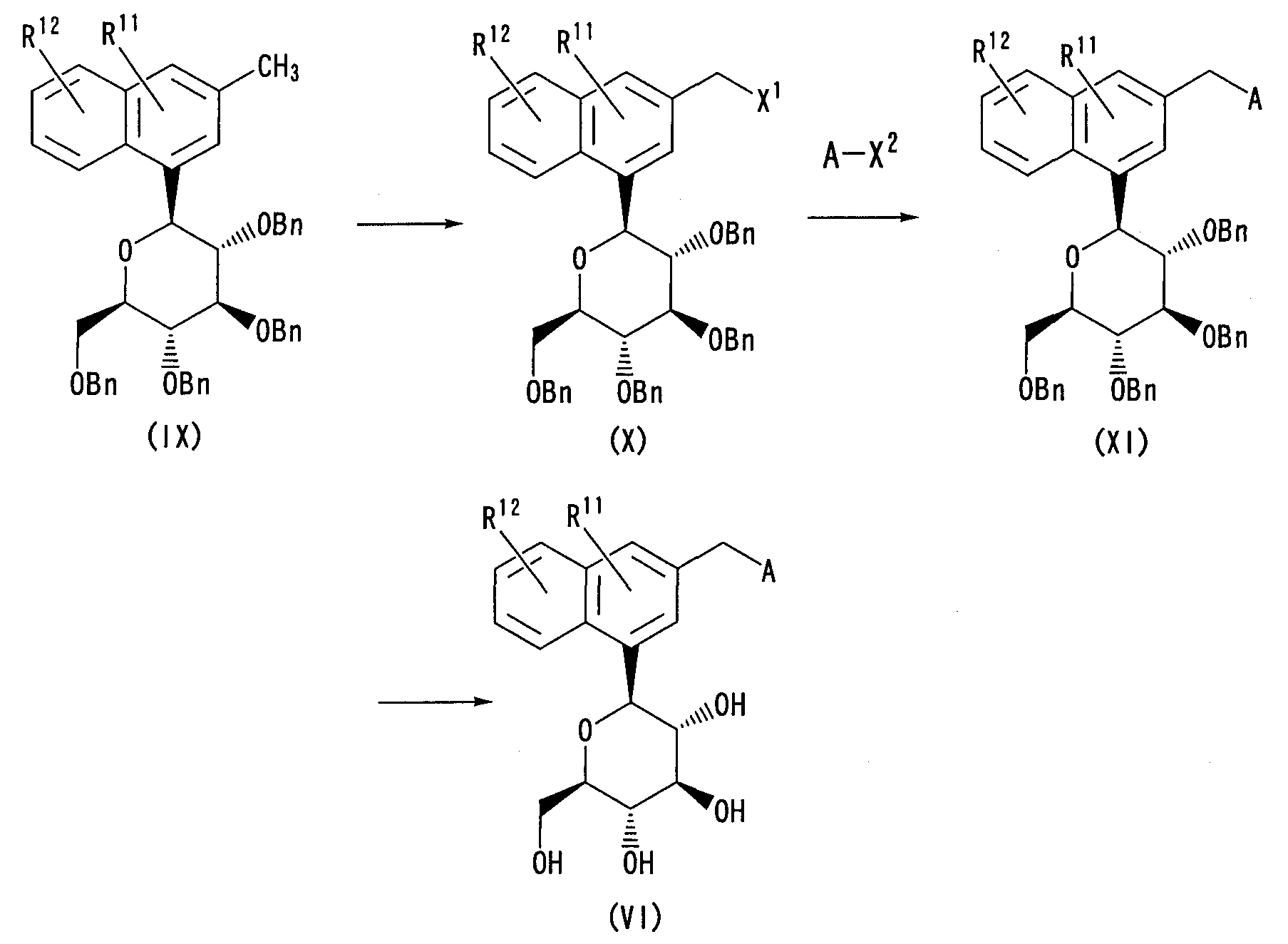
Соединения настоящего изобретения можно также получить способом по схеме 2.
Схема 2
 

в которой R11 и R12 аналогичны заместителям при Ar1, определенным выше, А аналогичен определенному выше, а Х1 и Х2 являются атомами галогена.
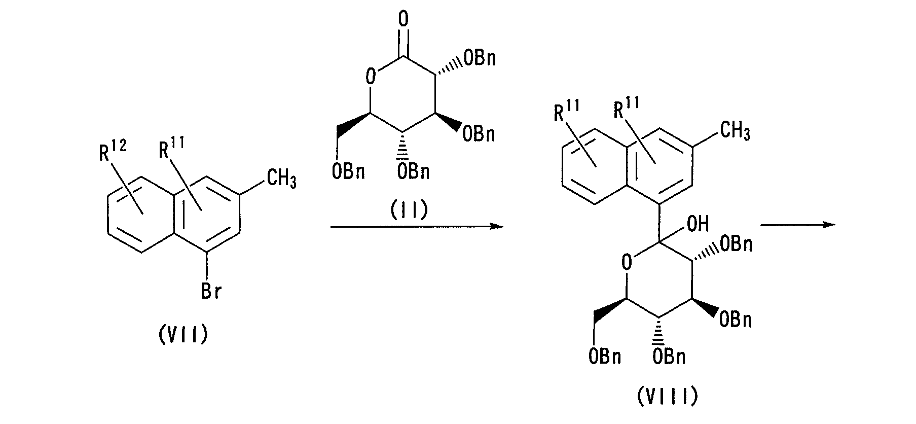
То есть на соединение (VII) действуют алкиллитием (например, н-бутиллитием или тому подобным), а затем вводят во взаимодействие с соединением (II), получая соединение (VIII), а затем силановым реагентом (например, триэтилсиланом или тому подобным) действуют на соединение (VIII) в присутствии кислоты (например, трифторуксусной кислоты, комплекса трифторида бора-диэтилового эфира или тому подобного), получая производное соединения (IX). Соединение (IX) превращают в соединение (X) в подходящих условиях галогенирования (например, N-бромсукцинимид, бром, бромоводород или тому подобное, когда Х1 является атомом брома), а затем соединение (Х) вводят во взаимодействие с гетероарилгалогенидом (А-Х2) в присутствии подходящего палладиевого катализатора, а после этого осуществляют дебензилирование реакцией каталитического гидрирования в присутствии палладиевого катализатора, при этом в способе используется кислота Льюиса (трибромид бора, трихлорид бора, комплекс трихлорид бора-диметилсульфид, комплекс трифторид бора-диэтиловый эфир и этантиол, комплекс трифторид бора-диэтиловый эфир и диметилсульфид или тому подобное) или тому подобное, получая соединение (VI) настоящего изобретения. Кроме того, соединение (VII) можно синтезировать, например, методом, описанным в патентном документе (международная публикация WO 04/013118).
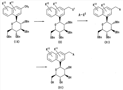
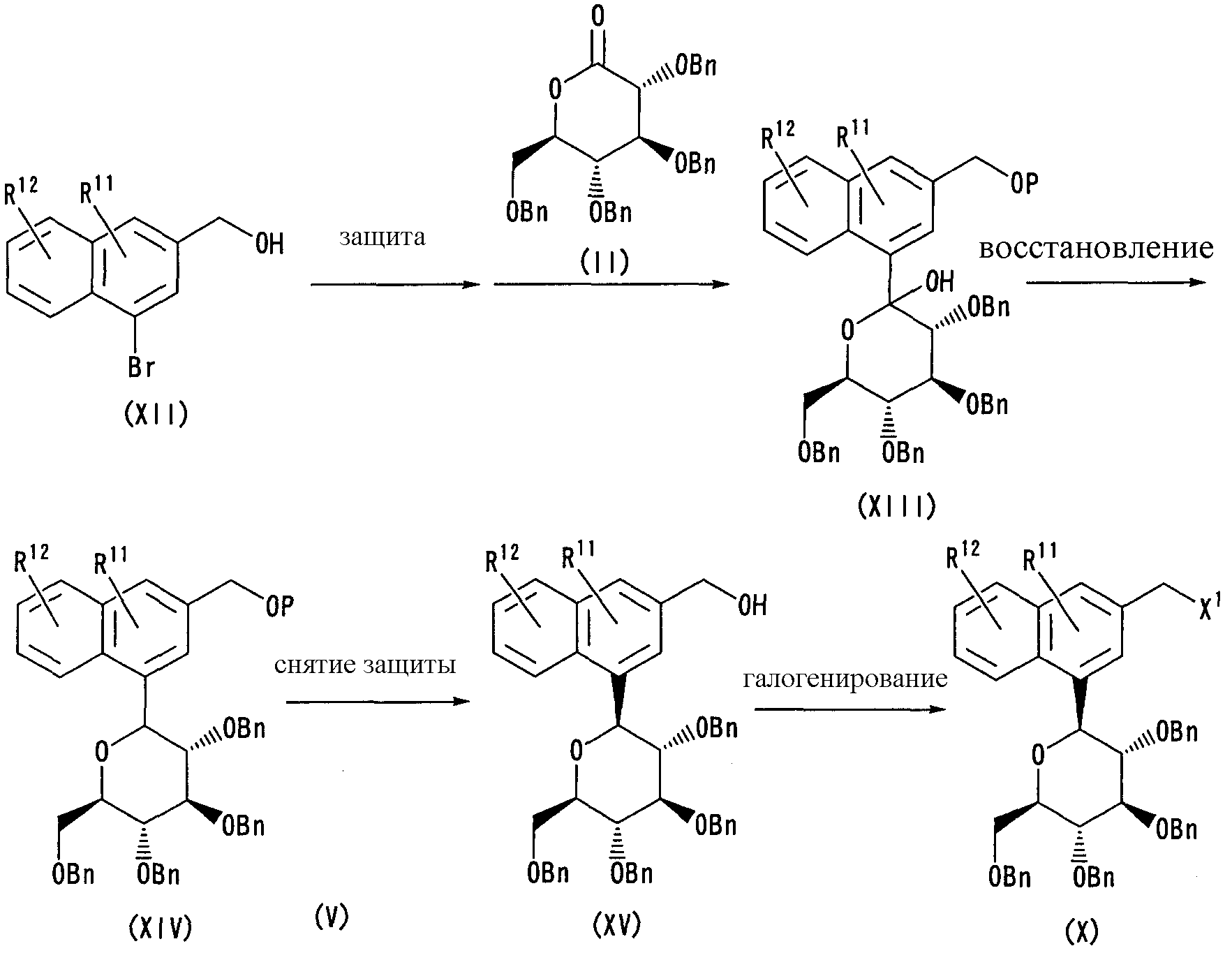
Описанное выше промежуточное соединение (Х) можно получить следующим способом.
Схема 3

в которой R11 и R12 аналогичны заместителям при Ar1, определенным выше, А аналогичен определенному выше, Р является защитной группой для гидроксигруппы, а Х1 является атомом галогена.
