|
|
(21), (22) Заявка: 2006128210/15, 16.01.2005
(24) Дата начала отсчета срока действия патента:
16.01.2005
(30) Конвенционный приоритет:
15.01.2004 US 60/536,493 20.01.2004 US 60/537,289 15.03.2004 US 10/799,586
(43) Дата публикации заявки: 20.02.2008
(46) Опубликовано: 20.04.2010
(56) Список документов, цитированных в отчете о поиске:
WO 02/46147, А2, 13.06.2002. RU 99125653, A, 20.08.2001.
(85) Дата перевода заявки PCT на национальную фазу:
15.08.2006
(86) Заявка PCT:
IL 2005/000055 20050116
(87) Публикация PCT:
WO 2005/067388 20050728
Адрес для переписки:
191186, Санкт-Петербург, а/я 230, “АРС-ПАТЕНТ”, пат. пов. В.В.Дощечкиной
|
(72) Автор(ы):
ЦИВ Илан (IL), ШИРВАН Анат (IL)
(73) Патентообладатель(и):
Эйпосенс Лтд. (IL)
|
(54) СОЕДИНЕНИЯ, СВЯЗЫВАЮЩИЕСЯ С НАРУШЕННОЙ МЕМБРАНОЙ, И ИХ ПРИМЕНЕНИЕ
(57) Реферат:
Изобретение относится к области медицины и диагностики и касается способа селективной доставки соединения в клетки, подвергающиеся нарушениям и изменениям нормальной организации их плазматической мембраны, такие как клетки, подвергающиеся апоптозу или активированные тромбоциты, а также к соединениям, которые селективно связываются с такими клетками. 13 н. и 20 з.п. ф-лы, 12 ил.
Текст описания приведен в факсимильном виде.                                                  
Формула изобретения
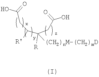
1. Способ селективной направленной доставки соединения в клетку, подвергающуюся нарушению нормальной организации ее плазматической мембраны (PNOM-клетку), в котором: (1) приводят клеточную популяцию, включающую указанную PNOM-клетку, в контакт с соединением формулы (I) или конъюгатом, содержащим соединение формулы (I):
 включая фармацевтически приемлемые соли, хелаты металлов, сольваты и гидраты соединения формулы (I), сольваты и гидраты этих солей; где каждая из групп R и R’ независимо выбрана из водорода, C1, С2, С3, С4, С5, С6, С7, C8, C9, С10, С11, C12, C13, C14, C15 или C16 линейного или разветвленного алкила, линейного или разветвленного гидроксиалкила, линейного или разветвленного фторалкила, арила или гетероарила, состоящего из одного или двух колец, или их комбинаций; каждый n и m означает целое число 0, 1, 2, 3 или 4; n и m могут быть одинаковыми или различными; М отсутствует или выбран из -O-, -S- и -N(U), где U означает водород или C1, С2, С3 или C4 алкил; х и z каждый независимо означает целое число 0, 1 или 2, где х и z могут быть одинаковыми или различными; у означает целое число 0, 1 или 2, где, когда у=2, заместители R’ могут быть одинаковыми или различными; и D представляет собой маркер для диагностики, водород, гидроксил, F или лекарственное средство; (2) в результате чего осуществляют связывание указанного соединения с PNOM-клеткой в клеточной популяции.
2. Способ по п.1, где D представляет собой маркер для диагностики или лекарственное средство.
3. Способ по п,2, где М отсутствует.
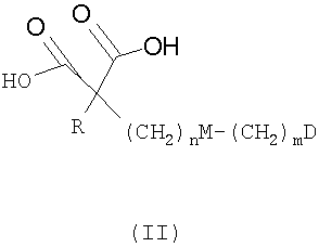
4. Способ по п.1, включающий стадии: (1) приведения клеточной популяции, включающей указанную PNOM-клетку, в контакт с соединением формулы (II) или конъюгатом, включающим соединение формулы (II):
 включая фармацевтически приемлемые соли, гидраты, сольваты и хелаты металлов соединения формулы (II), сольваты и гидраты этих солей; где R представляет собой водород или C1, C2, С3, C4, C5, С6, C7, C8, C9, С10, С11, C12, C13, C14, C15 или C16 линейный или разветвленный алкил, линейный или разветвленный гидроксиалкил, линейный или разветвленный фторалкил, арил или гетероарил, состоящий из одного или двух колец, или их комбинации; каждый n и m независимо представляет собой целое число 0, 1, 2, 3 или 4: n и m могут быть одинаковыми или различными; М отсутствует или выбран из -O-, -S- и -N(U), где U означает водород, C1, C2, С3 или С4алкил; D представляет собой маркер для диагностики, водород или лекарственное средство; (2) в результате чего осуществляют связывание указанного соединения с PNOM-клеткой в клеточной популяции.
