Патент на изобретение №2386619
|
||||||||||||||||||||||||||
(54) СПОСОБ ПОЛУЧЕНИЯ 5-ГИДРОКСИ-4-ТИОМЕТИЛПИРАЗОЛЬНОГО СОЕДИНЕНИЯ
(57) Реферат:
Изобретение относится к способу получения 5-гидрокси-4-тиометилпиразольного соединения, согласно которому пиразольное соединение, представленное общей формулой (1), вводят в реакцию с сернистым соединением, представленным общей формулой (2), в присутствии основания и формальдегида, в результате чего получают 5-гидрокси-4-тиометилпиразольное соединение, представленное общей формулой (3), где радикалы и символы в указанных формулах имеют значения, определенные в формуле изобретения. Технический результат – предложенный способ позволяет получать целевое 5-гидрокси-4-тиометилпиразольное соединение легко и с высоким выходом в мягких условиях в одну стадию без использования специального оборудования, дорогостоящего катализатора или переходного металла и т.п. При этом процесс может проводиться практически без образования вредных отходов от катализатора и т.д., благодаря этому этот способ является экологически безопасным и применим в промышленности. 5 з.п. ф-лы.
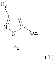
Область техники, к которой относится изобретение Настоящее изобретение относится к способу получения 5-гидрокси-4-тиометалпиразольного соединения, которое используется в качестве промежуточного продукта в производстве фармацевтических и сельскохозяйственных химических продуктов. Уровень техники Полученное в настоящем изобретении 5-гидрокси-4-тиометилпиразольное соединение используется в качестве промежуточного продукта в производстве фармацевтических и сельскохозяйственных химических продуктов. Для получения 5-гидрокси-4-тиометилпиразольного соединения известен способ, в котором 4-хлорметилпиразольное соединение реагирует с сернистым соединением (см. Патентный документ 1). 4-хлорметилпиразольное соединение, используемое в качестве исходного материала для этой реакции, может быть получено, например, синтезом пиразольного соединения, имеющего метильную группу в положении 4, с помощью реакции циклизации соответствующих сложных Что же касается способа получения 4-хлорметалпиразола в качестве исходного материала в описанном выше способе, известен также способ прямого хлорметилирования пиразольных соединений, не замещенных в положении 4 (см. Непатентный документ 1). Однако этот способ проблематичен и трудно выполним в качестве способа промышленного производства, поскольку в процессе реакции образуется побочный продукт – бис(хлорметиловый) эфир, представляющий собой канцерогенное вещество. К тому же реакция прямого тиометилирования пиразольных соединения не известна. Патентный документ 1: Международная патентная публикация WO 2004/013106. Непатентный документ 1: Journal of Chemical Society, pp 1205-1208 (1955). Раскрытие изобретения Возникла потребность в способе, в котором были бы устранены названные недостатки традиционных способов и с помощью которого можно было бы легко и просто получать 5-гидрокси-4-тиометилпиразольное соединение с высоким выходом. Учитывая эту потребность, авторы настоящего изобретения предприняли интенсивные исследования способа получения 5-гидрокси-4-тиометилпиразольного соединения и в результате этого неожиданным образом обнаружили, что, когда 5-гидроксипиразольное соединение приведенной ниже формулы (1) вводится в реакцию с сернистым соединением приведенной ниже формулы (2) в присутствии основания и формальдегида, образуется 5-гидрокси-4-тиометилпиразольное соединение приведенной ниже формулы (3). Настоящее изобретение было выполнено на основе этого открытия. Согласно способу настоящего изобретения 5-гидрокси-4-тиометилпиразольное соединение, представленное формулой (3), может быть получено из 5-гидроксипиразольного соединения, представленного формулой (1), с высоким выходом в одну стадию с помощью простого метода в мягких условиях без использования специального реакционного оборудования или дорогостоящего катализатора или переходного металла. В способе настоящего изобретения практически не образуются вредные отходы от катализатора или переходного металла, и благодаря этому способ является экологически безопасным и характеризуется высокой степенью промышленной применимости. Кроме того, согласно воплощению с использованием в способе настоящего изобретения в качестве растворителя воды предлагается еще более экологически безопасный способ, характеризующийся еще более высокой степенью промышленной применимости. Осуществление изобретения Настоящее изобретение включает, в качестве примера, следующие воплощения [1]-[6]. [1] Способ получения 5-гидрокси-4-тиометилпиразольного соединения, включающий реакцию пиразола, представленного формулой [1]:
где R1 обозначает атом водорода, алкильную группу, ароматическую углеводородную группу, которая может иметь заместитель, или гетероциклическую группу, которая может иметь заместитель, и R2 обозначает электроноакцепторную группу с сернистым соединением, представленным формулой [2]:
где X обозначает атом водорода или металла, R3 обозначает алкильную группу, ароматическую углеводородную группу, которая может иметь заместитель, или гетероциклическую группу, которая может иметь заместитель, и n равно 0 или 2, в присутствии основания и формальдегида, в результате чего получают 5-гидрокси-4-тиометилпиразольное соединение, представленное формулой [3]:
где R1, R2, R3 и n имеют те же значения, что и выше. [2] Способ получения 5-гидрокси-4-тиометилпиразольного соединения, включающий реакцию пиразола, как описано в [1], где n равно 0. [3] Способ получения 5-гидрокси-4-тиометилпиразольного соединения, включающий реакцию пиразола, как описано в [1], где n равно 2. [4] Способ получения 5-гидрокси-4-тиометилпиразольного соединения, включающий реакцию пиразола, как описано в любом из [1]-[3], где электроноакцепторной группой, представленной R2, является трифторметильная группа. [5] Способ получения 5-гидрокси-4-тиометилпиразольного соединения, включающий реакцию пиразола, как описано в любом из [1]-[3], где электроноакцепторной группой, представленной R2, является циановая группа. [6] Способ получения 5-гидрокси-4-тиометилпиразольного соединения, включающий реакцию пиразола, как описано в любом из [1]-[3], где электроноакцепторной группой, представленной R2, является алкоксикарбоксильная группа, карбоксильная группа или их соли с металлами. Наилучший вариант осуществления изобретения Ниже настоящее изобретение описано в деталях. В последующем тексте, если не оговорено особо, «части» и «%», обозначающие количественные отношения, основаны на массе. Способ получения 5-гидрокси-4-тиометилпиразольного соединения Настоящее изобретение относится к способу получения 5-гидрокси-4-тиометилпиразольного соединения, представленного формулой (3), включающему реакцию 5-гидроксипиразольного соединения, представленного формулой (1), с сернистым соединением, представленным формулой (2), в присутствии основания и формальдегида. Изомер 5-Гидроксипиразольное соединение, представленное формулой (1), используемое в качестве исходного материала в настоящем изобретении, и 5-гидрокси-4-тиометилпиразольное соединение, представленное формулой (3), являющееся продуктом, могут быть представлены в форме кето-енольных таутомеров. В настоящем изобретении соединение исходного материала и продукт представлены структурами, основанными на енольной форме как в формулах (1) и (3), но на практике соотношение компонентов кето-енольных таутомеров иногда меняется в зависимости, например, от растворителя, используемого для растворения соединения, но даже и в этом случае исходный материал или продукт в способе настоящего изобретения включают оба изомера кето-енольной формы. 5-Гидроксипиразольное соединение Ниже описывается 5-гидроксипиразольное соединение, представленное формулой (1), используемое в настоящем изобретении в качестве исходного материала. Способ получения 5-гидроксипиразольного соединения, представленного формулой (1), особенно не ограничен. Иными словами, может быть использован любой способ, приведенный в следующих примерах, или же также любой другой способ. Примеры метода синтеза В отношении метода синтеза 5-гидроксипиразольного соединения можно упомянуть в качестве примера Hiroshi Yamanaka et al., Hetero-Kan Kagobotsu no Kagaku (Химия гетероциклических соединений). Глава 5, Kodansha Scientific (1988) и J.A.Joule and K.Mills, Handbook of Heterocyclic Chemistry (Руководство по гетероциклическим соединениям). 