Патент на изобретение №2167524
|
||||||||||||||||||||||||||
(54) ФУНГИЦИДНЫЙ СОСТАВ И СПОСОБ БОРЬБЫ С ПОРАЖЕНИЕМ ГРИБАМИ
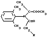
(57) Реферат: Описывается новый фунгицидный состав, содержащий металаксил или беналаксил, в котором содержание R-энантиомера составляет более 70 вес.%, и приемлемый для этого фунгицида носитель. Описывается способ борьбы или предупреждения поражения оомицетами путем обработки растений, частей растений или мест, подверженных поражению, с использованием этой композиции. Технический результат – улучшенное разложение состава в почве. 2 с. и 12 з.п. ф-лы, 9 табл., 2 ил. Изобретение относится к новому способу предотвращения и борьбы с поражением растений оомицетами с помощью металаксила, фуралаксила или беналаксила, далее называемых активным ингредиентом I, в каждом из которых содержание R- энантиомера составляет более 70 вес.%, и к пригодным для этой цели фунгицидным составам. Металаксил был первым из этой серии коммерчески доступным препаратом из класса активных ингредиентов, первоначально называвшихся ацилаланинами, а позднее фениламидами, которые являются чрезвычайно активными в отношении оомицетов. Оомицеты включают все разновидности ложной мучнистой росы, которые поражают главным образом картофель, томаты, виноград, хмель, кукурузу, сахарную свеклу, табак, овощные культуры, латук, а также бананы, каучуконосы, газонные травы и декоративные растения. Предпочтительным методом обработки ацилаланиновыми фунгицидами является нанесение на листья, при котором листву и растущее растение обрабатывают активным ингредиентом. Часть активного ингредиента поглощается растением, а часть остается на растении и в результате смывания дождем или другим способом вследствие опадания листьев или в период созревания попадает в почву. В случае почвенной обработки активный ингредиент попадает в почву напрямую вследствие введения его в жидком виде или, например, в виде гранул. Недостатком в таком случае является низкая скорость разложения представителей этого класса соединений в почве, которая зависит в основном от того, являются ли почвы гумусовыми, смешанными песчаными/суглинковыми или сильно адсорбирующими почвами (суглинок/глина). При продолжительных периодах обработки, как в случае многолетних культур, таких как виноградная лоза, а также в случае типичных почвенных культур, таких как картофель, сахарная свекла или газонные травы, почва может кумулировать ацилаланиновые фунгициды, что, в свою очередь, представляет опасность для окружающей среды, в частности опасность для подземных вод. Металаксил представляет собой метиловый эфир N-(2,6- диметилфенил)-N-(метоксиацетил)-DL-аланина. Беналаксил представляет собой метиловый эфир N-(2,6-диметилфенил)-N-(фенилацетил)-DL-аланина. Фуралаксил представляет собой метиловый эфир N-(2,6-диметилфенил)-N-(2-фуранилкарбонил)-DL-аланина. Эти соединения описаны в литературе. Однако отсутствуют единые данные об их разложении. В книге “The Pesticide Manual”, 10-е изд., 1994 г., изданной Британским советом по защите урожая, приводится следующая информация о полупериодах гидролиза этих продуктов (ВИ = время исчезновения) (см. табл. I). Эти данные свидетельствуют о нежелательно высокой стабильности в водной среде. Были предприняты попытки ускорить разложение с помощью соответствующих композиций, например, с помощью гидрофобных добавок, которые предотвращают более глубокое проникновение в почву активных ингредиентов и оставляют их на поверхности, подвергая действию солнечного света и повышенных температур. Были предприняты также попытки использовать другое неблагоприятное свойство ацилаланиновых фунгицидов, а именно их высокую летучесть, которая доставляет неприятности при действии солнца и высоких температур. Ожидалось, что летучесть активного ингредиента на поверхности почвы будет также высока, но это не наблюдалось на практике. Все эти попытки не привели к удовлетворительному решению. Как только активный ингредиент адсорбируется поверхностью почвы, даже только верхними 2 см, разложение радикально замедляется, что влечет за собой все неблагоприятные последствия, вызванные медленно разлагающимися активными ингредиентами, что очевидно для специалиста в данной области техники. Неожиданно