|
(21), (22) Заявка: 2007133847/28, 10.09.2007
(24) Дата начала отсчета срока действия патента:
10.09.2007
(43) Дата публикации заявки: 20.03.2009
(46) Опубликовано: 10.04.2010
(56) Список документов, цитированных в отчете о поиске:
RU 2177167 С2, 20.12.2001. RU 92015903 А, 20.03.1995. SU 1840365 A1, 27.09.2006. SU 1840576 A1, 27.09.2006. US 5666330 A, 09.09.1997. GB 1517661 A, 12.07.1978.
Адрес для переписки:
191187, Санкт-Петербург, наб. Кутузова, 10, Институт прикладной астрономии, А.М. Финкельштейну
|
(72) Автор(ы):
Ипатов Александр Васильевич (RU), Дикарев Виктор Иванович (RU), Койнаш Борис Васильевич (RU), Финкельштейн Андрей Михайлович (RU), Новиков Валерий Павлович (RU)
(73) Патентообладатель(и):
Российская Федерация, от имени которой выступает Министерство обороны Российской Федерации (RU), Институт прикладной астрономии Российской академии наук (RU)
|
(54) СИСТЕМА СИНХРОНИЗАЦИИ ЧАСОВ
(57) Реферат:
Изобретение относится к технике связи и может быть использовано в радиоинтерферометрии со сверхдлинными базами, в службе единого времени и частоты, а также для обмена конфиденциальной дискретной и аналоговой информацией между наземными пунктами, разнесенными на большие расстояния, с использованием геостационарного ИСЗ-ретранслятора и защитой указанной информации от несанкционированного доступа. Изобретение направлено на повышение помехоустойчивости и достоверности обмена конфиденциальной информацией между наземными пунктами путем подавления узкополосных помех. Этот результат обеспечивается за счет того, что система синхронизации часов содержит ИСЗ-ретранслятор, первый и второй наземные пункты, каждый из которых содержит эталон времени и частоты, первый и второй гетеродин, приемопередающую антенну, дуплексер, первый усилитель мощности, первый смеситель, усилитель первой промежуточной частоты, первый клиппер, первый блок памяти, коррелятор, генератор псевдошумового сигнала, переключатель, второй смеситель, усилитель второй промежуточной частоты, второй усилитель мощности, второй клиппер, второй блок памяти, селектор, первый и второй амплитудные ограничители, первый, второй и третий синхронные детекторы, аналоговый дескремблер, перемножитель, полосовой фильтр, первый, второй и третий фазовые детекторы, цифровой дескремблер, первый и второй фазовращатели на +30°, первый и второй фазовращатели на -30°, первый, второй, третий и четвертый блоки вычитания, первый и второй фазовращатели на +90°. Генератор псевдошумового сигнала содержит задающий генератор высокой частоты, источник дискретного сообщения, цифровой скремблер, фазовый манипулятор, источник аналогового сообщения, аналоговый скремблер, амплитудный модулятор и полосовой усилитель. Селектор содержит удвоитель фазы, первый и второй измерители ширины спектра, блок сравнения, пороговый блок и ключ. Аналоговый скремблер, использующий метод частотной инверсии, содержит тактовый генератор, делитель-формирователь, полосовой фильтр, балансный модулятор, аналоговый коммутатор, сумматор и фильтр низкой частоты. 10 ил.
Предлагаемая система относится к технике связи и может быть использована в радиоинтерферометрии со сверхдлинными базами, в службе единого времени и частоты, а также для обмена конфиденциальной дискретной и аналоговой информацией между наземными пунктами, разнесенными на большие расстояния, с использованием геостационарного ИС3-ретранслятора и защитой указанной информации от несанкционированного доступа.
Известны устройства синхронизации часов (авт.свид. СССР  591.799, 614.416, 970.300, 1.180.835, 1.244.632, 1.278.800; патенты РФ  2.001.423, 2.003.157, 2.040.035, 2.177.167; B.C. Губанов, А.М. Финкелштейн, П.А. Фридман. Введение в радиоастрономию. – М., 1983).
Из известных устройств наиболее близким к предлагаемой системе является «Устройство синхронизации часов» (патент РФ 2.177.167, G04С 11/02, 2000), которое и выбрано в качестве прототипа.
Указанное устройство обеспечивает сличение шкал времени, разнесенных на большое расстояние, и основано на использовании дуплексного метода связи между наземными пунктами через геостационарный ИСЗ-ретранслятор.
Основное достоинство дуплексного метода связи состоит в том, что в нем исключается длина трассы прохождения сигнала. Поэтому его точность в основном зависит от параметров бортового ретранслятора, типа используемого сигнала и техники измерения временных интервалов.
Известное устройство также позволяет осуществлять обмен конфиденциальной аналоговой и дискретной информацией между наземными пунктами с защитой от несанкционированного доступа и использованием двух частот f1, f2 и сложных сигналов с комбинированной фазовой манипуляцией и амплитудной модуляцией (ФМн-АМ).