2-е издание. Глава 4.3.2.3, Pergamon (2000). Например, способ проведения реакции Аналогичным образом, способ проведения реакции диэфира оксалоуксусной кислоты с гидразиновым соединением, в результате чего получают 3-(алкоксикарбонил)-5-гидроксипиразольное соединение, и способ превращения алкоксикарбонильной группы в полученном соединении в циановую группу подробно описаны в Kokai (публикация заявки по которой не проводилась) Аналогичным образом, способ получения 3-циано-5-гидроксипиразольного соединения реакцией Заместитель R1 Для формулы (1), представляющей 5-гидроксипиразольное соединение, которое является исходным соединением в способе настоящего изобретения, примеры заместителя, обозначаемого символом R1 в формуле (1), включают следующие: (1) атом водорода; (2) линейная или разветвленная C1-С6-алкильная группа с числом атомов углерода от 1 до 6 (далее, что касается числа атомов углерода, например, когда число атомов углерода составляет от 1 до 6, будет просто использоваться обозначение «С1-С6»), такая как метильная группа, этильная группа, н-пропильная группа, изопропильная группа, н-бутильная группа, втор-бутильная группа, трет-бутильная группа, н-пентильная группа и н-гексильная группа; (3) ароматическая углеводородная группа, моноциклическая или с конденсированными кольцами, с числом образующих кольцо атомов от 6 до 14, преимущественно от 6 до 10, такая как фенильная группа или нафтильная группа; причем ароматическая углеводородная группа может иметь один или более заместителей, таких как группы, приведенные ниже в (3.1)-(3.21): (3.1) атом галогена, такого как бром, хлор, фтор и йод, (3.2) линейная или разветвленная C1-С6-алкильная группа, такая как метильная группа, этильная группа, н-пропильная группа, изопропильная группа, н-бутильная группа, втор-бутильная группа, трет-бутильная группа, н-пентильная группа и н-гексильная группа, (3.3) гидроксильная группа, (3.4) линейная или разветвленная С1-С6-алкокси-группа, такая как метокси-группа, этокси-группа, н-пропокси-группа и изопропокси-группа, (3.5) линейная или разветвленная С1-С6-гидроксиалкильная группа, такая как гидроксиметильная группа и 1-гидроксиэтильная группа, (3.6) линейная или разветвленная (С1-С6-алкокси)-(С1-С6-алкил) группа, такая как метоксиметильная группа, 1-метоксиэтильная группа и 1-этоксиэтильная группа, (3.7) линейная или разветвленная С1-С6-галогеналкильная группа, такая как фторметильная группа, дифторметильная группа и трифторметильная группа, (3.8) карбоксильная группа, (3.9) соль карбоксильной группы с металлом, представляемая солью щелочного металла, такой как натриевая соль, калиевая соль, литиевая соль, и солью щелочноземельного металла, такой как кальциевая соль, бариевая соль и магниевая соль, (3.10) линейная или разветвленная (С1-C6-алкокси)карбонильная группа, такая как метоксикарбонильная группа и этоксикарбонильная группа, (3.11) арилкарбонильная группа с числом образующих кольцо атомов от 6 до 14, преимущественно от 6 до 10, такая как бензоильная группа и нафтоильная группа, (3.12) гетероарилкарбонильная группа, моноциклическая или с конденсированными кольцами, имеющая от 1 до 4 гетероатомов, выбранными из группы, в которую входят атом азота, атом кислорода и атом серы, с числом образующих кольцо атомов от 5 до 14, преимущественно от 5 до 10, такая как пиридилкарбонильная группа, тиенилкарбонильная группа и фурилкарбонильная группа, (3.13) нитрогруппа, (3.14) аминогруппа, (3.15) линейная или разветвленная моно- или ди(С1-С6-алкил)аминогруппа, такая как метиламиногруппа, диметиламиногруппа, этиламиногруппа и диэтиламиногруппа, (3.16) линейная или разветвленная (С1-С6-алкил)карбониламиногруппа, такая как ацетиламиногруппа, пропиониламиногруппа и бутириламиногруппа, (3.17) линейная или разветвленная гидроксикарбонил-(С1-С6-алкил)группа, такая как гидроксикарбонилметильная группа и 1-гидроксикарбонилэтильная группа, (3.18) линейная или разветвленная (С1-С6-алкокси)карбонил-(С1-С6-алкил) группа, такая как метоксикарбонилметильная группа и 1-этоксикарбонилметильная группа, (3.19) линейная или разветвленная аминокарбонил-(С1-С6-алкил) группа, такая как аминокарбонил(С1-С6-алкил) группа такая как аминокарбонилметильная группа и 1-аминокарбонилэтильная группа, (3.20) линейная или разветвленная (С1-C6-алкил)аминокарбонил-(С1-С6-алкил) группа, такая как метиламинокарбонилметильная группа, 1-метиламинокарбонилэтильная группа и 1-этиламинокарбонилэтильная группа и (3.21) цианогруппа; (4) ароматическая гетероциклическая группа, моноциклическая или с конденсированными кольцами, имеющая от 1 до 4 гетероатомов, которые выбраны из группы, в которую входят атом азота, атом кислорода и атом серы, с числом образующих кольцо атомов от 5 до 14, преимущественно от 5 до 10, которую представляют, например, фурильная группа, бензофурильная группа, пиридильная группа, тиенильная группа, бензотиенильная группа, оксазолильная группа, бензоксазолильная группа, тиазолильная группа, бензотиазолильная группа, изооксазолильная группа, пиразильная группа, пиримидинильная группа, индолильная группа, хинолинильная группа, пиразолильная группа, имидазолильная группа, бензимидазолильная группа, триазолильная группа и триазинильная группа; причем ароматическая гетероциклическая группа может иметь один или более заместителей, таких как группы, приведенные ниже в (4.1)-(4.19): (4.1) линейная или разветвленная С1-С6-алкильная группа, такая как метильная группа, этильная группа, н-пропильная группа, изопропильная группа, н-бутильная группа, втор-бутильная группа, трет-бутильная группа, н-пентильная группа и н-гексильная группа, (4.2) гидроксильная группа, (4.3) линейная или разветвленная С1-С6-алкокси-группа, такая как метокси-группа, этокси-группа, н-пропокси-группа и изопропокси-группа, (4.4) линейная или разветвленная С1-С6-гидроксиалкильная группа, такая как гидроксиметильная группа и 1-гидроксиэтильная группа, (4.5) линейная или разветвленная (С1-С6-алкокси)-(С1-С6-алкил) группа, такая как метоксиметильная группа, метоксиэтильная группа и этоксиэтильная группа, (4.6) линейная или разветвленная С1-С6-галогеналкильная группа, такая как фторметильная группа, дифторметильная группа и трифторметильная группа, (4.7) карбоксильная группа, (4.8) соль карбоксильной группы с металлом, представляемая солью щелочного металла, такой как натриевая соль, калиевая соль, литиевая соль, и солью щелочноземельного металла, такой как кальциевая соль, бариевая соль и магниевая соль, (4.9) линейная или разветвленная (С1-С6-алкокси)карбонильная группа, такая как метоксикарбонильная группа и этоксикарбонильная группа, (4.10) атом галогена, такой как бром, хлор, фтор и йод, (4.11) нитрогруппа, (4.12) аминогруппа, (4.13) линейная или разветвленная моно- или ди(С1-С6-алкил)аминогруппа, такая как метиламиногруппа, диметиламиногруппа, этиламиногруппа и диэтиламиногруппа, (4.14) линейная или разветвленная (С1-С6-алкил)карбониламиногруппа, такая как ацетиламиногруппа, пропиониламиногруппа и бутириламиногруппа, (4.15) цианогруппа, (4.16) формильная группа, (4.17) линейная или разветвленная (С1-С6-алкил)карбонильная группа, такая как метилкарбонильная группа и этилкарбонильная группа, (4.18) арилкарбонильная группа с числом образующих кольцо атомов от 6 до 14, преимущественно от 6 до 10, такая как бензоильная группа и нафтоильная группа, и (4.19) гетероарилкарбонильная группа, моноциклическая или с конденсированными кольцами, имеющая от 1 до 4 гетероатомов, которые выбраны из группы, в которую входят атом азота, атом кислорода и атом серы, с числом образующих кольцо атомов от 5 до 14, преимущественно от 5 до 10, такая как пиридилкарбонильная группа, тиенилкарбонильная группа и фурилкарбонильная группа, (5) неароматическая гетероциклическая группа, моноциклическая или с конденсированными кольцами, имеющая от 1 до 4 гетероатомов, которые выбраны из группы, в которую входят атом азота, атом кислорода и атом серы, с числом образующих кольцо атомов от 5 до 14, преимущественно от 5 до 10, которую представляют, например, гидрофурильная группа, пиранильная группа, тиоранильная группа, тианильная группа, пирролидинильная группа, индолинильная группа, пиперидинильная группа, имидазолидинильная группа и пиперазинильная группа; причем неароматическая гетероциклическая группа может иметь один или более заместителей, таких как группы, приведенные ниже в (5.1)-(5.19): (5.1) линейная или разветвленная С1-С6-алкильная группа, такая как метильная группа, этильная группа, н-пропильная группа, изопропильная группа, н-бутильная группа, втор-бутильная группа, трет-бутильная группа, н-пентильная группа и н-гексильная группа, (5.2) гидроксильная группа, (5.3) линейная или разветвленная С1-С6-алкокси-группа, такая как метокси-группа, этокси-группа, н-пропокси-группа и изопропокси-группа, (5.4) линейная или разветвленная С1-С6-гидроксиалкильная группа, такая как гидроксиметильная группа и гидроксиэтильная группа, (5.5) линейная или разветвленная (С1-С6-алкокси)-(С1-С6-алкил) группа, такая как метоксиметильная группа, метоксиэтильная группа и этоксиэтильная группа, (5.6) линейная или разветвленная С1-С6-галогеналкильная группа, такая как фторметильная группа, дифторметильная группа и трифторметильная группа, (5.7) карбоксильная группа, (5.8) соль карбоксильной группы с металлом, представляемая солью щелочного металла, такой как натриевая соль, калиевая