Патент на изобретение №2386158
|
||||||||||||||||||||||||||||||||||||||||||||||||||||||||||||||||||||||||||||||||||||||||||||||||||||||||||||||||||||||||||||||||||||||||||||||||||||||||||||||||||||||||||||||||||||||||||||||||||||||||||||||||||||||||||||||||||||||||||||||||||||||||||||||||||||||||||||||||||||||||||||||||||
(54) ТОНЕР
(57) Реферат:
Изобретение относится к тонеру, используемому в электрофотографии, способах формирования изображения для визуализации изображений электростатическим зарядом и способах впрыскивания тонера. Техническим результатом изобретения является обеспечение благоприятной стабильности интенсивности, воспроизведения строк и элементов изображения в высокоскоростных копировальных машинах, принтерах, которые формируют скрытые изображения с высоким разрешением в течение длительного периода времени, несмотря на условия эксплуатации, и обеспечение качества изображения, приемлемого для печати встроенного рисунка, печати QR-кода и т.п. Тонер содержит частицы тонера, содержащие, по меньшей мере, связующую смолу и краситель, и тонкодисперсный порошок диоксида кремния, который имеет среднеобъемный диаметр (D50) от 0,70 мкм до 3,00 мкм и общий объем пор не более 0,200 см3/г, измеренный в интервале диаметров пор от 1,7 нм и до 300,0 нм. 5 з.п. ф-лы, 8 табл.
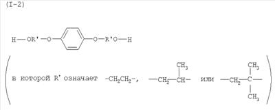
Область техники, к которой относится изобретение Настоящее изобретение относится к тонеру, используемому в электрофотографии, способах формирования изображения для визуализации изображений электростатическим зарядом, способах впрыскивания тонера и т.п. Предпосылки создания изобретения В качестве способов формирования изображения традиционно известными являются многие способы, такие как электрофотография, электростатическая запись, магнитная запись и впрыскивание тонера. Например, электрофотографический способ обычно включает формирование электрических скрытых изображений на светочувствительном элементе любым из различных устройств, затем проявление скрытых изображений тонером, перенос тонерных изображений на переводной материал, такой как бумага, при необходимости и затем закрепление тонерных изображений на переводном материале нагревом, давлением или подобным с получением копий. Остаток тонера, который не переносится и остается на светочувствительном элементе, очищается любым из различных способов с повторением вышеуказанного процесса. В последние годы стала важной функция защиты копировальных машин и принтеров вместе с их высоким разрешением и высокой характеристикой. Например, требуется предотвращение подделки и незаконного копирования секретных документов, сертификатов и т.п. и принимаются меры против незаконного копирования при печатании встроенного рисунка и т.п. Печатание встроенного рисунка представляет собой технологию, в которой при печатании документов копировальной машиной или принтером одновременно печатаются скрытые символьные строки «встроенного рисунка». Во «встроенном рисунке» предварительно встраиваются символьные строки, такие как «копирование запрещено», так чтобы было трудно увидеть, и встроенный рисунок имеет механизм, по которому символьные строки выдерживают копирование копировальной машиной. Поскольку печатание встроенного рисунка использует предел воспроизводимости элементов изображения при копировании копировальной машиной, требуется тонер, который является превосходным по стабильности интенсивности (ряду интенсивности), воспроизводимости элементов изображения и воспроизводимости строк, особенно воспроизводимости ширины строк, и размытию, имеющему место на концах строк. Кроме того, имеется больше возможностей использовать копировальные машины и принтеры в областях записи информации благодаря существующему резкому увеличению количества информации. Обычные средства записи информации включают штриховой код. Однако вместе с расширенными областями использования штрихового кода увеличиваются потребности записи большей информации в меньших пространствах, и часто используется так называемый QR-код (двухмерный код матричного типа), по которому кодовая информация выражается двухмерно. Так, даже если QR-код копируется несколько раз копировальной машиной, требуется правильная точность считывания, требуется тонер, превосходный по воспроизводимости элементов изображения и стабильности интенсивности (ряда интенсивности). Как указано выше, для получения качества изображения, приемлемого для печати встроенного рисунка и печати QR-кода, в последние годы весьма желательными являются способы формирования изображения, способные обеспечить более высокое разрешение, более высокую скорость и больший срок службы, и поэтому необходимо, чтобы были дополнительно улучшены тонер и другое. Например, что касается более высокого разрешения, были сделаны попытки относительно мер со стороны копировальной машины и принтера, в которых более высокое разрешение скрытых изображений улучшается снижением диаметра лазерного светового пятна и повышением однородности заряда светочувствительного элемента. С другой стороны, были сделаны попытки относительно мер со стороны тонера, в которых улучшается воспроизводимость скрытых изображений, например, снижением диаметра частиц тонера для точного воспроизведения скрытых изображений, имеющих высокое разрешение. Однако также в случае тонера, имеющего уменьшенный диаметр частиц, поскольку частицы тонера движутся к скрытым изображениям в состоянии агрегирования, качество снижения диаметра частиц не может быть осуществлено наилучшим образом, и улучшение воспроизводимости скрытых изображений является трудным. Поэтому для получения качества изображения высокого разрешения также требуется меньшая когезия между частицами тонера. В системах высокоскоростного проявления, поскольку имеется вероятность снижения качества изображения, требуются характеристики тонера, пригодные к высокой скорости. Были предприняты усилия по решению проблем, описанных выше, мерами со стороны тонера, но меры являются недостаточными для достижения формирования изображения с высокой скоростью и с высоким разрешением, требуемого в последние годы, и остается место для улучшения. Например, предложено введение различных внешних добавок в частицы тонера в целях улучшения способности тонера заряжаться и придания функции прослойки. Например, выложенная Японская заявка на патент Выложенная Японская заявка на патент Раскрытие сущности изобретения Соответственно, целью настоящего изобретения является создание тонера, в результате чего решаются вышеуказанные проблемы. В частности, целью настоящего изобретения является создание тонера, способного стабильно обеспечивать хорошую стабильность интенсивности, воспроизводимость строк и воспроизводимость элементов изображения в высокоскоростных копировальных машинах, принтерах и т.п. в течение длительного периода времени, несмотря на условия эксплуатации, и обеспечивать качество изображения, подходящее для печати встроенного рисунка, печати QR-кода и т.п. Вышеуказанная цель достигается составом настоящего изобретения, описанным ниже. В частности, настоящее изобретение относится к тонеру, который имеет частицы тонера, содержащие, по меньшей мере, связующую смолу и краситель, и тонкодисперсный порошок диоксида кремния, в котором тонкодисперсный порошок диоксида кремния имеет среднеобъемный диаметр (D50) не менее 0,70 мкм и не более 3,00 мкм и имеет общий объем пор не более 0,200 см3/г, измеренный в интервале диаметров пор не менее 1,7 нм и не более 300,0 нм. Тонкодисперсный порошок диоксида кремния имеет предпочтительно средний диаметр пор 50,0 нм или менее. Тонер предпочтительно имеет тонкодисперсный гидрофобный неорганический порошок, имеющий удельную площадь поверхности по методу БЭТ 50 м2/г или более и 300 м2/г или менее. В изотерме адсорбции-десорбции влаги при 30 Тонкодисперсный порошок диоксида кремния предпочтительно получается газофазным способом. В соответствии с настоящим изобретением может быть создан тонер, способный стабильно обеспечивать превосходную стабильность интенсивности, воспроизводимость строк и воспроизводимость элементов изображения в высокоскоростных копировальных машинах, принтерах и т.п., которые формируют скрытые изображения с высоким разрешением в течение длительного периода времени, несмотря на условия эксплуатации, и обеспечивать качество изображения, подходящее для печати встроенного рисунка, печати QR-кода и т.п. Наилучший способ осуществления изобретения Как результат исследования составляющих материалов, используемых для тонера, авторами настоящего изобретения установлено, что в тонере, который содержит частицы тонера, содержащие, по меньшей мере, связующую смолу и краситель, и тонкодисперсный порошок диоксида кремния, при регулировании диаметра частиц и пор тонкодисперсного порошка диоксида кремния может быть получен тонер, способный стабильно обеспечивать превосходную стабильность интенсивности, воспроизводимость строк и воспроизводимость элементов изображения в высокоскоростных копировальных машинах, принтерах и т.п., которые формируют скрытые изображения с высоким разрешением в течение длительного периода времени, несмотря на условия эксплуатации, и обеспечивать качество изображения, подходящее для печати встроенного рисунка, печати QR-кода и т.п. В частности, настоящее изобретение характеризуется тем, что в тонере, который содержит частицы тонера, содержащие, по меньшей мере, связующую смолу и краситель, и тонкодисперсный порошок диоксида кремния, тонкодисперсный порошок диоксида кремния имеет среднеобъемный диаметр (D50) не менее 0,70 мкм и не более 3,00 мкм и имеет общий объем пор не более 0,200 см3/г, измеренный в интервале диаметров пор от не менее 1,7 нм до не более до 300,0 нм. Традиционно сделаны многие предложения, в которых тонкодисперсный неорганический порошок вводится в частицы тонера в целях повышения способности частиц тонера заряжаться и придания ему функции прослойки. Для эффективного придания функций требуется, чтобы тонкодисперсный неорганический порошок имел высокую способность заряжаться, узкое распределение частиц по диаметру и однородную форму; среди тонкодисперсных неорганических порошков особенно тонкодисперсные порошки диоксида кремния отвечают указанным требованиям к характеристикам и предпочтительно используются. Однако, поскольку дисперсная структура поверхности и диаметр частицы тонкодисперсных порошков диоксида кремния не являются достаточно регулируемыми, для получения качества изображения с высоким разрешением печати встроенного рисунка, печати QR-кода и т.п. требуются дополнительные улучшения. Поскольку порошки диоксида кремния, используемые для применения в тонере, являются обычно аморфными и имеют много пор субмикронного порядка (от нескольких нанометров до нескольких сотен нанометров) на их поверхности, электростатический заряд, вероятно, становится неоднородным. В частности, в среде высокой влажности, поскольку молекулы воды в воздухе входят в поры, способность тонера заряжаться снижается в процессе эксплуатации. Следовательно, поскольку способность тонера заряжаться становится далее неоднородной, тонер легко образует агрегаты, иногда ухудшая воспроизводимость строк и воспроизводимость элементов изображения. Кроме того, снижение способности заряжаться иногда снижает интенсивность изображения во второй половине срока эксплуатации. Кроме того, в системах высокоскоростного проявления, поскольку тонер подвергается большому сдвигу в проявочной машине, в тонере легко образуется ухудшение благодаря заделыванию и т.п. внешних добавок в проявочной машине. В таких условиях, поскольку функция в качестве прослойки тонкодисперсного порошка диоксида кремния снижается, тонер сильно подвергается влиянию неоднородности заряда и снижения способности заряжаться, более легкого агрегирования. Для снижения такого ухудшения тонера, хотя должно вводиться оптимальное количество тонкодисперсного порошка диоксида кремния, имеющего больший диаметр частиц, введение тонкодисперсного порошка диоксида кремния с большим диаметром частиц, имеющих дисперсную структуру на их поверхности, является непредпочтительным благодаря проявлению влияния неоднородности заряда. То есть, только традиционное введение тонкодисперсного порошка диоксида кремния просто в качестве прослойки в системах высокоскоростного проявления является недостаточным и регулирование поверхностных свойств путем регулирования дисперсной структуры поверхности и оптимизации диаметра частиц становится важным, как в настоящем изобретении. Тогда в результате широких исследований состояний пор поверхности тонкодисперсного порошка диоксида кремния авторами настоящего изобретения было установлено, что введение тонкодисперсного порошка диоксида кремния, имеющего определенное состояние пор, в частицы тонера может стабильно обеспечить превосходные стабильность интенсивности, воспроизводимость строк и воспроизводимость элементов изображения даже в копировальных машинах, принтерах и т.