|
(21), (22) Заявка: 2008101662/09, 13.06.2006
(24) Дата начала отсчета срока действия патента:
13.06.2006
(30) Конвенционный приоритет:
16.06.2005 US 60/691,723
(43) Дата публикации заявки: 27.07.2009
(46) Опубликовано: 10.04.2010
(56) Список документов, цитированных в отчете о поиске:
DE 10254384 A1, 06.09.2004. US 2004/002364 A1, 01.01.2004. RU 2003115197 A1, 10.10.2004. WO 0145300 A1, 21.06. 2001.
(85) Дата перевода заявки PCT на национальную фазу:
16.01.2008
(86) Заявка PCT:
US 2006/023095 20060613
(87) Публикация PCT:
WO 2006/138337 20061228
Адрес для переписки:
129090, Москва, ул. Б.Спасская, 25, стр.3, ООО “Юридическая фирма Городисский и Партнеры”, пат.пов. Ю.Д.Кузнецову, рег. 595
|
(72) Автор(ы):
САМПАТХ Хемантх (US)
(73) Патентообладатель(и):
КВЭЛКОММ ИНКОРПОРЕЙТЕД (US)
|
(54) УСТОЙЧИВОЕ ПРОГНОЗИРОВАНИЕ РАНГА ДЛЯ СИСТЕМЫ MIMO
(57) Реферат:
Изобретение относится к технике связи и может быть использовано в системах связи со многими входами и выходами (MIMO). В способе определения ранга канала со многими входами и выходами (MIMO) сначала определяют показатели производительности для множества рангов. Каждый ранг свидетельствует о разном количестве потоков данных для одновременной отправки через канал MIMO. Показатели производительности могут относиться к емкости, или качеству сигнала канала MIMO, или к пропускной способности передачи данных, отправленной через канал MIMO. К показателям производительности для рангов применяют корректировки для получения скорректированных показателей производительности. Корректировки учитывают потери в системе, например потери вследствие кода исправления ошибок, используемого для передачи данных, ошибок оценки канала в приемнике, изменения в помехах, наблюдаемых приемником, непостоянства мощности передачи из-за регулирования мощности и/или других факторов. Ранг для использования выбирают на основе скорректированных показателей производительности для рангов. Технический результат – повышение производительности для потока данных. 4 з. и 22 з.п. ф-лы, 7 ил.
Область техники, к которой относится изобретение
Настоящее изобретение в целом относится к связи, а конкретнее к методикам для передачи данных в системе со многими входами и многими выходами (MIMO).
Уровень техники
В системе беспроводной связи передатчик (например, базовая станция или терминал) могут использовать множество (Т) передающих антенн для передачи данных в приемник, оборудованный множеством (R) приемных антенн. Множество передающих и приемных антенн образуют канал MIMO, который может использоваться для увеличения пропускной способности и/или повышения надежности. Например, передатчик может одновременно передавать Т потоков данных из Т передающих антенн для повышения пропускной способности. В качестве альтернативы, передатчик может передавать один поток данных с избыточностью из всех Т передающих антенн для улучшения приема приемником.
Передача от каждой передающей антенны вызывает помехи на передачи от других передающих антенн. В некоторых случаях повышенная производительность может достигаться путем передачи менее чем Т потоков данных одновременно от Т передающих антенн. Например, может выбираться подмножество Т передающих антенн, и поток данных может отправляться от каждой выбранной передающей антенны. Передающая антенна (антенны), которые не используются для передачи, не вызывают помехи на передающую антенну (антенны), которые используются для передачи. Отсюда может достигаться повышенная производительность для потока (потоков) данных, отправленных по выбранной передающей антенне (антеннам).
Прогнозирование ранга относится к определению ранга канала MIMO или, эквивалентно, количества потоков данных, которое может передаваться одновременно через канал MIMO. Если отправляется слишком много потоков данных, то каждым из этих потоков могут наблюдаться чрезмерные помехи и может пострадать общая производительность. Наоборот, если отправляется слишком мало потоков данных, то пропускная способность (емкость) канала MIMO не используется полностью.
Следовательно, в данной области техники существует потребность в методиках для определения ранга канала MIMO.
Сущность изобретения
В этом документе описываются методики для выполнения прогнозирования ранга в системе MIMO. В одном варианте осуществления прогнозирование ранга достигается путем оценивания производительности различных возможных рангов канала MIMO и выбора ранга с наилучшей или близкой к наилучшей производительностью. В варианте осуществления прогнозирование ранга учитывает потери в системе, которые могут включать в себя любой тип потери, который может наблюдаться передачей данных.
В варианте осуществления прогнозирования ранга вначале определяются показатели производительности для множества рангов. Каждый ранг свидетельствует о разном количестве потоков данных для одновременной отправки через канал MIMO. Показатели производительности могут относиться к емкости канала MIMO, пропускной способности передачи данных, отправленной через канал MIMO, качеству сигнала канала MIMO и т.д. К показателям производительности для множества рангов применяются корректировки для получения скорректированных показателей производительности для этих рангов. Корректировки учитывают потери в системе, например потери вследствие кода исправления ошибок, используемого для передачи данных, ошибок оценки канала в приемнике, изменения в помехах, наблюдаемых приемником, непостоянства (изменчивости) мощности передачи из-за регулирования мощности и/или других факторов. Затем выбирается ранг, исходя из скорректированных показателей производительности для множества рангов. Может быть выбран ранг с наилучшим скорректированным показателем производительности. В качестве альтернативы может быть выбран наименьший ранг со скорректированным показателем производительности, который находится в пределах заданного процентного отношения к наилучшему скорректированному показателю производительности. Для выбранного ранга определяется по меньшей мере один индикатор качества канала (CQI) на основе скорректированного показателя производительности для выбранного ранга. Выбранный ранг и CQI могут квантоваться и отправляться в передатчик.
Различные аспекты и варианты осуществления изобретения описываются далее более подробно.
Краткое описание чертежей
Признаки и сущность настоящего изобретения станут более очевидными из изложенного ниже подробного описания, рассматриваемого совместно с чертежами, на которых одинаковые номера позиций определяют соответственно по всему документу.
Фиг.1 показывает передающую станцию и приемную станцию.
Фиг.2 показывает блоки обработки на передающей станции.
Фиг.3 показывает предсказатель ранга, который выполняет прогнозирование ранга на основе емкости.
Фиг.4 показывает предсказатель ранга, который выполняет прогнозирование ранга на основе пропускной способности.
Фиг.5 показывает модуль корректировки емкости в предсказателе ранга.
Фиг.6 показывает процесс для выполнения прогнозирования ранга.
Фиг.7 показывает устройство для выполнения прогнозирования ранга.
Подробное описание
