|
|
(21), (22) Заявка: 2009106737/28, 27.02.2009
(24) Дата начала отсчета срока действия патента:
27.02.2009
(46) Опубликовано: 10.04.2010
(56) Список документов, цитированных в отчете о поиске:
RU 2298814 C1, 10.05.2007. SU 1239664 A1, 23.06.1986. SU 1518815 A1, 30.10.1989. RU 2231032 C1, 20.06.2004. RU 2307332 C1, 27.09.2007. US 4405231 A, 20.09.1983.
Адрес для переписки:
123995, Москва, Д-242, ГСП-5, ул. Большая Грузинская, 10, ИФЗ РАН
|
(72) Автор(ы):
Гриднев Дмитрий Григорьевич (RU), Долов Спартак Муазинович (RU), Дударов Залим Исламович (RU), Каширгова Рузана Рамазановна (RU), Собисевич Алексей Леонидович (RU)
(73) Патентообладатель(и):
Учреждение Российской академии наук Институт физики Земли им. О.Ю.Шмидта РАН (ИФЗ РАН) (RU)
|
(54) ДЕФОРМОГРАФ
(57) Реферат:
Изобретение относится к области геофизического приборостроения и может быть использовано для измерения деформаций земной поверхности. Сущность: деформограф состоит из следующих конструктивных элементов: станины с разрезной втулкой; штанги, один конец которой закреплен в разрезной втулке, а другой связан с цанговым зажимом; фотоэлектрического преобразователя, выполненного в виде металлического экрана с прямоугольным отверстием по центру, с одной стороны которого симметрично отверстию расположен светодиод, а с другой – дифференциальный фотоэлемент; устройства типа «ласточкин хвост» с подвижной и неподвижной частями; реверсивного двигателя с редуктором; регистратора. На подвижной части устройства типа «ласточкин хвост» установлена монтажная рамка. На двух горизонтально расположенных упругих нитях монтажной рамки подвешен горизонтально и параллельно оси штанги рычаг. На свободном конце рычага закреплен экран фотоэлектрического преобразователя. Параллельно оси штанги на цанговом зажиме посредством технологического стержня закреплена первая пара цилиндрических постоянных магнитов. Перпендикулярно оси штанги и симметрично относительно нитей на упругих нитях монтажной рамки закреплена вторая пара магнитов. Магниты каждой пары выполнены с одинаковыми моментами и развернутыми относительно друг друга на 180° одноименными полюсами. Свободные концы первой пары магнитов расположены против концов второй пары магнитов, имеющих ту же полярность. На подвижной части устройства типа «ласточкин хвост» посредством кронштейна закреплено микрометрическое отсчетное устройство. Также деформограф оснащен двумя соосно установленными пружинами, одни концы которых соединены с рычагом, а другие концы – с устройством типа «ласточкин хвост» и микрометрическим отсчетным устройством соответственно. Упругие моменты пружин равны и направлены противоположно друг другу. Технический результат: повышение точности измерений. 1 ил.
Изобретение относится к геофизическому приборостроению и может быть использовано для измерения деформаций земной поверхности при поиске предвестников землетрясений, изучении внутреннего строения Земли, обнаружении искусственных возмущений земной поверхности, определении пространственного положения нефтегазовых залежей, а также при проектировании, строительстве и эксплуатации крупных гидросооружений, АЭС и промышленных объектов.
Известен деформограф, включающий емкостной датчик с монтажной рамкой, размещенной в герметичном металлическом корпусе, заполненном нейтральной жидкостью, калибровочное устройство, состоящее из металлического штока, один конец которого через герметичное отверстие введен во внутренний объем корпуса, и узел перемещения штока, состоящий из микрометрического винта, на головке которого установлен датчик перемещения, реверсивного двигателя, соединенного с микрометрическим винтом, и блока управления, подключенного к реверсивному двигателю и датчику перемещения (см. а.с. СССР 949585, G01V 1/16, 1981).
Недостатком данного деформографа является низкая точность измерений из-за большого температурного и барического коэффициентов, что не позволяет развивать большую чувствительность деформографа к смещению горных пород и затрудняет геофизическую интерпретацию его показаний.