п., которые формируют скрытые изображения высокого разрешения в течение длительного периода времени, несмотря на условия эксплуатации. В частности, настоящее изобретение характеризуется использованием тонкодисперсного порошка диоксида кремния, имеющего общий объем пор не более 0,200 см3/г, измеренный в интервале диаметров пор от не менее 1,7 нм до не более 300,0 нм. Общий объем пор составляет предпочтительно не более 0,070 см3/г, более предпочтительно не более 0,025 см3/г. То, что общий объем пор, измеренный в интервале диаметров пор от не менее 1,7 нм до не более 300,0 нм, составляет не более 0,200 см3/г, показывает, что число пор на поверхности тонкодисперсного порошка диоксида кремния является небольшим и/или что объем каждой поры является небольшим. При получении таким образом поверхностной структуры, которая не имеет пор и является однородной, поскольку способность заряжаться тонкодисперсного порошка диоксида кремния становится однородной, и тонкодисперсный порошок диоксида кремния является значительно улучшенным по влагостойкости, способность заряжаться может стабильно сохраняться в течение длительного периода времени, несмотря на условия эксплуатации. Поэтому, поскольку способность заряжаться тонера становится однородной и стабильной, тонер может точно воспроизводить скрытые изображения высокого разрешения без агрегирования тонера даже в высокоскоростных копировальных машинах, принтерах и т.п. Следовательно, тонер может стабильно обеспечить превосходные стабильность интенсивности, воспроизводимость строк и воспроизводимость элементов изображения в течение длительного периода времени, несмотря на условия эксплуатации. То, что общий объем пор составляет более 0,200 см3/г, показывает, что много пор присутствует на поверхности тонкодисперсного порошка диоксида кремния и/или что объем каждой поры является большим. В случае такого тонкодисперсного порошка диоксида кремния, поскольку поверхностная дисперсная структура является неоднородной, способность заряжаться становится неоднородной и, кроме того, поскольку молекулы воды в воздухе входят в поры, способность заряжаться снижается в процессе эксплуатации. В результате, поскольку в системах высокоскоростного проявления способность заряжаться тонера становится неоднородной, ухудшается когезионность и легко ухудшаются воспроизводимость строк и воспроизводимость элементов изображения. Кроме того, поскольку способность заряжаться снижается, легко снижается интенсивность изображения и легко ухудшается потускнение во второй половине срока эксплуатации. В настоящем изобретении общий объем пор измеряется в интервале диаметров пор от не менее 1,7 нм до не более 300,0 нм, где поверхностное состояние пор тонкодисперсного порошка диоксида кремния может быть хорошо воспроизводимо определено, и состояние пор может быть точно измерено в большом интервале. Авторами настоящего изобретения установлено, что использование тонкодисперсного порошка диоксида кремния, имеющего общий объем пор не более 0,200 см3/г, измеренный в интервале диаметров пор от не менее 1,7 нм до не более 300,0 нм, обеспечивает введение в частицы тонера тонкодисперсного порошка диоксида кремния, имеющего больший диаметр частиц. В частности, тонкодисперсный порошок диоксида кремния настоящего изобретения характеризуется тем, что он имеет среднеобъемный диаметр (D50) не менее 0,70 мкм и не более 3,00 мкм (предпочтительно не менее 0,70 мкм и не более 1,50 мкм). При регулировании диаметра частиц тонкодисперсного порошка диоксида кремния в вышеуказанном интервале в тонере не образуется ухудшение благодаря заделыванию и т.п. тонкодисперсного порошка диоксида кремния даже в условиях, когда тонер подвергается большому сдвигу в проявочных машинах, подобных системам высокоскоростного проявления, и может стабильно обеспечивать изображения, имеющие превосходную стабильность интенсивности, воспроизводимость строк и воспроизводимость элементов изображения в течение длительного периода времени, несмотря на условия эксплуатации. Тонкодисперсный порошок диоксида кремния, имеющий среднеобъемный диаметр (D50) менее 0,70 мкм, легко заделывается в частицы тонера и ухудшает когезионность тонера в системах высокоскоростного проявления и легко снижает воспроизводимость строк и воспроизводимость элементов изображения. Напротив, тонкодисперсный порошок диоксида кремния, имеющий среднеобъемный диаметр (D50) более 3,00 мкм, легко высвобождается из частиц тонера и снижает интенсивность изображения во вторую половину срока эксплуатации. В настоящем изобретении для регулирования среднеобъемного диаметра (D50) не менее 0,70 мкм и не более 3,00 мкм и регулирования общего объема пор не более 0,200 см3/г, измеренного в интервале диаметров пор от не менее 1,7 нм до не более 300,0 нм, в способе получения тонкодисперсного порошка диоксида кремния успешно регулируются концентрация и температура синтеза и скорость охлаждения. Если диаметр частиц и поры тонкодисперсного порошка диоксида кремния регулируются в вышеуказанном интервале, форма частиц специально не ограничивается. Объем пор в настоящем изобретении определяется газоадсорбционным методом, в котором газообразный азот адсорбируется на поверхности образца с использованием прибора Porosimetry Analyzer Tristar 3000 (Shimadzu Corp.). Описание измерения дается в рабочем руководстве, изданном Shimadzu Corp., которое состоит в следующем. Перед определением порораспределения 1-2 г образца загружают в пробирку и вакуумируют при 100°C в течение 24 ч. После завершения вакуумирования образец точно взвешивают с получением образца. Общий объем пор полученного образца в интервале диаметров пор от не менее 1,7 нм до не более 300,0 нм определяют десорбционным методом БДХ(BJH) (Баррета, Джойнера, Халенда) с использованием Porosimetry Analyzer. Порораспределение предпочтительно определяется на основе общего объема пор, ближайшего к рассматриваемым данным измерений. Определение распределения частиц по диаметру в настоящем изобретении выполняется с использованием анализатора распределения частиц по диаметру лазерного дифракционного/рассеивающего типа LA-920 (HORIBA Ltd.). Метод определения включает введение, например, приблизительно 30 мг образца в 100 мл ионообменной воды с получением дисперсионной среды и обработку дисперсионной жидкости ультразвуковым диспергатором в течение 1 мин с получением дисперсной жидкости. Дисперсную жидкость по каплям загружают в измерительную ячейку, так что концентрация образца имеет проницаемость приблизительно 80%. Относительные показатели преломления измеряемого образца и воды устанавливаются в зависимости от типа образца, и распределение частиц по диаметру на основе объема определяется с использованием вышеуказанного анализатора с определением среднего диаметра (D50). Настоящее изобретение характеризуется тем, что при использовании тонкодисперсного порошка диоксида кремния, описанного выше, порораспределение и диаметр частиц которого регулируются, тонер не подвергается агрегации и легко разрыхляется даже в условиях, когда тонер подвергается большому сдвигу в проявочных машинах, подобных системам высокоскоростного проявления, т.е. в состоянии, когда тонер уплотняется. Определение когезионности тонера в состоянии уплотнения использует ShearScan TS-12 (Sci-Tec Co.). ShearScan определяет на принципе Mohr-Coulomb-модели, описанной в В частности, измерение проводится в среде при комнатной температуре (23°C, 60% относительная влажность) с использованием линейной сдвиговой ячейки (цилиндрическая, 80 мм в диаметре, 140 см3 в объеме), которая может придать усилие сдвига линейно в секционном направлении. Тонер загружают в указанную ячейку и нагружают вертикальной нагрузкой так, чтобы она стала 2,5 кПа, с получением уплотненного слоя порошка с тем, чтобы получить наиболее плотное состояние упаковки при данной вертикальной нагрузке (измерение ShearScan является предпочтительным в настоящем изобретении тем, что данное уплотненное состояние может быть получено без заметного различия, когда давление определяется автоматически). Аналогично образуются уплотненные слои порошка с вертикальной нагрузкой, составляющей 5,0 кПа и 10,0 кПа. Проводят испытание, при котором каждая вертикальная нагрузка постепенно нагружается усилием сдвига при непрерывном нагружении приложенной вертикальной нагрузкой, когда образуется уплотненный слой порошка, и в это время определяются вариации напряжения сдвига с определением стационарной точки. Уплотненный слой порошка определяется при достижении стационарной точки, когда становятся небольшими вариации напряжения сдвига и смещение в вертикальном направлении нагружающей ячейки для приложения вертикальной нагрузки, и как вариации, так и смещение принимают установившиеся значения в испытании. Затем вертикальная нагрузка постепенно снимается с уплотненного слоя порошка, который достиг стационарной точки; получают развертку нарушений при каждой нагрузке (график «напряжение вертикальной нагрузки от напряжения сдвига») и определяют Y-отрезок и наклон. В анализе по Mohr-Coulomb-модели неограниченное предельное напряжение и максимальное напряжение уплотнения представлены следующими выражениями, и Y-отрезок обозначает «силу когезии», и наклон обозначает «угол внутреннего трения». Свободный предел текучести=2 с(1+sin Максимальное напряжение уплотнения= ((A-(A2sin2 (A=
Свободный предел текучести и максимальное напряжение уплотнения, рассчитанные при каждой вертикальной нагрузке, изображают на графике (график функции течения) и на основе графика выводят прямую линию. По этой прямой линии определяют свободный предел текучести при 0,1 кПа и 20,0 кПа в максимальном напряжении уплотнения. Использование зависимости максимального напряжения уплотнения (Х) и свободного предела текучести (U) позволяет рассмотреть способность разрыхляться порошкового слоя, уплотненного при любой нагрузке, т.е. характеристики порошка (сила когезии между частицами тонера) плотно уплотненного слоя тонера. Свободный предел текучести (U) относится к способности разрыхляться при перемешивании в контейнере тонера и к положению, когда тонер проходит через секцию регулирования и наносится на носитель тонера при воздействии сдвига от элемента регулирования. Кроме того, максимальное напряжение уплотнения (Х) в настоящем изобретении обозначает напряжение, воздействующее на тонер, который плотно уплотнен сдвигом, которому тонер подвергается в проявочной машине. Соответственно, свободный предел текучести при 0,1 кПа в максимальном напряжении уплотнения позволяет рассмотреть характеристики порошка в состоянии относительно небольшого сдвига на тонере, и свободный предел текучести при 20,0 кПа в максимальном напряжении уплотнения позволяет рассмотреть характеристики порошка в состоянии относительно большого сдвига на тонере. При оценке перехода свободного предела текучести между максимальными напряжениями уплотнения характеристики порошка слоя тонера выражаются в уплотненном состоянии. Тонер настоящего изобретения предпочтительно имеет свободный предел текучести не более 1 кПа при максимальном напряжении уплотнения 0,1 кПа тонера, и свободный предел текучести не менее 2,0 кПа и не более 6,0 кПа при максимальном напряжении уплотнения 20 кПа тонера. При регулировании тонера в вышеуказанном интервале тонер не агрегирует даже в любом состоянии из уплотнения при низком давлении и из уплотнения при высоком давлении и легко разрыхляется при проявлении, что является предпочтительным. Может использоваться любой тонкодисперсный порошок диоксида кремния, используемый в настоящем изобретении, если он имеет вышеуказанные характеристики, но предпочтительным является тонкодисперсный порошок диоксида кремния, имеющий характеристики, описанные выше. Тонкодисперсный порошок диоксида кремния в настоящем изобретении имеет средний диаметр пор не более 50,0 нм. Случай среднего диаметра пор более 50,0 нм указывает на то, что поры на поверхности тонкодисперсного порошка диоксида кремния являются крупными. В случае такого тонкодисперсного порошка диоксида кремния количество адсорбированной влаги в среде высокой влажности становится большим, и способность заряжаться легко снижается, что является непредпочтительным. Средний диаметр пор тонкодисперсного порошка диоксида кремния в настоящем изобретении определяется методом