|
|
(21), (22) Заявка: 2008135071/09, 27.08.2008
(24) Дата начала отсчета срока действия патента:
27.08.2008
(46) Опубликовано: 10.04.2010
(56) Список документов, цитированных в отчете о поиске:
RU 2314642 C1, 10.01.2008. RU 2262201 C1, 10.10.2005. US 6448941 B1, 10.09.2002. WO 99/44383 A1, 02.09.1999.
Адрес для переписки:
394018, г.Воронеж, ул. Плехановская, 14, ОАО “Концерн “Созвездие”
|
(72) Автор(ы):
Лукьянчиков Виктор Дмитриевич (RU), Ливенцев Вячеслав Васильевич (RU), Заплетин Владимир Юрьевич (RU)
(73) Патентообладатель(и):
Открытое акционерное общество “Концерн “Созвездие” (RU)
|
(54) СПОСОБ РАДИОСВЯЗИ С МНОЖЕСТВЕННЫМ ДОСТУПОМ
(57) Реферат:
Изобретение относится к области радиосвязи и может быть использовано при разработке систем множественного доступа, использующих шумоподобные сигналы. Достигаемый технический результат – увеличение пропускной способности и количества абонентов в системах с множественным доступом, а также компенсация сигналоподобных помех и стирание ошибочных символов при больших поляризационных искажениях сигналов. В способе на передающей стороне нелинейные первую и вторую псевдослучайные последовательности (ПСП) модулируют соответствующими биполярными двоичными первой и второй информационными последовательностями (ИП), в двоичной третьей ИП биполярные импульсы преобразуют в однополярные, умножают их на элементы первого кода Уолша, а инвертированные импульсы третьей ИП – на элементы второго кода Уолша, результаты перемножений объединяют и умножают на модулированную вторую ПСП; результатом этого перемножения модулируют несущее колебание, получая широкополосный векторный фазоманипулированный сигнал, элементы которого передают в канал связи на ортогональных поляризациях под управлением модулированной первой ПСП; на приемной стороне копию первой ПСП и ее инверсию используют для согласования поляризационных состояний (ПС) элементов векторного опорного сигнала с ПС элементов векторного полезного сигнала, несущего символы трех ИП, результатом перемножения копии второй ПСП с копиями первого и второго кодов Уолша модулируют копию несущего колебания, получая скалярные опорные сигналы для корреляционной обработки полезного сигнала для выделения информационных единиц и нулей в первой, второй и третьей ИП в четырех сигнальных каналах в соответствии с таблицей восстановления, стирают ошибочные символы, результат перемножения скалярных опорных сигналов с импульсами типа меандр используют при компенсации сигналоподобных помех. 2 з.п. ф-лы. 2 ил., 1 табл.
Предлагаемое изобретение относится к области радиосвязи и может быть использовано при построении систем с множественным доступом, использующих шумоподобные сигналы.
Известно, что системы связи с множественным доступом имеют ограничение по количеству одновременно обслуживаемых абонентов [Скляр Б. «Цифровая связь. Теоретические основы и практическое применение». – М.: Издательский дом «Вильямс», 2003 г., стр.676], что не удовлетворяет стремительно растущим потребностям в емкости этих систем. Кроме того, повышение пропускной способности каналов связи таких систем, как правило, связано либо с расширением спектра используемых сигналов, либо с увеличением мощности передатчиков.
В настоящее время для этих целей, кроме повторного использования частоты на ортогональных поляризациях, в системах радиосвязи получают распространение более сложные способы, использующие поляризационную структуру сигналов.
Известен способ радиосвязи, приведенный в патенте US 6448941 B1, H01Q 1/36 от 10.09.2002 г., в котором осуществляется скачкообразная перестройка поляризации сигнала несущей синхронно с псевдослучайной перестройкой несущей частоты, что достигается использованием на передающей и приемной сторонах идентичных антенн специальной конструкции; поляризационное состояние (поляризационная структура) элементов излучаемого сигнала зависит от частоты питающего напряжения и на длительности сигнала может принимать несколько заданных состояний.
У этого способа несколько недостатков:
– жесткая связь поляризационного состояния элементов сигнала с частотой несущего колебания, что ограничивает количество возможных кодовых комбинаций на плоскости “частота – поляризация”, следовательно, и количество одновременно обслуживаемых абонентов в системе;
– необходимость антенн специальной конструкции, идентичных на передающей и приемной сторонах;
– несмотря на наличие поляризационной избыточности, пропускная способность линий радиосвязи такая же, как у традиционных способов со скачкообразным изменением частоты.
В заявке на изобретение US 2004/0114548 A1, H04B 7/204 от 17.06.2004 г. предложен способ множественного доступа с поляризационным кодированием, в котором также осуществляется скачкообразная перестройка поляризации сигнала несущей под управлением псевдослучайной последовательности (ПСП). При этом на приемной стороне под управлением инверсной ПСП организован опорный канал, в котором в момент приема может быть выделена часть помехи, коррелированная с опорным сигналом опорного канала, которая вычитается из суммарного выходного эффекта сигнального канала. Этому способу также присущи недостатки:
– избыточность, которую вносит разнесение элементов сигнала по ортогональным поляризационным состояниям, используется только для разделения абонентов в системах связи с множественным доступом, в то время как пропускная способность линий связи при этом остается такой же, как и у систем, использующих кодовое разделение с помощью обычного прямого расширения спектра на одном фиксированном типе поляризации;
– элементы информационных символов однополярны, значит, на основной и ортогональной поляризациях они могут суммироваться без компенсации при корреляционной обработке сигналов в приемных устройствах узкополосных систем передачи информации, работающих на фиксированных поляризациях;
– обработка полезного сигнала на приемной стороне при наличии искажений поляризационной структуры элементов информационного символа вносит его дополнительное подавление.
Наиболее близким по технической сущности к предлагаемому решению является способ радиосвязи с множественным доступом, где также используется поляризационное кодирование, описанный в патенте RU 2314642, Н04В 7/204 от 10.01.2008 г., принятый за прототип.
Способ-прототип заключается в следующем.
На передающей стороне
Генерируется несущее колебание:

где A0 – амплитуда синусоидального сигнала;
е – обозначение символа экспоненты;

t – текущее время;
0 – круговая частота, определяемая как 0=2 f0;
f0 – циклическая частота сигнала.
Подается первая двоичная информационная последовательность, состоящая из потока биполярных видеоимпульсов а1nu0(t),
где а1n=1; -1 – элементы первой двоичной информации;
u0(t) – видеоимпульс с единичной амплитудой и длительностью Т0:

Эти импульсы перемножаются с элементами первой псевдослучайной последовательности (ПСП), длительность которых:

где N – база сигнала.
В результате перемножения получается ПСП, управляющая поляризационными состояниями элементов информационного символа, которые имеют вид:

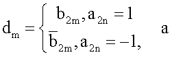
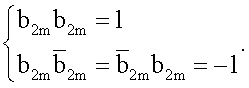
где b1m=1; – 1 – значения элементарных импульсов первой ПСП;
m=1, 2, , N – порядковый номер элемента первой ПСП;
N – количество элементарных импульсов в первой ПСП, определяющее базу сигнала;
тогда 
Здесь в индексе “m” элемента Inm отражена временная зависимость.
Генерируется вторая ПСП той же длительности с элементами:

При этом код второй ПСП всегда отличен от кода первой ПСП.
Одновременно подаются первая и вторая двоичные информационные последовательности, представляющие собой потоки биполярных импульсов одинаковой длительности Т0, но отличающиеся между собой набором этих импульсов ainu0(t), i=1; 2:

Управление поляризационными состояниями элементов информационного символа представляется набором комплексных единичных векторов [Козлов А.И., Логвин А.И., Сарычев В.А. «Поляризация радиоволн. Поляризационная структура радиолокационных сигналов». – М.: «Радиотехника», 2005 г., стр.168] поляризации (элементных векторов поляризации), которые характеризуют поляризационные состояния элементов информационного символа в заданные промежутки времени:

где символ «·» означает комплексный вектор.
Комплексный элементный вектор удобнее всего представляется в ортогонально-круговом базисе [С.И.Поздняк, В.В.Кузнецов. «Радиотехника и электроника», 1973 г., т.18, вып.11, стр.2425]:

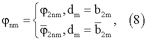
где Кnm и nm – соответственно коэффициент эллиптичности и угол ориентации эллипса поляризации m-го элемента n-го информационного символа полезного или опорного (на приемной стороне) сигналов, которые характеризуют поляризационную структуру (поляризационное состояние) излучаемого элемента сигнала, либо поляризационную структуру элемента опорного сигнала.
Так, для линейно поляризованных полезного и опорного сигналов: Кnm=0, nm=0 – для основного канала и Кnm=0, nm= /2 – для ортогонального канала.
Для полезного и опорного сигналов с круговой поляризацией: Кnm=1 – для сигналов с правосторонним направлением вращения векторов полей, Кnm=-1 – для сигналов с левосторонним направлением вращения векторов полей, а величина nm ие определена.
При этом для линейно поляризованных сигналов комплексный элементный вектор принимает два возможных значения: или ортогональный первому комплексный элементный вектор .
Для поляризованных по кругу сигналов комплексный элементный вектор принимает соответственно два других возможных значения: или .
Элементам первой ПСП “1” и “-1” соответствуют элементы информационного символа с ортогональными поляризациями. При этом свой тип поляризации для произвольного элемента первой ПСП является основным.
Вторая ПСП перемножается с символами второй двоичной информационной последовательности, в результате чего получается ПСП, которой модулируется несущее колебание (1), в результате чего получается соответствие:

где 
2nm – фаза высокочастотного заполнения элементов сигнала.
Комплексный векторный элемент информационного символа, передаваемого в канал связи, запишется следующим образом:

где 
В канал связи поступает сигнал:

Таким образом, векторный сигнал переносит два информационных символа. Символ первой информационной последовательности закодирован набором элементных векторов, характеризующих поляризационные состояния элементов сигнала. Символ второй информационной последовательности закодирован своим набором фаз (0, ) радиоимпульсов, которые характеризуются соответствующими элементными векторами .
На приемной стороне копия управляющей первой ПСП определяет набор элементных векторов, характеризующих поляризационные состояния элементов опорного сигнала для первого (основного) сигнального канала, соответствующего переданному символу первой двоичной информационной последовательности а1n=1, и определяет соответствие:

Инвертированная копия первой (управляющей) ПСП определяет набор элементных векторов, характеризующих поляризационные состояния элементов опорного сигнала для второго (инверсного) сигнального канала, соответствующего а1n=-1, и описывается соответствием:

Генерируются копия второй ПСП и копия несущего колебания 
Осуществляется стандартная, но с учетом векторного представления элементов сигнала, корреляционная обработка [Варакин Л.Е. «Системы связи с шумоподобными сигналами». – М.: «Радио и связь», 1985 г., стр.25-32] приходящего полезного сигнала (10) в первом и втором сигнальных каналах. При этом в каналах осуществляются преобразования

и формируются соответствующие эффекты:

Здесь символ “T” означает операцию транспонирования;
символ “*” – комплексное сопряжение;
символ «|·|» – модуль комплексной величины.
При этом   
Так как соотношение как модуль скалярного произведения двух единичных коллинеарных комплексных векторов, которые характеризуют поляризационную структуру соответствующих элементов полезного и опорного сигналов [Канарейкин Д.Б., Павлов Н.Ф., Потехин В.А. «Поляризация радиолокационных сигналов». – М.: «Сов. радио», 1966 г., стр.23-28], то получают:
при передаче импульсов а2n=1 и а1n=1 на выходе первого и второго сигнальных каналов соответственно имеем: Е1s=A2 0N; Е2s=0;
при передаче импульсов а2n=1 и а1n=-1 на выходе первого и второго сигнальных каналов соответственно имеем: Е1s=0; Е2s=-A2 0N;
при передаче импульсов а2n=-1 и а1n=1 на выходе первого и второго сигнальных каналов соответственно имеем: Е1s=-A2 0N; Е2s=0;
при передаче импульсов а2n=-1 и а1n=-1 на выходе первого и второго сигнальных каналов соответственно имеем: Е1s=0; Е2s=A2 0N.
То есть сигнал всегда будет приниматься поочередно одним из двух сигнальных каналов. Признаком приема информационной единицы первой информационной последовательности является факт приема сигнала на первом (основном) сигнальном канале. Признаком приема информационного нуля первой информационной последовательности служит факт приема сигнала во втором (инверсном) сигнальном канале. Признаками приема информационных единиц и нулей второй информационной последовательности служат знаки сигналов, принятых в любом из сигнальных каналов. Знак “+” соответствует информационной единице второй информационной последовательности, а знак “-” соответствует информационному нулю второй информационной последовательности. Таким образом, на любом из сигнальных каналов одновременно могут быть приняты два информационных символа от двух независимых источников информации. При этом тот сигнальный канал, в котором осуществляют прием, является основным сигнальным каналом, а другой сигнальный канал является инверсным сигнальным каналом.
Одновременно импульсы типа меандра с единичной амплитудой:

умножаются на копию второй ПСП:

Результат (15) модулирует копию несущего колебания (1), что определяет соответствия:

и служит скалярным опорным сигналом при формировании двух опорных каналов. Первый опорный канал соответствует первому сигнальному каналу и определяется перемножением поступающего в первый сигнальный канал полезного сигнала с результатом модуляции с учетом (16) и последующим суммированием получающихся элементов. В момент отсчета в первом опорном канале:

При 
При 
Таким образом, выходным эффектом первого сигнального канала, имеющим место в способе-прототипе в момент взятия отсчета, является соотношение:

При N>>1 1/N 0 и .
В то же время второй опорный канал, соответствующий второму сигнальному каналу, определяется перемножением несущей, модулированной ПСП (15), и полезного сигнала, поступающего во второй сигнальный канал, и последующим суммированием получающихся элементов:

При 
При 
Выходной эффект второго сигнального канала есть:

При поступлении на приемную сторону вместе с полезным сигналом сигналоподобной помехи, длительность которой равна Т0, а набор элементных векторов, характеризующих поляризационные состояния ее элементов и набор фаз высокочастотного заполнения элементарных импульсов, которыми являются элементы помехи, являются случайными, вследствие этих случайностей часть элементов помехи может попасть в первый сигнальный канал, а часть – во второй сигнальный канал.
В этом случае при передаче а1n=1 в первом сигнальном канале в момент взятия отсчета сформируется сумма значений корреляционных функций полезного сигнала и помехи (сумма энергий полезного сигнала и части помехи, коррелированной с опорным сигналом первого сигнального канала):

В опорном канале, соответствующем первому сигнальному каналу, в момент отсчета формируется эффект:

На выходе первого сигнального канала в момент взятия отсчета формируется эффект:

Одновременно, во втором сигнальном канале в момент взятия отсчета формируется значение корреляционной функции помехи (энергия части помехи, коррелированной с опорным сигналом второго сигнального канала):

В опорном канале, соответствующем второму сигнальному каналу, в момент взятия отсчета также формируется значение корреляционной функции помехи (энергия части помехи, коррелированной с опорным сигналом опорного канала, соответствующего второму сигнальному каналу):

На выходе второго сигнального канала в момент взятия отсчета формируется эффект:

Соответственно, при передаче а1n=-1 на выходе второго сигнального канала в момент взятия отсчета формируется эффект, аналогичный (23):

Одновременно на выходе первого сигнального канала формируется эффект, аналогичный (26):

Анализ соотношений (23) – (28) показывает, что в них входят выражения:
  и 
величина которых в силу случайности элементов b2m,п и поляризационных состояний этих элементов будет близка к нулю. При этом полная режекция помехи в первом или втором сигнальных каналах и, соответственно, одновременные нулевые эффекты на выходах опорных каналов, соответствующих первому и второму сигнальным каналам, осуществляется, либо в случае ортогональности элементных векторов элементов помехи и элементных векторов элементов опорных сигналов, либо при равенстве указанных выше корреляционных функций, либо при одновременном выполнении этих условий, что увеличивает вероятность режекции помехи. При этом элементы информационных символов второй информационной последовательности биполярны, а значит, в узкополосных системах передачи информации на любой фиксированной поляризации при корреляционной обработке они будут суммироваться с взаимной компенсацией. То есть способ-прототип эффективен в части электромагнитной совместимости с узкополосными средствами передачи информации.
В том случае, когда помех нет, но среда распространения вносит искажения в поляризационную структуру элементов информационных символов таким образом, что у элементного вектора поляризации, характеризующего поляризационное состояние элемента информационного символа, появляется составляющая в поляризационно-ортогональном канале, то есть появляются кроссполяризованные (межканальные) помехи и любой элементный вектор поляризации из набора таких векторов, характеризующих поляризационное состояние элементов информационного символа принимаемого из канала связи, будет отличаться от своего исходного значения . При этом для элементов информационного символа в сигнальном канале а в инверсном сигнальном канале . Тогда при поступлении на приемную сторону сигнала, несущего символ a1n=1 в первом (основном) сигнальном канале, в момент взятия отсчета формируется эффект

где N/
Одновременно в опорном канале, соответствующем первому сигнальному каналу, в момент взятия отсчета формируется эффект:

При 
При 
Таким образом, выходным эффектом первого сигнального канала, имеющим место в способе-прототипе в момент взятия отсчета, является соотношение, аналогичное(18):

При N/>>1 1/N/ 0 и E/ 1s ±A2 0N/.
При поступлении на приемную сторону сигнала, несущего символ а1n=-1 во втором (основном) сигнальном канале, в момент взятия отсчета формируется эффект

Одновременно в опорном канале, соответствующем второму сигнальному каналу, в момент взятия отсчета формируется эффект

При 
При 
Выходным эффектом второго сигнального канала, имеющим место в способе-прототипе в момент взятия отсчета, является соотношение, аналогичное (20):

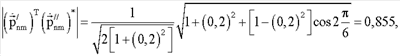
Например, пусть для элементов сигналов с линейной поляризацией канал связи искажает поляризационную структуру элементов сигнала одинаково (квазистационарные симметричные поляризационно-ортогональные каналы без дисперсии), то есть для элементов полезного сигнала:

а для элементов опорного сигнала:

Тогда

Пусть для полезного сигнала или , а для опорного сигнала линейной поляризации или , тогда для элемента сигнала на основной поляризации:

а на ортогональной поляризации этого же элемента сигнала

Численные значения модулей скалярных произведений соответствующих элементных векторов поляризации для основной и ортогональной составляющих элементов сигнала будут иметь значения:


При передаче символа a1n=1 энергия поляризационно-ортогональных составляющих сигнала:
– в первом (основном) сигнальном канале,
– во втором (инверсном) сигнальном канале. Следовательно, на выходе первого (основного) сигнального канала получают эффект: при этом N/=0,731N. На выходе второго (инверсного) сигнального канала получают эффект:

При передаче символа а1n=-1 получим:
на выходе первого (инверсного) сигнального канала