Известен деформограф, включающий кварцевую трубу длиной 26 метров, один конец которой закреплен на горной породе, второй конец свободен, и его смещение относительно горной породы при помощи индуктивного датчика смещения регистрируется гальваническим способом (Приливные деформации Земли. Труды ИФЗ АН СССР. – М.: Наука, 1975 г. с.97-103).
Недостатком данного деформографа является низкая точность измерений из-за зависимости его показаний от вариаций атмосферного давления. Большой проблемой является подвеска столь длинной кварцевой трубы, т.к. места подвесок могут быть источником помех в показаниях деформографа. Чувствительность деформографа к смещению горной породы зависит от длины кварцевой трубы – при малой длине трубы его чувствительность настолько мала, что он становится непригодным для регистрации геофизических явлений.
Наиболее близким по технической сущности к предлагаемому изобретению является деформограф, включающий станину с разрезной втулкой, штангу, один конец которой закреплен в разрезной втулке, а второй – связан с цанговым зажимом, фотоэлектрический преобразователь, выполненный в виде экрана с прямоугольным отверстием по центру, с одной стороны которого симметрично отверстию расположен светодиод, а с другой – дифференциальный фотоэлемент, устройство типа «ласточкин хвост», реверсивный двигатель с редуктором, регистратор (Сейсмические приборы. Вып.28. М. Труды ОИФЗ РАН. 1997 г. с.15-20).
Недостатком данного деформографа является низкая точность измерений.
Техническим результатом является повышение точности измерений за счет увеличения чувствительности деформографа и точности определения масштаба записи деформографа и исключения дрейфа нуль-пункта отсчетного устройства.
Технический результат достигается в деформографе, включающем станину с разрезной втулкой, штангу, один конец которой закреплен в разрезной втулке, а второй – связан с цанговым зажимом, фотоэлектрический преобразователь, выполненный в виде экрана с прямоугольным отверстием по центру, с одной стороны которого симметрично отверстию расположен светодиод, а с другой – дифференциальный фотоэлемент, устройство типа «ласточкин хвост», реверсивный двигатель с редуктором, регистратор, установленную на подвижной части устройства типа «ласточкин хвост» монтажную рамку, в которой на двух горизонтально расположенных упругих нитях подвешен горизонтально и параллельно оси штанги рычаг, на свободном конце которого закреплен экран фотоэлектрического преобразователя, две пары цилиндрических постоянных магнитов, первая пара которых закреплена параллельно оси штанги на цанговом зажиме, а вторая пара – на упругих нитях монтажной рамки перпендикулярно оси штанги и симметрично относительно нитей, микрометрическое отсчетное устройство, закрепленное посредством кронштейна на подвижной части устройства типа «ласточкин хвост», две соосно установленные пружины, одни концы которых соединены с рычагом, а другие концы пружин соединены соответственно с устройством типа «ласточкин хвост» и микрометрическим отсчетным устройством, при этом в каждой паре магнитов последние выполнены с одинаковыми моментами и развернутыми относительно друг друга на 180° одноименными полюсами, а свободные концы первой пары магнитов расположены против концов второй пары магнитов, имеющих ту же полярность, причем упругие моменты пружин равны и направлены противоположно друг другу.
