|
(21), (22) Заявка: 2008110346/06, 08.08.2008
(24) Дата начала отсчета срока действия патента:
08.08.2008
(46) Опубликовано: 10.04.2010
(56) Список документов, цитированных в отчете о поиске:
Габрианович Б.Н., Рухадзе В.К. Исследование межканального перемешивания теплоносителя в пучках гладких стержней с помощью фреонового метода. Сб. трудов межотраслевой конференции «Теплофизические исследования-76», Обнинск 1977. – М.: ВИМИ, 1977, с.23-33. Дзюбенко Б.В., Ашмантис Л.В., Сегаль М.Д. Моделирование стационарных и переходныхтеплогидравлических процессов в каналах сложной формы. – Вильнюс: Pradai, 1994, с.101-112. JP 9210750 А, 15.08.1997. JP 5005748 А, 14.01.1993.
Адрес для переписки:
249033, Калужская обл., г.Обнинск, пл. Бондаренко, 1, ФГУП “ГНЦ РФ-ФЭИ”, патентный отдел
|
(72) Автор(ы):
Дельнов Валерий Николаевич (RU), Габрианович Борис Николаевич (RU)
(73) Патентообладатель(и):
Федеральное государственное унитарное предприятие “Государственный научный центр Российской Федерации-Физико-энергетический институт имени А.И. Лейпунского” (RU)
|
(54) СПОСОБ ОПРЕДЕЛЕНИЯ ОТНОСИТЕЛЬНОГО КОЭФФИЦИЕНТА МЕЖКАНАЛЬНОГО МАССООБМЕНА В ПУЧКЕ СТЕРЖНЕЙ
(57) Реферат:
Изобретение относится к измерительной технике. При определении относительного коэффициента межканального массообмена в пучке стержней выполняют следующие операции. Прокачивают воздушный поток через каналы пучка стержней. Впускают газообразный химический трассер в канал пучка стержней. Отбирают пробы отборным зондом из потока воздуха в различных точках по длине каналов пучка стержней. Подают пробу в систему анализа проб и прокачивают ее через датчик галоидного течеискателя. Определяют по показаниям измерительного блока галоидного течеискателя по градуировочной характеристике концентрации трассера в пробе. Вычисляют относительную концентрацию трассера в каналах пучка и среднюю относительную концентрацию трассера в рядах идентичных каналов пучка, соответствующих идентичным поперечным сечениям его проточной части. Относительную длину характерного участка пучка стержней определяют по соотношениям с учетом относительной длины каналов пучка, на которой трассер из исходного канала пучка вторично попадает в исходный канал, и относительного шага периодического изменения ориентации поперечного сечения стержней. Определяют относительный коэффициент межканального массообмена в пределах характерного участка пучка стержней по приближенным соотношениям с учетом относительных концентраций трассера в исходном канале пучка, средних относительных концентраций трассера соответственно в двух рядах пучка и расстояний от сечения впуска трассера в канал пучка соответственно до входного и выходного поперечных сечений характерного участка пучка. Изобретение позволяет повысить точность определения относительного коэффициента межканального массообмена в пучках стержней. 1 н. и 6 з.п. ф-лы.
Изобретение относится к измерительной технике и может быть использовано при определении относительного коэффициента межканального массообмена в пучках стержней.
В известном способе относительный коэффициент межканального массообмена в пучке гладких стержней определяют путем прокачки через его проточную часть воздушного потока, подачи в поток воздуха газообразного химического трассера, измерения профилей концентраций химического трассера по длине различных каналов пучка стержней, сравнения экспериментальных профилей концентраций трассера с номограммой, полученной путем решения системы дифференциальных уравнений массообмена для области, включающей 84 ячейки вокруг канала впуска трассера.
Недостатком известного способа является то, что он не может быть использован для определения коэффициента межканального массообмена в пучках стержней с относительно большой длиной из-за того, что в выходной части пучка происходит полное перемешивание трассера с потоком воздуха в поперечном сечении проточной части.
Известен способ определения эффективного коэффициента межканального массообмена в пучках витых труб [Дзюбенко Б.В., Ашмантис Л.-В., Сегаль М.Д. Моделирование стационарных и переходных теплогидравлических процессов в каналах сложной формы. Вильнюс. Pradai, 1994 г. С.101-112].