соль, литиевая соль, и солью щелочноземельного металла, такой как кальциевая соль, бариевая соль и магниевая соль, (5.9) линейная или разветвленная (С1-С6-алкокси)карбонильная группа такая как метоксикарбонильная группа и этоксикарбонильная группа, (5.10) атом галогена, такой как бром, хлор, фтор и йод, (5.11) нитрогруппа, (5.12) аминогруппа, (5.13) линейная или разветвленная моно- или ди(С1-С6-алкил)аминогруппа, такая как метиламиногруппа, диметиламиногруппа, этиламиногруппа и диэтиламиногруппа, (5.14) линейная или разветвленная (С1-С6-алкил)карбониламиногруппа такая как ацетиламиногруппа, пропиониламиногруппа и бутириламиногруппа, (5.15) цианогруппа, (5.16) формильная группа, (5.17) линейная или разветвленная (С1-С6-алкил)карбонильная группа, такая как метилкарбонильная группа и этилкарбонильная группа, (5.18) арилкарбонильная группа с числом образующих кольцо атомов от 6 до 14, преимущественно от 6 до 10, такая как бензоильная группа и нафтоильная группа, и (5.19) гетероарилкарбонильная группа, моноциклическая или с конденсированными кольцами, имеющая от 1 до 4 гетероатомов, которые выбраны из группы, в которую входят атом азота, атом кислорода и атом серы, с числом образующих кольцо атомов от 5 до 14, преимущественно от 5 до 10, такая как пиридилкарбонильная группа, тиенилкарбонильная группа и фурилкарбонильная группа. Предпочтительный заместитель R1 С точки зрения легкой доступности из описанных выше заместителей подходящими для применения в качестве заместителей R1 являются следующие. Предпочтительны С1-С6-алкильная группа, представителем которой является метил, и ароматическая углеводородная группа с числом образующих кольцо атомов от 6 до 14, представителем которой является фенил, причем метильная группа и фенильная группа являются наиболее предпочтительными. Электроноакцепторная группа R2 Электроноакцепторная группа, представленная в формуле (1) символом R2, подразумевает атомную группу, способную оттягивать электрон от другой части за счет индуктивного эффекта, причем такую атомную группу имеет ароматическая углеводородная группа или же такую атомную группу имеет ароматическая гетероциклическая группа. В число конкретных примеров электроноакцепторной группы R2 входят следующие группы: (1) линейная или разветвленная С1-С6-галогеналкильная группа, такая как дифторметильная группа и трифторметильная группа; карбоксильная группа или соль карбоксильной группы с металлом, представляемая солью щелочного металла, такой как натриевая соль, калиевая соль, литиевая соль, и солью щелочноземельного металла, такой как кальциевая соль, бариевая соль и магниевая соль; (2) линейная или разветвленная (С1-С6-алкокси)карбонильная группа, такая как метоксикарбонильная группа и этоксикарбонильная группа; (3) атом галогена, такой как бром, хлор, фтор и йод; нитрогруппа; формильная группа; (4) линейная или разветвленная (С1-С6-алкил)карбонильная группа, такая как метилкарбонильная группа (ацетильная группа) и этилкарбонильная группа; (5) арилкарбонильная группа с числом образующих кольцо атомов от 6 до 14, преимущественно от 6 до 10, такая как бензоильная группа и нафтоильная группа; (6) гетероарилкарбонильная группа, моноциклическая или с конденсированными кольцами, имеющая от 1 до 4 гетероатомов, которые выбраны из группы, в которую входят атом азота, атом кислорода и атом серы, с числом образующих кольцо атомов от 5 до 14, преимущественно от 5 до 10, такая как пиридилкарбонильная группа, тиенилкарбонильная группа и фурилкарбонильная группа; (7) аминокарбонильная группа, линейная или разветвленная моно- или ди(С1-С6-алкил)аминокарбонильная группа, такая метиламинокарбонильная группа и диметиламинокарбонильная группа; цианогруппа; (8) ароматическая углеводородная группа, содержащая в качестве заместителя одну или более атомных групп, способных оттягивать электрон от другой части за счет индуктивного эффекта, с числом образующих кольцо атомов от 6 до 14, преимущественно от 6 до 10, такая как хлорфенильная группа (например, 2,4-дихлорфенил), карбоксифенильная группа и нитрофенильная группа; и (9) гетероциклическая группа, моноциклическая или с конденсированными кольцами, содержащая в качестве заместителя одну или более атомных групп, способных оттягивать электрон от другой части за счет индуктивного эффекта, и имеющая до 1 до 4 гетероатомов, которые выбраны из группы, в которую входят атом азота, атом кислорода и атом серы, с числом образующих кольцо атомов от 5 до 14, преимущественно от 5 до 10, такая как хлорфурильная группа, хлорбензофурильная группа, хлорпиридильная группа, хлортиенильная группа, карбоксибензотиенильная группа, нитрооксазолильная группа, цианобензооксазолильная группа, хлортиазолильная группа, хлорбензотиазолильная группа, ацетилизооксазолильная группа, бензоилтиадиазолильная группа, хлорпиразильная группа, хлорпиримидинильная группа, хлориндолильная группа, хлорхинолинильная группа, аминокарбонилпиразолильная группа, метиламинокарбонилимидазолильная группа, трифторметилбензоимидазолильная группа, метоксикарбонилтриазолильная группа и хлортриазинильная группа. Предпочтительная электроноакцепторная группа R2 С точки зрения устойчивости в условиях реакции, т.е. в присутствии основания, и конечной стабильности выхода из описанных выше электроноакцепторных групп R2 предпочтительно используются следующие: предпочтительны С1-С6-галогеналкильная группа, представителем которой является трифторметил; ароматическая углеводородная группа, содержащая в качестве заместителя одну или более атомных групп, способных оттягивать электрон от другой части за счет индуктивного эффекта, с числом образующих кольцо атомов от 6 до 14, представителем которой является 2,4-дихлорфенил; и цианогруппа; и наиболее предпочтительны трифторметильная группа, 2,4-дихлорфенил и цианогруппа. Предпочтительное 5-гидроксипиразольное соединение Соответственным образом конкретные примеры 5-гидроксипиразольного соединения, представленного формулой 1, включают 5-гидрокси-3-трифторметилпиразол, 3-этоксикарбонил-5-гидроксипиразол, 3-ацетил-5-гидроксипиразол, 3-бензоил-5-гидроксипиразол, 5-гидрокси-3-(3-пиридилкарбонил)пиразол, 3-циано-5-гидроксипиразол, 5-гидрокси-1-метил-3-трифторметилпиразол, 3-этоксикарбонил-5-гидрокси-1-метилпиразол, 3-хлор-5-гидрокси-1-метилпиразол, 5-гидрокси-1-метил-3-нитропиразол, 5-гидрокси-1-метил-3-(2-тиенилкарбонил)пиразол, 5-гидрокси-1-метил-3-(3-пиридилкарбонил)пиразол, 3-диметиламинокарбонил-5-гидрокси-1-метилпиразол, 5-гидрокси-1-метил-3-(4-трифторметилфенил)пиразол, 3-(4-этоксикарбонилфенил)-5-гидрокси-1-метилпиразол, 3-(2,4-дихлорфенил)-5-гидрокси-1-метилпиразол, 3-(3,5-динитрофенил)-5-гидрокси-1-метилпиразол, 3-(4-диметиламинокарбонил)-5-гидрокси-1-метилфенилпиразол, 5-гидрокси-1-н-пропил-3-трифторметилпиразол, 3-циано-1-н-гексил-5-гидроксипиразол, 1-трет-бутил-5-гидрокси-3-трифторметилпиразол, 1-трет-бутил-3-(4-сагЬохурпепу1)-5-гидроксипиразол, 3-(4-ацетилфенил)-трет-бутил-5-гидроксипиразол, 1-трет-бутил-3-(4-цианофенил)-5-гидроксипиразол, 5-гидрокси-1-фенил-3-трифторметилпиразол, 3-циано-5-гидрокси-1-фенилпиразол, 1-(4-хлорфенил)-3-этоксикарбонил-5-гидроксипиразол, 3-этоксикарбонил-5-гидрокси-1-(2-метилфенил)пиразол, 3-этоксикарбонил-5-гидрокси-1-(2-метоксиметилфенил)пиразол, 1-(4-ацетилфенил)-3-этоксикарбонил-5-гидроксипиразол, 3-этоксикарбонил-5-гидрокси-1-(3-нитрофенил)пиразол, 5-гидрокси-1-(2-метоксифенил)-3-трифторметилпиразол, 5-гидрокси-3-трифторметил-1-(4-трифторметилфенил)пиразол, 1-(4-этоксикарбонилфенил)-5-гидрокси-3-трифторметилпиразол, 1-(4-диметиламинофенил)-5-гидрокси-3-трифторметилпиразол, 1-(4-ацетиламинофенил)-5-гидрокси-3-трифторметилпиразол, 1-(4-метоксикарбонилметилфенил)-трифторметилпиразол, 1-(4-диметиламинокарбонилметилфенил)-5-гидрокси-3-трифторметилпиразол, 1-(4-цианофенил)-5-гидрокси-3-трифторметилпиразол, 1-(2-нафтил)-5-гидрокси-3-трифторметилпиразол, 1-(2-бензотиазолил)-5-гидрокси-3-трифторметилпиразол, 5-гидрокси-1-(2-пиридил)-3-трифторметилпиразол и 5-гидрокси-1-(2-пиримидил)-3-трифторметилпиразол. Сернистое соединение Ниже описано сернистое соединение, представленное формулой (2). В число примеров заместителя, представленного символом R3 в формуле (2), входят следующие: (1) линейная или разветвленная С1-С6-алкильная группа, такая как метильная группа, этильная группа, н-пропильная группа, изопропильная группа, н-бутильная группа, втор-бутильная группа, трет-бутильная группа, н-пентильная группа и н-гексильная группа; ароматическая углеводородная группа, моноциклическая или с конденсированными кольцами, с числом образующих кольцо атомов от 6 до 14, преимущественно от 6 до 10, такая как фенильная группа или нафтильная группа (ароматическая углеводородная группа может иметь один или более заместителей, например линейную или разветвленную С1-С6-алкильную группу, такую как метильная группа, этильная группа, н-пропильная группа, изопропильная группа, н-бутильная