Отличительными признаками предлагаемого деформографа являются установленная на подвижной части устройства типа «ласточкин хвост» монтажная рамка, в которой на двух горизонтально расположенных упругих нитях подвешен горизонтально и параллельно оси штанги рычаг, на свободном конце которого закреплен экран фотоэлектрического преобразователя, две пары цилиндрических постоянных магнитов, первая пара которых закреплена параллельно оси штанги на цанговом зажиме, а вторая пара – на упругих нитях монтажной рамки перпендикулярно оси штанги и симметрично относительно нитей, микрометрическое отсчетное устройство, закрепленное посредством кронштейна на подвижной части устройства типа «ласточкин хвост», две соосно установленные пружины, одни концы которых соединены с рычагом, а другие концы пружин соединены соответственно с устройством типа «ласточкин хвост» и микрометрическим отсчетным устройством, выполнение магнитов в каждой паре с одинаковыми моментами и развернутыми относительно друг друга на 180° одноименными полюсами, расположение свободных концов первой пары магнитов против концов второй пары магнитов, имеющих ту же полярность, равенство упругих моментов пружин и направленность их противоположно друг другу. Установка на подвижной части устройства типа «ласточкин хвост» монтажной рамки, в которой на двух горизонтально расположенных упругих нитях подвешен горизонтально и параллельно оси штанги рычаг, на свободном конце которого закреплен экран фотоэлектрического преобразователя, позволяет повысить масштаб записи, отсчетную точность микрометрического отсчетного устройства, увеличить коэффициент усиления, что увеличивает чувствительность деформографа. Установка двух пар цилиндрических постоянных магнитов вышеуказанным образом позволяет обеспечить бесконтактную связь между штангой и фотоэлектрическим преобразователем, что исключает попадание загрязнений в местах контактов, что увеличивает точность измерений. Установка двух пружин вышеуказанным образом позволяет исключить полностью их дрейф и значительно повысить точность отсчета по микрометрическому отсчетному устройству. Установка микрометрического отсчетного устройства посредством кронштейна на подвижной части устройства типа «ласточкин хвост» позволяет повысить точность определения масштаба записи деформографа. Выполнение магнитов в каждой паре с одинаковыми моментами и развернутыми относительно друг друга на 180° одноименными полюсами позволяет полностью исключить влияние вариаций магнитного поля Земли на показания деформографа. Расположение свободных концов первой пары магнитов против концов второй пары магнитов, имеющих ту же полярность, позволяет повысить линейность показаний деформографа и увеличить коэффициент усиления сигнала. Равенство упругих моментов пружин и направленность их противоположно друг другу позволяет полностью исключить дрейф их нуль-пункта.
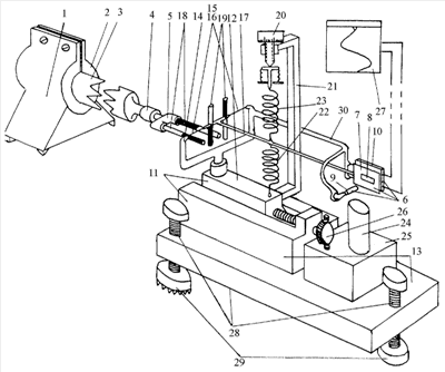
Деформограф поясняется чертежом, где на фиг.1 представлен общий вид устройства.
Деформограф включает станину 1 с разрезной втулкой 2, штангу 3, один конец которой закреплен в разрезной втулке 2, а второй – связан с цанговым зажимом 4, в котором зажат технологический стержень 5, фотоэлектрический преобразователь 6, выполненный в виде металлического экрана 7 с прямоугольным отверстием 8 по центру, с одной стороны которого симметрично отверстию расположен светодиод 9, а с другой -дифференциальный фотоэлемент 10, устройство 11 типа «ласточкин хвост» с подвижной 12 и неподвижной 13 частями, на подвижной части 12 которого установлена перпендикулярно оси штанги 3 монтажная рамка 14, в которой в вертикальной плоскости на двух горизонтально расположенных упругих нитях 15 и 16 подвешен горизонтально и параллельно оси штанги 3 рычаг 17, на свободном конце которого закреплен экран 7 фотоэлектрического преобразователя 6, две пары цилиндрических постоянных магнитов 18 и 19, первая пара 18 которых закреплена параллельно оси штанги 3 на цанговом зажиме 4 посредством технологического стержня 5, а вторая пара 19 – на упругих нитях 15 и 16 монтажной рамки 14 перпендикулярно оси штанги 3 и симметрично относительно нитей 15 и 16, микрометрическое отсчетное устройство 20, закрепленным посредством кронштейна 21 на подвижной части 12 устройства 11 типа «ласточкин хвост», две соосно установленные пружины 22 и 23, одни концы которых соединены с рычагом 17, а другие концы пружин 22 и 23 соединены соответственно с подвижной частью 12 устройства 11 типа «ласточкин хвост» и микрометрическим отсчетным устройством 20, реверсивный двигатель 24 с редуктором 25, жестко закрепленные на неподвижной части 13 устройства 11 типа «ласточкин хвост» и связанные посредством микрометрического винта 26 с подвижной частью 12 устройства 11, регистратор 27. При этом в каждой паре магнитов последние выполнены с одинаковыми магнитными моментами и развернутыми относительно друг друга на 180° одноименными полюсами, а свободные концы первой пары магнитов расположены против концов второй пары магнитов, имеющих ту же полярность, причем упругие моменты пружин равны и направлены противоположно друг другу. Устройство 11 типа «ласточкин хвост» имеет установочные винты 28 с подпятниками 29. Фотоэлектрический преобразователь 6 при помощи второго технологического стержня 30 закреплен на монтажной рамке 14.