Указанные сигналы являются широкополосными, ширина их спектра fc определяется длительностью Э элементарных посылок ( fc=1/ Э) и составляет десятки мегагерц.
Вследствие широкой полосы частот, используемых сложных ФМн-АМ-сигналов, в нее попадает множество узкополосных помех. Поэтому отсутствие в устройстве помехоподавляющих блоков резко снижает помехоустойчивость и достоверность обмена конфиденциальной информацией между наземными пунктами, размещенными на большие расстояния.
Технической задачей изобретения является повышение помехоустойчивости и достоверности обмена конфиденциальной информацией между наземными пунктами, разнесенными на большие расстояния, путем подавления узкополосных помех.
Поставленная задача решается тем, что система синхронизации часов, содержащая в соответствии с ближайшим аналогом геостационарный ИСЗ-ретранслятор, первый и второй наземные пункты, каждый из которых содержит аналоговый дескремблер, выход которого является вторым выходом системы, цифровой дескремблер, выход которого является третьим выходом системы, последовательно включенные эталон времени и частоты, первый гетеродин, первый смеситель, второй вход которого через последовательно включенные дуплексер и первый усилитель мощности соединен с приемопередающей антенной, усилитель первой промежуточной частоты, селектор, первый амплитудный ограничитель и первый синхронный детектор, второй вход которого соединен с выходом селектора, последовательно подключенные к выходу первого амплитудного ограничителя первый клиппер, второй вход которого соединен со вторым выходом эталона времени и частоты, первый блок памяти и коррелятор, выход которого является первым выходом системы, последовательно подключенные к первому выходу эталона времени и частоты второй гетеродин, второй смеситель, второй вход которого через переключатель соединен с первым выходом генератора псевдошумового сигнала, усилитель второй промежуточной частоты и второй усилитель мощности, выход которого соединен с входом дуплексера, последовательно подключенные к третьему выходу эталона времени и частоты генератор псевдошумового сигнала, второй амплитудный ограничитель, второй клиппер, второй вход которого соединен со вторым выходом эталона времени и частоты, и второй блок памяти, выход которого соединен со вторым входом коррелятора, последовательно подключенные к выходу первого амплитудного ограничителя перемножитель, второй вход которого соединен с выходом первого гетеродина, полосовой фильтр и первый фазовый детектор, второй вход которого соединен со вторым выходом второго гетеродина, отличается от ближайшего аналога тем, что каждый наземный пункт снабжен двумя фазовращателями на +30°, двумя фазовращателями на -30°, двумя фазовращателями на +90°, вторым и третьим синхронными детекторами, вторым и третьим фазовыми детекторами и четырьмя блоками вычитания, причем к выходу первого амплитудного ограничителя последовательно подключены первый фазовращатель на +30°, второй синхронный детектор, второй вход которого соединен с выходом селектора, первый блок вычитания, первый фазовращатель на +90° и второй блок вычитания, второй вход которого соединен с выходом первого синхронного детектора, а выход подключен к входу аналогового дескремблера, к выходу первого амплитудного ограничителя последовательно подключены первый фазовращатель на -30° и третий синхронный детектор, второй вход которого соединен с выходом селектора, а выход подключен к второму входу первого блока вычитания, ко второму выходу второго гетеродина последовательно подключены второй фазовращатель на +30, второй фазовый детектор, второй вход которого соединен с выходом полосового фильтра, третий блок вычитания, второй фазовращатель на +90° и четвертый блок вычитания, второй вход которого соединен с выходом первого фазового детектора, а выход подключен к входу цифрового дескремблера, ко второму выходу второго гетеродина последовательно подключены второй фазовращатель на -30° и третий фазовый детектор, второй вход которого соединен с выходом полосового фильтра, а выход подключен ко второму входу третьего блока вычитания.
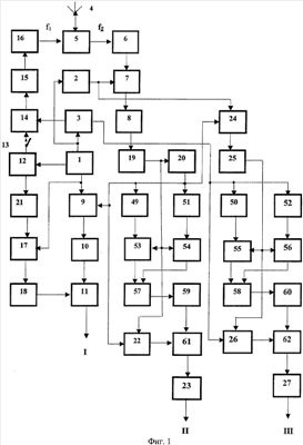
На фиг.1, 10 представлена структурная схема предлагаемой системы синхронизации часов; на фиг.2 – геометрическая схема расположения ИСЗ-ретранслятора S и двух наземных пунктов А и Б; на фиг.3 – временная диаграмма дуплексного метода сличения часов; на фиг.4 – частотная диаграмма, поясняющая процесс преобразования частоты синхронизирующего сигнала; на фиг.5 – структурная схема генератора псевдошумового сигнала; на фиг.6 -структурная схема селектора; на фиг.7 – структурная схема аналогового скремблера, использующего метод частотной инверсии; на фиг.8 – представлены спектры входного а) и преобразованного б) сигналов; на фиг.9 – изображены временные диаграммы, поясняющие принцип работы предлагаемой системы синхронизации часов.
