|
|
(21), (22) Заявка: 2007143300/09, 24.04.2006
(24) Дата начала отсчета срока действия патента:
24.04.2006
(30) Конвенционный приоритет:
22.04.2005 US 60/674,190 16.06.2005 US 60/691,458 02.11.2005 US 60/733,020
(43) Дата публикации заявки: 27.05.2009
(46) Опубликовано: 10.04.2010
(56) Список документов, цитированных в отчете о поиске:
WO 99/57820 A1, 11.11.1999. RU 2000109599 A, 27.05.2002. EP 0654915 A1, 24.05.1995. WO 2004/039022 A1, 06.05.2004.
(85) Дата перевода заявки PCT на национальную фазу:
22.11.2007
(86) Заявка PCT:
US 2006/015726 20060424
(87) Публикация PCT:
WO 2006/116453 20061102
Адрес для переписки:
129090, Москва, ул. Б.Спасская, 25, стр.3, ООО “Юридическая фирма Городисский и Партнеры”, пат.пов. Ю.Д.Кузнецову, рег. 595
|
(72) Автор(ы):
НАДЖИБ Айман Фавзи (US), АГРАВАЛ Авниш (US), ГОРОХОВ Алексей (US)
(73) Патентообладатель(и):
КВЭЛКОММ ИНКОРПОРЕЙТЕД (US)
|
(54) КАЛИБРОВКА АНТЕННОЙ РЕШЕТКИ ДЛЯ СИСТЕМ БЕСПРОВОДНОЙ СВЯЗИ
(57) Реферат:
Изобретение относится к беспроводной связи. Техническим результатом является обеспечение калибровки антенных решеток, используемых в устройствах беспроводной связи. Для этого такая калибровка осуществляется для канала передачи устройства, передающего информацию на множество устройств по линиям беспроводной связи, и каналов приема множества устройств, принимающих информацию по одной из линий беспроводной связи, использующих множество оценок канала прямой линии связи, принятых от, по меньшей мере, некоторых из множества устройств, и множество оценок канала обратной линии связи от множества устройств. 12 н. и 15 з.п. ф-лы, 10 ил.
Настоящая заявка испрашивает приоритет предварительной заявки на патент США 60/674190, озаглавленной «ANTENNA ARRAY CALIBRATION FOR WIRELESS COMMUNICATION SYSTEM», поданной 22 апреля 2005 года, предварительной заявки на патент США 60/691458, озаглавленной «A METHOD FOR OVER THE AIR CALIBRATION OF TDD MULTI ANTENNA SYSTEMS», поданной 16 июня 2005 года, и предварительной заявки на патент США 60/733020, озаглавленной «ANTENNA ARRAY CALIBRATION FOR WIRELESS COMMUNICATION SYSTEMS», поданной 2 ноября 2005 года, которые включены в данный документ по ссылке во всей своей полноте.
УРОВЕНЬ ТЕХНИКИ
I. Область техники
Нижеследующее описание относится, в основном, к беспроводной связи и, среди прочего, к калибровке антенной решетки по радиосвязи.
II. Уровень техники
Беспроводные сетевые системы стали преобладающим средством, при помощи которого большинство людей по всему миру организуют связь. Устройства беспроводной связи стали меньшими по размерам и более мощными для удовлетворения потребностей потребителей и улучшения портативности и удобства. Повышение вычислительной мощности в мобильных устройствах, таких как сотовые телефоны, привело к повышению требований к системам передачи по беспроводной сети. Такие системы обычно не так легко модернизируются, как сотовые устройства, которые осуществляют связь в этих системах. Так как возможности мобильных устройств расширяются, может быть трудным поддерживать более старую систему беспроводной сети способом, который способствует полному использованию новых и улучшенных возможностей беспроводных устройств.
Более конкретно, методы, основанные на частотном разделении каналов, обычно разделяют спектр на отдельные каналы, разбивая его на равномерные участки полосы частот; например, выделенная полоса частот, назначенная для беспроводной связи при помощи сотовых телефонов, может быть разбита на каналы, каждый из которых может передавать речевой разговор или, при помощи цифровой службы, передавать цифровые данные. Каждый канал может быть назначен только одному пользователю в каждый момент времени. Одним общеиспользуемым вариантом является метод ортогонального частотного разделения каналов, который эффективно разделяет полосу частот всей системы на множество ортогональных поднесущих. Эти поднесущие также упоминаются как тоны, несущие, бины (элементы разрешения) и/или частотные каналы. При методах, основанных на временном разделении каналов, полоса разделяется во времени на последовательные временные интервалы или канальные интервалы. Каждому пользователю канала может предоставляться временной интервал для передачи и приема информации в порядке круговой очереди. Например, в любой данный момент t времени пользователю предоставляется доступ к каналу для короткой посылки. Затем доступ переключается на другого пользователя, которому предоставляется короткая временная посылка для передачи и приема информации. Цикл «по очереди» продолжается, и, в конце концов, каждому пользователю предоставляется множество посылок передачи и приема.
Методы, основанные на кодовом разделении каналов, обычно передают данные на нескольких частотах, доступных в любой момент времени в диапазоне. В общих чертах, данные оцифровываются и расширяются по доступной полосе частот, причем множество пользователей могут совместно занимать канал, и соответствующим пользователям может назначаться уникальный код последовательности. Пользователи могут осуществлять передачу в одном и том же широкополосном участке спектра, причем сигнал каждого пользователя расширяется по всей полосе частот при помощи соответствующего ему уникального кода расширения. Этот метод может предусматривать совместное использование, при котором один или несколько пользователей могут одновременно передавать и принимать. Такое совместное использование может достигаться при помощи цифровой модуляции с расширенным спектром, при которой поток битов пользователя кодируется и расширяется в очень широком канале псевдослучайным образом. Приемник выполнен с возможностью распознавания связанного с ним уникального кода последовательности и устранения рандомизации, чтобы принимать биты для конкретного пользователя согласованным образом.
Обычная сеть беспроводной связи (например, использующая методы с частотным, временным и кодовым разделением каналов) включает в себя одну или более базовых станций, которые обеспечивают зону покрытия, и один или более мобильных (например, беспроводных) терминалов, которые могут передавать и принимать данные в пределах зоны покрытия. Обычная базовая станция может одновременно передавать множество потоков данных для широковещательных, многоадресных (групповых) и/или одноадресных услуг, причем поток данных представляет собой поток данных, который может быть независимо предназначен для приема мобильным терминалом. Мобильный терминал в пределах зоны покрытия этой базовой станции может быть заинтересован в приеме одного, более одного или всех потоков данных, переносимых составным потоком. Аналогично, мобильный терминал может передавать данные базовой станции или другому мобильному терминалу. Такая организации связи между базовой станцией и мобильным терминалом или между мобильными терминалами может ухудшаться вследствие изменений в канале и/или изменений мощности помех. Например, вышеупомянутые изменения могут оказывать влияние на планирование базовой станции, управление мощностью и/или предсказание скорости передачи для одного или более мобильных терминалов.
Когда антенные решетки и/или базовые станции используются вместе с методом передачи дуплексных каналов во временной области (TDD), может быть реализовано очень большое усиление. Ключевым предположением при реализации этого усиления является то, что вследствие характера передачи и приема в режиме TDD, как прямая линия связи (ПЛС), так и обратная линия связи (ОЛС) воспринимают физические каналы со сходными характеристиками распространения, соответствующие общей частоте несущей. Однако на практике общие каналы передачи и приема, которые могут включать в себя аналоговые входные каскады и передатчики и приемники с цифровой дискретизацией, а также архитектуру физической кабельной системы и антенн, вносят вклад в полный отклик канала, воспринимаемый приемником. Другими словами, приемник будет воспринимать общий или эквивалентный канал между входом цифро-аналогового преобразователя (ЦАП) передатчика и выходом аналого-цифрового преобразователя (АЦП) приемника, который может содержать аналоговый канал передатчика, физический канал распространения, физическую конструкцию антенной решетки (включая кабельную систему) и аналоговый канал приемника.
С учетом, по меньшей мере, вышесказанного в технике существует потребность в системе и/или способе калибровки антенных решеток, используемых в устройствах беспроводной связи.
Сущность изобретения
Изложена упрощенная сущность одного или нескольких вариантов осуществления, чтобы обеспечить базовое понимание таких вариантов осуществления. Эта сущность изобретения не представляет собой обширный обзор всех рассматриваемых вариантов осуществления и не предназначена ни для идентификации ключевых или критических элементов всех вариантов осуществления, ни для схематичного изображения объема любого или всех вариантов осуществления. Ее исключительной целью является представление некоторых принципов одного или более вариантов осуществления в упрощенном виде в качестве вступления к более подробному описанию, которое представлено ниже.
Согласно одному аспекту способ калибровки антенной решетки в беспроводной сети содержит прием оценок для первых линий связи для установления связи, по меньшей мере, с двумя терминалами, от терминалов и определение оценок вторых линий связи от, по меньшей мере, двух терминалов. Затем определяется отношение калибровки, основанное на оценках первой и второй линии связи.