Деформограф работает следующим образом.
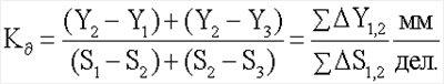
Устанавливается станина 1 и в ее разрезной втулке 2 зажимается конец штанги 3. В цанговом зажиме 4 закрепляется технологический стержень 5 с первой парой магнитов 18 таким образом, чтобы магниты находились в горизонтальной плоскости, параллельной оси штанги 3. Против первой пары магнитов 18 устанавливается устройство 11 типа «ласточкин хвост» таким образом, чтобы азимут перемещения его подвижной части 12 был параллелен оси штанги 3. При этом установочными винтами 28 устройство 11 типа «ласточкин хвост» юстируется таким образом, чтобы нижние концы второй пары магнитов 19, закрепленных на упругих нитях 15 и 16 монтажной рамки 14 были на одном уровне с осями первой пары магнитов 18. Микрометрическое отсчетное устройство 20 выводится в среднее положение. Подключается питание (2 вольта постоянного тока) светодиода 9 и реверсивного двигателя 24 (12 вольт постоянного тока). В цепь дифференциального фотоэлемента 10 подключается регистратор 27. Задается соответствующий реверс двигателя 24 и он включается. Подвижная часть 12 устройства 11 типа «ласточкин хвост» смещается в сторону первой пары магнитов 18. Так как магниты первой пары 18 и магниты второй пары 19 взаимодействуют друг с другом одинаковыми полюсами, то начиная с некоторого момента смещению подвижной части 12 устройства 11 типа «ласточкин хвост» в сторону первой пары магнитов 18 будет соответствовать такое же смещение нижних концов второй пары магнитов 19 в противоположном направлении. При этом рычаг 17, подвешенный на упругих нитях 15 и 16, будет отклоняться вверх (против часовой стрелки). В момент когда индикатор регистратора 27 займет среднее положение на его шкале, питание реверсивного двигателя 24 отключается. Такое положение индикатора регистратора 27 соответствует горизонтальному положению рычага 17. Горизонтальному положению рычага 17 соответствует такое положение металлического экрана 7 фотоэлектрического преобразователя 6, при котором разностный ток в цепи дифференциального фотоэлемента 10 равен нулю. Таким образом деформограф выводится в среднее рабочее положение. При деформации горных пород штанга 3 с закрепленными на ее конце первой парой магнитов 18 будет смещаться. Соответственно будут смещаться и нижние концы второй пары магнитов 19. При этом рычаг 17 будет отклоняться и в дифференциальном фотоэлементе 10 появиться разностный ток, знак которого будет зависеть от типа деформации горных пород (сжатия или растяжения). При сжатии горных пород рычаг 17 будет отклоняться вверх, в цепи дифференциального фотоэлемента 10 появиться разностный ток, величина которого пропорциональна величине сжатия горных пород. При растяжении горных пород рычаг 17 будет отклоняться вниз, в цепи дифференциального фотоэлемента 10 появиться разностный ток, величина которого пропорциональна величине растяжения горных пород. Полярность подключения регистратора 27 проверяется при помощи сдвигов микрометрического отсчетного устройства 20. При вращении винта против часовой стрелки рычаг будет отклоняться вверх, что соответствует сжатию горных пород. Индикатор регистратора 27 смещается вправо от среднего значения шкалы (нуля шкалы). Если смещение будет влево от среднего положения шкалы, то необходимо изменить полярность подключения регистратора 27. Для определения цены деления микрометрического отсчетного устройства 20 в мм смещения горной породы деформограф эталонируют при помощи микрометрического винта 26 подвижной части 12 устройства 11 типа «ласточкин хвост». Эталонирование осуществляется следующим образом. Берется отсчет по микрометрическому отсчетному устройству 20 S1 и отсчет индикатора по шкале регистратора 27 