Система синхронизации часов содержит геостационарный ИС3-ретранслятор S, первый А и второй Б наземные пункты, каждый из которых содержит последовательно включенные эталон 1(1.1) времени и частоты, первый гетеродин 2(2.1), первый смеситель 7(7.1), второй вход которого через последовательно включенные дуплексер 5(5.1) и первый усилитель 6(6.1) мощности соединен с приемопередающей антенной 4(4.1), усилитель 8(8.1) первой промежуточной частоты, селектор 19(19.1), первый амплитудный ограничитель 20(20.1), первый клиппер 9(9.1), второй вход которого соединен со вторым выходом эталона 1(1.1) времени и частоты, первый блок 10(10.1) памяти и коррелятор 11(11.1), выход которого является первым I выходом системы, последовательно подключенные к первому выходу эталона 1(1.1) времени и частоты, второй гетеродин 3(3.1), второй смеситель 14(14.1), второй вход которого через переключатель 13(13.1) соединен с первым выходом генератора 12(12.1) псевдошумового сигнала, усилитель 15(15.1) второй промежуточной частоты и второй усилитель 16(16.1) мощности, выход которого соединен с входом дуплексера 5(5.1), последовательно подключенные к третьему выходу эталона 1(1.1) времени и частоты генератор 12(12.1) псевдошумового сигнала, второй амплитудный ограничитель 21(21.1), второй клиппер 17(17.1), второй вход которого соединен со вторым выходом эталона 1(1.1) времени и частоты, и второй блок 18(18.1) памяти, выход которого соединен со вторым входом коррелятора 11(11.1), последовательно подключенные к выходу первого амплитудного ограничителя 20(20.1) первый фазовращатель 49(49.1) на +30°, второй синхронный детектор 53(53.1), второй вход которого соединен с выходом селектора 19(19.1), первый блок 57(57.1) вычисления, первый фазовращатель 59(59.1) на +90°, второй блок 61(61.1) вычитания, второй вход которого через первый синхронный детектор 22(22.1) соединен с выходом селектора 19(19.1) и первого амплитудного ограничителя 20(20.1), и аналоговый дескремблер 23(23.1), выход которого является вторым II выходом системы, последовательно подключенные к выходу первого амплитудного ограничителя 20(20.1) первый фазовращатель 51(51.1) на -30° и третий синхронный детектор 54(54.1), второй вход которого соединен с выходом селектора 19(19.1), выход подключен к второму входу первого блока 57(57.1) вычитания, последовательно подключенные к выходу первого амплитудного ограничителя перемножитель 24(24.1), второй вход которого соединен с выходом первого гетеродина 2(2.1), полосовой фильтр 25(25.1), первый фазовый детектор 26.(26.1), второй вход которого соединен с вторым выходом второго гетеродина 3(3.1), четвертый блок 62(62.1) вычитания и цифровой дескремблер 27(27.1), выход которого является третьим III выходом системы, последовательно подключенные ко второму выходу второго гетеродина 3(3.1) второй фазовращатель 50(50.1) на +30°, второй фазовый детектор 55(55.1), второй вход которого соединен с выходом полосового фильтра 25(25.1), третий блок 58(58.1) вычитания и второй фазовращатель 60(60.1) на +90°, выход которого соединен со вторым входом четвертого блока 62(62.1) вычитания, последовательно подключенные ко второму выходу второго гетеродина 3(3.1) второй фазовращатель 52(52.1) на -30° и третий фазовый детектор 56(56.1), второй вход которого соединен с выходом полосового фильтра 25(26.1), а выход подключен ко второму входу третьего блока 58(58.1) вычитания.
Генератор 12(12.1) псевдошумового сигнала содержит задающий генератор 28 высокой частоты, источник 29 дискретного сообщения, цифровой скремблер 30, фазовый манипулятор 31, источник 32 аналогового сообщения, аналоговый скремблер 33, амплитудный модулятор 34 и полосовой усилитель 35.
Селектор 19(19,1) содержит удвоитель 36 фазы, первый 37 и второй 38 измерители ширины спектра, блок 39 сравнения, пороговый блок 40 и ключ 41.
Аналоговый скремблер 33, использующий метод частотной инверсии, содержит тактовый генератор 42, делитель-формирователь 43, полосовой фильтр 44, балансный модулятор 45, аналоговый коммутатор 46, сумматор 47 и фильтр 48 низкой частоты.
Система работает следующим образом.
На пункте А с помощью генератора 12 формируется псевдошумовой сигнал СВЧ 1 (фиг.3) с комбинированной фазовой манипуляцией (ФМн-АМ). С этой целью напряжение высокой частоты (фиг.9,а):
uc(t)=Uccos(2 fct+ c), 0 T Tc,
где Uc, fc, c, Tp – амплитуда, несущая частота, начальная фаза и длительность сигнала;
с выхода задающего генератора 28 (фиг.5) поступает на первый вход фазового манипулятора 31, на второй вход которого подается модулирующий код M(t) (фиг.9,б) с выхода цифрового скремблера 30. Вход последнего соединен с источником 29 дискретного сообщения.