То есть гидроксигруппу соединения (XII) защищают при помощи соответствующей защитной группы Р (например, трет-бутилдиметилсилильной группы, тетрагидропиранильной группы или тому подобного), а затем на полученное соединение действуют подходящим алкиллитием (например, н-бутиллитием или тому подобным), а после этого вводят во взаимодействие с соединением (II), получая производное соединения (XIII). Затем на соединение (XIII) действуют силановым реагентом (например, триэтилсиланом или тому подобным) в присутствии кислоты (например, трифторуксусной кислоты, комплекса трифторид бора-диэтиловый эфир или тому подобного), получая производное соединения (XIV). Затем проводят снятие защиты, получая соединение (XV), а после этого полученное соединение подвергают галогенированию в подходящих условиях (условия при использовании N-бромсукцинимида, брома, четырехбромистого углерода или тому подобного), получая соединение (Х).
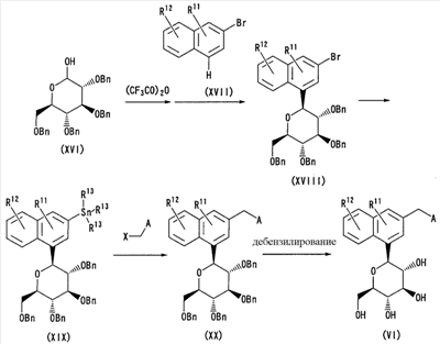
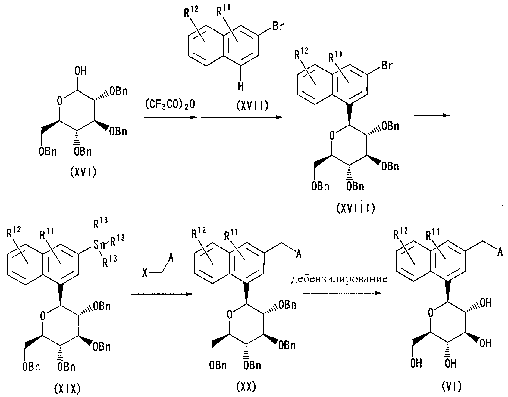
Соединения настоящего изобретения можно также получить способом по схеме 4.
Схема 4

в которой R11 и R12 аналогичны заместителям при Ar1, определенным выше, каждый из R13 независимо выбирают из С1-С6 алкильной группы (например, бутильной группы или тому подобного), А аналогичен определенному выше, а Х является атомом галогена.
При необходимости на соединение (XVI) действуют ангидридом кислоты (например, ангидридом трифторуксусной кислоты или тому подобным) в присутствии подходящего основания (например, ацетата натрия или тому подобного), а затем вводят во взаимодействие с соединением (XVII) в присутствии подходящей кислоты Льюиса (например, комплекса трифторид бора-диэтиловый эфир или тому подобного), получая соединение (XVIII). Затем соединение (XVIII) вводят во взаимодействие с гексаалкилдиоловом (например, гексабутилдиоловом или тому подобным) в присутствии подходящего палладиевого катализатора, получая производное соединения (XIX), которое затем вводят во взаимодействие с А-СН2-Х (где А аналогичен определенному выше, а Х является атомом галогена) в присутствии подходящего палладиевого катализатора, получая производное соединения (XX).
Затем осуществляют дебензилирование реакцией каталитического гидрирования в присутствии палладиевого катализатора, при этом в способе используется кислота Льюиса (трибромид бора, трихлорид бора, комплекс трихлорид бора-диметилсульфид, комплекс трифторид бора-диэтиловый эфир и этантиол, комплекс трифторид бора-диэтиловый эфир и диметилсульфид или тому подобное), получая соединение (VI).
Способ получения соединений настоящего изобретения не ограничен описанными выше способами. Соединения настоящего изобретения можно также получить, например, при соответствующем комбинировании стадий, входящих в схемы 1-4.
ПРИМЕРЫ
Содержание настоящего изобретения будет объяснено более подробно при помощи следующих примеров и экспериментальных примеров, но настоящее изобретение не ограничено их содержанием.
Каждая аббревиатура в следующих примерах имеет следующее значение.
ЯМР: ядерный магнитный резонанс (внутренний стандарт ТМС);
МС: значение, полученное методом масс-спектрометрического анализа;
ВЭЖХ: высокоэффективная жидкостная хроматография;
ЯМР, МС и ВЭЖХ осуществляли при помощи следующего оборудования.
ЯМР: JOEL JNM-EX-270 (270 МГц) или Bruker ARX 300 (300 МГц);
МС: LCQ от Thermo Finigan или Micromass ZQ, или Quattro micro от Waters;
ВЭЖХ: 2690/2996 (детектор) от Waters.
Пример 1
(2S,3R,4R,5S,6R)-2-[3-(бензо[b]тиофен-2-илметил)нафталин-1-ил]-6-гидроксиметилтетрагидропиран-3,4,5-триол
(1) Синтез (бензо[b]тиофен-2-ил)-(4-бромнафталин-2-ил)метанола
В атмосфере азота раствор н-бутиллития в гексане (1,6 М, 2,04 мл, 3,27 ммоль) добавляли по каплям к раствору бензотиофена (0,48 г, 3,58 ммоль) в безводном ТГФ (10 мл) при -78°С в течение 5 минут. Реакционный раствор перемешивали при -78°С в течение 10 минут, а затем при комнатной температуре в течение 20 минут. К полученной реакционной смеси добавляли по каплям раствор 4-бромнафталин-2-карбальдегида (0,73 мл, 3,11 ммоль) в безводном ТГФ (5 мл) при -78°С и перемешивали при -78°С в течение двух часов. К реакционной смеси добавляли насыщенный водный раствор хлорида аммония и экстрагировали полученную смесь диэтиловым эфиром, органический слой промывали насыщенным водным раствором хлорида натрия, а затем сушили над безводным сульфатом магния. После фильтрования растворитель отгоняли при пониженном давлении, а полученный остаток очищали колоночной флэш-хроматографией на силикагеле [н-гексан:этилацетат (10:1)], получая указанное в заголовке соединение (1,0 г, 75,6%).
1Н-ЯМР (CDCl3) : 2,72 (1H, д, J=3,9 Гц), 6,22 (1H, д, J=3,6 Гц), 7,17 (1H, с), 7,25-7,36 (2H, м), 7,52-7,70 (3H, м), 7,77 (1H, д, J=7,5 Гц), 7,83 (1H, д, J=7,8 Гц), 7,84 (1H, с), 7,92 (1H, с), 8,21 (1H, д, J=8,1 Гц).
(2) Синтез 2-(4-бромнафталин-2-илметил)бензо[b]тиофена
В токе азота триэтилсилан (0,48 мл, 3,01 ммоль) и комплекс трифторид бора-диэтиловый эфир (0,34 мл, 2,71 ммоль) добавляли по каплям к раствору (бензо[b]тиофен-2-ил)-(4-бромнафталин-2-ил)метанола (1,0 г, 2,71 ммоль) в метиленхлориде (30 мл) при 0°С. Реакционную смесь перемешивали при комнатной температуре в течение трех часов, добавляли 50%-ный водный раствор метанола (1 мл) и затем добавляли к ней воду и экстрагировали смесь метиленхлоридом. Органический слой промывали насыщенным водным раствором хлорида натрия и сушили (безводный сульфат магния), а затем растворитель отгоняли при пониженном давлении. Полученный остаток очищали колоночной хроматографией на силикагеле [элюирующий раствор = этилацетат:н-гексан (1:40)], получая указанное в заголовке соединение (0,82 г, 85,6%).
1Н-ЯМР (CDCl3) : 4,34 (2H, с), 7,05 (1H, с), 7,23-7,33 (2H, м), 7,48-7,59 (2H, м), 7,66-7,79 (5H, м), 8,19 (1H, д, J=8,1 Гц).
(3) Синтез (3R,4S,5S,6R)-2-[3-(бензо[b]тиофен-2-илметил)нафталин-1-ил]-3,4,5-трисбензилокси-6-бензилоксиметилтетрагидропиран-2-ола
В атмосфере азота раствор н-бутилития в гексане (1,6 М, 1,58 мл, 2,53 ммоль) добавляли по каплям к раствору 2-(4-бромнафталин-2-илметил)бензо[b]тиофена (0,81 г, 2,29 ммоль) в безводном ТГФ (15 мл) при -78°С в течение пяти минут. Реакционную смесь перемешивали при -78°С в течение 5 минут, а затем добавляли к ней по каплям раствор 3,4,5-трисбензилокси-6-бензилоксиметилтетрагидропиран-2-она (1,36 г, 2,52 ммоль) в безводном ТГФ (10 мл) при -78°С и перемешивали реакционный раствор при -78°С в течение 2 часов. К полученной реакционной смеси добавляли насыщенный водный раствор хлорида аммония и экстрагировали смесь диэтиловым эфиром, органический слой промывали насыщенным водным раствором хлорида натрия, а затем сушили над безводным сульфатом магния. После фильтрования растворитель отгоняли при пониженном давлении, а полученный остаток очищали колоночной флэш-хроматографией на силикагеле [н-гексан:этилацетат (10:1)], получая указанное в заголовке соединение (1,4 г, 75%).
1Н-ЯМР (CDCl3) : 3,47 (1H, д, J=10,5 Гц), 3,52 (1H, с), 3,74 (1H, д, J=10,2 Гц), 3,98 (1H, д, J=9,0 Гц), 4,10-4,28 (4H, м), 4,35 (2H, с), 4,46 (1H, д, J=11,7 Гц), 4,59 (1H, д, J=12 Гц), 4,76 (1H, д, J=10,8 Гц), 4,88 (2H, с), 4,97 (1H, д, J=10,8 Гц), 6,66 (2H, д, J=7,2 Гц), 6,94 (2H, т, J=7,5 Гц), 7,05 (2H, д, J=7,5 Гц), 7,21-7,33 (18H, м), 7,42 (1H, т, J=7,5 Гц), 7,62 (1H, д, J=7,2 Гц), 7,68 (1H, д, J=7,8 Гц), 7,75 (1H, с), 7,80 (1H, д, J=7,8 Гц), 7,89 (1H, д, J=1,8 Гц), 8,63 (1H, д, J=8,7 Гц).
МС (ESI+): 836 [М+Na]+.
(4) Синтез (2S,3R,4R,5S,6R)-2-[3-(бензо[b]тиофен-2-илметил)нафталин-1-ил]-3,4,5-трисбензилокси-6-бензилоксиметилтетрагидропирана
В токе азота триэтилсилан (0,34 мл, 2,06 ммоль) и комплекс трифторид бора-диэтиловый эфир (0,24 мл, 1,89 ммоль) добавляли по каплям к раствору (3R,4S,5S,6R)-2-[3-(бензо[b]тиофен-2-илметил)нафталин-1-ил]-3,4,5-трисбензилокси-6-бензилоксиметилтетрагидропиран-2-ола (1,4 г, 1,72 ммоль) в метиленхлориде (15 мл) при 0°С. Реакционную смесь перемешивали при комнатной температуре в течение двух часов, а затем добавляли туда воду и экстрагировали метиленхлоридом. Органический слой промывали насыщенным водным раствором хлорида натрия и сушили (безводный сульфат магния), затем растворитель отгоняли при пониженном давлении. Полученный остаток очищали колоночной хроматографией на силикагеле [элюирующий раствор = этилацетат:н-гексан (1:10)], получая указанное в заголовке соединение (1,1 г, 80,2%).
