|
|
(21), (22) Заявка: 2007126976/04, 07.12.2005
(24) Дата начала отсчета срока действия патента:
07.12.2005
(30) Конвенционный приоритет:
16.12.2004 EP 04106620.0
(43) Дата публикации заявки: 27.01.2009
(46) Опубликовано: 20.04.2010
(56) Список документов, цитированных в отчете о поиске:
ЕР 0233051 А2, 19.08.1987. US 20030236259 A1, 25.12.2003. US 20040019039 A1, 29.01.2004. RU 2220967 C2, 10.01.2004.
(85) Дата перевода заявки PCT на национальную фазу:
16.07.2007
(86) Заявка PCT:
EP 2005/013072 20051207
(87) Публикация PCT:
WO 2006/063718 20060622
Адрес для переписки:
101000, Москва, М.Златоустинский пер., 10, кв.15, “ЕВРОМАРКПАТ”, пат.пов. И.А.Веселицкой, рег. 11
|
(72) Автор(ы):
НЕТТЕКОВЕН Маттиас Генрих (DE), РОШЕ Оливье (FR), РОДРИГЕС-САРМЬЕНТО Роса-Мария (CH)
(73) Патентообладатель(и):
Ф.ХОФФМАНН-ЛЯ РОШ АГ (CH)
|
(54) ПРОИЗВОДНЫЕ ПИПЕРАЗИНИЛПИРИДИНА В КАЧЕСТВЕ АГЕНТОВ ПРОТИВ ОЖИРЕНИЯ
(57) Реферат:
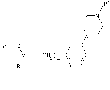
Изобретение относится к соединениям формулы (I)

где R означает водород или (низш.)алкил; R1 означает (низш.)алкил или (С3-С7)циклоалкил; Х означает азот, a Y означает углерод или Y означает азот, а Х означает углерод; m означает 0 или 1; Z означает С(O) или SO2; R2 выбирают из группы, состоящей из (низш.)алкила, (С3-С7)циклоалкила или (С3-С7)циклоалкила, замещенного (низш.)алкилом, (низш.)фенилалкила, где фенильное кольцо является незамещенным или моно- или дизамещенным (низш.)алкокси или галоидом, пиридила, моно-или дизамещенного галоидом, и NR3R4 или в случае, когда Z означает С(O), R2 может быть также (низш.)алкокси; R3 означает водород или (низш.)алкил; R4 выбирают из группы, состоящей из (низш.)алкила, (низш.)алкоксиалкила, (С3-С7)циклоалкила, незамещенного фенила или фенила, монозамещенного (низш.)алкокси, или (низш.)фенилалкила, где фенил является незамещенным или моно- или дизамещенным галоидом; или R3 и R4 образуют вместе с атомом азота, к которому они присоединены, 5-, 6-или 7-членное гетероциклическое кольцо, необязательно содержащее дополнительный гетероатом, выбранный из кислорода, упомянутое гетероциклическое кольцо является незамещенным или замещенным одной или двумя группами, независимо выбранными из (низш.)алкила, галоида и галоидалкила, или является конденсированным с фенильным или циклогексильным кольцом, и к их фармацевтически приемлемым солям, а также к фармацевтическим композициям, включающим эти соединения. Технический результат – получение новых соединений и фармацевтических композиций на их основе пригодных для лечения и/или предупреждения заболеваний, которые ассоциированы с модуляцией рецепторов Н3. 2 н. и 23 з.п. ф-лы, 2 табл.
