|
|
(21), (22) Заявка: 2006132453/13, 14.03.2005
(24) Дата начала отсчета срока действия патента:
14.03.2005
(30) Конвенционный приоритет:
15.03.2004 FI 20045076
(43) Дата публикации заявки: 27.04.2008
(46) Опубликовано: 20.04.2010
(56) Список документов, цитированных в отчете о поиске:
WO 0119340, 22.03.2001. US 6214349, 10.04.2001. US 2003027786, 06.02.2003. JP 04-011835, 16.01.2002. RU 2141844 C1, 27.11.1999.
(85) Дата перевода заявки PCT на национальную фазу:
16.10.2006
(86) Заявка PCT:
FI 2005/000151 20050314
(87) Публикация PCT:
WO 2005/087025 20050922
Адрес для переписки:
191186, Санкт-Петербург, а/я 230, “АРС-ПАТЕНТ”, пат. пов. В.В.Дощечкиной
|
(72) Автор(ы):
ТУОМАСЮККА Саска (FI), КАЛЛИО Хейкки (FI)
(73) Патентообладатель(и):
БИОФЕРМ ОЙ (FI), БИОЛЮКС ОЙ (FI)
|
(54) ПРИМЕНЕНИЕ ПРОИЗВОДНОГО СОРБИТАНА ДЛЯ ПРЕДОТВРАЩЕНИЯ ВСАСЫВАНИЯ ЖИРОВ
(57) Реферат:
Данное изобретение относится к пищевой промышленности. Предложено применение пригодного в пищу производного сорбитана в составе продукта для предотвращения всасывания жира. Производное сорбитана применяется для косметического регулирования массы тела. Изобретение позволяет облегчить состояние людей, страдающих ожирением, а также снизить риски, связанные с ожирением. 2 н. и 7 з.п. ф-лы, 4 ил., 1 табл.
ПРЕДШЕСТВУЮЩИЙ УРОВЕНЬ ТЕХНИКИ
Ожирение становится серьезнейшей проблемой здоровья во всем мире. По оценкам ВОЗ (Всемирной организации здравоохранения число людей, страдающих ожирением, превысило 300 миллионов.
В США по оценкам компетентных органов доля толстых людей (индекс массы тела >30) среди взрослого населения составляет 27%. Доля людей с избыточным весом (индекс массы тела от 25 до 30) составляет около 33% среди взрослого населения (NCCDPHP 2003). В Финляндии это также является значительной проблемой. Количество толстых людей в промышленно развитых странах удвоилось за двадцать лет, и изменений в этой тенденции не видно (ВОЗ 2003). Причиной, лежащей в основе ожирения, является снижение физической активности в совокупности с повышением или неизменным количеством энергии в пище.
В пище на жиры приходится большая часть энергии, и с эволюцией люди все больше ценят жир не только как источник энергии, но и с точки зрения его вкусовой привлекательности. Почти во всех промышленно развитых странах содержание жиров в пище превосходит рекомендуемые нормы. Постоянное избыточное потребление жиров является причиной не только косметических неприятностей, связанных с ожирением, но также серьезных проблем со здоровьем и осложнений, связанных с такими заболеваниям, как сердечно-сосудистые заболевания, респираторные заболевания и диабет. С этими национальными заболеваниями также связаны существенные расходы.
Наиболее предпочтительным путем предотвращения отрицательных последствий избыточного потребления жиров являются усиленные физические упражнения и корректировка количества энергии, получаемого с пищей. Потребление энергии может быть снижено, например, соблюдением строгой диеты, использованием препаратов с низким содержанием жира или предотвращением полной утилизации энергии из пищи.
Задача снизить содержание жира в пище создает новые проблемы для пищевой промышленности. ВОЗ и пищевая промышленность начали открытую дискуссию о разработке более здоровой пищи будущего. Другие экспертные организации также усилили давление на пищевую промышленность (например IASO 2003). В результате некоторые компании, производящие пищевые продукты, задались целью улучшить качество жира и снизить его количество в продуктах.
Жировые смеси с пониженной энергетической ценностью описаны, например, в международной публикации WO 00/15043, и первые жировые композиции такого типа выходят на рынок. Однако в Европе этот процесс замедлен строгим законодательством, которое требует получения разрешения компетентных органов, что занимает годы.
Более эффективным решением проблемы избыточного жира является предотвращение его всасывания. Что касается холестерина, решения, основанные на этой идее, включают в себя, например, способы, основанные на растительных стеринах и растительных станинах, как описано, например, в международной публикации WO 03/026672.