1Н-ЯМР (CDCl3) : 3,42 (1H, д, J=10,2 Гц), 3,66-3,96 (6H, м), 4,09 (1H, д, J=10,2 Гц), 4,37 (2H, с), 4,51 (1H, д, J=12,3 Гц), 4,63 (1H, д, J=12 Гц), 4,69 (1H, д, J=10,8 Гц), 4,87-4,96 (4H, м), 6,50 (2H, д, J=7,2 Гц), 6,96 (2H, т, J=7,8, 7,2 Гц), 7,03 (1H, с), 7,06 (1H, д, J=7,5 Гц), 7,21-7,30 (17H, м), 7,37-7,50 (2H, м), 7,60 (2H, с), 7,68 (1H, д, J=7,8 Гц), 7,74 (1H, с), 7,82 (1H, д, J=7,5 Гц), 8,38 (1H, д, J=8,4 Гц).
МС (ESI+): 820 [М+Na]+.
(5) Синтез (2S,3R,4R,5S,6R)-2-[3-(бензо[b]тиофен-2-илметил)-нафталин-1-ил]-6-гидроксиметилтетрагидропиран-3,4,5-триола
В токе азота диметилсульфид (3,5 мл) и комплекс трифторид бора – диэтиловый эфир (1,75 мл, 13,8 ммоль) добавляли по каплям к раствору (2S,3R,4R,5S,6R)-2-[3-(бензо[b]тиофен-2-илметил)нафталин-1-ил]-3,4,5-трисбензилокси-6-бензилоксиметилтетрагидропирана (1,1 г, 1,38 ммоль) в безводном хлористом метилене (30 мл) при 0°С и перемешивали реакционную смесь при комнатной температуре в течение трех дней. Добавляли к ней воду (10 мл) и экстрагировали полученную смесь метиленхлоридом. Органический слой промывали насыщенным водным раствором хлорида натрия и сушили над безводным сульфатом магния. После фильтрования растворитель отгоняли при пониженном давлении, а полученный остаток очищали колоночной флэш-хроматографией на силикагеле [метиленхлорид:метанол (30:1)], получая указанное в заголовке соединение (0,35 г, 58,2%).
1Н-ЯМР (CD3OD) : 3,63-3,51 (3H, м), 3,69-3,81 (2Н, м), 3,90 (1Н, д, J=12 Гц), 4,40 (2H, с), 4,90 (1H, д, J=9,3 Гц), 7,11 (1H, с), 7,20-7,30 (2H, м), 7,44-7,49 (2H, м), 7,64-7,74 (4H, м), 7,81 (1H, д, J=8,4 Гц), 8,27 (1H, д, J=8,1 Гц).
МС (ESI+): 459 [М+Na]+.
Пример 2
(2S,3R,4R,5S,6R)-2-[3-(5-фторбензо[b]тиофен-2-илметил)-нафталин-1-ил]-6-гидроксиметилтетрагидропиран-3,4,5-триол
(1) Синтез 1-(2,2-диметоксиэтилсульфанил)-4-фторбензола
В токе азота 4-фторбензолтиол (2,5 мл, 23,4 ммоль) и 2-бром-1,1-диметоксиэтан (3,0 мл, 25,7 ммоль) добавляли к раствору метилата натрия в метаноле (0,5 М, 74,9 мл, 37,4 ммоль) при охлаждении льдом и перемешивали реакционную смесь при той же температуре в течение 10 минут, а затем нагревали и кипятили с обратным холодильником в течения пяти часов. Реакционную смесь концентрировали при пониженном давлении и добавляли холодную воду. Смесь экстрагировали эфиром. Органический слой промывали насыщенным водным раствором хлорида натрия, а затем сушили над сульфатом натрия. После фильтрования растворитель отгоняли при пониженном давлении, а полученный остаток очищали колоночной хроматографией на силикагеле [элюирующий раствор = этилацетат:н-гексан (1:20)], получая указанное в заголовке соединение (4,52 г, 89%).
1Н-ЯМР (CDCl3) : 3,05 (2H, д, J=5,4 Гц), 3,35 (6H, с), 4,49 (1H, т, J=5,4 Гц), 6,85 (2H, т, J=9,0 Гц), 7,31 (2H, дд, J=8,7, 5,1 Гц).
(2) Синтез 5-фторбензо[b]тиофена
В атмосфере азота полифосфорную кислоту (10 г) добавляли к безводному хлорбензолу (150 мл). К полученному раствору при кипячении с обратным холодильником добавляли 1-(2,2-диметоксиэтилсульфанил)-4-фторбензол (4,0 г, 18,5 ммоль) в течение 1,5 часа и кипятили с обратным холодильником полученный раствор в течение ночи. Реакционную смесь охлаждали до комнатной температуры, а затем отделяли органический слой. К слою полифосфорной кислоты добавляли воду и экстрагировали метиленхлоридом. Все полученные при этом органические слои промывали водой и насыщенным водным раствором хлорида натрия и сушили над сульфатом натрия. После фильтрования растворитель отгоняли при пониженном давлении, а полученный остаток очищали колоночной хроматографией на силикагеле [элюирующий раствор = этилацетат:н-гексан (1:50)], получая указанное в заголовке соединение (420 мг, 15%).
1Н-ЯМР (CDCl3) : 7,10 (1H, дт, J=8,7, 2,4 Гц), 7,27 (1H, дд, J=12,6, 7,2 Гц), 7,45-7,54 (2H, м), 7,77 (1H, дд, J=8,7, 4,8 Гц).
(3) Синтез 4-бромнафталин-2-карбальдегида
В атмосфере азота раствор оксалилхлорида в метиленхлориде (2,0 М, 4,88 мл) разбавляли метиленхлоридом (40 мл) и добавляли к нему по каплям диметилсульфоксид (0,9 мл, 12,7 ммоль) при -78°С. К данному раствору добавляли по каплям раствор (4-бромнафталин-2-ил)метанола (1,15 г, 4,88 ммоль), синтезированный согласно источнику [J. Med. Chem., 37, 2485(1993)] в метиленхлориде (10 мл) в течение 10 минут. Данную реакционную смесь перемешивали при -78°С в течение 15 минут и при -45°С в течение одного часа, а затем добавляли к ней по каплям триэтиламин (4,0 мл, 29,3 ммоль) и перемешивали при 0°С в течение 30 минут. К данному реакционному раствору добавляли насыщенный водный раствор хлорида аммония и экстрагировали полученный раствор метиленхлоридом. Органический слой промывали водой и насыщенным водным раствором хлорида натрия и сушили над сульфатом натрия. После фильтрования растворитель отгоняли при пониженном давлении, а полученный остаток очищали колоночной хроматографией на силикагеле [элюирующий раствор = этилацетат:н-гексан (1:20)], получая указанное в заголовке соединение (890 мг, 78%).
1Н-ЯМР (CDCl3) : 7,66 (1H, т, J=7,7 Гц), 7,78 (1H, т, J=8,0 Гц), 8,21 (1H, д, J=8,0 Гц), 8,27-8,33 (3H, м), 10,11 (1H, с).
(4) Синтез (4-бромнафталин-2-ил)-(5-фторбензо[b]тиофен-2-ил)метанола
В токе азота раствор н-бутилития в гексане (1,6 М, 1,68 мл, 2,68 ммоль) добавляли по каплям к раствору 5-фторбензо[b]тиофена (410 мг, 2,68 ммоль) в ТГФ (10 мл) и перемешивали реакционный раствор при той же температуре в течение 10 минут. К данному раствору добавляли по каплям раствор 4-бромнафталин-2-карбальдегида (600 мг, 2,55 ммоль) в ТГФ (5 мл) при -78°С. Полученную смесь перемешивали при той же температуре в течение двух часов, а затем добавляли насыщенный водный раствор хлорида аммония и экстрагировали смесь эфиром. Органический слой промывали насыщенным водным раствором хлорида натрия и сушили (безводный сульфат магния), а затем растворитель отгоняли при пониженном давлении. Полученный остаток очищали колоночной хроматографией на силикагеле [элюирующий раствор = этилацетат:н-гексан (1:10)], получая указанное в заголовке соединение (680 мг, 69%).
1Н-ЯМР (CDCl3) : 2,75 (1H, д, J=3,9 Гц), 6,20 (1H, д, J=3,6 Гц), 7,04 (1H, дт, J=9,0, 2,4 Гц), 7,11 (1H, с), 7,33 (1H, дд, J=9,3, 2,7 Гц), 7,48-7,63 (2H, м), 7,68 (1H, дд, J=8,7, 4,8 Гц), 7,82-7,94 (3H, м), 8,21 (1H, д, J=8,4 Гц).
(5) Синтез 2-(4-бромнафталин-2-илметил)-5-фторбензо[b]тиофена
В токе азота триэтилсилан (0,18 мл, 2,11 ммоль) и комплекс трифторид бора-диэтиловый эфир (0,25 мл, 1,94 ммоль) добавляли по каплям к раствору (4-бромнафталин-2-ил)-(5-фторбензо[b]тиофен-2-ил)метанола (260 мг, 0,65 ммоль) в метиленхлориде (10 мл) при 0°С и перемешивали данную смесь при комнатной температуре в течение двух часов. Добавляли насыщенный водный раствор гидрокарбоната натрия и экстрагировали смесь метиленхлоридом. Органический слой промывали насыщенным водным раствором хлорида натрия и сушили (безводный сульфат магния), а затем растворитель отгоняли при пониженном давлении. Полученный остаток очищали колоночной хроматографией на силикагеле [элюирующий раствор = этилацетат:н-гексан (1:100)], получая указанное в заголовке соединение (520 мг, 80%).
1Н-ЯМР (CDCl3) : 4,32 (2H, с), 7,02 (2H, дт, J=9,0, 2,4 Гц), 7,25-7,82 (7H, м), 8,20 (1H, д, J=9,0 Гц).
(6) Синтез (3R,4S,5S,6R)-3,4,5-трисбензилокси-6-бензилоксиметил-2-[3-(5-фторбензо[b]тиофен-2-илметил)нафталин-1-ил]тетрагидропиран-2-ола
В токе азота раствор н-бутилития в гексане (1,6 М, 0,97 мл, 1,55 ммоль) добавляли по каплям к раствору 2-(4-бромнафталин-2-илметил)-5-фторбензо[b]тиофена (520 мг, 1,41 ммоль) в ТГФ (15 мл) при -78°С и перемешивали реакционную смесь при той же температуре в течение 10 минут. К данному раствору добавляли по каплям раствор 3,4,5-трисбензилокси-6-бензилоксиметилтетрагидропиран-2-она (835 мг, 1,55 ммоль) в ТГФ (3 мл). Смесь перемешивали при -78°С в течение одного часа и добавляли к ней насыщенный водный раствор хлорида аммония для остановки реакции. Реакционную смесь экстрагировали эфиром, а органический слой промывали насыщенным водным раствором хлорида натрия и сушили (безводный сульфат магния), затем растворитель отгоняли при пониженном давлении. Полученный остаток очищали колоночной флэш-хроматографией на силикагеле [элюирующий раствор = этилацетат:н-гексан (1:20)], получая указанное в заголовке соединение (770 мг, 66%).