На выходе фазового манипулятора 31 образуется фазоманипулированный (ФМн) сигнал (фиг.9,в):
u1(t)=Uccos[2 fct+ k(t)+ c], 0 T Tc,
где k(t)={0, } – манипулируемая составляющая фазы, отображающая закон фазовой манипуляции в соответствии с модулирующим кодов M(t), причем k(t)=const при k Э и может изменяться скачком при t=k Э, т.е. на границах между элементарными посылками (к=1, ,N);
Э, N – длительность и количество элементарных посылок, из которых составлен сигнал длительностью Тc(Тc=N э).
Этот сигнал поступает на первый вход амплитудного модулятора 34, на второй вход которого подается модулирующая функция m(t) (фиг.9,г) с выхода аналогового скремблера 33. Вход последнего соединен с источником аналогового сообщения.
На выходе амплитудного модулятора 34 образуется псевдошумовой сигнал с комбинированной фазовой манипуляцией и амплитудной модуляцией (ФМн-АМ) (рис.9,д):
u2(t)=Uc[1+m(t)]cos[2 fct+ r(t)+ c,
где m(t) – модулирующая функция, отражающая закон амплитудной модуляции.
Цифровой 30 и аналоговый 33 скремблеры реализуют криптографические методы, которые являются наиболее эффективными методами защиты конфиденциальной дискретной и аналоговой информации.
Криптографические методы защиты информации – это специальные методы шифрования, кодирования и преобразования информации, в результате которых содержание становится недоступным без предъявления ключа криптограммы и обратного преобразования.
При цифровом способе закрытия передаваемого сообщения можно условно выделить четыре основные группы:
1) подстановка – символы дискретного сообщения заменяются другими символами в соответствии с заранее определенным правилом;
2) перестановка – символы дискретного сообщения переставляются по некоторому правилу в пределах заданного блока передаваемого дискретного сообщения;
3) аналитическое преобразование – шифруемое сообщение преобразуется по некоторому аналитическому правилу;
4) комбинированное преобразование – исходное дискретное сообщение шифруется двумя или большим числом способов шифрования.
При аналоговом скремблировании сигнал подвергается следующим преобразованиям:
1) частотная инверсия;
2) частотная перестановка;
3) временная перестановка.
В качестве примера на фиг.7 представлена структурная схема аналогового скремблера, использующего метод частотной инверсии. Устройство состоит из тактового генератора 42, вырабатывающего сигнал частотой 7 кГц, делителя-формирователя 43 несущей 3,5 кГц, аналогового коммутатора 46, балансного модулятора 45, входного полосового фильтра 44, сумматора 47 и фильтра 48 низкой частоты.
На фиг.8 представлены спектры входного (а) и преобразованного (б) сигналов, где f0=3500 Гц.
Сформированный сигнал u2(t) поступает на первый вход смесителя 14, на второй вход которого подается напряжение второго гетеродина 3, стабилизированного элементом 1 частоты и времени:
uг2(t)=uг2cos(2 fг2t+ г2).
При этом переключатель 13 замкнут, а аналоговый переключатель на пункте Б разомкнут.
На выходе смесителя 14 образуются напряжения комбинационных частот. Усилителем 15 выделяется напряжение второй промежуточной (суммарной) частоты:
unp2(t)=Uпp2[1+m(t)]cos[2 fпр2t+ k(t)+ пр], 0 t Tc,
где ;
K1 – коэффициент передачи смесителя;
fпр2=fс+fг2 – вторая промежуточная (суммарная) частота;
пр2= c+ г2,
которое усиливается в усилителе 16 мощности и излучается через дуплексер 5 и приемопередающую антенну 4 в направлении ИС3-ретранслятора на частоте f1=fпр2.
Вместе с тем, этот же сигнал u2(t) ограничивается по амплитуде в амплитудном ограничителе 21:
u3(t)=U0cos[2 fct+ k(t)+ c], 0 T Tc,
где U0 – порог ограничения;
клиппируется во втором клиппере 17 и записывается в буферный блок 18 памяти. Работа клиппера 17 синхронизируется эталоном 1 частоты и времени.
Принятый бортовым приемником геостационарного ИСЗ-ретранслятора сигнал переизлучается обратно на пункты А и Б на частоте f2 с сохранением фазовых соотношений во всей полосе частот сигнала. Диаграмма направленности бортовой антенны геостационарного ИС3-ретранслятора выбирается так, чтобы этот сигнал мог быть принят в обоих пунктах А и Б.
Принятый в пункте А антенной 4.1 ретранслированный геостационарным ИСЗ-ретранслятором сигнал
u4(t)=U4[1+m(t)]cos[2 fпр2t+ k(t)+ пр2],
усиливается первым усилителем 6.1 мощности и поступает на первый вход смесителя 7.1, на второй вход которого подается напряжение uг2(t) гетеродина 2.1.