Согласно другому аспекту устройство беспроводной связи содержит, по меньшей мере, две антенны и процессор, соединенный, по меньшей мере, с двумя антеннами. Процессор выполнен с возможностью определения отношения калибровки, основанного на множестве оценок канала прямой линии связи и оценок канала обратной линии связи от множества терминалов доступа.
Согласно еще одному аспекту устройство может содержать средство для приема первой информации оценки канала, соответствующей передачам, по меньшей мере, к двум терминалам доступа, средство для определения второй информации об оценке канала, соответствующей передачам от, по меньшей мере, двух терминалов доступа, и средство для определения отношения калибровки, основанного на первой и второй информации оценки канала.
Еще другой аспект относится к считываемому процессором носителю, имеющему хранимые на нем инструкции для использования процессором. Инструкции включают в себя инструкции для определения множества оценок канала обратной линии связи для множества терминалов доступа и определения отношения калибровки, основанного на множестве оценок канала прямой линии связи, принятых от, по меньшей мере, некоторых из множества терминалов доступа, и множестве оценок канала обратной линии связи от множества терминалов доступа.
В дополнительных аспектах обеспечивается способ, который определяет интервал передачи для последней калибровки для конкретного состояния автоматической регулировки усиления (АРУ). Затем выполняется определение, основываясь на интервале передачи после последней калибровки, выполнять ли другую калибровку для состояния АРУ или считать вектор предыдущей калибровки или весовые коэффициенты из памяти для состояния АРУ с целью калибровки текущей передачи для состояния АРУ.
В другом аспекте устройство беспроводной связи включает в себя процессор, выполненный с возможностью определения, основываясь на интервале передачи после последней калибровки, выполнять ли другую калибровку для состояния АРУ или считать вектор предыдущей калибровки или весовые коэффициенты из памяти для состояния АРУ с целью калибровки текущей передачи для состояния АРУ. Процессор соединен с памятью.
В еще одном аспекте устройство беспроводной связи включает в себя средство для определения, основываясь на интервале передачи после последней калибровки, выполнять ли другую калибровку для состояния АРУ или считать вектор предыдущей калибровки или весовые коэффициенты из памяти для состояния АРУ с целью калибровки текущей передачи для состояния АРУ. Устройство беспроводной связи также может включать в себя средство для считывания весовых коэффициентов, или вектора калибровки, из памяти для калибровки текущей передачи, если интервал передачи меньше, чем некоторые критерии, и средство для выполнения другой операции калибровки, подлежащей использованию для текущей передачи, если интервал передачи превышает критерии.
Для достижения вышеупомянутых и связанных с ними целей один или несколько вариантов осуществления содержат признаки, полностью описанные ниже в данном документе и конкретно указанные в формуле изобретения. Нижеследующее описание и прилагаемые чертежи подробно излагают некоторые иллюстративные аспекты одного или нескольких вариантов осуществления. Эти аспекты указывают, однако, только несколько путей, посредством которых могут быть использованы принципы различных вариантов осуществления, и предполагается, что описанные варианты осуществления включают в себя все такие аспекты и их эквиваленты.
Краткое описание чертежей
Фиг.1 иллюстрирует аспекты системы беспроводной связи с множественным доступом.
Фиг.2 иллюстрирует антенное устройство, содержащее канал приемника и канал передатчика согласно различным аспектам, описанным в данном документе.
Фиг.3 иллюстрирует аспекты согласования во времени для операций калибровки.
Фиг.4 иллюстрирует аспекты логики, которая облегчает калибровку антенной решетки с целью компенсации рассогласования усиления.
Фиг.5 иллюстрирует аспекты системы, которая облегчает калибровку антенной решетки с целью компенсации рассогласования усиления.
Фиг.6 иллюстрирует аспекты способа калибровки антенной решетки.
Фиг.7 иллюстрирует аспекты способа калибровки антенной решетки.
Фиг.8 иллюстрирует аспекты приемника и передатчика в системе беспроводной связи.
Фиг.9 иллюстрирует аспекты узла доступа.
Фиг.10 иллюстрирует аспекты способа калибровки антенной решетки.
Подробное описание
Ниже описываются различные варианты осуществления с ссылкой на чертежи, на которых подобные ссылочные позиции используются для ссылки на подобные элементы по всем чертежам. В нижеследующем описании, с целью объяснения, многочисленные конкретные подробности излагаются для того, чтобы обеспечить полное понимание одного или нескольких вариантов осуществления. Может быть очевидным, однако, что такой вариант (варианты) осуществления может быть осуществлен на практике без этих конкретных подробностей. В других случаях, общеизвестные конструкции и устройства показаны в виде блок-схемы, чтобы облегчить описание одного или более вариантов осуществления.
Как используется в данной заявке, термины «компонент», «система» и подобные, как предполагается, ссылаются на относящиеся к компьютеру объекты, выполненные на основе аппаратных средств, комбинации аппаратных средств и программного обеспечения, или программные, или программные при исполнении. Например, компонентом может быть, но не ограничивается им, процесс, выполняющийся на процессоре, процессор, объект, исполняемый файл, поток управления, программа и/или компьютер. Один или несколько компонентов могут находиться в процессе и/или потоке управления, и компонент может локализоваться на одном компьютере и/или распределяться по двум или более компьютерам. Также эти компоненты могут исполняться с различных считываемых компьютером носителей, имеющих хранимые на них различные структуры данных. Компоненты могут передаваться при помощи локальных и/или удаленных процессов, например, в соответствии с сигналом, имеющим один или более пакетов данных (например, данные от одного компонента взаимодействуют с другим компонентом в локальной системе, распределенной системе и/или по сети, такой как Интернет, с другими системами при помощи сигнала).
Кроме того, различные варианты осуществления описываются в данном документе в связи с абонентской станцией. Абонентская станция также может называться системой, абонентским блоком, мобильной станцией, мобильным устройством, удаленной станцией, узлом доступа, базовой станцией, удаленным терминалом, терминалом доступа, терминалом пользователя, агентом пользователя, оборудованием пользователя и т.д. Абонентская станция может быть сотовым телефоном, беспроводным телефоном, телефоном по протоколу создания сеанса связи (SIP), станцией беспроводной абонентской линии (WLL), персональным цифровым помощником (PDA), портативным устройством, имеющим возможность беспроводного подключения, или другим устройством обработки, подсоединенным к беспроводному модему.
Кроме того, различные аспекты или признаки, описанные в данном документе, могут быть реализованы в виде способа, устройства или изделия, используя стандартные методы программирования и/или проектирования. Термин «изделие», используемый в данном документе, предназначен для того, чтобы охватывать компьютерную программу, доступную с любого считываемого компьютером устройства, несущую или носители. Например, считываемые компьютером носители могут включать в себя, но не ограничиваться ими, магнитные запоминающие устройства (например, жесткий диск, гибкий диск, магнитные полоски…), оптические диски (например, компакт-диск (CD), цифровой многофункциональный диск (DVD)…), смарт-карты, устройства флэш-памяти (например, в виде карточки, палочки, ключа-накопителя…), интегральные схемы, такие как постоянные запоминающие устройства, программируемые постоянные запоминающие устройства и электрически стираемые программируемые постоянные запоминающие устройства.
На фиг.1 изображена система беспроводной связи с множественным доступом согласно одному варианту осуществления. Система 1 беспроводной связи множественного доступа включает в себя множество сот, например, соты 2, 104 и 106. На фиг.1 каждая сота 2, 4 и 6 может включать в себя узел доступа, который включает в себя множество секторов. Множество секторов формируется группами антенн, каждая из которых ответственна за связь с терминалами доступа в части соты. В соте 2 каждая группа 12, 14 и 16 антенн соответствует разному сектору. В соте 4 каждая группа 18, 20 и 22 антенн соответствует разному сектору. В соте 6 каждая группа 24, 26 и 28 антенн соответствует разному сектору.
Каждая сота включает в себя несколько терминалов доступа, которые осуществляют связь с одним или более секторами каждого узла доступа. Например, терминалы 30 и 32 доступа осуществляют связь с базой 42 узла доступа, терминалы 34 и 36 доступа осуществляют связь с узлом 44 доступа, и терминалы 38 и 40 доступа осуществляют связь с узлом 46 доступа.
Контроллер 50 связан с каждой сотой 2, 4 и 6. Контроллер 50 может содержать одно или более подключений к множеству сетей, например, к Интернету, другим основанным на пакетах сетям или сетям передачи речи с коммутацией каналов, которые обеспечивают информацию терминалам доступа и от них при осуществлении связи с сотами системы 1 беспроводной связи множественного доступа. Контроллер 50 содержит или соединен с планировщиком, который планирует передачу с терминалов доступа и на них. В других вариантах осуществления планировщик может находиться в каждой индивидуальной соте, каждом секторе соты или их комбинации.