группа, втор-бутильная группа, трет-бутильная группа, н-пентильная группа и н-гексильная группа), (2) гидроксильная группа, (3) линейная или разветвленная С1-С6-алкокси-группа, такая как метокси-группа, этокси-группа, н-пропокси-группа и изопропокси-группа, (4) линейная или разветвленная С1-С6-гидроксиалкильная группа, такая как гидроксиметильная группа и гидроксиэтильная группа, (5) линейная или разветвленная (С1-С6-алкокси)-(С1-С6-алкил) группа, такая как метоксиметильная группа, метоксиэтильная группа и этоксиэтильная группа, (6) линейная или разветвленная С1-С6-галогеналкильная группа, такая как фторметильная группа, дифторметильная группа и трифторметильная группа; карбоксильная группа, соль карбоксильной группы с металлом, представляемая солью щелочного металла, такой как натриевая соль, калиевая соль, литиевая соль, и солью щелочноземельного металла, такой как кальциевая соль, бариевая соль и магниевая соль, (7) линейная или разветвленная (С1-С6-алкокси)карбонильная группа, такая как метоксикарбонильная группа и этоксикарбонильная группа, (8) атом галогена, такой как бром, хлор, фтор и йод; нитрогруппа и аминогруппа, (9) линейная или разветвленная моно- или ди(С1-С6-алкил)аминогруппа, такая как метиламиногруппа, диметиламиногруппа, этиламиногруппа и диэтиламиногруппа, (10) линейная или разветвленная (С1-С6-алкил)карбониламиногруппа, такая как ацетиламиногруппа, пропиониламиногруппа и бутириламиногруппа; цианогруппа, формильная группа, (11) линейная или разветвленная (С1-С6-алкил)карбонильная группа, такая как метилкарбонильная группа и этилкарбонильная группа, (12) арилкарбонильная группа с числом образующих кольцо атомов от 6 до 14, преимущественно от 6 до 10, такая как бензоильная группа и нафтоильная группа, и (13) гетероарилкарбонильная группа, моноциклическая или с конденсированными кольцами, имеющая от 1 до 4 гетероатомов, которые выбраны из группы, в которую входят атом азота, атом кислорода и атом серы, с числом образующих кольцо атомов от 5 до 14, преимущественно от 5 до 10, такая как пиридилкарбонильная группа, тиенилкарбонильная группа и фурилкарбонильная группа, и (14) ароматическая или неароматическая гетероциклическая группа, включающая моноциклическую ароматическую группу или ароматическую группу с конденсированными кольцами, имеющая от 1 до 4 гетероатомов, которые выбраны из группы, в которую входят атом азота, атом кислорода и атом серы, с числом образующих кольцо атомов от 5 до 14, преимущественно от 5 до 10, которую представляют, например, фурильная группа, бензофурильная группа, пиридильная группа, тиенильная группа, бензотиенильная группа, оксазолильная группа, тиадиазолильная группа, пиразильная группа, пиримидинильная группа, индолильная группа, хинолинильная группа, пиразолильная группа, имидазолильная группа, бензимидазолильная группа, триазолильная группа и триазинильная группа; ароматическая гетероциклическая группа может иметь один или более заместителей, например линейную или разветвленную С1-С6-алкильную группу, такую как метальная группа, этильная группа, н-пропильная группа, изопропильная группа, н-бутильная группа, втор-бутильная группа, трет-бутильная группа, н-пентильная группа и н-гексильная группа, (15) гидроксильная группа, (16) линейная или разветвленная С1-С6-алкокси-группа, такая как метокси-группа, этокси-группа, н-пропокси-группа и изопропокси-группа, (17) линейная или разветвленная С1-С6-гидроксиалкильная группа, такая как гидроксиметильная группа и гидроксиэтильная группа, (18) линейная или разветвленная (С1-С6-алкокси)-(С1-С6-алкил) группа, такая как метоксиметильная группа, метоксиэтильная группа и этоксиэтильная группа, (19) линейная или разветвленная С1-С6-галогеналкильная группа, такая как фторметильная группа, дифторметильная группа и трифторметильная группа, (20) карбоксильная группа или соль карбоксильной группы с металлом, представляемая солью щелочного металла, такой как натриевая соль, калиевая соль, литиевая соль, и солью щелочноземельного металла, такой как кальциевая соль, бариевая соль и магниевая соль, (21) линейная или разветвленная (С1-С6-алкокси)карбонильная группа, такая как метоксикарбонильная группа и этоксикарбонильная группа, (22) атом галогена, такой как бром, хлор, фтор и йод; нитрогруппа и аминогруппа, (23) линейная или разветвленная моно- или ди(С1-С6-алкил)аминогруппа, такая как метиламиногруппа, диметиламиногруппа, этиламиногруппа и диэтиламиногруппа, (24) линейная или разветвленная (С1-С6-алкил)карбониламиногруппа, такая как ацетиламиногруппа, пропиониламиногруппа и бутириламиногруппа; цианогруппа, формильная группа, (25) линейная или разветвленная (С1-С6-алкил)карбонильная группа, такая как метилкарбонильная группа и этилкарбонильная группа, (26) арилкарбонильная группа с числом образующих кольцо атомов от 6 до 14, преимущественно от 6 до 10, такая как бензоильная группа и нафтоильная группа, и (27) гетероарилкарбонильная группа, моноциклическая или с конденсированными кольцами, имеющая от 1 до 4 гетероатомов, которые выбраны из группы, в которую входят атом азота, атом кислорода и атом серы, с числом образующих кольцо атомов от 5 до 14, преимущественно от 5 до 10, такая как пиридилкарбонильная группа, тиенилкарбонильная группа и фурилкарбонильная группа и неароматическая гетероциклическая группа, моноциклическая или с конденсированными кольцами, имеющая от 1 до 4 гетероатомов, которые выбраны из группы, в которую входят атом азота, атом кислорода и атом серы, с числом образующих кольцо атомов от 5 до 14, преимущественно от 5 до 10, которую представляют, например, гидрофурильная группа, пиранильная группа, тиоарильная группа, тианильная группа, пирролидинильная группа, индолинильная группа, пиперидинильная группа, имидазолидинильная группа и пиперазинильная группа (неароматическая гетероциклическая группа может иметь один или более заместителей, например линейную или разветвленную C1-C6-алкильную группу, такую как метильная группа, этильная группа, н-пропильная группа, изопропильная группа, н-бутильная группа, втор-бутильная группа, трет-бутильная группа, н-пентильная группа и н-гексильная группа) и гидроксильная группа, (28) линейная или разветвленная С1-С6-алкокси-группа, такая как метокси-группа, этокси-группа, н-пропокси-группа и изопропокси-группа, (29) линейная или разветвленная С1-С6-гидроксиалкильная группа, такая как гидроксиметильная группа и гидроксиэтильная группа, () линейная или разветвленная (С1-С6-алкокси)-(С1-С6-алкил) группа, такая как метоксиметильная группа, метоксиэтильная группа и этоксиэтильная группа, (30) линейная или разветвленная С1-С6-галогеналкильная группа, такая как фторметильная группа, дифторметильная группа и трифторметильная группа; карбоксильная группа, соль карбоксильной группы с металлом, представляемая солью щелочного металла, такой как натриевая соль, калиевая соль, литиевая соль, и солью щелочноземельного металла, такой как кальциевая соль, бариевая соль и магниевая соль, (31) линейная или разветвленная (С1-С6-алкокси)карбонильная группа, такая как метоксикарбонильная группа и этоксикарбонильная группа, (32) атом галогена, такой как бром, хлор, фтор и йод; нитрогруппа и аминогруппа, (33) линейная или разветвленная моно- или ди(С1-С6-алкил)аминогруппа, такая как метиламиногруппа, диметиламиногруппа, этиламиногруппа и диэтиламиногруппа, (34) линейная или разветвленная (С1-С6-алкил)карбониламиногруппа, такая как ацетиламиногруппа, пропиониламиногруппа и бутириламиногруппа; цианогруппа, формильная группа, (35) линейная или разветвленная (С1-С6-алкил)карбонильная группа, такая как метилкарбонильная группа и этилкарбонильная группа, (36) арилкарбонильная группа с числом образующих кольцо атомов от 6 до 14, преимущественно от 6 до 10, такая как бензоильная группа и нафтоильная группа, и (37) гетероарилкарбонильная группа, моноциклическая или с конденсированными кольцами, имеющая от 1 до 4 гетероатомов, которые выбраны из группы, в которую входят атом азота, атом кислорода и атом серы, с числом образующих кольцо атомов от 5 до 14, преимущественно от 5 до 10, такая как пиридилкарбонильная группа, тиенилкарбонильная группа и фурилкарбонильная группа. Группа Х Х в формуле (2) представляет, например, атом водорода или атом металла, представителем которого является, например, щелочной металл, такой как натрий, калий и литий, и щелочноземельный металл, такой как магний и кальций. В том случае, когда n в формуле (2) равно 0, соединение является тиолом или его солью, а когда n равно 2, соединение является сульфиновой кислотой или ее солью. В предназначенном для использования в реакции сернистом соединении, представленном формулой (2), Х может быть атомом водорода или солью щелочного металла, такого как натрий, калий и литий, или солью щелочноземельного металла, такого как магний и кальций. Кроме того, в том случае, когда сернистым соединением является тиол (соединение формулы (2) при n, равном 