На выходе смесителя 7.1 образуется напряжение комбинационных частот. Усилителем 8.1 выделяется напряжение промежуточной (разностной) частоты:
uпр1(t)=Uпр1[1+m(t)]cos[2 fпр1t+ k(t)+ пр1] 0 t Tc,
где 
fпp1=fпр2-fг2 – первая промежуточная (разностная) частота;
пр1= пp2– г2.
Это напряжение поступает на вход селектора 19.1, состоящего из удвоителя 36 фазы, измерителей 37 и 38 ширины спектра, блока 39 сравнения, порогового блока 40 и ключа 41.
При этом на выходе удвоителя 36 фазы, в качестве которого может использоваться перемножитель, на два входа которого подается одно и то же напряжение Uпp1(t), образующее следующее напряжение:
u5(t)=U5(t)cos(4 fпр1t+2 пр1), 0 t Tc,
где U5(t)=U2 пр1[1+m(t)]2.
Так как 2 r(t)={0,2 }, то в указанном напряжении фазовая манипуляция уже отсутствует.
Ширина спектра ФМн-АМ-сигнала fc определяется длительностью э элементарных посылок fc=1/ э. Тогда как ширина спектра его второй гармоники определяется длительностью Тс сигнала f2=1/Тс, т.е. ширина спектра второй гармоники f2 в N раз меньше ширины спектра fc входного сигнала fc/ fa=N, где N – количество элементарных посылок (для кода Баркера N=7, для m – последовательности N=1023).
Следовательно, при удвоении фазы ФМн-АМ-сигнала спектр его “сворачивается” в N раз. Это обстоятельство и позволяет обнаружить сложный сигнал с комбинированной фазовой манипуляцией и амплитудной модуляцией и применять новый вид селекции – структурную селекцию.
Ширина спектра fc входного ФМн-АМ-сигнала измеряется с помощью измерителя 37, а ширина спектра f2 второй его гармоники измеряется с помощью измерителя 38. Напряжения U1 и U2, пропорциональные fc и f2 соответственно, с выходов измерителей 37 и 38 ширины спектра поступают на два входа блока 39 сравнения. Так как U1>>U2, то на выходе блока 39 сравнения образуется положительный импульс, амплитуда которого превышает пороговое напряжение в пороговом блоке 40. При превышении порогового уровня Uпop в пороговом блоке 40 формируется постоянное напряжение, которое поступает на управляющий вход ключа 41 и открывает его. В исходном состоянии ключ 41 всегда закрыт.
При этом напряжение Uпр1(t) (фиг.9,е) через открытый ключ 41 с выхода усилителя 8.1 промежуточной частоты поступает на вход амплитудного ограничителя 20.1 и на информационный вход первого синхронного детектора 22.1. На выходе амплитудного ограничителя 20.1 образуется напряжение (фиг.9,ж)
u6(t)=U0(t)cos[(2 fпр1t+ k(t)+ пр1], 0 t Tc,
которое представляет собой ФМн-АМ-сигнал и поступает на опорный вход синхронного детектора 22.1 в качестве опорного напряжения на управляющий вход клиппера 9.1 и на первый вход перемножителя 24.1. Работа клиппера 9.1 также синхронизируется тактовой частотой эталона 1.1 частоты и времени. Затем указанное напряжение регистрируется блоком 18.1 памяти.
На выходе синхронного детектора 22.1 образуется низкочастотное напряжение (фиг.9,з):
uн1(t)=Uн1[1+m(t)],
где 
К2 – коэффициент передачи синхронного детектора;
пропорциональное модулирующей функции m(t).
Это напряжение через блок 61 вычитания поступает на вход аналогового дескремблера 23.1, принцип работы которого соответствует принципу работы аналогового скремблера 33, но имеет противоположный характер. На выходе дескремблера 23.1 (второй выход II системы) образуется исходная информация источника аналогового сообщения.
На второй вход перемножителя 24.1 подается напряжение uг2(t) гетеродина 22, на его выходе образуется напряжение (фиг.9,и):
u7(t)=U7(t)cos[(2 fг1t+ k(t)+ г1],
где ;
К3 – коэффициент передачи перемножителя;
которое представляет собой ФМн-сигнал на стабильной частоте fг1 гетеродина 3.1. Это напряжение выделяется полосовым фильтром 25.1 и поступает на информационный вход фазового детектора 26.1, на опорный вход которого подается напряжение uг1(t) гетеродина 3.1.
На выходе фазового детектора 26.1 образуется низкочастотное напряжение (фиг.9,к):
uн2(t)=Uн2cos k(t),
где ;
К4 – коэффициент передачи фазового детектора;
пропорциональное модулирующему коду M(t) (фиг.9,б). Это напряжение через блок 62 вычитания поступает на вход цифрового дескремблера 27.1, принцип работы которого соответствует принципу работы цифрового скремблера 30, но имеет противоположный характер. На выходе дескремблера 27.1 (третий выход III системы) образуется исходная информация источника 29 дискретного сообщения.