Чтобы облегчить калибровку передач на терминалы доступа, полезно калибровать контур калибровки усиления узла доступа для решения проблемы рассогласования из-за каналов передачи и приема узла доступа. Однако вследствие шума в канале любая оценка калибровки, основанная на сигналах, принятых на терминалах доступа (прямая линия связи) и переданных с терминалов доступа (обратная линия связи), может содержать шум и другие изменения в каналах, которые могут поставить под сомнение представленные оценки, используемые для обеспечения калибровки. Чтобы компенсировать влияние шума в канале, множество калибровок как прямой линии связи, так и обратной линии связи используются для множества терминалов доступа. В некоторых аспектах множество передач на каждый терминал доступа и с него учитываются для выполнения калибровки данного сектора.
В некоторых аспектах может калиброваться или канал передачи узла доступа, или канал приема узла доступа. Это может выполняться, например, посредством использования отношения калибровки для калибровки канала приема узла доступа к его каналу передачи или калибровки его канала передачи к его каналу приема. Отношение калибровки затем может использоваться для калибровки канала передачи узла доступа или канала приема узла доступа.
Как используется в данном документе, узел доступа может быть фиксированной станцией, используемой для связи с терминалами, и также может упоминаться и включать в себя некоторые или все функциональные возможности базовой станции узла В или определяемые некоторыми другими терминами. Терминал доступа также может упоминаться и включать в себя некоторые или все функциональные возможности оборудования пользователя (UE), устройства беспроводной связи, терминала, мобильной станции или определяемые некоторыми другими терминами.
Необходимо отметить, что, хотя фиг.1 описывает физические секторы, т.е. имеющие разные группы антенн для разных секторов, могут использоваться другие подходы. Например, использование множества фиксированных «лучей», каждый из которых охватывает различные области соты в частотном пространстве, может использоваться вместо или в комбинации с физическими секторами. Такой подход описывается и раскрывается в одновременно рассматриваемой заявке на патент США 11/260895, озаглавленной «Adaptive Sectorization In Cellular System», которая включена в данный документ по ссылке.
На фиг.2 изображено антенное устройство 100, содержащее канал 102 приемника и канал 104 передатчика согласно различным аспектам, описанным в данном документе. Канал 102 приемника содержит компонент 106 преобразователя с понижением частоты, который преобразует с понижением частоты сигнал в полосу модулирующих частот при приеме. Компонент 106 преобразователя с понижением частоты соединен с блоком 108 автоматической регулировки усиления (АРУ), который определяет интенсивность принятого сигнала и автоматически подстраивает усиление, применяемое к принятому сигналу, для поддержания канала 102 приемника в пределах связанного с ним диапазона линейного режима и обеспечения постоянной интенсивности сигнала для вывода через канал 104 передатчика. Понятно, что АРУ 108 может быть необязательной для некоторых вариантов осуществления, описанных в данном документе (например, автоматическую регулировку усиления необязательно выполнять в каждом варианте осуществления). АРУ 108 соединена с аналого-цифровым (А/Ц) преобразователем 110, который преобразует принятый сигнал в цифровой формат, перед тем как сигнал будет сглажен цифровым фильтром 112 нижних частот (ФНЧ), который может ослаблять кратковременные колебания в принятом сигнале. Наконец, канал 102 приемника может содержать процессор 114 приемника, который обрабатывает принятый сигнал и может передавать сигнал одному или более компонентам канала 104 передатчика.
Канал 104 передатчика может содержать процессор 116 передатчика, который принимает сигнал от канала 102 приемника (например, передатчик принимает сигнал, который был первоначально принят каналом 102 приемника и подвергался различным процессам, связанным с его компонентами,…). Процессор 116 передатчика соединен с формирователем 118 импульсов, который обеспечивает манипулирование сигналом, подлежащим передаче, так что сигналу может быть придана такая форма, чтобы он находился в пределах ограничений по полосе частот, в то же время ослабляя и/или устраняя межсимвольную интерференцию. Если сигналу придана форма, он может подвергаться цифроаналоговому (Ц/А) преобразованию в Ц/А преобразователе 120, перед тем как он будет подвергнут действию связанного с ним фильтра 122 нижних частот (ФНЧ) в канале 104 передатчика для сглаживания. Компонент 124 импульсного усилителя (ИУ) может усиливать импульс/сигнал перед преобразованием с повышением частоты в полосу модулирующих частот посредством преобразователя 126 с повышением частоты.
Антенная решетка 100 может существовать для каждой антенны как узла доступа, так и терминала доступа. По существу, может быть заметное различие, наблюдаемое между передаточной характеристикой канала 104 передатчика и канала 102 приемника и/или их отсчетами, и не может предполагаться взаимность изменений эквивалентного канала и/или передатчика/приемника. При калибровке антенной решетки 100 может использоваться понимание величины изменений, на основе влияния на фазу и/или амплитуду, сигналов, распространяющихся по каналам передатчика и приемника, и их влияние на точность предположения о взаимности, чтобы облегчить процесс калибровки. Кроме того, в случае антенной решетки, в основном, каждая антенна 100 имеет разный канал 104 передатчика и канал 102 приемника, отличающийся от каналов каждой другой антенны. Поэтому каждый другой канал 104 передатчика может иметь различные влияния, на основе фазы и/или амплитуды, как и любой другой канал 104 передатчика, соответственно. Это же может быть верно для каналов 102 приемника каждой антенны 100.
Рассогласование во влиянии может быть из-за физической конструкции антенны 100, различий компонентов или ряда других факторов. Такие рассогласования могут включать в себя, например, эффекты взаимной связи, эффекты башни, несовершенные сведения о расположениях элементов, амплитудные и/или фазовые рассогласования из-за кабельной системы антенны и т.п. Кроме того, рассогласования могут быть из-за аппаратных элементов в канале 104 передатчика и/или канала 102 приемника каждой антенны 100. Например, такие рассогласования могут быть связаны с аналоговыми фильтрами, дисбалансом сигналов I и Q, рассогласованием фазы и/или усиления малошумящего усилителя или усилителя в каналах, различными эффектами нелинейности и т.д.
Для узла доступа калибровка каждого канала передачи по его соответствующему каналу приема (т.е. каналу приема, соответствующему этой же антенне) независимо потребует сложный и потенциально громоздкий процесс. Далее, любая конкретная обратная связь, для передачи по прямой линии связи, или пилот-сигналы, используемые для передачи по обратной линии связи, для любого данного терминала доступа подвержены шуму для этого пользователя. Поэтому для любого данного отношения калибровки, оцененного на основе как прямой, так и обратной линии связи, существует некоторая ошибка, вводимая изменением и шумом в канале. Поэтому в нескольких аспектах одно или несколько отношений калибровки, оцененных для нескольких различных терминалов доступа, суммируются для того, чтобы получить единственное отношение калибровки, подлежащее использованию точкой доступа для передачи одному или всем терминалам доступа. В некоторых аспектах суммирование может составлять усреднение всех, или некоторого предварительно определенного поднабора, отношений калибровки для каждого терминала доступа, устанавливающего связь с узлом доступа. В другом аспекте суммирование может выполняться методом совместной оптимизации, где измерения канала от каждого терминала доступа и для него суммируются для оценки единственного отношения калибровки, которое представляет собой комбинацию рассогласований усиления для каждого терминала доступа, без вычисления индивидуального отношения калибровки для каждого терминала доступа.
Для любого данного терминала доступа узел доступа использует относящиеся оценки канала обратной линии связи и оценки канала прямой линии связи, которые выполняются на терминале доступа и подаются обратно на узел доступа, чтобы оценить или вычислить отношение калибровки, основанное на этом терминале доступа.
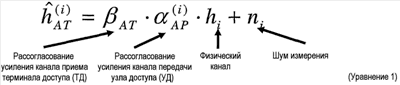
Оценка канала прямой линии связи может оцениваться на терминале доступа для передач с i-ой передающей антенны узла доступа. Однако любая оценка канала будет иметь компоненты, относящиеся к шуму канала, вместе с любым усилением или искажением, вызванным каналом передачи узлов доступа и каналом приема терминалов доступа. Оценка канала прямой линии связи тогда может быть записана как:

В уравнении (1) оценка канала представляет собой функцию рассогласования AT усиления канала приемника терминала доступа, рассогласования усиления канала передатчика узла доступа, hi, который представляет собой физический канал между двумя измеряемыми антеннами, и шума ni канала, который представляет собой часть оценки канала.
В случае передач по обратной линии связи оценка канала на i-ой приемной антенне узла доступа из-за передачи от ТД , по существу, представляет собой инверсию уравнения (1). Это можно видеть в уравнении (2) ниже:

В уравнении (2) эта оценка канала представляет собой функцию рассогласования AT усиления канала передачи терминала доступа, рассогласования усиления канала приемника узла доступа, hi, который представляет собой физический канал между двумя измеряемыми антеннами, и шума i канала, который представляет собой часть оценки канала.