0), предшественник, из которого можно получить тиол и представителем которого является изотиоурониевая соль или подобное ей соединение, легко получаемое реакцией соответствующего алкилгалогенида с тиомочевиной, может быть гидролизовано в том же самом реакционном аппарате, благодаря чему в системе может быть получен и использован исходный материал для получения тиола. Конкретный пример сернистого соединения Соответственным образом, в число конкретных примеров сернистого соединения, представленного формулой (2), входят тиометоксид натрия, тиоэтоксид натрия, 2-тиобутан, тиофенол, 2-этилтиофенол, 4-метокситиофенол, 4-хлортиофенол, 4-нитротиофенол, 4-диметиламинотиофенол, 4-цианотиофенол, 4-ацетилтиофенол, 2-меркаптопиридин, 2-меркаптобензотиазол, изотиоурониевая соль, представителями которой являются гидрохлорид н-гексилтиокарбоксамидина, гидрохлорид бензилтиокарбоксамидина и гидрохлорид [5,5-диметил(4,5-дигидроизооксазол-3-ил)]тиокарбоксамидина, бензолсульфинат натрия и п-толуолсульфинат натрия. Способ проведения реакции Ниже описан способ проведения реакции 5-гидроксипиразольного соединения, представленного формулой (1), с сернистым соединением, представленным формулой (2), в результате чего получают 5-гидрокси-4-тиометилпиразольное соединение, представленное формулой (3). Формальдегид Описанную выше реакцию проводят в присутствии формальдегида. Форма формальдегида, используемого в этой реакции, особенно не ограничена, и формальдегид может быть использован в любой форме, однако удобным для работы и предпочтительным является использование водного раствора формальдегида в концентрации от 35 до 50%, например, легкодоступного коммерческого 35%-ного формалина или параформальдегида (полимера формальдегида, который образует в системе формальдегид в результате гидролиза и, следовательно, может быть использован как эквивалент формальдегида). Используемое количество Количество используемого формальдегида может быть достаточным, в расчете на эквивалент исходного соединения, представленного формулой (1), но обычно используемое количество составляет от 1,0 до 5,0 эквивалентов, предпочтительно от 1,0 до 3,0 эквивалентов на 1 моль исходного соединения, представленного формулой (1). Используемое количество сернистого соединения, представленного формулой (1), может быть достаточным, если оно является эквивалентным или большим, чем эквивалентное, в расчете на исходное соединение формулы (1), но используемое количество составляет от 1,0 до 2,0 эквивалентов, предпочтительно от 1,0 до 1,2 эквивалента на 1 моль исходного соединения, представленного формулой (1). Основание В настоящем изобретении реакция проводится в присутствии основания. В число примеров основания, предназначенного для использования в реакции, входят следующие основания: (1) гидрид щелочного металла такой, как гидрид натрия, гидрид калия и гидрид лития; (2) щелочной металл, такой как металлический натрий, металлический калий и металлический литий; (3) гидроксид щелочного металла, такой как гидроксид натрия, гидроксид калия и гидроксид лития; (4) гидроксид щелочноземельного металла, такой как гидроксид бария, гидроксид магния и гидроксид кальция; (5) карбонат щелочного металла, такой как карбонат натрия, карбонат калия; гидрокарбонат натрия и гидрокарбонат калия; (6) неорганическое основание, представителем которого является, например, оксид щелочноземельного металла, такой как оксид бария, оксид магния и оксид кальция; и алкоксид металла, такой как метоксид натрия, этоксид натрия, метоксид калия, этоксид калия, трет-бутоксид калия; и (7) неорганическое основание, представителем которого является, например, щелочной металл, такой как бутиллитий. Из названных соединений гидроксид щелочного металла и алкоксид металла являются предпочтительными благодаря их доступности, и наиболее предпочтителен из них гидроксид щелочного металла, в частности гидроксид натрия, поскольку реакция может проводиться с водным растворителем и, следовательно, можно уменьшить такую обременительную операцию, как доочистка сточных вод. Используемое количество основания Может быть использовано любое количество основания, которое достаточно для удовлетворительного протекания реакции, но это используемое количество составляет, например, от 1,0 до 20 моль, предпочтительно от 1,5 до 10 моль и более предпочтительно от 1,5 до 3,0 моль на 1 моль 5-гидроксиразольного соединения (исходного соединения), представленного формулой (1). Растворитель Реакция настоящего изобретения при желании может проводиться в присутствии растворителя. Используемый в реакции растворитель может быть удовлетворителен, если он не ингибирует реакцию, и в число примеров его входят вода; спирты, такие как метанол и этанол; ароматические углеводороды, такие как толуол, ксилол и хлорбензол; галогенированные алифатические углеводороды, такие как дихлорметан и хлороформ; апротонные полярные растворители, такие как диметилформамид, диметилацетамид, н-метилпирролидон, тетраметилмочевина, гексаметилфосфортриамид (НМРА) и пропиленкарбонат; соединения на основе простых эфиров, такие как диэтиловый эфир, тетрагидрофуран и диоксан; и алифатические углеводороды, такие как пентан и н-гексан. Эти растворители могут использоваться индивидуально или в виде смешанного растворителя при произвольном отношении компонентов смеси. С точки зрения растворимости и реакционной способности основания реакцию предпочтительно проводить с использованием воды или спиртов и более предпочтительно в воде или метаноле. Количество растворителя может считаться достаточным, если оно позволяет удовлетворительным образом перемешивать реакционную систему, но обычно это количество составляет от 0,05 до 10 л и преимущественно от 0,5 до 2 л на 1 моль 5-гидроксипиразольного соединения (исходного соединения), представленного формулой (1). Условия реакции Температура обсуждаемой реакции может варьировать, например, от 0°С до температуры кипения используемого растворителя, но преимущественно реакцию проводят при температуре от 20 до 50°С, в частности при комнатной температуре, применяя перемешивание, поскольку это легко осуществимо и приводит к высокому выходу. Время обсуждаемой реакции особенно не ограничивается, но обычно реакция может быть удовлетворительно завершена в течение времени от 1 до 10 час. Согласно обсуждаемой реакции, 5-гидрокси-4-тиометилпиразольное соединение, представленное формулой (3), может быть получено с высоким выходом простым и легким путем в мягких условиях. Получаемое 5-гидрокси-4-тиометилпиразольное соединение, представленное формулой (3), является соединением, используемым в качестве промежуточного продукта в производстве фармацевтических и сельскохозяйственных химических продуктов. ПРИМЕРЫ Способ получения соединения настоящего изобретения детально описан ниже на основе примеров, однако изобретение не ограничено этими примерами. Ссылочный пример 1 Синтез 5-гидрокси-1-метил-3-трифторметилпиразола Этил-4,4,4-трифторацетоацетат (92,1 г, 0,5 моль) растворяют в 60,1 г (1,0 моль) уксусной кислоты. Полученный раствор охлаждают до 10°С или ниже при перемешивании и прибавляют к нему по каплям в течение 1 часа 65,8 г (0,5 моль) 35%-ного водного раствора метилгидразина. После прибавления по каплям раствор перемешивают 1 час при комнатной температуре и затем 5 час при 80°С. После завершения реакции реакционный раствор охлаждают до комнатной температуры и добавляют к нему 150 мл толуола, 600 мл воды и 48 г (1,2 моль) гидроксида натрия. После разделения жидкости к полученному водному слою прибавляют по каплям 154 г (1,4 моль) 35%-ной хлористоводородной кислоты и собирают с помощью фильтрации образовавшиеся кристаллы. Кристаллы дважды промывают 50 мл воды и сушат в горячевоздушной сушилке, получая 71,8 г (выход 86,5%) целевого соединения в виде бледно-желтых кристаллов. LC-MS (EI) (хромасс-спектрометрия с электронной ионизацией): m/z=166 (M+), т.пл. 179-180°С. Ссылочный пример 2 Синтез 5-гидрокси-1-фенил-3-трифторметилпиразола Этил-4,4,4-трифторацетоацетат (18,4 г, 0,1 моль) растворяют в 12,0 г (0,2 моль) уксусной кислоты. Полученный раствор охлаждают до 10°С или ниже при перемешивании и прибавляют к нему по каплям в течение 0,5 часа 11,8 г (0,11 моль) фенилгидразина. После прибавления по каплям раствор перемешивают 1 час при комнатной температуре и затем 5 час при 80°С. После завершения реакции реакционный раствор охлаждают до комнатной температуры и добавляют к нему 100 мл воды. Образовавшиеся кристаллы собирают с помощью фильтрации, дважды промывают 50 мл воды и сушат в горячевоздушной сушилке, получая 22,3 г (выход 98,0%) целевого соединения в виде бледно-желтых кристаллов. LC-MS (EI): m/z=228 (М+), т.