Y0. Затем подвижной части 12 устройства 11 типа «ласточкин хвост» задается смещение + n (например, + 0,02 мм). При этом индикатор сместиться по шкале регистратора 27. Вращением винта микрометрического отсчетного устройства 20 индикатор регистратора 27 приводится в положение Y0 и берется отсчет по микрометрическому отсчетному устройству 20 S2. Для исключения влияния линейной части деформаций горной породы во время эталонирования задается смещение подвижной части 12 устройства 11 типа «ласточкин хвост» на – n мм. При этом индикатор сместиться по шкале регистратора 27. С помощью микрометрического отсчетного устройства 20 индикатор регистратора 27 приводится в положение Y0 и берется отсчет по микрометрическому отсчетному устройству 20 S3. Цена деления С микрометрического отсчетного устройства 20 определяется из выражения:

Из многократных определений С определяется средняя цена деления микрометрического отсчетного устройства 20 Сср.
Масштаб записи деформографа определяется следующим образом. Берется отсчет индикатора на шкале регистратора 27 Y1 и отсчет по микрометрическому отсчетному устройству 20 S1. Затем задается сдвиг винту микрометрического отсчетного устройства 20 и его отсчет становится равным S2. При этом индикатор регистратора 27 сместится по шкале в положение Y2. Для исключения влияния линейной части деформации горной породы за время эталонирования задается сдвиг винту микрометрического отсчетного устройства 20 в противоположном направлении 20 и его отсчет становится равным S3, а индикатор Y3. Масштаб записи деформографа определяется из выражения:

Абсолютная деформация горной породы на базе L деформографа определяется из выражения где Y – амплитуда в ММ на шкале регистратора 27. Относительная деформация Д0 определяется из выражения 
Предлагаемый деформограф позволяет повысить точность измерений, исключить дрейф нуль-пункта отсчетного устройства, повысить точность определения масштаба записи деформографа.
Формула изобретения
Деформограф, включающий станину с разрезной втулкой, штангу, один конец которой закреплен в разрезной втулке, а второй связан с цанговым зажимом, фотоэлектрический преобразователь, выполненный в виде металлического экрана с прямоугольным отверстием по центру, с одной стороны которого симметрично отверстию расположен светодиод, а с другой – дифференциальный фотоэлемент, устройство типа «ласточкин хвост» с подвижной и неподвижной частями, реверсивный двигатель с редуктором, регистратор, отличающийся тем, что он снабжен установленной на подвижной части устройства типа «ласточкин хвост» монтажной рамкой, в которой на двух горизонтально расположенных упругих нитях подвешен горизонтально и параллельно оси штанги рычаг, на свободном конце которого закреплен экран фотоэлектрического преобразователя, двумя парами цилиндрических постоянных магнитов, первая пара которых закреплена параллельно оси штанги на цанговом зажиме посредством технологического стержня, а вторая пара – на упругих нитях монтажной рамки перпендикулярно оси штанги и симметрично относительно нитей, микрометрическим отсчетным устройством, закрепленным посредством кронштейна на подвижной части устройства типа «ласточкин хвост», двумя соосно установленными пружинами, одни концы которых соединены с рычагом, а другие концы – с устройством типа «ласточкин хвост» и микрометрическим отсчетным устройством соответственно, при этом в каждой паре магнитов последние выполнены с одинаковыми моментами и развернутыми относительно друг друга на 180° одноименными полюсами, а свободные концы первой пары магнитов расположены против концов второй пары магнитов, имеющих ту же полярность, причем упругие моменты пружин равны и направлены противоположно друг другу.
РИСУНКИ
|
|