В указанном способе эффективный коэффициент межканального массообмена определяют при прокачке теплоносителя через экспериментальный участок методом диффузии тепла от группы витых труб, нагреваемых электрическим током. В поперечном сечении трубного пучка создают неравномерность поля энерговыделения или теплоотвода, которая формирует неравномерность поля температуры теплоносителя. Для параметров, реализованных в эксперименте, рассчитывают поля температур теплоносителя в выходном сечении и в том же сечении экспериментально термопарами измеряют поле температуры теплоносителя. Экспериментально определяют безразмерную температуру теплоносителя в различных точках выходного поперечного сечения пучка в ядре потока. На графики наносят экспериментальные поля температур теплоносителя и результаты расчета температур теплоносителя при различных безразмерных коэффициентах межканального массообмена. Эффективный коэффициент межканального массообмена определяют путем сопоставления расчетных и экспериментальных профилей температур в выходном сечении пучка стержней.
Недостатком способа является относительно высокая погрешность определения эффективного коэффициента межканального массообмена в трубных пучках с интенсивным процессом перемешивания теплоносителя. Указанная погрешность обусловлена тем, что при относительно больших длинах пучка стержней на выходе измеряют температуру теплоносителя, практически соответствующую его среднесмешанной температуре. При этом сопоставление измеренных и расчетных профилей температур теплоносителя приводит к занижению значения коэффициента межканального массообмена.
Наиболее близким по технической сущности к заявляемому техническому решению является способ определения относительного коэффициента межканального массообмена в пучках круглых цилиндрических стержней с треугольной компоновкой [Габрианович Б.Н., Рухадзе В.К. Исследование межканального перемешивания теплоносителя в пучках гладких стержней с помощью фреонового метода. Сб. трудов межотраслевой конференции «Теплофизические исследования-76». г.Обнинск. 1977. М.: ВИМИ, 1977. С.23-33].
В указанном способе для определения относительного коэффициента межканального массообмена воздушный поток прокачивают через каналы пучка стержней, фреоновый трассер подают в поток воздуха канала пучка стержней, с помощью отборного зонда отбирают пробу из различных точек по длине каналов пучка, подают пробу в систему анализа проб и прокачивают ее через датчик галоидного течеискателя, по показаниям измерительного блока галоидного течеискателя по градуировочной характеристике определяют концентрации трассера в воздушном потоке. Определяют относительные концентрации трассера в каналах пучка. Вычисляют средние относительные концентрации трассера в рядах идентичных каналов пучка, соответствующие идентичным поперечным сечениям его проточной части. Относительный коэффициент межканального массообмена определяют с использованием относительных концентраций трассера в исходном пучке и средних относительных концентраций трассера в рядах сходственных каналов по соотношению, полученному с использованием дифференциального уравнения межканального обмена, записанного для пучка стержней с треугольной компоновкой.
Недостатком известного способа является относительно высокая погрешность определения относительного коэффициента межканального массообмена при его использовании для пучков стержней с интенсивным перемешиванием теплоносителя в проточной части. Указанный недостаток обусловлен отсутствием ограничений по выбору характерного участка пучка стержней, на котором следует производить определение указанного коэффициента.
Технический результат изобретения состоит в повышении точности определения относительного эффективного коэффициента межканального массообмена в пучках стержней.