было обнаружено, что решение этой проблемы заключается в самом ацилаланиновом активном ингредиенте, в котором R-энантиомер неожиданно разлагается быстрее, чем S-энантиомер, или чем коммерчески доступные активные ингредиенты, которые представляют собой рацематы. С 1975 г., с которого этот класс веществ стал известен, известен тот факт, что именно R-энантиомер является более фунгицидно активным ингредиентом (см. GB-1500581). В течение 19 лет в литературе никогда серьезно не предлагалось казалось бы связанное с этим решение, состоящее в практическом использовании с самого начала соответствующего R-энантиомера ацилаланинового фунгицида. С одной стороны, нельзя недооценивать трудности технологического порядка при получении R-энантиомера в чистом виде или активного вещества, обогащенного R-энантиомером (например, фракционной кристаллизацией рацемата или стереоспецифическим синтезом), а с другой стороны, для практика не было очевидным и не существовало никакой технологической необходимости поступать подобным образом. Однако решающий фактор состоит в следующем. Не предполагалось, что уменьшение содержания или полное удаление S-энантиомера в рацемате могло бы решить проблему чрезвычайно долгого времени пребывания активного ингредиента в почве. До сих пор ни R-энантиомеров ацилаланиновых фунгицидов, ни рацематов, обогащенных R- энантиомерами, не поставлялось на рынок. С учетом общей экологической ситуации, обусловленной в остальном эффективным использованием ацилаланиновых фунгицидов, в частности металаксила, для борьбы с разновидностями ложной мучнистой росы (оомицетов), решение проблемы разложения, предлагаемое в настоящем изобретении, приобретает решающее технологическое значение для сельскохозяйственной практики во всем мире. Стандартное требование при защите культур состоит в достижении оптимального эффекта с помощью самой низкой из необходимых дозировок активного ингредиента с одновременным, по возможности минимальным, загрязнением окружающей среды. В области ацилаланиновых фунгицидов, в частности в случае их основного представителя – металаксила, проблему можно рассматривать как решенную. Ярко выраженное улучшение способности к биоразложению в почве достигается, если содержание R-энантиомера в активном ингредиенте превышает 70 вес.%. Согласно настоящему изобретению предлагается экологически безопасный способ предотвращения и борьбы с поражением растений оомицетами с использованием R-энантиомера металаксила или беналаксила ![]() где R обозначает OCH3 (R-металаксил); либо R обозначает C6H5 (R-беналаксил); или с использованием R-энантиомера фуралаксила, ![]() где в каждом случае содержание R-энантиомера составляет не менее 70 вес. % в используемом количестве всего активного ингредиента. Здесь и далее рацематы трех активных ингредиентов металаксила, беналаксила и фуралаксила названы активными ингредиентами I. С возрастанием содержания R-энантиомера в активном ингредиенте разложение в почве улучшается. Изобретение предпочтительно относится к способу борьбы с оомицетами, в котором используют активный ингредиент с содержанием R-энантиомера более 85 вес.%, предпочтительно более 92 вес.% и более предпочтительно более 97 вес.% от общего количества активного ингредиента. Наиболее предпочтителен способ, в котором применяют активный ингредиент I, состоящий в основном из R-энантиомера и практически не содержащий S-энантиомера (<1%). Кроме того, настоящее изобретение относится к составам для борьбы с оомицетами, в которых содержание R-энантиомеров в активных ингредиентах I составляет более 70 вес.%, предпочтительно 85 вес.% и наиболее предпочтительно более 92 вес.% от общего количества активного ингредиента. В частности, изобретение относится к составу, в котором содержание R-энантиомера в активном ингредиенте составляет более 97 вес.% и прежде всего к составу, в котором активный ингредиент практически не содержит S-энантиомера (< 1 вес.%). Указанные процентные содержания не учитывают то, что технический активный ингредиент дополнительно содержит следы побочных и промежуточных продуктов (около 3-5 вес.