1Н-ЯМР (CDCl3) : 3,48 (1H, д, J=10,8 Гц), 3,52 (1H, с), 3,75 (1H, д, J=10,2 Гц), 4,00 (1H, д, J=10,5 Гц), 4,05 (1H, д, J=10,5 Гц), 4,10-4,28 (4H, м), 4,34 (2H, с), 4,47 (1H, д, J=12,0 Гц), 4,59 (1H, д, J=12,0 Гц), 4,76 (1H, д, J=10,8 Гц), 4,88 (2H, с), 4,97 (1H, д, J=10,8 Гц), 6,67 (1H, д, J=6,9 Гц), 6,94-7,07 (4H, м), 7,22-7,37 (19H, м), 7,43 (1H, т, J=7,5 Гц), 7,57 (1H, дд, J=8,7, 4,8 Гц), 7,75 (1H, с), 7,80 (1H, д, J=8,1 Гц), 7,87 (1H, с), 8,64 (1H, д, J=8,7 Гц).
(7) Синтез (3R,4R,5S,6R)-3,4,5-трисбензилокси-6-бензилоксиметил-2-[3-(5-фторбензо[b]тиофен-2-илметил)нафталин-1-ил]тетрагидропирана
В токе азота триэтилсилан (0,19 мл, 1,21 ммоль) и комплекс трифторид бора-диэтиловый эфир (0,14 мл, 1,11 ммоль) добавляли к раствору (3R,4R,5S,6R)-3,4,5-трисбензилокси-6-бензилоксиметил-2-[3-(5-фторбензо[b]тиофен-2-илметил)нафталин-1-ил]тетрагидропиран-2-ола (770 мг, 0,93 ммоль) в метиленхлориде (10 мл) при 0°С. Реакционную смесь перемешивали при комнатной температуре в течение двух часов, а затем добавляли насыщенный водный раствор гидрокарбоната натрия. Полученную смесь экстрагировали метиленхлоридом, а органический слой промывали насыщенным водным раствором хлорида натрия, затем сушили над сульфатом натрия. Растворитель отгоняли при пониженном давлении, а полученный остаток очищали колоночной хроматографией на силикагеле [элюирующий раствор = этилацетат:н-гексан (1:20)], получая указанное в заголовке соединение (550 мг, 73%).
1Н-ЯМР (CDCl3) : 3,43 (1H, д, J=10,2 Гц), 3,79-3,93 (6H, м), 4,10 (1H, д, J=10,5 Гц), 4,35 (2H, с), 4,51 (1H, д, J=12,0 Гц), 4,62 (1H, д, J=12,3 Гц), 4,69 (1H, д, J=10,8 Гц), 4,89-4,92 (4H, м), 6,50 (2H, д, J=7,2 Гц), 6,94-7,07 (5H, м), 7,21-7,59 (20H, м), 7,74 (1H, с), 7,83 (1H, д, J=8,1 Гц), 8,38 (1H, д, J=8,4 Гц).
(8) Синтез (2S,3R,4R,5S,6R)-2-[3-(5-фторбензо[b]тиофен-2-илметил)нафталин-1-ил]-6-гидроксиметилтетрагидропиран-3,4,5-триола
В токе азота диметилсульфид (1,72 мл) и комплекс трифторид бора-диэтиловый эфир (0,86 мл, 6,8 ммоль) добавляли к раствору (3R,4R,5S,6R)-3,4,5-трисбензилокси-6-бензилоксиметил-2-[3-(5-фторбензо[b]тиофен-2-илметил)нафталин-1-ил]тетрагидропирана (550 мг, 0,68 ммоль) в метиленхлориде (15 мл) при охлаждении льдом. Реакционную смесь перемешивали при комнатной температуре в течение 2,5 дня, затем добавляли насыщенный водный раствор гидрокарбоната натрия при охлаждении льдом и экстрагировали смесь метиленхлоридом. Органический слой промывали насыщенным водным раствором хлорида натрия и затем сушили над сульфатом натрия, а после этого растворитель отгоняли при пониженном давлении. Полученный остаток очищали колоночной хроматографией на силикагеле [элюирующий раствор = метиленхлорид:метанол (40:1)], получая указанное в заголовке соединение (140 мг, 46%).
1Н-ЯМР (CD3OD) : 3,51-3,80 (5H, м), 3,90 (1H, д, J=6,0 Гц), 4,39 (2H, с), 4,90 (1H, д, J=9,6 Гц), 7,01 (1H, дт, J=8,7, 2,1 Гц), 7,09 (1H, с), 7,37 (1H, дт, J=8,7, 2,1 Гц), 7,44-7,49 (2H, с), 7,63-7,73 (3H, м), 7,80 (1H, д, J=6,0 Гц), 8,28 (1H, д, J=8,7 Гц).
МС (ESI+): 477 [М+Na]+.
Пример 3
(2S,3R,4R,5S,6R)-2-[3-(бензо[b]тиофен-2-илметил)-4-метоксинафталин-1-ил]-6-гидроксиметилтетрагидропиран-3,4,5-триол
(1) Синтез 2,4-дибром-1-метоксинафталина
В атмосфере азота к раствору 1-метоксинафталина (15,3 г, 96,4 ммоль) в метиленхлориде (450 мл) добавляли бром (9,88 мл, 192,8 ммоль) при комнатной температуре в течение 10 минут. Реакционную смесь перемешивали при комнатной температуре в течение двух часов, затем добавляли насыщенный водный раствор Na2S2O5 и экстрагировали смесь метиленхлоридом. Органический слой промывали насыщенным водным раствором хлорида натрия и сушили (безводный сульфат магния), а затем растворитель отгоняли при пониженном давлении, получая указанное в заголовке соединение (29,4 г, 98%).
1Н-ЯМР (CDCl3) : 4,00 (3H, с), 7,59-7,65 (2H, м), 7,91 (1H, с), 8,12-8,20 (2H, м).
(2) Синтез 4-бром-1-метоксинафталин-2-карбальдегида
В токе азота раствор н-бутилития в гексане (1,6 М, 56,9 мл, 91,1 ммоль) добавляли по каплям к раствору 2,4-дибром-1-метоксинафталина (30,3 г, 95,9 ммоль) в ТГФ (1800 мл) при -78°С и перемешивали реакционную смесь при той же температуре в течение 30 минут. К данной смеси добавляли N,N-диметилформамид (8,9 мл, 115,1 ммоль) при -78°. Смесь перемешивали при той же температуре в течение трех часов, а затем добавляли к ней насыщенный водный раствор хлорида аммония и экстрагировали смесь эфиром. Органический слой промывали насыщенным водным раствором хлорида натрия и сушили (безводный сульфат магния), а затем растворитель отгоняли при пониженном давлении. Полученный остаток очищали колоночной хроматографией на силикагеле [элюирующий раствор = этилацетат:н-гексан (1:8)], получая указанное в заголовке соединение (3,85 г, 15%).
1Н-ЯМР (CDCl3) : 4,15 (3H, с), 7,64-7,79 (2H, м), 8,16 (1Н, с), 8,26-8,29 (2H, м), 10,52 (1H, с).
(3) Синтез бензо[b]тиофен-2-ил-(4-бром-1-метоксинафталин-2-ил)метанола
В токе азота раствор н-бутилития в гексане (1,6 М, 6,2 мл, 9,90 ммоль) добавляли по каплям к раствору бензотиофена (1,33 г, 9,90 ммоль) в ТГФ (20 мл) при -78°С и перемешивали реакционную смесь при той же температуре в течение 10 минут. К данной смеси добавляли по каплям раствор 4-бром-1-метоксинафталин-2-карбальдегида (2,5 г, 9,43 ммоль) в ТГФ (30 мл) при -78°С. Реакционную смесь перемешивали при той же температуре в течение двух часов, а затем добавляли к ней насыщенный водный раствор хлорида аммония и экстрагировали смесь эфиром. Органический слой промывали насыщенным водным раствором хлорида натрия и сушили (безводный сульфат магния), а затем растворитель отгоняли при пониженном давлении. Полученный остаток очищали колоночной хроматографией на силикагеле [элюирующий раствор = этилацетат:н-гексан (1:4)], получая указанное в заголовке соединение (3,12 г, 83%).
1Н-ЯМР (CDCl3) : 3,08 (1H, д, J=4,8 Гц), 3,91 (3H, с), 6,58 (1H, д, J=4,1 Гц), 7,14 (1H, с), 7,28-7,35 (2H, м), 7,57-7,69 (3H, м), 7,77-7,81 (1H, м), 7,95 (1H, с), 8,10-8,25 (2H, м).
(4) Синтез 2-(4-бром-1-метоксинафталин-2-илметил)бензо[b]тиофена
В токе азота триэтилсилан (2,48 мл, 15,5 ммоль) и комплекс трифторид бора-диэтиловый эфир (1,08 мл, 8,54 ммоль) добавляли по каплям к раствору бензо[b]тиофен-2-ил-(4-бром-1-метоксинафталин-2-ил)метанола (3,1 г, 7,76 ммоль) в метиленхлориде (60 мл) при 0°С и перемешивали реакционную смесь при комнатной температуре в течение двух часов, а затем добавляли 50%-ный водный раствор метанола и, кроме того, добавляли к ней воду (30 мл). Полученную смесь экстрагировали метиленхлоридом, органический слой промывали насыщенным водным раствором хлорида натрия и сушили (безводный сульфат магния), а затем растворитель отгоняли при пониженном давлении. Полученный остаток очищали колоночной хроматографией на силикагеле [элюирующий раствор = этилацетат:н-гексан (1:50)], получая указанное в заголовке соединение (2,38 г, 80%).
1Н-ЯМР (CDCl3) : 3,95 (3H, с), 4,41 (2H, с), 7,04 (1H, с), 7,22-7,33 (2H, м), 7,56-7,75 (5H, м), 8,13-8,21 (2H, м).
(5) Синтез (3R,4R,5S,6R)-2-[3-(бензо[b]тиофен-2-илметил)-4-метоксинафталин-1-ил]-3,4,5-трисбензилокси-6-бензилоксиметилтетрагидропиран-2-ола
В токе азота раствор н-бутилития в гексане (1,6 М, 1,09 мл, 1,75 ммоль) добавляли по каплям к раствору 2-(4-бром-1-метоксинафталин-2-илметил)бензо[b]тиофена (610 мг, 1,59 ммоль) в ТГФ (9 мл) при -78°С. Реакционную смесь перемешивали при той же температуре в течение пяти минут и к этому раствору добавляли по каплям раствор 3,4,5-трисбензилокси-6-бензилоксиметилтетрагидропиран-2-она (940 мг, 1,75 ммоль) в ТГФ (3 мл) и перемешивали реакционную смесь при -78°С в течение двух часов. Добавляли к ней насыщенный водный раствор хлорида аммония для остановки реакции. Полученную реакционную смесь экстрагировали эфиром, а органический слой промывали насыщенным водным раствором хлорида натрия и сушили (безводный сульфат магния), затем растворитель отгоняли при пониженном давлении. Полученный остаток очищали колоночной хроматографией на силикагеле [элюирующий раствор = этилацетат:н-гексан (1:6)], получая указанное в заголовке соединение (859 мг, 64%).