на выходе второго (основного) сигнального канала

То есть в основных сигнальных каналах за счет «перекачки» энергии элементов сигнала с основной поляризации на ортогональную поляризацию ее теряется около 27%, но нет дополнительных потерь, связанных с обработкой сигнала на приемной стороне. Энергия сигнала будет понижена только за счет того, что у каждого элемента информационного символа будет принята только компонента, соответствующая основному каналу данного элемента.
Таким образом, способ-прототип обеспечивает эффективное использование радиочастотного спектра за счет полного использования избыточности, вносимой разнесением элементов сигнала по ортогональным поляризационным состояниям, обеспечивает улучшение электромагнитной совместимости с узкополосными системами передачи информации и нечувствителен к влиянию кроссполяризованных помех в основных сигнальных каналах, вносимых средой распространения.
Анализ способа-прототипа показывает, что у него есть два недостатка. Первый заключается в том, что не полностью использованы возможности по повышению пропускной способности за счет свойств псевдослучайных кодов, второй – в том, что при сильном искажении поляризационной структуры полезного сигнала его кроссполяризационная составляющая в инверсном сигнальном канале E может приводить к ошибкам приема.
Для устранения указанных недостатков в способе радиосвязи с множественным доступом, включающем на передающей стороне генерирование несущего колебания для передачи полезного сигнала, генерирование первой и второй псевдослучайных последовательностей (ПСП) одинаковой длины, но с разным набором элементов, получение двоичных первой и второй информационных последовательностей (ИП), состоящих из биполярных импульсов одинаковой длительности, но с разным набором элементов, перемножение второй ПСП с символами второй ИП, в результате чего получается вторая ПСП, модулированная символами второй ИП, перемножение первой ПСП с символами первой ИП, в результате чего получается первая ПСП, модулированная символами первой ИП для управления поляризационными состояниями элементов информационных символов второй ИП; на приемной стороне генерирование копии несущего колебания, копии первой ПСП и ее инверсии, копии второй ПСП, видеоимпульсов типа меандра с периодом, равным длительности информационных импульсов, согласно изобретению на передающей стороне первая и вторая ПСП являются нелинейными, одновременно с первой и второй ИП получают двоичную третью ИП, состоящую из биполярных импульсов такой же длительности, как у первой и второй ИП, но с другим набором элементов, затем в третьей ИП отрицательные импульсы преобразуют в нулевой уровень, в результате чего получают третью ИП в виде потока однополярных импульсов, генерируют два кода Уолша из одного ансамбля такой же длительности, что и первая, и вторая ПСП, перемножают первый код Уолша с символами третьей ИП, а второй код Уолша с символами инвертированной третьей ИП, далее результаты вышеуказанных перемножений объединяют, в результате чего получают третью ИП, модулированную двумя кодами Уолша, которую далее перемножают с полученным ранее результатом перемножения второй ПСП с символами второй ИП, в результате чего получают производную ПСП с корреляционными свойствами второй (производящей) ПСП, которой модулируют несущее колебание, в результате чего получают полезный сигнал, являющийся широкополосным фазоманипулированным векторным сигналом, несущим канальный символ с восемью возможными состоянииями (информационные символы второй и третьей ИП), элементы которого затем передают в канал связи на ортогональных поляризациях по псевдослучайному закону в соответствии с первой ПСП; на приемной стороне копию первой ПСП и ее инверсию используют для согласования поляризационных состояний элементов векторного опорного сигнала с поляризационными состояниями элементов поступающего векторного полезного сигнала, в то же время копию второй ПСП перемножают с копиями первого и второго кодов Уолша, модулируют результатами перемножения копию несущего колебания, результаты модуляции используют в качестве скалярных опорных сигналов при корреляционной обработке полезного сигнала для выделения информационных единиц и нулей в первой, второй и третьей ИП в четырех сигнальных каналах в соответствии с таблицей восстановления, одновременно видеоимпульсами типа меандра модулируют скалярные опорные сигналы сигнальных каналов, в результате чего получают скалярные опорные сигналы для корреляционной обработки полезного сигнала в четырех опорных каналах, соответствующих четырем сигнальным каналам, при этом в четырех опорных каналах выделяют части сигналоподобных помех, коррелированные с полезным сигналом в соответствующих сигнальных каналах и вычитают их из выходных эффектов этих сигнальных каналов, вычитают попарно величины выходных эффектов первого и третьего, второго и четвертого сигнальных каналов друг из друга, в случае их равенства выходные эффекты обнуляют, что эквивалентно стиранию канальных символов, если они не равны, то меньший из них обнуляют, а больший оставляют без изменения вместе со знаком, далее осуществляют операцию взятия знака выходных эффектов сигнальных каналов и получают канальный символ в виде столбца, перемножают его с единичной матрицей размера 4×4, определяют номер того столбца единичной матрицы, при котором результат перемножения ненулевой, находят в вышеупомянутой таблице восстановления такой же номер столбца, в этом столбце таблицы восстановления находят значение, равное результату перемножения принятого столбца и столбца единичной матрицы, и в соответствии с этим в таблице восстановления находят символы первой, второй и третьей ИП, соответствующие переданным.
Предлагаемый способ радиосвязи с множественным доступом заключается в следующем.
На передающей стороне
Генерируется несущее колебание, аналогичное (1), для передачи полезного сигнала.
Генерируются нелинейные первая и вторая ПСП [Л.Е. Варакин. «Системы связи с шумоподобными сигналами». – М.: «Радио и связь», 1985 г., стр.73-78].
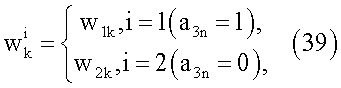
Генерируются два кода Уолша из одного ансамбля такой же длительности, как первая и вторая ПСП с элементами w1k=1; -1, w2k=1; -1, где k=1, 2, , К.
Одновременно подаются двоичные первая, вторая и третья информационные последовательности (ИП) в виде потоков биполярных импульсов одинаковой длительности Т0, но отличающиеся между собой набором этих импульсов с элементами аinu0(t), i=1, 2, 3.
Причем в третьей ИП отрицательные импульсы преобразуются в нулевой уровень, т.е. значения элементов соответствующих двоичных ИП будут:

Первая ПСП перемножается с первой ИП, в результате чего получается ПСП, управляющая поляризационными состояниями элементов информационных символов.
Управление поляризационными состояниями элементов информационных символов определяется соответствием, аналогичным (6):

При этом элементам первой ПСП “1” и “-1” соответствуют ортогональные поляризации.
Вторая ПСП перемножается с символами второй ИП:

Одновременно над символами третьей ИП осуществляют логическую операцию отрицания и получают ее инвертированную копию 
При этом блоки единиц становятся блоками нулей, а блоки нулей – блоками единиц.
Далее символы третьей ИП умножают на первый код Уолша, в результате чего получают первый код Уолша, модулированный единицами третьей ИП (далее в формуле (38) c1k), а символы инвертированной копии третьей ИП умножают на второй код Уолша, в результате чего получают второй код Уолша, модулированный нулями третьей ИП (далее в формуле (38) с2k):

Затем полученные результаты модуляции с1k и с2k объединяют:
где 
где « » – символ объединения.
Результат (37) перемножается с результатом (39), что определяет элементы производной ПСП с корреляционными свойствами второй (производящей) ПСП [Варакин Л.Е. «Системы связи с шумоподобными сигналами». – М.: «Радио и связь», 1985 г., стр.110-114]. В результате получают третью ИП, модулированную двумя кодами Уолша:

где – элементы i-й производной ПСП длительностью 0 (i=1, 2; l=1, 2), которой модулируется несущее колебание (1);
wlm – часть элемента i-го кода Уолша также длительностью 0.
При этом набор биполярных импульсов i-й производной ПСП отличен от их набора во второй ПСП.
В результате получают соответствие:

где фаза высокочастотного заполнения элементов сигнала

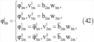
Комплексный векторный элемент (канальный символ) информационного символа, передаваемого в канал связи, запишется следующим образом:

где 
В канал связи поступает сигнал:

Таким образом, векторный сигнал характеризуется восьмью состояниями и переносит три информационных символа. Символ первой ИП закодирован набором элементных векторов, характеризующих поляризационные состояния элементов радиосигнала . Символ второй ИП закодирован своим набором фаз (0, ) радиоимпульсов, которые определяются второй (производящей) ПСП. Символ третьей ИП в зависимости от его значения закодирован одним из двух кодов Уолша (исходных), которые модулируют вторую (производящую) ПСП, изменяя соответствующим образом расстановку начальных фаз 0 и в радиоимпульсах.
На приемной стороне
Генерируется копия несущего колебания 
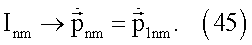
Генерируется копия управляющей первой ПСП, определяющая набор элементных векторов, характеризующих поляризационные состояния элементов опорных сигналов, соответствующих переданному символу первой ИП а1n=1:

Генерируется инвертированная копия первой (управляющей) ПСП, определяющая набор элементных векторов, характеризующих поляризационные состояния элементов опорных сигналов, соответствующих передаче а1n=-1

Генерируются копия второй ПСП и копии первого и второго кодов Уолша.
Формируются четыре векторных опорных сигнала для четырех сигнальных каналов:

В четырех сигнальных каналах осуществляется стандартная, но с учетом векторной природы полезного сигнала (44) его корреляционная обработка. При этом в сигнальных каналах осуществляются преобразования:

и формируются соответствующие выходные эффекты:

При этом имеют место соотношения:



 
 