Например, в опубликованном патенте США US 5 453 282 описаны хитозан-содержащие питательные вещества для предотвращения всасывания основного компонента жира, триацилглицерина (ТАГ), однако в настоящее время наиболее эффективного предотвращения удается достичь только лекарственными средствами. Отпускаемый по рецепту врача лекарственный препарат орлистат (тетрагидролипстатин), раскрытый в Европейском патенте ЕР 129748, может быть использован, чтобы уменьшить всасывание триацилглицерина на 30% (Zhi et al., 1994).
Однако проблема с применением орлистата связана с тем, что он относительно неэффективен, и с тем фактом, что задействовано лекарственное средство, а это требует визита к врачу.
Достижение предотвращения всасывания жира с помощью функциональных пищевых продуктов должно быть чрезвычайно интересным решением серьезной и признанной в международном масштабе проблемы.
СУЩНОСТЬ ИЗОБРЕТЕНИЯ
Неожиданно было обнаружено, что пищевой эмульгатор почти полностью предотвращает всасывание жира из пищеварительного тракта. Таким образом, данное изобретение относится к применению эмульгатора для приготовления продукта, предназначенного для предотвращения всасывания жира. Применение пищевого эмульгатора в приготовлении такого продукта удовлетворяет требованиям безопасности, установленным уполномоченными органами, давая, таким образом, возможность приготовления функционального пищевого продукта, удовлетворяющего правилам. Такой препарат представляет собой первый функциональный пищевой продукт, который демонстрирует почти полное предотвращение всасывания жира у человека.
Данное изобретение также относится к пищевой композиции для предотвращения всасывания жира, где эмульгатор выбран из группы, состоящей из производных сорбитана, производных полиоксиэтиленсорбитана, сложных эфиров сахарозы и жирных кислот, и других производных жирных кислот.
Изобретение также относится к функциональному пищевому продукту, отличающемуся тем, что он содержит эффективное количество пищевого эмульгатора.
Далее изобретение относится к фармацевтической композиции, содержащей эффективное количество эмульгатора, выбранного из группы, состоящей из производных сорбитана, производных полиоксиэтиленсорбитана, сложных эфиров сахарозы и жирных, кислот и других производных жирных кислот.
Изобретение также относится к применению эмульгатора для приготовления фармацевтического продукта, предназначенного для предотвращения всасывания жира.
Далее изобретение относится к способу профилактики, лечения или облегчения ожирения и снижения рисков, связанных с ожирением, отличающемуся тем, что человеку или животному, страдающему ожирением, вводят препарат, содержащий эффективное количество фармацевтически приемлемого эмульгатора для предотвращения всасывания жира и возможно другие фармацевтически приемлемые добавки и носители.
Предпочтительные воплощения изобретения раскрыты в зависимых пунктах формулы изобретения.
КРАТКОЕ ОПИСАНИЕ ГРАФИЧЕСКИХ МАТЕРИАЛОВ
Далее предпочтительные воплощения изобретения будут описаны в деталях со ссылками на прилагаемые чертежи, где:
Фиг.1 показывает концентрации ТАГ, измеренные в плазме субъектов в течение от 0 до 6 ч после приема внутрь тестового продукта А;
Фиг.2 показывает концентрации ТАГ, измеренные в плазме субъектов в течение от 0 до 6 ч после приема внутрь тестового продукта В;
Фиг.3 графически показывает количество жира, который всосался у субъекта, как величину площади под кривой; и
Фиг.4 графически показывает количество жира, который всосался, как процент на тестированный продукт.
СВЕДЕНИЯ, ПОДТВЕРЖДАЮЩИЕ ВОЗМОЖНОСТЬ ОСУЩЕСТВЛЕНИЯ ИЗОБРЕТЕНИЯ
Данное изобретение основано на удивительном наблюдении, что пищевой эмульгатор почти полностью предотвращает всасывание жира из пищеварительного тракта. Указанное наблюдение было сделано в клиническом испытании, целью которого было выяснить, как различные режимы и составы влияют на всасывание ценных жиров.
Это изобретение, таким образом, относится к применению пищевого эмульгатора в качестве добавки или ингредиента в пищевом продукте, в качестве добавки к пище или фармацевтического препарата для достижения эффекта улучшения здоровья, то есть частичного или полного предотвращения всасывания жира.
