Патент на изобретение №2167484
|
||||||||||||||||||||||||||
(54) СПОСОБ УПРАВЛЕНИЯ МОЩНОСТЬЮ НА СЕТЕВОМ ВХОДЕ ТРЕХФАЗНОГО ВЕНТИЛЬНОГО ПРЕОБРАЗОВАТЕЛЯ
(57) Реферат: Способ управления трехфазным мостовым преобразователем, выполненным с возможностью импульсно-фазового регулирования по вертикальному принципу выпрямленного напряжения с одновременным изменением по желаемому закону объема потребляемой или генерируемой в питающую сеть реактивной мощности при условии работы преобразователя на нагрузку индуктивного характера при постоянстве сглаженного тока нагрузки и синусоидальности сетевого напряжения. Реализация способа возможна в двух вариантах, различающихся количеством включений вентильных пар моста на периоде сетевого напряжения, а также полученными математическими выражениями управляющих воздействий на входе системы импульсно-фазового управления, с помощью которых осуществляется независимое пропорциональное регулирование активной и реактивной составляющих мощности на сетевом входе преобразователя. Технический результат – расширение функциональных возможностей. 2 з.п. ф-лы, 5 ил. Изобретение относится к преобразовательной технике и может быть применено, например, для повышения коэффициента мощности одиночно работающего вентильного преобразователя переменного тока в постоянный /режим компенсированного преобразователя/ или групповой компенсации реактивной мощности /режим компенсационного преобразователя/. В указанных областях, в связи с развитием элементной базы, большое применение начинают получать сетевые преобразователи на полностью управляемых вентилях /транзисторных ключах типа JGBT, MOSFET, двухоперационных, а также искусственно или комбинированно выключаемых тиристорах/. Одним из главных достоинств данных преобразователей является возможность плавного регулирования выпрямленного напряжения с одновременным изменением по желаемому закону объема потребляемой или генерируемой в питающую сеть реактивной мощности. Это свойство может найти применение для быстродействующей компенсации реактивной мощности, с целью демпфирования толчкообразных изменений тока и соответствующих искажений напряжения на сетевом входе вентильных преобразователей и устройств на их основе /см., например, статью Ф. Н. Голубева, В.Д. Латышко. Регулировочные и энергетические характеристики двухполупериодных преобразователей с комбинированной коммутацией вентилей. – Изв. ВУЗов, “Энергетика”, 1974 г., вып. 10, с. 52-57/. Наиболее близким к предлагаемому техническому решению следует признать “Способ управления многофазным вентильным преобразователем с искусственной коммутацией”. – Авт. св. СССР N 404171, Кл. H 02 P 13/16. Опубл. в БИ. 43, 1973 г. Сходные существенные признаки в данном случае состоят в двухкратности включения каждого вентиля на периоде сетевого напряжения, обеспечивающей регулирование реактивной мощности на сетевом входе при неизменном выпрямленном напряжении за счет соответствующего изменения углов управления вентилями. К недостаткам прототипа следует отнести ограниченные возможности реализации в связи с отсутствием в указанном алгоритме информации об изменениях управляющего сигнала на входе системы импульсно-фазового управления /СИФУ/ и способе фазовой модуляции. Кроме того, указанный способ управления не позволяет решать обратную задачу, а именно регулировать выпрямленное напряжение при сохранении постоянства заданной величины и знака реактивной мощности. Вместе с тем на практике наибольшее применение получают сравнительно простые устройства импульсно-фазового управления и широтно-импульсной модуляции 2-го рода, работа которых основывается на так называемом вертикальном принципе, предполагающем формирование импульсов управления в моменты равенства управляющего и периодически изменяющегося синхронно с сетевым напряжением опорного /развертывающего/ сигналов. Универсальность данного принципа состоит в возможности его реализации как программным, так и аппаратным способом на основе аналоговых или цифровых элементов. Таким образом, предлагаемое изобретение направлено на расширение функциональных возможностей вентильного преобразователя при регулировании средневыпрямленного напряжения, а также активной и реактивной составляющих полной мощности на сетевом входе простыми средствами управления, работающими по вертикальному принципу. Для этого предлагается независимое регулирование активной мощности P* /средневыпрямленного напряжения U*d/ и реактивной мощности Q* по произвольному закону в установленных пределах осуществлять с помощью управляющих воздействий Up, Uq на входе функционального построителя на основе вертикального принципа путем включения вентилей в моменты равенства периодически изменяющихся синхронно с сетевым напряжением опорных сигналов косинусоидальной формы и управляющих сигналов, получаемых с выходов функционального построителя, следующего вида: Uy1 = {Uq(1-Up2-Uq2)+[12Up2(Uq2+Up2)-Up2(1-Uq2-Up2)2] 1/2} [2 (Up2+Uq2)]-1;Uy2 = { Up(1+Up2+Uq2) – [16Uq2(Up2 + Uq2) – Uq2(1 + Up2 + Uq2)2] 1/2} [4(Up2 + Uq2)]-1;Uy3 = 0,25{Up + 1 + Uq[(16 – (Up + 1)2)(Uq2 + (Up + 1)2)-1]1/2}; Uy4 = 0,25{Up + 1 – Uq[(16 – (Up + 1)2)(Uq2 + (Up2 + 1)2)-1]1/2}. Реализация способа управления предлагается в двух вариантах, различающихся количеством включений вентиля на периоде сети и, соответственно, возможностями регулирования активной и реактивной мощностей. Первый вариант отличается тем, что регулирование активной мощности и средневыпрямленного напряжения при пропорциональном изменении управляющих и выходных координат Up= P*= Ud*, а также регулирование реактивной мощности при пропорциональном изменении координат Uq=Q* осуществляется при двухкратном включении каждого вентиля на периоде сетевого напряжения, а именно первый раз с отстающим относительно точки естественной коммутации углом управления а второй раз – с опережающим углом управления, по модулю равным | 2| = arccosUy2, и одновременным запиранием работавших вентилей.
Второй вариант отличается тем, что регулирование активной мощности и средневыпрямленного напряжения при пропорциональном изменении управляющих и выходных координат p = P* = Ud* при условии поддержания нулевого значения реактивной мощности Uq = Q* = 0 осуществляется при трехкратном включении каждого вентиля на периоде сетевого напряжения, а именно первый раз с отстающим относительно точки естественной коммутации углом управления 1= arccosUy3, второй раз в момент, отстоящий от точки естественной коммутации на 180o, а третий раз с опережающим углом управления, по модулю равным | 2| = arccosUy4, и одновременным запиранием работавших вентилей.
На фиг. 1, 2 представлены временные диаграммы выпрямленного напряжения Ud(v), напряжения Ua(v) и тока ia(v) фазы А на сетевом входе вентильного преобразователя, иллюстрирующие его работу при управлении, соответственно, с двух- и трехкратным включением каждой пары вентилей моста на периоде сетевого напряжения. На фиг. 3 изображены временные диаграммы управляющих Uy1, Uy2 и опорных напряжений, поясняющие работу СИФУ по вертикальному принципу, в соответствии с предложенным способом управления. На фиг. 4 представлены фазовые траектории граничных значений управляющих сигналов, обуславливающие пределы независимого пропорционального регулирования активной и реактивной мощностей. На фиг. 5 изображена схема одного из возможных вариантов реализации нового способа управления на аналоговых элементах.
Для определенности будем считать, что представленный на фиг. 5 преобразователь выполнен по трехфазной мостовой схеме выпрямления на двухоперационных вентилях, работающих на нагрузку индуктивного характера, например, якорную обмотку двигателя постоянного тока, при постоянстве сглаженного тока нагрузки Id=const и сохранении синусоидальности сетевого напряжения.
Работа мостовых схем выпрямления происходит, как известно, при попарном включении вентилей разных фаз и вентильных групп. Согласно диаграммам на фиг. 1, это происходит при чередовании следующих пар работающих вентилей на периоде: 1,6; 4,3; 1,2; 5,4; 3,2; 5,6; 3,4; 1,6; 5,4; 1,2; 5,6; 3,2. Видно, что включение каждой пары вентилей происходит на периоде сети дважды. Например, включение вентилей 1,6 происходит первый раз в момент v1 с отстающим относительно начала положительной полуволны линейного напряжения Uab на их анодах /относительно точки естественной коммутации вентиля 1 фазы A/ углом управления 1 0, а второй раз – в момент v2 с опережающим относительно указанной точки углом управления 2 0. При этом выпрямленное напряжение на каждом периоде пульсаций /3 формируется из участков противофазных линейных напряжений сети, когда первое включение кратковременно переводит преобразователь в сторону выпрямительного режима и потому не требует одновременного запирания работавших вентилей, а второе включение кратковременно переводит преобразователь в сторону инверторного режима и должно при этом сопровождаться запиранием ранее работавших вентилей. На этом же чертеже изображены кривые синусоидального напряжения Ua и тока ia фазы A на сетевом входе моста. Можно видеть, что соответствующим изменением углов управления 1,2 можно обеспечить не только плавное регулирование средневыпрямленного напряжения на выходе преобразователя, но также изменение величины и знака фазового сдвига 1 между основной гармоникой фазного тока ia1 и синусоидой напряжения Ua. Последнее означает возможность работы преобразователя как с отстающим, так и опережающим коэффициентом сдвига cos 1, то есть с потреблением или генерированием реактивной мощности в питающую сеть. При этом в зависимости от соотношения полярностей средних значений выпрямленного напряжения и тока работа может происходить в выпрямительном или инверторном режимах, то есть с потреблением или генерированием активной мощности.