измерения, подобным методу для объема пор, описанному выше. Кроме того, тонер согласно настоящему изобретению предпочтительно включает гидрофобный тонкодисперсный неорганический порошок, имеющий удельную площадь поверхности по методу БЭТ не менее 50,0 м2/г и не более 300 м2/г. При использовании вместе гидрофобного тонкодисперсного неорганического порошка, который имеет способность придавать высокую текучесть поверхности тонера и большую удельную площадь поверхности по методу БЭТ, тонкодисперсный порошок диоксида кремния может гомогенно диспергироваться в тонере. При удельной площади поверхности по методу БЭТ гидрофобного тонкодисперсного неорганического порошка менее 50,0 м2/г тонкодисперсный порошок диоксида кремния диспергируется недостаточно, что является непредпочтительным. При удельной площади поверхности по методу БЭТ гидрофобного тонкодисперсного неорганического порошка более 300 м2/г тонер заряжается, непредпочтительно вызывая отрицательные эффекты, такие как снижение интенсивности. Гидрофобные тонкодисперсные неорганические порошки включают, например, диоксид кремния (кремнезем), диоксид титана, оксид алюминия (глинозем), оксид цинка, оксид магния, оксид церия, оксид железа, оксид меди и оксид олова. Среди них особенно предпочтительно используемым является сухой кремнезем, называемый полученным сухим способом, или дымящий кремнезем, получаемый окислением в паровой фазе галогенида кремния. Гидрофобизация может быть осуществлена при использовании обрабатывающего агента, такого как силиконовые покрытия, различные модифицированные силиконовые покрытия, силиконовые масла, различные модифицированные силиконовые масла, силановые соединения, силановые аппреты, другие кремнийорганические соединения и титанорганические соединения, в отдельности или в комбинации двух или более из них. Метод определения БЭТ удельной площади поверхности включает согласно методу БЭТ определения удельной площади поверхности использование анализатора удельной площади поверхности марки Gemini 2375 (Shimadzu Corp.), c использованием газообразного азота, адсорбированного на поверхности образца, и использованием многоточечного метода БЭТ для расчета удельной площади поверхности. Тонкодисперсный порошок диоксида кремния в настоящем изобретении имеет на изотерме адсорбции-десорбции влаги при 30°C количество адсорбированной влаги в процессе адсорбции при относительной влажности 80% предпочтительно не менее 0,01% мас. и не более 1,0% мас., более предпочтительно не менее 0,01% мас. и не более 0,50% мас., особенно предпочтительно не менее 0,01% мас. и не более 0,20% мас.Случай, когда количество адсорбированной влаги при относительной влажности 80% составляет более 1,00% мас., показывает, что количество адсорбированной влаги является большим. Поскольку тонкодисперсный порошок диоксида кремния снижает способность заряжаться тонера и ухудшает когезионность, способность к проявлению ухудшается (снижается интенсивность, увеличивается потускнение). Напротив, случай, когда количество адсорбированной влаги составляет менее 0,01% мас., показывает, что тонкодисперсный порошок диоксида кремния имеет чрезмерную гидрофобность. Чрезмерно сильная гидрофобность разрушает зарядное равновесие, такое как сверхзаряд, и аналогично снижает интенсивность и ухудшает потускнение. Количество адсорбированной влаги в настоящем изобретении определяется с использованием прибора равновесного измерения адсорбции (Tokyo Testing Machine Inc., Фактическое определение изотермы адсорбции-десорбции влаги проводится полностью автоматически компьютером при измерении сухой массы и деаэрации растворенного воздуха в воде с определением изотермы адсорбции-десорбции, что показано ниже. Методика определения описана в рабочем руководстве, опубликованном фирмой Tokyo Testing Machine Inc., и как описано далее. Здесь в настоящем изобретении вода используется как жидкий растворитель. Сначала приблизительно 5 г образца загружают в контейнер для образцов в адсорбционной трубке, и затем температура ванны с постоянной температурой и температура образца устанавливаются при 30°C. Затем открывают воздушные клапаны V1 (главный клапан) и V2 (выпускной клапан), и секция вакуумного отсоса работает при вакууме внутри вакуумного сосуда приблизительно 0,01 мм рт.ст. с сушкой образца. Масса в тот момент, когда масса образца не изменяется, определяется как «сухая масса». Поскольку воздух растворяется в воде как в жидком растворителе, должна быть осуществлена деаэрация. Сначала вода загружается в резервуар жидкости, работает секция вакуумного отсоса, воздушный клапан V2 и воздушный клапан V3 (клапан резервуара жидкости) поочередно открываются с удалением растворенного воздуха. Вышеуказанная операция повторяется несколько раз, и время, когда будет установлено, что пузырьки не выходят, является концом деаэрации. После измерения сухой массы и деаэрации растворенного воздуха в воде воздушные клапаны V1 и V2 закрываются с поддержанием вакуума внутри вакуумного сосуда, и воздушный клапан V3 открывается с введением водяного пара из резервуара жидкости, и воздушный клапан закрывается. Затем воздушный клапан V1 открывается с введением пара растворителя в вакуумный сосуд, и давление измеряется датчиком давления. Если давление в вакуумном сосуде не достигает установленного давления, давление в вакуумном сосуде делается равным установленному давлению повторением вышеуказанной операции. Когда достигается равновесие, давление в вакуумном сосуде и масса становятся постоянными, и давление, температура и масса образца измеряются в этот момент как равновесные значения. При работе, как описано выше, изотерма адсорбции-десорбции может быть определена при смещении давления водяного пара. При фактическом измерении относительные давления пара для измерения адсорбированных количеств устанавливаются заранее. С установленными давлениями, например 5%, 10%, 30%, 50%, 70%, 80%, 90% и 95%, «процесс адсорбции» в настоящем изобретении относится к процессу, в котором изотерма выводится при определении количеств адсорбированной влаги в порядке от 5% вверх; и «процесс десорбции» относится к процессу, в котором после процесса адсорбции количества адсорбированной влаги определяются, когда относительное давление пара снижается от 95% в обратном порядке к процессу адсорбции. В указанном приборе давление устанавливается как относительное давление пара (% относительной влажности), и изотерма адсорбции-десорбции представлена адсорбированным количеством (%) и относительным давлением пара (% относительной влажности). Расчетные выражения адсорбированного количества и относительного давления пара показаны ниже. M=((Wk-Wc)/Wc)×100, Pk=(Q/Q0)×100, где М обозначает адсорбированное количество (%), Pk обозначает относительное давление пара (%), Wk (мг) обозначает массу образца, Wc (мг) обозначает сухую массу образца, Q0 (мм рт.ст.) обозначает давление насыщенного водяного пара воды, определенное по Antoine-формуле при использовании температуры Tk (°C) при равновесии адсорбции-десорбции, и Q (мм рт.ст.) обозначает давление, измеренное как равновесные значения. Тонкодисперсный порошок диоксида кремния, используемый в настоящем изобретении, предпочтительно имеет удельную площадь поверхности не менее 1,0 м2/г и не более 20,0 м2/г, более предпочтительно не менее 2,0 м2/г и не более 10,0 м2/г. С удельной площадью поверхности более 20,0 м2/г тонкодисперсный порошок диоксида кремния заделывается в частицы тонера. Т.е. поскольку разрушение тонера легко имеет место, возникают отрицательные эффекты, такие как снижение интенсивности изображения во второй половине срока службы. С удельной площадью поверхности менее 1,0 м2/г тонер не показывает достаточной текучести, вызывая отрицательные эффекты, такие как снижение интенсивности изображения в последней половине срока службы. Метод определения БЭТ удельной площади поверхности включает согласно методу БЭТ определения удельной площади поверхности использование анализатора удельной площади поверхности марки Gemini 2375 (Shimadzu Corp.) c использованием газообразного азота, адсорбированного на поверхности образца, и использованием многоточечного метода БЭТ для расчета удельной площади поверхности. Тонкодисперсный порошок диоксида кремния, который является признаком настоящего изобретения, имеющий средний диаметр пор в интервале от не менее 5,0 нм до не более 50,0 нм и общий объем пор с диаметром пор не менее 1,7 нм и не более 300,0 нм не более 0,200 см3/г, получают предпочтительно газофазным способом. Способы получения тонкодисперсного порошка диоксида кремния классифицируются на два типа: газофазный способ, в котором тонкодисперсный порошок диоксида кремния получается при взаимодействии соединения кремния, такого как силикат металла, галогенид кремния или силановое соединение, в газовой фазе, и мокрый способ, в котором тонкодисперсный порошок диоксида кремния получается при удалении растворителя из суспензии золя кремнезема при воздействии на силановое соединение, такое как алкоксисилан, гидролиза и реакции конденсации в смеси вода/органический растворитель, сушке и гранулировании суспензии, из которой удален растворитель. Авторами настоящего изобретения установлено, что при оптимизации условий реакции газофазного способа состояние пор поверхности тонкодисперсного порошка диоксида кремния может легко регулироваться в вышеуказанном интервале. В частности, в газофазной реакции температура в реакционной системе может быть установлена выше температуры плавления с образованием тонкодисперсного порошка диоксида кремния, имеющего небольшое число пор, т.к. он получается расплавленным. Кроме того, при регулировании скорости охлаждения из расплавленного состояния состояние пор может легко регулироваться. Быстрое охлаждение без регулирования скорости охлаждения легко образует поры, которые являются непредпочтительными. В настоящем изобретении среди парофазных способов особенно предпочтительным является парофазное окисление, поэтому тонкодисперсный порошок диоксида кремния получается прямым окислением исходного материала порошка силиката металла в химическом пламени, состоящем из кислорода и водорода. Парофазное окисление может сделать температуру внутри реакционной системы мгновенно выше температуры плавления диоксида кремния и является предпочтительным способом регулирования пористой структуры поверхности и диаметра частиц. С другой стороны, поскольку в мокром способе тонкодисперсный порошок диоксида кремния получается из суспензии золя кремнезема, полученной гидролизом и реакцией соединения кремния, тонкодисперсный порошок диоксида кремния имеет структуру, имеющую неопределенное число пор на его поверхности. Кроме того, поскольку мокрый способ имеет более низкую скорость реакции, чем парофазный способ, и имеет трудность в регулировании порораспределения, мокрый способ не является предпочтительным способом получения тонкодисперсного порошка диоксида кремния с регулируемой пористостью, которая является признаком настоящего изобретения. Содержание тонкодисперсного порошка диоксида кремния, используемого в настоящем изобретении, составляет предпочтительно не менее 0,05 мас.ч. и не более 2,00 мас.ч. по отношению к 100 мас.ч. частиц тонера. При содержании тонкодисперсного порошка диоксида кремния более 2,00 мас.ч. нарушается равновесие способности заряжаться тонера, легко вызывая такие проблемы, как снижение интенсивности и потускнение. Если содержание тонкодисперсного порошка диоксида кремния составляет менее 0,05 мас.