В каждом сигнальном канале на выходе осуществляют операцию:
sign(Eh), где 
Тогда при передаче символов a1n=l, а2n=1 и а3n=1 на выходе четырех сигнальных каналов после операции sign(Eh) получают принятый канальный символ в виде столбца, характеризующего возможные состояния канального символа:
канала h: 1 2 3 4
sign(Eh): [1 0 0 0]T.
При передаче символов a1n=1, a2n=-1 и а3n=1 на выходе четырех сигнальных каналов после операции sign(Eh) получают столбец:
канала h: 1 2 3 4
sign(Eh): [-1 0 0 0]T.
При передаче символов a1n=l, a2n=1 и a3n=-1 на выходе четырех сигнальных каналов после операции sign(Еh) получают столбец:
канала h: 1 2 3 4
sign(Eh): [0 1 0 0]T.
При передаче символов a1n=l, a2n=-1 и а3n=-1 на выходе четырех сигнальных каналов после операции sign(Eh) получают столбец:
канала h: 1 2 3 4
sign(Eh): [0 -1 0 0]T.
При передаче символов а1n=-1, a2n=1 и a3n=1 на выходе четырех сигнальных каналов после операции sign(Eh) получают столбец:
канала h: 1 2 3 4
sign(Eh): [0 0 1 0]T.
При передаче символов а1n=-1, а2n=-1 и а3n=1 на выходе четырех сигнальных каналов после операции sign(Еh) получают столбец:
канала h: 1 2 3 4
sign(Eh): [0 0 -1 0]T.
При передаче символов a1n=-1, а2n=1 и a3n=-1 на выходе четырех сигнальных каналов после операции sign(Eh) получают столбец:
канала h: 1 2 3 4
sign(Eh): [0 0 0 1]T.
При передаче символов а1n=-1, а2n=-1 и а3n=-1 на выходе четырех сигнальных каналов после операции sign(Eh) получают столбец:
канала h: 1 2 3 4
sign(Eh): [0 0 0 -1]T.
Таким образом, возможные выходные эффекты сигнальных каналов после операции sign(Eh) описываются матрицей 4×8:

Формируют таблицу восстановления переданных информационных символов а1n, a2n, a3n:
| ht |
1 |
2 |
3 |
4 |
| (qh)t |
+1 |
-1 |
+1 |
-1 |
+1 |
-1 |
+1 |
-1 |
| (a1n, a2n, a3n)t |
1, 1, 1 |
1, 0, 1 |
1, 1, 0 |
1, 0, 0, |
0, 1, 1 |
0, 0, 1 |
0, 1, 0 |
0, 0, 0 |
Здесь индекс t у значений h и qh означает, что это табличные значения.
Для восстановления переданных информационных символов а1n, а2n, а3n используют единичную матрицу размером 4×4:

При передаче информационных символов а1n, a2n, a3n с выхода четырех сигнальных каналов на приемной стороне принимают вектор-столбец , осуществляют операцию его перемножения с матрицей :

Определяют значение h (номер канала), при котором qh 0.
Далее осуществляют сравнение значения h, при котором qh 0, и самого значения qh 0, полученных при приеме полезного сигнала, с такими же табличными значениями, и при их совпадении выбирают из таблицы соответствующие значения переданных информационных символов:

где символ « » означает сравнение значений.
То есть сигнал всегда будет приниматься поочередно одним из четырех сигнальных каналов. Признаком приема информационной единицы первой ИП является факт приема сигнала на первом или втором сигнальных каналах. Признаком приема информационного нуля первой ИП служит факт приема сигнала в третьем или четвертом сигнальных каналах. Признаками приема информационных единиц и нулей второй ИП служат знаки сигналов, принятых в любом из сигнальных каналов. Знак “+” соответствует информационной единице второй ИП, а знак “-” соответствует информационному нулю второй ИП. Признаком приема информационной единицы третьей ИП является факт приема сигнала на первом или третьем сигнальных каналах. Признаком приема информационного нуля третьей ИП является факт приема сигнала на втором или четвертом сигнальных каналах. Таким образом, на любом из сигнальных каналов одновременно могут быть приняты три информационных символа от трех независимых источников информации.
При этом тот сигнальный канал, в котором осуществляют прием, и парный ему сигнальный канал являются основными сигнальными каналами, а другие два сигнальных канала являются инверсными сигнальными каналами. Например, при приеме a1n=l и любых а2n и а3n основными каналами являются первый и второй сигнальные каналы, а третий и четвертый – инверсными сигнальными каналами. При приеме а1n=-1 и любых а2n и а3n основными каналами являются третий и четвертый сигнальные каналы, а первый и второй – инверсными сигнальными каналами.
Одновременно импульсы типа меандра с единичной амплитудой:

умножаются на результат перемножения копии второй ПСП с копиями первого и второго кодов Уолша:

Результатом (58) модулируют копию несущего колебания (1) и формируют два скалярных опорных сигнала для четырех опорных каналов, соответствующих четырем сигнальным каналам:


Первый и третий опорные каналы соответствуют первому и третьему сигнальным каналам и определяются перемножением поступающего в первый или третий сигнальные каналы полезного сигнала с опорным сигналом (59) и последующим суммированием получающихся элементов.
Второй и четвертый опорные каналы соответствуют второму и четвертому сигнальным каналам и определяются перемножением поступающего во второй или четвертый сигнальные каналы полезного сигнала с опорным сигналом (60) и последующим суммированием получающихся элементов.
В момент отсчета в опорных каналах формируются выходные эффекты:




Тогда с учетом соотношений (50)-(52), при передаче любой комбинации информационных символов, a1n, a2n и a3n

и выходным эффектом любого из сигнальных каналов является значение:

При поступлении на приемную сторону вместе с полезным сигналом сигналоподобной помехи, длительность которой равна Т0, а набор элементных векторов, характеризующих поляризационные состояния ее элементов и набор фаз высокочастотного заполнения элементарных импульсов, которыми являются элементы помехи , будут случайными, вследствие этих случайностей часть элементов помехи может попасть в первый и второй сигнальные каналы, а часть – в третий и четвертый сигнальные каналы.
В этом случае при передаче информационных символов a1n=l, a2n=1, a3n=1 в первом сигнальном канале в момент взятия отсчета сформируется сумма значений корреляционной функции полезного сигнала и помехи (сумма энергий полезного сигнала и части помехи, коррелированной с опорным сигналом данного сигнального канала):

В остальных сигнальных каналах выделяются энергии тех частей помехи, которые коррелированны с опорными сигналами соответствующих сигнальных каналов:

В опорных каналах также выделятся энергии тех частей помехи, которые коррелированны с опорными сигналами соответствующих опорных каналов:




Тогда выходные эффекты соответствующих сигнальных каналов описываются соотношениями:




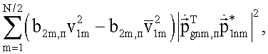
Анализ соотношений (72) – (75) показывает, что в них входят выражения: 


