|
|
(21), (22) Заявка: 2007102223/04, 21.06.2005
(24) Дата начала отсчета срока действия патента:
21.06.2005
(30) Конвенционный приоритет:
21.06.2004 ES P200401512
(43) Дата публикации заявки: 27.07.2008
(46) Опубликовано: 20.04.2010
(56) Список документов, цитированных в отчете о поиске:
WO 03097613 A1, 27.11.2003. US 20030225081 A1, 04.12.2003. RU 2159236 C2, 20.11.2000.
(85) Дата перевода заявки PCT на национальную фазу:
22.01.2007
(86) Заявка PCT:
EP 2005/006712 20050621
(87) Публикация PCT:
WO 2005/123693 20051229
Адрес для переписки:
101000, Москва, М.Златоустинский пер., 10, кв.15, “ЕВРОМАРКПАТ”, пат.пов. И.А.Веселицкой, рег. 11
|
(72) Автор(ы):
АГИЛАР-ИСКЬЕРДО Нурия (ES), КАРРАСКАЛЬ-РИЕРА Марта (ES), ДАЛЬ-ПЬЯЦ Витторио (IT), ГРАСИА-ФЕРРЕР Хорди (ES), ЛУМЕРАС-АМАДОР Венсеслао (ES), МАСДЕУ-МАРГАЛЕФ Мария-дель-Кармен (ES), УОРРЕЛЛОУ Грэм (ES)
(73) Патентообладатель(и):
АЛЬМИРАЛЬ ПРОДЕСФАРМА, С.А. (ES)
|
(54) ПРОИЗВОДНЫЕ ПИРИДАЗИН-3(2Н)-ОНА И ИХ ПРИМЕНЕНИЕ В КАЧЕСТВЕ ИНГИБИТОРОВ ФДЭ4
(57) Реферат:
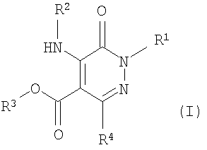
Изобретение относится к новым терапевтически применимым производным пиридазин-3(2Н)-она формулы I

и содержащим их фармацевтическим композициям. Эти соединения являются активными и селективными ингибиторами фосфодиэстеразы 4 (ФДЭ4) и поэтому применимы при лечении, предупреждении или подавлении соответствующих патологических состояний, заболеваний или нарушений, предпочтительно -астмы, хронического обструктивного заболевания легких, ревматоидного артрита, атопического дерматита, псориаза или синдрома раздраженной толстой кишки. 5 н.и 6 з.п. ф-лы, 8 табл.
Текст описания приведен в факсимильном виде.                                                                                                                                                         
Формула изобретения
1. Соединение формулы (I)
 в которой R1 обозначает низшую алкильную группу; R2 обозначает 5-10-членную моноциклическую или полициклическую гетероарильную группу, включающую по меньшей мере один гетероатом, выбранный из N и S, которая необязательно может быть замещена одним или более заместителем, выбранным из: атомов галогена; низшей алкильной группы; R3 обозначает группу формулы: G-L1-(CRR’)n– в которой n является целым числом, равным от 0 до 6; R и R’ независимо выбраны из группы, включающей атом водорода и низшие алкильные группы; L1 обозначает соединительную группу, выбранную из группы, включающей непосредственно связь, группы -СО-, -NR”-, -NR”-CO-, -O(CO)NR”-, -NR”(CO)O-, -O(CO)-, -O(CO)O-, -(СО)О- и -O(R”O)(PO)O-, где R” выбран из группы, включающей атом водорода и низшие алкильные группы; G выбран из группы, включающей атом водорода и низшую алкильную, циклоалкильную, фенильную, фениалкильную, пиридильную и гетероциклильную группы, где гетероциклильная группа представляет собой неароматическое С3-С10 карбоциклическое кольцо, в котором 1 или 2 атома углерода замещены на гетероатом, выбранный из N и О, где указанные группы могут быть необязательно замещены одним или более заместителем, выбранным из: атомов галогена; низшей алкильной группы, которая необязательно может быть замещена одним или более заместителем, выбранным из атомов галогена; и алкоксигруппы, гидроксикарбонильной и алкоксикарбонильной группы; при условии, что R3 не обозначает атом водорода, R4 обозначает фенильную или тиенильную группу, которая необязательно может быть замещена одним или более заместителем, выбранным из: атомов галогена; низшей алкильной группы; и его фармацевтически приемлемые соли.
2. Соединение по п.1, в котором R3 обозначает: G-L1-(CRR’)n– где n является целым числом, равным от 0 до 3; R и R’ независимо выбраны из группы, включающей атом водорода и низшие алкильные группы; L1 обозначает соединительную группу, выбранную из группы, включающей непосредственно связь, -СО-, -О(СО)-, -O(СО)O- и -(СО)О-; и G выбран из группы, включающей атом водорода и низшую алкильную, циклоалкильную, фенильную, фениалкильную, пиридильную и гетероциклильную группы, где гетероциклильная группа представляет собой неароматическое С3-С10 карбоциклическое кольцо, в котором 1 или 2 атома углерода замещены на гетероатом, выбранный из N и О, где указанные группы могут быть необязательно замещены одним или более заместителем, выбранным из атомов галогена; низшей алкильной группы, которая необязательно может быть замещена одним или более заместителем, выбранным из атомов галогена; и алкоксигруппы, гидроксикарбонильной и алкоксикарбонильной группы.