Для исключения указанного недостатка в способе определения относительного коэффициента межканального массообмена в пучке стержней, включающем прокачку воздушного потока через каналы пучка, впуск газообразного химического трассера в канал пучка, отбор пробы из потока воздуха отборным зондом в различных точках по длине каналов пучка, подачу пробы в систему анализа проб и прокачку ее через датчик галоидного течеискателя, определение по показаниям измерительного блока галоидного течеискателя по градуировочной характеристике концентрации трассера в пробе, определение относительной концентрации трассера в каналах пучка, вычисление средней относительной концентрации трассера в рядах идентичных каналов пучка, соответствующей идентичным поперечным сечениям его проточной части, определение относительного коэффициента межканального массообмена путем подстановки экспериментальных относительных концентраций химического трассера в приближенное соотношение, полученное из дифференциального уравнения межканального массообмена для случая впуска химического трассера в канал пучка с треугольной компоновкой стержней предлагается:
– относительный коэффициент межканального массообмена определять в пределах характерного участка пучка стержней;
– в качестве характерного участка выбирать участок, на котором в исходном канале и каналах первого ряда пучка имеет место трассер, в исходном канале пучка имеет место уменьшение концентрации трассера по ходу воздушного потока, в поперечных сечениях каналов пучка относительная концентрация трассера в исходном канале пучка выше, чем в каналах первого ряда пучка, а в каналах первого ряда пучка концентрация трассера выше, чем в каналах второго ряда пучка;
– в результате сравнения друг с другом распределений относительной концентрации трассера в каналах пучка определять относительную длину каналов пучка, на которой трассер из одного канала пучка попадает в другой смежный с ним канал;
– при условии наличия трассера в исходном канале пучка и каналах первого ряда пучка, и отсутствия трассера в каналах второго ряда пучка относительный коэффициент межканального массообмена в пучке стержней определять по приближенному соотношению, учитывающему относительные концентрации трассера в исходном канале пучка, средние относительные концентрации трассера соответственно в каналах первого ряда пучка, относительные расстояния от сечения впуска трассера в канал пучка стержней соответственно до входного и выходного поперечных сечений характерного участка пучка;
– при условии наличия трассера в исходном канале пучка, каналах первого и второго рядов пучка и отсутствия трассера в каналах третьего ряда пучка относительный коэффициент межканального массообмена определять по приближенному соотношению, учитывающему относительные концентрации трассера в исходном канале пучка, средние относительные концентрации трассера соответственно в каналах первого и второго рядов пучка, относительные расстояния от сечения впуска трассера в канал пучка соответственно до входного и выходного поперечных сечений характерного участка пучка;
– определять относительную длину каналов пучка, на которой трассер их исходного канала пучка в результате прохождения вокруг стержня вторично попадает в исходный канал;
– определять относительную длину каналов пучка, на которой трассер из исходного канала пучка вторично попадает в исходный канал, по соотношению с учетом числа зазоров между стержнем и окружающими его стержнями в центральной части пучка и относительной длины канала пучка, на которой трассер из одного канала пучка попадает в другой смежный с ним канал;
– в пучке стержней, у которых относительный шаг периодического изменения ориентации поперечного сечения стержней больше, меньше или равен относительной длине канала пучка, на которой трассер из исходного канала пучка вторично попадает в исходный канал, относительную длину характерного участка пучка выбирать соответственно с учетом соотношений, учитывающих относительную длину каналов пучка стержней, на которой трассер из исходного канала пучка вторично попадает в исходный канал и относительного шага периодического изменения ориентации поперечного сечения стержней;
– отсчет рядов каналов в пучке начинать от исходного канала пучка;
– в качестве масштабного фактора при определении относительных коэффициента межканального массообмена, шага периодического изменения ориентации поперечного сечения стержней, длин и расстояний в пучке использовать характерный размер элементов его конструкции, а при определении относительной концентрации трассера – его характерную концентрацию.
В частных случаях исполнения способа предлагается:
– в качестве характерного размера элементов конструкции пучка использовать наружный описанный диаметр стержня;
– в качестве химического трассера использовать газообразный фреон;
– в качестве характерной концентрации при определении относительной концентрации трассера использовать максимальную концентрацию трассера в канале пучка, в который осуществляется впуск трассера, или среднесмешанную концентрацию трассера в проточной части пучка;
– в пучках стержней некруглого поперечного сечения с продольной осевой закруткой в качестве шага периодического изменения ориентации их поперечного сечения использовать шаг продольной осевой закрутки стержней, а в пучках круглых цилиндрических стержней со спиральными дистанционирующими ребрами на поверхности – шаг продольной спиральной навивки дистанционирующих ребер.
Способ определения относительного коэффициента межканального массообмена в пучке стержней состоит в следующем.
Воздушный поток прокачивают через каналы пучка стержней.
Газообразный химический трассер впускают в канал пучка стержней. В частном случае реализации способа в качестве химического трассера применяют газообразный фреон.
Пробы из потока воздуха отбирают отборным зондом в различных точках по длине каналов пучка.
Отобранную пробу подают в систему анализа проб и прокачивают ее через датчик галоидного течеискателя.
По показаниям измерительного блока галоидного течеискателя по градуировочной характеристике определяют концентрацию трассера в пробе.
Определяют относительную концентрацию трассера в каналах пучка.
Вычисляют среднюю относительную концентрацию трассера в рядах идентичных каналов пучка, соответствующую идентичным поперечным сечениям его проточной части.
Относительный коэффициент межканального массообмена определяют в пределах характерного участка проточной части пучка стержней.