1Н-ЯМР (CDCl3) : 3,45-4,98 (20H, м), 6,66-7,67 (27H, м), 7,87 (1H, с), 8,16 (1H, д, J=7,5 Гц), 8,63 (1H, д, J=8,7 Гц).
(6) Синтез (3R,4R,5S,6R)-2-[3-(бензо[b]тиофен-2-илметил)-4-метоксинафталин-1-ил]-3,4,5-трисбензилокси-6-бензилоксиметилтетрагидропирана
В токе азота триэтилсилан (0,33 мл, 2,04 ммоль) и комплекс трифторид бора-диэтиловый эфир (0,14 мл, 1,12 ммоль) добавляли по каплям к раствору (3R,4R,5S,6R)-2-[3-(бензо[b]тиофен-2-илметил)-4-метоксинафталин-1-ил]-3,4,5-трисбензилокси-6-бензилоксиметилтетрагидропиран-2-ола (859 мг, 1,02 ммоль) в метиленхлориде (17 мл) при 0°С. Реакционную смесь перемешивали при комнатной температуре в течение одного часа, а затем добавляли к ней воду (20 мл). Полученную смесь экстрагировали метиленхлоридом, органический слой промывали насыщенным водным раствором хлорида натрия и сушили над сульфатом натрия. Растворитель отгоняли при пониженном давлении, а полученный остаток очищали колоночной хроматографией на силикагеле [элюирующий раствор = этилацетат:н-гексан (1:10)], получая указанное в заголовке соединение (517 мг, 61%).
1Н-ЯМР (CDCl3) : 3,52-4,89 (20H, м), 6,51 (2H, д, J=7,5 Гц), 6,93-7,67 (26H, м), 8,18 (1H, д, J=8,7 Гц), 8,39 (1H, д, J=8,7 Гц).
(7) Синтез (2S,3R,4R,5S,6R)-2-[3-(бензо[b]тиофен-2-илметил)-4-метоксинафталин-1-ил]-6-гидроксиметилтетрагидропиран-3,4,5-триола
В атмосфере азота диметилсульфид (1,6 мл) и комплекс трифторид бора-диэтиловый эфир (0,79 мл, 6,23 ммоль) добавляли к раствору (3R,4R,5S,6R)-2-[3-(бензо[b]тиофен-2-илметил)-4-метоксинафталин-1-ил]-3,4,5-трисбензилокси-6-бензилоксиметилтетрагидропирана (515 мг, 0,62 ммоль) в метиленхлориде (10 мл) при охлаждении льдом. Реакционную смесь перемешивали при комнатной температуре в течение трех дней, затем добавляли воду (10 мл) при охлаждении льдом и экстрагировали смесь метиленхлоридом. Органический слой промывали насыщенным водным раствором хлорида натрия, а затем сушили над сульфатом натрия, после этого растворитель отгоняли при пониженном давлении. Полученный остаток очищали колоночной хроматографией на силикагеле [элюирующий раствор = метиленхлорид:метанол (20:1)], получая указанное в заголовке соединение (82 мг, 28%).
1Н-ЯМР (CD3OD) : 3,49-3,90 (7H, м), 3,94 (3H, м), 4,48 (2H, д, J=6,0 Гц), 7,11 (1H, с), 7,22-7,76 (7H, м), 8,16-8,19 (1H, м), 8,33-8,36 (1H, м).
МС (ESI–): 465 [М-1]–.
Пример 4
(2R,3S,4R,5R,6S)-2-гидроксиметил-6-[3-(5-метоксибензо[b]тиофен-2-илметил)нафталин-1-ил]тетрагидропиран-3,4,5-триол
(1) Синтез 1-(2,2-диметоксиэтилсульфанил)-4-метоксибензола
В атмосфере азота 4-метоксибензолтиол (3,07 мл, 25,0 ммоль) и 2-бром-1,1-диметоксиэтан (3,25 мл, 27,5 ммоль) добавляли к раствору метилата натрия в метаноле (0,5 М, 80,0 мл, 40,0 ммоль) при охлаждении льдом. Реакционную смесь перемешивали при той же температуре в течение 10 минут, а затем нагревали до кипения с обратным холодильником в течение пяти часов. Реакционную смесь концентрировали при пониженном давлении и добавляли холодную воду. Полученную смесь экстрагировали эфиром, органический слой промывали насыщенным водным раствором хлорида натрия и затем сушили над сульфатом натрия. После фильтрования растворитель отгоняли при пониженном давлении, а полученный остаток очищали колоночной хроматографией на силикагеле [элюирующий раствор = этилацетат:н-гексан (1:20)], получая указанное в заголовке соединение (5,30 г, 93%).
1Н-ЯМР (CDCl3) : 3,00 (2H, д, J=5,6 Гц), 3,33 (6H, с), 3,70 (3H, с), 4,47 (1H, т, J=5,6 Гц), 6,85 (2H, д, J=8,8 Гц), 7,39 (2H, д, J=8,8 Гц).
(2) Синтез 5-метоксибензо[b]тиофена
В атмосфере азота к безводному хлорбензолу (150 мл) добавляли полифосфорную кислоту (10 г). К полученной смеси добавляли 1-(2,2-диметоксиэтилсульфанил)-4-метоксибензол (5,2 г, 22,7 ммоль) при кипячении с обратным холодильником в течение 1,5 часа и продолжали кипячение с обратным холодильником в течение ночи. Реакционную смесь охлаждали до комнатной температуры, а затем отделяли органический слой. К слою полифосфорной кислоты добавляли воду и экстрагировали полученный раствор метиленхлоридом. Все полученные при этом органические слои промывали водой и насыщенным водным раствором хлорида натрия и сушили над сульфатом натрия. После фильтрования растворитель отгоняли при пониженном давлении, а полученный остаток очищали колоночной хроматографией на силикагеле [элюирующий раствор = этилацетат:н-гексан (1:40)], получая указанное в заголовке соединение (1,1 г, 30%).
1Н-ЯМР (CDCl3) : 3,51 (3H, с), 7,00 (1H, дд, J=8,8, 2,4 Гц), 7,26 (2H, м), 7,44 (1H, д, J=5,5 Гц), 7,73 (1H, д, J=8,8 Гц).
(3) Синтез (4-бромнафталин-2-ил)-(5-метоксибензо[b]тиофен-2-ил)метанола
В токе азота раствор н-бутилития в гексане (1,6 М, 1,48 мл, 2,36 ммоль) добавляли по каплям к раствору 5-метоксибензо[b]тиофена (388 мг, 2,36 ммоль) в ТГФ (6 мл) при -78°С и перемешивали реакционный раствор при той же температуре в течение 10 минут. К данному раствору добавляли по каплям раствор 4-бромнафталин-2-карбальдегида (530 мг, 2,25 ммоль) в ТГФ (4 мл). Реакционную смесь перемешивали при той же температуре в течение двух часов, а затем добавляли насыщенный водный раствор хлорида аммония и экстрагировали смесь этилацетатом. Органический слой промывали насыщенным водным раствором хлорида натрия и сушили (безводный сульфат магния), а затем растворитель отгоняли при пониженном давлении. Полученный остаток очищали колоночной хроматографией на силикагеле [элюирующий раствор = этилацетат:н-гексан (1:10)], получая указанное в заголовке соединение (725 мг, 77%).
1Н-ЯМР (CDCl3) : 2,62 (1H, д, J=4,0 Гц), 3,83 (3H, с), 6,22 (1H, д, J=3,8 Гц), 6,95 (1H, дд, J=8,8, 2,5 Гц), 7,10 (1H, с), 7,15 (1H, д, J=2,5 Гц), 7,52-7,65 (3H, м), 7,83-7,88 (2H, м), 7,93 (1H, с), 8,22 (1H, д, J=8,1 Гц).
(4) Синтез 2-(4-бромнафталин-2-илметил)-5-фторбензо[b]тиофена
В токе азота (4-бромнафталин-2-ил)-(5-метоксибензо[b]тиофен-2-ил)метанол (260 мг, 0,65 ммоль) добавляли по каплям к раствору триметилсилилйодида (0,46 мл, 3,26 ммоль) в ацетонитриле (10 мл) при 0°С в течение двух часов и перемешивали реакционную смесь при той же температуре в течение одного часа. Добавляли насыщенный водный раствор гидрокарбоната натрия и экстрагировали полученную смесь этилацетатом. Органический слой промывали водным раствором тиосульфата натрия и насыщенным водным раствором хлорида натрия и сушили (безводный сульфат магния), а затем растворитель отгоняли при пониженном давлении. Полученный остаток очищали колоночной хроматографией на силикагеле [элюирующий раствор = этилацетат:н-гексан (1:10)], получая указанное в заголовке соединение (130 мг, 52%).
1Н-ЯМР (CDCl3) : 3,84 (3H, с), 4,32 (2H, с), 6,91 (2H, дд, J=8,8, 2,5 Гц), 6,98 (1H, с), 7,14 (1H, д, J=2,5 Гц), 7,51-7,61 (3H, м), 7,70-7,79 (3H, м), 8,19 (1H, д, J=8,2 Гц).
(5) Синтез (2R,3S,4R,5R)-3,4,5-трисбензилокси-2-бензилоксиметил-6-[3-(5-метоксибензо[b]тиофен-2-илметил)нафталин-1-ил]тетрагидропиран-6-ола
В токе азота раствор н-бутиллития в гексане (1,6 М, 0,31 мл, 0,50 ммоль) добавляли по каплям к раствору 2-(4-бромнафталин-2-илметил)-5-метоксибензо[b]тиофена (173 мг, 0,45 ммоль) в ТГФ (15 мл) при -78°С, перемешивали реакционную смесь при той же температуре в течение 10 минут и добавляли к данному раствору раствор 3,4,5-трисбензилокси-6-бензилоксиметилтетрагидропиран-2-она (267 мг, 0,50 ммоль) в ТГФ (2 мл). Реакционный раствор перемешивали при -78°С в течение одного часа, а затем добавляли насыщенный водный раствор хлорида аммония для остановки реакции. Полученный реакционный раствор экстрагировали этилацетатом, органический слой промывали насыщенным водным раствором хлорида натрия и сушили (безводный сульфат магния), а затем растворитель отгоняли при пониженном давлении. Полученный остаток очищали колоночной хроматографией на силикагеле [элюирующий раствор = этилацетат:н-гексан (1:4)], получая указанное в заголовке соединение (279 мг, 73%).
1Н-ЯМР (CDCl3) : 3,46-3,50 (2H, м), 3,74 (1H, д, J=10,6 Гц), 3,82 (3H, с), 4,00 (1H, д, J=10,4 Гц), 4,05 (1H, д, J=10,4 Гц), 4,10-4,28 (4H, м), 4,34 (2H, с), 4,47 (1H, д, J=11,9 Гц), 4,59 (1H, д, J=11,9 Гц), 4,76 (1H, д, J=10,8 Гц), 4,88 (2H, с), 4,96 (1H, д, J=10,8 Гц), 6,67 (1H, д, J=7,3 Гц), 6,88-6,98 (4H, м), 7,04-7,09 (2H, м), 7,21-7,35 (16H, м), 7,42 (1H, т, J=7,2 Гц), 7,53 (1H, д, J=8,8 Гц), 7,75 (1H, с), 7,79 (1H, д, J=8,0 Гц), 7,88 (1H, д, J=1,6 Гц), 8,65 (1H, д, J=8,7 Гц).