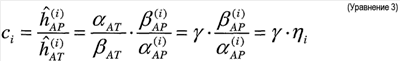
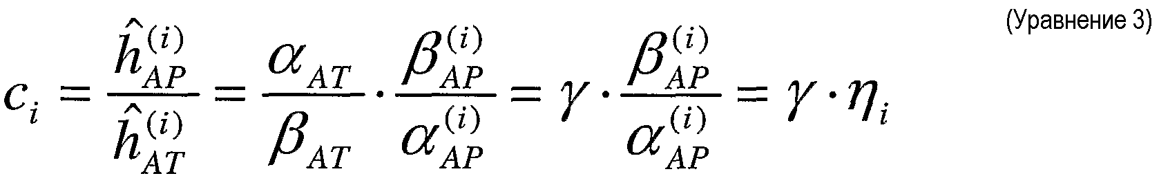
Чтобы калибровать антенную решетку, ошибки рассогласования между каналами 102 приемника и каналами 104 передатчика антенн 100 в них показаны ниже в уравнении (3). Необходимо отметить, что могут быть использованы другие методологии и математические зависимости для реализации калибровки решетки совместно или вместо методов и математических зависимостей, описанных в данном документе.

В уравнении (3) ci представляет собой общее отношение рассогласования между передачами по обратной линии связи и передачами по прямой линии связи, представляет собой отношение рассогласования усилений между каналами передачи и приема терминала доступа, и i представляет собой отношение рассогласования каналов приема и передачи для i-ой антенны в узле доступа. Необходимо отметить, что , по существу, является постоянным для каждой пары антенн в узле доступа. Также в некоторых отношениях уравнение (3) является идеализированным, так как оценка шума не включена в него.
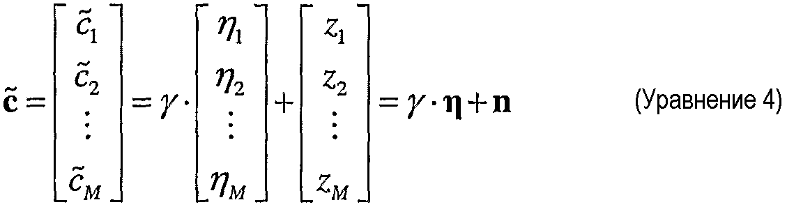
Отношения калибровки ci,i=1,… М, где M представляет собой количество антенн в антенной решетке узла доступа, могут быть сгруппированы в один вектор для каждого терминала доступа, который может быть назван «вектором калибровки».

В уравнении (4) элементы вектора соответствуют оценкам для каждой антенны узла доступа в отношении единственного терминала доступа. Необходимо отметить, что элементы вектора могут быть комплексными числами, включающими в себя как амплитудное, так и фазовое рассогласование для каждого канала передачи и приема антенной решетки узла доступа, а также общее рассогласование, соответствующее рассогласованию передачи и приема каналов передачи и приема терминала доступа.
Вектор n шума включает в себя влияние ошибок измерения канала (среднеквадратическая ошибка (СКО)) и также влияние декорреляции измерения канала, так как измерения усиления выполняются в различные моменты времени, таким образом позволяя изменениям в канале во времени, а также температурным и другим изменениям оказывать влияние на измерение.
Оцененный вектор калибровки, соответствующий терминалу u доступа, может определяться так, как показано ниже в уравнении (5).

где u представляет собой рассогласование усиления, соответствующее каналам передачи и приема терминала доступа, и представляет собой вектор рассогласования, соответствующий каналам передачи и приема антенной решетки узла доступа. Вектор определяется для всех антенн антенной решетки узла доступа.
В вышеупомянутом необходимо отметить, что существует несколько способов суммирования различных оценок калибровки (соответствующих измерениям от различных терминалов доступа) для генерирования общих или суммированных оценок калибровки. Одним путем для выполнения этого суммирования является усреднение всех оценок калибровки с целью получения одной оценки.
В данном подходе каждая оценка вектора калибровки включает в себя мультипликативный множитель u, который является разным для различных терминалов доступа. В том случае когда один или несколько терминалов доступа имеют очень большое рассогласование u усиления, простое усреднение может привести к результатам, которые смещают среднее в сторону терминалов доступа, имеющих наибольшее рассогласование u усиления.
В другом аспекте, каждая оценка вектора калибровки, соответствующая конкретному терминалу доступа, нормализуется в соответствии с элементом вектора. Это может обеспечивать минимизацию в тех случаях, где один или несколько терминалов доступа имеют большое рассогласование u усиления. Этот процесс изображен ниже в уравнении (6).

Необходимо отметить, что в некоторых аспектах нормализующим элементом может быть любой элемент вектора калибровки при условии, что он является одинаковым элементом для каждой оценки вектора калибровки, например, первый элемент или другой элемент. Сумма нормализованных элементов затем делится на общее количество элементов U вектора .
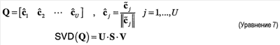
Другой подход, который может быть использован для суммирования различных оценок вектора калибровки, может основываться на суммировании оцененных векторов в матрице. Например, в некоторых аспектах каждая оценка вектора калибровки может представлять собой повернутую и масштабированную версию одного и того же вектора , причем поворот и масштабирование обусловлены различными рассогласованиями u терминала доступа. Одним путем избавления от этого масштабирования и поворота является сначала нормализация каждого вектора калибровки, чтобы он имел единичную норму. Затем матрица Q, столбцы которой представляют собой нормализованные оценки вектора калибровки, может быть сформирована из векторов калибровки. Единственная оценка для вектора калибровки получается посредством выполнения разложения матрицы, например, разложения по сингулярным числам матрицы Q. Собственный вектор, соответствующий максимальному сингулярному числу, может использоваться в качестве общей оценки вектора калибровки, например, как показано в уравнении (7) ниже.

Как приведено в качестве примера в трех подходах выше, отношение калибровки, в основном, оценивается в два этапа. Сначала значения, соответствующие элементам векторов калибровки, вычисляются для антенной решетки, или этих представляющих интерес антенн, в отношении индивидуальных терминалов доступа. Векторы калибровки затем суммируются в соответствии с одним или более различных математических процессов.
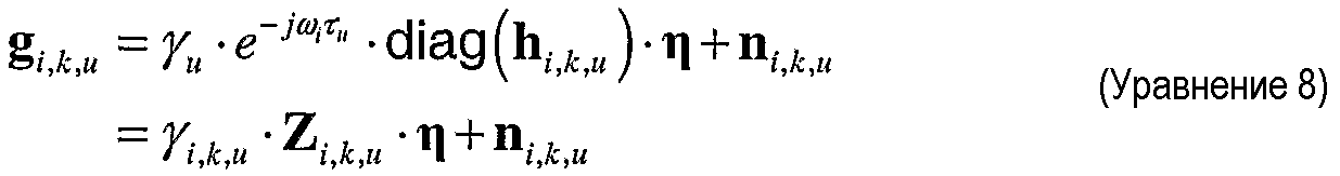
Альтернативой вычислению множества векторов калибровки является использование процедуры совместной оптимизации, использующей множество измерений узлов доступа и терминалов доступа следующим образом. В некоторых случаях терминал доступа и узел доступа могут генерировать свои оценки канала для различных частотных тонов и в различные моменты времени. Кроме того, может быть временная ошибка k,u между узлом доступа и u-ым терминалом доступа в момент k времени. В таком случае, оценка gi,k,u вектора канала прямой линии связи, измеренная на терминале доступа, может быть связана с оценкой hi,k,u вектора канала обратной линии связи, измеренной в узле доступа. Один подход, использующий вектор калибровки и рассогласование u терминала доступа, изображен в уравнении (8) ниже.

В уравнении (8) Zi,k,u представляет собой диагональную матрицу, диагональные элементы которой представляют собой элементы оценки hi,k,u вектора канала обратной линии связи и . Нижние индексы i,k,u представляют собой индексы тона, времени и пользователя, соответственно. В вышеупомянутом уравнении неизвестными являются вектор калибровки и конкретное рассогласование i,k,u терминала доступа. Особенность уравнения (8) заключается в том, что рассогласование терминала доступа включает в себя эффект временного рассогласования между узлом доступа и терминалом доступа в дополнение к рассогласованию усиления из-за каналов передачи и приема терминала доступа. Одним путем получения решения для и i,k,u является использование подхода минимальной среднеквадратической ошибки (МСКО), как показано в уравнении (9).

Решения для и i,k,u могут быть даны уравнением (10) ниже.

где для вектора x ортогональный проективный оператор может быть определен как

Чтобы компенсировать рассогласования, отношения калибровки могут использоваться для изменения усиления, на основе обоих, или одного из двух, фазы и амплитуды канала передатчика узла доступа для согласования его с его каналом приемника, или, эквивалентно, для изменения усиления канала приема узла доступа для согласования его с его каналом передачи.
В некоторых аспектах узел доступа может использовать формирование диаграммы направленности посредством суммирования дифференциально взвешенных сигналов (СДВС, MRC), формирование диаграммы направленности посредством линейного суммирования сигналов равной мощности (ССРМ, EGC) или любой другой метод пространственной предварительной обработки для передачи на любой терминал доступа. Т.е. если вектором канала обратной линии связи является h, узел доступа использует следующие весовые коэффициенты предварительной обработки для передачи:

С оценкой вектора калибровки узел доступа может использовать следующие весовые коэффициенты предварительной обработки для компенсации своих рассогласований каналов передачи и приема:

где diag( )=diag( ).