пл. 190-192°С. Ссылочный пример 3 Синтез гидрохлорида 5-гидрокси-3-трифторметилпиразола Этил-4,4,4-трифторацетоацетат (18,4 г, 0,1 моль) растворяют в 20 мл этанола. Полученный раствор охлаждают до 10°С или ниже при перемешивании и прибавляют к нему по каплям в течение 0,5 часа 6,0 г (0,12 моль) гидразина. После прибавления по каплям раствор перемешивают 1 час при комнатной температуре и затем 5 час при температуре кипения. После завершения реакции реакционный раствор охлаждают до комнатной температуры и добавляют к нему 100 мл воды и 20,6 г (0,2 моль) 35%-ной хлористоводородной кислоты. Образовавшиеся кристаллы собирают с помощью фильтрации, дважды промывают 10 мл воды и сушат в горячевоздушной сушилке, получая 12,8 г (выход 68,1%) целевого соединения в виде белых кристаллов. LC-MS (EI): m/z=152 (М+). Ссылочный пример 4 Синтез 3-этоксикарбонил-5-гидрокси-1-метилпиразола Мононатриевую соль диэтилоксалоацетата (50,0 г, 0,24 моль) суспендируют в 500 мл этанола и добавляют 25 мл уксусной кислоты. Затем в течение 0,5 часа прибавляют по каплям при перемешивании 15 г (0,33 моль) 97%-ного метилгидразина. После прибавления по каплям раствор перемешивают 1 час при комнатной температуре и затем 5 час при температуре кипения. Полученный раствор охлаждают, удаляют этанол перегонкой при пониженном давлении и добавляют к остатку 200 мл этилацетата и 100 мл воды. После разделения жидкости полученный водный слой повторно экстрагируют 50 мл этилацетата и объединенный этилацетатный слой промывают 50 мл воды и затем 50 мл насыщенного солевого раствора. Полученный этилацетатный слой высушивают над безводным сульфатом натрия и удаляют растворитель перегонкой при пониженном давлении. После добавления к выпавшим кристаллам 100 мл воды кристаллы собирают с помощью фильтрации, дважды промывают 10 мл воды и сушат в горячевоздушной сушилке, получая 29,2 г (выход 71,8%) целевого соединения в виде бледно-желтых кристаллов. LC-MS (EI): m/z=170 (M+), 125 (основание), т.пл. 151°С. Ссылочный пример 5 Синтез 3-циано-5-гидрокси-1-фенилпиразола К 5,6 г (0,06 моль) анилина добавляют воду (120 мл) и 15 мл 35%-ной хлористоводородной кислоты и растворяют смесь. После этого прибавляют по каплям 24 мл воды с растворенными в ней 4,2 г (0,06 моль) нитрита натрия при перемешивании и охлаждении льдом до 0-5°С. Полученный раствор перемешивают в течение 1 часа с целью получения хлорида бензолдиазония. Водный раствор этой диазониевой соли прибавляют по каплям к 120 мл пиридинового раствора, содержащего 10,2 г (0,06 моль) диэтил- LC-MS (EI): m/z=185 (M+), 125 (основание), т.пл. 190°С. Ссылочный пример 6 Синтез 3-(2,4-дихлорфенил)-5-гидрокси-1-метилпиразола Этилмалонат калия (22,1 г, 0,13 моль) суспендируют в 200 мл этилацетата, после чего при перемешивании и охлаждении льдом добавляют к суспензии последовательно 29,14 г (0,29 моль) триэтиламина и 13,7 г (0,14 моль) хлорида магния. Полученную суспензионную жидкость перемешивают 6 час при 40°С, вновь охлаждают льдом и в течение 1 часа прибавляют по каплям 20,9 г (0,1 моль) 2,4-дихлорбензоилхлорида, поддерживая температуру реакционного раствора при 0°С или ниже. После прибавления по каплям перемешивание продолжают в течение 12 час при комнатной температуре. Затем к реакционному раствору прибавляют по каплям 200 мл 5%-ной хлористоводородной кислоты и отделяют органический слой. Полученный органический слой дважды промывают 50 мл воды и затем 30 мл насыщенного солевого раствора и удаляют растворитель перегонкой при пониженном давлении. К полученному концентрированием остатку добавляют 100 мл этанола. Образовавшийся раствор охлаждают до 10°С или ниже при перемешивании и прибавляют к нему по каплям в течение 1 часа 13,1 г (0,1 моль) 35%-ного водного раствора метилгидразина. После прибавления по каплям раствор перемешивают 1 час при комнатной температуре и затем 3 часа при 80°С. После завершения реакции реакционный раствор охлаждают до комнатной температуры и добавляют к нему 300 мл воды. Образовавшиеся кристаллы собирают с помощью фильтрации, дважды промывают 50 мл воды и сушат в горячевоздушной сушилке, получая 12,3 г (выход 50,2%) целевого соединения в виде белых кристаллов. 1Н-ЯМР (300 МГц, CDCl3): LC-MS (EI): m/z=242 (M+), т.пл. 221-223°С. Ссылочный пример 7 Синтез 3-(3,5-динитрофенил)-5-гидрокси-1-метилпиразола Этилмалонат калия (11,0 г, 0,07 моль) суспендируют в 100 мл этилацетата, после чего при перемешивании и охлаждении льдом добавляют к суспензии последовательно 14,5 г (0,19 моль) триэтиламина и 6,9 г (0,08 моль) хлорида магния. Полученную суспензионную жидкость перемешивают 6 час при 40°С, вновь охлаждают льдом и в течение 1 часа прибавляют по каплям 11,5 г (0,05 моль) 2,4-динитробензоилхлорида, поддерживая температуру реакционного раствора при 0°С или ниже. После прибавления по каплям перемешивание продолжают в течение 12 час при комнатной температуре. Затем к реакционному раствору прибавляют по каплям 100 мл 5%-ной хлористоводородной кислоты и отделяют органический слой. Полученный органический слой дважды промывают 50 мл воды и затем 30 мл насыщенного солевого раствора и удаляют растворитель перегонкой при пониженном давлении. К полученному концентрированием остатку добавляют 100 мл этанола и затем прибавляют по каплям при комнатной температуре и перемешивании 2,4 г (0,05 моль) 97%-ного метилгидразина. После прибавления по каплям раствор перемешивают 1 час при комнатной температуре и затем 3 часа при 80°С. После завершения реакции реакционный раствор охлаждают до комнатной температуры, добавляют к нему 300 мл воды и собирают с помощью фильтрации образовавшиеся кристаллы. Кристаллы дважды промывают 50 мл воды и полученные после этого кристаллы перекристаллизовывают из 50%-ного этанола и сушат в горячевоздушной сушилке, получая 4,2 г (выход 30,2%) целевого соединения в виде красных кристаллов. 1Н-ЯМР (300 МГц, MeOH-d4): LC-MS (EI): m/z=264 (M+), т.пл. 230-231°С. Ссылочный пример 8 Синтез 3-хлор-5,5-диметил-4,5-дигидроксиизоксазола Этанол (500 мл) и 63,0 г (0,75 моль) гидрокарбоната натрия вводят в реакцию и перемешивают при комнатной температуре. После продувки в течение 0,5 часа 84,2 г (1,50 моль) газообразного изобутена температуру поднимают до 70°С и к реакционному раствору постепенно прибавляют по каплям 131,3 г (0,5 моль) 40%-ного раствора оксима дихлорформальдегида в изопропиловом эфире, после чего раствор перемешивают при той же температуре в течение 8 час. Полученному реакционному раствору дают охладиться до 25°С или ниже и после удаления фильтрацией твердых неорганических веществ перегоняют остаток при пониженном давлении (62°С/1,1 кПа), получая 32,3 г (выход 51%) 3-хлор-4,5-дигидроизооксазола в виде бесцветной прозрачной жидкости. 1Н-ЯМР (300 МГц, MeOH-d4): LC-MS (EI): m/z=133 (М+), 118 (основание), т.кип. 50°С/0,7 кПа. Ссылочный пример 9 Синтез гидрохлорида [5,5-диметил(4,5-дигидроизоксазол-3-ил)]тиокарбоксамидина: 3,5%-ную хлористоводородную кислоту (4,17 г, 0,04 моль) добавляют к этанольному (100 мл, 0,51 моль) раствору, содержащему 16,8 г (0,2 моль) тиомочевины, и в течение 1 часа прибавляют по каплям при перемешивании и комнатной температуре 26,7 г (0,2 моль) 3-хлор-5,5-диметил-4,5-дигидроизоксазола, после чего продолжают перемешивание при 30°С в течение 3 час. Затем добавляют к реакционному раствору 100 мл толуола. После удаления растворителя перегонкой при пониженном давлении выпадает в осадок 58,3 г белых кристаллов. К полученным неочищенным кристаллам добавляют 300 мл изопропилового спирта и нагревают смесь до растворения кристаллов, после чего постепенно охлаждают, получая 38,5 г (выход 92,0%) целевого соединения в виде белых кристаллов. 1Н-ЯМР (300 МГц, MeOH-d4): Пример 1: Синтез 5-гидрокси-1-метил-4-метилтиометил-3-трифторметилпиразола 5-Гидрокси-1-метил-3-трифторметилпиразол (1,7 г, 10 ммоль), синтезированный в ссылочном примере 1, и 0,6 г (15 ммоль) гидроксида натрия растворяют в 10 мл воды. Перемешивая полученный раствор при комнатной температуре, прибавляют к нему по каплям 1,7 г (20 ммоль) 35%-ного раствора формалина, после чего перемешивают 1 час при той же температуре. Далее прибавляют по каплям при комнатной температуре 7,1 г (10 моль) 10%-ного водного раствора тиометоксида натрия и перемешивают полученную смесь в течение 6 час. После завершения реакции прибавляют к смеси по каплям 5,0 г (50 ммоль) 35%-ной хлористоводородной кислоты, собирают с помощью фильтрации выпавшие кристаллы, дважды промывают их 5 мл воды и сушат в горячевоздушной сушилке, получая 1,6 г (выход 72,7%) целевого соединения в виде бледно-желтых кристаллов. Эти кристаллы перекристаллизовывают из смеси вода-метанол, получая белые кристаллы. 1Н-ЯМР (300 МГц, MeOH-d4): LC-MS (EI): m/z=226 (М+), 179 (основание), т.