Представленные диаграммы с указанием временных интервалов между переключениями вентилей на периоде фазного тока помогают получить аналитические зависимости, необходимые для организации импульсно-фазового управления вентилями в указанных режимах.
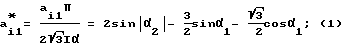
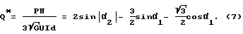
Осуществляя разложение кривой тока ia(v) в ряд Фурье, запишем выражение для косинусного и синусного коэффициента при первом слагаемом тригонометрического ряда в относительной системе координат![]() ![]() что дает возможность рассчитать действующее значение основной гармоники сетевого тока ![]() фазовый сдвиг этой гармоники относительно сетевого напряжения ![]() а также активную и реактивную мощности на сетевом входе P = 3UI1cos 1, Q = 3UI1sin 1. (5)После подстановки (1), (2) в (3), (4), (5) относительные значения активной и реактивной мощностей выразятся ![]() ![]() Замечаем, что относительное значение средневыпрямленного напряжения совпадает с относительным значением активной мощности при условии сглаженного тока Id = const ![]() Вводя понятия управляющих сигналов для осуществления пропорционального регулирования активной и реактивной мощностей Up = P* = Ud*, Uq = Q*, запишем закон управления указанными составляющими полной мощности на сетевом входе трехфазного мостового преобразователя ![]() Данная система уравнений совместна и ее решение относительно углов управления 1, 2 позволит осуществить независимое пропорциональное регулирование активной и реактивной мощностей в пределахUp Upгр; Uq = Uqгр.
Граничные значения управляющих сигналов Upгр, Uqгр можно получить, подставляя в (9) и (10) граничное значение одного из углов управления. Так, например, задаваясь граничным значением первого угла управления 1= 0, запишем![]() Аналогичным образом, задаваясь граничным значением второго угла 2= 0, запишем![]() Придавая углу управления всевозможные значения, с помощью (11), (12) на фиг. 3 построены фазовые траектории, связывающие граничные значения управляющих сигналов между собой. Заштрихованная область на этом графике удовлетворяет граничным условиям обоих уравнений. Спроецировав граничное значение одной управляющей координаты на границу указанной области, можно получить граничное значение другой, как это показано на чертеже. Решая систему уравнений (9) и (10) относительно одной из тригонометрических функций, получаем![]() Данное уравнение можно рассматривать как уравнение точки встречи представленного справа управляющего сигнала, являющегося функционалом координат Uy1 = f(Up, Uq) следующего вида: ![]() и представленного слева опорного сигнала косинусоидальной формы сетевой частоты, смещенного по фазе относительно точки естественной коммутации вентиля | 1= 0| в сторону опережения на угол /3. Решение уравнения точки встречи дает искомый угол управления при первом включении вентиля на периоде сети 1= arccosUy1+ /3.Аналогичным образом отыскивается уравнение точки встречи управляющего и опорного сигналов при втором включении вентиля ![]() Принимая правую часть (15) за управляющий сигнал вида Uy2 = {Up(1+Up2+Uq2)-[16Uq2(Up2+Uq2)-Uq2(1+Up2+Uq2)2] 1/2}[4(Up2+Uq2)]-1, (16) а левую часть – за выражение опорного сигнала косинусоидальной формы с вершиной, совпадающей с точкой естественной коммутации | 2= 0|, отыскиваем угол управления, а вернее его модульное значение при втором включении| 2| = arccosUy2.Геометрическая трактовка решения системы уравнений (9), (10) дана на графике фиг. 3 в виде временных диаграмм управляющих Uy1, Uy2 и опорных Uоп напряжений СИФУ, работающей по вертикальному принципу. Согласно данному принципу изменение управляющих напряжений (14), (16) по величине /вертикали/ приводит к необходимому изменению углов включения вентилями. Видно, что в качестве опорных напряжений может быть использована система фазных напряжений сети Ua, Ub, Uc, каждое из которых на определенных участках периода длительностью может служить для отыскания момента включения того или иного вентиля. Вершины полуволн этих напряжений опережают на /3 точки естественной коммутации одних и совпадают с точками естественной коммутации других вентилей моста. Поэтому монотонные участки этих напряжений правее указанных точек можно использовать для отыскания каждого первого