ч., тонер имеет недостаточное количество порошка, что не обеспечивает эффект увеличения способности заряжаться при введении тонкодисперсного порошка диоксида кремния. В настоящем изобретении частицы тонера имеют средневесовой диаметр частицы (D4) не менее 4,0 мкм и не более 9,0 мкм. Регулирование диаметра частицы частиц тонера в вышеуказанном интервале обеспечивает более точное воспроизведение электростатических скрытых изображений, имеющих высокое разрешение, что является предпочтительным с точки зрения качества изображения безопасности. Кроме того, в системе, где загружается тонкодисперсный порошок диоксида кремния, имеющий среднеобъемный диаметр (D50) не менее 0,70 мкм и не более 3,00 мкм, тонкодисперсный порошок диоксида кремния наиболее эффективно действует как прослойка и почти не агрегирует даже в уплотненном состоянии. Когда частицы тонера имеют средневесовой диаметр частицы (D4) менее 4,0 мкм, тогда нарушается равновесие в диаметре частиц между тонером и тонкодисперсным порошком диоксида кремния, тонер не обеспечивается достаточной текучестью, что вызывает такие отрицательные эффекты, как снижение интенсивности во вторую половину срока службы. Когда частицы тонера имеют средневесовой диаметр частицы (D4) более 9,0 мкм, воспроизводимость электростатических скрытых изображений, имеющих высокое разрешение, снижается, что является непредпочтительным с точки зрения пригодности к качеству изображения безопасности. Тонер настоящего изобретения предпочтительно имеет кислотное число не менее 5,0 мг КОН/г и не более 50,0 мг КОН/г, более предпочтительно не менее 10,0 мг КОН/г и не более 40,0 мг КОН/г. При регулировании кислотного числа тонера в указанном интервале сродство между карбоксильной группой на поверхности частицы тонера и тонкодисперсного порошка диоксида кремния улучшается, обеспечивая надежное присутствие тонкодисперсного порошка диоксида кремния на поверхности частиц тонера. В результате обеспечивается регулирование в оптимальном интервале скорости высвобождения тонкодисперсного порошка диоксида кремния с частиц тонера, что обеспечивает стабильную способность заряжаться и улучшает длительную способность проявляться. Когда тонер имеет кислотное число менее 5,0 мг КОН/г, сродство между карбоксильной группой на поверхности частицы тонера и тонкодисперсного порошка диоксида кремния снижается, легко вызывая отделение тонкодисперсного порошка диоксида кремния от поверхности частиц тонера. В результате тонкодисперсный порошок диоксида кремния не может обеспечить эффект прослойки. Когда тонер имеет кислотное число, превышающее 50,0 мг КОН/г, нарушается равновесие способности заряжаться частиц тонера, создавая тенденцию снижения интенсивности изображения и увеличивая потускнение. Кроме того, увеличение количества адсорбированной влаги ухудшает стойкость к условиям эксплуатации. Частицы тонера настоящего изобретения предпочтительно имеют способность заряжаться отрицательно. Добавление тонкодисперсного порошка диоксида кремния, который имеет высокую способность заряжаться отрицательно к отрицательно заряжающимся частицам тонера, делает зарядку поверхности тонера однородной с обеспечением, в результате, эффекта релаксации электростатической когезии между тонерами, полученными при неоднородности зарядки. Как результат, такие агрегированные комки тонера легко разрыхляются при приложении электрического поля, скрытые изображения могут быть точно воспроизведены без переполнения скрытых изображений даже в скрытых изображениях, имеющих высокое разрешение, образованных лазерными световыми пятнами уменьшенного диаметра, что является предпочтительным с точки зрения пригодности для качества изображения безопасности. Тип связующей смолы, используемой в настоящем изобретении, включает стирольные смолы, стирольные сополимеризованные смолы, сложнополиэфирные смолы, полиольные смолы, поливинилхлоридные смолы, фенольные смолы, фенольные смолы, модифицированные натуральным каучуком, смолы малеиновой кислоты, модифицированные натуральным каучуком, акриловые смолы, метакриловые смолы, поливинилацетатные смолы, силиконовые смолы, полиуретановые смолы, полиамидные смолы, фурановые смолы, эпоксидные смолы, ксиленовые смолы, поливинилбутирали, терпеновые смолы, кумароноинденовые смолы и нефтяные смолы. Среди них предпочтительно используемыми являются стирольные сополимеризованные смолы, сложнополиэфирные смолы и гибридные смолы, получаемые смешением или частичным взаимодействием сложнополиэфирной смолы и виниловой смолы. Если используется связующая смола, включающая сложнополиэфирную смолу, имеющую карбоксильную группу на своем конце, тонкодисперсный порошок диоксида кремния, имеющий регулируемую дисперсную структуру поверхности, что является признаком настоящего изобретения, имеет более высокую и быстро нарастающую способность заряжаться и обеспечивает интенсивность изображения, стабильную в течение длительного периода времени, так что он является предпочтительно используемым. Сложнополиэфирные мономеры, составляющие сложнополиэфирные смолы или сложнополиэфирное звено вышеуказанных гибридных смол, используемых для связующей смолы согласно настоящему изобретению, включают следующие соединения. Спиртовые компоненты включают этиленгликоли, пропиленгликоли, 1,3-бутандиол, 1,4-бутандиол, 2,3-бутандиол, диэтиленгликоль, триэтиленгликоль, 1,5-пентандиол, 1,6-гександиол, неопентилгликоль, 2-этил-1,3-гександиол, гидрогенированный бисфенол А, бисфенольные производные, представленные формулой (I-1) ниже, и диолы, представленные формулой (I-2) ниже. в которой R обозначает этиленовую группу или пропиленовую группу, и x и y представляют собой каждый целое число 1 или более, и среднее от (x+y) составляет 2-10, Кислотные компоненты включают бензолдикарбоновые кислоты или их ангидриды, такие как фталевая кислота, терефталевая кислота, изофталевая кислота и фталевый ангидрид, алкилдикарбоновые кислоты или их ангидриды, такие как янтарная кислота, адипиновая кислота, себациновая кислота и азелаиновая кислота, янтарная кислота или ее ангидрид, замещенные алкилгруппой или алкенилгруппой, имеющей 6-18 углеродных атомов, и ненасыщенные дикарбоновые кислоты или их ангидриды, такие как фумаровая кислота, малеиновая кислота, цитраконовая кислота и итаконовая кислота. Сложнополиэфирная смола или сложнополиэфирное звено согласно настоящему изобретению представляют собой предпочтительно сложнополиэфирную смолу, включающую сшивающуюся структуру трех- или более валентной карбоновой кислотой или ее ангидридом и/или трех- или более атомным спиртом. Трех- или более валентные карбоновые кислоты или их ангидриды включают, например, 1,2,4-бензолтрикарбоновую кислоту, 1,2,4-циклогексантрикарбоновую кислоту, 1,2,4-нафталинтрикарбоновую кислоту, пиромеллитовую кислоту и их ангидриды или их сложные (низший алкил)эфиры; и трех- или более атомные спирты включают, например, 1,2,3-пропантриол, триметилолпропан, гексантриол и пентаэритрит. В связующей смоле настоящего изобретения ароматические спирты, которые являются стойкими к изменениям окружающей среды, являются особенно предпочтительными и включают, например, 1,2,4-бензолтрикарбоновую кислоту и ее ангидрид. Виниловые мономеры, составляющие виниловую смолу или звено винилового полимера гибридной смолы, используемой для связующей смолы согласно настоящему изобретению, включают следующие соединения: стирол и его производные, такие как стирол, орто-метилстирол, мета-метилстирол, пара-метилстирол, пара-метоксистирол, пара-фенилстирол, пара-хлоростирол, 3,4-дихлоростирол, пара-этилстирол, 2,4-диметилстирол, пара-н-бутилстирол, пара-трет-бутилстирол, пара-н-гексидстирол, пара-н-октилстирол, пара-н-нонилстирол, пара-н-децилстирол и пара-н-додецилстирол; стиролненасыщенные моноолефины, такие как этилен, пропилен, бутилен и изобутилен; ненасыщенные полиены, такие как бутадиен и изопрен; винилгалогениды, такие как винилхлорид, винилиденхлорид, винилбромид и винилфторид; сложные виниловые эфиры, такие как винилацетат, винилпропионат и винилбензоат; Они, кроме того, включают ненасыщенные двухосновные кислоты, такие как малеиновая кислота, цитраконовая кислота, итаконовая кислота, алкенилянтарная кислота, фумаровая кислота и мезаконовая кислота; ненасыщенные двухосновные ангидриды, такие как малеиновый ангидрид, цитраконовый ангидрид, итаконовый ангидрид и алкенилянтарный ангидрид; полуэфиры ненасыщенных двухосновных кислот, такие как метилмалеатный сложный полуэфир, этилмалеатный сложный полуэфир, бутилмалеатный сложный полуэфир, метилцитраконатный сложный полуэфир, этилцитраконатный сложный полуэфир, бутилцитраконатный сложный полуэфир, метилитаконатный сложный полуэфир, метилалкенилсукцинатный сложный полуэфир, метилфумаратный сложный полуэфир и метилмезаконатный сложный полуэфир; эфиры ненасыщенных двухосновных кислот, такие как диметилмалеат и диметилфумарат; Они дополнительно включают акриловые или метакриловые сложные эфиры, такие как 2-гидроксиэтилакрилат, 2-гидроксиэтилметакрилат и 2-гидроксипропилметакрилат; мономеры, имеющие гидроксильную группу, такую как 4-(1-гидрокси-1-метилбутил)стирол и 4-(1-гидрокси-1-метилгексил)стирол. В тонере настоящего изобретения виниловые смолы или звенья винилового полимера, используемые для связующей смолы, могут иметь сшивающуюся структуру, которая сшивается сшивающим агентом, имеющим, по меньшей мере, две винильные группы. Сшивающий агент, используемый в данном случае, включает, например, в качестве ароматических дивиниловых соединений дивинилбензол и дивинилнафталин, в качестве диакрилатных соединений, которые связаны с алкилцепью, этиленгликольдиакрилат, 1,3-бутиленгликольдиакрилат, 1,4-бутандиолдиакрилат, 1,5-пентандиолакрилат, 1,6-гександиолдиакрилат, неопентилгликольдиакрилат и соединения, полученные замещением акрилата вышеуказанных соединений метакрилатом, в качестве диакрилатных соединений, которые связаны с алкилцепью, имеющей простую эфирную связь, диэтиленгликольдиакрилат, триэтиленгликольдиакрилат, тетраэтиленгликольдиакрилат, полиэтиленгликоль 400-диакрилат, полиэтиленгликоль 600-диакрилат, дипропиленгликольдиакрилат и соединения, полученные замещением акрилата вышеуказанных соединений метакрилатом, в качестве диакрилатных соединений, которые связаны с цепью, имеющей ароматическую группу и простую эфирную связь, полиоксиэтилен(2)-2,2-бис(4-гидроксифенил)пропандиакрилат, полиоксиэтилен(4)-2,2-бис(4-гидроксифенил)пропандиакрилат и соединения, полученные замещением акрилата вышеуказанных соединений метакрилатом, и диакрилатные соединения сложнополиэфирного типа, например соединение Многофункциональные сшивающие агенты включают пентаэритритолтриакрилат, триметилолэтантриакрилат, триметилолпропантриакрилат, тетраметилолметантетраакрилат, (сложный олигоэфир)-акрилат и соединения, полученные замещением акрилата вышеуказанных соединений метакрилатом, и триаллилцианурат и триаллилтримеллитат. Указанные сшивающие агенты могут использоваться в количестве не менее 0,01 мас.ч. и не более 10 мас.ч., более предпочтительно не менее 0,03 мас.ч. и не более 5 мас.ч., по отношению к 100 мас.ч. других мономерных компонентов. Среди указанных сшивающих агентов, сшивающие агенты, подходяще используемые для связующей смолы с точки зрения фиксируемости и стойкости к смещению, включают ароматические дивиниловые соединения (особенно дивинилбензол) и диакрилатные соединения, которые связаны с цепью, имеющей ароматическую группу и простую эфирную связь. Инициаторы полимеризации, используемые для полимеризации вышеуказанных виниловых смол или звеньев виниловых полимеров, включают, например, 2,2′-азобисизобутиронитрил, 2,2′-азобис-(4-метокси-2,4-диметилвалеронитрил), 2,2′-азобис-(2,4-диметилвалеронитрил), 2,2′-азобис-(2-метилбутилонитрил), диметил-2,2′-азобисизобутилат, 1,1′-азобис-(1-циклогексанкарбонитрил), 2-(карбамоилазо)изобутилонитрил, 2,2′-азобис-(2,4,4-триметилпентан), 2-фенилазо-2,4-диметил-4-метоксивалеронитрил, 2,2′-азобис-(2-метилпропан), пероксиды кетона, такие как метилэтилкетонпероксид, ацетилацетонпероксид и циклогексанонпероксид, 2,2′-бис(трет-бутилперокси)бутан, трет-бутилгидропероксид, гидропероксид кумола, 1,1,3,3-тетраметилбутилгидропероксид, ди-трет-бутилпероксид, трет-бутилкумилпероксид, дикумилпероксид, В настоящем изобретении, когда вышеуказанные гибридные смолы используются в качестве связующей смолы, виниловая смола и/или компонент сложнополиэфирной смолы предпочтительно включает мономерный компонент, реакционный по отношению к обоим компонентам смолы. Среди мономеров, составляющих компоненты сложнополиэфирной смолы, мономеры, реакционные по отношению к виниловым смолам, включают, например, ненасыщенные дикарбоновые кислоты, такие как фталевая кислота, малеиновая кислота, цитраконовая кислота и итаконовая кислота, и их ангидриды. Среди мономеров, составляющих компоненты сложнополиэфирной смолы, мономеры, реакционные по отношению к компонентам сложнополиэфирной смолы, включают соединения, имеющие карбоксильную группу или гидроксильную группу, и эфиры акриловой кислоты или метакриловой кислоты. Способ получения продукта взаимодействия виниловой смолы и сложнополиэфирной смолы предпочтительно включает осуществление реакции полимеризации одной из или обеих виниловой смолы и сложнополиэфирной смолы, описанных выше, в присутствии полимера, содержащего мономерный компонент, реакционный по отношению к каждой из смол. В гибридной смоле массовое соотношение сложнополиэфирного мономера и винилового мономера составляет предпочтительно от 50/50 до 90/10, более предпочтительно от 60/40 до 85/15. При массовом соотношении сложнополиэфирного звена менее 50% способность заряжаться тонкодисперсного порошка диоксида кремния ухудшается, а при массовом соотношении сложнополиэфирного звена, превышающем 90%, равновесие способности заряжаться не только нарушается, но оказывает влияние на способность сохраняться и дисперсное состояние высвобождающего агента. Связующая смола предпочтительно включает не менее 30% мас.