Если в эфире действует узкополосная помеха:
uп1(t)=Uп1cos(2 fп1t+ п1),
частота fп1 которой незначительно отличается от первой промежуточной частоты
fпp1 принимаемого сигнала:
fп1-fпр1= f1 fф1,
где fф1 – полоса пропускания синхронных детекторов 22.1, 53.1 и 54.1, то аддитивная смесь принимаемого сигнала u6(t) и узкополосной помехи uп1(t)
u 1(t)=u5(t)+uп1(t),
с выхода селектора 19.1 поступает на первые входы синхронных детекторов 22.1, 53.1 и 54.1.
Опорное напряжение u6(t) с выхода амплитудного ограничителя 20.1 одновременно поступает на второй вход синхронного детектора 22.1 и на входы фазовращателей 49.1 и 51.1 на +30° и -30°, на выходе которых образуется соответствующее напряжение:
u8(t)=U0cos[2 fпр1t+ k(t)+ пр1+30°],
u9(t)=U0cos[2 fпр1t+ k(t)+ пр1-30°], 0 t Tc,
которые подаются на вторые (опорные) входы синхронных детекторов 53.1 и 54.1.
На выходе синхронных детекторов 22.1, 53.1 и 54.1 в этом случае выделяются следующие напряжения:
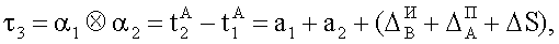
uн3(t)=Uн1[1+m(t)]+Uн3cos[2 (fп1-fпр1)t+ п1– пр1],
uн4(t)=Uн1[1+m(t)]+Uн3cos[2 (fп1-fпр1)t+ п1– пр1+30°],
uн5(t)=Uн1[1+m(t)]+Uн3cos[2 (fп1-fпр1)t+ п1– пр1-30°]
где .
На выходе первого блока 57.1 вычитания образуется следующее разностное напряжение:
uн1(t)=uн4-uн5=Uн3{соs[2 (fп1-fпр1)t+ п1– пр1+30°]-cos[2 (fп1-fпр1)t+ пр1-30°]}=Uн3sin[2 (fп1-fпр1)t+ п1– пр1].
Анализ полученного разностного напряжения uн1(t) показывает, что оно представляет собой оценку помеховой составляющей, которая отличается от помеховой составляющей в основном канале поворотом по фазе на +90°.
Разностное напряжение uн1(t) с выхода блока 57.1 вычитания поступает на вход фазовращателя 59.1 на +90°, на выходе которого образуется напряжение
uн2(t)=Uн3cos[2 (fп1-fпр1)t+ п1– пр1],
которое поступает на второй вход блока 61.1 вычитания. На выходе последнего образуется следующее разностное напряжение:
uн2(t)=uн3(t)- uн2(t)=Uн1[1+m(t)],
в котором помеховая составляющая уже отсутствует.
Это напряжение поступает на вход амплитудного детектора 23.1.
Если в эфире действует узкополосная помеха
uп2(t)=Uп2cos(2 fп2t+ п2),
частота fп2 которой незначительно отличается от частоты fг1 гетеродина 3.1
fп2-fг1= f2 fф2,
где fф2 – полоса пропускания фазовых детекторов 26.1, 55.1 и 56.1, то аддитивная смесь принимаемого ФМн-сигнала u7(t) и узкополосной помехи uп2(t)
u 2(t)=u7(t)+uп2(t)
с выхода полосового фильтра 25.1 поступает на первые входы фазовых детекторов 26.1, 55.1 и 56.1.
Напряжение гетеродина 3.1
uг1(t)=Uг1cos(2 fг1t+ г1)
поступает на второй (опорный) вход первого фазового детектора 26.1 и на входы фазовращателей 50.1 и 52.1 на +30° и -30°, на выходе которых образуются соответствующие напряжения:
u10(t)=Uг1cos(2 fг1t+ г1+30°),
u11(t)=Uг1cos(2 fг1t+ г1+30°),
которые подаются на вторые (опорные) входы фазовых детекторов 55.1 и 56.1.
На выходе фазовых детекторов 26.1, 55.1 и 56.1 в этих случаях выделяются следующие низкочастотные напряжения:
uн6(t)=Uн2cos k(t)+Uн4cos[2 (fп1-fг1)t+ п2– г1],
uн7(t)=Uн2cos[ k(t)+30°]+Uн4cos[2 (fп2-fг1)+ п2– г1+30°],
uн8(t)=Uн2cos[ k(t)-30°]+Uн4cos[2 (fп2-fг1 .)+ п2– г1-30°]
где .
На выходе блока 58.1 вычитания образуется следующее разностное напряжение:

Анализ полученного разностного напряжения uн4 показывает, что оно представляет собой оценку помеховой составляющей, которая отличается от помеховой составляющей в основном канале поворотом по фазе на+90.