и 
величина которых в силу случайности элементов b2m,п и поляризационных состояний этих элементов будет близка к нулю. При этом полная режекция помехи в сигнальных каналах и, соответственно, одновременные нулевые эффекты на выходах опорных каналов осуществляются, либо в случае ортогональности элементных векторов элементов помехи и элементных векторов элементов опорных сигналов, либо при равенстве указанных выше корреляционных функций, либо при одновременном выполнении этих условий. Модуляция производящих ПСП кодами Уолша увеличивает вероятность режекции помехи по сравнению со способом-прототипом. Элементы информационных символов второй ИП биполярны, а значит, в узкополосных системах передачи информации на любой фиксированной поляризации при корреляционной обработке они будут суммироваться с взаимной компенсацией. То есть предлагаемый способ эффективен и в части электромагнитной совместимости с узкополосными средствами передачи информации.
В том случае, когда помех нет, но среда распространения вносит искажения в поляризационную структуру элементов информационных символов, при поступлении на приемную сторону сигнала, несущего символы а1n=1, a2n=1, a3n=1 в первом (основном) сигнальном канале, в момент взятия отсчета формируется эффект

где N/



Следовательно, в случае сильных искажений поляризационной структуры полезного сигнала при передаче любой группы информационных символов а1n, a2n, a3n ненулевые значения выходного эффекта возможны в парах взаимно инверсных сигнальных каналов , или , .
Одновременно в соответствующих опорных каналах в момент взятия отсчета формируются выходные эффекты со значениями, близкими к нулю:




После операции вычитания (72)-(75) в парах взаимно инверсных сигнальных каналов или осуществляют стандартную операцию вычитания величин и : если или , то значение принимается в качестве истинного, а значение заменяется нулем, то есть В противном случае – истинным значением принятого сигнала будет , а значение заменяется нулем. В случае равенства выходных эффектов в этих парах сигнальных каналов их выходные эффекты заменяются нулевыми значениями:

Если при этом искаженный полезный сигнал присутствовал в ситуации, когда либо то произойдет его стирание, что может служить признаком ошибки приема сигнала.
Тогда при тех же значениях поляризационных состояний элементов полезного и опорных сигналов, что и в примере для прототипа при приеме а1n=1 и любых a2n и a3n, в основном сигнальном канале получим