Текст описания приведен в факсимильном виде.                                                        
Формула изобретения
1. Соединения общей формулы
 R означает водород или (низш.)алкил; R1 означает (низш.)алкил или (С3-С7)циклоалкил; Х означает азот, a Y означает углерод или Y означает азот, а Х означает углерод; m означает 0 или 1; Z означает С(O) или SO2; R2 выбирают из группы, состоящей из (низш.)алкила, (С3-С7)циклоалкила или (С3-С7)циклоалкила, замещенного (низш.)алкилом, (низш.)фенилалкила, где фенильное кольцо является незамещенным или моно- или дизамещенным (низш.)алкокси или галоидом, пиридила, моно-или дизамещенного галоидом, и NR3R4 или в случае, когда Z означает С(O), R2 может быть также (низш.)алкокси; R3 означает водород или (низш.)алкил; R4 выбирают из группы, состоящей из (низш.)алкила, (низш.)алкоксиалкила, (С3-С7)циклоалкила, незамещенного фенила или фенила, монозамещенного (низш.)алкокси или (низш.)фенилалкила, где фенил является незамещенным или моно- или дизамещенным галоидом; или R3 и R4 образуют вместе с атомом азота, к которому они присоединены, 5-, 6-или 7-членное гетероциклическое кольцо, необязательно содержащее дополнительный гетероатом, выбранный из кислорода, упомянутое гетероциклическое кольцо является незамещенным или замещенным одной или двумя группами, независимо выбранными из (низш.)алкила, галоида и галоидалкила, или является конденсированным с фенильным или циклогексильным кольцом; и их фармацевтически приемлемые соли.
2. Соединения формулы I по п.1, где R1 означает (С3-С7)циклоалкил.
3. Соединения формулы I по п.1 или п.2, где R1 означает этил или изопропил.
4. Соединения формулы I по п.1 или 2, где m означает 0.
5. Соединения формулы I по п.1 или 2, где m означает 1.
6. Соединения формулы I по п.1 или 2, где R означает водород, и R2 выбирают из группы, состоящей из (низш.)алкила, (С3-С7)циклоалкила (низш.)фенилалкила, где фенильное кольцо является незамещенным или моно- или дизамещенным (низш.)алкокси или галоидом, пиридила, моно- или дизамещенного галоидом, и NR3R4 или в случае, когда Z означает С(O), R2 может быть также (низш.)алкокси.
7. Соединения формулы I по п.1 или 2, где R2 выбирают из группы, состоящей из (низш.)алкила, (С3-С7)циклоалкила или (С3-С7)циклоалкила, замещенного (низш.)алкилом, (низш.)фенилалкила, где фенильное кольцо является незамещенным или моно- или дизамещенным (низш.)алкокси или галоидом, пиридила, моно- или дизамещенного галоидом, и NR3R4 или в случае, когда Z означает С(O), R2 может быть также (низш.)алкокси.
8. Соединения формулы I по п.1 или 2, где R2 выбирают из группы, состоящей из (низш.)алкила или (С3-С7)циклоалкила.
9. Соединения формулы I по п.1 или 2, где R2 означает (низш.)фенилалкил, где фенил является незамещенным или моно- или дизамещенным (низш.)алкокси или галоидом.
10. Соединения формулы I по п.1 или 2, где R2 означает-NR3R4, a R3 и R4 имеют значения, определенные в п.1.
11. Соединения формулы I по п.10, где R3 и R4 означают (низш.)алкил.
12. Соединения формулы I по п.10, где R3 означает водород или (низш.)алкил, и R4 выбирают из группы, состоящей из (низш.)алкила, (низш.)алкоксиалкила, (С3-С7)циклоалкила, незамещенного фенила или фенила, монозамещенного (низш.)алкокси, и (низш.)фенилалкила, в котором фенил является незамещенным или моно- или дизамещенным галоидом.
13. Соединения формулы I по п.10, где R3 и R4 образуют вместе с атомом азота, к которому они присоединены, 5-, 6- или 7-членное гетероциклическое кольцо, необязательно содержащее дополнительный гетероатом, выбранный из кислорода, упомянутое гетероциклическое кольцо является незамещенным или замещенным одной или двумя группами, независимо выбранными из (низш.)алкила, галоида и (низш.)галоидалкила, или является конденсированными с фенильным или циклогексильным кольцом.
14. Соединения формулы I по п.1 или 2, где R2 означает незамещенный фенил или фенил, моно- или дизамещенный (низш.)алкокси или галоидом.