3. Соединение по п.2, в котором R3 обозначает: G-L1-(CRR’)n– где n является целым числом, равным от 0 до 3; R и R’ независимо выбраны из группы, включающей атом водорода и метильные группы; L1 обозначает соединительную группу, выбранную из группы, включающей непосредственно связь, -СО-, -О(СО)-, -O(СО)O- и -(СО)О-; и G выбран из группы, включающей атом водорода и низшую алкильную, циклоалкильную, фенильную, фениалкильную, пиридильную и гетероциклильную группы, где гетероциклильная группа представляет собой неароматическое С3-С10 карбоциклическое кольцо, в котором 1 или 2 атома углерода замещены на гетероатом, выбранный из N и О, где указанные группы могут быть необязательно замещены одним или более атомом галогена.
4. Соединение по п.2 или 3, в котором R обозначает; G-L1-(CRR’)n– где n равно 0 или 1; R обозначает атом водорода; R’ обозначает атом водорода или метальную группу; L1 обозначает соединительную группу, выбранную из группы, включающей непосредственно связь, -O(СО)O- и -(СО)О-; и G выбран из группы, включающей низшую алкильную и циклоалкильную группы, где указанные группы могут быть необязательно замещены одним атомом галогена.
5. Соединение по п.1, в котором R4 обозначает фенильную группу.
6. Соединение по п.1, которое является одним из следующих: 4-(метоксикарбонил)бензил-1-этил-6-оксо-3-фенил-5-(хинолин-5-иламино)-1,6-дигидропиридазин-4-карбоксилат бензил-1-этил-6-оксо-3-фенил-5-(хинолин-5-иламино)-1,6-дигидропиридазин-4-карбоксилат 2-(бензилокси)-2-оксоэтил-1-этил-6-оксо-3-фенил-5-(хинолин-5-иламино)-1,6-дигидропиридазин-4-карбоксилат 2-этокси-2-оксоэтил-1-этил-6-оксо-3-фенил-5-(хинолин-5-иламино)-1,6-дигидропиридазин-4-карбоксилат 2-оксо-2-пирролидин-1-илэтил-1-этил-6-оксо-3-фенил-5-(хинолин-5-иламино)-1,6-дигидропиридазин-4-карбоксилат 3-амино-3-оксопропил-1-этил-6-оксо-3-фенил-5-(хинолин-5-иламино)-1,6-дигидропиридазин-4-карбоксилат 2-(диметиламино)этил-1-этил-6-оксо-3-фенил-5-(хинолин-5-иламино)-1,6-дигидропиридазин-4-карбоксилат 2-[(трет-бутоксикарбонил)амино]этил-1-этил-6-оксо-3-фенил-5- (хинолин-5-иламино)-1,6-дигидропиридазин-4-карбоксилат 2-(ацетилокси)этил-1-этил-6-оксо-3-фенил-5-(хинолин-5-иламино)-1,6-дигидропиридазин-4-карбоксилат 3-фторбензил-1-этил-6-оксо-3-фенил-5-(хинолин-5-иламино)-1,6-дигидропиридазин-4-карбоксилат [(2,2-диметилпропаноил)окси]метил-1-этил-6-оксо-3-фенил-5-(хинолин-5-иламино)-1,6-дигидропиридазин-4-карбоксилат 2-оксо-2-пиридин-4-илэтил-1-этил-6-оксо-3-фенил-5-(хинолин-5-иламино)-1,6-дигидропиридазин-4-карбоксилат 2-(диметиламино)-2-оксоэтил-1-этил-6-оксо-3-фенил-5-(хинолин-5-иламино)-1,6-дигидропиридазин-4-карбоксилат 2-аминоэтил-1-этил-6-оксо-3-фенил-5-(хинолин-5-иламино)-1,6-дигидропиридазин-4-карбоксилат этил-1-этил-6-оксо-3-фенил-5-(пиридин-3-иламино)-1,6-дигидропиридазин-4-карбоксилат 2-(бензилокси)-2-оксоэтил-1-этил-6-оксо-3-фенил-5-(пиридин-3-иламино)-1,6-дигидропиридазин-4-карбоксилат (бутирилокси)метил-1-этил-6-оксо-3-фенил-5-(пиридин-3-иламино)-1,6-дигидропиридазин-4-карбоксилат 3-оксо-1,3-дигидро-2-бензофуран-1-ил-1-этил-6-оксо-3-фенил-5-(пиридин-3-иламино)-1,6-дигидропиридазин-4-карбоксилат (ацетилокси)метил-1-этил-6-оксо-3-фенил-5-(пиридин-3-иламино)-1,6-дигидропиридазин-4-карбоксилат 1-(ацетилокси)этил-1-этил-6-оксо-3-фенил-5-(пиридин-3-иламино)-1,6-дигидропиридазин-4-карбоксилат 2-(диметиламино)-2-оксоэтил-1-этил-6-оксо-3-фенил-5-(пиридин-3-иламино)-1,6-дигидропиридазин-4-карбоксилат бензил-1-этил-6-оксо-3-фенил-5-(пиридин-3-иламино)-1,6-дигидропиридазин-4-карбоксилат [(2,2-диметилпропаноил)окси]метил-1-этил-6-оксо-3-фенил-5-(пиридин-3-иламино)- 1,6-дигидропиридазин-4-карбоксилат 1-(ацетилокси)-1-метилэтил-1-этил-6-оксо-3-фенил-5-(пиридин-3-иламино)-1,6-дигидропиридазин-4-карбоксилат этил-1-этил-5-[(4-метилпиридин-3-ил)амино]-6-оксо-3-фенил-1,6-дигидропиридазин-4-карбоксилат [(2,2-диметилпропаноил)окси]метил-1-этил-5-[(4-метилпиридин-3-ил)амино]-6-оксо-3-фенил-1,6-дигидропиридазин-4-карбоксилат 1-[(этоксикарбонил)окси]этил-1-этил-5-[(4-метилпиридин-3-ил)амино]-6-оксо-3-фенил-1,6-дигидропиридазин-4-карбоксилат 2-(бензилокси)-2-оксоэтил-1-этил-5-[(4-метилпиридин-3-ил)амино]-6-оксо-3-фенил-1,6-дигидропиридазин-4-карбоксилат 1-[(этоксикарбонил)окси]этил-1-этил-6-оксо-3-фенил-5-(пиридин-3-иламино)-1,6-дигидропиридазин-4-карбоксилат этил-1-этил-5-(изохинолин-4-иламино)-6-оксо-3-фенил-1,6-дигидропиридазин-4-карбоксилат [(2,2-диметилпропаноил)окси]метил-1-этил-5-(изохинолин-4-иламино)-6-оксо-3-фенил-1,6-дигидропиридазин-4-карбоксилат 1-(ацетилокси)этил-1-этил-5-(изохинолин-4-иламино)-6-оксо-3-фенил-1,6-дигидропиридазин-4-карбоксилат ({[1-этил-6-оксо-3-фенил-5-(пиридин-3-иламино)-1,6-дигидропиридазин-4-ил]карбонил}окси)уксусная кислота этил-1-этил-3-(3-метилфенил)-6-оксо-5-(пиридин-3-иламино)-1,6-дигидропиридазин-4-карбоксилат [(2,2-диметилпропаноил)окси]метил-1-этил-3-(3-метилфенил)-6-оксо-5-(пиридин-3-иламино)-1,6-дигидропиридазин-4-карбоксилат этил-1-этил-3-(3-фторфенил)-6-оксо-5-(пиридин-3-иламино)-1,6-дигидропиридазин-4-карбоксилат (бутирилокси)метил-1-этил-3-(3-фторфенил)-6-оксо-5-(пиридин-3-иламино)-1,6-дигидропиридазин-4-карбоксилат этил-1-этил-3-(4-фторфенил)-6-оксо-5-(пиридин-3-иламино)-1,6-дигидропиридазин-4-карбоксилат (бутирилокси)метил-1-этил-3-(4-фторфенил)-6-оксо-5-(пиридин-3-иламино)-1,6-дигидропиридазин-4-карбоксилат этил-5-[(2-хлорпиридин-3-ил)амино]-1-этил-6-оксо-3-фенил-1,6-дигидропиридазин-4-карбоксилат метил-1-этил-6-оксо-3-фенил-5-(пиридин-3-иламино)-1,6-дигидропиридазин-4-карбоксилат метил-1-этил-6-оксо-3-фенил-5-(хинолин-5-иламино)-1,6-дигидропиридазин-4-карбоксилат этил-1-этил-6-оксо-5-(пиридин-3-иламино)-3-(2-тиенил)-1,6-дигидропиридазин-4-карбоксилат 2-(ацетилокси)этил-1-этил-6-оксо-5-(пиридин-3-иламино)-3-(2-тиенил)-1,6-дигидропиридазин-4-карбоксилат 2-[(трет-бутоксикарбонил)амино]этил-1-этил-6-оксо-5-(пиридин-3-иламино)-3-(2-тиенил)-1,6-дигидропиридазин-4-карбоксилат 2-этокси-2-оксоэтил-1-этил-6-оксо-5-(пиридин-3-иламино)-3-(2-тиенил)-1,6-дигидропиридазин-4-карбоксилат 2-(бензилокси)-2-оксоэтил-1-этил-6-оксо-5-(пиридин-3-иламино)-3-(2-тиенил)-1,6-дигидропиридазин-4-карбоксилат бензил-1-этил-6-оксо-5-(пиридин-3-иламино)-3-(2-тиенил)-1,6-дигидропиридазин-4-карбоксилат этил-1-этил-5-(4-метилпиридин-3-иламино)-6-оксо-3-тиен-2-ил-1,6-дигидропиридазин-4-карбоксилат 