|
|
(21), (22) Заявка: 2007146796/04, 19.12.2007
(24) Дата начала отсчета срока действия патента:
19.12.2007
(43) Дата публикации заявки: 27.06.2009
(46) Опубликовано: 10.04.2010
(56) Список документов, цитированных в отчете о поиске:
GUILBAULT G.G., KRAMER D.N. Anal. Chem., 1966, 38, 2, 7, p.834. RU 2217745 C2, 27.11.2003. RU 2005105822 A, 10.08.2006. SU 1089514 A1, 30.04.1984. SU 1569681 A1, 07.06.1990. DK 694787 A, 30.12.1987. CA 1315651 C, 06.04.1993.
Адрес для переписки:
105005, Москва, Бригадирский пер., 13, ФГУ “27 Научный центр МО РФ”, А.А.Дружинину
|
(72) Автор(ы):
Беляков Олег Васильевич (RU), Волков Вячеслав Викторович (RU), Дружинин Андрей Александрович (RU), Немков Сергей Алексеевич (RU), Синичкин Сергей Константинович (RU)
(73) Патентообладатель(и):
ФГУ “27 Научный центр МО РФ” (RU)
|
(54) СПОСОБ КАТАЛИТИЧЕСКОГО СПЕКТРОФОТОМЕТРИЧЕСКОГО ОПРЕДЕЛЕНИЯ ЦИАНИД-АНИОНА
(57) Реферат:
Изобретение относится к анализу неорганических и органических соединений применительно к решению задач экологического контроля. Способ каталитического спектрофотометрического определения цианид-аниона в органических экстрактах включает обработку раствора пробы растворами паранитробензальдегида в метилцеллозольве, хромогенного окислителя в виде бензофуроксана в метилцеллозольве и гидроокиси калия в этиловом спирте при температуре 293 K при их объемном соотношении соответственно 1:1:1:1 с последующим измерением оптической плотности и определением содержания цианид-аниона по градуировочному графику. Достигается повышение чувствительности и надежности анализа. 1 ил., 1 табл.
Изобретение относится к области анализа неорганических и органических соединений и может быть использовано в целях решения задач экологического контроля.
Известен ряд способов каталитического колориметрического определения, в которых цианид-анион является катализатором реакций конденсации органических соединений и окислительно-восстановительных реакций.
1. Цианид-анион катализирует бензоиновую конденсацию бензальдегида, продукт которой – бензоин – восстанавливает ортодинитробензол в окрашенные в синий цвет продукты [Feigl F., Caldis A. Catalytic Detection of Cyanide Through the Benzoin Condensation, Mikrochim. Acta, 1955, p.992; Franke S. u.a., Lehrbuch der Militarchemie, Bad 2, Berlin, 1967, s.616]. Открываемый минимум цианид-аниона составляет по этому способу 0,01 мкг.
2. Цианид-анион может катализировать конденсацию паранитробензальдегида в окрашенные продукты [Патент США 2753248. Paper for detection of HCN (Johnson J.E., Poor E.R.) – C.A., 1956, 50, 15352b.]. Эта реакция использована для создания индикаторной трубки на цианисто-водородную кислоту, чувствительность определения которой составляет 1,0·10-3 мг/л [пат. Чехосл. 112190, 1964, C.A., 62, 8308, 1-965; Бобков С.С., Смирнов С.К. Синильная кислота. М.: Химия, 1970, с.174].
3. Наиболее высокий уровень чувствительности определения цианид-аниона достигнут при использовании окислительно-восстановительной реакции ортодинитробензол – паранитробензальдегид с пределом обнаружения 1,0·10-6 мг/мл [Guilbault G.G., Kramer D.N. Ultra Sensitive, Specific Method for Cyanide Using p-Nitro-benzaldehide and o-Dinitrobenzene. Anal. Chem., 1966, 38, 2, 7, p.834].
Недостатком способа каталитического определения цианид-аниона на основе реакции ортодинитробензола и паранитробензальдегида, взятого нами за прототип изобретения, является неустойчивость окраски восстановленной формы ортодинитробензола, затрудняющая количественное исследование содержания цианид-аниона.
Целью изобретения является как увеличение устойчивости окраски продукта восстановления, используемого в каталитической реакции определения цианид-аниона окислителя, так и достижение более высокого уровня чувствительности определения цианид-аниона.
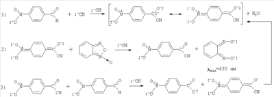
Поставленная цель достигается тем, что в способе каталитического колориметрического определения цианид-аниона на основе реакции ортодинитробензола с паранитробензальдегидом вместо ортодинитробензола применяется в качестве хромогенного окислителя бензофуроксан или производный этого ряда соединений. Раствор выбранного бензофуроксана смешивается с раствором паранитробензальдегида в метилцеллозольве и гидроокиси калия в этиловом спирте. К полученной смеси реагентов прибавляется исследуемый раствор соли щелочного металла цианисто-водородной кислоты в этиловом спирте. Смесь перемешивается и переливается в кювету для замера оптической плотности через выбранный для анализа период, составляющий 30 минут.