а в инверсном ему сигнальном канале, соответственно,

Учитывая, что , на выходе третьего (инверсного) сигнального канала будет нулевое значение, то есть .
Значит, в первом (основном) сигнальном канале за счет «перекачки» энергии элементов сигнала с основной поляризации на ортогональную поляризацию ее теряется около 27%, но нет дополнительных потерь, связанных с обработкой сигнала на приемной стороне. При этом на выходах четырех сигнальных каналов всегда будет либо единичный столбец, либо нулевой (соответствующий стертому канальному символу). Аналогичные результаты получаются и при приеме любых сочетаний информационных символов первой, второй и третьей ИП.
Таким образом, предложенный способ обеспечивает более эффективное использование свойств псевдослучайных кодов, что заключается в увеличении скорости передачи информации и позволяет увеличить количество абонентов в К/2 раз по сравнению со способом-прототипом. Кроме того, при больших поляризационных искажениях реализуется стирание ошибочных канальных символов, что позволяет обнаружить ошибочные символы в ИП.
Функциональная схема устройства для осуществления предлагаемого способа представлена на чертежах: фиг.1 – передающая часть, фиг.2 – приемная часть, где введены следующие обозначения:
1 и 48 – первый и второй генераторы несущего колебания (ГНК1 и ГНК2);
5 и 49 – первый и второй генераторы второй ПСП (Г2ПСП1 и Г2ПСП2);
2-4, 7, 9, 13, 23, 26, 28, 31, 33, 36, 38, 41, 43-46, 51, 53-55 – первый, , двадцать второй блоки перемножения (БП1 – БП3, БП4, БП5, БП6, БП7, БП8, БП9, БП10, БП11, БП12, БП13, БП14, БП15-БП18, БП19, БП20-БП22);
6 – блок объединения (БО);
10 и 47 – первый и второй генераторы первого кода Уолша (Г1КУ1 и Г1КУ2);
11 и 52 – первый и второй генераторы второго кода Уолша (Г2КУ1 и Г2КУ2);
8 – блок операции логического отрицания (НЕ);
12 – переключатель антенн с ортогональными поляризациями передающей стороны (ПАПер);
15 и 16 – первая и вторая передающие антенны с ортогональными поляризациями (АПер1 и АПер2);
19 и 22 – первый и второй переключатели антенн с ортогональными поляризациями приемной стороны (ПАПр1 и ПАПр2);
17 и 18 – первая и вторая приемные антенны с ортогональными поляризациями (АПр1 и АПр2);
14 и 20 – первый и второй генераторы первой ПСП (Г1ПСП1 и Г1ПСП2);
21 – инвертор;
24, 27, 29, 32, 34, 37, 39, 42 – первый,…, восьмой блоки суммирования (корреляторы) (БС1, БС2, БС3, БС4, БС5, БС6, БС7, БС8);
25, 30, 35, 40 – первый,…, четвертый блоки вычитания (БВ1, БВ2, БВ3, БВ4);
50 – генератор импульсов меандра (ГИМ);
56 – вычислитель;
57 – преобразователь импульсов отрицательной полярности в нулевой уровень (ПР);
58 – мультиплексор;
59 – демультиплексор.
Устройство, с помощью которого реализуется предлагаемый способ, представляет собой линию радиосвязи, которая содержит:
На передающей стороне – последовательно соединенные ГНК1 1, БП1 2 и ПАПер 12; последовательно соединенные Г2ПСП1 5, БП3 4 и БП2 3, выход которого соединен со вторым входом БП2 1; последовательно соединенные Г1ПСП1 14 и БП6 13, выход которого соединен со вторым, управляющим входом ПАПер 12, первый и второй выходы которого соединены со входами соответствующих антенн АПер1 и АПер2; последовательно соединенные Г1КУ1 10 и БП4 7, выход которого соединен с первым входом БО 6; последовательно соединенные Г2КУ1 11 и БП5 9, выход которого соединен со вторым входом БО 6, выход которого соединен со вторым входом БП2 3; выход ПР 57 соединен с первым входом БП5 9, а через блок НЕ 8 – с первым входом БП4 7. Для реализации способа по пп.1, 2 первые входы БП6 13, БПЗ 4 и вход ПР 57 являются, соответственно, входами для символов первой, второй и третьей ИП от трех разных источников. Для реализации способа по пп.1, 3 входами для символов первой, второй и третьей ИП являются соответственно первый, второй и третий выходы мультиплексора 58, вход которого является входом для символов исходной ИП от одного источника.
На приемной стороне – последовательно соединенные Г1ПСП2 20 и инвертор 21, выход которого соединен с третьим управляющим входом ПАПр2 22; последовательно соединенные БП7 23, БС1 24 и БВ1 25, выход которого соединен со вторым входом вычислителя 56; последовательно соединенные БП8 26 и БС2 27, выход которого соединен со вторым входом БВ1 25; последовательно соединенные БП9 28, БС3 29 и БВ2 30, выход которого соединен с первым входом вычислителя 56; последовательно соединенные БП10 31 и БС4 32, выход которого соединен со вторым входом БВ2 30; последовательно соединенные БП11 33, БС5 34 и БВ3 35, выход которого соединен с четвертым входом вычислителя 56; последовательно соединенные БП12 36 и БС6 37, выход которого соединен со вторым входом БВ3 35; последовательно соединенные БП13 38, БС7 39 и БВ4 40, выход которого соединен с третьим входом вычислителя; последовательно соединенные БП14 41 и БС8 42, выход которого соединен со вторым входом БВ4 40; первый выход Г1ПСП2 20 соединен с третьим, управляющим входом ПАПр1 19, выход которого соединен с первыми входами БП7 23, БП8 26, БП9 28 и БП10 31, первый сигнальный вход ПАПр1 19 соединен с выходом антенны АПр1 17 и с первым сигнальным входом ПАПр2 22, второй сигнальный вход ПАПр1 19 соединен с выходом антенны АПр2 18 и вторым сигнальным входом ПАПр2 22, выход которого соединен с первыми входами БП11 33, БП12 36, БП13 38 и БП14 41, второй вход которого соединен со вторым выходом БП21 54, первый выход которого соединен со вторым входом БП10 31, второй вход – со вторым выходом ГИМ 50, а первый вход – со вторым входом БП13 38 и выходом БП20 53, первый выход ГИМ 50 соединен со вторым входом БП15 43, первый выход которого соединен со вторым входом БП8 26, второй выход – со вторым входом БП12 36, а первый вход – со вторым входом БП7 23 и выходом БП16 44; первый выход ГНК2 48 соединен с первыми входами БП16 44 и БП17 45, первый выход которого соединен со вторым входом БП9 28, а второй вход – с первым выходом БП19 51, второй выход которого соединен со вторым входом БП20 53, второй вход – с выходом Г2КУ2 52, а первый вход – со вторым выходом Г2ПСП2 49, первый выход которого соединен с первым входом БП18 46, второй вход которого соединен с выходом Г1КУ2 47, первый выход – со вторым входом БП16 44, а второй выход – со вторым входом БП22 55, выход которого соединен со вторым входом БП11 33, а первый вход – со вторым выходом ГНК2 48 и первым входом БП20 53.
Для реализации способа по пп.1, 2 первый, второй и третий выходы вычислителя 56 являются соответствующими выходами приемной части устройства.
Для реализации способа по пп.1, 3 первый, второй и третий выходы вычислителя 56 соединены с соответствующими входами демультиплексора 59, выход которого является выходом приемной части устройства.
В качестве примера опишем работу линии радиосвязи, с помощью которой реализуется предлагаемый способ, для случая передачи сигнала без помех и поляризационных искажений.
На передающей стороне – с выхода Г2ПСП1 5 на второй вход БП3 4 подается вторая ПСП с длительностью элемента 0=T0/N. Одновременно на первый вход БП3 4 поступают биполярные импульсы двоичной второй ИП длительностью Т0. В то же время, биполярные импульсы двоичной третьей ИП длительностью Т0 поступают на вход блока ПР 57, где происходит преобразование импульсов отрицательной полярности в нулевой уровень, в результате чего с выхода ПР 57 на вход блока НЕ 8 и первый вход БП5 9 поступают однополярные импульсы третьей ИП. При этом на второй вход БП5 9 с выхода Г2КУ1 11 поступают элементы второго кода Уолша, длительность которого также равна Т0. На первый вход БП4 7 с выхода блока НЕ 8 поступают импульсы третьей ИП, в которой блоки единиц стали блоками нулей, а блоки нулей – блоками единиц, на второй вход БП4 7 с выхода Г1КУ1 10 поступают элементы первого кода Уолша. С выходов БП4 7 и БП5 9 на соответствующие первый и второй входы БО 6 поступают результаты перемножения единиц третьей ИП с первым кодом Уолша и результаты перемножения нулей третьей ИП со вторым кодом Уолша; результат объединения с выхода БО 6 поступает на второй вход БП2 3, на первый вход которого с выхода БП3 4 поступает результат перемножения импульса второй ИП с элементами второй ПСП. С выхода БП2 3 на второй вход блока БП1 2 поступает производная ПСП, на его первый вход с выхода ГНК 1 поступает несущее колебание, тогда с выхода БП1 2 на первый, сигнальный вход ПАПер 12 поступает широкополосный фазоманипулированный сигнал. Одновременно на первый вход БП6 13 поступают биполярные импульсы двоичной первой ИП длительностью Т0, на второй вход БП6 13 с выхода Г1ПСП1 14 поступают элементы первой ПСП; в результате их перемножения с выхода БП6 13 на второй, управляющий вход ПАПер 12 поступает ПСП, управляющая переключением входов ортогонально поляризованных передающих антенн АПер1 15 и АПер2 16 в зависимости от знака элемента первой ПСП. В результате в канал связи излучается векторный широкополосный фазоманипулированный сигнал, несущий канальный символ с восемью возможными состояниями (три информационных символа трех ИП), элементы которого передаются на ортогональных поляризациях.