В качестве характерного участка выбирают участок, который отвечает следующим условиям:
– в исходном канале пучка и каналах первого ряда пучка имеет место трассер;
– в исходном канале имеет место уменьшение концентрации трассера по ходу воздушного потока;
– в поперечных сечениях каналов пучка стержней относительная концентрация трассера в исходном канале пучка выше, чем в каналах первого ряда пучка;
– в каналах первого ряда пучка концентрация трассера выше, чем в каналах второго ряда пучка.
В результате сравнения друг с другом распределений относительной концентрации трассера в каналах пучка определяют относительную длину каналов пучка стержней, на которой трассеор из одного канала пучка попадает в другой смежный с ним канал.
Относительный коэффициент межканального массообмена определяют путем подстановки экспериментальных относительных концентраций химического трассера в приближенное соотношение, полученное из дифференциального уравнения межканального массообмена для случая впуска химического трассера в каналы пучка с треугольной компоновкой стержней.
Для определения относительного эффективного коэффициента межканального масссообмена используют одно из двух соотношений в зависимости от условий, характерных для процесса перемешивания воздушного потока в проточной части пучка.
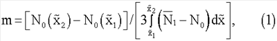
При условии наличия трассера в исходном канале пучка и каналах первого ряда пучка и отсутствия трассера в каналах второго ряда пучка относитенльный коэффициент межканального массообмена в пучке стержней определяют по приближенному соотношению:

При условии наличия трассера в исходном канале пучка, каналах первого и второго рядов пучка и отсутствия трассера в каналах третьего ряда пучка относительный коэффициент межканального массообмена в пучке стержней определяют по приближенному соотношению:

В соотношениях (1) и (2) приняты следующие обозначения:
m – относительный коэффициент межканального массообмена; N0 – относительная концентрация трассера в исходном канале пучка стержней; и – средние относительные концентрации трассера соответственно в каналах первого и второго рядов пучка стержней; и – относительные расстояния от сечения впуска трассера в канал пучка стержней соответственно до входного и выходного поперечных сечений характерного участка пучка.
Затем определяют относительную длину каналов пучка стержней, на которой трассер из исходного канала пучка в результате прохождения вокруг стержня вторично попадает в исходный канал, по соотношению

где – относительная длина каналов пучка стержней, на которой трассер из исходного канала пучка вторично попадает в исходный канал, n – число зазоров между стержнем и окружающими его стержнями в центральной части пучка стержней; – относительная длина канала пучка стержней, на которой трассер из одного канала пучка попадает в другой смежный с ним канал.
Далее в пучке стержней, у которых относительный шаг периодического изменения ориентации поперечного сечения стержней больше, меньше или равен относительной длине канала пучка, на которой трассер из исходного канала пучка вторично попадает в исходный канал, относительную длину характерного участка пучка выбирают соответственно с учетом соотношений



где – относительная длина характерного участка пучка стержней; – относительная длина каналов пучка стержней, на которой трассер из исходного канала пучка вторично попадает в исходный канал; – относительный шаг периодического изменения ориентации поперечного сечения стержней.
Отсчет рядов каналов в пучке стержней начинают от исходного канала пучка. В соотношениях (4)-(6) при выборе минимальных значений исходили из того условия, что, начиная с поворота положения ориентации поперечного сечения стержней на 60°, обеспечивается попадание трассера из одного канала пучка в другой смежный канал. При выборе максимальных значений в указанных соотношениях
исходили из того, что на длине характерного участка пучка стержней трассер из исходного канала пучка в результате процессов межканального массообмена и массопереноса не должен вторично попадать в исходный канал.
В пучках стержней некруглого поперечного сечения с продольной осевой закруткой в качестве шага периодического изменения ориентации поперечного сечения стержней используют шаг продольной осевой закрутки стержней, а пучках круглых цилиндрических стержней с дистанционирующими спиральными ребрами на поверхности используют шаг продольной спиральной навивки ребер.
Отсчет рядов каналов проточной части пучка начинают от канала впуска трассера. В качестве масштабного фактора при определении относительных коэффициента межканального массообмена, шага периодического изменения ориентации поперечного сечения стержней, длин, расстояний в пучке используют характерный размер элементов его конструкции, а при определении относительной концентрации трассера – его характерную концентрацию. В частном случае в качестве характерного размера используют наружный описанный диаметр стержня, а в качестве характерной концентрации трассера – максимальную концентрацию трассера в канале впуска или среднюю в поперечном сечении прочной части пучка концентрацию трассера.