%). Состав и способ по настоящему изобретению позволяют вести борьбу с оомицетами, в частности с вредоносными грибами из группы Peronosporales, прежде всего с Plasmopara viticola, а также с Phytophthora spp., такими как P. infestans, Pythium pathogens, Bremia, Pseudoperonospora и др. Нормы расхода на 1 обработку (опрыскивание, опыливание, внесение в почву и т.п.) составляют от 60 г активного ингредиента на гектар (а.и./га) до 300 г а.и./га в пересчете на чистый R-энантиомер. Используемый активный ингредиент может быть фуралаксилом, беналаксилом, но предпочтительно металаксилом. Составы с R-металаксилом предпочтительно имеют высокую концентрацию (более 30 вес.% активного ингредиента). Это приводит к экономии транспортировки и помещений для хранения. Более того, на патогенах на живых растениях было подтверждено, что активность, проявляемая R-энантиомером активного ингредиента I, во много раз превышает активность рацемата, а не просто в два раза, как ожидалось. Активность может быть в 20-30 раз выше, а в некоторых условиях до 100 раз выше, чем в случае рацемата. Конформационный анализ показал, что в рассматриваемом типе активных ингредиентов с приведенной выше формулой ацилаланинов правая половина молекулы (см. выше) в кристаллическом состоянии зафиксирована в позиции, практически вертикальной к плоскости 2,6-диметилфенильного кольца, и что в растворах, когда этот барьер вращения вокруг оси фенил-азот может быть преодолен энергией (теплового движения), метиленовая группа, к которой присоединен заместитель R, находится под углом к этой фенильной группе, как показано выше на формуле (R. Nyfeler, P. Huxley, Monograph No. 31, British Crop Protection Conference Publication, Croydon 1985, стр. 45 и далее). Это означает, что остальные заместители в молекуле могут изменять свои положения относительно углеродного атома метилового эфира аланина, ответственного за абсолютную конфигурацию. Это также применимо по аналогии к соединению фуралаксил, который имеет присоединенным к этому углероду 2-фуранильный радикал вместо группы CH2-R, как описано выше. В последние годы множество биологических исследований подтвердили в принципе тот неожиданный факт, что R-энантиомер обладает лучшей фунгицидной активностью по сравнению с S-энантиомером. D.J. Fisher и A.L. Hayes (Crop protection [1985] 4 (4), стр. 501-510) обнаружили, что в Phytophthora palmivora ингибирующие значения ED50 для синтеза нуклеиновых кислот были приблизительно в 50 раз более неблагоприятными в случае S-энантиомера металаксила, чем в случае R-энантиомера, в то время как соответствующие величины ED50 для R-энантиомера и рацемата находились в соотношении приблизительно 3,1: 5,6. Таким образом, специалист мог бы ожидать, что активность определенного количества R-энантиомера примерно эквивалентна активности удвоенного количества рацемата, из чего легко заключить, что намного более низкая активность S-энантиомера отводит этому S-энантиомеру в рацемате роль практически инертного материала, присутствие которого несущественно. Расщепление рацемата активного ингредиента I и использование только R-энантиомера не являлись поэтому очевидным для практиков, хотя бы уже вследствие высокого уровня действия рацематов, и поэтому не были предложены в литературе за последние 19 лет как практичное решение. Таким образом, необходимо принять как факт, что в готовом для применения состоянии рацемического активного ингредиента I вклад R-энантиомера в активность уменьшается антагонистическим действием S-энантиомера и других конформаций молекулы. Например, можно предположить, что большое количество биохимических рецепторов временно занято, но не постоянно блокировано неактивными компонентами рацемата I. Более того, так как активные ингредиенты I, прежде всего металаксил и фуралаксил, известны как обладающие системным и проникающим действием, могут также играть роль другие негативные эффекты этих изомеров, которые предотвращают быстрое проникновение R-энантиомера в ткань клеток растения и приводят к увеличению потерь вследствие улетучивания. R-энантиомеры формулы I могут быть получены, например, фракционной кристаллизацией соли, полученной из N-(2,6-димeтилфeнил)- -аминопропионовой кислоты и азотсодержащего оптически активного основания, с последующим высвобождением оптически активного антипода и этерификацией метанолом. Примером оптически активного основания является -фенилэтиламин (GB Р.1448810).