Хотя фиг.2 изображает и описывает один вариант осуществления канала 102 приемника и канала 104 передатчика, могут использоваться другие схемы размещения и конструкции. Например, различное количество компонентов может использоваться как в канале 102 приемника, так и в канале 104 передатчика. Кроме того, также могут быть заменены другие устройства и конструкции.
Фиг.3 иллюстрирует цикл согласования во времени для калибровки от одного терминала доступа, где используется система ДВО, имеющая один кадр или посылку прямой линии связи рядом с одним кадром или посылкой обратной линии связи. Как можно видеть, один или несколько пилот-сигналов, переданных по обратной линии связи, измеряется (измеряются) в узле доступа. Период времени измерения является функцией времени декодирования узла доступа. В течение этого периода декодирования один или более пилот-сигналов передаются по прямой линии связи на терминал доступа. Терминал доступа затем измеряет пилот-сигналы с целью оценки канала прямой линии связи. Как и с оценками обратной линии связи, существует некоторое отставание декодирования. Декодированные оценки прямой линии связи должны передаваться обратно в узел доступа, чтобы генерировать отношение калибровки. Поэтому можно видеть, что существует некоторое минимальное количество времени, и поэтому максимальная скорость терминала доступа, для которой калибровка может поддерживаться без дрейфа, являющимся сильным или, по существу, мешающим фактором.
Как можно видеть на фиг.3, если используется множество оценок канала от множества терминалов доступа, связанные с ними шум и дрейф могут быть снижены или, по меньшей мере, могут выбираться по диапазону моментов времени и каналам приема, таким образом принимая общее усиление калибровки.
Фиг.4 иллюстрирует аспекты логики, которая способствует калибровке антенной решетки с целью компенсации рассогласования усиления. Система 300 содержит компонент 302 калибровки, который включает в себя компонент 304 оценки рассогласования, который анализирует выходные сигналы канала приемника моделей и/или сравнения между выходными сигналами канала приемника, и вычислитель 306 объединения отношений, который вычисляет отношения, которые используются для генерирования вектора , и объединяет их для использования, используя один из способов, описанных выше для суммирования различных измерений от различных терминалов доступа.
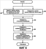
Фиг.5 иллюстрирует аспекты системы, которая способствует калибровке антенной решетки с целью компенсации рассогласования усиления. Система 400 содержит процессор 402, который соединен с антенной решеткой 404. Процессор 402 может определять рассогласования усиления для индивидуальных комбинаций антенн на терминале доступа и узле доступа, используя компонент 406 калибровки. Процессор 402 дополнительно содержит компонент 406 калибровки, который определяет отношения калибровки и затем генерирует и использует вектор .
Система 400 может дополнительно содержать память 408, которая соединена с процессором 402 и которая хранит информацию, относящуюся к калибровке решетки, генерированию и использованию отношения, генерированию данных калибровки и т.д., и любую другую подходящую информацию, относящуюся к калибровке антенной решетки 404. Понятно, что процессором 402 может быть процессор, выделенный для анализа и/или генерирования информации, принимаемой процессором 402, процессор, который управляет одним или более компонентами системы 400, и/или процессор, который как анализирует и генерирует информацию, принимаемую процессором 402, так и управляет одним или более компонентами системы 400.
Память 408 может дополнительно хранить протоколы, связанные с генерированием копий сигнала и моделей/представлений, оценок рассогласования и т.д., так что система 400 может использовать хранимые протоколы и/или алгоритмы для выполнения калибровки антенны и/или компенсации рассогласования, как описано в данном документе. Понятно, что компонентами хранилища (например, памяти) данных, описанными в данном документе, могут быть или энергозависимая память, или энергонезависимая память, или они могут включать в себя как энергозависимую, так и энергонезависимую память. В качестве иллюстрации, но не ограничения, энергонезависимая память может включать в себя постоянное запоминающее устройство (ПЗУ), программируемое ПЗУ (ППЗУ), электрически программируемое ПЗУ (ЭППЗУ), электрически стираемое ПЗУ (ЭСППЗУ) или флэш-память. Энергозависимое запоминающее устройство может включать в себя оперативное запоминающее устройство (ОЗУ), которое действует в качестве внешней кэш-памяти. В качестве иллюстрации, но не ограничения, ОЗУ доступно во многих видах, таких как синхронное ОЗУ (СОЗУ), динамическое ОЗУ (ДОЗУ), синхронное ДОЗУ (СДОЗУ), СДОЗУ с удвоенной скоростью обмена данными (СДОЗУ УСОД), усовершенствованное СДОЗУ (УСДОЗУ), ДОЗУ с синхронной связью (ДОЗУ СС) и ОЗУ с шиной прямого резидентного доступа (ОЗУ ШПД). Память 408 рассматриваемых систем и способов, как предполагается, содержит, без ограничения ими, эти и любые другие подходящие типы памяти.
В некоторых аспектах память 408 может хранить векторы калибровки для каждого состояния, т.е. уровня усиления, АРУ. В таких аспектах, для каждой передачи процессор 402 может обращаться к вектору калибровки для состояния АРУ без выполнения калибровки. Решение в отношение того, выполнять ли дополнительную калибровку или обращение к предыдущему вектору калибровки для данной передачи, может основываться на периоде времени или количестве передач, с момента получения вектора калибровки для состояния АРУ. Это может быть системный параметр, или он может изменяться, основываясь на условиях канала, например, загрузки канала.
Фиг.6 иллюстрирует метод для калибровки антенной решетки для передачи. Оценки канала для прямой линии связи принимаются от терминалов доступа (блок 500). Как описано выше, эти оценки канала могут генерироваться из пилот-сигналов прямой линии связи, переданных узлом доступа. Кроме того, оценки канала для информации об обратной линии связи, например, пилот-сигналов канала обратной линии связи, генерируются узлом доступа (блок 502).
После того как будут собраны оценки канала как прямой линии связи, так и обратной линии связи, могут быть определены отношения калибровки для каждой антенны терминала доступа и узла доступа (блок 504). В некоторых аспектах, самая последняя оценка канала прямой линии связи и обратной линии связи в отношении друг к другу во времени используется для формирования отношения калибровки. В таких случаях, множество оценок для данного терминала доступа может быть выполнено на основе последовательных пар оценок канала оценок прямой линии связи и обратной линии связи.
Как описано в отношении фиг.3, может иметь место некоторое отставание во времени между различными вычислениями и передачами. Далее, функциональные возможности блоков 500 и 502 могут иметь место, по существу, одновременно или в различные моменты времени для одного и того же или различных терминалов доступа. Поэтому отношение калибровки может определяться для данного терминала доступа, основываясь на оценках канала передач по прямой линии связи и обратной линии связи, которые могут быть или могут не быть последовательными во времени.
Отношения калибровки затем суммируются для формирования оценки калибровки по множеству терминалов доступа (блок 506). Это суммированное отношение калибровки может включать в себя отношения калибровки для некоторых или всех терминалов доступа в данном секторе или соте и может иметь неодинаковое или одинаковое количество отношений калибровки для каждого терминала доступа, для которого получают одно или несколько отношений калибровки.
Суммированное отношение калибровки может быть получено простым усреднением отношений калибровки или использованием других подходов, обсужденных в отношении фиг.2, например, подходов, обсужденных в отношении уравнений (5) или (7).
Каждая передача от каждого канала передачи узла доступа затем взвешивается с весовыми коэффициентами, основанными на суммированном отношении калибровки для этого канала передачи (блок 508). Также объединенный или совместный набор весовых коэффициентов калибровок может использоваться для одного или более каналов передачи узла доступа. Альтернативно, можно передавать это суммированное отношение калибровки или инструкцию калибровки, основанную на суммированном отношении калибровки, одному или более терминалам доступа. Терминалы доступа затем будут применять весовые коэффициенты, основанные на суммированном отношении калибровки, для декодирования передач, принимаемых на терминале доступа.
Также в некоторых аспектах весовые коэффициенты калибровки используются для конкретного состояния АРУ, но не для других состояний АРУ. Как таковая, обработка согласно блоку 508 затем применяется только к состоянию АРУ, соответствующему блоку 500.
Фиг.7 иллюстрирует другой метод для калибровки антенной решетки для передачи. Оценки канала для прямой линии связи принимаются от терминалов доступа (блок 600). Как описано выше, эти оценки канала могут генерироваться из пилот-сигналов прямой линии связи, переданных узлом доступа. Кроме того, оценки канала для информации об обратной линии связи, например, пилот-сигналов канала обратной линии связи, генерируются узлом доступа (блок 602).
После того как будут собраны оценки как прямой линии связи, так и обратной линии связи, определяется отношение калибровки, которое использует множество оценок канала для множества терминалов доступа (блок 604). В некоторых аспектах используется самая последняя оценка канала прямой линии связи и обратной линии связи в отношении друг к другу во времени. В таких случаях, множество оценок для данного терминала доступа могут выполняться на основе последовательных пар оценок канала из оценок прямой линии связи и обратной линии связи.