15. Соединения формулы I по п.1 или 2, где Z означает SO2.
16. Соединения формулы I по п.1 или 2, где Z означает С(O).
17. Соединения формулы I по п.1 или 2, где Z означает С(O), и R2 означает-NR3R4.
18. Соединения формулы I по п.1 или 2, где Х означает N, a Y означает С.
19. Соединения формулы I по п.1 или 2, где Х означает С, а Y означает N.
20. Соединения формулы I по п.1 или 2, где R означает водород.
21. Соединения формулы I по п.1 или 2, где R означает метил.
22. Соединения формулы I по п.1, выбранные из группы, состоящей из 1-[2-(4-этилпиперазин-1-ил)пиридин-4-ил]-3-пропилмочевины, 3-[2-(4-циклопентилпиперазин-1-ил)пиридин-4-ил]-1,1-диэтилмочевины, N-[2-(4-этилпиперазин-1-ил)пиридин-4-ил]пропионамида, N-[2-(4-этилпиперазин-1-ил)пиридин-4-ил]бутирамида, N-[2-(4-этилпиперазин-1-ил)пиридин-4-ил]-С-фенилметансульфонамида, С-(4-хлорфенил)-N-[2-(4-этилпиперазин-1-ил)пиридин-4-ил]метансульфонамида, N-[2-(4-этилпиперазин-1-ил)пиридин-4-ил]-3-фторбензолсульфонамида, 4-хлор-N-[2-(4-этилпиперазин-1-ил)пиридин-4-ил]бензолсульфонамида, 1-[2-(4-циклопентилпиперазин-1-ил)пиридин-4-ил]-3-(4-фторбензил)мочевины, N-[2-(4-циклопентилпиперазин-1-ил)пиридин-4-ил]пропионамида, N-[2-(4-циклопентилпиперазин-1-ил)пиридин-4-ил]бутирамида, [2-(4-циклопентилпиперазин-1-ил)пиридин-4-ил]амида циклогексанкарбоновой кислоты, N-[2-(4-циклопентилпиперазин-l-ил)пиридин-4-ил]-3-метоксибензамида, С-(4-хлорфенил)-N-[2-(4-циклопентилпиперазин-1-ил)пиридин-4-ил]-метансульфонамида, [2-(4-циклопентилпиперазин-1-ил)пиридин-4-ил]амида циклопропанкарбоновой кислоты, [2-(4-циклопентилпиперазин-1-ил)пиридин-4-ил]амида циклобутанкарбоновой кислоты, [2-(4-циклопентилпиперазин-1-ил)пиридин-4-ил]амида циклопентанкарбоновой кислоты, N-[2-(4-циклопентилпиперазин-1-ил)пиридин-4-ил]-2-этилбутирамида, N-[2-(4-циклопентилпиперазин-1-ил)пиридин-4-ил]-2-фторбензамида, N-[2-(4-циклопентилпиперазин-1-ил)пиридин-4-ил]-4-фторбензамида, N-[2-(4-циклопентилпиперазин-1-ил)пиридин-4-ил]-2-метоксибензамида, 2-хлор-N-[2-(4-циклопентилпиперазин-1-ил)пиридин-4-ил]никотинамида, N-[2-(4-циклопентилпиперазин-1-ил)пиридин-4-ил]-2-фенилацетамида, N-[2-(4-циклопентилпиперазин-1-ил)пиридин-4-ил]-2-(4-фторфенил)ацетамида, N-[2-(4-циклопентилпиперазин-1-ил)пиридин-4-ил]-2-(3-метоксифенил)ацетамида, изобутилового эфира[2-(4-циклопентилпиперазин-1-ил)пиридин-4-ил]карбаминовой кислоты, 1-[2-(4-циклопентилпиперазин-1-ил)пиридин-4-ил]-3-пропилмочевины, 1-циклогексил-3-[2-(4-циклопентилпиперазин-1-ил)пиридин-4-ил]мочевины, [2-(4-циклопентилпиперазин-1-ил)пиридин-4-ил]амида пиперидин-1-карбоновой кислоты, [2-(4-циклопентилпиперазин-1-ил)пиридин-4-ил]амида