низкомолекулярных компонентов, имеющих молекулярную массу не более 10000, которая определяется методом ГПХ для компонентов, растворимых в тетрагидрофуране (ТГФ) ввиду низкотемпературной фиксируемости. Связующая смола предпочтительно имеет температуру стеклования не ниже 53°C и не выше 62°C ввиду фиксируемости и сохраняемости. Вышеуказанная связующая смола может использоваться в отдельности, но в настоящем изобретении связующая смола может использоваться как смесь двух видов смол, имеющих различные температуры размягчения, смолы (А) с высокой температурой размягчения и смолы (В) с низкой температурой размягчения в интервале соотношений от 90/10 до 10/90. В такой системе молекулярно-массовое распределение тонера может быть относительно легко разработано, и тонер может быть выполнен с широкой областью фиксации, что является предпочтительным. Красителем настоящего изобретения является предпочтительно магнитный оксид железа. Поскольку использование диэлектрика – магнитного оксида железа в качестве красителя обеспечивает легкое разрыхление агрегированных комков тонера при приложении электрического поля, даже скрытые изображения, имеющие высокое разрешение, образованные лазерными световыми пятнами уменьшенного диаметра, могут точно воспроизводиться без переполнения скрытых изображений, что является предпочтительным ввиду пригодности к качеству изображения безопасности. Магнитный оксид железа также предпочтительно используется ввиду длительной стабильности в высокоскоростных машинах. В качестве магнитного оксида железа используются такие оксиды железа, как магнетит, магемит и феррит. В процессе получения магнитного оксида железа с целью улучшения микродиспергируемости магнитного оксида железа в частицах тонера суспензия предпочтительно подвергается воздействию сдвига с разрыхлением магнитного оксида железа. В настоящем изобретении количество магнитного оксида железа, включенного в тонер, составляет предпочтительно не менее 20 мас.ч. и не более 200 мас.ч., более предпочтительно не менее 30 мас.ч. и не более 150 мас.ч., по отношению к 100 мас.ч. связующей смолы. В настоящем изобретении, если требуется, может использоваться воск, чтобы сделать тонер высвобождаемым. В качестве воска предпочтительно используются углеводородные воски, такие как низкомолекулярные полиэтилены, низкомолекулярные полипропилены, микрокристаллические воски и парафиновые воски, благодаря их легкой диспергируемости в тонере и высокой высвобождаемости, но, когда необходимо, могут использоваться вместе один или более других восков в небольшом количестве. Примерами является следующее: оксиды алифатических углеводородных восков, такие как окисленные полиэтиленовые воски или их блок-сополимеры; воски, включающие эфиры жирных кислот в качестве главного компонента, такие как воск карнауба, воск сазоль и воск эфира монтановой кислоты; и воски, полученные кислотной отмывкой частично или полностью эфиров жирных кислот, такие как кислотноотмытый воск карнауба. Другие примеры включают насыщенные линейные жирные кислоты, такие как пальмитиновая кислота, стеариновая кислота и монтановая кислота; ненасыщенные жирные кислоты, такие как брассидиновая кислота, элеостеариновая кислота и валиналиновая кислота; насыщенные спирты, такие как стеариловый спирт, аралкиловый спирт, бегениловый спирт, карнаубиловый спирт, цериловый спирт и мелиссиловый спирт; длинноцепочечные алкиловые спирты; многоатомные спирты, такие как сорбит; амиды жирных кислот, такие как амид линоленовой кислоты, амид олеиновой кислоты и амид лауриновой кислоты; бисамиды насыщенных жирных кислот, такие как амид метиленбисстеариновой кислоты, амид этиленбискаприновой кислоты и амид гексаметиленбисстеариновой кислоты; амиды ненасыщенных жирных кислот, такие как амид этиленбисолеиновой кислоты, амид гексаметиленбисолеиновой кислоты, амид N,N’-диолеиладипиновой кислоты и амид N,N’-диолеилсебациновой кислоты; ароматические бисамиды, такие как амид мета-ксилолбисстеариновой кислоты и амид N,N’-дистеарилизофталевой кислоты; металлические соли жирных кислот (обычно называемые металлическими мылами), такие как стеарат кальция, лаурат кальция, стеарат цинка и стеарат магния; воски, полученные прививкой виниловых мономеров, таких как стирол и акриловая кислота, к алифатическим углеводородным воскам; и частично этерифицированные соединения жирных кислот и многоатомных спиртов, такие как моноглицерид бегеновой кислоты, и соединения сложного метилового эфира, имеющие гидроксильную группу, полученные гидрогенизацией растительных масел. Добавки против слипания, особенно предпочтительно используемые в настоящем изобретении, включают алифатические углеводородные воски. Такие алифатические углеводородные воски включают, например, низкомолекулярные алкиленовые полимеры, получаемые радикальной полимеризацией алкилена под высоким давлением или полимеризацией алкилена под низким давлением с использованием катализатора Циглера; алкиленовые полимеры, получаемые пиролизом высокомолекулярного алкиленового полимера; синтетические углеводородные воски, получаемые из дистилляционных остатков, полученных из синтетического газа, содержащего монооксид углерода и водород, по Arge-способу, и синтетические углеводородные воски, получаемые гидрогенизацией вышеуказанных синтетических углеводородных восков; и соединения, получаемые фракционированием указанных алифатических углеводородных восков при использовании пресс-выпотевания, растворного способа, вакуумной дистилляции или фракционной кристаллизации. Углеводороды, как основа вышеуказанных алифатических углеводородных восков, включают, например, углеводородные соединения (например, соединения, синтезированные synthol-способом и гидроугольным способом (с использованием псевдоожиженного каталитического слоя)), синтезированные реакцией монооксида углерода и водорода с использованием металлоксидного катализатора (во многих случаях бинарный или многокомпонентный катализатор); углеводороды, имеющие до нескольких сотен углеродных атомов, полученные Arge-способом (с использованием неподвижного каталитического слоя), который может дать многовоскообразный углеводород; и углеводороды, полученные полимеризацией алкиленов, таких этилен, катализатором Циглера. В настоящем изобретении среди указанных углеводородов предпочтительными являются углеводороды, имеющие мало и меньшие разветвления и длинные насыщенные прямые цепи, и углеводороды, синтезированные иначе, чем полимеризация алкиленов, являются особенно предпочтительными с точки зрения молекулярно-массового распределения. Отдельные доступные примеры включают Viscol® 330-P, 550-P, 660-P, TS-200 (Sanyo Chemical Industries, Ltd.), HI-WAX 400P, 200P, 100P, 410P, 420P, 320P, 220P, 210P, 110P (Mitsui Chemical, Inc.), Sasol H1, H2, C80, C105, C77 (Schuman-Sasol Co.), HNP-1, HNP-3, HNP-9, HNP-10, HNP-11, HNP-12 (Nippon Seiro Co., Ltd.), Unilin® 350, 425, 550, 700, Unisid® 350, 425, 550, 700 (Toyo Petrolite Co.), и японский воск, пчелиный воск, рисовый воск, канделилла-воск и карнауба-воск (доступные от Cerarica NODA Co., Ltd.). Добавка против слипания может быть введена при плавлении/смешении в получении тонера или в получении связующей смолы и подходяще выбрана из существующих способов. Добавка против слипания может использоваться в отдельности или в комбинации добавок. Предпочтительно вводится не менее 1 мас.ч. и не более 20 мас.ч. добавки против слипания на 100 мас.ч. связующей смолы. Введение менее 1 мас.ч. не может обеспечить желаемый достаточный противослипающий эффект, и введение, превышающее 20 мас.ч., вызывает плохое диспергирование в тонере, адгезию тонера к светочувствительному элементу и поверхностное загрязнение проявляющих элементов и чистящих элементов, легко вызывая такие проблемы, как ухудшение тонерных изображений. Когда тонер используется как немагнитный тонер, в качестве красящего вещества могут использоваться пигменты или красители, описанные ниже. В качестве красящего вещества могут использоваться углеродные сажи, один или более других традиционных пигментов или красителей. Красители включают следующее: C.I. прямой красный 1, C.I. прямой красный 4, C.I. кислотный красный 1, C.I. основный красный 1, C.I. протрава красная 30, C.I. прямой голубой 1, C.I. прямой голубой 2, C.I. кислотный голубой 9, C.I. кислотный голубой 15, C.I. основный голубой 3, C.I. основный голубой 5, C.I. протрава голубая 7, C.I. прямой зеленый 6, C.I. основный зеленый 4 и C.I. основный зеленый 6. Пигменты включают следующее: хром желтый, кадмий желтый, минерал прочный желтый, Naple-желтый, нафтол желтый S, Hanza-желтый G, стойкий желтый NCG, тартразин-лак, хром оранжевый, молибден оранжевый, стойкий оранжевый GTR, пирозолон оранжевый, бензидин оранжевый G, кадмий красный, стойкий красный 4R, охраняющая красная кальциевая соль, эозиновый лак, бриллиантовый кармин 3 В, марганец фиолетовый, прочный фиолетовый В, метилфиолетовый лак, железо синее, кобальт синий, щелочеголубой лак, Виктория-голубой лак, фталоцианин голубой, прочная лазурь, индатрен голубой ВС, хром зеленый, оксид хрома, пигмент зеленый В, малахитовый зеленый лак и отделочный желто-зеленый G. Когда тонер настоящего изобретения используется как тонер, образующий насыщенные цветные изображения, имеются следующие красящие вещества. Красящие пигменты для магенты включают C.I. пигмент красный 1, 2, 3, 4, 5, 6, 7, 8, 9, 10, 11, 12, 13, 14, 15, 16, 17, 18, 19, 21, 22, 23, 30, 31, 32, 37, 38, 39, 40, 41, 48, 49, 50, 51, 52, 53, 54, 55, 57, 58, 60, 63, 64, 68, 81, 83, 87, 88, 89, 90, 112, 114, 122, 123, 163, 202, 206, 207, 209, C.I. пигмент фиолетовый 19, C.I. кубовый красный 1, 2, 10, 13, 15, 23, 29 и 35. Хотя пигмент магента может использоваться в отдельности, улучшение характеристики цвета при использовании красителя вместе с пигментом является более предпочтительным с точки зрения качества изображения насыщенных цветных изображений. Красители для магенты включают маслорастворимые красители, такие как C.I. растворимый красный 1, 3, 8, 23, 24, 25, 27, 30, 49, 81, 82, 83, 84, 100, 109, 121, C.I. дисперсный красный 9, C.I. растворимый фиолетовый 8, 13, 14, 21, 27 и C.I. дисперсный фиолетовый 1, и основные красители, такие как C.I. основный красный 1, 2, 9, 12, 13, 14, 15, 17, 18, 22, 23, 24, 27, 29, 32, 34, 35, 36, 37, 38, 39, 40, C.I. основный фиолетовый 1, 3, 7, 10, 14, 15, 21, 25, 26, 27 и 28. Красящие пигменты для циана включают C.I. пигмент голубой 2, 3, 15, 16, 17, C.I. кубовый голубой 6, C.I. кислотный голубой 45 и пигменты фталоцианина меди, полученные замещением 1-5 фталимидометильных групп на фталоцианиновом скелете, имеющем следующую структуру. Красящие пигменты для желтого включают C.I. пигмент желтый 1, 2, 3, 4, 5, 6, 7, 10, 11, 12, 13, 14, 15, 16, 17, 23, 35, 73, 83, C.I. кубовый желтый 1, 3 и 20. Красящее вещество составляет не менее 0,1 мас.ч. и не более 60 мас.ч., более предпочтительно не менее 0,5 мас.ч. и не более 50 мас.ч., по отношению к 100 мас.ч. компонента смолы. Тонер настоящего изобретения может использовать зарядрегулирующий агент для стабилизации способности заряжаться. Хотя зарядрегулирующий агент зависит от его типа, свойств других материалов, составляющих частицы тонера, и т.п., зарядрегулирующий агент обычно, предпочтительно, содержится в частицах тонера в количестве не менее 0,1 мас.ч. и не более 10 мас.ч., более предпочтительно не менее 0,1 мас.ч. и не более 5 мас.ч., по отношению к 100 мас.ч. связующей смолы. Среди таких зарядрегулирующих агентов известны зарядрегулирующие агенты, которые регулируют тонер для придания ему отрицательного заряда и которые регулируют тонер для придания ему положительного заряда, и в зависимости от типа и применения тонера могут использоваться один или более различных зарядрегулирующих агентов. В качестве зарядрегулирующих агентов, которые регулируют тонеры для придания им отрицательного заряда, эффективными являются, например, металлоорганические комплексы и хелатные соединения. Их примеры включают моноазометаллические комплексы, ацетилацетонметаллические комплексы и металлические комплексы или металлические соли ароматической оксикарбоновой кислоты или ароматической дикарбоновой кислоты. В качестве зарядрегулирующих агентов, которые регулируют тонеры для придания им отрицательного заряда, другие примеры включают ароматические моно- и многоосновные карбоновые кислоты, их металлические соли и их ангидриды; и фенольные производные сложных эфиров и бисфенолов. Среди них особенно предпочтительно используемыми являются металлические комплексы или металлические соли ароматической оксикарбоновой кислоты, которые могут обеспечить стабильную способность заряжаться. В настоящем изобретении, поскольку преимущественно используются отрицательно заряженные частицы тонера, предпочтительно используются отрицательно заряжающие регулирующие агенты или отрицательно заряжающие регулирующие смолы. Зарядрегулирующие агенты, которые регулируют тонеры для придания им положительного заряда, включают, например, соединения, модифицированные нигрозином, металлические соли жирных кислот и т.