пл. 123-124°С. Пример 2: Синтез [(5-гидрокси-1-метил-3-трифторметилпиразол-4-ил)метилтио]бензола 5-Гидрокси-1-метил-3-трифторметилпиразола (1,7 г, 10 ммоль), синтезированный в ссылочном примере 1, и 0,6 г (15 ммоль) гидроксида натрия растворяют в 10 мл воды. Перемешивая полученный раствор при комнатной температуре, прибавляют к нему по каплям 1,7 г (20 ммоль) 35%-ного раствора формалина, после чего перемешивают 1 час при той же температуре. Далее прибавляют по каплям при комнатной температуре 11,0 г (10 моль) тиофенола и перемешивают полученную смесь в течение 7 час. После завершения реакции прибавляют к смеси по каплям 5,0 г (50 ммоль) 35%-ной хлористоводородной кислоты, собирают с помощью фильтрации выпавшие кристаллы, дважды промывают их 5 мл воды и сушат в горячевоздушной сушилке, получая 2,2 г (выход 76,4%) целевого соединения в виде бледно-желтых кристаллов. Эти кристаллы перекристаллизовывают из смеси н-гексан/2-пропанол, получая белые кристаллы. 1Н-ЯМР (300 МГц, MeOH-d4): LC-MS (EI): m/z=288 (М+), 110 (основание), т.пл. 152°С. Пример 3: Синтез 3-[(5-гидрокси-1-метил-3-трифторметилпиразол-4-ил)метилтио]-4,5-дигидро-5,5-диметилизоксазола 5-Гидрокси-1-метил-3-трифторметилпиразол (1,7 г, 10 ммоль), синтезированный в ссылочном примере 1, и 1,6 г (40 ммоль) гидроксида натрия растворяют в 10 мл воды. Перемешивая полученный раствор при комнатной температуре, прибавляют к нему по каплям 1,7 г (20 ммоль) 35%-ного раствора формалина, после чего перемешивают 1 час при той же температуре. Далее прибавляют по каплям при комнатной температуре 10 мл водного раствора, содержащего 2,1 г (10 ммоль) гидрохлорида [5,5-диметил(4,5-дигидроизоксазол-3-ил)]тиокарбоксамидина и перемешивают полученную смесь при той же температуре в течение 2 час. После завершения реакции прибавляют к смеси по каплям 5,0 г (50 ммоль) 35%-ной хлористоводородной кислоты, собирают с помощью фильтрации выпавшие кристаллы, дважды промывают их 5 мл воды и сушат в горячевоздушной сушилке, получая 2,5 г (выход 80,1%) целевого соединения в виде бледно-желтых кристаллов. Эти кристаллы перекристаллизовывают из смеси н-гексан/2-пропанол, получая белые кристаллы. 1Н-ЯМР (300 МГц, MeOH-d4): LC-MS (EI): m/z=309 (M+), 177 (основание), т.пл. 115-116°С. Пример 4: Синтез 3-[(5-гидрокси-1-метил-3-трифторметилпиразол-4-ил)метилтио]-4,5-дигидро-5,5-диметилизоксазола 5-Гидрокси-1-метил-3-трифторметилпиразол (1,7 г, 10 ммоль), синтезированный в ссылочном примере 1, и 10 мл 28%-ного метанольного раствора метоксида натрия (6,0 г, 30 ммоль) растворяют в 10 мл метанола. Перемешивая полученный раствор при комнатной температуре, добавляют к нему 1,7 г параформальдегида, после чего перемешивают 1 час при той же температуре. Далее добавляют при комнатной температуре 2,1 г (10 ммоль) гидрохлорида [5,5-диметил(4,5-дигидроизоксазол-3-ил)]тиокарбоксамидина и перемешивают полученную смесь в течение 2 час. После завершения реакции прибавляют к смеси по каплям 5,0 г (50 ммоль) 35%-ной хлористоводородной кислоты, добавляют дополнительно 10 мл воды, собирают с помощью фильтрации выпавшие кристаллы, дважды промывают их 5 мл воды и сушат в горячевоздушной сушилке, получая 2,6 г (выход 84,1%) целевого соединения в виде бледно-желтых кристаллов. 1Н-ЯМР-спектр такой же, как в примере 3. Пример 5: Синтез 3-[(5-гидрокси-1-метил-3-трифторметилпиразол-4-ил)метилтио]-4,5-дигидро-5,5-диметилизоксазола Целевое соединение (2,3 г, выход 74,2%) было получено в виде бледно-желтых кристаллов с помощью той же последовательностью операций, что и в примере 4, за исключением замены основания в реакции примера 4 на 4,2 г (30 ммоль) карбоната калия. 1Н-ЯМР-спектр такой же, как в примере 3. Пример 6: (воплощение, в котором электроноакцепторной группой является трифторметильная группа): Синтез 4-[(5-гидрокси-1-метил-3-трифторметилпиразол-4-ил)метилсульфонил]толуола 5-Гидрокси-1-метил-3-трифторметилпиразол (8,3 г, 50 ммоль), синтезированный в ссылочном примере 1, и 3,0 г (75 ммоль) гидроксида натрия растворяют в 50 мл воды. Перемешивая полученный раствор при комнатной температуре, прибавляют к нему по каплям 8,5 г (100 ммоль) 35%-ного раствора формалина, после чего перемешивают 1 час при той же температуре. Далее добавляют при комнатной температуре 9,0 г (50 ммоль) п-толуолсульфината натрия и перемешивают полученную смесь в течение 2 час. После завершения реакции прибавляют к смеси по каплям 25,0 г (250 ммоль) 35%-ной хлористоводородной кислоты, добавляют дополнительно 100 мл воды, собирают с помощью фильтрации выпавшие кристаллы, дважды промывают их 20 мл воды и сушат в горячевоздушной сушилке, получая 14,0 г (выход 83,8%) целевого соединения в виде белых кристаллов. 1Н-ЯМР (300 МГц, MeOH-d4): LC-MS (EI): m/z=334 (M+), 179 (основание), т.пл. 135°С. Пример 7: Синтез 4-[(5-гидрокси-1-метил-3-трифторметилпиразол-4-ил)метилсульфонил]толуола 5-Гидрокси-1-метил-3-трифторметилпиразол (1,7 г, 10 ммоль), синтезированный в ссылочном примере 1, и 0,6 г (15 ммоль) гидроксида натрия растворяют в 10 мл ДМФ. Перемешивая полученный раствор при комнатной температуре, добавляют к нему 1,7 г параформальдегида, после чего перемешивают 1 час при той же температуре. Далее добавляют при комнатной температуре 1,8 г (10 ммоль) п-толуолсульфината натрия и перемешивают полученную смесь в течение 2 час. После завершения реакции прибавляют к смеси по каплям 5,0 г (50 ммоль) 35%-ной хлористоводородной кислоты, добавляют дополнительно 100 мл воды, собирают с помощью фильтрации выпавшие кристаллы, дважды промывают их 5 мл воды и сушат в горячевоздушной сушилке, получая 3,0 г (выход 88,2%) целевого соединения в виде белых кристаллов. 1Н-ЯМР-спектр такой же, как в примере 6. Пример 8: Синтез 4-[(5-гидрокси-1-метил-3-трифторметилпиразол-4-ил)метилсульфонил]толуола 5-Гидрокси-1-метил-3-трифторметилпиразол (1,7 г, 10 ммоль), синтезированный в ссылочном примере 1, и 0,6 г (15 ммоль) гидроксида натрия растворяют в 10 мл толуола. Перемешивая полученный раствор при комнатной температуре, добавляют к нему 1,7 г параформальдегида, после чего перемешивают 24 часа при той же температуре. Далее добавляют при комнатной температуре 1,8 г (10 ммоль) п-толуолсульфината натрия и перемешивают полученную смесь в течение 8 час. После завершения реакции прибавляют к смеси по каплям 5,0 г (50 ммоль) 35%-ной хлористоводородной кислоты, добавляют дополнительно 30 мл воды, собирают с помощью фильтрации выпавшие кристаллы, дважды промывают их 5 мл воды и сушат в горячевоздушной сушилке, получая 3,0 г (выход 88,2%) целевого соединения в виде бледно-желтых кристаллов. 1Н-ЯМР-спектр такой же, как в примере 6. Пример 9: Синтез 3-[(5-гидрокси-1-фенил-3-трифторметилпиразол-4-ил)метилтио1-4,5-дигидро-5,5-диметилизоксазола 5-Гидрокси-1-фенил-3-трифторметилпиразол (2,3 г, 10 ммоль), синтезированный в ссылочном примере 2, и 0,6 г (15 ммоль) гидроксида натрия растворяют в 10 мл воды. Перемешивая полученный раствор при комнатной температуре, прибавляют к нему по каплям 1,7 г (20 ммоль) 35%-ного раствора формалина, после чего перемешивают 1 час при той же температуре (реакционный раствор 1). Отдельно добавляют 2,1 г (10 ммоль) гидрохлорида [5,5-диметил(4,5-дигидроизоксазол-3-ил)]тиокарбоксамидина к 10 мл водного раствора, содержащего 1,2 г (30 ммоль) гидроксида натрия, и перемешивают в течение 1 часа (реакционный раствор 2). Реакционный раствор 2 прибавляют по каплям к реакционному раствору 1 и перемешивают полученную смесь в течение 2 час. После завершения реакции прибавляют к смеси по каплям 6,0 г (60 ммоль) 35%-ной хлористоводородной кислоты и толуольный слой, полученный в результате операции экстракции двумя порциями по 20 мл толуола, промывают 10 мл воды, затем 10 мл насыщенного солевого раствора и высушивают над безводным сульфатом натрия. После этого удаляют толуол перегонкой при пониженном давлении, получая 3,3 г (выход 89,2%) целевого соединения в виде вязкого материала. Этот вязкий материал оставляют на двое суток, в результате чего он кристаллизуется. 1Н-ЯМР (300 МГц, MeOH-d4): Пример 10: Синтез 4-[(5-гидрокси-1-фенил-3-трифторметилпиразол-4-ил)метилсульфонил]бензола 5-Гидрокси-1-фенил-3-трифторметилпиразол (2,3 г, 10 ммоль), синтезированный в ссылочном примере 2, и 0,6 г (15 ммоль) гидроксида натрия растворяют в 10 мл воды. Перемешивая полученный раствор при комнатной температуре, прибавляют к нему по каплям к нему 1,7 г (20 ммоль) 35%-ного раствора формалина, после чего перемешивают 1 час при той же температуре. Далее добавляют к раствору 1,6 г (10 ммоль) бензолсульфината натрия при комнатной температуре и перемешивают полученный раствор в течение 2 час. После завершения реакции прибавляют к смеси по каплям 6,0 г (60 ммоль) 35%-ной хлористоводородной кислоты и толуольный слой, полученный в результате операции экстракции двумя порциями по 20 мл толуола, промывают 10 мл воды, затем 10 мл насыщенного солевого раствора и высушивают над безводным сульфатом натрия. После этого удаляют толуол перегонкой при пониженном давлении, получая 3,4 г (выход 88,1%) целевого соединения в виде вязкого материала. Этот вязкий материал оставляют на двое суток, в результате чего он кристаллизуется. 