На приемной стороне – элементы радиосигнала, переданные на основной поляризации с выхода антенны АПр1 17(основной поляризации), поступают на первые, сигнальные входы блоков ПАПр1 19 и ПАПр2 22, а элементы радиосигнала, переданные на ортогональных поляризациях, с выхода антенны АПр2 18 (ортогональной поляризации) поступают на вторые сигнальные входы ПАПр1 19 и ПАПр2 22. Одновременно с первого выхода Г1ПСП2 20 на третий, управляющий вход ПАПр1 19 поступают элементы первой ПСП, управляющей переключением выходов ортогонально поляризованных антенн АПр1 17 и АПр2 18 в блоке ПАПр1 19. Со второго выхода Г1ПСП2 20 через инвертор 21 на третий, управляющий вход ПАПр2 22 поступают элементы инвертированой первой ПСП, управляющей переключением выходов ортогонально поляризованных приемных антенн АПр1 17 и АПр2 18 в блоке ПАПр2 22. Сигнал на выходе ПАПр1 19 будет только тогда, когда будет передана единица из первой ИП, при этом выход ПАПр2 22 будет заперт. При передаче нуля первой ИП сигнал появится на выходе ПАПр2 22, а выход блока ПАПр1 19 будет заперт. Одновременно с первого и второго выходов Г2ПСП2 49 на первые входы БП18 46 и БП19 51 соответственно поступают элементы второй ПСП, на второй вход БП18 46 с выхода Г1КУ2 47 поступают элементы первого кода Уолша, на второй вход БП19 51 с выхода Г2КУ2 52 поступают элементы второго кода Уолша; с первых выходов БП18 46 и БП19 51 результаты перемножения поступают соответственно на вторые входы БП16 44 и БП17 45, а со вторых выходов БП18 46 и БП19 51 эти же результаты поступают соответственно на вторые входы БП22 55 и БП20 53. С первого и второго выходов ГНК2 48 несущее колебание поступает соответственно на первые входы БП16 44, БП17 45 и БП20 53, БП22 55. С выходов блоков БП16 44, БП17 45 и БП22 55, БП20 53 на вторые входы соответственно блоков БП7 23, БП9 28 и БП11 33, БП13 38 поступают скалярные опорные сигналы соответственно первого, второго и третьего, четвертого сигнальных каналов, которые в совокупности с результатами управления первой ПСП и ее инверсии переключением выходов антенн АПр1 17 и АПр2 18 в ПАПр1 19, ПАПр2 22 образуют векторный опорный сигнал приемной антенной системы. В то же время с первого и второго выходов ГИМ 50 на вторые входы блоков БП15 43 и БП21 54 соответственно поступит импульс типа меандра с периодом Т0, на первые входы БП15 43 и БП21 54 с выходов БП16 44 и БП20 53 соответственно поступят скалярные опорные сигналы первого и четвертого сигнальных каналов. Тогда с первого и второго выходов БП15 43 на вторые входы БП8 26 и БП12 36 соответственно поступит скалярный опорный сигнал для первого и третьего опорных каналов, соответствующих первому и третьему сигнальным каналам. С первого и второго выходов БП21 54 на вторые входы БП10 31 и БП14 41 соответственно поступит скалярный опорный сигнал для второго и четвертого опорных каналов, соответствующих второму и четвертому сигнальным каналам. С выходов БС1 24 и БС2 27 соответственно на первый и второй входы БВ1 25 поступят результаты корреляционной обработки полезного сигнала в первом сигнальном и первом опорном каналах, результат вычитания с выхода БВ1 25 поступает на второй вход вычислителя 56. Аналогично результаты вычитания выходных эффектов сигнальных и соответствующих им опорных каналов с выходов блоков БВ2 30, БВ3 35 и БВ4 40 поступают соответственно на первый, четвертый и третий входы вычислителя 56, в котором осуществляются операции (82), операции взятия знака для выходного эффекта каждого сигнального канала и операции (55), (56). В результате на первом, втором и третьем выходах вычислителя 56 получаются переданные символы соответствующих первой, второй и третьей ИП, и в случае реализации способа по пп.1, 2 подаются получателю информации. В случае реализации способа по пп.1, 3 сигналы с выходов вычислителя 56 подаются на соответствующие входы демультиплексора 59, на выходе которого получается переданная исходная ИП, которая подается получателю информации.
Работа устройства, с помощью которого реализуется предлагаемый способ, в случае воздействия сигналоподобных помех или в случае искажения поляризационной структуры элементов широкополосного сигнала описывается аналогично.
Вычислитель 56 может быть реализован на специализированном микроконтроллере, реализация остальных блоков не вызывает затруднений, т.к. они широко описаны в технической литературе.
Таким образом, устройство для реализации предлагаемого способа позволяет выполнять все требования предлагаемого способа и обеспечивает по сравнению со способом-прототипом увеличение количества абонентов в К/2 раз, передачу одним векторным сигналом трех информационных символов из трех различных информационных последовательностей и стирание ошибочных канальных символов при больших поляризационных искажениях сигналов.
Формула изобретения
1. Способ радиосвязи с множественным доступом, включающий на передающей стороне – генерирование несущего колебания для передачи полезного сигнала, генерирование первой и второй псевдослучайных последовательностей (ПСП) одинаковой длины, но с разным набором элементов, получение двоичных первой и второй информационных последовательностей (ИП), состоящих из биполярных импульсов одинаковой длительности, но с разным набором элементов, перемножение второй ПСП с символами второй ИП, в результате чего получается вторая ПСП, модулированная символами второй ИП, перемножение первой ПСП с символами первой ИП, в результате чего получается первая ПСП, модулированная символами первой ИП для управления поляризационными состояниями элементов информационных символов второй ИП; на приемной стороне – генерирование копии несущего колебания, копии первой ПСП и ее инверсии, копии второй ПСП, видеоимпульсов типа меандра с периодом, равным длительности информационных импульсов, отличающийся тем, что на передающей стороне первая и вторая ПСП являются нелинейными, одновременно с первой и второй ИП получают двоичную третью ИП, состоящую из биполярных импульсов такой же длительности, как у первой и второй ИП, но с другим набором элементов, затем в третьей ИП отрицательные импульсы преобразуют в нулевой уровень, в результате чего получают третью ИП в виде потока однополярных импульсов, генерируют два кода Уолша из одного ансамбля такой же длительности, что и первая и вторая ПСП, перемножают первый код Уолша с символами третьей ИП, а второй код Уолша – с символами инвертированной третьей ИП, далее результаты вышеуказанных перемножений объединяют, в результате чего получают третью ИП, модулированную двумя кодами Уолша, которую далее перемножают с полученным ранее результатом перемножения второй ПСП с символами второй ИП, в результате чего получают производную ПСП с корреляционными свойствами второй ПСП, являющейся производящей, которой модулируют несущее колебание, в результате чего получают полезный сигнал, являющийся широкополосным фазоманипулированным векторным сигналом, несущим канальный символ с восемью возможными состояниями, соответствующий информационным символам второй и третьей ИП, элементы которого затем передают в канал связи на ортогональных поляризациях по псевдослучайному закону в соответствии с первой ПСП; на приемной стороне копию первой ПСП и ее инверсию используют для согласования поляризационных состояний элементов векторного опорного сигнала с поляризационными состояниями элементов поступающего векторного полезного сигнала, в то же время копию второй ПСП перемножают с копиями первого и второго кодов Уолша, модулируют результатами перемножения копию несущего колебания, результаты модуляции используют в качестве скалярных опорных сигналов при корреляционной обработке полезного сигнала для выделения информационных единиц и нулей в первой, второй и третьей ИП в четырех сигнальных каналах в соответствии с таблицей восстановления, одновременно видеоимпульсами типа меандра модулируют скалярные опорные сигналы сигнальных каналов, в результате чего получают скалярные опорные сигналы для корреляционной обработки полезного сигнала в четырех опорных каналах, соответствующих четырем сигнальным каналам, при этом в четырех опорных каналах выделяют части сигналоподобных помех, коррелированные с полезным сигналом в соответствующих сигнальных каналах и вычитают их из выходных эффектов этих сигнальных каналов, вычитают попарно величины выходных эффектов первого и третьего, второго и четвертого сигнальных каналов друг из друга, в случае их равенства выходные эффекты обнуляют, что эквивалентно стиранию канальных символов, если они не равны, то меньший из них обнуляют, а больший оставляют без изменения вместе со знаком, далее осуществляют операцию взятия знака выходных эффектов сигнальных каналов и получают канальный символ в виде столбца, перемножают его с единичной матрицей размера 4×4, определяют номер того столбца единичной матрицы, при котором результат перемножения ненулевой, находят в вышеупомянутой таблице восстановления такой же номер столбца, в этом столбце таблицы восстановления находят значение, равное результату перемножения принятого столбца и столбца единичной матрицы, и в соответствии с этим в таблице восстановления находят символы первой, второй и третьей ИП, соответствующие переданным.
2. Способ по п.1, отличающийся тем, что на передающей стороне двоичные первую, вторую и третью ИП получают от трех разных источников биполярных импульсов, при этом на приемной стороне найденные по таблице восстановления символы первой, второй и третьей ИП подают получателю информации.
3. Способ по п.1, отличающийся тем, что на передающей стороне двоичные первую, вторую и третью ИП получают путем мультиплексирования двоичной исходной ИП в виде биполярных импульсов от одного источника; при этом на приемной стороне из найденных по таблице восстановления символов первой, второй и третьей ИП операцией демультиплексирования получают исходную ИП, которую подают получателю информации.
РИСУНКИ
|
|