Как описано в отношении фиг.3, может быть некоторое отставание во времени между различными вычислениями и передачами. Далее, функциональные возможности для блоков 600 и 602 могут иметь место, по существу, одновременно или в различные моменты времени для одного и того же или различных терминалов доступа. Поэтому оценки канала могут определяться для данного терминала доступа, основываясь на оценках канала передач прямой линии связи и обратной линии связи, которые могут быть или могут не быть последовательными во времени.
Отношение совместной калибровки может получаться посредством использования процесса совместной оптимизации, как описано в отношении фиг.2, например, уравнения (8).
Каждая передача с каждого канала передачи узла доступа затем взвешивается с весовыми коэффициентами, основанными на отношении совместной калибровки для этого канала передачи (608). Также объединенный или совместный набор весовых коэффициентов калибровки может использоваться для одного или более каналов передачи узла доступа. Альтернативно, можно передавать это отношение совместной калибровки или инструкции калибровки, основанной на отношении совместной калибровки, одному или более терминалам доступа. Терминалы доступа затем применяют весовые коэффициенты, основанные на отношении совместной калибровки, к декодированию передач, принимаемых на терминале доступа.
Также в некоторых аспектах весовые коэффициенты калибровки используются для конкретного состояния АРУ, но не для других состояний АРУ. Как таковая, обработка блока 608 затем применяется только для состояния АРУ, соответствующего блоку 600.
Фиг.8 иллюстрирует примерную систему 1300 беспроводной связи. Система 1300 беспроводной связи описывает одну базовую станцию и один терминал для краткости. Однако необходимо понять, что система может включать в себе более одной базовой станции и/или более одного терминала, причем дополнительные базовые станции и/или терминалы могут быть, по существу, подобными или отличными от примерной базовой станции и терминала, описанных ниже. Кроме того, необходимо понять, что базовая станция и/или терминал могут использовать системы (фиг.1-5) и/или способы (фиг.6-7 и 10), описанные в данном документе, чтобы способствовать беспроводной связи между ними.
Как показано на фиг.8, при передаче по прямой линии связи в узле 1305 доступа процессор 1310 данных передачи (ТХ) принимает, форматирует, кодирует, перемежает и модулирует (или отображает символы) данные трафика и обеспечивает символы модуляции («символы данных»). Модулятор 1315 символов принимает и обрабатывает символы данных и пилот-символы и обеспечивает поток символов. Модулятор 1320 символов мультиплексирует символы данных и пилот-символы по надлежащим поднесущим, обеспечивает сигнальное значение нуля для каждой неиспользуемой поднесущей и получает набор из N символов передачи для N поднесущих для каждого периода символа. Каждым символом передачи может быть символ данных, пилот-символ или сигнальное значение нуля. Пилот-символы могут посылаться непрерывно в каждом периоде символа. Понятно, что пилот-символы могут мультиплексироваться с временным разделением каналов (МВРК), мультиплексироваться с частотным разделением каналов (МЧРК), мультиплексироваться с ортогональным частотным разделением каналов (МОЧРК), мультиплексироваться с кодовым разделением каналов (МКРК) и т.д. Модулятор 1320 символов может преобразовывать каждый набор из N символов передачи во временную область, используя N-точечное обратное быстрое преобразование Фурье (ОБПФ) для получения «преобразованного» символа, который содержит N кодовых элементов временной области. Модулятор 1320 символов обычно повторяет часть каждого преобразованного символа для получения соответствующего символа. Повторяемая часть известна как циклический префикс и используется для противодействия разбросу по задержке в беспроводном канале.
Блок 1320 передатчика (TMTR) принимает и преобразует поток символов в один или несколько аналоговых сигналов и дополнительно приводит в определенное состояние (например, усиливает, фильтрует и преобразует с повышением частоты) аналоговые сигналы для генерирования сигнала прямой линии связи, пригодного для передачи по беспроводному каналу. Сигнал прямой линии связи затем передается при помощи антенны 1325 на терминалы. На терминале 1330 антенна 1335 принимает сигнал прямой линии связи и обеспечивает принятый сигнал для блока 1340 приемника (RCVR). Блок 1340 приемника приводит в определенное состояние (например, фильтрует, усиливает и преобразует с понижением частоты) принятый сигнал и оцифровывает приведенный в определенное состояние сигнал для получения отсчетов. Демодулятор 1345 символов удаляет циклический префикс, присоединенный к каждому символу, преобразует каждый принятый преобразованный символ в частотную область, используя N-точечное быстрое преобразование Фурье (БПФ), получает N принятых символов для N поднесущих для каждого периода символов и обеспечивает принятые пилот-символы для процессора 1350 для оценки канала. Демодулятор 1345 символов дополнительно принимает оценку частотной характеристики для прямой линии связи от процессора 1350, выполняет демодуляцию данных принятых символов данных для получения оценок символов данных (которые представляют собой оценки переданных символов данных), и обеспечивает оценки символов данных для процессора 1355 данных RX, который демодулирует (например, выполняет обратное отображение символов), устраняет перемежение и декодирует оценки символов данных для восстановления переданных данных трафика. Обработка демодулятором 1345 символов и процессором 1355 данных RX является комплементарной к обработке модулятором 1315 символов и процессором 1310 данных ТХ, соответственно, в узле 1300 доступа.
В обратной линии связи процессор 1360 данных ТХ обрабатывает данные трафика и обеспечивает символы данных. Модулятор 1365 символов принимает и мультиплексирует символы данных с пилот-символами, выполняет модуляцию и обеспечивает поток символов. Пилот-символы могут передаваться по поднесущим, которые были назначены терминалу 1330 для передачи пилот-сигнала, где количество поднесущих пилот-сигнала для обратной линии связи может быть таким же или отличаться от количества поднесущих пилот-сигнала для прямой линии связи. Блок 1370 передатчика затем принимает и обрабатывает поток символов для генерирования сигнала обратной линии связи, который передается антенной 1335 в узле 1310 доступа.
В узле 1310 доступа сигнал обратной линии связи от терминала 1330 принимается антенной 1325 и обрабатывается блоком 1375 приемника для получения отсчетов. Демодулятор 1380 символов затем обрабатывает отсчеты и обеспечивает принятые пилот-символы и оценки символов данных для обратной линии связи. Процессор 1385 данных RX обрабатывает оценки символов данных для восстановления данных трафика, переданных терминалом 1335. Процессор 1390 выполняет оценку канала для каждого активного терминала, передающего по обратной линии связи.
Процессор 1390 также может конфигурироваться на выполнение генерирования отношений калибровки и отношения совместной калибровки, или отношения совместной калибровки, как описано в отношении фиг.2, 6 и 7, соответственно.
Процессоры 1390 и 1350 руководят (например, управляют, координируют, организуют и т.д.) обработкой в узле 1310 доступа и терминале 1335, соответственно. Соответствующие процессоры 1390 и 1350 могут быть соединены с блоками памяти (не показаны), которые хранят программные коды и данные. Процессоры 1390 и 1350 также могут выполнять вычисления для вывода оценок частотной и импульсной характеристики для обратной линии связи и прямой линии связи, соответственно.
Как показано на фиг.9, узел доступа может содержать основной блок (ОБ) 1450 и радиоблок (РБ) 1475. ОБ 1450 включает в себя цифровые компоненты полосы модулирующих частот узла доступа. Например, ОБ 1450 может включать в себя компонент 1405 полосы модулирующих частот и блок 1410 цифровой обработки промежуточной частоты (ПЧ). Блок 1410 цифровой обработки ПЧ обрабатывает цифровым образом данные радиоканала на промежуточной частоте посредством выполнения таких функций, как фильтрация, каналообразование, модуляция и т.п. РБ 1475 включает в себя аналоговые радиоподсистемы узла доступа. Как используется в данном документе, радиоблок представляет собой аналоговые радиоподсистемы узла доступа или приемопередающую станцию другого типа с непосредственным или косвенным подключением к центру коммутации мобильной связи или соответствующему устройству. Радиоблок обычно обслуживает конкретный сектор в системе связи. Например, РБ 1475 может включать в себя один или несколько приемников 1430, подсоединенных к одной или более антеннам 1435a-t, для приема радиосвязи от мобильных абонентских блоков. В одном аспекте один или более усилителей 1482a-t мощности подсоединены к одной или более антеннам 1435a-t. К приемнику 1430 подсоединен аналого-цифровой (А/Ц) преобразователь 1425. А/Ц преобразователь 1425 преобразует сигналы аналоговой радиосвязи, принимаемые приемником 1430, в цифровой входной сигнал для передачи на компонент 1405 полосы модулирующих частот через блок 1410 цифровой обработки ПЧ. РБ 1475 также может включать в себя один или более передатчиков 120, подсоединенных к одной и той же или различным антеннам 1435 для передачи сигналов радиосвязи на терминалы доступа. К передатчику 1420 подсоединен цифроаналоговый (Ц/А) преобразователь 1415. Ц/А преобразователь 1415 преобразует сигналы цифровой связи, принимаемые от компонента 1405 полосы модулирующих частот через блок 1410 цифровой обработки ПЧ, в аналоговый выходной сигнал для передачи на мобильные абонентские блоки. В некоторых аспектах мультиплексор 1484 для мультиплексирования многоканальных сигналов и мультиплексирования множества сигналов, включающих в себя речевой сигнал и сигнал данных. Центральный процессор 1480 подсоединен к основному блоку 1450 и радиоблоку для управления различной обработкой, которая включает в себя обработку сигнала речи или данных.