Далее, R-энантиомеры активных ингредиентов могут также быть получены активацией гидроксильной группы как уходящей группы в доступной из природных источников L(+)-молочной кислоте, ее эфирах или солях, и ее замещением 2,6-диметиланилином с обращением конфигурации. Использование кислоты или ее солей делает необходимым последующую этерификацию метанолом. Использование отличных от метиловых лактатных эфиров делает необходимым последующую переэтерификацию метанолом. Температура кипения чистого R-металаксила составляет 143-145oC/0,03 мбар.
Упомянутый активный ингредиент перерабатывают известным способом в пестицидные составы, как описано, например, в GB Р.1500581.
Составы приготавливают известными методами, например, гомогенным смешением и/или измельчением активных ингредиентов с сухими разбавителями, такими как, например, растворители, твердые носители и при необходимости поверхностно-активные вещества (детергенты).
Приемлемые носители и добавки могут быть твердыми или жидкими и представлять собой вещества, целенаправленно используемые в технологии приготовления композиций, например, такими, как природные или регенерированные минеральные вещества, растворители, диспергаторы, смачивающие агенты, вещества для повышения клейкости, загустители, связующие или удобрения.
Предпочтительным методом использования R-энантиомера является нанесение на надземные части растения, прежде всего на листву (лиственная обработка). Частота обработки и нормы расхода зависят от биологических свойств патогена и климатических условий окружающей среды. Альтернативно этому R-энантиомер может попадать в растение из почвы через корневую систему (системное действие) посредством пропитки места произрастания растения жидким составом или внесения веществ в почву в твердом виде, например в форме гранул (почвенная обработка).
Упомянутое соединение используется как чистый активный ингредиент или предпочтительно с адьювантами, обычно используемыми в технике приготовления композиций, и, следовательно, их перерабатывают известными методами с получением, например, эмульсионных концентратов, намазываемых паст, непосредственно разбрызгиваемых или разбавляемых растворов, разбавленных эмульсий, смачивающихся порошков, растворимых порошков, дустов, гранул, или инкапсулированием, например, в полимерные вещества. Методы обработки, такие как распыление, мелкокапельное опрыскивание, опыливание, разбрасывание, нанесение кистью или полив, а также тип составов выбирают в зависимости от поставленных целей и превалирующих обстоятельств.
Как правило, агрохимические составы содержат 0,1-99%, в частности 0,1-95% активного ингредиента I, 99,9-1%, в частности 99,9-5% твердой или жидкой добавки и 0-25%, в частности 0,1-25% поверхностно-активного вещества.
Хотя в качестве коммерческих продуктов наиболее предпочтительны концентрированные составы, непосредственный потребитель, как правило, применяет разбавленные составы. Такие (агро)химические составы являются частью настоящего изобретения.
Ниже изобретение проиллюстрировано на примерах, в которых “активный ингредиент I” предпочтительно представляет собой металаксил, но также фуралаксил или беналаксил, предпочтительно с высоким содержанием R-энантиомера (70-100 вес.%) (см. табл. II).