1Н-ЯМР (300 МГц, MeOH-d4): Пример 11: Синтез 3-[(5-гидрокси-3-трифторметилпиразол-4-ил)метилтио]-4,5-дигидро-5,5-диметилизоксазола Гидрохлорид 5-гидрокси-3-трифторметилпиразола (1,9 г, 10 ммоль), синтезированный в ссылочном примере 3, и 1,2 г (15 ммоль) гидроксида натрия растворяют в 10 мл воды. Перемешивая полученный раствор при комнатной температуре, прибавляют к нему по каплям 1,7 г (20 ммоль) 35%-ного раствора формалина, после чего перемешивают 1 час при той же температуре (реакционный раствор 1). Отдельно добавляют 2,1 г (10 ммоль) гидрохлорида [5,5-диметил(4,5-дигидроизоксазол-3-ил)]тиокарбоксамидина к 10 мл водного раствора, содержащего 1,2 г (30 ммоль) гидроксида натрия и перемешивают в течение 1 часа (реакционный раствор 2). Реакционный раствор 2 прибавляют по каплям к реакционному раствору 1 и перемешивают полученную смесь в течение 2 час. После завершения реакции прибавляют к смеси по каплям 6,0 г (60 ммоль) 35%-ной хлористоводородной кислоты и затем осторожно прибавляют гидрокарбонат натрия, следя за тем, чтобы реакционный раствор имел рН 7. Толуольный слой, полученный в результате операции экстракции двумя порциями по 20 мл этилацетата, промывают 10 мл воды, затем 10 мл насыщенного солевого раствора и высушивают над безводным сульфатом натрия. После этого удаляют этилацетат перегонкой при пониженном давлении, получая 2,4 г (выход 81,3%) целевого соединения в виде вязкого материала. Этот вязкий материал оставляют на двое суток, в результате чего он кристаллизуется. 1Н-ЯМР (300 МГц, MeOH-d4): LC-MS (EI): m/z=320 (М+), 163 (основание), т.пл. 131-133°С. Пример 12: Синтез 3-[(5-гидрокси-3-трифторметилпиразол-4-ил)метилсульфонил]толуола Гидрохлорид 5-гидрокси-3-трифторметилпиразола (1,9 г, 10 ммоль), синтезированный в ссылочном примере 3, и 1,2 г (15 ммоль) гидроксида натрия растворяют в 10 мл воды. Перемешивая полученный раствор при комнатной температуре, прибавляют к нему по каплям 1,7 г (20 ммоль) 35%-ного раствора формалина, после чего перемешивают 1 час при той же температуре. Далее добавляют при комнатной температуре 1,8 г (10 ммоль) п-толуолсульфината натрия и перемешивают полученную смесь в течение 2 час. После завершения реакции прибавляют к смеси по каплям 5,0 г (50 ммоль) 35%-ной хлористоводородной кислоты, добавляют дополнительно 30 мл воды, собирают с помощью фильтрации выпавшие кристаллы, дважды промывают их 10 мл воды и сушат в горячевоздушной сушилке, получая 2,67 г (выход 83,2%) целевого соединения в виде бледно-желтых кристаллов. 1Н-ЯМР (300 МГц, MeOH-d4): LC-MS (EI): m/z=295 (M+), 163 (основание), т.пл. 130-133°С. Пример 13: Синтез 4-[(3-циано-5-гидрокси-1-фенилпиразол-4-ил)метилсульфонил]толуола 3-циано-5-гидрокси-1-фенилпиразол (1,8 г, 10 ммоль), синтезированный в ссылочном примере 5, и 0,6 г (15 ммоль) гидроксида натрия, растворяют в 10 мл воды. Перемешивая полученный раствор при комнатной температуре, прибавляют к нему по каплям 1,7 г (20 ммоль) 35%-ного раствора формалина, после чего перемешивают 1 час при той же температуре. Далее добавляют к раствору 1,8 г (10 ммоль) п-толуолсульфината натрия при комнатной температуре и перемешивают полученный раствор в течение 2 час. После завершения реакции прибавляют к смеси по каплям 5,0 г (50 ммоль) 35%-ной хлористоводородной кислоты, добавляют дополнительно 20 мл воды, собирают с помощью фильтрации выпавшие кристаллы, дважды промывают их 20 мл воды и сушат в горячевоздушной сушилке, получая 3,0 г (выход 85,7%) целевого соединения в виде бледно-желтых кристаллов. 1Н-ЯМР (300 МГц, MeOH-d4): LC-MS (EI): m/z=353 (М+), 197 (основание), т.пл. 214°С. Пример 14: Синтез 4-[(3-карбокси-5-гидрокси-1-фенилпиразол-4-ил)метилсульфонил]толуола 5-Гидрокси-1-метил-3-этоксикарбонилпиразол (1,7 г, 10 ммоль), синтезированный в ссылочном примере 4, и 1,2 г (30 ммоль) гидроксида натрия растворяют в 20 мл воды. Перемешивая полученный раствор при комнатной температуре, прибавляют к нему по каплям 1,7 г (20 ммоль) 35%-ного раствора формалина, после чего перемешивают 1 час при той же температуре. Далее добавляют к раствору 1,8 г (10 ммоль) п-толуолсульфината натрия при комнатной температуре и перемешивают полученный раствор в течение 2 час. После завершения реакции прибавляют к смеси по каплям 5,0 г (50 ммоль) 35%-ной хлористоводородной кислоты, добавляют дополнительно 30 мл воды, собирают с помощью фильтрации выпавшие кристаллы, дважды промывают их 20 мл воды и сушат в горячевоздушной сушилке, получая 2,6 г (выход 82,9%) целевого соединения в виде белых кристаллов. 1Н-ЯМР (300 МГц, MeOH-d4): LC-MS (EI): m/z=310 (М+), 155 (основание), т.пл. 228°С. Пример 15: Синтез 4-[(3-(2,4-дихлорфенил)-5-гидрокси-1-метилпиразол-4-ил)метилсульфонил]толуола 3-(2,4-Дихлорфенил)-5-гидрокси-1-метилпиразол (1,3 г, 5 ммоль), синтезированный в ссылочном примере 6, и 0,3 г (7,5 ммоль) гидроксида натрия растворяют в 5 мл этанола. Перемешивая полученный раствор при комнатной температуре, прибавляют к нему по каплям 1,0 г (11 ммоль) 35%-ного раствора формалина, после чего перемешивают 1 час при той же температуре. Далее добавляют к раствору 0,9 г (5 ммоль) п-толуолсульфината натрия при комнатной температуре и перемешивают полученный раствор в течение 2 час. После завершения реакции прибавляют к смеси по каплям 2,5 г (25 ммоль) 35%-ной хлористоводородной кислоты, добавляют дополнительно 15 мл воды, собирают с помощью фильтрации выпавшие кристаллы, дважды промывают их 10 мл воды и сушат в горячевоздушной сушилке, получая 2,1 г (выход 90,3%) целевого соединения в виде бледно-желтых кристаллов. 1Н-ЯМР (300 МГц, CDCl3): LC-MS (EI): m/z=410 (М+), 255 (основание), т.пл. 209°С. Пример 16: Синтез 4-{[(3-(3,5-динитрофенил)-5-гидрокси-1-метилпиразол-4-ил]метилсульфонил}толуола 3-(3,5-Динитрофенил)-5-гидрокси-1-метилпиразол (0,65 г, 2,5 ммоль), синтезированный в ссылочном примере 4, и 0,15 г (3,8 ммоль) гидроксида натрия растворяют в 5 мл этанола. Перемешивая полученный раствор при комнатной температуре, прибавляют к нему по каплям 0,5 г (5,5 ммоль) 35%-ного раствора формалина, после чего перемешивают 1 час при той же температуре. Далее добавляют к раствору 0,45 г (2,5 ммоль) п-толуолсульфината натрия при комнатной температуре и перемешивают полученный раствор в течение 2 час. После завершения реакции прибавляют к смеси по каплям 2,5 г (25 ммоль) 35%-ной хлористоводородной кислоты, добавляют дополнительно 15 мл воды, собирают с помощью фильтрации выпавшие кристаллы, дважды промывают их 10 мл воды и сушат в горячевоздушной сушилке, получая 0,9 г (выход 98,3%) целевого соединения в виде кристаллов бурого цвета. 1Н-ЯМР (300 МГц, CDCl3): LC-MS (EI): m/z=432 (М+), 276 (основание), т.пл. 192-194°С. Применимость в промышленности Предложен новый промышленный способ получения 5-гидрокси-4-тиометилпиразольного соединения. Согласно способу настоящего изобретения 5-гидрокси-4-тиометилпиразольное соединение получают из 5-гидроксипиразольного соединения, представленного формулой (1), с высоким выходом в одну стадию с помощью простого и легкого способа в мягких условиях без использования специального реакционного аппарата или дорогостоящего катализатора или переходного металла. Кроме того, практически не образуются вредные отходы от катализатора или переходного металла, и благодаря этому этот способ является экологически безопасным и характеризуется высокой степенью промышленной применимости. Наряду с этим согласно воплощению с использованием в способе настоящего изобретения в качестве растворителя воды предлагается еще более экологически безопасный способ, характеризующийся еще более высокой степенью промышленной применимости.
Формула изобретения
1. Способ получения 5-гидрокси-4-тиометилпиразольного соединения, включающий реакцию пиразола, представленного формулой (I): 2. Способ по п.1, в котором n равно 0. 3. Способ по п.1, в котором n равно 2. 4. Способ по любому из пп.1-3, в котором электроноакцепторной группой, представленной символом R2, является трифторметильная группа. 5. Способ по любому из пп.1-3, в котором электроноакцепторной группой, представленной символом R2, является цианогруппа. 6. Способ по любому из пп.1-3, в котором электроноакцепторной группой, представленной символом R2, является алкоксикарбонильная группа, карбоксильная группа или их соль со щелочным или щелочноземельным металлом.
|
||||||||||||||||||||||||||




-кетоэфиров с гидразинами, метильная группа должна быть превращена в хлорметильную группу путем хлорирования. Далее, для получения 4-тиометилпиразольного соединения необходимо, чтобы упомянутая хлорметильная группа прореагировала с каким-либо сераорганическим соединением (см. Патентный документ 1). Однако такой метод не является удовлетворительным в качестве промышленного способа получения 4-тиометилпиразольного соединения, поскольку реакция включает несколько стадий и выход не высок из-за трудности осуществления селективного моногалогенирования метильной группы в положении 4 пиразола.


10-287654.
-цианоянтарной кислоты с диазониевой солью описан в Kokoku (публикация заявки, прошедший экспертизу)
=7,53 (д, J=1,8 Гц, 1Н), 7,2-7,4 (м, 2Н), 5,68 (с, 1Н), 3,54 (с, 3Н) м.д.