Для систем множественного доступа (например, система множественного доступа с частотным разделением каналов (МДЧР), система множественного доступа с ортогональным частотным разделением каналов (МДОЧР), система множественного доступа с кодовым разделением каналов (МДКР), система множественного доступа с временным разделением каналов (МДВР) и т.д.) множество терминалов могут одновременно передавать по обратной линии связи. Для такой системы поднесущие пилот-сигнала могут совместно использоваться различными терминалами. Методы оценки канала могут использоваться в тех случаях, когда поднесущие пилот-сигнала для каждого терминала охватывают весь рабочий диапазон (возможно за исключением краев диапазона). Такая структура поднесущих пилот-сигнала была бы желательной для получения разноса по частоте для каждого терминала. Методы, описанные в данном документе, могут быть реализованы различными средствами. Например, эти методы могут быть реализованы аппаратными средствами, программными средствами или их комбинацией. Для реализации аппаратными средствами блоки обработки, используемые для оценки канала, могут быть реализованы в одной или нескольких специализированных интегральных схемах (специализированная ИС), процессорах цифровой обработки сигналов (ПЦОС), устройствах цифровой обработки сигналов (УЦОС), программируемых логических устройствах (ПЛУ), программируемых вентильных матрицах (ПВМ), процессорах, контроллерах, микроконтроллерах, микропроцессорах, других электронных блоках, предназначенных для выполнения функций, описанных в данном документе, или их комбинаций. С программными средствами реализация может быть выполнена при помощи модулей (например, процедур, функций и т.п.), которые выполняют функции, описанные в данном документе. Программные коды могут храниться в блоке памяти и исполняться процессорами 1390 и 1350.
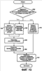
Фиг.10 иллюстрирует дополнительный метод калибровки антенной решетки для передачи. Выполняется определение в отношении интервала передачи после последней калибровки для текущего состояния АРУ, которое должно использоваться для передачи (блок 1500). В некоторых случаях этот интервал может быть функцией прошедшего времени, в других – он может быть функцией количества передач, по прямой линии связи, по обратной линии связи или по обеим, после последней калибровки для состояния АРУ. Это определение основывается на пороге Т, который может быть предварительно определен или изменен на основе условий, например, загрузки.
Если интервал передачи больше, чем Т, тогда выполняется другая операция калибровки, при которой оценки канала для прямой линии связи принимаются от терминалов доступа (блок 1502), и оценки канала для обратной линии связи генерируются узлом доступа (блок 1504). После того как будут собраны оценки канала как для прямой линии связи, так и для обратной линии связи, определяется отношение калибровки, которое использует множество оценок канала для множества терминалов доступа (блок 1506).
После того как будут собраны оценки канала как для прямой линии связи, так и для обратной линии связи, определяется отношение калибровки, которое использует множество оценок канала для множества терминалов доступа (блок 1512). Каждая передача для состояния АРУ от каждого канала передачи узла доступа затем взвешивается, причем весовые коэффициенты, основанные на отношении совместной калибровки для этого канала передачи, используются для состояния АРУ (1510).
Если интервал передачи больше , то вектор калибровки, например, весовые коэффициенты, для конкретного состояния АРУ, выбирается из памяти (блок 1512). Каждая передача для состояния АРУ от каждого канала передачи узла доступа затем взвешивается с весовыми коэффициентами, основанными на выбранных из памяти весовых коэффициентах для состояния АРУ (1510).
Выше описаны примеры одного или более вариантов осуществления. Конечно, невозможно описать любую возможную комбинацию компонентов или методов для целей описания вышеупомянутых вариантов осуществления, но для специалиста в данной области техники должно быть понятно, что возможны многочисленные дополнительные комбинации и изменения различных вариантов осуществления. Следовательно, как предполагается, описанные варианты осуществления охватывают все такие изменения, модификации и варианты, которые подпадают под сущность и объем прилагаемой формулы изобретения. Кроме того, в той степени, в которой термин «включает», используется в подробном описании или в формуле изобретения, такой термин подразумевается включающим в себя в смысле, подобном термину «содержащий», используемому в формуле изобретения.
Формула изобретения
1. Способ калибровки антенной решетки в беспроводной сети, содержащий: прием первой информации об оценке канала, соответствующей передачам на первый терминал доступа; определение второй информации об оценке канала, соответствующей передачам с первого терминала доступа; прием третьей информации об оценке канала, соответствующей передачам на второй терминал доступа; определение четвертой информации об оценке канала, соответствующей передачам со второго терминала доступа; и определение отношения калибровки, основанного на первой, второй, третьей и четвертой информации об оценке канала для, по меньшей мере, первого и второго терминалов доступа, при этом определение отношения калибровки содержит: определение первого отношения калибровки, основанного на первой и второй информации об оценке канала; определение второго отношения калибровки, основанного на третьей и четвертой информации об оценке канала; и определение отношения калибровки, основанного на объединении первого и второго отношений калибровки.
2. Способ по п.1, в котором объединение содержит усреднение первого и второго отношений калибровки.
3. Способ по п.1, в котором первое и второе отношения калибровки содержат множество элементов, каждый из которых соответствует, по меньшей мере, одной антенне узла доступа, осуществляющего связь с первым и вторым терминалами доступа, причем объединение содержит: нормализацию первого отношения калибровки; нормализацию второго отношения калибровки; и определение отношения калибровки, основанного на матрице, включающей в себя первое и второе отношение калибровки.
4. Способ по п.3, в котором определение отношения калибровки, основанного на матрице, содержит разложение матрицы с использованием разложения по сингулярным значениям.
5. Способ калибровки антенной решетки в беспроводной сети, содержащий: прием первой информации об оценке канала, соответствующей передачам на первый терминал доступа; определение второй информации об оценке канала, соответствующей передачам с первого терминала доступа; прием третьей информации об оценке канала, соответствующей передачам на второй терминал доступа; определение четвертой информации об оценке канала, соответствующей передачам со второго терминала доступа; и определение отношения калибровки, основанного на первой, второй, третьей и четвертой информации об оценке канала для, по меньшей мере, первого и второго терминала доступа, при этом определение отношения калибровки содержит решение уравнения:
 где Zi,k,u представляет собой диагональную матрицу, диагональные элементы которой представляют собой элементы оценки hi,k,u, вектора канала обратной линии связи, и нижние индексы i, k, u представляют собой индексы тона, времени и пользователя, соответственно.
6. Способ по п.5, в котором решение содержит использование метода минимальной среднеквадратичной ошибки (МСКО) для решения уравнения.
7. Способ калибровки антенной решетки в беспроводной сети, содержащий: прием первой информации об оценке канала, соответствующей передачам на первый терминал доступа; определение второй информации об оценке канала, соответствующей передачам с первого терминала доступа; прием третьей информации об оценке канала, соответствующей передачам на второй терминал доступа; определение четвертой информации об оценке канала, соответствующей передачам со второго терминала доступа; определение отношения калибровки, основанного на первой, второй, третьей и четвертой информации об оценке канала для, по меньшей мере, первого и второго терминала доступа; прием пятой информации об оценке канала, соответствующей передачам на третий терминал доступа; определение шестой информации об оценке канала, соответствующей передачам с третьего терминала доступа; и определение отношения калибровки, основанного на первой, второй, третьей, четвертой, пятой и шестой информации об оценке канала для, по меньшей мере, первого, второго и третьего терминала доступа.
8. Устройство беспроводной связи, содержащее: по меньшей мере, две антенны; и процессор, соединенный с, по меньшей мере, двумя антеннами, причем процессор конфигурирован для определения отношения калибровки для связи с каждым из множества терминалов доступа, при этом процессор действует для приема первой информации об оценке канала, соответствующей передачам на первый терминал доступа; определения второй информации об оценке канала, соответствующей передачам с первого терминала доступа; приема третьей информации об оценке канала, соответствующей передачам на второй терминал доступа; определения четвертой информации об оценке канала, соответствующей передачам со второго терминала доступа; определения отношения калибровки, основанного на первой, второй, третьей и четвертой информации об оценке канала для, по меньшей мере, первого и второго терминала доступа, при этом определение отношения калибровки содержит: определение первого отношения калибровки, основанного на первой и второй информации об оценке канала; определение второго отношения калибровки, основанного на третьей и четвертой информации об оценке канала; и определение отношения калибровки, основанного на объединении первого и второго отношений калибровки.
9. Устройство беспроводной связи по п.8, в котором процессор конфигурирован для объединения отношений посредством усреднения первого и второго отношений калибровки.
10. Устройство беспроводной связи по п.8, в котором первое и второе отношения калибровки содержат множество элементов, каждый из которых соответствует, по меньшей мере, одной из упомянутых антенн, при этом процессор конфигурирован для объединения отношений посредством нормализации первого отношения калибровки, нормализации второго отношения калибровки и определения отношения калибровки, основанного на матрице, включающей в себя первое и второе отношения калибровки.