п.; четвертичные аммониевые соли, такие как трибутилбензиламмоний-1-гидрокси-4-нафтосульфонат и тетрабутиламмонийтетрафторборат, и ониевые соли фосфония и другие, которые являются его аналогами, и их лаковые пигменты; трифенилметановые красители и их лаковые пигменты (лакирующие агенты включают фосфовольфрамовую кислоту, фосфомолибденовую кислоту, фосфовольфрамомолибденовую кислоту, дубильную кислоту, лауриновую кислоту, галловую кислоту, железосинеродистую кислоту и ферроцианиды); металлические соли высших алифатических кислот; диорганооловооксиды, такие как дибутилоловооксид, диоктилоловооксид и дициклогексилоловооксид; и диорганооловобораты, такие как дибутилоловоборат, диоктилоловоборат и дициклогексилоловоборат.В настоящем изобретении они могут использоваться в отдельности или в комбинации двух или более. В качестве зарядрегулирующих агентов, которые регулируют тонеры для придания им положительного заряда, среди них особенно предпочтительно используемыми являются зарядрегулирующие агенты, такие как соединения нигрозина и четвертичные аммониевые соли. Отдельные доступные примеры включают Spilon Black TRH, T-77, T-95 (Hodogaya Chemical Co., Ltd.), BONTRON® S-34, S-44, S-54, E-84, E-88, E-89 (Orient Chemical Industries, Ltd.), и предпочтительными примерами агентов, придающих положительный заряд, являются TP-302, TP-415 (Hodogaya Chemical Co., Ltd.), BONTRON® N-01, N-04, N-07, P-51 (Orient Chemical Industries, Ltd.) и Copy Blue PR (Clarient International Ltd.). Также могут использоваться зарядрегулирующие смолы, и они могут использоваться вместе с зарядрегулирующими агентами, описанными выше. В тонер настоящего изобретения, когда требуется, могут быть введены другие внешние добавки. Внешние добавки включают, например, тонкодисперсные частицы смолы и тонкодисперсные неорганические частицы, действующие как вспомогательный заряжающий агент, агент, придающий проводимость, ингибитор слеживания, высвобождающий агент в фиксированное время горячим валком, смазочный материал, абразивный материал и т.п. Смазочные материалы включают, например, порошок полиэтиленфторида, порошок стеарата цинка и порошок поливинилиденфторида. Среди них порошок поливинилиденфторида является предпочтительным. Абразивные материалы включают порошок оксида церия, порошок карбида кремния и порошок титаната стронция. Указанные внешние добавки полностью смешиваются смесителем, таким как смеситель Хеншеля, с получением тонера настоящего изобретения. Для получения тонера настоящего изобретения связующая смола, красящее вещество и другие внешние добавки полностью смешиваются смесителем, таким как смеситель Хеншеля или шаровая мельница, затем расплавляются и смешиваются термопластикатором, таким как горячий ролл, пластикатор или экструдер, измельчаются и классифицируются после охлаждения и затвердевания и, кроме того, необязательно, полностью смешиваются с желаемыми добавками смесителем, таким как смеситель Хеншеля, с получением тонера настоящего изобретения. Смесители включают, например, смеситель Хеншеля (Mitui Mining Co., Ltd.), супермиксер (Kawata Mfg.Co., Ltd.), Ribocone (Okawara Corp.), Nauter-смеситель, турбулизатор, цикломикс (Hosokawa Micron Corp.), спиральный стержневой смеситель (Pacific Machinery & Engineering Co., Ltd.) и смеситель Лодига (Matsubo Corp.); пластикаторы включают KCR-пластикатор (Kurimoto, Ltd.), Buss-сопластикатор (Buss AG), ТЕМ-экструдер (Toshiba Machine Co., Ltd.), двухшнековый ТЕХ-пластикатор (Japan Steel Works, Ltd.), РСМ-пластикатор (Ikegai Corp.), трехвалковую мельницу, смесительную валковую мельницу, пластикатор (Inoue Mfg., Inc.), Kneadex (Mitui Mining Co., Ltd.), компрессионный пластикатор MS-типа, пластикатор-мешалку (Moriyama Co., Ltd.) и смеситель Бенбери (Kobe Steel, Ltd.); мельницы включают противоструйную мельницу, Micron Jet, Inomizer (Hosokawa Micron Corp.), IDS-мельницу, PJM струйную дробилку, поперечноструйную мельницу (Kurimoto, Ltd.), Ulmax (Nisso Engineering Co., Ltd.), SK Jet-O-Mil (Seishin Enterprise Co., Ltd.), Kriptron (Kawasaki Heavy Industries, Ltd.), турбомельницу (Turbo Kogyo Co., Ltd.) и суперротор (Nisshin Engineering Inc.); классификаторы включают Classiel, микронный классификатор, Spedic классификатор (Seishin Enterprise Co., Ltd.), турбоклассификатор (Nisshin Engineering Inc.), микронный сепаратор, Turboplex (ATP), TSP сепаратор (Hosokawa Micron Corp.), Elbow Jet (Nittetsu Mining Co., Ltd.), дисперсионный сепаратор (Nippon Pneumatic Mfg. Co., Ltd.) и YM Microcut (Yasukawa Shoji, Ltd.); и просеивающие машины для просеивания грубых частиц или подобного включают ультразвуковую машину (Koei Sangyo Co., Ltd.), Resonasieve, гиропросеивающую машину (Tokuju Corp.), виброзвуковую систему (Dalton Inc.), Soniclean (Sintokogyo, Ltd.), турбофильтр (Turbo Kogyo Co., Ltd.), микропросеивающую машину (Makino Mfg. Co., Ltd.) и круглые вибрационные сита. Физические свойства тонера настоящего изобретения определяются следующим образом. Примеры, описанные далее, также основаны на указанных методах. (1) Измерение диаметра частиц тонера Хотя распределение частиц по диаметру может быть определено различными методами, в настоящем изобретении оно определяется с использованием прибора Multisizer of Coulter Counter. Multisizer of Coulter Counter типа IIE (Beckman Coulter, Inc.) используется в качестве измерительного прибора и соединяется с интерфейсом (Nikkakibios Co., Ltd.) и аналитическим компьютером с выдачей цифрового распределения и объемного распределения; и 1% водный раствор NaCl получают с использованием хлорида натрия специального или первого сорта в качестве электролитического раствора. Метод измерения включает введение 0,1-5 мл поверхностно-активного вещества (предпочтительно алкилбензолсульфоната) в качестве диспергатора в 100-150 мл электролитического водного раствора и затем введение 2-20 мг образца для измерения. Электролитический раствор, в котором суспендирован образец, диспергируется в течение приблизительно 1-3 мин ультразвуковым диспергатором, и диаметр частиц тонера измеряется прибором Multisizer of Coulter Counter типа IIE с использованием апертуры 100 мкм. Объем и число тонера определяются с расчетом объемного распределения и числового распределения. Затем по объемному распределению определяют средневесовой диаметр частиц (D4) по весу. (2) Определение кислотного числа В настоящем изобретении кислотное число может быть определено следующим методом. Основная операция осуществляется в соответствии с JIS K-0070. 1. Точно взвешивают 0,5-2,0 г тонера, и массу тонера обозначают как W (г). 2. Образец загружают в 300-мл химический стакан и добавляют и растворяют в 150 мл смешанного раствора толуол/этанол (4/1). 3. Полученный раствор титруют с использованием раствора 0,1Н КОН в метаноле и с использованием прибора потенциометрического титрования (например, автоматическое титрование с использованием потенциометрического титратора AT-400 (автоматизированное рабочее место), выпускаемого фирмой Kyoto Electronics Mfg. Co., Ltd., и может использоваться электрическая бюретка АВР-410). 4. Израсходованное количество раствора КОН в титровании обозначается как S (мл), и израсходованное количество раствора КОН, одновременно измеренное как холостой опыт, обозначается как В (мл). 5. Кислотное число рассчитывают по следующему выражению, где f представляет собой коэффициент КОН. кислотное число (мг КОН/г)=((S-B)×f×5,61)/W. (3) Определение температуры размягчения связующей смолы Температура размягчения измеряется прибором для определения текучести Koka-типа согласно JIS K7210. Специальная методика описана ниже. При использовании прибора для определения текучести Koka-типа (Shimadzu Corp.) 1 cм3 образец, когда он нагревается со скоростью повышения температуры 6°C/мин, нагружают нагрузкой 1960 Н/м2 (20 кг/см2) плунжером с тем, чтобы экструдировать его через сопло диаметром 1 мм и длиной 1 мм. Поэтому получают кривую «количество опускающегося плунжера (значение текучести) – температура»; когда высота S-образной кривой обозначается как h, температура при h/2 (температура, когда вытекает половина смолы) обозначается как температура размягчения. (4) Определение температуры стеклования связующей смолы Измерительный прибор: дифференциальный сканирующий калориметр ((ДСК)(DSC)) MDSC-2920 (изготовитель – TA Instruments). Измерение проводится в соответствии с ASTM D3418-82. Точно взвешивают 2-10 мг, предпочтительно 3 мг, образец для измерений. Взвешенный образец загружают в алюминиевую чашку, и измерение проводят при скорости повышения температуры 10°C/мин в температурном интервале измерения от 30 до 200°C при обычной влажности с использованием пустой чашки в качестве эталона. Анализ проводят с использование ДСК-кривой в интервале температур от 30 до 200°C, полученной от процесса возрастания температуры за второе время. (5) Определение молекулярно-массового распределения методом гельпроникающей хроматографии ((ГПХ)(GPC)) Колонку термостатируют в термокамере при 40°C, тетрагидрофуран (ТГФ) используют в качестве растворителя с протеканием через колонку при данной температуре со скоростью потока 1 мл/мин, и приблизительно 100 мкл тетрагидрофуранового раствора образца вводят для измерения. По молекулярной массе образца молекулярно-массовое распределение образца рассчитывают как отношение между логарифмическим значением и счетным значением калибровочной кривой, полученной при использовании нескольких видов эталонных образцов монодисперсного полистирола. В качестве эталонных образцов полистирола для получения калибровочной кривой используют, например, эталонные образцы полистирола, молекулярные массы которых составляют приблизительно 102-107, изготовленные фирмой Tosoh Corp. или Showa Denko K.K., и использование, по меньшей мере, десяти видов эталонных образцов полистирола является подходящим. Датчиком является датчик ПП (RI) (показателя преломления). Предпочтительно используется комбинация ряда коммерчески доступных гелевых колонок для полистирола, включая, например, Shodex GPC KF-801, 802, 803, 804, 805, 806, 807 и 800Р, выпускаемых фирмой Showa Denko K.K., и комбинация TSgel G1000H (HXL), G2000H (HXL), G3000H (HXL), G4000H (HXL), G5000H (HXL), G6000H (HXL), G7000H (HXL) и колонки TSkgurd, выпускаемых фирмой Tosoh Corp. Образцы получают следующим образом. Образец вводят в ТГФ, позволяют выстояться при 25°C в течение нескольких часов, встряхивают до полного смешения с ТГФ (до тех пор, пока не будет комков образца) и дополнительно позволяют выстояться при 25°C в течение, по меньшей мере, 12 ч. В данный момент время выстаивания в ТГФ должно составить 24 ч. Затем ТГФ раствор пропускают через фильтр очистки образца (например, используется My Shori-Disk H-25-2 (Tosoh Corp.), диаметр пор 0,2-0,5 мкм) с получением раствора образца для ГПХ. Концентрацию образца корректируют так, чтобы она стала 0,5-5 мг/мл относительно компонента смолы. Примеры Выше были описаны основные построения и характеристики настоящего изобретения, а далее настоящее изобретение будет описано, в частности, путем примеров. Однако варианты настоящего изобретения не ограничиваются этим. «Части», приведенные в таблицах 3 и 4, означают «части по массе». Пример получения связующей смолы 1
Вышеуказанные кислотные компоненты и спиртовые компоненты, те и другие являющиеся мономерами для получения сложнополиэфирного звена, и 2-этилгексаноат олова в качестве катализатора загружают в четырехгорлую колбу; причем колба обеспечена устройством, понижающим давление, устройством, отделяющим воду, устройством введения азотного газа, устройством измерения температуры и перемешивающим устройством; затем в течение 4 ч с помощью капельной воронки загружают по каплям смесь 25 мас.ч. мономеров, указанных ниже, для получения звена стирол-акриловой смолы на 100 мас.ч. мономерных компонентов, описанных выше для получения сложнополиэфирного звена, и инициатор полимеризации (пероксид бензоила), когда раствор перемешивается в азотной атмосфере при температуре 130°C.