(6) Синтез (2R,3S,4R,5R)-3,4,5-трисбензилокси-2-бензилоксиметил-6-[3-(5-метоксибензо[b]тиофен-2-илметил)нафталин-1-ил]тетрагидропирана
В токе азота триметилсилан (0,093 мл, 0,58 ммоль) и комплекс трифторид бора-диэтиловый эфир (0,041 мл, 0,32 ммоль) добавляли к раствору (2R,3S,4R,5R)-3,4,5-трисбензилокси-2-бензилоксиметил-6-[3-(5-метоксибензо[b]тиофен-2-илметил)нафталин-1-ил]тетрагидропиран-6-ола (245 мг, 0,29 ммоль) в метиленхлориде (3 мл) при 0°С. Реакционную смесь перемешивали при комнатной температуре в течение одного часа, а затем добавляли к ней насыщенный водный раствор гидрокарбоната натрия. Полученную смесь экстрагировали метиленхлоридом, органический слой промывали насыщенным водным раствором хлорида натрия и сушили над сульфатом натрия. Растворитель отгоняли при пониженном давлении, а полученный остаток очищали колоночной хроматографией на силикагеле [элюирующий раствор = этилацетат:н-гексан (1:6)], получая указанное в заголовке соединение (271 мг, 80%).
1Н-ЯМР (CDCl3) : 3,42 (1H, д, J=10,2 Гц), 3,63-3,99 (9H, м), 4,09 (1H, д, J=9,9 Гц), 4,35 (2H, с), 4,52 (1H, д, J=12,2 Гц), 4,63 (1H, д, J=12,2 Гц), 4,69 (1H, д, J=10,8 Гц), 4,87-4,96 (4H, м), 6,50 (2H, д, J=7,3 Гц), 6,88 (1H, дд, J=7,2, 2,4 Гц), 6,95-6,99 (3H, м), 7,05-7,10 (2H, м), 7,21-7,30 (15H, м), 7,37-7,50 (2H, м), 7,53 (1H, д, J=8,8 Гц), 7,60 (1H, с), 7,74 (1H, с), 7,82 (1H, д, J=7,7 Гц), 8,37 (1H, д, J=8,2 Гц).
(7) Синтез (2R,3S,4R,5R,6S)-2-гидроксиметил-6-[3-(5-метоксибензо[b]тиофен-2-илметил)нафталин-1-ил]тетрагидропиран-3,4,5-триола
В токе азота диметилсульфид (0,66 мл) и комплекс трифторид бора-диэтиловый эфир (0,33 мл, 2,62 ммоль) добавляли к раствору (2R,3S,4R,5R)-3,4,5-трисбензилокси-2-бензилоксиметил-6-[3-(5-метоксибензо[b]тиофен-2-илметил)нафталин-1-ил]тетрагидропирана (217 мл, 0,262 ммоль) в метиленхлориде (4 мл) при охлаждении льдом. Реакционную смесь перемешивали при комнатной температуре в течение трех дней, затем добавляли насыщенный водный раствор гидрокарбоната натрия при охлаждении льдом и экстрагировали смесь метиленхлоридом. Органический слой промывали насыщенным водным раствором хлорида натрия и сушили над сульфатом натрия, затем растворитель отгоняли при пониженном давлении, а полученный остаток очищали колоночной хроматографией на силикагеле [элюирующий раствор = метиленхлорид:метанол (30:1)], получая указанное в заголовке соединение (85 мг, 65%).
1Н-ЯМР (CD3OD) : 3,51-3,63 (3H, м), 3,69-3,80 (5H, м), 3,90 (1H, д, J=11,6 Гц), 4,37 (2H, с), 4,90 (1H, д, J=9,5 Гц), 6,87 (1H, дд, J=8,8, 2,5 Гц), 7,04 (1H, с), 7,19 (1H, д, J=2,4 Гц), 7,43-7,49 (2H, м), 7,57 (1H, д, J=8,8 Гц), 7,63 (1H, с), 7,73 (1H, с), 7,79-7,82 (1H,м), 8,27 (1H, д, J=9,3 Гц).
МС (ESI+): 489 [М+Na]+.
Пример 5
(2S,3R,4R,5S,6R)-2-[3-(5-этилбензо[b]тиофен-2-илметил)нафталин-1-ил]-6-гидроксиметилтетрагидропиран-3,4,5-триол
(1) Синтез 1-(2,2-диметоксиэтилсульфанил)-4-этилбензола
В атмосфере азота 4-этилбензолтиол (3,50 мл, 25,4 ммоль) и 2-бром-1,1-диметоксиэтан (3,3 мл, 27,9 ммоль) добавляли к раствору метилата натрия в метаноле (0,5 М, 81,4 мл, 40,7 ммоль) при охлаждении льдом. Реакционную смесь перемешивали при той же температуре в течение 10 минут, а затем нагревали до кипения с обратным холодильником в течение пяти часов. Реакционную смесь концентрировали при пониженном давлении и добавляли холодную воду. Полученную смесь экстрагировали эфиром, органический слой промывали насыщенным водным раствором хлорида натрия и сушили над сульфатом натрия. После фильтрования растворитель отгоняли при пониженном давлении, а полученный остаток очищали колоночной хроматографией на силикагеле [элюирующий раствор = этилацетат:н-гексан (1:20)], получая указанное в заголовке соединение (5,31 г, 93%).
1Н-ЯМР (CDCl3) : 1,22 (3H, т, J=7,6 Гц), 2,62 (2H, кв, J=7,6 Гц), 3,08 (2H, д, J=5,6 Гц), 3,36 (6H, с), 4,51 (1H, т, J=5,6 Гц), 7,12 (2H, д, J=8,3 Гц), 7,32 (2H, д, J=8,3 Гц).
(2) Синтез 5-этилбензо[b]тиофена
В атмосфере азота к безводному хлорбензолу (150 мл) добавляли полифосфорную кислоту (10 г). К полученному раствору добавляли 1-(2,2-диметоксиэтилсульфанил)-4-этилбензол (5,31 г, 23,5 ммоль) при кипячении с обратным холодильником в течение 1,5 часа и продолжали нагревание до кипения с обратным холодильником в течение ночи. Реакционную смесь охлаждали до комнатной температуры, а затем отделяли органический слой. К слою полифосфорной кислоты добавляли воду и экстрагировали полученную смесь метиленхлоридом. Все полученные при этом органические слои промывали водой и насыщенным водным раствором хлорида натрия и сушили над сульфатом натрия. После фильтрования растворитель отгоняли при пониженном давлении, а полученный остаток очищали колоночной хроматографией на силикагеле [элюирующий раствор = этилацетат:н-гексан (1:20)], получая указанное в заголовке соединение (0,98 г, 26%).
1Н-ЯМР (CDCl3) : 1,29 (3H, т, J=7,6 Гц), 2,76 (2H, кв, J=7,6 Гц), 7,18-7,28 (2H, м), 7,40 (1H, д, J=5,4 Гц), 7,64 (1H, с), 7,78 (1H, д, J=8,3 Гц).
(3) Синтез (4-бромнафталин-2-ил)-(5-этилбензо[b]тиофен-2-ил)метанола
В токе азота раствор н-бутилития в гексане (1,6 М, 1,44 мл, 2,30 ммоль) добавляли по каплям к раствору 5-этилбензо[b]тиофена (373 мг, 2,30 ммоль) в ТГФ (15 мл) при -78°С и перемешивали реакционный раствор при той же температуре в течение 5 минут. К данной смеси добавляли по каплям раствор 4-бромнафталин-2-карбальдегида (515 мг, 2,19 ммоль) в ТГФ (5 мл) при -78°С и перемешивали полученную смесь при той же температуре в течение двух часов и при -20°С в течение 30 минут, а затем добавляли насыщенный водный раствор хлорида аммония и экстрагировали смесь этилацетатом. Органический слой промывали насыщенным водным раствором хлорида натрия и сушили (безводный сульфат магния), затем растворитель отгоняли при пониженном давлении. Полученный остаток очищали колоночной хроматографией на силикагеле [элюирующий раствор = этилацетат:н-гексан (1:9)], получая указанное в заголовке соединение (780 мг, 90%).
1Н-ЯМР (CDCl3) : 1,24 (1H, т, J=7,6 Гц), 2,63 (1H, д, J=3,1 Гц), 2,73 (2H, кв, J=7,6 Гц), 6,23 (1H, д, J=3,1 Гц), 7,14 (2H, с), 7,52-7,70 (4H, м), 7,83-7,93 (3H, м), 8,22 (1H, д, J=8,3 Гц).
(4) Синтез 2-(4-бромнафталин-2-илметил)-5-этилбензо[b]тиофена
В токе азота триэтилсилан (0,63 мл, 3,93 ммоль) и комплекс трифторид бора-диэтиловый эфир (0,27 мл, 2,16 ммоль) добавляли к раствору (4-бромнафталин-2-ил)-(5-этилбензо[b]тиофен-2-ил)метанола (780 мг, 1,96 ммоль) в метиленхлориде (20 мл) при 0°С и перемешивали реакционную смесь при комнатной температуре в течение трех часов. К полученному раствору добавляли метанол (10 мл) и воду (30 мл) и экстрагировали смесь метиленхлоридом. Органический слой промывали насыщенным водным раствором хлорида натрия и сушили (безводный сульфат магния), а затем растворитель отгоняли при пониженном давлении. Полученный остаток очищали колоночной хроматографией на силикагеле [элюирующий раствор = н-гексан], получая указанное в заголовке соединение (460 мг, 62%).
1Н-ЯМР (CDCl3) : 1,27 (1H, т, J=7,6 Гц), 2,73 (2H, кв, J=7,6 Гц), 4,34 (2H, с), 7,10 (1H, с), 7,13 (1H, д, J=7,6 Гц), 7,48-7,79 (7H, м), 8,19 (1H, д, J=8,3 Гц).
(5) Синтез (3R,4R,5S,6R)-3,4,5-трисбензилокси-6-бензилоксиметил-2-[3-(5-этилбензо[b]тиофен-2-илметил)нафталин-1-ил]тетрагидропиран-2-ола
В токе азота раствор н-бутилития в гексане (1,6 М, 0,83 мл, 1,33 ммоль) добавляли по каплям к раствору 2-(4-бромнафталин-2-илметил)-5-этилбензо[b]тиофена (460 мг, 1,21 ммоль) в ТГФ (15 мл) при -78°С. Реакционную смесь перемешивали при той же температуре в течение пяти минут и добавляли к данному раствору по каплям раствор 3,4,5-трисбензилокси-6-бензилоксиметилтетрагидропиран-2-она (844 мг, 1,57 ммоль) в ТГФ (5 мл). Реакционный раствор перемешивали при -78°С в течение пяти минут, затем добавляли насыщенный водный раствор хлорида аммония для остановки реакции. Реакционную смесь экстрагировали этилацетатом, а органический слой промывали насыщенным водным раствором хлорида натрия и сушили (безводный сульфат магния), затем растворитель отгоняли при пониженном давлении. Полученный остаток очищали колоночной хроматографией на силикагеле [элюирующий раствор = этилацетат:н-гексан (1:9)], получая указанное в заголовке соединение (1,06 мг, 100%).