включения вентиля с отстающим углом управления 1 0, а участки, располагающиеся левее указанных точек – для отыскания каждого второго включения с опережающим углом управления 2 0. Так, например, первое включение вентиля 1 отыскиваем в точке /v1/ пересечения опорного напряжения /фаза C/ с управляющим сигналом Uy1. Это включение будет происходить с отстающим относительно начала положительной полуволны линейного напряжения сети углом 1. Согласно правилу попарной работы вентилей моста полученный в указанной точке импульс должен быть также направлен на вентиль с номером 6 в анодной группе моста. Второе включение пары вентилей с номерами 1,6 должно произойти в момент v2 с опережающим углом управления 2. Так как управляющий сигнал Uy2 и опорное напряжение /фаза C/ в момент v2 имеют разный знак, фиксация данного момента может быть осуществлена по признаку равенства указанных напряжений по модулю при разном знаке, например, с помощью одновходового компаратора. С этой целью уровни управляющих сигналов Uy1, Uy2 на графике фиг. 3 проведены как выше, так и ниже оси времени. Аналогичным образом отыскиваются моменты включений других пар вентилей моста.
Данный способ обеспечивает возможность изменения обоих углов управления по модулю в пределах от 0 до , что необходимо для регулирования преобразователя как с отстающим, так и опережающим коэффициентом сдвига. В частном случае возможно регулирование выпрямленного напряжения и, соответственно, активной мощности при коэффициенте сдвига, равном единице. Для этого достаточно установить нулевое значение управляющего воздействия Uq=0 на входе функционального построителя. Однако расчеты показывают, что данный режим имеет место при неравенстве углов управления 1 | 2|. Так, например, при установке управляющих воздействий Uq = 0, Up = 0,5 работа компенсированного преобразователя будет происходить с углами управления 1= 1,495 рад, | 2| = 0,896 рад. В конечном итоге данный недостаток ведет к недоиспользованию преобразователя по мощности. Причина усматривается в несимметрии кривой фазного тока относительно напряжения. Для устранения данного недостатка в режиме компенсированного преобразователя предлагается управлять вентилями с трехкратным включением на периоде сети. Как следует из временных диаграмм на фиг. 2, отличие состоит лишь в дополнительном включении каждой пары вентилей моста в момент времени, отстоящий от точки естественной коммутации одного из них /начала положительной полуволны соответствующего линейного напряжения сети/ на 180o вправо. Этим достигается необходимая симметрия кривой тока в режиме 1= | 2| и, соответственно, изменятся аналитические выражения, описывающие данный закон управления. Теперь выражения для косинусного и синусного коэффициентов Фурье при первом слагаемом ряда при описании фазного тока сети примут вид![]() ![]() Основываясь на вышеизложенном, запишем закон управления средневыпрямленным напряжением и составляющими полной мощности на сетевом входе преобразователя при управлении с трехкратным включением вентилей на периоде сети ![]() Решение данной системы уравнений относительно модульных значений углов управления 1,2 даст выражение![]() Рассматривая это выражение как уравнения точек встречи управляющих и опорных сигналов, получим угол управления при первом включении 1= arccosUy3, (22)где необходимое для этого управляющее напряжение на выходе функционального построителя выразится Uy3 = 0,25{Up + 1 + Uq[(16 – (Up + 1)2)(Uq2 + (Up + 1)2)-1]1/2}. (23) Второе включение вентилей на каждом периоде сети должно происходить, как отмечалось, с постоянным углом управления, равным . Из уравнения (21) получаем модуль угла управления при третьем включении| 2| = arccosUy4, (24)где необходимое выражение управляющего напряжения на выходе функционального построителя запишется Uy4 = 0,25{Up + 1 – Uq[(16 – (Up + 1)2)(Uq2 + (Up + 1)2)-1]1/2}. (25) Пример возможной реализации предложенного способа управления на аналоговых элементах приведен на схеме фиг. 5. Силовая часть преобразователя выполнена по трехфазной мостовой схеме выпрямления на вентилях 1-6. Система импульсно-фазового управления содержит задатчики активной /7/ и реактивной /8/ составляющих полной мощности на сетевом входе. Выходы задатчиков подключены ко входам функционального