Раствор выдерживается при 130°C и вызревает в течение 3 ч, и температура повышается до 230°C в течение реакции. После завершения реакции продукт отбирают из колбы и измельчают с получением связующей смолы 1 (Н), которая включает компонент сложнополиэфирной смолы, компонент винилового полимера и компонент гибридной смолы, полученной химическим соединением сложнополиэфирного звена и звена стирол-акриловой смолы, и которая имеет температуру размягчения 131°C.
Вышеуказанные кислотные компоненты и спиртовые компоненты как мономеры для получения сложнополиэфирного звена и 2-этилгексаноат олова в качестве катализатора загружают в четырехгорлую колбу, причем колба обеспечена устройством, понижающим давление, устройством, отделяющим воду, устройством введения азотного газа, устройством измерения температуры и перемешивающим устройством; затем в течение 4 ч с помощью капельной воронки загружают по каплям смесь 25 мас.ч. мономеров, указанных ниже, для получения звена стирол-акриловой смолы на 100 мас.ч. мономерных компонентов, описанных выше для получения сложнополиэфирного звена, и инициатор полимеризации (пероксид бензоила), когда раствор перемешивается в азотной атмосфере при температуре 130°C.
Раствор выдерживается при 130°C и вызревает в течение 3 ч, и температура повышается до 230°C в течение реакции. После завершения реакции продукт отбирают из колбы и измельчают с получением связующей смолы 1 (L), которая включает компонент сложнополиэфирной смолы, компонент винилового полимера и компонент гибридной смолы, полученной химическим соединением сложнополиэфирного звена и звена стирол-акриловой смолы, и которая имеет температуру размягчения 99°C. 60 мас.ч. связующей смолы 1(Н) и 40 мас.ч. связующей смолы 1(L) смешивают в смесителе Хеншеля с получением связующей смолы 1. Связующая смола 1 имеет температуру стеклования 59°C и температуру размягчения 128°C и включает 37% мас.компонентов, имеющих молекулярную массу не более 10000, определенную методом ГПХ. Пример получения связующей смолы 2
Вышеуказанные кислотные компоненты и спиртовые компоненты и катализатор этерификации загружают в четырехгорлую колбу, причем колба обеспечена устройством, понижающим давление, устройством, отделяющим воду, устройством введения азотного газа, устройством измерения температуры и перемешивающим устройством, и реакция осуществляется в азотной атмосфере при увеличении температуры до 230°C. После завершения реакции продукт отбирают из колбы, охлаждают и измельчают с получением связующей смолы 2 (Н), имеющей температуру размягчения 142°C.
Вышеуказанные кислотные компоненты и спиртовые компоненты, как мономеры для получения сложнополиэфирного звена, и катализатор этерификации загружают в четырехгорлую колбу, причем колба обеспечена устройством, понижающим давление, устройством, отделяющим воду, устройством введения азотного газа, устройством измерения температуры и перемешивающим устройством, и реакция осуществляется в азотной атмосфере при увеличении температуры до 230°C. После завершения реакции продукт отбирают из колбы и измельчают с получением связующей смолы 2 (L), имеющей температуру размягчения 97°C. 70 мас.ч. связующей смолы 2(Н) и 30 мас.ч. связующей смолы 2(L) смешивают в смесителе Хеншеля с получением связующей смолы 2. Связующая смола (2) имеет температуру стеклования 56°C и температуру размягчения 134°C и включает 36% мас.компонентов, имеющих молекулярную массу не более 10000, определенную методом ГПХ. Пример получения связующей смолы 3
Вышеуказанную мономерную композицию смешивают с 200 мас.ч. ксилола, температура которого повышается до температуры дефлегмации. Полимеризация в растворе проводится в течение 6 ч при дефлегмации ксилола с получением раствора низкомолекулярной смолы. С другой стороны, следующую мономерную композицию смешивают, суспендируют и диспергируют в 200 мас.ч. деаэрированной воды и 0,2 мас.ч. поливинилового спирта.
Суспендированный и диспергированный раствор нагревают, выдерживают при 80°C в течение 24 ч в азотной атмосфере для завершения полимеризации, обезвоживают и сушат с получением высокомолекулярной смолы. 77 мас.ч. высокомолекулярной смолы загружают в вышеуказанный раствор низкомолекулярной смолы (содержащий 23 мас.ч. фракции смолы), полностью растворяют и смешивают в растворе и затем перегоняют под вакуумом при высокой температуре (180°C) для удаления растворителя с получением связующей смолы 3. Связующая смола 3 имеет температуру стеклования 60°C и температуру размягчения 128°C и включает 38% мас.компонентов, имеющих молекулярную массу не более 10000, определенную методом ГПХ. Пример получения мелкодисперсного порошка диоксида кремния В-1 Смесь газообразных аргона и кислорода в объемном соотношении 3:1 вводят в реакционный сосуд взамен воздуха. Газообразный кислород и газообразный водород подают в реакционный сосуд при 40 м3/ч и 20 м3/ч, соответственно, с образованием факела пламени, состоящего из кислорода-водорода, с использованием устройства зажигания. Затем порошок силицида металла исходного материала загружают в факел пламени водородом-носителем под давлением 5 кг/см3 с образованием облаков пыли порошка. Облака пыли порошка воспламеняются факелом пламени, вызывая реакцию окисления при взрыве пыли. После реакции окисления реакционный сосуд охлаждают со скоростью 3°C/мин и получают мелкодисперсный порошок диоксида кремния В-1. Пример получения мелкодисперсного порошка диоксида кремния В-2 Мелкодисперсный порошок диоксида кремния В-2 получают, как в примере получения В-1, за исключением того, что давление газа-носителя устанавливают при 12 кг/см3. Пример получения мелкодисперсного порошка диоксида кремния В-3 Мелкодисперсный порошок диоксида кремния В-3 получают, как в примере получения В-1, за исключением того, что давление газа-носителя устанавливают при 8 кг/см3. Пример получения мелкодисперсного порошка диоксида кремния В-4 Смесь газообразных аргона и кислорода в объемном соотношении 3:1 вводят в реакционный сосуд взамен воздуха. Газообразный кислород и газообразный водород подают в реакционный сосуд при 40 м3/ч и 20 м3/ч, соответственно, с образованием факела пламени, состоящего из кислорода-водорода, с использованием устройства зажигания. Затем порошок гексаметилдисилоксана исходного материала загружают в факел пламени газом-водородом-носителем под давлением 5 кг/см3 с образованием облаков пыли порошка. Облака пыли порошка воспламеняются факелом пламени, вызывая реакцию окисления при взрыве пыли. После реакции окисления реакционный сосуд охлаждают со скоростью 3°C/мин и получают мелкодисперсный порошок диоксида кремния В-4. Пример получения мелкодисперсного порошка диоксида кремния В-5 Мелкодисперсный порошок диоксида кремния В-5 получают, как в примере получения В-1, за исключением того, что давление газа-носителя устанавливают при 3 кг/см3 и скорость охлаждения – при 5°C/мин. Пример получения мелкодисперсного порошка диоксида кремния В-6 Мелкодисперсный порошок диоксида кремния В-6 получают, как в примере получения В-1, за исключением того, что давление газа-носителя устанавливают при 1 кг/см3 и скорость охлаждения – при 10°C/мин. Пример получения мелкодисперсного порошка диоксида кремния В-7 Мелкодисперсный порошок диоксида кремния В-7 получают, как в примере получения В-4, за исключением того, что давление газа-носителя устанавливают при 1 кг/см3 и скорость охлаждения – при 20°C/мин. Пример получения мелкодисперсного порошка диоксида кремния В-8 14 л этанола и 1,5 кг 28% водного раствора аммиака загружают в 30-л реакционный сосуд, выполненный из стекла, оборудованный мешалкой, капающим впуском и термометром; затем дополнительно вдувают 0,26 кг газообразного аммиака с его абсорбированием и смешиванием с получением раствора со смешанным аммиаком. Когда смешанный раствор регулируют при (10±0,5)°C и перемешивают, загружают по каплям смешанный раствор 1130 г тетраэтоксисилана в качестве силанового соединения и 63 г 3-аминопропилтриэтоксисилана в качестве силанового соединения для гидролиза при поддержании температуры внутри реакционного сосуда при 20°C и получают суспензию мелкодисперсных частиц диоксида кремния. Мелкодисперсные частицы диоксида кремния дополнительно термообрабатывают при 250°C с получением мелкодисперсного порошка диоксида кремния В-8. Пример получения мелкодисперсного порошка диоксида кремния В-9 2,18 л воды, 7 л метанола и 1,0 кг 28% водного раствора аммиака загружают в 30-л реакционный сосуд, выполненный из стекла, оборудованный мешалкой, капающим впуском и термометром, с получением раствора со смешанным аммиаком. Когда смешанный раствор регулируют при (40±0,5)°C и перемешивают, загружают по каплям смешанный раствор 912 г тетраметоксисилана в качестве силанового соединения и 1,2 л метанола для гидролиза при поддержании температуры внутри реакционного сосуда при 40°C и получают суспензию мелкодисперсных частиц диоксида кремния. Мелкодисперсные частицы диоксида кремния дополнительно термообрабатывают при 250°C с получением мелкодисперсного порошка диоксида кремния В-9. Пример получения мелкодисперсного порошка диоксида кремния В-10 Мелкодисперсный порошок диоксида кремния В-10 получают как в примере получения В-1, за исключением того, что давление газа-носителя устанавливают при 16 кг/см3. Физические свойства вышеуказанных мелкодисперсных порошков диоксида кремния (В1)-(В10) показаны в таблице 1. Пример 1
(средний диаметр частиц: 0,15 мкм; коэрцитивная сила (Нс) при 796 кА/м: 11,5 кА/м; намагниченность насыщения ( (