1Н-ЯМР (CDCl3) : 1,25 (3H, т, J=7,6 Гц), 2,72 (2H, кв, J=7,6 Гц), 4,35 (2H, с), 3,45-4,78 (12H, м), 4,89 (2H, с), 4,92-4,98 (1H, м), 6,67 (2H, д, J=7,2 Гц), 6,94 (2H, т, J=7,2 Гц), 7,01-7,44 (21H, м), 7,59 (1H, д, J=8,3 Гц), 7,75 (1H, с), 7,79 (1H, д, J=7,9 Гц), 7,89 (1H, д, J=1,7 Гц), 8,62 (1H, д, J=8,6 Гц).
(6) Синтез (3R,4R,5S,6R)-3,4,5-трисбензилокси-2-бензилоксиметил-6-[3-(5-этилбензо[b]тиофен-2-илметил)нафталин-1-ил]тетрагидропирана
В токе азота триэтилсилан (0,60 мл, 3,78 ммоль) и комплекс трифторид бора-диэтиловый эфир (0,17 мл, 1,32 ммоль) добавляли по каплям к раствору (3R,4R,5S,6R)-3,4,5-трисбензилокси-6-бензилоксиметил-2-[3-(5-этилбензо[b]тиофен-2-илметил)нафталин-1-ил]тетрагидропиран-2-ола (1,06 г, 1,26 ммоль) в метиленхлориде (20 мл) при -40°С. Реакционную смесь перемешивали при 0°С в течение одного часа, а затем добавляли к ней 50%-ный водный раствор метанола (20 мл). Полученную смесь экстрагировали метиленхлоридом, органический слой промывали насыщенным водным раствором хлорида натрия и сушили над сульфатом натрия. Растворитель отгоняли при пониженном давлении, а полученный остаток очищали колоночной хроматографией на силикагеле [элюирующий раствор = этилацетат:н-гексан (1:9)], получая указанное в заголовке соединение (670 мг, 65%).
1Н-ЯМР (CDCl3) : 1,26 (3H, т, J=7,6 Гц), 2,71 (2H, кв, J=7,6 Гц), 3,42 (1H, д, J=10,3 Гц), 3,60-4,00 (6H, м), 4,09 (1H, д, J=10,3 Гц), 4,35 (2H, с), 4,46-4,72 (3H, м), 4,82-4,98 (4H, м), 6,50 (2H, д, J=7,2 Гц), 6,85-7,85 (27H, м), 8,37 (1H, д, J=8,2 Гц).
(7) Синтез (2R,3S,4R,5R,6S)-2-гидроксиметил-6-[3-(5-этилбензо[b]тиофен-2-илметил)нафталин-1-ил]тетрагидропиран-3,4,5-триола
В атмосфере азота диметилсульфид (2,66 мл) и комплекс трифторид бора-диэтиловый эфир (1,03 мл, 8,12 ммоль) добавляли к раствору (3R,4R,5S,6R)-3,4,5-трисбензилокси-2-бензилоксиметил-6-[3-(5-этилбензо[b]тиофен-2-илметил)нафталин-1-ил]тетрагидропирана (670 мг, 0,81 ммоль) в метиленхлориде (4 мл) при охлаждении льдом. Реакционную смесь перемешивали при комнатной температуре в течение 1,5 дня, затем добавляли к ней 50%-ный водный раствор метанола (20 мл) при охлаждении льдом и экстрагировали смесь метиленхлоридом. Органический слой промывали насыщенным водным раствором хлорида натрия и сушили над сульфатом натрия, а затем растворитель отгоняли при пониженном давлении. Полученный остаток очищали колоночной хроматографией на силикагеле [элюирующий раствор = метиленхлорид:метанол (50:1)], получая указанное в заголовке соединение (119 мг, 32%).
1Н-ЯМР (CD3OD) : 1,26 (3H, т, J=7,6 Гц), 2,71 (2H, кв, J=7,6 Гц), 3,45-3,65 (3H, м), 3,66-3,82 (2H, м), 3,89 (1H, д, J=12,1 Гц), 4,39 (2H, с), 4,90 (1H, д, J=9,6 Гц), 7,05-7,15 (2H, м), 7,40-7,55 (3H, м), 7,58-7,66 (2H, м), 7,37 (1H, с), 7,78-7,85 (1H, м), 8,24-8,32 (1H, м).
МС (ESI+): 487 [М+Na]+.
Структуры соединений из описанных выше примеров приведены в таблице 1.
| Соединение 5 |
 |
По той же методике, что и в описанных выше примерах, получали соединения настоящего изобретения, приведенные в таблице 2, при использовании соответствующих исходных веществ и реагентов.
| Таблица 2 |
| Соединение 6 |
 |
1Н-ЯМР (CD3OD) : 3,50-3,63 (3H, м), 3,69-3,80 (2H, м), 3,99 (1H, дд, J=11,7, 1,9 Гц), 4,40 (2H, с), 4,90 (1H, д, J=9,6 Гц), 7,09 (1H, с), 7,21 (1H, дд, J=8,6, 2,0 Гц), 7,42-7,51 (2H, м), 7,62-7,74 (4H, м), 7,79-7,83 (1H, м), 8,28 (1H, м). МС (ESI+): 493 [М+Na]+ |
| Соединение 7 |
 |
1Н-ЯМР (CD3OD) : 2,37 (3H, с), 2,56 (1H, ушир.с), 3,45 (1H, м), 3,54-3,90 (5H, м), 4,40 (2H, с), 4,81 (1H, д, J=9,2 Гц), 6,89 (1H, с), 7,02 (1H, дд, J=8,4, 1,5 Гц), 7,35-7,45 (3H, м), 7,48 (1H, с), 7,54 (1H, д, J=8,4 Гц), 7,65 (1H, с), 7,71-7,78 (1H, м), 8,11 (1H, м). МС (ESI+): 473 [М+Na]+ |
| Соединение 8 |
 |
1Н-ЯМР (CD3OD) : 2,38 (3H, с), 3,51-3,63 (3H, м), 3,69-3,81 (2H, м), 3,90 (1H, д, J=12,1 Гц), 4,22 (2H, с), 4,88 (1H, д, J=9,6 Гц), 6,56 (1H, д, J=3,4 Гц), 6,63 (1H, д, J=3,4 Гц), 7,39-7,48 (2H, м), 7,57 (1H, с), 7,64 (1H, с), 7,78 (1H, д, J=9,5 Гц), 8,25 (1H, д, J=9,5 Гц). МС (ESI+): 423 [М+Na]+ |
| Соединение 9 |
 |
1Н-ЯМР (CD3OD) : 1,23 (3H, т, J=7,5 Гц), 2,75 (2H, кв, J=7,5 Гц), 3,51-3,63 (3H, м), 3,69-3,81 (2H, м), 3,89 (1H, д, J=12,0 Гц), 4,23 (2H, с), 4,89 (1H, д, J=9,0 Гц), 6,56 (1H, с), 6,65 (1H, с), 7,42-7,45 (2H, м), 7,57 (1H, с), 7,65 (1H, с), 7,78 (1H, д, J=8,4 Гц), 8,25 (1H, д, J=9,0 Гц). МС (ESI–): 413 [М-1]– |
Экспериментальный пример 1
Тест на подтверждение ингибирующего действия на котранспортеры Na+-глюкозы человека (SGLT1 и SGLT2)
(1) Получение вектора экспрессии SGLT1 человека
ПЦР (PCR) осуществляли при помощи KOD+ДНК полимеразы (продукт Toyobo Co., Ltd.), при использовании библиотеки кДНК, полученной из тонкого кишечника человека (продукт Clontech) в качестве матрицы, применяя синтезированный праймер ДНК для амплификации кДНК SGLT1 человека. Затем данный амплифицированный фрагмент клонировали в векторе pcRII-Topo при помощи набора для клонирования Topo TA Cloning Dual Promoter (продукт Invitrogen) и вводили в компетентные клетки E. сoli (ТОР10, продукт Invitrogen), а клоны, проявлявшие резистентность к ампициллину, пролиферировали в среду LB, содержащую ампициллин (50 мг/л). Из пролиферированных E. сoli выделяли плазмиду обычным способом (см. Maniatis et al., Molecular Cloning). Используя эту плазмиду в качестве матрицы, осуществляли ПЦР при помощи KOD+ДНК полимеразы при использовании синтезированного праймера ДНК, в который вводили сайты рестрикции ферментов для амплификации кДНК SGLT1 человека (фрагмент с добавленным сайтом рестрикции Eco RI в верхнюю часть и сайтом рестрикции Hind III в нижнюю часть). Данный амплифицированный фрагмент подвергали перевариванию Eco RI и Hind III для связывания переваренных фрагментов с их сайтами рестрикции вектора экспрессии pcDNA 3.1(-) (продукт Invitrogen) при использовании набора для ускоренного лигирования ДНК (продукт Roche Diagnostics). Связанный вектор экспрессии вводили в компетентные клетки E. coli (DH5 , продукт Invitrogen) и пролиферировали в содержащую ампициллин среду LB, получая вектор экспрессии SGLT1 человека обычным образом.
(2) Получение вектора экспрессии SGLT2 человека
ПЦР осуществляли при помощи KOD+ДНК полимеразы (продукт Toyobo Co., Ltd.), при использовании библиотеки кДНК, полученной из почек человека (продукт Clontech) в качестве матрицы, применяя синтезированный праймер ДНК для амплификации кДНК SGLT2 человека. Затем данный амплифицированный фрагмент клонировали в векторе pcRII-Topo при помощи набора для клонирования Topo TA Cloning Dual Promoter (продукт Invitrogen) и вводили в компетентные клетки E. сoli (ТОР10, продукт Invitrogen), а клоны, проявившие резистентность к ампициллину, пролиферировали в среду LB, содержащую ампициллин (50 мг/л). Из пролиферированных E. сoli обычным способом выделяли плазмиду. Используя эту плазмиду в качестве матрицы, осуществляли ПЦР при помощи KOD+ДНК полимеразы при использовании синтезированного праймера ДНК, в который вводили сайты рестрикции ферментов для амплификации кДНК SGLT2 человека (фрагмент с добавленным сайтом рестрикции Xho I в верхнюю часть и сайтом рестрикции Hind III в нижнюю часть). Данный амплифицированный фрагмент подвергали перевариванию Xho I и Hind III для связывания переваренных фрагментов с их сайтами рестрикции вектора экспрессии pcDNA 3.1(-) при использовании набора для ускоренного лигирования ДНК. Связанный вектор экспрессии вводили в компетентные клетки E. coli (DH5 ) и пролиферировали в содержащую ампициллин среду LB, получая вектор экспрессии SGLT2 человека обычным образом.