Следует отметить, что определяемый относительный коэффициент межканального массообмена является эффективным коэффициентом, т.к., например, в пучках стержней некруглого поперечного сечения с продольной осевой закруткой или в пучках цилиндрических стержней со спиральными дистанционирующими ребрами конвективная, турбулентная и молекулярная составляющие межканального перемешивания изменяются вдоль зазоров между стержнями от нулевого (в местах касания ребер или стержней) до максимального значения.
Пример конкретного выполнения способа
Через каналы пучков цилиндрических стержней овального поперечного сечения с продольной осевой закруткой прокачивают воздушный поток. Пучок имеет следующие конструктивные характеристики:
– число стержней – 37;
– отношение длины стержня в пучке к его описанному диаметру – 130,
– отношение шага расположения стержней в треугольной решетке к описанному диаметру стержня – 1;
– отношение шага продольной осевой закрутки стержня к диаметру его описанной окружности – 6,8;
– во входном сечении пучка торцевые части стержней имеют идентичную ориентацию. В опытах имеют место следующие гидродинамические характеристики потока:
– среднесмешанная концентрация газообразного фреона – 0,943·10-2.
– число Рейнольдса в проточной части пучка – 8484.
Газообразный фреон впускают через капилляр в канал, расположенный в центральной части пучка.
Отборным зондом, наружный диаметр которого составляет 1,5 мм, производят отбор проб из воздушного потока по длине исходного канала пучка, каналов первого, второго и третьего рядов пучка. В каждом канале после впускного капилляра по ходу потока на длине с равномерным шагом по длине пучка производят по 20 отборов пробы.
Пробу подают в систему анализа проб и прокачивают ее через датчик галоидного течеискателя. По показаниям амперметра галоидного течеискателя по градуировочной характеристике, учитывающей взаимосвязь показаний измерительного блока с концентрацией трассера, определяют концентрацию трассера в отобранной пробе.
Относительную концентрацию трассера в каналах пучка определяют, используя в качестве масштабного фактора максимальную концентрацию трассера в потоке воздуха в канале, в который подают трассер. Вычисляют среднюю относительную концентрацию трассера в первом и втором рядах каналов пучка.
Относительную длину каналов пучка стержней на которой трассер из исходного канала пучка в результате прохождения вокруг стержня вторично попадает в исходный канал, определяют по соотношению (3). В данном соотношении для треугольной компоновки стержней в пучке n=6, . Полученное по соотношению (3) значение относительной длины каналов В исследуемом пучке стержней относительный шаг продольной осевой закрутки стержней меньше относительной длины каналов пучка стержней, на которой трассер из исходного канала пучка в результате прохождения вокруг стержня вторично попадает в исходный канал. В соответствии с этим относительную длину характерного участка пучка стержней определяют с учетом соотношения (5).
При условии наличия трассера в исходном канале и смежных с ним каналах, сообщенных с ним через зазор между идентичными стержнями, относительный коэффициент межканального массообмена в пучке идентичных стержней определяют по приближенному соотношению (1). Полученный коэффициент 
Отсчет рядов каналов в пучке стержней производят, начиная от исходного канала пучка.
В качестве масштабного фактора при определении относительного коэффициента межканального массообмена, шага продольной осевой закрутки стержней, длин и расстояний в пучке используют описанный диаметр стержня.
Полученный с помощью известного ранее способа относительный коэффициент межканального массообмена соответствуют диапазону значений от 0,024 до 0,54, т.е. максимальное и минимальное значения указанного коэффициента отличаются в 22,5 раза.
Использование предложенного способа позволяет повысить точность определения относительного коэффициента межканального массообмена.