Активный ингредиент тщательно смешивают с добавками и смесь тщательно измельчают в соответствующей мельнице. Таким путем получают смачивающиеся порошки, которые могут быть разбавлены водой с образованием суспензии любой необходимой концентрации.
Эмульсионный концентрат, %:Активный ингредиент металаксил (96% R-энантиомера) – 10 Полиэтиленгликолевый эфир октилфенола (4-5 моль этиленоксида) – 3 Додецилбензолсульфонат кальция – 3 Полигликолевый эфир касторового масла (35 моль этиленоксида) – 4 Циклогексанон – 30 Смесь ксилолов – 50 Эмульсии с любой требуемой степенью разбавления, пригодные для использования для защиты культур, могут быть приготовлены из этого концентрата разбавлением водой (см. табл. III). Готовые к применению дусты получают смешением активных ингредиентов с носителем и измельчением смеси в пригодной для этой цели мельнице. Экструдированные гранулы,%: Активный ингредиент I (>92% R-энантиомера) – 15 Лигносульфонат натрия – 2 Карбоксиметилцеллюлоза – 1 Каолин – 82 Активный ингредиент смешивают с добавками, смесь измельчают и увлажняют водой. Эту смесь экструдируют и затем сушат в токе воздуха. Гранулы с покрытием, %: Активный ингредиент I (>70% R-энантиомера) – 8 Полиэтиленгликоль (MB 200) – 3 Каолин (MB означает молекулярный вес) – 89 Тонкоизмельченный активный ингредиент равномерно добавляют в смесителе к каолину, увлажненному полиэтиленгликолем. Таким путем получают беспылевые гранулы с покрытием. Суспензионный концентрат, %: Активный ингредиент I (>92% R-энантиомера) – 40 Пропиленгликоль – 10 Полиэтиленгликолевый эфир нонилфенола (15 моль этиленоксида) – 6 Лигносульфонат натрия – 10 Карбоксиметилцеллюлоза – 1 Силиконовое масло (в виде 75%-ной водной эмульсии) – 1 Вода – 32 Тонкоизмельченный активный ингредиент смешивают с добавками до гомогенности. Таким путем получают суспензионный концентрат, из которого суспензии любой требуемой концентрации могут быть приготовлены разбавлением водой. Такие разбавленные растворы могут быть использованы для обработки живых растений и посадочного материала путем опрыскивания, полива или погружения и для предохранения от поражения микроорганизмами. I) Биологические примеры Методика исследования Черенки винограда сорта “Gutedel” выращивают в тепличных условиях, используя одно растение на горшок (диаметр 6 см) и на стадии двух или трех листьев опрыскивают раствором, приготовленным из эмульсионного концентрата. В группах из 4 растений используют следующие концентрации активного ингредиента: 200; 60; 20; 6; 2; 0,6; 0,2; 0,06 мг а.и./л. Эти последовательности разбавлений приготавливают в деминерализованной воде непосредственно перед обработкой методом лиственного опрыскивания. Чтобы исключить влияние газовой фазы а. и. на окружающее пространство, все растения отделяют друг от друга прозрачной пластиковой пленкой и выдерживают один день в темноте при 20-22oC и относительной влажности примерно 100%. Затем всю площадь листьев растений равномерно опрыскивают до образования капель свежеприготовленной суспензией спорангия (120000/мл) чувствительного к металаксилу штамма Plasmopara viticola. Затем растения выдерживают 7 дней в условиях 16-часового светового периода с искусственным дневным освещением при 20-22oC и относительной влажности примерно 100%. После этого оценивают поражение раздельно для опрыскиваний на стадии двух и трех листьев. В таблицах А и Б в каждом случае приведены средние величины для 4 параллельных опрыскиваний. В то время как обычный рацемический металаксил не оказывает ярко выраженного действия против поражения листвы в интервале концентраций ниже 60 мг а.