11. Устройство беспроводной связи по п.10, в котором процессор конфигурирован для использования разложения по сингулярным значениям для разложения матрицы для получения отношения калибровки.
12. Устройство беспроводной связи, содержащее: по меньшей мере, две антенны; и процессор, соединенный с, по меньшей мере, двумя антеннами, причем процессор конфигурирован для определения отношения калибровки, основываясь на множестве оценок канала прямой линии связи и оценок канала обратной линии связи от множества терминалов доступа, для связи с каждым из множества терминалов доступа, при этом процессор конфигурирован для определения отношения калибровки посредством решения уравнения:
 где Zi,k,u представляет собой диагональную матрицу, диагональные элементы которой представляют собой элементы оценки hi,k,u, вектора канала обратной линии связи, и нижние индексы i,k,u представляют собой индексы тона, времени и пользователя, соответственно.
13. Устройство беспроводной связи по п.12, в котором процессор конфигурирован для решения уравнения с использованием метода МСКО.
14. Устройство беспроводной связи, содержащее: средство для приема первой информации об оценке канала, соответствующей передачам на первый терминал доступа; средство для определения второй информации об оценке канала, соответствующей передачам с первого терминала доступа; средство для приема третьей информации об оценке канала, соответствующей передачам на второй терминал доступа; средство для определения четвертой информации об оценке канала, соответствующей передачам с второго терминала доступа; средство для определения отношения калибровки, основанного на первой, второй, третьей и четвертой информации об оценке канала для, по меньшей мере, первого и второго терминалов доступа; средство для определения первого отношения калибровки, основанного на первой и второй информации об оценке канала; средство для определения второго отношения калибровки, основанного на третьей и четвертой информации об оценке канала; и средство для определения отношения калибровки на основе объединения первого и второго отношений калибровки.
15. Устройство по п.14, в котором средство для определения отношения калибровки на основе объединения содержит средство для усреднения различных отношений калибровки.
16. Устройство по п.14, в котором первое и второе отношения калибровки содержат множество элементов, каждый из которых соответствует, по меньшей мере, одной антенне узла доступа, осуществляющего связь с первым и вторым терминалами доступа, причем средство для определения содержит: средство для нормализации первого отношения калибровки; средство для нормализации второго отношения калибровки; и средство для определения отношения калибровки, основанного на матрице, включающей в себя первое и второе отношение калибровки.
17. Считываемый процессором носитель, имеющий хранимые на нем инструкции для использования процессором, причем процессор при обращении к этим инструкциям осуществляет следующие действия: прием первой информации об оценке канала, соответствующей передачам на первый терминал доступа; определение второй информации об оценке канала, соответствующей передачам с первого терминала доступа; прием третьей информации об оценке канала, соответствующей передачам на второй терминал доступа; определение четвертой информации об оценке канала, соответствующей передачам со второго терминала доступа; определение отношения калибровки, основанного на первой, второй, третьей и четвертой информации об оценке канала для, по меньшей мере, первого и второго терминала доступа, определение первого отношения калибровки, основанного на первой и второй информации об оценке канала; определение второго отношения калибровки, основанного на третьей и четвертой информации об оценке канала; и определение отношения калибровки, основанного на объединении первого и второго отношения калибровки.
18. Считываемый процессором носитель по п.17, в котором упомянутые инструкции дополнительно содержат инструкции для усреднения первого и второго отношений калибровки.
19. Считываемый процессором носитель по п.17, в котором первое и второе отношения калибровки содержат множество элементов, каждый из которых соответствует, по меньшей мере, одной антенне узла доступа, осуществляющего связь с первым и вторым терминалами доступа, причем упомянутые инструкции для объединения отношений калибровки содержат инструкции для нормализации первого отношения калибровки; нормализации второго отношения калибровки; и определения отношения калибровки, основанного на матрице, включающей в себя первое и второе отношение калибровки.
20. Считываемый процессором носитель по п.17, в котором упомянутые инструкции для определения отношения калибровки, основанного на матрице, содержат инструкции для разложения матрицы с использованием разложения по сингулярным значениям.
21. Устройство беспроводной связи, содержащее: по меньшей мере, две антенны и процессор, связанный с, по меньшей мере, двумя антеннами, причем процессор конфигурирован для определения отношения калибровки для связи с каждым из множества терминалов доступа, при этом процессор действует для приема первой информации об оценке канала, соответствующей передачам на первый терминал доступа; определения второй информации об оценке канала, соответствующей передачам с первого терминала доступа; приема третьей информации об оценке канала, соответствующей передачам на второй терминал доступа; определения четвертой информации об оценке канала, соответствующей передачам со второго терминала доступа; определения отношения калибровки, основанного на первой, второй, третьей и четвертой информации об оценке канала для, по меньшей мере, первого и второго терминалов доступа; приема пятой информации об оценке канала, соответствующей передачам на третий терминал доступа; определения шестой информации об оценке канала, соответствующей передачам с третьего терминала доступа; и определения отношения калибровки, основанного на первой, второй, третьей, четвертой, пятой и шестой информации об оценке канала для, по меньшей мере, первого, второго и третьего терминалов доступа.
22. Устройство беспроводной связи, содержащее средство для приема первой информации об оценке канала, соответствующей передачам на первый терминал доступа; средство для определения второй информации об оценке канала, соответствующей передачам с первого терминала доступа; средство для приема третьей информации об оценке канала, соответствующей передачам на второй терминал доступа; средство для определения четвертой информации об оценке канала, соответствующей передачам со второго терминала доступа; и средство для определения отношения калибровки, основанного на первой, второй, третьей и четвертой информации об оценке канала для, по меньшей мере, первого и второго терминалов доступа, при этом определение отношения калибровки содержит решение уравнения:
 где Zi,k,u представляет собой диагональную матрицу, диагональные элементы которой представляют собой элементы оценки hi,k,u, вектора канала обратной линии связи, и нижние индексы i, k, u представляют собой индексы тона, времени и пользователя, соответственно.
23. Устройство по п.22, в котором упомянутое средство для решения содержит средство для использования метода МСКО для решения уравнения.
24. Устройство беспроводной связи, содержащее: средство для приема первой информации об оценке канала, соответствующей передачам на первый терминал доступа; средство для определения второй информации об оценке канала, соответствующей передачам с первого терминала доступа; средство для приема третьей информации об оценке канала, соответствующей передачам на второй терминал доступа; средство для определения четвертой информации об оценке канала, соответствующей передачам со второго терминала доступа; средство для определения отношения калибровки, основанного на первой, второй, третьей и четвертой информации об оценке канала для, по меньшей мере, первого и второго терминалов доступа; средство для приема пятой информации об оценке канала, соответствующей передачам на третий терминал доступа; средство для определения шестой информации об оценке канала, соответствующей передачам с третьего терминала доступа; и средство для определения отношения калибровки, основанного на первой, второй, третьей, четвертой, пятой и шестой информации об оценке канала для, по меньшей мере, первого, второго и третьего терминалов доступа.
25. Считываемый процессором носитель, имеющий хранимые на нем инструкции для использования процессором, причем процессор при обращении к этим инструкциям осуществляет следующие действия: прием первой информации об оценке канала, соответствующей передачам на первый терминал доступа; определение второй информации об оценке канала, соответствующей передачам с первого терминала доступа; прием третьей информации об оценке канала, соответствующей передачам на второй терминал доступа; определение четвертой информации об оценке канала, соответствующей передачам со второго терминала доступа; и определение отношения калибровки, основанного на первой, второй, третьей и четвертой информации об оценке канала для, по меньшей мере, первого и второго терминалов доступа, при этом упомянутые инструкции для определения отношения калибровки содержат инструкции для решения уравнения:
 где Zi,k,u представляет собой диагональную матрицу, диагональные элементы которой представляют собой элементы оценки hi,k,u, вектора канала обратной линии связи, и нижние индексы i, k, u представляют собой индексы тона, времени и пользователя, соответственно.
26. Считываемый процессором носитель по п.25, в котором упомянутые инструкции для решения содержат инструкции для использования метода МСКО для решения уравнения.
27. Считываемый процессором носитель, имеющий хранимые на нем инструкции для использования процессором, причем процессор при обращении к этим инструкциям осуществляет следующие действия: прием первой информации об оценке канала, соответствующей передачам на первый терминал доступа; определение второй информации об оценке канала, соответствующей передачам с первого терминала доступа; прием третьей информации об оценке канала, соответствующей передачам на второй терминал доступа; определение четвертой информации об оценке канала, соответствующей передачам со второго терминала доступа; определение отношения калибровки, основанного на первой, второй, третьей и четвертой информации об оценке канала для, по меньшей мере, первого и второго терминалов доступа; прием пятой информации об оценке канала, соответствующей передачам на третий терминал доступа; определение шестой информации об оценке канала, соответствующей передачам с третьего терминала доступа; и определение отношения калибровки, основанного на первой, второй, третьей, четвертой, пятой и шестой информации об оценке канала для, по меньшей мере, первого, второго и третьего терминалов доступа.
РИСУНКИ
|
|