Вышеуказанные материалы предварительно смешивают в смесителе Хеншеля и затем расплавляют и пластицируют в двухшнековом экструдере. В данном случае время выдержки регулируется так, что температура пластицированной смолы становится 150°C. Полученный пластицированный материал охлаждают, грубо дробят молотковой мельницей и измельчают турбомельницей; полученный тонкодисперсный измельченный порошок классифицируют с использованием мультиразделительного классификатора, использующего эффект флотации, с получением частиц тонера, имеющих средневесовой диаметр частиц 5,8 мкм. Извне добавляют и смешивают с 100 мас.ч. частиц тонера 1,0 мас.ч. гидрофобного неорганического тонкодисперсного порошка «а» (диоксид кремния; удельная площадь поверхности по методу БЭТ: 140 м2/г; и гидрофобизированный с помощью 30 мас.ч. гексаметилдисилазана ((HMDS) (ГМДС)) и 10 мас.ч. диметилсиликонового масла), 0,2 мас.ч. мелкодисперсного порошка диоксида кремния В-1 и 3,0 мас.ч. титаната стронция и просеивают через сито 150 мкм в отверстии с получением тонера 1. Рецептуры тонера с внутренними добавками показаны в таблице 4 и физические свойства показаны в таблице 5. Для оценки тонера 1 в условиях высокой скорости и высокого разрешения используют модернизированную машину из коммерчески доступных копировальных машин (IR-6570, Canon Corp.), которая модернизирована до 2400 dpi и с 1,5-разовым увеличением скорости печатания. Непрерывно печатают 500000 листов с использованием испытательной схемы 5% пропорции печати в каждых условиях из среды высокой температуры и высокой влажности (30°C, 80% относительной влажности), среды обычной температуры и обычной влажности (23°C, 50% относительной влажности) и среды обычной температуры и низкой влажности (23°C, 5% относительной влажности) для оценки следующего. Интенсивность изображения, потускнение Интенсивность изображения измеряют как интенсивность отражения 5 мм круглых изображений Macbeth-денситометром (Macbeth Со.) с использованием SPI-фильтра. Для определения потускнения используют денситометр отражения (рефлектометр, модель: TC-6DS, Tokyo Denshoku Co., Ltd.), и уровень потускнения берется по Ds-Dr для оценки потускнения, где Ds обозначает наихудшую интенсивность отражения для белого фона после формирования изображения, и Dr обозначает среднюю интенсивность отражения для переводного материала до формирования изображения. Поэтому меньшее значение количества потускнения указывает на лучшее подавление потускнения. Данная оценка проводится в начальное время печатания и время печатания 500000 листов в каждой испытательной среде. Результаты оценки показаны в таблицах 6, 7 и 8. Воспроизводимость ширины строк Воспроизводимость ширины строк оценивают в начальное время печатания и после непрерывного печатания 500000 листов в каждой испытательной среде с использованием вышеуказанной испытательной машины формирования изображения по следующей методике. Скрытые изображения (горизонтальные строки) 168 мкм в ширину строки получают с использованием лазера 2400 dpi. Ширину строк после формирования изображения скрытых изображений увеличивают в 150 раз оптическим микроскопом и измеряют изображения с использованием программы анализирования изображения (Image Pro) с определением скорости изменения ширины строк скрытых изображений с использованием выражения ниже по среднему значению трех строк; воспроизводимость ширины строки оценивается по приведенному далее эталону. Результаты показаны в таблицах 6, 7 и 8. Выражение 1 скорость изменения ширины строки (%)=((ширина строки скрытого изображения) – (ширина строки формированного изображения))/(ширина строки скрытого изображения)×100 А: изменение скорости не более 5% В: изменение скорости более 5% и не более 10% С: изменение скорости более 10% и не более 20% D: изменение скорости более 20% Оценка размытия Размытие оценивают по формированию в начальное время печатания и после печатания 500000 листов в каждой испытательной среде при формировании изображений трех горизонтальных строк с интервалами 1 см в условиях получения ширины строки на листах при 168 мкм с использованием вышеуказанной испытательной машины формирования изображения. Изображения увеличивают в 150 раз оптическим микроскопом и измеряют ширину строк увеличенных изображений с интервалами 3 мкм с определением стандартных отклонений ширины строк. Среднее стандартное отклонение трех строк определяется по стандартному отклонению каждой строки. Уровень размытия оценивается по приведенному далее эталону. Результаты показаны в таблицах 6, 7 и 8. А: стандартное отклонение не более 5 В: стандартное отклонение более 5 и не более 15 С: стандартное отклонение более 15 и не более 25 D: стандартное отклонение более 25 Оценка воспроизводимости элемента изображения Воспроизводимость элемента изображения оценивают по формированию в начальное время печатания и после печатания 500000 листов в каждой испытательной среде при формировании изображений отдельного одноэлементного рисунка 2400 dpi с использованием вышеуказанной испытательной машины образования изображения. Изображения рассматривают под оптическим микроскопом с изучением воспроизводимости элемента изображения, которую оценивают по приведенному далее эталону. Результаты показаны в таблицах 6, 7 и 8. А: Никакой разброс тонера из скрытых изображений не наблюдается, и элементы изображения полностью воспроизводятся. В: Наблюдается незначительный разброс тонера из скрытых изображений. С: Наблюдается разброс тонера из скрытых изображений. D: Наблюдается значительный разброс тонера из скрытых изображений. Примеры 2-5 Тонеры 2-5 получают, как в примере 1, но с рецептурами, представленными в таблице 4 (гидрофобные тонкодисперсные неорганические порошки представлены в таблице 3, тонкодисперсные порошки диоксида кремния – в таблице 1, и воски – в таблице 2). Физические свойства полученных таким образом тонеров показаны в таблице 5. Результаты испытаний, подобных примеру 1, показаны в таблицах 6, 7 и 8. Пример 6 Тонер 6 получают, как в примере 1, но с рецептурой, представленной в таблице 4 (гидрофобный тонкодисперсный неорганический порошок представлен в таблице 3, тонкодисперсный порошок диоксида кремния – в таблице 1 и воск – в таблице 2), и с частотой вращения турбомельницы, повышенной на 10%. Физические свойства полученного таким образом тонера показаны в таблице 5. Результаты испытаний, подобных примеру 1, показаны в таблицах 6, 7 и 8. Пример 7 Тонер 7 получают, как в примере 1, но с рецептурой, представленной в таблице 4 (гидрофобный тонкодисперсный неорганический порошок представлен в таблице 3, тонкодисперсный порошок диоксида кремния – в таблице 1 и воск – в таблице 2), и с частотой вращения турбомельницы, пониженной на 20%. Физические свойства полученного таким образом тонера показаны в таблице 5. Результаты испытаний, подобных примеру 1, показаны в таблицах 6, 7 и 8. Примеры 8 и 9 Тонеры 8 и 9 получают, как в примере 1, но с рецептурами, представленными в таблице 4 (гидрофобные тонкодисперсные неорганические порошки представлены в таблице 3, тонкодисперсные порошки диоксида кремния – в таблице и воски – в таблице 2), и с частотой вращения турбомельницы, пониженной на 10%. Физические свойства полученного таким образом тонера показаны в таблице 5. Результаты испытаний, подобных примеру 1, показаны в таблицах 6, 7 и 8. Сравнительный пример 1 Тонер 10 получают, как в примере 1, но с рецептурой, представленной в таблице 4 (гидрофобный тонкодисперсный неорганический порошок представлен в таблице 3 и воск – в таблице 2), и без введения тонкодисперсного порошка диоксида кремния. Физические свойства полученного таким образом тонера показаны в таблице 5. Результаты испытаний, подобных примеру 1, показаны в таблицах 6, 7 и 8. Сравнительные примеры 2-5 Тонеры 11-14 получают, как в примере 1, но с рецептурами, представленными в таблице 4 (гидрофобные тонкодисперсные неорганические порошки представлены в таблице 3, тонкодисперсные порошки диоксида кремния – в таблице 1 и воски – в таблице 2). Физические свойства полученных таким образом тонеров показаны в таблице 5. Результаты испытаний, подобных примеру 1, показаны в таблицах 6, 7 и 8. Здесь в сравнительном примере 5 вместо тонкодисперсного порошка диоксида кремния используют оксид алюминия (ТМ10, TAIMEI Chemicals Co., Ltd.).
(Формула 3) Зарядрегулирующий агент а зарядреагирующий агент b зарядрегулирующий агент c
Настоящая заявка подтверждает приоритет Японской заявки на патент
Формула изобретения
1. Тонер, содержащий: частицы тонера, содержащие, по меньшей мере, связующую смолу и краситель, и тонкодисперсный порошок диоксида кремния, в котором тонкодисперсный порошок диоксида кремния имеет среднеобъемный диаметр (D50) 0,70 мкм или более и 3,00 мкм или менее и общий объем пор 0,200 см3/г или менее, как измерено в интервале диаметров пор от 1,7 нм или более до 300,0 нм или менее. 2. Тонер по п.1, в котором тонкодисперсный порошок диоксида кремния имеет средний диаметр пор 50,0 нм или менее. 3. Тонер по п.1, который дополнительно содержит тонкодисперсный гидрофобный неорганический порошок, имеющий удельную площадь поверхности по методу БЭТ 50 м2/г или более и 300 м2/г или менее. 4. Тонер по п.1, в котором тонкодисперсный порошок диоксида кремния имеет количество влаги 0,01 мас.% или более и 1,00 мас.% или менее, адсорбированной в процессе адсорбции при относительной влажности 80% в изотерме адсорбции-десорбции влаги при 30°С тонкодисперсного порошка диоксида кремния. 5. Тонер по п.1, в котором тонкодисперсный порошок диоксида кремния получен парофазным способом. 6. Тонер по п.5, в котором парофазный способ представляет собой способ окисления в паровой фазе.
|
||||||||||||||||||||||||||||||||||||||||||||||||||||||||||||||||||||||||||||||||||||||||||||||||||||||||||||||||||||||||||||||||||||||||||||||||||||||||||||||||||||||||||||||||||||||||||||||||||||||||||||||||||||||||||||||||||||||||||||||||||||||||||||||||||||||||||||||||||||||||||||||||||

Н05-142849, выложенная Японская заявка на патент
C тонкодисперсного порошка диоксида кремния количество влаги, адсорбированной в процессе адсорбции при относительной влажности 80%, находится предпочтительно в интервале от 0,01 до 1,00% мас.
CHARACTERIZING POWDER FLOWABILITY
(опубликованной 24 января 2002 г.), написанной by Prof. Virendra M. Puri.
)/cos
ssp
2cos2
ssp+(c/tan

-метиленалифатические монокарбоновые сложные эфиры, такие как метилметакрилат, этилметакрилат, пропилметакрилат, н-бутилметакрилат, изобутилметакрилат, н-октилметакрилат, додецилметакрилат, 2-этилгексилметакрилат, стеарилметакрилат, фенилметакрилат, диметиламиноэтилметакрилат и диэтиламиноэтилметакрилат; эфиры акриловой кислоты, такие как метилакрилат, этилакрилат, н-бутилакрилат, изобутилакрилат, пропилакрилат, н-октилакрилат, додецилакрилат, 2-этилгексилакрилат, стеарилакрилат, 2-хлорэтилакрилат и фенилакрилат; простые виниловые эфиры, такие как простой винилметиловый эфир, простой винилэтиловый эфир и простой винилизобутиловый эфир; винилкетоны, такие как винилметилкетон, винилгексилкетон и метилизопропенилкетон; N-винильные соединения, такие как N-винилпиррол, N-винилкарбазол, N-винилиндол, N-винилпирролидон; винилнафталины; и производные акриловой кислоты или метакриловой кислоты, такие как акрилонитрил, метакрилонитрил и акриламид.
-ненасыщенные кислоты, такие как акриловая кислота, метакриловая кислота, кротоновая кислота и коричная кислота; ангидриды 