Слово «типовой» используется в данном документе, чтобы обозначать «служащий в качестве примера, отдельного случая или иллюстрации». Любой вариант осуществления или образец, описанный в данном документе как «типовой», не обязательно должен быть истолкован как предпочтительный или выгодный по сравнению с другими вариантами осуществления или образцами.
Фиг.1 показывает блок-схему варианта осуществления из двух станций 110 и 150 в системе 100 беспроводной связи. Для передачи по нисходящей линии связи (или прямой линии связи) станция 110 может быть частью и может включать в себя некоторую или всю функциональность базовой станции, точки доступа. Узла Б и/или какого-нибудь другого сетевого объекта. Станция 150 может быть частью и может включать в себя некоторую или всю функциональность терминала, подвижной станции, пользовательского оборудования, абонентского устройства и/или какого-нибудь другого устройства. Для передачи по восходящей линии связи (или обратной линии связи) станция 110 может быть частью терминала, подвижной станции, пользовательского оборудования и т.д., а станция 150 может быть частью базовой станции, точки доступа, Узла Б и т.д. Станция 110 является передатчиком передачи данных и оборудована множеством (Т) антенн. Станция 150 является приемником передачи данных и оборудована множеством (R) антенн. Каждая передающая антенна и каждая приемная антенна может быть физической антенной или антенной решеткой.
На передающей станции 110 процессор 120 передаваемых (ТХ) данных принимает данные графика от источника 112 данных, обрабатывает (например, форматирует, кодирует, перемежает и посимвольно преобразует) данные графика в соответствии с форматом пакета и формирует символы данных. Для целей данного документа символом данных является символ для данных, символом пилот-сигнала является символ для пилот-сигнала, и символ обычно является комплексной величиной. Символы данных и символы пилот-сигнала могут быть символами модуляции из схемы модуляции, например PSK или QAM. Пилот-сигналом являются данные, которые заранее известны как передатчику, так и приемнику. Формат пакета может указывать скорость передачи данных или скорость передачи бита данных, схему кодирования или скорость кода, схему модуляции, размер пакета и/или другие параметры. Формат пакета также может называться скоростью, транспортным форматом или какой-нибудь другой терминологией. Процессор 120 передаваемых данных демультиплексирует символы данных на М потоков, где 1 М Т и определяется рангом, предоставленным контроллером/процессором 140. Потоки символов данных отправляются одновременно через канал MIMO и также могут называться потоками данных, пространственными потоками, выходными потоками или какой-нибудь другой терминологией.
Пространственный процессор 130 мультиплексирует символы пилот-сигнала с М потоками символов данных, выполняет пространственную обработку передатчика над мультиплексированными данными и символами пилот-сигнала и предоставляет Т потоков выходных символов Т передатчикам (TMTR) 132a-132t. Каждый передатчик 132 обрабатывает (например, модулирует, преобразует в аналоговую форму, фильтрует, усиливает и преобразует с повышением частоты) поток выходных символов и формирует модулированный сигнал. Т модулированных сигналов от передатчиков 132a-132t передаются от антенн 134a-134t соответственно.
На приемной станции 150 R антенн 152а-152r принимают Т модулированных сигналов и каждая антенна 152 предоставляет принятый сигнал соответствующему приемнику (RCVR) 154. Каждый приемник 154 обрабатывает (например, фильтрует, усиливает, преобразует с понижением частоты, оцифровывает и демодулирует) свой принятый сигнал для получения принятых символов. Каждый приемник 154 предоставляет принятые символы для данных графика пространственному процессору 160 приема (RX) и предоставляет принятые символы для пилот-сигнала канальному процессору 194. Канальный процессор 194 оценивает характеристику канала MIMO от станции 110 до станции 150 на основе принятых символов для пилот-сигнала (и возможно, принятых символов для данных графика) и предоставляет оценки канала пространственному процессору 160 приема. Пространственный процессор 160 приема выполняет детектирование MIMO над принятыми символами для данных графика с помощью оценок канала и предоставляет оценки символов данных. Процессор 170 принимаемых данных дополнительно обрабатывает (например, обратно перемежает и декодирует) оценки символов данных и предоставляет декодированные данные приемнику 172 данных.
Приемная станция 150 может оценивать канальные условия и отправлять информацию обратной связи передающей станции 110. Информация обратной связи может указывать, например, ранг для использования в передаче, индикаторы качества канала (CQI), формат пакета для использования в передаче, квитирования (АСК) и/или отрицательные квитирования (NAK) для пакетов, декодированных приемной станцией 150, другие типы информации или любое их сочетание. Информация обратной связи обрабатывается (например, кодируется, перемежается и посимвольно преобразуется) сигнальным процессором 180 передачи, пространственно обрабатывается пространственным процессором 182 передачи и дополнительно обрабатывается передатчиками 154а-154r для формирования R модулированных сигналов, которые передаются через антенны 152а-152r.
На передающей станции 110 R модулированных сигналов принимаются антеннами 134a-134t, обрабатываются приемниками 132a-132t, пространственно обрабатываются пространственным процессором 136 приема и дополнительно обрабатываются (например, обратно перемежаются и декодируются) сигнальным процессором 138 приема для восстановления информации обратной связи. Контроллер/процессор 140 управляет передачей данных на приемную станцию 150 на основе информации обратной связи.
Контроллеры/процессоры 140 и 190 управляют функционированием на станциях 110 и 150 соответственно. Запоминающие устройства 142 и 192 хранят данные и программные коды для станций 110 и 150 соответственно.
Описанные здесь методики прогнозирования ранга могут использоваться для любой системы беспроводной связи MIMO, например для систем беспроводной связи MIMO, таких как системы коллективного доступа с разделением каналов по частоте (FDMA), системы коллективного доступа с кодовым разделением каналов (CDMA), системы коллективного доступа с временным разделением каналов (TDMA), системы коллективного доступа с пространственным разделением каналов (SDMA), системы коллективного доступа с ортогональным частотным разделением каналов (OFDMA), системы коллективного доступа с частотным разделением каналов с единственной несущей (SC-FDMA) и т.д. Система OFDMA использует мультиплексирование с ортогональным частотным разделением каналов (OFDM), а система SC-FDMA использует мультиплексирование с частотным разделением каналов с единственной несущей (SC-FDM). OFDM и SC-FDM разделяют полосу пропускания системы на множество (К) ортогональных поднесущих, которые также называются тонами, элементами дискретизации и т.д. Каждая поднесущая может модулироваться данными. Обычно символы модуляции отправляются в частотной области с помощью OFDM и во временной области с помощью SC-FDM.
Канал MIMO, образованный Т антеннами на передающей станции 110 и R антеннами на приемной станции 150, может характеризоваться матрицей Н(k) характеристик канала MIMO размером R×Т для каждой поднесущей k, которая может выражаться в виде