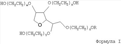
В этом контексте пищевой эмульгатор (или «эмульгатор, одобренный для применения в пищевой промышленности») относится к соединению, детергенту, эмульгатору или стабилизатору, допущенному в качестве добавки к пище или добавки к пищевому продукту. В применении согласно настоящему изобретению предпочтительные пищевые эмульгаторы включают в себя производные сорбитана формулы I

где
w+x+y+z = около 20 или w, х, y и z=0, и
R представляет собой Н, ООС-(СН2)10-СН3, ООС-(СН2)14-СН3, OOC-(CH2)7-(СН)2-(СН2)7-СН3 или 3ХООС-(СН2)16-СН3.
Особенно предпочтительными являются производные сорбитана, такие как сорбитанмоностеарат (Е 491), сорбитантристеарат (Е 492), сорбитанмонолаурат (Е 493), сорбитанмоноолеат (Е 494) и сорбитанмонопальмитат (Е 495), или различные производные полиоксиэтиленсорбитана, такие как -монолаурат (Е 432), -моноолеат (Е 433), -монопальмитат (Е 434), -моностеарат (Е 435) и -тристеарат (Е 436). Особенно предпочтительным эмульгатором по изобретению является сорбитанмоноолеат (Е 494).
Другие предпочтительные пищевые эмульгаторы включают в себя сложные эфиры сахарозы и жирных кислот (Е 473), и другие производные жирных кислот, такие как натриевые соли, калиевые соли и кальциевые соли (Е 470а), магниевые соли (Е 471), моно- и диглицериды (Е 471), сложные эфиры уксусной кислоты (Е 472а) моно- и диглицеридов, сложные эфиры молочной кислоты (Е 472b) моно- и диглицеридов, сложные эфиры лимонной кислоты (Е 472с) моно- и диглицеридов, сложные эфиры винной кислоты (Е 472а) моно- и диглицеридов, сложные эфиры моно- и диацетилвинной кислоты (Е 472е) моно- и диглицеридов, и смеси (Е 472f) сложных эфиров уксусной и винной кислоты моно- и диглицеридов. Особенно предпочтительные эмульгаторы из производных жирных кислот, согласно изобретению, включают в себя эфиры сахарозы и жирных кислот.
Питательная композиция по изобретению представляет собой первый функциональный пищевой продукт, в отношении которого было доказано, что он почти полностью предотвращает всасывание жира у людей и животных.
В данном контексте функциональный пищевой продукт относится к питательному/пищевому продукту, в отношении которого было показано, что он имеет не только традиционные питательные характеристики, но также оказывает положительное действие на одну или более чем одну функцию организма в плане улучшения здоровья или снижения риска заболевания.
Функциональный пищевой продукт, согласно изобретению, может быть любым пищевым продуктом, к которому был добавлен эмульгатор по изобретению, но предпочтительные пищевые продукты включают в себя напитки и другие жидкие пищевые продукты, такие как соки, молочные напитки, жидкие каши, супы и соусы. Примеры жиросодержащих пищевых продуктов или ингредиентов пищевых продуктов, к которым может быть добавлен пищевой эмульгатор по изобретению, включают в себя жировые эмульсии для выпечки или иного использования, кремоимитирующие препараты, мороженое, эмульгированные соусы, такие как соус для гамбургеров, салатный соус и крем-соус для макания, термически обработанные мясные продукты, такие как готовый гамбургер, и различные шоколады. Функциональные пищевые продукты по изобретению могут также включать в себя жирные пищевые продукты, такие как кондитерскую выпечку, печенье, картофельные чипсы, гамбургеры и шоколады, в приготовлении которых использованы упомянутые эмульсии. Другие предпочтительные формы использования очевидны специалисту, и приведенные примеры не ограничивают область применения и объем изобретения.
К питательной композиции по изобретению добавлено такое количество пищевого эмульгатора, которое достигает желаемого эффекта. Эффективное количество может значительно варьировать в зависимости от состава указанного пищевого продукта и в зависимости от размера дозы этого пищевого продукта, съедаемой за один раз. Эффективное количество эмульгатора может также варьировать в соответствии с используемым эмульгатором, пищевым продуктом, и количеством съедаемого пищевого продукта. Эффективное количество эмульгатора составляет от 0,1 до 100 г/кг пищевого продукта, предпочтительно от 1 до 25 г/кг, и более предпочтительно от 5 до 10 г/кг.
Предпочтительная форма применения по изобретению – отдельно употребляемые функциональные пищевые продукты, съедаемые в дополнение к нормальной пище, например в качестве закуски или энергетического напитка .