морфолин-4-карбоновой кислоты, [2-(4-циклопентилпиперазин-1-ил)пиридин-4-ил]амида пирролидин-1-карбоновой кислоты, [2-(4-циклопентилпиперазин-1-ил)пиридин-4-ил]амида 4,4-дифторпиперидин-1-карбоновой кислоты, [2-(4-циклопентилпиперазин-1-ил)пиридин-4-ил]амида 2-метилпиперидин-1-карбоновой кислоты, [2-(4-циклопентилпиперазин-1-ил)пиридин-4-ил]амида 3-метилпиперидин-1-карбоновой кислоты, [2-(4-циклопентилпиперазин-1-ил)пиридин-4-ил]амида 4-метилпиперидин-1-карбоновой кислоты, [2-(4-циклопентилпиперазин-1-ил)пиридин-4-ил]амида 2,6-диметилпиперидин-1-карбоновой кислоты, [2-(4-циклопентилпиперазин-1-ил)пиридин-4-ил]амида 4-фторпиперидин-1-карбоновой кислоты, [2-(4-циклопентилпиперазин-1-ил)пиридин-4-ил] амида 3,3-дифторпиперидин-1-карбоновой кислоты, [2-(4-циклопентилпиперазин-1-ил)пиридин-4-ил] амида 4-трифторметилпиперидин-1-карбоновой кислоты, [2-(4-циклопентилпиперазин-1-ил)пиридин-4-ил]амида октагидрохинолин-1-карбоновой кислоты, [2-(4-циклопентилпиперазин-1-ил)пиридин-4-ил]амида октагидроизохинолин-2-карбоновой кислоты, [2-(4-циклопентилпиперазин-1-ил)пиридин-4-ил]амида 3,4-дигидро-2-N-хинолин-1-карбоновой кислоты, [2-(4-циклопентилпиперазин-1-ил)пиридин-4-ил]амида 3,4-дигидро-1Н-изохинолин-2-карбоновой кислоты, [2-(4-циклопентилпиперазин-1-ил)пиридин-4-ил]амида 2-метилпирролидин-1-карбоновой кислоты, [2-(4-циклопентилпиперазин-1-ил)пиридин-4-ил]амида 2-трифторметилпирролидин-1-карбоновой кислоты, [2-(4-циклопентилпиперазин-1-ил)пиридин-4-ил]амида 2-изопропилпирролидин-1-карбоновой кислоты, [2-(4-циклопентилпиперазин-1-ил)пиридин-4-ил]амида 1,3-дигидроизоиндол-2-карбоновой кислоты, [2-(4-циклопентилпиперазин-1-ил)пиридин-4-ил]амида 2,3-дигидроиндол-1-карбоновой кислоты, 3-[2-(4-циклопентилпиперазин-1-ил)пиридин-4-ил]-1-изопропил-1-(2-метоксиэтил)-мочевина, [2-(4-циклопентилпиперазин-1-ил)пиридин-4-ил]амида азепан-1-карбоновой кислоты, 3-[2-(4-циклопентилпиперазин-1-ил)пиридин-4-ил]-1-этил-1-фенилмочевины, 3-[2-(4-циклопентилпиперазин-1-ил)пиридин-4-ил]-1-(4-метоксифенил)-1-метил-мочевины, N-[2-(4-циклопентилпиперазин-1-ил)пиридин-4-илметил]бутирамида, [2-(4-циклопентилпиперазин-1-ил)пиридин-4-илметил]амида циклогексанкарбоновой кислоты, N-[2-(4-циклопентилпиперазин-1-ил)пиридин-4-илметил]-2-фенилацетамида, N-[2-(4-циклопентилпиперазин-1-ил)пиридин-4-илметил]-4-фторбензамида, 2-(4-хлорфенил)-N-[2-(4-циклопентилпиперазин-1-ил)пиридин-4-илметил]-3-метил-бутирамида, 1-[2-(4-циклопентилпиперазин-1-ил)пиридин-4-илметил]-3-пропилмочевины, 1-циклогексил-3-[2-(4-циклопентилпиперазин-1-ил)пиридин-4-илметил]мочевины, 1-бензил-3-[2-(4-циклопентилпиперазин-1-ил)пиридин-4-илметил]мочевины, [2-(4-циклопентилпиперазин-1-ил)пиридин-4-илметил]амида