где элемент hij(k) для i=1, , R и j=1, , Т является связывающим или комплексным коэффициентом усиления между передающей антенной j и приемной антенной i для поднесущей k.
Канал MIMO может раскладываться на S пространственных каналов, где S min {Т, R}. Пространственные каналы также могут называться пространственными уровнями, уровнями, независимыми каналами и т.д. Матрица Н(k) характеристик канала MIMO может приводиться к диагональному виду для получения S собственных мод канала MIMO, которые могут рассматриваться как ортогональные пространственные каналы. S потоков символов данных могут отправляться по S собственным модам путем выполнения собственного формирования пучка на передатчике. S потоков символов данных могут также отправляться по S пространственным каналам с помощью какой-нибудь другой пространственной обработки или без какой бы то ни было пространственной обработки на передатчике.
Количество собственных мод (или количество пространственных каналов) называется рангом канала MIMO. Канал MIMO считается полноранговым, если S=min {Т, R}, и меньше чем полноранговый, если S
Хорошая производительность (например, более высокая общая пропускная способность) может достигаться путем передачи данных так, что количество потоков символов данных согласуется с рангом канала MIMO. В канале с низким рангом снижение количества потоков символов данных может значительно снизить помехи внутри потока и увеличить качество принятых сигналов у переданных потоков символов данных, что может позволить отправлять эти потоки на больших скоростях. Соответственно, возможно достичь более высокой общей пропускной способности с меньшим количеством потоков символов данных. Наоборот, в каналах с полным рангом может отправляться максимальное количество потоков символов данных для полного использования всех пространственных каналов в канале MIMO и для доведения до максимума коэффициентов усиления MIMO.
Описанные здесь методики прогнозирования ранга определяют количество потоков символов данных для передачи из условия, чтобы могла достигаться хорошая производительность.
Методики прогнозирования ранга могут использоваться с различными режимами работы, такими как режим одного кодового слова (SCW) и режим множества кодовых слов (MCW). В режиме SCW для всех потоков символов данных используется единый формат пакета, который может упростить работу на передатчике и приемнике. В режиме MCW для каждого потока символов данных может использоваться разный формат пакета, который может повысить производительность в некоторых канальных условиях.
Методики прогнозирования ранга также могут использоваться для различных схем пространственной обработки, например схемы прямого отображения, схемы псевдослучайного отображения, схемы формирования пучка и т.д. В схеме прямого отображения от каждой передающей антенны отправляется один поток символов данных без какой бы то ни было пространственной обработки. В схеме псевдослучайного отображения каждый поток символов данных отправляется от всех Т передающих антенн и все потоки символов данных добиваются сходного качества принятых сигналов. В схеме формирования пучка каждый поток символов данных отправляется по разной собственной моде и потоки символов данных могут добиваться того же или различного качества принятых сигналов. Вообще, качество сигнала может измеряться отношением сигнал/шум (SNR), отношением уровня сигнала к совокупному уровню помех и шумов (SINR), отношением энергии символа к уровню шума (Es/No) и т.д. Для ясности, для представления качества сигнала далее в описании используется SNR.
Для ясности методики прогнозирования ранга описываются далее для системы на основе OFDM, например системы OFDMA. Кроме того, методики описываются для режима SCW со схемой псевдослучайного отображения.
Фиг.2 показывает блок-схему варианта осуществления процессора 120 передаваемых данных, пространственного процессора 130 передачи и передатчиков 132a-132t на передающей станции 110. Внутри процессора 120 передаваемых данных кодер 210 кодирует данные графика в соответствии со схемой кодирования и формирует кодовые биты. Схема кодирования может включать в себя турбокод, сверточный код, код с разреженным контролем четности (LDPC), код контроля циклическим избыточным кодом (CRC), блочный код и т.д. либо их сочетание. Перемежитель 212 канала перемежает (или переупорядочивает) кодовые биты на основе схемы перемежения и предоставляет перемежающиеся биты. Модуль 214 преобразования символов преобразует перемежающиеся биты в соответствии со схемой модуляции и предоставляет символы данных. Демультиплексор (Demux) 216 демультиплексирует символы данных на М потоков, где М является прогнозируемым/подобранным рангом канала MIMO и предоставляется контроллером/процессором 140.
Внутри пространственного процессора 130 передачи мультиплексор (Mux) 220 принимает М потоков символов данных от процессора 120 передаваемых данных и преобразует символы данных и символы пилот-сигнала в соответствующие поднесущие в каждом периоде символа. Модуль 222 пространственного преобразования умножает символы данных и/или символы пилот-сигнала для каждой поднесущей k на матрицу Рм(k) пространственного преобразования размером Т×М из селектора 224 матриц и предоставляет выходные символы для этой поднесущей. Матрица Рм(k) может быть подматрицей матрицы Т×Т Фурье, матрицы Т×Т Адамара, ортогональной матрицы Т×Т либо какой-нибудь другой матрицей. Селектор 224 матриц может определять размер Рм(k) на основе ранга М от контроллера/процессора 140. Селектор 224 матриц может также предоставлять разные матрицы пространственного преобразования для разных поднесущих. Модуль 222 пространственного преобразования предоставляет Т потоков выходных символов для Т передатчиков 132a-132t.
Каждый передатчик 132 включает в себя модулятор (Mod) 230 OFDM и радиочастотный (RF) модуль 232 передачи. Внутри каждого передатчика 132 модулятор 230 OFDM принимает поток выходных символов и формирует символы OFDM. В каждом периоде символа модулятор 230 OFDM выполняет К-точечное IFFT над К выходными символами для К поднесущих и добавляет циклический префикс для формирования символа OFDM для этого периода символа. Радиочастотный модуль 232 передачи обрабатывает символы OFDM и формирует модулированный сигнал.
На приемной станции 150 принятые символы от приемников 154а-154r могут выражаться в виде