Эффективное предотвращение всасывания жира также может быть достигнуто употреблением эмульгатора по изобретению в качестве отдельной добавки. Добавка по изобретению может быть, например, капсулой, содержащей эффективное количество эмульгатора по изобретению. Капсула может быть мягкой или твердой капсулой, и инкапсуляционный материал может быть выбран из группы, состоящей из желатина, агара, крахмала, модифицированного крахмала, порошкового модифицированного крахмала, карагена, сахара, особенно сахарозы, лактозы или фруктозы.
Если питательная композиция по изобретению употребляется в качестве добавки в дополнение к нормальной пище, предпочтительное количество эмульгатора на дозу для употребления составляет более 1 мг, предпочтительно от 1 до 10000 мг, более предпочтительно от 100 до 5000 мг еще более предпочтительно от 500 до 5000 мг и наиболее предпочтительно 2000 мг. Такие предпочтительные количества соответствуют количеству от 0 до 65 мг на кг массы тела человека, наиболее предпочтительно от около 25 до 60 мг/кг. Специалист в области пищевых продуктов, знакомый с пищей, способен легко определить эффективное количество эмульгатора, требуемое для достижения желаемого эффекта на основе вышеприведенных ориентировочных величин и экспериментов, описанных в примерах.
Данное изобретение также относится к фармацевтической композиции, которая может быть таблеткой, капсулой, раствором или эмульсией в зависимости от используемого эмульгатора. Фармацевтическая композиция по изобретению может быть приготовлена с использованием традиционных методов. Лекарственная форма по изобретению может представлять собой, например, капсулу, содержащую эффективное количество эмульгатора по изобретению. Капсула может быть мягкой или твердой капсулой, а инкапсуляционный материал выбран из группы, состоящей из желатина, крахмала, модифицированного крахмала, порошкового модифицированного крахмала, карагена, сахара, особенно сахарозы, лактозы или фруктозы.
Содержащий эмульгатор фармацевтический препарат по изобретению может быть приготовлен с использованием традиционных методов (см., например, Remington s Pharmaceutica) Sciences, 16. v, 1990). Терапевтически эффективное количество эмульгатора на единицу дозирования может быть, в соответствии с желаемым эффектом, от 1 до 10000 мг, предпочтительно от 100 до 5000 мг, более предпочтительно от 500 до 5000 мг и наиболее предпочтительно 2000 мг. В дополнение к эмульгатору фармацевтический препарат по изобретению может также содержать другие добавки и носители, обычно используемые в этой области, например фармацевтически приемлемые растительные масла, такие как парафиновое масло, араковое масло, кунжутное масло, оливковое масло, соевое масло и миндальное масло.
Настоящее изобретение также относится к способу предотвращения частичного всасывания или полного всасывания жира из пищеварительного тракта у животного или человека, нуждающегося в этом, путем введения эффективной дозы питательной композиции или фармацевтической композиции по изобретению, содержащей пищевой эмульгатор. Способ по изобретению достигает косметического или терапевтического регулирования массы тела и, таким образом, профилактики опасностей для здоровья или заболеваний, связанных с избыточным использованием жира, или снижения риска приобретения заболевания. Воздействие по изобретению может быть осуществлено либо путем употребления функционального пищевого продукта по изобретению для замены части нормальной жирной пищи, либо путем употребления функционального пищевого продукта, например дозы напитка в дополнение к нормальной жирной пище, либо путем употребления отдельной добавки, например в форме капсулы, в качестве добавки к нормальной пище.
Эффективная разовая доза для каждого приема пищи, то есть для приема три раза в день составляет 500 мг на дозу, благодаря чему достигается желаемое предотвращение всасывания жира.
ОПИСАНИЕ ПРИМЕРОВ ОСУЩЕСТВЛЕНИЯ ИЗОБРЕТЕНИЯ
Пример 1
Приготовление тестовых продуктов, содержащих эмульгированный жир
Напиток (Продукт А)
| ингредиент |
% |
| 1. вода |
71,81 |
| 2. смесь концентрированного сока |
9,13 |
| 3. лимонная кислота |
0,01 |
| 4. сахар |
7,03 |
| 5. черносмородиновый ароматизатор |
0,07 |
| 6. масло из семян черной смородины |
9,98 |
| 7. Е494 |
0,98 |
| 8. витамин А |
2800 МЕ/100 г |
| 9. витамин Е |
20 МЕ/100 г |
Приготовление
Ингредиенты с 1 по 5 были смешаны в соответствии с обычным промышленным способом приготовления. Ингредиенты 6, 7, 8 и 9 были добавлены к продукту при интенсивном перемешивании.