Замер оптической плотности проводится при длине волны максимального поглощения продукта восстановления выбранного для анализа окислителя: продукт восстановления бензофуроксана, max=435 нм, 435=1,9·103 М-1·л·см-1; продукт восстановления бис-бензофуроксана, max=400 нм, 400=9,5·103 M-l·л·см-l; продукт восстановления 6-хлор-7-метокси-бензофуроксана, max=425 нм, 425=6,3·103 М-1·л·см-1.
Нижняя граница определяемых концентраций цианид-аниона с использованием бензофуроксанов составляет для бензофуроксана – (2,0±0,3)·10-8 мг/мл; для бис-бензофуроксана – (1,3±0,2)·10-8 мг/мл; для 6-хлор-7-метоксибензо-фуроксана – (1,0±0,1)·10-8 мг/мл.
Схема процессов каталитического определения цианид-аниона:

Основу каталитического определения цианид-аниона составляет обратимость электронных переносов паранитробензциангидрина между хромогенными окислителями группы бензофуроксанов и паранитробензальдегидом в щелочной среде метилцеллозольв – этиловый спирт.
Пример. Каталитическое спектрофотометрическое определение цианид-аниона
Используемые реагенты и аппаратура
Паранитробензальдегид, ГОСТ 14049-68, дважды перекристаллизованный из 40% водно-спиртового раствора.
Бензофуроксан «ч», ТУ 6-09-07-1498-85, дважды перекристаллизованный из спирта.
Калий гидроокись «хч», ГОСТ 4203-65.
Метилцеллозольв МРТУ 6-09-6347-69. Очищается от технических примесей и перекисных соединений перегонкой в вакууме над окисью кальция или магния в токе азота. Перегнанный растворитель хранится в емкости из желтого стекла под азотом.
Спирт этиловый, ГОСТ-4197-74, перегнанный. Очищается перегонкой над окисью кальция или магния.
Весы аналитические ВЛР-200 – 1 шт.
Спектрофотометр СФ-46 – 1 шт.
Дозатор ДП-1-1000, набор – 1 комплект.
Пробирки на 10 мл – 15 шт.
Колбы конические на 100 мл – 3 шт.
Секундомер – 1 шт.
Для получения базового раствора навеску цианистого калия, взятую на аналитических весах (±0,00005 г), растворяют в этиловом спирте для получения 10 мл раствора с концентрацией 0,1 мг/мл. Рабочие растворы цианистого калия готовят последовательным разбавлением. Рабочий раствор готовится в день проведения анализа.
Калий гидроокись готовится в виде 0,2 М в этиловом спирте в объеме 20 30 мл в день анализа. Паранитробензальдегид готовится в виде 0,35 М в метилцеллозольве в объеме 20 30 мл в день анализа. Бензофуроксан (или его производные) готовится в виде 0,084 М в метилцеллозольве в объеме 20 30 мл в день анализа.
Методика построения градуировочной зависимости
Готовятся рабочие растворы цианистого калия в диапазоне концентраций (1,0·10-5-2,0·10-8) мг/мл. К 1,0 мл исследуемой концентрации цианистого калия в этиловом спирте прибавляется 1,0 мл 0,35 М паранитробензальдегида в метилцеллозольве, 1,0 мл 0,084 М раствора бензофуроксана в метилцеллозольве и 1,0 мл 0,2 М раствора гидроокиси калия в этиловом спирте. Смесь перемешивается, переливается в кювету с длиной оптического пути 1 см и устанавливается в рабочую камеру спектрофотометра. Одновременно готовится контрольный опыт, в котором вместо раствора цианистого калия используется только его растворитель – этиловый спирт. Замер оптической плотности как в опыте, так и в контроле проводится при длине волны 435 нм на 30 минуте опыта. Проводится анализ четырех-пяти концентраций цианистого калия в диапазоне концентраций от 2,0·10-8 до 1,0·10-5 мг/мл. Градуировочный график строится в координатах , который представлен на чертеже. Экспериментальные данные для его построения представлены в таблице.
Количественное каталитическое определение цианид-аниона проводят с использованием полученной градуировочной зависимости.

Неорганические анионы не мешают определению. Мешают определению органические соединения, способные к обратимому окислению и восстановлению в щелочной среде: ароматические кетоны, альфа-дикетоны, хиноны, хальконы с акцепторными группами.
Формула изобретения
Способ каталитического спектрофотометрического определения цианид-аниона в органических экстрактах, включающий обработку раствора пробы растворами пара-нитробензальдегида в метилцеллозольве, хромогенного окислителя в виде бензофуроксана в метилцеллозольве и гидроокиси калия в этиловом спирте при температуре 293 K при их объемном соотношении соответственно 1:1:1:1, с последующим измерением оптической плотности и определением содержания цианид-иона по градуировочному графику.
РИСУНКИ
|
|