(3) Получение стабильно экспрессирующих SGLT1 клеток человека и стабильно экспрессирующих SGLT2 клеток человека
Вектор экспрессии SGLT1 человека или вектор экспрессии SGLT2 человека, переваренный рестрикционным ферментом Pvu I, вводили в клетки СНО-К1 при помощи FuGene (продукт Roche Diagnostics). После введения данного гена клетки инкубировали в среде DMEM (продукт Gibco), содержащей пенициллин (50 U/мл, продукт Sigma), стрептомицин (50 мг/л, продукт Sigma), Geneticin (200 мг/л, продукт Nacalai Tesque) и 20%-ную сыворотку плодов коровы в присутствии 5% СО2 при 37°С в течение примерно трех недель, получая Genticin-резистентные клоны. Из данных клонов выбирали клетки, способные стабильно экспрессировать SGLT1 человека или SGLT2 человека, и получали при использовании активности натрийзависимого поглощения сахара (метил- -D-глюкопиранозид) в качестве индекса.
(4) Определение активности ингибирования поглощения метил- -D-глюкопиранозида
Клетки СНО, стабильно экспрессирующие SGLT1 человека, или клетки СНО, стабильно экспрессирующие SGLT2 человека, высевали в 96-луночный планшет с плотностью от 30000 до 40000 клеток/лунку и инкубировали в течение от четырех до шести дней. Затем среду из культуры планшета удаляли и добавляли буфер предварительной обработки (буфер, содержащий 140 мМ хлорида холина, 2 мМ хлорида калия, 1 мМ хлорида кальция, 1 мМ хлорида магния, 10 мМ 2-[4-(2-гидроксиэтил)-1-пиперазинил]этансульфокислоты и трис(гидроксиметил)аминометана, и имеющего рН 7,4) в количестве 150 мкл на лунку, а после этого оставляли стоять при 37°С в течение 20 минут. Буфер предварительной обработки удаляли и снова добавляли буфер предварительной обработки в количестве 50 мкл на лунку, а после этого оставляли стоять при 37°С в течение 20 минут. К 100 мл буфера (буфера, содержащего 140 мМ хлорида натрия, 2 мМ хлорида калия, 1 мМ хлорида кальция, 1 мМ хлорида магния, 1 мМ метил- -D-глюкопиранозида, 10 мМ 2-[4-(2-гидроксиэтил)-1-пиперазинил]этансульфокислоты и трис(гидроксиметил)аминометана, и имеющего рН 7,4), добавляли и перемешивали 6,3 мл метил- -D-(U-14C)глюкопиранозида (200 мКи/л, продукт Amersham Pharmacia Biotech), получая буфер поглощения, и растворяли тестируемое соединение в данном буфере поглощения, а полученный раствор использовали в качестве буфера для определения ингибирующей активности. Кроме того, в качестве контроля использовали буфер поглощения, не содержащий тестируемого соединения. Кроме того, для определения базисного поглощения в отсутствие тестируемого соединения и натрия, аналогичным образом готовили и использовали для определения базисный буфер поглощения, содержащий 140 мМ хлорида холина вместо хлорида натрия. Буфер предварительной обработки удаляли из лунок культуры планшета и добавляли буфер для определения ингибирующей активности в количестве 35 мкл на лунку и оставляли стоять при 37°С в течение 45 минут. После этого буфер для определения ингибирующей активности удаляли и добавляли промывной буфер (буферизованный раствор, содержащий 140 мМ хлорида холина, 2 мМ хлорида калия, 1 мМ хлорида кальция, 1 мМ хлорида магния, 1 мМ метил- -D-глюкопиранозида, 10 мМ 2-[4-(2-гидроксиэтил)-1-пиперазинил]этансульфокислоты и трис(гидроксиметил)аминометана, и имеющего рН 7,4) в количестве 300 мкл на лунку и сразу удаляли. Данную операцию промывания повторяли снова и добавляли раствор для растворения клеток (1 М гидроксида натрия и 0,1% лаурилсульфата натрия) в количестве 30 мкл на лунку для растворения клеток. Туда же добавляли 15 мкл 2 М хлористоводородной кислоты, 40 мкл полученного раствора переносили в Luma-планшет (продукт Packard) и оставляли стоять при комнатной температуре в течение ночи для испарения растворителя. Радиоактивность образца в планшете определяли при помощи Topcount (производства Packard). Концентрацию тестируемого соединения (величина IC50), которая ингибирует 50% поглощения, считая значение, полученное при выведении базисного поглощения из контрольного поглощения, за 100%, рассчитывали из кривой концентрация-ингибирование при использовании расчетного программного обеспечения (Elfir ver.3). В результате соединения настоящего изобретения проявили замечательное ингибирующее действие по отношению к SGLT2. Значения IC50 для ингибирования SGLT2 представленных соединений настоящего изобретения приведены в таблице 3.
| Таблица 3 |
| Тестируемое соединение |
IC50 (нМ) |
| Пример 1 |
18 |
| Пример 8 |
18 |
Экспериментальный пример 2
Тест на определение периода полувыведения из крови у крыс
Тестируемое соединение вводили внутривенно самцу крысы SD (8-недельного возраста, японский SLC) и производили отбор крови через 2 минуты, 5 минут, 15 минут, 30 минут, 1 час, 2 часа, 4 часа, 6 часов и 8 часов после введения, соответственно. Полученную кровь центрифугировали, получая плазму. Образец плазмы (0,01 мл) и воду (0,4 мл) помещали в пробирку с фенитоином (250 нг) в качестве внутреннего стандарта, добавляли туда же диэтиловый эфир (2 мл) и перемешивали полученный раствор в течение пяти минут, после этого центрифугировали в течение 10 минут, органический слой отделяли и подвергали высушиванию азотом, а подвижную фазу добавляли к полученному твердому веществу для его растворения и брали полученный раствор в качестве образца для определения.
Образец для определения вводили в ВЭЖХ-масс-спектрометр и проводили определение в следующих условиях.
Колонка: ODS (2,0×150 мм)
Подвижная фаза: ацетонитрил/10 мМ ацетата аммония = 4/6 (об./об.)
Скорость потока: 0,2 мл/мин
Объем вводимого образца: 10 мкл
Массовый анализ: ESI (+)
Концентрированную плазму, полученную методом ВЭЖХ-МС, подвергали некамерному анализу при помощи стандарта WinNonlin, изготовленного Pharsight Corporation для расчета фармакокинетических параметров. Период полувыведения в конечном слое приведен в таблице 4.
| Таблица 4 |
| (Дозировка: 10 мг/кг) |
| Тестируемое соединение |
Период полувыведения (ч) |
| Пример 1 |
8,21 |
Возможность промышленного использования
В настоящем изобретении предложены соединения глюцитола, которые обладают превосходным действием в отношении ингибирования активности SGLT2, их пролекарства или их фармацевтически приемлемые соли. Кроме того, соединения настоящего изобретения применимы в качестве профилактических или терапевтических агентов для лечения диабета, связанных с диабетом заболеваний или осложнений диабета.
Формула изобретения
1. Соединение формулы (I)
 в которой m представляет собой целое число, выбранное из 1-3; каждый из R1, R2, R3 и R4 независимо выбирают из атома водорода и бензильной группы; Ar1 представляет собой нафтильную группу, которая может быть замещена одним или более заместителем, выбранным из группы, состоящей из С1-С6алкильной группы или атома галогена; А представляет собой 5-7-членную ароматическую гетероциклическую группу, содержащую один или более гетероатомов, независимо выбранных из атома кислорода и атома серы, которая может образовывать конденсированный цикл с ароматическим карбоциклом или ароматическим гетероциклом, где А может быть замещена одним или более Rb, при условии, что, когда А является бензоконденсированным циклом, содержащим два или более колец, группа -(CH2)m– связана с гетероциклом в А; каждый из Rb независимо выбирают из C1-С6алкильной группы, атома галогена и C1-С6-алкоксигруппы; или его фармацевтически приемлемая соль.
2. Соединение по п.1 формулы (Ia)
 в которой A, R1, R2, R3, R4 и m аналогичны определенным в п.1. или его фармацевтически приемлемая соль.
3. Соединение по п.1 формулы (Ib)
 в которой А, Ar1, R1, R2, R3, R4 и m аналогичны определенным в п.1, или его фармацевтически приемлемая соль.
4. Соединение по п,1, в котором А представляет собой тиенильную группу или бензотиенильную группу, где данные группы могут быть замещены одним или более Rb, или его фармацевтически приемлемая соль.
5. Соединение по п.1, в котором m равно 1, или его фармацевтически приемлемая соль.
6. Соединение по п.1, выбранное из: (2S,3R,4R,5S,6R)-2-[3-(бензо[b]тиофен-2-илметил)нафталин-1-ил]-6-гидроксиметилтетрагидропиран-3,4,5-триола; (2S,3R,4R,5S,6R)-2-[3-(5-фторбензо[b]тиофен-2-илметил)нафталин-1-ил]-6-гидроксиметилтетрагидропиран-3,4,5-триола-; (2R,3S,4R,5R,6S)-2-гидроксиметил-6-[3-(5-метоксибензо[b]тиофен-2-илметил)нафталин-1-ил]тетрагидропиран-3,4,5-триола; (2S,3R,4R,5S,6R)-2-[3-(5-этилбензо[b]тиофен-2-илметил) нафталин-1-ил]-6-гидроксиметилтетрагидропиран-3,4,5-триола; (2S,3R,4R,5S,6R)-2-[3-(5-хлорбензо[b]тиофен-2-илметил)нафталин-1-ил]-6-гидроксиметилтетрагидропиран-3,4,5-триола; (2R,3S,4R,5R,6S)-2-гидроксиметил-6-[3-(5-метилбензо[b]тиофен-2-илметил)нафталин-1-ил]тетрагидропиран-3,4,5-триола; (2R,3S,4R,5R,6S)-2-гидроксиметил-6-[3-(5-метилтиофен-2-илметил)нафталин-1-ил]тетрагидропиран-3,4,5-триола и (2R,3S,4R,5R,6S)-2-гидроксиметил-6-[3-(5-этилтиофен-2-илметил)нафталин-1-ил]тетрагидропиран-3,4,5-триола, или их фармацевтически приемлемых солей.
7. Фармацевтическая композиция, содержащая соединение по любому из пп.1-6 или его фармацевтически приемлемую соль, которую используют в качестве ингибитора котранспортера Na+-глюкозы.
8. Фармацевтическая композиция, содержащая соединение по любому из пп.1-6 или его фармацевтически приемлемую соль, которую используют для профилактики или терапии диабета, осложнений диабета, вызванных гипергликемией, или ожирения.
9. Фармацевтическая композиция по п.8, где диабет представляет собой инсулинозависимый диабет (диабет I типа) или инсулинонезависимый диабет (диабет II типа).
10. Способ предупреждения или лечения диабета, осложнений диабета, вызванных гипергликемией, или ожирения, который включает введение пациенту терапевтического количества соединения по любому из пп.1-6 или его фармацевтически приемлемой соли.
11. Способ по п.10, в котором диабет представляет собой инсулинозависимый диабет (диабет I типа) или инсулинонезависимый диабет (диабет II типа).
|
|