Толокняный напиток (Продукт В)
| Ингредиент |
г |
% |
| 1. вода |
70,00 |
67,6 |
| 2. толокно |
10,00 |
9,7 |
| 3. подкислитель |
0,10 |
0,1 |
| 4. рапсовое масло |
0,45 |
0,4 |
| 5. ягодный компонент* |
12,00 |
11,6 |
| 6. масло из семян черной смородины |
9,97 |
9,6 |
| 7. Е494 |
0,98 |
0,9 |
| 8. витамин А 2800 МЕ/100 г |
 |
 |
| 9. витамин Е 20 МЕ/100 г |
 |
 |
| *) включает 6% фруктозы, давленые ягоды, пектин, ароматизатор |
Приготовление
Ингредиенты с 1 по 3 были смешаны и подкислены в соответствии с обычным промышленным способом приготовления. Ингредиенты 4 и 5 были примешаны в подкисленный продукт. Ингредиенты 6, 7, 8 и 9 были добавлены к продукту при интенсивном перемешивании.
Контрольные продукты были приготовлены в соответствии с вышеприведенными инструкциями, но без ингредиента 7.
Пример 2
Всасывание эмульгированного растительного масла у людей
Предметом клинического испытания было изучение всасывания некоторых растительных масел из различных пищевых препаратов. В этом эксперименте маслосодержащие тестовые продукты давали здоровым людям (субъекты исследования). Образцы крови у субъектов собирали и подвергали анализу на содержание жира, на основании чего количественно определяли всасывание масел.
До начала эксперимента комитет по этике областной больницы Юго-запада Финляндии утвердил исследовательский план эксперимента. Субъекты были случайным образом распределены в отношении продуктов и порядка их приема. Утром в день эксперимента субъекты употребили тестовый продукт (продукт А) из примера 1. Количество продукта было пропорционально массам тела субъектов, так что количество эмульгатора составило около 65 мг/кг массы тела. Средняя разовая доза тестового продукта была 490 мл. Субъекты в контрольной группе употребили соответствующий маслосодержащий продукт (продукт А0), который не содержал эмульгатора. Следующие шесть часов субъекты провели под наблюдением в экспериментальной лаборатории, и в сумме у каждого из них было взято семь образцов крови. Образцы крови были взяты до того, как был употреблен тестовый продукт и через 30, 60, 180, 270 и 360 минут после его приема. На следующий после эксперимента день с субъектами связывались, чтобы узнать, не было ли острых побочных эффектов. Экспериментальный день 2 был проведен через 2-4 недели. Порядок был таким же за исключением употребленного тестового продукта.
Собранные образцы крови были либо проанализированы немедленно, либо разделены на фракции и заморожены с тем, чтобы провести анализ позже. В частности, был исследован состав хиломикрон, так как содержащиеся в них липиды прямо отражают, какие жиры и жирорастворимые соединения всосались из пищи. Хиломикроны отделяли от плазмы ультрацентрифугированием и далее разделяли на фракции жирных кислот и фосфолипидов с помощью силикагелевой микроколонки. Жирные кислоты во фракциях анализировали газовой хроматографией. Результаты подвергали статистической обработке с использованием программного обеспечения SPSS.
Измерение ферментативным способом содержания триацилглицерина в плазме дало основание предполагать, что эмульгированные масла не всосались. Этот результат был крайне неожиданным, так как показалось, что всасывание было предотвращено полностью.
ТАГ анализ, проведенный на хиломикронах, дал тот же результат. Следовательно, тестовый продукт А, содержавший эмульгированное масло, не всосался вообще.
К тестовым продуктам были добавлены витамин Е и витамин А в виде ретинола пальмитата, который растворим также, как и жиры. Это дало возможность следить за всасыванием жира и, до некоторой степени, числом хиломикрон в кровотоке, то есть выходом жира из кровотока. В образцах от субъектов, которым давали продукт, содержащий эмульгатор, не удалось обнаружить витамины Е и А. Это результат далее подтверждает неожиданное наблюдение, что продукты с эмульгированным маслом совершенно не всасываются.
Тестовые продукты не содержали холестерина. Однако в величинах холестерина наблюдалась четкая разница между продуктами А и А0. Этот результат далее подтверждают наблюдения относительно невсасываемости эмульгированных масел, так как всасывание жира влияет на собственный метаболизм холестерина в организме.