5. Соединение формулы (II)
 где D представляет собой маркер для диагностики или лекарственное средство.
6. Соединение по п.5, где М отсутствует.
7. Соединение формулы I, где R представляет собой С1, C2, С3, С4, C5, С6, C7, C8, C9 или С10 линейный или разветвленный фторалкил, или линейный или разветвленный гидроксиалкил; М означает нуль, и D представляет собой водород.
8. Соединение формулы (III):
, включая фармацевтически приемлемые соли, гидраты, сольваты и хелаты металлов соединения формулы (III), сольваты и гидраты этих солей; где R3 представляет собой гидроксил или F; R4 выбран из С4, С5, С6, C7, C8, C9 или С10 линейного или разветвленного алкила, и к означает целое число, выбранное из 0, 1, 2, 3, 4 и 5.
9. Соединение формулы (IV):
, включая фармацевтически приемлемые соли, гидраты, сольваты и хелаты металлов соединения формулы (IV), сольваты и гидраты указанных солей.
10. Соединение формулы (V):
, включая фармацевтически приемлемые соли, гидраты, сольваты и хелаты металлов соединения формулы (V), сольваты и гидраты этих солей; где J выбран из F и ОН, и r означает целое число 4, 5, 6, 7, 8, 9 или 10.
11. Соединение по п.10, где r равно 5, и J представляет собой F.
12. Соединение по п.10, где r равно 4, и J представляет собой F.
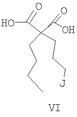
13. Соединение по п.7, представленное структурой, определенной в формуле (VI):
, включая фармацевтически приемлемые соли, гидраты, сольваты и хелаты металлов соединения формулы (VI), сольваты и гидраты указанных солей; где J выбран из водорода, F и ОН,
14. Соединение формулы (VII):
 включая фармацевтически приемлемые соли, гидраты и сольваты соединения формулы (VII), сольваты и гидраты указанных солей, где Q выбран из технеция, оксо-технеция, рения и оксо-рения, R4 выбран из водорода. С1, C2, С3, C4, C5 и С6 линейного или разветвленного алкила, и р означает целое число, выбранное из 1, 2, 3, 4 и 5.
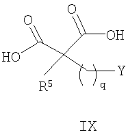
15. Соединение по п.5, представленное структурой, определенной в формуле (IX):
, включая фармацевтически приемлемые соли, гидраты, сольваты и хелаты металлов соединения формулы (IX), сольваты и гидраты указанных солей; где R5 выбран из водорода, C1, C2, С3, C4, C5 или С6 линейного или разветвленного алкила, C1, С2, С3, C4, C5, или С6 линейного или разветвленного фторалкила, и C1, С2, С3, С4, C5 или С6 линейного или разветвленного гидроксиалкила; q означает целое число, выбранное из 1, 2, 3, 4 и 5; и Y представляет собой маркер для флуоресценции.
16. Соединение по п.15, где R5 представляет собой СН3; q выбран из 3, 4 и 5, и Y представляет собой маркер для флуоресценции.
17. Соединение по п.15, представленное структурой, определенной в формуле (X):
, включая фармацевтически приемлемые соли, гидраты, сольваты и хелаты металлов соединения формулы (X), сольваты и гидраты указанных солей.
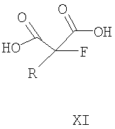
18. Способ по п.4, где указанное соединение представлено структурой, определенной в формуле (XI):
, включая фармацевтически приемлемые соли, гидраты, сольваты и хелаты металлов соединения формулы (XI), сольваты и гидраты этих солей; где R представляет собой водород или C1, С2, С3, C4, C5, С6, C7, C8, C9, С10, С11, C12, С13, C14, C15 или C16 линейный или разветвленный алкил, линейный или разветвленный гидроксиалкил, линейный или разветвленный фторалкил, арил или гетероарил, состоящий из одного или двух колец, или их комбинации.
19. Соединение формулы XI, где R представляет собой С4, C5, С6, C7, C8, C9 или С10 линейный или разветвленный алкил, включая фармацевтически приемлемые соли, гидраты, сольваты и хелаты, где F представляет собой 18F или 19F.