2-(ацетилокси)этил-1-этил-5-[(4-метилпиридин-3-ил)амино]-6-оксо-3-(2-тиенил)-1,6-дигидропиридазин-4-карбоксилат 2-[(трет-бутоксикарбонил)амино]этил-1-этил-5-[(4-метилпиридин-3-ил)амино]-6-оксо-3-(2-тиенил)-1,6-дигидропиридазин-4-карбоксилат этил-1-этил-5-(изохинолин-4-иламино)-6-оксо-3-(2-тиенил)-1,6-дигидропиридазин-4-карбоксилат 2-(ацетилокси)этил-1-этил-5-(изохинолин-4-иламино)-6-оксо-3-(2-тиенил)-1,6-дигидропиридазин-4-карбоксилат 2-[(трет-бутоксикарбонил)амино]этил-1-этил-5-(изохинолин-4-иламино)-6-оксо-3-(2-тиенил)-1,6-дигидропиридазин-4-карбоксилат 2-этокси-2-оксоэтил-1-этил-5-(изохинолин-4-иламино)-6-оксо-3-(2-тиенил)-1,6-дигидропиридазин-4-карбоксилат 2-(бензилокси)-2-оксоэтил-1-этил-5-(изохинолин-4-иламино)-6-оксо-3-(2-тиенил)-1,6-дигидропиридазин-4-карбоксилат бензил-1-этил-5-(изохинолин-4-иламино)-6-оксо-3-(2-тиенил)-1,6-дигидропиридазин-4-карбоксилат этил-1-этил-5-(изохинолин-4-иламино)-6-оксо-3-(3-тиенил)-1,6-дигидропиридазин-4-карбоксилат 2-(ацетилокси)этил-1-этил-5-(изохинолин-4-иламино)-6-оксо-3-(3-тиенил)-1,6-дигидропиридазин-4-карбоксилат 2-[(трет-бутоксикарбонил)амино]этил-1-этил-5-(изохинолин-4-иламино)-6-оксо-3-(3-тиенил)-1,6-дигидропиридазин-4-карбоксилат 2-этокси-2-оксоэтил-1-этил-5-(изохинолин-4-иламино)-6-оксо-3-(3-тиенил)-1,6-дигидропиридазин-4-карбоксилат 2-(бензилокси)-2-оксоэтил-1-этил-5-(изохинолин-4-иламино)-6-оксо-3-(3-тиенил)-1,6-дигидропиридазин-4-карбоксилат 4-фторбензил-1-этил-5-(изохинолин-4-иламино)-6-оксо-3-(2-тиенил)-1,6-дигидропиридазин-4-карбоксилат 4-(метоксикарбонил)бензил-1-этил-5-(изохинолин-4-иламино)-6-оксо-3-(2-тиенил)-1,6-дигидропиридазин-4-карбоксилат этил-1-этил-3-(4-метилфенил)-6-оксо-5-(пиридин-3-иламино)-1,6-дигидропиридазин-4-карбоксилат этил-1-этил-5-(изохинолин-4-иламино)-3-(4-метилфенил)-6-оксо-1,6-дигидропиридазин-4-карбоксилат этил-1-этил-3-(4-метилфенил)-5-[(4-метилпиридин-3-ил)амино]-6-оксо-1,6-дигидропиридазин-4-карбоксилат [(2,2-диметилпропаноил)окси]метил-1-этил-3-(4-метилфенил)-6-оксо-5-(пиридин-3-иламино)-1,6-дигидропиридазин-4-карбоксилат [(2,2-диметилпропаноил)окси]метил-1-этил-5-(изохинолин-4-иламино)-3-(4-метилфенил)-6-оксо-1,6-дигидропиридазин-4-карбоксилат [(2,2-диметилпропаноил)окси]метил-1-этил-3-(4-метилфенил)-5-[(4-метилпиридин-3-ил)амино]-6-оксо-1,6-дигидропиридазин-4-карбоксилат 1-[(изопропоксикарбонил)окси]этил-1-этил-6-оксо-3-фенил-5-(пиридин-3-иламино)-1,6-дигидропиридазин-4-карбоксилат 1-[(изопропоксикарбонил)окси]этил-1-этил-5-(изохинолин-4-иламино)-6-оксо-3-фенил-1,6-дигидропиридазин-4-карбоксилат 1-[(изопропоксикарбонил)окси]этил-1-этил-5-[(4-метилпиридин-3-ил)амино]-6-оксо-3-фенил-1,6-дигидропиридазин-4-карбоксилат 1-{[(циклогексилокси)карбонил]окси} этил-1-этил-6-оксо-3-фенил-5-(пиридин-3-иламино)-1,6-дигидропиридазин-4-карбоксилат 1-{[(циклогексилокси)карбонил]окси} этил-1-этил-5-(изохинолин-4-иламино)-6-оксо-3-фенил-1,6-дигидропиридазин-4-карбоксилат 1-{[(циклогексилокси)карбонил]окси} этил-1-этил-5-[(4-метилпиридин-3-ил)амино]-6-оксо-3-фенил-1,6-дигидропиридазин-4-карбоксилат этил-1-этил-6-оксо-3-фенил-5-(тиено[2,3-с]пиридин-3-иламино)-1,6-дигидропиридазин-4-карбоксилат этил-1-этил-6-оксо-3-фенил-5-(тиено[2,3-b]пиридин-3-иламино)-1,6-дигидропиридазин-4-карбоксилат [(2,2-диметилпропаноил)окси]метил-1-этил-6-оксо-3-фенил-5-(тиено[2,3-b]пиридин-3-иламино)-1,6-дигидропиридазин-4-карбоксилат 7-этокси-7-оксогептил-1-этил-5-(изохинолин-4-иламино)-6-оксо-3-(3-тиенил)-1,6-дигидропиридазин-4-карбоксилат 6-этокси-6-оксогексил-1-этил-5-(изохинолин-4-иламино)-6-оксо-3-(3-тиенил)-1,6-дигидропиридазин-4-карбоксилат 3-амино-3-оксопропил-1-этил-5-(изохинолин-4-иламино)-6-оксо-3-(3-тиенил)-1,6-дигидропиридазин-4-карбоксилат 2-этокси-2-оксоэтил-1-этил-5-[(4-метилпиридин-3-ил)амино]-6-оксо-3-(2-тиенил)-1,6-дигидропиридазин-4-карбоксилат 2-(бензилокси)-2-оксоэтил-1-этил-5-[(4-метилпиридин-3-ил)амино]-6-оксо-3-(2-тиенил)-1,6-дигидропиридазин-4-карбоксилат 1-{[(1-этилпропокси)карбонил]окси}этил-1-этил-6-оксо-3-фенил- 5-(пиридин-3-иламино)-1,6-дигидропиридазин-4-карбоксилат 1-{[(1-этилпропокси)карбонил]окси}этил-1-этил-5-[(4-метилпиридин-3-ил)амино]-6-оксо-3-фенил-1,6-дигидропиридазин-4-карбоксилат 1-{[(1-этилпропокси)карбонил]окси}этил-1-этил-5-(изохинолин-4-иламино)-6-оксо-3-фенил-1,6-дигидропиридазин-4-карбоксилат (бутирилокси)метил-1-этил-5-(изохинолин-4-иламино)-6-оксо-3-фенил-1,6-дигидропиридазин-4-карбоксилат (ацетилокси)метил-1-этил-5-[(4-метилпиридин-3-ил)амино]-6-оксо-3-фенил-1,6-дигидропиридазин-4-карбоксилат бензил-1-этил-5-[(4-метилпиридин-3-ил)амино]-6-оксо-3-(2-тиенил)-1,6-дигидропиридазин-4-карбоксилат 4-(метоксикарбонил)бензил-1-этил-5-[(4-метилпиридин-3-ил)амино]-6-оксо-3-(2-тиенил)-1,6-дигидропиридазин-4-карбоксилат (изобутирилокси)метил-1-этил-5-(изохинолин-4-иламино)-6-оксо-3-фенил-1,6-дигидропиридазин-4-карбоксилат (изобутирилокси)метил-1-этил-6-оксо-3-фенил-5-(пиридин-3-иламино)-1,6-дигидропиридазин-4-карбоксилат 4-фторбензил-1-этил-6-оксо-5-(пиридин-3-иламино)-3-(2-тиенил)-1,6-дигидропиридазин-4-карбоксилат 4-(метоксикарбонил)бензил-1-этил-6-оксо-5-(пиридин-3-иламино)-3-(2-тиенил)-1,6-дигидропиридазин-4-карбоксилат [(изопропоксикарбонил)окси]метил-1-этил-6-оксо-3-фенил-5-(пиридин-3-иламино)-1,6-дигидропиридазин-4-карбоксилат 7-этокси-7-оксогептил-1-этил-6-оксо-5-(пиридин-3-иламино)-3-(2-тиенил)-1,6-дигидропиридазин-4-карбоксилат 6-этокси-6-оксогексил-1-этил-6-оксо-5-(пиридин-3-иламино)-3-(2-тиенил)-1,6-дигидропиридазин-4-карбоксилат 4-фторбензил-1-этил-5-[(4-метилпиридин-3-ил)амино]-6-оксо-3-(2-тиенил)-1,6-дигидропиридазин-4-карбоксилат (5-метил-2-оксо-1,3-диоксол-4-ил)метил-1-этил-6-оксо-3-фенил-5-(пиридин-3- иламино)-1,6-дигидропиридазин-4-карбоксилат этил-1-этил-5-[(4-метилпиридин-3-ил)амино]-6-оксо-3-(3-тиенил)-1,6-дигидропиридазин-4-карбоксилат хлорметил-1-этил-6-оксо-3-фенил-5-(пиридин-3-иламино)-1,6-дигидропиридазин-4-карбоксилат {[(циклогексилокси)карбонил]окси}метил-1-этил-5-[(4-метилпиридин-3-ил)амино]-6-оксо-3-фенил-1,6-дигидропиридазин-4-карбоксилат (5-метил-2-оксо-1,3-диоксол-4-ил)метил-1-этил-5-[(4-метилпиридин-3-ил)амино]-6-оксо-3-фенил-1,6-дигидропиридазин-4-карбоксилат [(2,2-диметилбутаноил)окси]метил-1-этил-6-оксо-3-фенил-5-(пиридин-3-иламино)-1,6-дигидропиридазин-4-карбоксилат ({N-[(бензилокси)карбонил]-L-валил}окси)метил-1-этил-6-оксо-3-фенил-5-(пиридин-3-иламино)-1,6-дигидропиридазин-4-карбоксилат (5-метил-2-оксо-1,3-диоксол-4-ил)метил-1-этил-5-(изохинолин-4-иламино)-6-оксо-3-фенил-1,6-дигидропиридазин-4-карбоксилат этил-1-этил-6-оксо-5-(пиридин-3-иламино)-3-(3-тиенил)-1,6-дигидропиридазин-4-карбоксилат {[(циклогексилокси)карбонил]окси}метил-1-этил-5-(изохинолин-4-иламино)-6-оксо-3-фенил-1,6-дигидропиридазин-4-карбоксилат {[(циклогексилокси)карбонил] окси} метил-1-этил-6-оксо-3-фенил-5-(пиридин-3-иламино)-1,6-дигидропиридазин-4-карбоксилат 2-(ацетилокси)этил-1-этил-5-[(4-метилпиридин-3-ил)амино]-6-оксо-3-(3-тиенил)-1,6-дигидропиридазин-4-карбоксилат 2-[(трет-бутоксикарбонил)амино]этил-1-этил-5-[(4-метилпиридин-3-ил)амино]-6-оксо-3-(3-тиенил)-1,6-дигидропиридазин-4-карбоксилат {[(1-этилпропокси)карбонил] окси} метил-1-этил-6-оксо-3-фенил-5-(пиридин-3-иламино)-1,6-дигидропиридазин-4-карбоксилат (изобутирилокси)метил-1-этил-5-[(4-метилпиридин-3-ил)амино]-6-оксо-3-фенил-1,6-дигидропиридазин-4-карбоксилат 2-(ацетилокси)этил-1-этил-6-оксо-5-(пиридин-3-иламино)-3-(3-тиенил)-1,6-дигидропиридазин-4-карбоксилат 2-[(трет-бутоксикарбонил)амино]этил-1-этил-6-оксо-5-(пиридин-3-иламино)-3-(3-тиенил)-1,6-дигидропиридазин-4-карбоксилат 2-этокси-2-оксоэтил-1-этил-6-оксо-5-(пиридин-3-иламино)-3-(3-тиенил)-1,6-дигидропиридазин-4-карбоксилат [(изопропоксикарбонил)окси]метил-1-этил-5-(изохинолин-4-иламино)-6-оксо-3-фенил-1,6-дигидропиридазин-4-карбоксилат 2-(бензилокси)-2-оксоэтил-1-этил-6-оксо-5-(пиридин-3-иламино)-3-(3-тиенил)-1,6-дигидропиридазин-4-карбоксилат 2-этокси-2-оксоэтил-1-этил-5- [(4-метилпиридин-3-ил)амино]-6-оксо-3-(3-тиенил)-1,6-дигидропиридазин-4-карбоксилат 2-(бензилокси)-2-оксоэтил-1-этил-5-[(4-метилпиридин-3-ил)амино]-6-оксо-3-(3-тиенил)-1,6-дигидропиридазин-4-карбоксилат {[(1-этилпропокси)карбонил]окси} метил- 1-этил-5-(изохинолин-4-иламино)-6-оксо-3-фенил-1,6-дигидропиридазин-4-карбоксилат бензил-1-этил-5-[(4-метилпиридин-3-ил)амино]-6-оксо-3-(3-тиенил)-1,6-дигидропиридазин-4-карбоксилат бензил-1-этил-6-оксо-5-(пиридин-3-иламино)-3-(3-тиенил)-1,6-дигидропиридазин-4-карбоксилат [(изопропоксикарбонил)окси]метил-1-этил-5-[(4-метилпиридин-3-ил)амино]-6-оксо-3-фенил-1,6-дигидропиридазин-4-карбоксилат 6-этокси-6-оксогексил-1-этил-5-(изохинолин-4-иламино)-6-оксо-3-(2-тиенил)-1,6-дигидропиридазин-4-карбоксилат 7-этокси-7-оксогептил-1-этил-5-(изохинолин-4-иламино)-6-оксо-3-(2-тиенил)-1,6-дигидропиридазин-4-карбоксилат ({[1-этил-6-оксо-3-фенил-5-(пиридин-3-иламино)-1,6-дигидропиридазин-4-ил]карбонил} окси)метил-N-(трет-бутоксикарбонил)-L-лейцинат 2-метокси-2-оксоэтил-1-этил-5-(изохинолин-4-иламино)-6-оксо-3-фенил-1,6-дигидропиридазин-4-карбоксилат 4-фторбензил-1-этил-6-оксо-5-(пиридин-3-иламино)-3-(3-тиенил)-1,6-дигидропиридазин-4-карбоксилат 4-(метоксикарбонил)бензил-1-этил-6-оксо-5-(пиридин-3-иламино)-3-(3-тиенил)-1,6-дигидропиридазин-4-карбоксилат (бутирилокси)метил-1-этил-5-[(4-метилпиридин-3-ил)амино]-6-оксо-3-фенил-1,6-дигидропиридазин-4-карбоксилат 6-этокси-6-оксогексил-1-этил-5-[(4-метилпиридин-3-ил)амино]-6-оксо-3-(2-тиенил)-1,6-дигидропиридазин-4-карбоксилат {[(1-этилпропокси)карбонил]окси}метил-1-этил-5-[(4-метилпиридин-3-ил)амино]-6-оксо-3-фенил-1,6-дигидропиридазин-4-карбоксилат 