Пример 3
Влияние дозы эмульгатора на всасывание жира
В этом эксперименте субъекты употребляли различные количества продуктов, содержащих эмульгатор. Тестовыми продуктами были продукты А и В, полученные в Примере 1, где количество Е494 было 0,1% (А1 и В1), 0,4% (А2 и В2), 0,98% (A3 и В3) или 0% (А0 и В0). Эксперименты зятие образцов крови осуществлялось, как описано в Примере 2.
Количество употребленного тестового продукта было пропорционально массам тела субъектов, так что доза эмульгатора была такой, как показано в Таблице 1. Соответственно средняя единичная доза была 490 мл.
| Таблица 1 |
| Тестовый продукт |
г/м2 кожи |
г/кг массы тела |
| А0 |
0 |
0 |
| А1 |
0,25 |
6,5 |
| А2 |
1,0 |
25 |
| A3 |
2,5 |
65 |
| В0 |
0 |
0 |
| В1 |
0,25 |
6,5 |
| В2 |
1,0 |
25 |
| В3 |
2,5 |
65 |
Фиг.1 демонстрирует величину жира крови в течение от 0 до 6 ч для субъектов, употребивших тестовый продукт А, а Фиг.2 – для субъектов, употребивших тестовый продукт В. Фиг.3 представляет собой столбиковую диаграмму, показывающую площадь под кривыми на Фиг.1 и 2, которая является индикатором количества жира, который всосался у субъекта, и обычно используется в этой области. Как видно из этих диаграмм и графиков, влияние уровней дозировок, использованных в примерах, является линейным в отношении продукта А. Что касается продукта В, эффект является заметным при всех уровнях дозировок, но на уровнях В1 и В2 это эффект одинаков. Это может быть отнесено к возможному плато на кривой доза-ответ. Влияние тестовых продуктов на предотвращение всасывания жира уже ясно показано на более низких дозировочных уровнях.
Фиг.4 показывает, что достигнутое предотвращение всасывания жира пропорционально дозе эмульгатора (100% = В0 и А0, которые вообще не содержат эмульгатора).
Что касается продукта В, то более низкий общий уровень, похоже, наблюдается потому, что это продукт является более сложным (содержит, например, белки и сложные углеводы), в результате чего влияние на всасывание жира не такое сильное, как для продукта А. С другой стороны, действие, оказываемое продуктом В, показывает, что функциональный пищевой продукт по изобретению достигает желаемого эффекта.
Специалисту очевидно, что с развитием технологии основная идея изобретения может быть реализована различными путями. Изобретение и его воплощения, таким образом, не ограничены приведенными выше примерами и могут варьировать в объеме формулы изобретения.
Источники информации
Zhi J; Melia А.Т.; Guerciolini R; Chung J; Kinberg J; Hauptman J.B.; Patel I.H. Retrospective population-based analysis of the dose-response (fecal fat excretion) relationship of orlistat in normal and obese volunteers. Clinical Pharmacology and Therapeutics 1994, 56 (1), 82-5.
NCCDPHP (Nationa) Center for Chronic Disease Prevention and Health Promotion), 29.08.2003 11:00 GMT
WHO, Technical Report Series 916. Diet, Nutrition and the Prevention of Chronic Diseases. Geneva 2003.
Формула изобретения
1. Применение пригодного в пищу производного сорбитана в составе продукта для предотвращения всасывания жиров.
2. Применение по п.1, отличающееся тем, что производное сорбитана представляет собой сорбитанмоноолеат (Е494).
3. Применение по п.1, отличающееся тем, что указанный продукт представляет собой лекарственный препарат.
4. Применение по п.1, отличающееся тем, что указанный продукт представляет собой добавку к пище.
5. Применение по п.1, отличающееся тем, что указанный продукт представляет собой функциональный пищевой продукт.
6. Применение по любому из пп.1-5, отличающееся тем, что указанный продукт содержит от 1 до 10000 мг, предпочтительно от 100 до 5000 мг, более предпочтительно от 500 до 5000 мг, и наиболее предпочтительно 2000 мг указанного производного сорбитана на разовую принимаемую дозу.
7. Применение по любому из пп.1-5, отличающееся тем, что указанный продукт предназначен для предотвращения и лечения ожирения.
8. Применение производного сорбитана для предотвращения всасывания жиров для косметического регулирования массы тела.
9. Применение по п.8, отличающееся тем, что производное сорбитана представляет собой сорбитанмоноолеат (Е494).
РИСУНКИ
|
|