где s(k) – вектор М×1 символов данных для поднесущей k,
r(k) – вектор R×1 принятых символов для поднесущей k,
Hм(k)=H(k)·Pм(k) – матрица R×М эффективных характеристик канала MIMO для поднесущей k, и
n(k) – вектор R×1 помех для поднесущей k.
Для простоты может предполагаться, что помеха является аддитивным белым гауссовским шумом (AWGN) с нулевым вектором средних значений и ковариационной матрицей где – вариация помехи, a I – единичная матрица.
Приемная станция 150 может использовать различные методики детектирования MIMO для восстановления символов данных, отправленных передающей станцией 110. Эти методики детектирования MIMO включают в себя (1) методики линейного детектирования MIMO, например методики минимальной среднеквадратической ошибки (MMSE), форсирования нуля (ZF) и объединения с максимальным отношением (MRC), и (2) методики нелинейного детектирования MIMO, например декодирование с максимальным правдоподобием (ML), сферическое декодирование со списком (LSD), корректор с решающей обратной связью (DFE) и методики последовательного подавления помех (SIC). Приемная станция 150 может выводить матрицу пространственного фильтра для каждой поднесущей k на основе методики MMSE, ZF или MRC следующим образом:



где 


В уравнениях (3) и (5) Dmmse(k) и Dmrc(k) являются диагональными матрицами М×М со значениями масштабного коэффициента, используемыми для получения нормированных оценок символов данных.
Приемная станция 150 может выполнять детектирование MIMO следующим образом:

где М(k) – матрица М×R пространственного фильтра, которая может быть Mmmse(k), Mzf(k) или Mmrc(k),
– вектор М×1 с М оценками символов данных, и
– вектор помех после детектирования MIMO.
Приемная станция 150 может получать оценку Н(k) или НM(k) на основе символов пилот-сигнала, принятых от передающей станции 110. Приемная станция 150 может затем выводить М(k) на основе Н(k) или НM(k). Размер М(k) зависит от ранга М, используемого для передачи. Оценки символов данных в являются оценками символов данных в s(k).
В варианте осуществления прогнозирование ранга достигается путем оценивания производительности различных возможных рангов канала MIMO и выбора ранга с наилучшей или близкой к наилучшей производительностью. Производительность может измеряться различными показателями, такими как емкость канала, пропускная способность, качество сигнала (например, SNR) и т.д. Емкость канала обычно относится к теоретической пропускной способности канала связи. Емкость канала MIMO зависит от количества пространственных каналов в канале MIMO и качества сигнала у каждого пространственного канала. Пропускная способность обычно относится к количеству данных, отправленных через канал связи. Пропускная способность зависит от емкости канала, а также параметров системы, например, доступных для использования форматов пакета. Емкость канала и пропускная способность могут задаваться исходя из спектральной эффективности, которая обычно задается в единицах информационных битов в секунду на герц (bps/Hz). Емкость канала в описании далее называется просто емкостью.
В варианте осуществления прогнозирование ранга учитывает потери в системе. Для целей настоящего документа потери в системе относятся к любому типу потери, которому может подвергаться передача данных. Потери в системе могут включать в себя потери из-за реализации системы (например, вследствие схемы кодирования, формата пакета и т.д.), потери вследствие изменчивости канала (например, изменчивости помех и мощности передачи), потери при обработке (например, ошибки оценки канала) и/или другие типы потерь.
Фиг.3 показывает вариант осуществления предсказателя 300 ранга, который выполняет прогнозирование ранга на основе емкости и учитывает потери в системе. Предсказатель 300 ранга оценивает производительность каждого возможного ранга с использованием емкости в качестве показателя производительности. Для простоты последующее описание предполагает, что Т R и что одновременно могут быть отправлены вплоть до Т потоков символов данных из Т передающих антенн. Предсказатель 300 ранга включает в себя Т обрабатывающих секций 310a-310t для Т возможных рангов m=1-T соответственно. Каждая обрабатывающая секция 310 определяет среднюю емкость для различного возможного ранга, который может использоваться для передачи данных.
В обрабатывающей секции 310 для ранга m, где m {1, ,Т}, модуль 312 пространственного преобразования принимает матрицу Н(k) характеристик канала MIMO для каждой поднесущей k, умножает Н(k) на матрицу Pm(k) пространственного преобразования размером T×m для ранга m и предоставляет матрицу Hm(k) эффективных характеристик канала MIMO размером R×m для поднесущей k. Модуль 312 выполняет пространственное преобразование тем же способом, что и модуль 222 пространственного преобразования на передающей станции 110, допуская, что для ранга m передаются m потоков символов данных.
Модуль 314 вычисления SNR определяет SNR у m потоков символов данных или, эквивалентно, m пространственных каналов для ранга m. SNR зависят от методики детектирования MIMO, используемой приемной станцией 150, а также количества одновременно отправленных потоков символов данных. Для описанной выше методики MMSE Qm(k) является первым определенным на основе Hm(k), как показано в уравнении (6). SNR каждого потока символов данных для ранга m может тогда быть выражено в виде

где qm,i(k) – i-й диагональный элемент в Qm(k) для поднесущей k, и
SNRm,j(k) – SNR потока 1 символов данных для поднесущей k.
Уравнение (8) дает SNR в единице линейных измерений. SNR для остальных методик детектирования MIMO вычисляется другими способами.
Среднее SNR всех m потоков символов данных для ранга m может тогда быть вычислено следующим образом:

где SNRavg,m(k) – среднее SNR всех m потоков символов данных для поднесущей k.
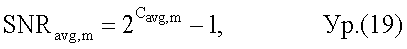
Преобразователь 316 емкости преобразует среднее SNRavg,m(k) для каждой поднесущей k в емкость и дополнительно суммирует емкости всех К поднесущих. Преобразование емкости может выполняться на основе функции емкости без ограничений следующим образом:

где Cavg,m – средняя емкость каждого пространственного канала для ранга m. В уравнении (10) емкость каждой поднесущей задается в виде log2[1+SNRavg,m(k)]. Емкости для всех К поднесущих затем суммируются для получения средней емкости для ранга m. Функция емкости без ограничений не предполагает потери от кодирования или модуляции.
Преобразование емкости также может выполняться на основе функции емкости с ограничением следующим образом:

где <1,0 является штрафным коэффициентом, который может учитывать различные факторы, например схему модуляции, схему кодирования, скорость кода, размер пакета и т.д. Емкость также может определяться на основе других функций емкости или справочных таблиц.
Модуль 318 корректировки емкости корректирует среднюю емкость С avg,m для учета различных факторов, как описано ниже. Модуль 318 предоставляет скорректированную емкость Cadj,m для ранга m.
Селектор 330 ранга принимает скорректированные емкости Cadj,1, – Cadj,T для всех Т возможных рангов 1-Т. Селектор 330 ранга сначала определяет общую емкость Ctotal,m для каждого ранга m следующим образом:

Селектор 330 ранга затем выбирает один из Т возможных рангов. В варианте осуществления селектор 330 ранга предоставляет ранг с наибольшей общей емкостью следующим образом:

В другом варианте осуществления селектор 330 ранга выбирает наименьший ранг с общей емкостью, которая находится в заданном процентном отношении к наибольшей общей емкости, следующим образом:

где Cmax – наибольшая общая емкость для всех Т возможных рангов и  1.0. Более низкий ранг обычно более устойчив к вредным канальным условиям и ошибкам оценки канала. Соответственно, если более низкий ранг может достигать общей емкости, которая близка к наибольшей общей емкости, то для использования может выбираться более низкий ранг.
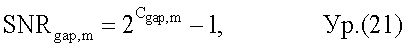
Генератор 332 CQI принимает скорректированные емкости Cadj,1 – Cadj,T для всех Т возможных рангов, а также выбранный ранг М. В варианте осуществления генератор 332 CQI определяет эффективное SNR для скорректированной емкости Cadj,M у выбранного ранга М следующим образом:

где SNReff,M задается в единицах децибел (дБ). Генератор 332 CQI также может определять эффективное SNR на основе какой-нибудь другой функции или справочной таблицы «SNR в зависимости от емкости».
В варианте осуществления генератор 332 CQI квантует эффективное SNR на заданное количество битов для получения CQI для выбранного ранга М. В другом варианте осуществления генератор 332 CQI преобразует эффективное SNR в формат пакета на основе справочной таблицы скорости для формата пакета в зависимости от требуемого SNR. Эта справочная таблица скорости содержит требуемое SNR для каждого формата пакета, поддерживаемого системой. Требуемое SNR для каждого формата пакета может быть минимальным SNR, необходимым для надежной передачи пакетов в канале AWGN с определенной плановой частотой ошибок пакета (PER), например 1% PER. Справочная таблица скорости может быть сформирована путем компьютерного моделирования, опытных измерений, тестирования и/или какого-нибудь другого механизма.
Фиг.4 показывает вариант осуществления предсказателя 400 ранга, который выполняет прогнозирование ранга на основе пропускной способности и учитывает потери в системе. Предсказатель 400 ранга оценивает производительность каждого возможного ранга с использованием пропускной способности в качестве показателя производительности. Предсказатель 400 ранга включает в себя Т обрабатывающих секций 410a-410t для Т возможных рангов m=1-Т соответственно. Каждая обрабатывающая секция 410 определяет пропускную способность для различного возможного ранга, который может использоваться для передачи данных.
В обрабатывающей секции 410 для ранга m, где m {1, ,Т}, модули 412, 414, 416 и 418 функционируют тем же образом, что и модули 312, 314, 316 и 318 соответственно на фиг.3. Модуль 420 вычисления SNR принимает скорректированную емкость Cadj,m для ранга m и определяет эффективное SNR, например, как показано в уравнении (15). Справочная таблица 422 скорости принимает эффективное SNR для ранга m и предоставляет формат пакета с наибольшей пропускной способностью и требуемое SNR, которое меньше эффективного SNR.
Селектор 430 ранга принимает пропускные способности TP1 – TPT для всех Т возможных рангов и определяет общую пропускную способность TPtotal,m для каждого ранга следующим образом:

Селектор 430 ранга затем выбирает один из Т возможных рангов. В варианте осуществления селектор 430 ранга предоставляет ранг с наибольшей общей пропускной способностью следующим образом:

В другом варианте осуществления селектор 430 ранга выбирает наименьший ранг с общей пропускной способностью, которая находится в заданном процентном отношении к наибольшей общей пропускной способности, следующим образом:

где TPmax – наибольшая общая пропускная способность для всех Т возможных рангов.
Генератор 432 CQI может принимать эффективные SNR для всех Т возможных рангов и предоставлять эффективное SNR для выбранного ранга М как CQI, как показано на фиг.4. Генератор 432 CQI может также принимать форматы пакета для всех Т возможных рангов и предоставлять формат пакета для выбранного ранга М как CQI (не показано на фиг.4).
Фиг.3 и 4 показывают два варианта осуществления прогнозирования ранга на основе показателей производительности в виде емкости и пропускной способности соответственно. Пропускная способность может рассматриваться как квантованная версия емкости, где квантование определяется поддерживаемыми форматами пакета. Различие между емкостью и пропускной способностью обычно уменьшается вместе с большим количеством поддерживаемых форматов пакета.
Прогнозирование ранга также может выполняться на основе других показателей производительности. В другом варианте осуществления прогнозирование ранга выполняется на основе показателя производительности в виде качества сигнала, например SNR. Среднее SNR каждой поднесущей k для ранга m может определяться, как показано, например, в уравнении (9), и суммироваться по К поднесущим для получения среднего SNR для ранга m. Затем к среднему SNR для каждого ранга m могут применяться корректировки для получения скорректированного SNR для этого ранга. Скорректированные SNR для Т возможных рангов затем могут использоваться для выбора одного ранга, а также для определения CQI для выбранного ранга.
Средняя емкость Cavg,m на фиг.3 и 4 является показателем емкости каждого пространственного канала в канале MIMO с рангом m. Вычисленная средняя емкость Cavg,m подвергается различным источникам ошибки, например ошибкам оценки канала. Средняя емкость Cavg,m также может быть недостижима вследствие различных причин, например конечного множества форматов пакета, поддерживаемого системой и используемого для передачи данных. Кроме того, вычисленная в один момент времени емкость может отличаться от емкости в другой момент времени, когда отправляются данные, например, вследствие изменений в канальных условиях, изменений помех и мощности передачи и т.д. Кроме того, на выбор ранга могут налагаться определенные ограничения. Средняя емкость Cavg,m может корректироваться для учета этих различных факторов.
Фиг.5 показывает вариант осуществления модуля 318× корректировки емкости, который может использоваться для каждого модуля 318 корректировки емкости на фиг.3 и каждого модуля 418 корректировки емкости на фиг.4. В модуле 318× корректировки емкости модуль 510 корректирует среднюю емкость для ранга m, чтобы учитывать потерю при кодировании. Разные коды исправления ошибок могут иметь разные объемы потерь, которые могут определяться возможностями по исправлению ошибок у этих кодов. Например, сверточный код может иметь большую потерю, чем турбокод. Корректировка на потерю при кодировании, которая также называется интервалом отсрочки для емкости. В одном аспекте она может вычисляться следующим образом:


где g>1.0 является коэффициентом, который учитывает потерю при кодировании. Разные коды могут быть ассоциированы с разными значениями g.
Модуль 512 корректирует емкость для ранга m, чтобы учитывать ошибки оценки канала. В одном аспекте это может происходить следующим образом:



где Channel_Backoff – функция, которая уменьшает SNR у ранга m, чтобы учитывать ошибки оценки канала.
Величина потери вследствие ошибок оценки канала может зависеть от различных факторов, таких как ранг канала MIMO (например, больше потери для более высокого ранга), модели канала (например, больше потери для высокой мобильности) и т.д. Модель канала может измеряться конфигурацией антенны, мобильностью или эффектом Доплера и/или другими факторами. Величина потери вследствие ошибок оценки канала может определяться на основе компьютерного моделирования, опытных измерений, тестирования и/или каких-нибудь других средств. Потеря также может определяться для разных сценариев работы, например разных конфигураций антенн (например, 2×4, 4×2), разных возможных рангов, разного эффекта Доплера и т.д. В общем случае функция Channel_Backoff может определяться для любого количества сценариев работы и на основе любого количества входных параметров, а также любого типа входных параметров. Функция Channel_Backoff может храниться в одной или нескольких справочных таблицах, например одной справочной таблице для каждого сценария работы.
Модуль 514 корректирует емкость для ранга m, чтобы учитывать изменения помех. В одном аспекте это может происходить следующим образом:



где Interference_Backoff – функция, которая уменьшает SNR ранга m, чтобы учитывать изменения в помехах, наблюдаемых приемной станцией 150.
Приемная станция 150 может измерять помехи по времени и/или частоте и определять изменения в помехах на основе этих измерений. Величина потери вследствие изменения помех может определяться на основе компьютерного моделирования, опытных измерений, тестирования и/или каких-нибудь других средств. Функция Interference_Backoff может храниться в справочной таблице.
Модуль 516 может применять другие корректировки к емкости для ранга m. В одном варианте осуществления модуль 516 может применять корректировку для учета (1) изменения в мощности передачи со временем из-за регулирования мощности и/или (2) отклонения между мощностью передачи канала пилот-сигнала или канала управления и мощностью передачи информационного канала. Например, модуль 516 может либо уменьшать, либо увеличивать емкость в зависимости от того, уменьшается или увеличивается мощность передачи в предстоящем интервале. В варианте осуществления модуль 516 может исключать ранг m, если m>1 и SNR ранга m ниже заданного SNR. Низкое SNR может указывать, что станция 110 или 150 располагается около границы покрытия и является кандидатом на передачу обслуживания. Исключение ранга m может приводить к выбору более низкого ранга (например, ранга 1), который может быть устойчивее для условий низкого SNR. В варианте осуществления модуль 516 может корректировать емкость для ранга m, чтобы учитывать задержку завершения пакета H-ARQ. С H-ARQ пакет отправляется в одной передаче и, при необходимости, в одной или нескольких повторных передачах, пока пакет не декодируется правильно приемной станцией 150. Задержка завершения пакета H-ARQ относится к среднему количеству передачи/повторных передач для пакетов. Большая задержка может указывать на неточность в прогнозировании ранга. Поэтому для большей задержки может применяться большая отсрочка. В варианте осуществления модуль 516 может применять смещение так, чтобы выбирался более низкий ранг, если наблюдается изменчивость ранга. В общем случае модуль 516 может применять корректировки для любого количества факторов и любого типа фактора, которые могут влиять на производительность передачи данных.
Модуль 518 ограничивает емкость для ранга m в пределах диапазона минимальных и максимальных значений. Наименьшее значение называется минимумом, обозначается Cfloor и может устанавливаться в наименьшую пропускную способность всех поддерживаемых форматов пакета. Наибольшее значение называется максимумом, обозначается Cceiling и может устанавливаться в наибольшую пропускную способность всех поддерживаемых форматов пакета. Емкость для каждого ранга m тогда может ограничиваться нахождением в пределах минимума и максимума. В одном аспекте это может происходить следующим образом:

где Cmisc,m – емкость для ранга m из модуля 516. В уравнении (27) емкость для ранга m не изменяется, если она находится в пределах диапазона минимума и максимума, устанавливается в максимум, если она больше максимума, и устанавливается в ноль, если она меньше минимума. Установка емкости в ноль означает, что ранг m не будет выбираться для использования.
В целом, корректировки могут применяться для любого количества и любого типа факторов. Фиг.5 показывает корректировки, применяемые для некоторых типовых факторов. Использованные корректировки могут также применяться для меньшего количества, других и/или дополнительных факторов. Например, может пропускаться корректировка для поддерживаемых форматов пакета в уравнении (27). В качестве другого примера, корректировки могут применяться только для ошибок оценки канала и изменения помех. Корректировки обеспечивают границы в прогнозировании ранга, с тем чтобы подходящий ранг мог быть выбран для использования с учетом различных возможных источников ошибки в прогнозировании ранга.
Для ясности, за исключением модуля 516 фиг.5 показывает отдельный модуль, используемый для применения корректировки для каждого фактора. Тем не менее, модули могут интегрироваться в один или более функциональных модулей, например программное обеспечение, аппаратные средства или их сочетание. Также, для ясности, корректировка для каждого фактора описывается отдельно. Вообще, корректировки могут применяться отдельно для каждого фактора, подмножества факторов или для всех рассматриваемых факторов. Кроме того, корректировки могут применяться в ином порядке, чем показанный на фиг.5 порядок. Корректировки могут применяться с использованием любого количества функций и/или справочных таблиц с любым количеством входных параметров и любым типом входного параметра.
В показанных на фиг.3-5 вариантах осуществления корректировки применяются к средней емкости пространственных каналов для каждого ранга m. Селекторы 330 и 430 ранга затем определяют общую емкость или общую пропускную способность для каждого ранга и выбирают ранг с наилучшей или близкой к наилучшей производительностью. Применение корректировок к средней емкости может приводить к большей степени детализации для более высоких рангов. Корректировки также могут применяться к общей емкости или общей пропускной способности вместо средней емкости или средней пропускной способности.
Приемная станция 150 может квантовать выбранный ранг М на заданное количество битов, которое может определяться на основе наивысшего ранга, поддерживаемого системой. Например, если система поддерживает конфигурацию 4×4 в качестве конфигурации с наибольшей размерностью, то наивысшим возможным рангом является четыре, и выбранный ранг М может выражаться с использованием двух битов.
Приемная станция 150 также может квантовать CQI на заданное количество битов, которое может определяться желаемой точностью для CQI. Больше битов позволяют сообщать CQI с лучшей степенью детализации, которая может быть выгодной для выбора формата пакета. Количество битов для CQI может выбираться на основе (например, пропорционально) количества форматов пакета, поддерживаемых системой. Больше форматов пакета обычно подразумевает меньшие шаги в спектральной эффективности между форматами пакета. Тогда более точный CQI может быть выгодным в выборе подходящего формата пакета. CQI может квантоваться на три, четыре, пять, шесть или какое-либо другое количество битов.
Приемная станция 150 может определять и сообщать ранг и CQI периодически и на достаточно большой скорости для достижения хорошей производительности в передаче данных. Ранг и CQI могут определяться и сообщаться на одинаковой скорости, например каждые 5, 10 или 20 миллисекунд (мс). В качестве альтернативы ранг и CQI могут определяться и сообщаться на разных скоростях. Например, ранг может определяться и сообщаться на первой скорости, а CQI может определяться и сообщаться на второй скорости. Ранг канала MIMO может изменяться на более низкой скорости, чем SNR пространственных каналов, и соответственно может сообщаться на более низкой скорости, чем CQI.
Ранг и CQI могут определяться приемной станцией 150 и отправляться обратно передающей станции 110, как показано на фиг.1. Ранг и CQI также могут определяться передающей станцией 110 с использованием информации от приемной станции 150. Например, в дуплексной системе с временным разделением каналов (TDD) нисходящая линия связи и восходящая линия связи совместно используют один и тот же частотный канал, и характеристика канала для одной линии связи может предполагаться взаимообратной к характеристике канала для другой линии связи. В этом случае передающая станция 110 может иметь возможность оценивать характеристику канала MIMO на основе пилот-сигнала, отправленного приемной станцией 150. Передающая станция 110 тогда может определять ранг и формат пакета для использования в передаче данных на основе ее оценки характеристики канала MIMO.
Для ясности методики прогнозирования ранга описаны для режима SCW. Методики также могут использоваться для выбора ранга для режима MCW. Прогнозирование ранга для режима MCW может выполняться, как описано выше, для режима SCW. Для каждого возможного ранга m могут применяться корректировки к емкости каждого пространственного канала или общей емкости всех пространственных каналов для ранга m. CQI может определяться для каждого пространственного канала в выбранном ранге М. Может формироваться более одного CQI, если М больше единицы.
Фиг.6 показывает вариант осуществления процесса 600 для выполнения прогнозирования ранга. Определяются показатели производительности для множества рангов (этап 612). Каждый ранг свидетельствует о разном количестве потоков символов данных для одновременной отправки через канал MIMO или, эквивалентно, количестве пространственных каналов для использования в передаче данных. Показатели производительности могут относиться к емкости канала MIMO, пропускной способности передачи данных, отправленной через канал MIMO, качеству сигнала канала MIMO и т.д. Показатель производительности может определяться для каждого из рангов.
К показателям производительности для множества рангов применяются корректировки для получения скорректированных показателей производительности для этих рангов (этап 614). Корректировки учитывают некоторые параметры потери в системе. Потери могут быть одной или несколькими потерями вследствие кода исправления ошибок, используемого для передачи данных, ошибок оценки канала в приемнике, изменения в помехах, наблюдаемых приемником, изменчивости мощности передачи из-за регулирования мощности и/или других факторов. Кроме того, могут использоваться другие параметры потери. Корректировки могут применяться к SNR (как описано выше), емкости, пропускной способности и/или другим характеристикам, и все они могут быть связанными. Например, SNR может преобразовываться в емкость и наоборот, через функцию емкости или справочную таблицу. Ранги с показателями производительности ниже заданной пороговой величины могут не включаться в рассмотрение. Показатели производительности для рангов могут ограничиваться диапазоном значений, который может определяться поддерживаемыми форматами пакета. Корректировки могут применяться с использованием справочных таблиц, вычислений и/или каких-нибудь других средств.
Для использования в передаче данных выбирается ранг из множества рангов на основе скорректированных показателей производительности (этап 616). Может быть выбран ранг с наилучшим скорректированным показателем производительности. В качестве альтернативы может быть выбран наименьший ранг со скорректированным показателем производительности, который находится в пределах заданного процентного отношения к наилучшему скорректированному показателю производительности. Для выбранного ранга определяется по меньшей мере один CQI на основе скорректированного показателя производительности для выбранного ранга (этап 618). Например, для режима SCW может определяться один CQI, тогда как для режима MCW могут определяться М CQI. Каждый CQI может быть квантованным SNR, форматом пакета или каким-нибудь другим типом информации. Если прогнозирование ранга выполняется на приемнике, то выбранный ранг и CQI могут квантоваться и отправляться на передатчик.
Процесс 600 может выполняться контроллером/процессором 190 или каким-нибудь другим процессором на приемной станции 150. Процесс 600 также может выполняться контроллером/процессором 140 или каким-нибудь другим процессором на передающей станции 110. Корректировки могут выполняться с использованием справочных таблиц, записанных в запоминающем устройстве 192 на приемной станции 150 или запоминающем устройстве 142 на передающей станции 110.
Фиг.7 показывает вариант осуществления устройства 700 для выполнения прогнозирования ранга. Устройство 700 включает в себя средство для определения показателей производительности для множества рангов (блок 712), средство для применения корректировок к показателям производительности для множества рангов для получения скорректированных показателей производительности для этих рангов (блок 714), средство для выбора ранга для использования в передаче данных из множества рангов на основе скорректированных показателей производительности (блок 716) и средство для определения по меньшей мере одного CQI для выбранного ранга на основе скорректированного показателя производительности для выбранного ранга (блок 718).
Описанные здесь методики прогнозирования ранга могут быть реализованы различными средствами. Например, эти методики могут быть реализованы в аппаратных средствах, микропрограммном обеспечении, программном обеспечении либо их сочетании. Для аппаратной реализации блоки обработки, используемые для выполнения прогнозирования ранга, могут быть реализованы в одной или нескольких специализированных интегральных схемах (ASIC), цифровых процессорах сигналов (DSP), устройствах цифровой обработки сигналов (DSPD), программируемых логических устройствах (PLD), программируемых пользователем вентильных матрицах (FPGA), процессорах, контроллерах, микроконтроллерах, микропроцессорах, электронных устройствах, других электронных блоках, спроектированных для выполнения описанных здесь функций, или их сочетаниях.