Разностное напряжение uн4 с выхода блока 58.1 вычитания поступает на вход фазовращателя 60.1 на +90°, на выходе которого образуется напряжение:
uн5(t)=Uн4sin[2 (fп2-fг1)t+ п2– г1+90°]=Uн4cos[2 (fп2-fг1)t+ п2– г1],
которое поступает на второй вход блока 62.1 вычитания. На первый вход последнего подается напряжение uн6(t) с выхода фазового детектора 26.1. На выходе блока 62.1 вычитания формируется следующее разностное напряжение:
uн6(t)=uн6(t)- uн5(t)=Uн2cos k(t),
в котором помеховая составляющая уже отсутствует.Это напряжение поступает на вход цифрового дескремблера 27.1
Аналогично аналоговая и дискретная информация с наземного пункта Б передается через геостационарный ИС3-ретранслятор на наземный пункт А на частоте f2.
Аналогичные операции осуществляются на пункте Б. На втором шаге измерений (при передаче сигнала из пункта Б), спустя какое-то время Т после окончания регистрации сигнала, переключатель 13 на пункте А размыкается, а на пункте Б переключатель 13.1 замыкается. В этот момент времени t3 Б=t2 Б+T генератор 12.1 начинает формировать новый СВЧ-сигнал (сигнал 3), который после соответствующего преобразования фиксируется на пункте Б и излучается в направлении геостационарного ИС3-ретранслятора на частоте f2. Принимаемый ботовым приемником ИС3-ретранслятора сигнал переизлучается обратно на пункты А и Б на частоте f2 с сохранением фазовых соотношений во всей полосе частот сигнала. Ретранслированный сигнал принимается в обоих пунктах, преобразуется в напряжение низкой частоты и регистрируется в моменты времени tА 4 и tВ 4 соответственно (сигнал 4, 4). На этом заканчивается единичное измерение дуплексного метода. Затем в перерыве между актами измерений пары сигналов 1, 2 и 3, 4 ( 1, 2 и 3, 4) подвергаются корреляционной обработке в корреляторе 11(11.1).
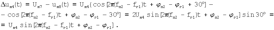
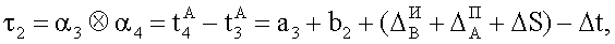
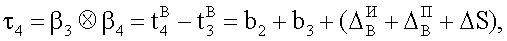
Корреляционной обработкой двух пар зарегистрированных сигналов в перерыве между актами измерений в корреляторах 1.19 и 2.19 определяют следующие временные задержки:




соответствующие им частоты интерференции Fi(i=1, 2, 3,4), которые определяют производные этих задержек:
,
где ,
aj, bj(j>1, 2, 3)- время распространения сигнала между ИСЗ и пунктами А и Б соответственно;
tA, tB – время задержки сигналов в излучающей аппаратуре обоих пунктов;
A, B – задержки сигналов в приемо-регистрирующей аппаратуре;
S – задержка сигналов в бортовой аппаратуре ИС3-ретранслятора;
t=t1 B-t1 A – искомая разность показании часов в один и тот же физический момент.
Полагая aj и bj линейными функциями с производными ,
, из первых двух уравнений получим:



где 

‘А,Б, ”А,Б – задержки сигналов в атмосфере на частоте f1 и f2 соответственно;
v – релятивистская поправка (эффект Саньяка);
– угловая скорость вращения Земли;
с – скорость света;
D – площадь четырехугольника O’A’S’Б’, образуемого в экваториальной
плоскости центром масс Земли, проекциями пунктов А, Б и
ИС3- ретранслятора.
Поправку у на подвижность ИС3-ретранслятора во время единичного измерения проще всего свести к нулю соответствующим выбором свободного параметра :

который следует в начале измерений рассчитывать по приближенным эфемеридным данным, а затем уточнить по результатам текущих измерений.
Что касается поправки аппаратурные задержки, то ее можно найти путем калибровки по методу «нулевой базы». Атмосферная поправка также учитывается.
В пунктах А и Б аппаратура работает одинаково, только порядок шагов в них обратный. Для вычисления разности показаний часов t достаточно обменяться между пунктами полученными цифровыми данными, что можно делать по каналам спутниковой связи через тот же геостационарный ИС3-ретранслятор, как это было показано выше.
Предлагаемая система обеспечивает не только синхронизацию удаленных шкал времени, но и обмен конфиденциальной дискретной и аналоговой информацией между удаленными наземными пунктами и ее защиту от несанкционированного доступа.
При этом защита указанной информации имеет три уровня: энергетический, структурный и криптографический.
Энергетический и структурный уровни обеспечиваются применением сложных сигналов с комбинированной фазовой манипуляцией и амплитудной модуляцией, которые обладают высокой энергетической и структурной скрытностью.