пропан-1-сульфоновой кислоты, [2-(4-циклопентилпиперазин-1-ил)пиридин-4-илметил]амидадиметиламин-1-сульфоновой кислоты, С-(4-хлорфенил)-N-[2-(4-циклопентилпиперазин-1-ил)пиридин-4-илметил]-метансульфонамида, N-[2-(4-циклопентилпиперазин-1-ил)пиридин-4-илметил]бензолсульфонамида, N-[4-(4-циклопентилпиперазин-1-ил)пиридин-2-ил]пропионамида, [4-(4-циклопентилпиперазин-1-ил)пиридин-2-ил]амида циклопропанкарбоновой кислоты, N-[4-(4-циклопентилпиперазин-1-ил)пиридин-2-ил]бутирамида, N-[4-(4-циклопентилпиперазин-1-ил)пиридин-2-ил]-2-метоксиацетамида, [4-(4-циклопентилпиперазин-1-ил)пиридин-2-ил]амида циклопентанкарбоновой кислоты, N-[4-(4-циклопентилпиперазин-1-ил)пиридин-2-ил]-2-этилбутирамида, [4-(4-циклопентилпиперазин-1-ил)пиридин-2-ил]амида циклогексанкарбоновой кислоты, N-[4-(4-циклопентилпиперазин-1-ил)пиридин-2-ил]-2-фторбензамида, N-[4-(4-циклопентилпиперазин-1-ил)пиридин-2-ил]-3-фторбензамида, N-[4-(4-циклопентилпиперазин-1-ил)пиридин-2-ил]-4-фторбензамида, N-[4-(4-циклопентилпиперазин-1-ил)пиридин-2-ил]-2-метоксибензамида, N-[4-(4-циклопентилпиперазин-1-ил)пиридин-2-ил]-3-метоксибензамида, N-[4-(4-циклопентилпиперазин-1-ил)пиридин-2-ил]-4-метоксибензамида, 2-хлор-N-[4-(4-циклопентилпиперазин-1-ил)пиридин-2-ил]никотинамида, 2-метоксиэтилового эфира 4-(4-циклопентилпиперазин-1-ил)пиридин-2-ил]карбаминовой кислоты, 1-[4-(4-циклопентилпиперазин-1-ил)пиридин-2-ил]-3-(2-метоксифенил)мочевины, 1-[4-(4-циклопентилпиперазин-1-ил)пиридин-2-ил]-3-(1-фенилэтил)мочевины, [2-(4-изопропилпиперазин-1-ил)пиридин-4-ил]амида циклогексанкарбоновой кислоты, [2-(4-изопропилпиперазин-1-ил)пиридин-4-ил]амида 3-метилциклогексанкарбоновой кислоты, [2-(4-циклопентилпиперазин-1-ил)пиридин-4-ил]метиламида циклопентанкарбоновой кислоты, [2-(4-циклопентилпиперазин-1-ил)пиридин-4-ил]метиламида 3-метилциклогексанкарбоновой кислоты, [2-(4-циклопентилпиперазин-1-ил)пиридин-4-ил] метиламида циклогексанкарбоновой кислоты, [2-(4-изопропилпиперазин-1-ил)пиридин-4-ил]метиламида 3-метил-циклогексанкарбоновой кислоты, [2-(4-изопропилпиперазин-1-ил)пиридин-4-ил]метиламида циклогексанкарбоновой кислоты, [2-(4-циклопентилпиперазин-1-ил)пиридин-4-ил]метиламида пиперидин-1-карбоновой кислоты, [2-(4-циклопентилпиперазин-1-ил)пиридин-4-ил]метиламида пирролидин-1-карбоновой кислоты, [2-(4-циклопентилпиперазин-1-ил)пиридин-4-ил]метиламида 4,4-дифторпиперидин-1-карбоновой кислоты, 3-циклогексил-1-[2-(4-циклопентилпиперазин-1-ил)пиридин-4-ил]-1-метилмочевины, 3-циклопентил-1-[2-(4-циклопентилпиперазин-1-ил)пиридин-4-ил]-1-метилмочевины, и их фармацевтически приемлемые соли.