20. Соединение по п.5, представленное структурой, определенной в формуле (XIII):
, включая фармацевтически приемлемые соли, гидраты, сольваты и хелаты металлов соединения формулы (XIII), сольваты и гидраты этих солей; R представляет собой водород или C1, С2, С3, C4, С5, С6, C7, C8, C9, С10, С11, С12, С13, C14, С15 или С16 линейный или разветвленный алкил, линейный или разветвленный гидроксиалкил, линейный или разветвленный фторалкил, арил или гетероарил, состоящий из одного или двух колец, или их комбинации; m означает целое число 0, 1, 2, 3 или 4; D представляет собой маркер для диагностики или лекарственное средство, предназначенное для направленной доставки в PNOM-клетки.
21. Соединение по п.20, где R представляет собой водород или C1, C2, С3, С4, С5, С6, С7, C8, C9, С10, С11, C12, C13, C14, C15 или C16 линейный или разветвленный алкил; m означает целое число 2, и D представляет собой F.
22. Соединение по п.20, представленное структурой, определенной в формуле (XIV):
, включая фармацевтически приемлемые соли, гидраты, сольваты и хелаты металлов соединения формулы (XIV), сольваты и гидраты этих солей; где F может представлять собой 18F или 19F,
23. Соединение формулы III, IV, V, VI, VII, IX, X, XI, XIII или XIV, включающее маркер для визуализации или связанное с маркером для визуализации.
24. Соединение по п.5 или 23, где указанный маркер представляет собой Tc, Тс=O, In, Cu, Ga, Xe, Tl, Re и Re=O, 123I 131I, Gd(III), Fe(III), Fe2O3, Fe3O4, Mn(II) 18F, 15О, 18О, 11С, 13С, 124I, 13N, 75Br, Tc-99m или In-111.
25. Соединение по п.5 или 23, где указанный маркер определяется детектором по цвету, флуоресценции, рентгеновскому излучению, комьютерной томограмме, с помощью магнитной резонансной визуализации (MRI) или радиоизотопного сканирования, однофотонной эмиссионной томографии (SPECT) или позитронной эмиссионной томографии (PET).
26. Диагностическая композиция для детектирования PNOM-клеток, содержащая в качестве активного ингредиента эффективное количество соединения формулы III, IV, V, VI, VII, IX, X, XIII или XIV, и диагностически приемлемый носитель.
27. Способ направленной доставки соединения в клетку, подвергающуюся нарушению нормальной организации ее плазматической мембраны (PNOM-клетку), включающий стадии: (1) приведения клеточной популяции, включающей указанную PNOM-клетку, в контакт с соединением формулы III, IV, V, VI, VII, IX, X, XI, XIII или XIV, или фармацевтической композицией, содержащей указанное соединение; (2) таким образом направленной доставки указанного соединения в указанную PNOM-клетку в указанной клеточной популяции.
28. Способ по любому из пп.1, 4 или 27, где указанная PNOM-клетка представляет собой клетку, подвергающуюся процессу клеточной гибели.
29. Способ по п.28, где указанный процесс клеточной гибели представляет собой апоптоз.
30. Способ обнаружения PNOM-клетки в клеточной популяции, включающий: (1) приведение клеточной популяции в контакт с соединением или фармацевтической композицией, содержащей указанное соединение, где указанное соединение имеет формулу I, II, III, IV, V, VI, VII, IX, X, XI, XIII или XIV, включающей или связанной с маркером для диагностики; и (2) определение количества указанного соединения, связанного с указанными клетками, где обнаружение значительного количества указанного соединения, связанного с клеткой, указывает на то, что она является PNOM-клеткой.
31. Способ визуализации PNOM-клеток у субъекта, человека или животного, включающий: (1) введение указанному субъекту, человеку или животному соединения или фармацевтической композиции, содержащей указанное соединение формулы I, II, III, IV, V, VI, VII, IX, X, XI, XIII или XIV, включающее маркер для визуализации или связанное с маркером для визуализации; и (2) визуализацию человека или животного с целью определения количества указанной фармацевтической композиции или указанного соединения, связанного с клетками, где визуализация значительного количества указанного соединения, связанного с клетками, указывает на то, что они являются PNOM-клетками.
32. Способ по п.31 определения болезненного процесса, очага опухоли или ответа на лечение заболевания у человека или субъекта, не являющегося человеком, где указанный болезненный процесс, очаг опухоли или ответ на лечение связан с появлением клеток, подвергающихся процессу клеточной гибели.
33. Способ по п.32, где указанный процесс клеточной гибели представляет собой апоптоз.
РИСУНКИ
|
|