Энергетическая скрытность данных сигналов обусловлена их высокой сжимаемостью во времени или по спектру при оптимальной обработке, что позволяет снизить мгновенную излучаемую мощность. Вследствие этого используемый сложный сигнал в точке приема может оказаться замаскированным шумами. Причем энергия сложного сигнала отнюдь не мала, она просто распределена по частотно-временной области так, что в каждой точке этой области мощность сигнала меньше мощности шумов и помех.
Структурная скрытность сложных сигналов с комбинированной фазовой манипуляцией и амплитудной модуляцией обусловлена большим разнообразием их форм и значительными диапазонами изменений параметров, что затрудняет оптимальную или хотя бы квазиоптимальную обработку сложных сигналов априорно неизвестной структуры с целью повышения чувствительности приемника.
Сложные сигналы с комбинированной фазовой манипуляцией и амплитудной модуляцией открывают новые возможности в технике передачи сообщений на одной несущей частоте и их защиты от несанкционированного доступа. Указанные сигналы позволяют применять новый вид селекции – структурную селекцию. Это значит, что появляется новая возможность выделять сложные сигналы среди других сигналов и помех, действующих в одной и той же полосе частот и в одни и те же промежутки времени. Данная возможность реализуется сверткой спектра сложных сигналов.
Криптографический уровень обеспечивается специальными методами шифрования, кодирования и преобразования конфиденциальной дискретной и аналоговой информации, в результате которых ее содержание становится недоступным без предъявления ключа криптограммы и обратного преобразования.
Таким образом, предлагаемая система синхронизации часов по сравнению с прототипом обеспечивает повышение помехоустойчивости и достоверности обмена конфиденциальной дискретной и аналоговой информацией между наземными пунктами, разнесенными на большие расстояния, с использованием геостационарного ИС3-ретранслятора и защитой указанной информации от несанкционированного доступа. Это достигается подавлением узкополосных помех фазокомпенсационным методом.
Формула изобретения
Система синхронизации часов, содержащая геостационарный ИСЗ-ретранслятор, первый и второй наземные пункты, каждый из которых содержит аналоговый дескремблер, выход которого является вторым выходом системы, цифровой дескремблер, выход которого является третьим выходом системы, последовательно включенные эталон времени и частоты, первый гетеродин, первый смеситель, второй вход которого через последовательно включенные дуплексер и первый усилитель мощности соединен с приемопередающей антенной, усилитель первой промежуточной частоты, селектор, первый амплитудный ограничитель и первый синхронный детектор, второй вход соединен с выходом селектора, последовательно подключенные к выходу первого амплитудного ограничителя первый клиппер, второй вход которого соединен со вторым выходом эталона времени и частоты, первый блок памяти и коррелятор, выход которого является первым выходом системы, последовательно подключенные к первому выходу эталона времени и частоты второй гетеродин, второй смеситель, второй вход которого через переключатель соединен с первым выходом генератора псевдошумового сигнала, усилитель второй промежуточной частоты и второй усилитель мощности, выход которого соединен с входом дуплексера, последовательно подключенные к третьему выходу эталона времени и частоты генератор псевдошумового сигнала, второй амплитудный ограничитель, второй клиппер, второй вход которого соединен со вторым выходом эталона времени и частоты, и второй блок памяти, выход которого соединен со вторым входом коррелятора, последовательно подключенные к выходу первого амплитудного ограничителя перемножитель, второй вход которого соединен с выходом первого гетеродина, полосовой фильтр и первый фазовый детектор, второй вход которого соединен со вторым выходом второго гетеродина, отличающаяся тем, что каждый наземный пункт снабжен двумя фазовращателями на +30°, двумя фазовращателями на -30°, двумя фазовращателями на +90°, вторым и третьим синхронными детекторами, вторым и третьим фазовыми детекторами и четырьмя блоками вычитания, причем к выходу первого амплитудного ограничителя последовательно подключены первый фазовращатель на +30°, второй синхронный детектор, второй вход которого соединен с выходом селектора, первый блок вычитания, первый фазовращатель на +90° и второй блок вычитания, второй вход которого соединен с выходом первого синхронного детектора, а выход подключен к входу аналогового дескремблера, к выходу первого амплитудного ограничителя последовательно подключены первый фазовращатель на -30° и третий синхронный детектор, второй вход которого соединен с выходом селектора, а выход подключен к второму входу первого блока вычитания, ко второму выходу второго гетеродина последовательно подключены второй фазовращатель на +30°, второй фазовый детектор, второй вход которого соединен с выходом полосового фильтра, третий блок вычитания, второй фазовращатель на +90° и четвертый блок вычитания, второй вход которого соединен с выходом первого фазового детектора, а выход подключен к входу цифрового дескремблера, ко второму выходу второго гетеродина последовательно подключены второй фазовращатель на -30° и третий фазовый детектор, второй вход которого соединен с выходом полосового фильтра, а выход подключен к второму входу третьего блока вычитания.
РИСУНКИ
|