Формула изобретения
1. Способ определения относительного коэффициента межканального массообмена в пучке стержней, включающий прокачку воздушного потока через каналы пучка стержней, впуск газообразного химического трассера в канал пучка стержней, отбор пробы из потока воздуха отборным зондом в различных точках по длине каналов пучка стержней, подачу пробы в систему анализа проб и прокачку ее через датчик галоидного течеискателя, определение по показаниям измерительного блока галоидного течеискателя по градуировочной характеристике концентрации трассера в пробе, определение относительной концентрации трассера в каналах пучка стержней, вычисление средней относительной концентрации трассера в рядах идентичных каналов пучка стержней, соответствующей идентичным поперечным сечениям его проточной части, определение относительного коэффициента межканального массообмена путем подстановки экспериментальных относительных концентраций химического трассера в приближенное соотношение, полученное из дифференциального уравнения межканального массообмена для случая впуска химического трассера в канал пучка с треугольной компоновкой стержней, отличающийся тем, что относительный коэффициент межканального массообмена определяют в пределах характерного участка пучка стержней, в качестве характерного участка выбирают участок, на котором в исходном канале и каналах первого ряда пучка стержней имеет место трассер, в исходном канале пучка стержней имеет место уменьшение концентрации трассера по ходу воздушного потока, в поперечных сечениях каналов пучка стержней относительная концентрация трассера в исходном канале пучка выше, чем в каналах первого ряда пучка, а в каналах первого ряда пучка концентрация трассера выше, чем в каналах второго ряда пучка, в результате сравнения друг с другом распределений относительной концентрации трассера в каналах пучка определяют относительную длину каналов пучка стержней, на которой трассер из одного канала пучка попадает в другой смежный с ним канал, при условии наличия трассера в исходном канале пучка стержней и каналах первого ряда пучка и отсутствия трассера в каналах второго ряда пучка и при условии наличия трассера в исходном канале пучка стержней, каналах первого и второго рядов пучка и отсутствия трассера в каналах третьего ряда пучка относительный коэффициент межканального массообмена в пучке стержней определяют соответственно по следующим приближенным соотношениям:

 где m – относительный коэффициент межканального массообмена; N0 – относительная концентрация трассера в исходном канале пучка стержней;
и – средние относительные концентрации трассера соответственно в каналах первого и второго рядов пучка стержней;
и – относительные расстояния от сечения впуска трассера в канал пучка стержней соответственно до входного и выходного поперечных сечений характерного участка пучка, затем определяют относительную длину каналов пучка стержней, на которой трассер из исходного канала пучка в результате прохождения вокруг стержня вторично попадает в исходный канал, по соотношению
 где – относительная длина каналов пучка стержней, на которой трассер из исходного канала пучка вторично попадает в исходный канал, n – число зазоров между идентичными стержнем и окружающими его стержнями в центральной части пучка стержней;
– относительная длина канала пучка стержней, на которой трассер из одного канала пучка попадает в другой смежный с ним канал, далее в пучке стержней, в которых относительный шаг периодического изменения ориентации поперечного сечения стержней больше, меньше или равен относительной длине канала пучка, на которой трассер из исходного канала пучка вторично попадает в исходный канал, относительную длину характерного участка пучка выбирают соответственно с учетом соотношений


 где – относительная длина характерного участка пучка идентичных стержней;
– относительная длина каналов пучка идентичных стержней, на которой трассер из исходного канала пучка вторично попадает в исходный канал;
– относительный шаг периодического изменения ориентации поперечного сечения стержней, причем отсчет рядов каналов в пучке идентичных стержней начинают от исходного канала пучка, в качестве масштабного фактора при определении относительных коэффициента межканального массообмена, шага периодического изменения ориентации поперечного сечения стержней, длин и расстояний в пучке используют характерный размер элементов его конструкции, а при определении относительной концентрации трассера -его характерную концентрацию.
2. Способ по п.1, отличающийся тем, что в пучке стержней некруглого поперечного сечения с продольной осевой закруткой в качестве характерного размера используют описанный диаметр стержней.
3. Способ по п.1, отличающийся тем, что в качестве химического трассера используют газообразный фреон.
4. Способ по п.1, отличающийся тем, что в качестве характерной концентрации трассера используют его максимальную концентрацию в канале, в который в впускают трассер.
5. Способ по п.1, отличающийся тем, что в качестве характерной концентрации трассера используют его среднесмешанную концентрацию в проточной части пучка.
6. Способ по п.1, отличающийся тем, что в пучках стержней некруглого поперечного сечения с продольной осевой закруткой в качестве шага периодического изменения ориентации поперечного сечения стержней используют шаг их продольной осевой закрутки.
7. Способ по п.1, отличающийся тем, что в пучках круглых цилиндрических стержней со спиральными дистанционирующими ребрами на поверхности в качестве шага периодического изменения ориентации поперечного сечения стержней используют шаг продольной спиральной навивки дистанционирующих ребер.
|