|
|
(21), (22) Заявка: 2008148444/11, 08.12.2008
(24) Дата начала отсчета срока действия патента:
08.12.2008
(46) Опубликовано: 10.04.2010
(56) Список документов, цитированных в отчете о поиске:
RU 2336449 С1, 20.10.2008. SU 1585577 A1, 15.08.1990. EP 0155497 A1, 25.09.1985. ШАННИКОВ В.М. Планетарные редукторы с внецентроидным зацеплением. – М.: Машгиз, 1948, с.17, 65, 81.
Адрес для переписки:
445028, Самарская обл., г. Тольятти, Московский пр-кт, 63, кв.66, В.А. Мухину
|
(72) Автор(ы):
Мухин Валерий Александрович (RU)
(73) Патентообладатель(и):
Мухин Валерий Александрович (RU)
|
(54) РЕДУКТОР ОРБИТАЛЬНЫЙ (ВАРИАНТЫ)
(57) Реферат:
Изобретение относится к машиностроению, в частности к редуктору орбитальному. Редуктор орбитальный содержит корпус, в котором установлены быстроходный и тихоходный валы (12, 13). Группа роликов (18) установлена в соответствующих отверстиях на окружности боковой крышки (8) корпуса. В диске (14) размещены ролики (24), равномерно расположенные по окружности с центром на оси (11) тихоходного вала (13). На эксцентрик (16) надето звено, связывающее ролики (18, 24), которое выполнено в виде диска (19) и роликов (21, 22). Разность количества зацепленных между собой роликов (18, 22) выбрана равной двум единицам. Разность количества зацепленных между собой роликов (21, 24) может быть выбрана равной трем или четырем единицам. Делительные окружности, на которых расположены ролики (21, 24), имеют внутреннее касание. Делительные окружности, на которых расположены ролики (18, 22), в зацеплении роликов не касаются друг друга. Предусмотрен вариант редуктора, у которого одна пара делительных окружностей роликов имеет внутреннее касание, а другая пара окружностей пересекается. Изобретение позволяет увеличить значения передаточных отношений, упростить конструкцию за счет применения стандартных диаметров роликов, повысить КПД за счет уменьшения радиальной силы, действующей на подшипник редуктора. 3 н.п. ф-лы, 8 ил.
Изобретение относится к машиностроению, в частности к редуктору орбитальному, и может быть использовано для замены традиционных редукторов двух-, трех-, четырехступенчатых, червячных планетарных и волновых.
Наиболее близких к изобретению по технической сущности является редуктор, содержащий соосно установленные в корпусе быстроходный и тихоходный валы, диск, закрепленный на тихоходном валу, две группы роликов, связанные между собой посредством звена, установленного на пальце быстроходного вала, относительно оси которого ось пальца параллельно смещена, одна группа роликов установлена в отверстиях диска, равномерно расположенных по окружности с центром на оси вала, а другая группа роликов установлена в соответствующих отверстиях на окружности боковой крышки корпуса; звено, связывающее две группы роликов, выполнено в виде диска с отверстиями, в которых установлены ролики, либо третей группы, либо третьей и четвертой группы, равномерно расположенные (в последнем случае) на двух концентрических окружностях с центром на оси диска, выступающими своими концами зацепленные с роликами диска тихоходного вала и роликами крышки корпуса, при этом окружности, на которых расположены ролики трех групп либо четырех групп, в зацеплениях имеют внутреннее касание либо не имеют касания (см. заявку 2007114000/11 (015198)) с датой подачи от 13.04.2007 г. и патент 2336449.
В указанной заявке не предусмотрен вариант редуктора, у которого в одном зацеплении роликов делительные окружности имеют внутреннее касание, а во втором зацеплении роликов их делительные окружности не касаются либо пересекаются.
Исследования показали, что такой вариант необходим для получения более расширенного ряда передаточных отношений в редукторах и уменьшения их габаритов.
Задачей настоящего изобретения является увеличение количества значений передаточных отношений в орбитальных редукторах с одновременным уменьшением их габаритов, упрощение конструкции редуктора и повышение КПД.