7-этокси-7-оксогептил-1-этил-5-[(4-метилпиридин-3-ил)амино]-6-оксо-3-(2-тиенил)-1,6-дигидропиридазин-4-карбоксилат ({[1-этил-6-оксо-3-фенил-5-(пиридин-3-иламино)-1,6-дигидропиридазин-4-ил]карбонил} окси)метил-L-лейцинат бензил-1-этил-5-(изохинолин-4-иламино)-6-оксо-3-(3-тиенил)-1,6-дигидропиридазин-4-карбоксилат 3-амино-3-оксопропил-1-этил-5-[(4-метилпиридин-3-ил)амино]-6-оксо-3-(3-тиенил)-1,6-дигидропиридазин-4-карбоксилат 4-фторбензил-1-этил-5-[(4-метилпиридин-3-ил)амино]-6-оксо-3-(3-тиенил)-1,6-дигидропиридазин-4-карбоксилат 4-(метоксикарбонил)бензил-1-этил-5-[(4-метилпиридин-3-ил)амино]-6-оксо-3-(3-тиенил)-1,6-дигидропиридазин-4-карбоксилат [(2-метилбутаноил)окси]метил-1-этил-6-оксо-3-фенил-5-(пиридин-3-иламино)-1,6-дигидропиридазин-4-карбоксилат 4-(метоксикарбонил)бензил-1-этил-5-(изохинолин-4-иламино)-6-оксо-3-(3-тиенил)-1,6-дигидропиридазин-4-карбоксилат 7-этокси-7-оксогептил-1-этил-5-[(4-метилпиридин-3-ил)амино]-6-оксо-3-(3-тиенил)-1,6-дигидропиридазин-4-карбоксилат 7-этокси-7-оксогептил-1-этил-6-оксо-5-(пиридин-3-иламино)-3-(3-тиенил)-1,6-дигидропиридазин-4-карбоксилат 4-фторбензил-1-этил-5-(изохинолин-4-иламино)-6-оксо-3-(3-тиенил)-1,6-дигидропиридазин-4-карбоксилат 6-этокси-6-оксогексил-1-этил-5-[(4-метилпиридин-3-ил)амино]-6-оксо-3-(3-тиенил)-1,6-дигидропиридазин-4-карбоксилат 6-этокси-6-оксогексил-1-этил-6-оксо-5-(пиридин-3-иламино)-3-(3-тиенил)-1,6-дигидропиридазин-4-карбоксилат 1-{[(циклогексилокси)карбонил]окси} этил-1-этил-5-(1,7-нафтиридин-5-иламино)-6-оксо-3-фенил-1,6-дигидропиридазин-4-карбоксилат бензил-1-этил-6-оксо-3-пиридин-4-ил-5-(пиридин-3-иламино)-1,6-дигидропиридазин-4-карбоксилат ({[1-этил-6-оксо-3-фенил-5-(пиридин-3-иламино)-1,6-дигидропиридазин-4-ил]карбонил} окси)метилморфолин-4-карбоксилат {[(метиламино)карбонил]окси}метил-1-этил-6-оксо-3-фенил-5-(пиридин-3-иламино)-1,6-дигидропиридазин-4-карбоксилат {[(диметиламино)карбонил]окси}метил-1-этил-6-оксо-3-фенил-5-(пиридин-3- иламино)-1,6-дигидропиридазин-4-карбоксилат (ацетилокси)метил-1-этил-5-(изохинолин-4-иламино)-6-оксо-3-фенил-1,6-дигидропиридазин-4-карбоксилат [(дибутоксифосфорил)окси]метил-1-этил-6-оксо-3-фенил-5-(пиридин-3-иламино)-1,6-дигидропиридазин-4-карбоксилат (ацетилокси)метил-1-этил-6-оксо-5-(пиридин-3-иламино)-3-(2-тиенил)-1,6-дигидропиридазин-4-карбоксилат [(изопропоксикарбонил)окси]метил-1-этил-6-оксо-5-(пиридин-3-иламино)-3-(2-тиенил)-1,6-дигидропиридазин-4-карбоксилат {[(циклогексилокси)карбонил]окси}метил-1-этил-6-оксо-5-(пиридин-3-иламино)-3-(2-тиенил)-1,6-дигидропиридазин-4-карбоксилат (ацетилокси)метил-1-этил-5-[(4-метилпиридин-3-ил)амино]-6-оксо-3-(2-тиенил)-1,6-дигидропиридазин-4-карбоксилат [(изопропоксикарбонил)окси]метил-1-этил-5-[(4-метилпиридин-3-ил)амино]-6-оксо-3-(2-тиенил)-1,6-дигидропиридазин-4-карбоксилат {[(циклогексилокси)карбонил]окси}метил-1-этил-5-[(4-метилпиридин-3-ил)амино]-6-оксо-3-(2-тиенил)-1,6-дигидропиридазин-4-карбоксилат (ацетилокси)метил-1-этил-5-(изохинолин-4-иламино)-6-оксо-3-(2-тиенил)-1,6-дигидропиридазин-4-карбоксилат [(изопропоксикарбонил)окси]метил-1-этил-5-(изохинолин-4-иламино)-6-оксо-3-(2-тиенил)-1,6-дигидропиридазин-4-карбоксилат {[(циклогексилокси)карбонил] окси} метил-1-этил-5-(изохинолин-4-иламино)-6-оксо-3-(2-тиенил)-1,6-дигидропиридазин-4-карбоксилат {[(циклогексилокси)карбонил]окси}метил-1-этил-6-оксо-5-(пиридин-3-иламино)-3-(3-тиенил)-1,6-дигидропиридазин-4-карбоксилат 1-{[(циклогексилокси)карбонил]окси}этил-1-этил-5- [(4-метилпиридин-3-ил)амино]-6-оксо-3-фенил-1,6-дигидропиридазин-4-карбоксилат-энантиомер1 1-{[(циклогексилокси)карбонил]окси}этил-1-этил-5-[(4-метилпиридин-3-ил)амино]-6-оксо-3-фенил-1,6-дигидропиридазин-4-карбоксилат-энантиомер2 хлорметил-1-этил-5-[(4-метилпиридин-3-ил)амино]-6-оксо-3-фенил-1,6-дигидропиридазин-4-карбоксилат (пропионилокси)метил-1-этил-5-[(4-метилпиридин-3-ил)амино]-6-оксо-3-фенил-1,6-дигидропиридазин-4-карбоксилат {[(1-этилпропокси)карбонил]окси}метил-1-этил-3-(4-фторфенил)-6-оксо-5-(пиридин-3-иламино)-1,6-дигидропиридазин-4-карбоксилат {[(циклогексилокси)карбонил]окси}метил-1-этил-3-(4-фторфенил)-6-оксо-5-(пиридин-3-иламино)-1,6-дигидропиридазин-4-карбоксилат хлорметил-1-этил-5-(изохинолин-4-иламино)-6-оксо-3-фенил-1,6-дигидропиридазин-4-карбоксилат (пропионилокси)метил-1-этил-6-оксо-3-фенил-5-(пиридин-3-иламино)-1,6-дигидропиридазин-4-карбоксилат (пропионилокси)метил-1-этил-5-(изохинолин-4-иламино)-6-оксо-3-фенил-1,6-дигидропиридазин-4-карбоксилат (пентаноилокси)метил-1-этил-6-оксо-3-фенил-5-(пиридин-3-иламино)-1,6-дигидропиридазин-4-карбоксилат 2-оксо-1,3-диоксолан-4-ил-1-этил-6-оксо-3-фенил-5-(пиридин-3-иламино)-1,6-дигидропиридазин-4-карбоксилат фторметил-1-этил-6-оксо-3-фенил-5-(пиридин-3-иламино)-1,6-дигидропиридазин-4-карбоксилат 1-{[(циклогексилокси)карбонил]окси}этил-1-этил-6-оксо-3-фенил-5-(пиридин-3- иламино)-1,6-дигидропиридазин-4-карбоксилат-энантиомер1 1-{[(циклогексилокси)карбонил]окси}этил-1-этил-6-оксо-3-фенил-5-(пиридин-3- иламино)-1,6-дигидропиридазин-4-карбоксилат-энантиомер 2 и их фармацевтически приемлемые соли.
7. Фармацевтическая композиция, предназначенная для лечения или предупреждения патологического состояния или заболевания, протекание которого облегчается путем ингибирования фосфодиэстеразы 4, включающая соединение по любому из пп.1-6 в смеси с фармацевтически приемлемым разбавителем или носителем.
8. Применение соединения по любому из пп.1-6 для изготовления лекарственного средства, предназначенного для лечения или предупреждения патологического состояния или заболевания, протекание которого облегчается путем ингибирования фосфодиэстеразы 4.
9. Применение по п.8, в котором лекарственное средство предназначено для применения при лечении или предупреждении нарушения, которым является астма, хроническое обструктивное заболевание легких, ревматоидный артрит, атопический дерматит, псориаз или синдром раздраженной толстой кишки.
10. Способ лечения субъекта, страдающего от патологического состояния или заболевания, протекание которого облегчается путем ингибирования фосфодиэстеразы 4, включающий введение указанному субъекту эффективного количества соединения по любому из пп.1-6.
11. Способ по п.10, в котором патологическим состоянием или заболеванием является астма, хроническое обструктивное заболевание легких, ревматоидный артрит, атопический дерматит, псориаз или синдром раздраженной толстой кишки.
РИСУНКИ
|
|