Для микропрограммной и/или программной реализации методики прогнозирования ранга могут быть реализованы с помощью команд (например, процедур, функций и так далее), которые могут использоваться для выполнения описанных здесь функций. Команды, например программное обеспечение или микропрограммное обеспечение, могут храниться в запоминающем устройстве (например, запоминающем устройстве 192 на фиг.1) и исполняться процессором (например, процессором 190). Запоминающее устройство может реализовываться внутри процессора или вне процессора.
Предшествующее описание раскрытых вариантов осуществления предоставляется, чтобы дать возможность любому специалисту в данной области техники создавать или использовать настоящее изобретение. Различные модификации к этим вариантам осуществления будут полностью очевидны специалистам в данной области техники, а общие принципы, определенные в этом документе, могут быть применены к другим вариантам осуществления без отклонения от сущности или объема изобретения. Таким образом, настоящее изобретение не предназначено, чтобы ограничиваться показанными в этом документе вариантами осуществления, а должно соответствовать самому широкому объему, согласующемуся с принципами и новыми признаками, раскрытыми в этом документе.
Формула изобретения
1. Устройство (150; 110) для определения ранга канала со многими входами и выходами (MIMO), содержащее по меньшей мере один процессор (190; 140), сконфигурированный с возможностью определения (612; 712) показателей производительности для множества рангов, причем каждый ранг свидетельствует о разном количестве потоков данных для одновременной отправки через канал со многими входами и многими выходами (MIMO), применения (614; 714) корректировок к показателям производительности для множества рангов для получения скорректированных показателей производительности, причем корректировки учитывают потери в системе, и выбора (616; 716) ранга для использования в передаче данных из множества рангов на основе скорректированных показателей производительности; и запоминающее устройство (192; 142), соединенное с по меньшей мере одним процессором.
2. Устройство по п.1, в котором показатели производительности относятся к емкости канала MIMO.
3. Устройство по п.1, в котором показатели производительности относятся к пропускной способности передачи данных, отправленной через канал MIMO.
4. Устройство по п.1, в котором показатели производительности относятся к качеству сигнала канала MIMO.
5. Устройство по п.1, в котором корректировки учитывают потери вследствие кода исправления ошибок, использованного для передачи данных.
6. Устройство по п.1, в котором корректировки учитывают ошибки оценки канала в приемнике.
7. Устройство по п.1, в котором корректировки учитывают изменение в помехах, наблюдаемых приемником.
8. Устройство по п.1, в котором корректировки учитывают изменение в мощности передачи, используемой для передачи данных.
9. Устройство по п.1, в котором по меньшей мере один процессор сконфигурирован с возможностью пропуска рангов, имеющих показатели производительности ниже заданной пороговой величины.
10. Устройство по п.1, в котором по меньшей мере один процессор сконфигурирован с возможностью применения корректировок показателей производительности для множества рангов путем исключения, из множества рангов, рангов, которые ассоциированы с показателями производительности со значениями, которые выпадают из данного диапазона значений, так что процессор выполняет выбор ранга только на основании рангов из множества рангов, ассоциированных с показателями производительности со значениями в заданном диапазоне значений.
11. Устройство по п.10, в котором диапазон значений определяется форматами пакета, используемыми для передачи данных.
12. Устройство по п.1, в котором каждый из скорректированных показателей производительности ассоциирован со значением, и по меньшей мере один процессор сконфигурирован с возможностью выбора ранга, который ожидается, для обеспечения наивысшего уровня производительности на основе ассоциированных значений скорректированных показателей производительности.
13. Устройство по п.1, в котором каждый из скорректированных показателей производительности ассоциирован со значением, и по меньшей мере один процессор сконфигурирован с возможностью определения ранга, который ожидается, для обеспечения наивысшего уровня производительности на основе ассоциированных значений скорректированных показателей производительности, установления заданного диапазона значений на основе значения скорректированного показателя производительности ранга, который ожидается для обеспечения наивысшего уровня, и выбора ранга, который (i) ожидается, для обеспечения наинизшего уровня производительности на основе ассоциированных значений скорректированных показателей производительности, (ii) в то же время имеет значение скорректированного показателя производительности, попадающее в заданный диапазон значений.
14. Устройство по п.1, в котором по меньшей мере один процессор сконфигурирован с возможностью представления выбранного ранга с помощью заданного количества битов и отправки в передатчик выбранного ранга.
15. Устройство по п.1, в котором по меньшей мере один процессор сконфигурирован с возможностью определения по меньшей мере одного индикатора качества канала (CQI) на основе скорректированного показателя производительности для выбранного ранга.
16. Устройство по п.1, в котором по меньшей мере один процессор сконфигурирован с возможностью определения отношения сигнал/шум (SNR) на основе скорректированного показателя производительности для выбранного ранга и квантования SNR для получения индикатора качества канала (CQI) для выбранного ранга.
17. Устройство по п.1, в котором запоминающее устройство сконфигурировано с возможностью хранения по меньшей мере одной справочной таблицы корректировок для показателей производительности.
18. Способ определения ранга канала со многими входами и выходами (MIMO), содержащий этапы, на которых определяют (612; 712) показатели производительности для множества рангов, причем каждый ранг свидетельствует о разном количестве потоков данных для одновременной отправки через канал со многими входами и многими выходами (MIMO); применяют (614; 714) корректировки к показателям производительности для множества рангов для получения скорректированных показателей производительности, причем корректировки учитывают потери в системе; и выбирают (616; 716) ранг для использования в передаче данных из множества рангов на основе скорректированных показателей производительности.
19. Способ по п.18, в котором этап, на котором определяют показатели производительности, содержит этап, на котором определяют показатели производительности для одного или нескольких из следующих показателей: емкости канала MIMO, пропускной способности передачи данных, отправленной через канал MIMO, или качества сигнала канала MIMO.
20. Способ по п.18, дополнительно содержащий этап, на котором вычисляют корректировки для одного или нескольких показателей производительности.
21. Способ по п.20, в котором этап, на котором вычисляют корректировки, содержит этап, на котором вычисляют корректировки для учета потерь вследствие одного или нескольких из следующего: кода исправления ошибок, используемого для передачи данных, ошибок оценки канала в приемнике, изменения в помехах, наблюдаемых приемником, изменения в мощности передачи, используемой для передачи данных, или их сочетания.
22. Устройство (150; 110) для определения ранга канала со многими входами и выходами (MIMO), содержащее средство для определения (612; 712) показателей производительности для множества рангов, причем каждый ранг свидетельствует о разном количестве потоков данных для одновременной отправки через канал со многими входами и многими выходами (MIMO); средство для применения (614; 714) корректировок к показателям производительности для множества рангов для получения скорректированных показателей производительности, причем корректировки учитывают потери в системе; и средство для выбора (616; 716) ранга для использования в передаче данных из множества рангов на основе скорректированных показателей производительности.
23. Устройство по п.22, в котором средство для определения показателей производительности содержит средство для определения показателей производительности для одного или нескольких из следующих показателей: емкости канала MIMO, пропускной способности передачи данных, отправленной через канал MIMO, или качества сигнала канала MIMO.
24. Устройство по п.22, дополнительно содержащее средство для вычисления корректировок для одного или нескольких показателей производительности.
25. Устройство по п.24, в котором средство для вычисления содержит средство для вычисления с учетом потерь вследствие одного или нескольких из следующего: кода исправления ошибок, используемого для передачи данных, ошибок оценки канала в приемнике, изменения в помехах, наблюдаемых приемником, изменения в мощности передачи, используемой для передачи данных, или их сочетания.
26. Считываемый процессором носитель информации, хранящий команды, которые при исполнении процессором предписывают процессору выполнять способ определения ранга канала со многими входами и выходами (MIMO), причем команды содержат команды для определения (612; 712) показателей производительности для множества рангов, причем каждый ранг свидетельствует о разном количестве потоков данных для одновременной отправки через канал со многими входами и многими выходами (MIMO); команды для применения (614; 714) корректировок к показателям производительности для множества рангов для получения скорректированных показателей производительности, причем корректировки учитывают потери в системе; и команды для выбора (616; 716) ранга для использования в передаче данных из множества рангов на основе скорректированных показателей производительности.
РИСУНКИ
|