и./литр и практически неэффективен при концентрациях ниже 20 мг а.и./литр, активность энантиомерного R-металаксила до 30 раз выше при концентрациях до 2 мг а.и./литр. В случае опрыскиваний на стадии трех листьев различия в активности еще более отчетливы, как показано в таблице Б. В то время как обычный рацемический металаксил совершенно не проявляет активности в интервале концентраций 6 мг а.и./литр (или меньше) и более отчетливая активность едва различима при 20 мг а.и./литр, активность энантиомерного R-металаксила примерно в 100 раз выше в интервале концентраций вплоть до 0,6 мг а.и./литр. II) Разложение активного ингредиента в почве Пример 1 Деградационное поведение рацемического металаксила и R-металаксила в умеренно тяжелой почве Две группы по 8 образцов каждая биологически активной почвы (пылеватая почва/суглинок; суглинок: 13,9%; пылеватая почва: 54,3%; песок: 31,8%; органический углерод: 2,1%; pH 7,3; биомасса: 65,1 мг микробного углерода на 100 г почвы; источник: Les Evouettes, Valais, Швейцария) обрабатывают параллельно соответственно рацемическим металаксилом и R-металаксилом в каждом случае в ацетоновом растворе. Норма расхода составляет 0,5 мг/кг образца почвы, что соответствует норме расхода 0,5 кг/гектар. Результаты оценивают по двум повторностям после 0, 7, 14 и 21 дня. Результаты см. в табл. 1. Уравнения разложения: Металаксил, рацемат: Сt= 86,66 e(-0,0644xt)ВИ-50 = In 2/0,0644; ВИ-90 = In 10/0,0644 R-металаксил: Ct = 95,9 e(-0,1776xt)ВИ-50 = In 2/0,1776; ВИ-90 = In 10/0,1776 Кривые разложения приведены на фиг. 1. Они позволяют вычислить времена разложения (см. табл. 1А). Пример 2 Деградационное поведение рацемического металаксила и R-металаксила в песчаной почве Две группы по 16 образцов каждая биологически активной почвы (песчаная почва; суглинок: 5,1%; пылеватая почва: 11,4%; песок: 83,5%; органический углерод: 1,6%; pH 4; биомасса: 51 мг микробного углерода на 100 г почвы; источник: Collombey, Valais, Швейцария) обрабатывают параллельно соответственно рацемическим металаксилом и R-металаксилом в каждом случае в ацетоновом растворе. Норма расхода составляет 0,5 мг/кг образца почвы, что соответствует норме расхода 0,5 кг/гектар. Результаты оценивают по двум повторностям после 0, 1, 3, 7, 9, 15, 21 и 29 дней. Результаты см. в табл. 2. Уравнения разложения: Рац. металаксил: Ct = 93,67 е(-0,05006xt); ВИ-50 = In 2/0,05006; ВИ-90 = In 10/0,05006R-металаксил: Ct = 98/53 e(-0,08548xt); ВИ-50 = In 2/0,08548; ВИ-90 = In 10/0,08548Кривые разложения приведены на фиг. 2 . Они позволяют вычислить следующие времена разложения, см. табл. 2А. Формула изобретения
11.07.94 – по пп.1 – 3, 5 – 7, 9 – 11, 13 – 14; 22.12.94 – по пп.4 и 12; 30.06.95 – по п.8. РИСУНКИ
PC4A – Регистрация договора об уступке патента Российской Федерации на изобретение
Номер и год публикации бюллетеня: 4-2004
(73) Патентообладатель:
(73) Патентообладатель:
Дата и номер государственной регистрации перехода исключительного права: 10.11.2003 № 17719
Извещение опубликовано: 10.02.2004
|
||||||||||||||||||||||||||



-аминопропионовой кислоты и азотсодержащего оптически активного основания, с последующим высвобождением оптически активного антипода и этерификацией метанолом. Примером оптически активного основания является
e(-0,0644xt)