построителя 9, реализующего зависимость между входными и выходными сигналами, согласно выражениям (14), (16) или (23), (25). Выходы функционального построителя подключены ко входам блока компараторов 10, вторые входы которого связаны с вторичными обмотками сетевого согласующего трансформатора, выполняющего роль источника опорных сигналов. Работа компараторов происходит в соответствии с диаграммами на фиг. 3, при этом полагается, что в моменты равенства опорных и управляющих сигналов напряжение на выходах компараторов меняется на отрицательное. Фиксация управляющих и опорных сигналов одинакового знака производится с помощью двухвходовых, а сигналов разного знака – с помощью одновходовых схем компараторов. Выходы последних подключены ко входам формирователей управляющих импульсов 11, на выходах которых имеются сумматоры для объединения импульсов из условия попарной работы вентилей моста 12. Управляющие импульсы с выходов сумматоров направляются на управляющие электроды соответствующих вентилей для их включения. Как можно видеть, применение нового способа управления будет содействовать расширению функциональных возможностей вентильного преобразователя и повышению его энергетических показателей. Формула изобретения
![]() ![]() ![]() ![]() при этом Up* = p* = Ud; Uq* = Q*, где P* – относительное значение активной мощности; Q* – относительное значение реактивной мощности; U*d – относительное значение средневыпрямленного напряжения. 2. Способ управления по п.1, отличающийся тем, что регулирование активной и реактивной составляющих мощности осуществляется при двухкратном включении каждого вентиля на периоде сетевого напряжения, а именно: первый раз с отстающим относительно точки естественной коммутации углом управления 1= arccosU*y1+ /3,а второй раз – с опережающим углом управления, по модулю равным ![]() и одновременным запиранием работавших вентилей. 3. Способ управления по п.1, отличающийся тем, что регулирование активной мощности при поддержании нулевого значения реактивной мощности осуществляется при трехкратном включении каждого вентиля на периоде сетевого напряжения, а именно: первый раз с отстающим относительно точки естественной коммутации углом управления 1= arccosU*y3,второй раз – в момент, отстоящий от точки естественной коммутации на 180o, а третий раз – с опережающим углом управления, по модулю равным I I = arccosU*y4,и одновременным запиранием работавших вентилей. РИСУНКИ
MM4A Досрочное прекращение действия патента Российской Федерации на изобретение из-за неуплаты в установленный срок пошлины за поддержание патента в силе
Дата прекращения действия патента: 03.12.2001
Номер и год публикации бюллетеня: 19-2003
Извещение опубликовано: 10.07.2003
|
||||||||||||||||||||||||||

[2
(Up2+Uq2)]-1;
а второй раз – с опережающим углом управления, по модулю равным |
2| = arccosUy2, и одновременным запиранием работавших вентилей.
Второй вариант отличается тем, что регулирование активной мощности и средневыпрямленного напряжения при пропорциональном изменении управляющих и выходных координат p = P* = Ud* при условии поддержания нулевого значения реактивной мощности Uq = Q* = 0 осуществляется при трехкратном включении каждого вентиля на периоде сетевого напряжения, а именно первый раз с отстающим относительно точки естественной коммутации углом управления
0, а второй раз – в момент v2 с опережающим относительно указанной точки углом управления
0. При этом выпрямленное напряжение на каждом периоде пульсаций
/3 формируется из участков противофазных линейных напряжений сети, когда первое включение кратковременно переводит преобразователь в сторону выпрямительного режима и потому не требует одновременного запирания работавших вентилей, а второе включение кратковременно переводит преобразователь в сторону инверторного режима и должно при этом сопровождаться запиранием ранее работавших вентилей. На этом же чертеже изображены кривые синусоидального напряжения Ua и тока ia фазы A на сетевом входе моста. Можно видеть, что соответствующим изменением углов управления
1 между основной гармоникой фазного тока ia1 и синусоидой напряжения Ua. Последнее означает возможность работы преобразователя как с отстающим, так и опережающим коэффициентом сдвига cos












|