23. Соединения формулы I по п.1, выбранные из группы, состоящей из 1-[2-(4-циклопентилпиперазин-1-ил)пиридин-4-ил]-3-(4-фторбензил)мочевины, N-[2-(4-циклопентилпиперазин-1-ил)пиридин-4-ил]бутирамида, [2-(4-циклопентилпиперазин-1-ил)пиридин-4-ил]амида циклогексанкарбоновой кислоты, [2-(4-циклопентилпиперазин-1-ил)пиридин-4-ил]амида циклопентанкарбоновой кислоты, 1-[2-(4-циклопентилпиперазин-1-ил)пиридин-4-ил]-3-пропилмочевины, 1-циклогексил-3-[2-(4-циклопентилпиперазин-1-ил)пиридин-4-ил]мочевины, [2-(4-циклопентилпиперазин-1-ил)пиридин-4-ил]амида пиперидин-1-карбоновой кислоты, [2-(4-циклопентилпиперазин-1-ил)пиридин-4-ил]амида 4,4-дифторпиперидин-1 карбоновой кислоты, [2-(4-циклопентилпиперазин-1-ил)пиридин-4-ил]амида 3-метилпиперидин-1-карбоновой кислоты, [2-(4-циклопентилпиперазин-1-ил)пиридин-4-ил]амида 4-метилпиперидин-1-карбоновой кислоты, [2-(4-циклопентилпиперазин-1-ил)пиридин-4-ил]амида 2,6-диметилпиперидин-1-карбоновой кислоты, [2-(4-циклопентилпиперазин-1-ил)пиридин-4-ил]амида 4-фторпиперидин-1-карбоновой кислоты, [2-(4-циклопентилпиперазин-1-ил)пиридин-4-ил]амида октагидрохинолин-1-карбоновой кислоты, [2-(4-циклопентилпиперазин-1-ил)пиридин-4-ил]амида октагидроизохинолин-2-карбоновой кислоты, [2-(4-циклопентилпиперазин-1-ил)пиридин-4-ил]амида азепан-1-карбоновой кислоты, [4-(4-циклопентилпиперазин-1-ил)пиридин-2-ил]амида циклопропанкарбоновой кислоты, [4-(4-циклопентилпиперазин-1-ил)пиридин-2-ил]амида циклопентанкарбоновой кислоты, [4-(4-циклопентилпиперазин-1-ил)пиридин-2-ил]амида циклогексанкарбоновой кислоты, [2-(4-циклопентилпиперазин-1-ил)пиридин-4-ил]метиламида3-метил- циклогексанкарбоновой кислоты, [2-(4-циклопентилпиперазин-1-ил)пиридин-4-ил]метиламида 4,4-дифторпиперидин-1-карбоновой кислоты, и их фармацевтически приемлемые соли.
24. Соединения по любому из пп.1-23, предназначенные для использования в качестве терапевтически активных веществ для лечения и/или предупреждения заболеваний, которые ассоциированы с модуляцией рецепторов Н3.
25. Фармацевтическая композиция для лечения и/или предупреждения заболеваний, которые ассоциированы с модуляцией рецепторов Н3, включающая соединение по любому из пп.1-23 и фармацевтически приемлемый носитель и/или вспомогательное вещество.
РИСУНКИ
|
|