Поставленная задача решается тем, что редуктор орбитальный, содержащий соосно установленные в корпусе быстроходный и тихоходные валы, диск, связанный с тихоходным валом, две группы роликов, связанные между собой посредством звена, установленного на эксцентрике быстроходного вала, относительно оси которого ось эксцентрика параллельно смещена, одна группа роликов установлена в отверстиях диска, равномерно расположенных по окружности с центром на оси вала, а другая группа роликов установлена в соответствующих отверстиях на окружности боковой крышки корпуса, при этом звено, связывающее две группы роликов, выполнено в виде диска с отверстиями, в которых установлены ролики третей группы, выступающими своими концами зацепленные с роликами диска тихоходного вала и роликами крышки корпуса, согласно изобретению в одном зацеплении роликов их делительные окружности имеют внутреннее касание, а во втором зацеплении делительные окружности роликов не касательные.
Поставленная задача решается также тем, что редуктор орбитальный, содержащий соосно установленные в корпусе быстроходный и тихоходный валы, диск, связанный с тихоходным валом, две группы роликов, связанные между собой посредством звена, установленного на эксцентрике быстроходного вала, относительно оси которого ось эксцентрика параллельно смещена, одна группа роликов установлена в отверстиях диска, равномерно расположенных по окружности с центром на оси вала, а другая группа роликов установлена в отверстиях боковой крышки корпуса, равномерно расположенных по окружности с центром на той же оси, при этом звено, связывающее две группы роликов, выполнено в виде диска с отверстиями, расположенными на двух концентрических окружностях с центром на оси диска, в которых установлены ролики третьей и четвертой группы, выступающими своими концами зацепленные с роликами диска тихоходного вала и роликами крышки корпуса, согласно изобретению делительные окружности роликов в зацеплении с одной стороны связывающего звена имеют внутренне касание, а с другой стороны того же звена делительные окружности роликов в зацеплении не касательные.
Поставленная задача решается также тем, что редуктор орбитальный, содержащий соосно установленные в корпусе быстроходный и тихоходный валы, диск, связанный с тихоходным валом, две группы роликов, связанные между собой посредством звена, установленного на эксцентрике быстроходного вала, относительно оси которого ось эксцентрика параллельно смещена, одна группа роликов установлена в отверстиях диска, равномерно расположенных по окружности с центром на оси вала, а другая группа роликов установлена в отверстиях боковой крышки корпуса, равномерно расположенных по окружности с центром на той же оси, при этом звено, связывающее две группы роликов, выполнено в виде диска с отверстиями, расположенными на двух концентрических окружностях с центром на оси диска, в которых установлены ролики третьей и четвертой группы, выступающими своими концами зацепленные с роликами диска тихоходного вала и роликами крышки корпуса, согласно изобретению делительные окружности роликов в зацеплении с одной стороны связывающего звена имеют внутренне касание, а с другой стороны того же звена делительные окружности роликов в зацеплении пересекаются.
Сущность изобретения поясняется чертежами.
На фиг.1 и 2 изображены схемы зацепления роликов с зубьями.
На фиг.3 изображена схема зацепления зубчатых колес.
На фиг.4 изображена схема зацепления роликов, у которых делительные окружности касаются.
На фиг.5 и 6 изображена схема зацепления роликов, у которых делительные окружности не касаются.
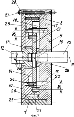
На фиг.7 и 8 изображены варианты выполнения редукторов орбитальных.
Если делительные окружности имеют внутреннее касание, то существуют три базовых варианта зацеплений роликов (зубьев или зубьев с роликами) на основании которых проектируют редукторы орбитальные.
– Первый вариант – в зацеплении разность роликов (зубьев) равна двум единицам, (фиг.1 и 2).
– Второй вариант – в зацеплении роликов (зубьев, что одно и тоже) их разность равна трем единицам (фиг.3).
– Третий вариант – в зацеплении роликов их разность равна четырем единицам (фиг.4).
Самый компактный редуктор можно получить, если его проектировать по первому варианту. Но в этом случае угол 1 – максимальный, около 90°.
Сила F разложена на радиальную силу R и силу Р – перпендикулярную радиусу делительной окружности. Произведение силы Р на радиус есть крутящий момент редуктора (фиг 2). Сила R воспринимается радиальным подшипником редуктора. Для уменьшения силы R и увеличения силы Р необходимо сделать угол 1 как можно меньше. Для этого при проектировании зацепления по первому варианту делительные окружности роликов выполняют не касательными (фиг.5 и 6). Между роликами 1 и 2 и роликами 2 и 3 зазоров нет. Диаметр каждого ролика равен расстоянию между центрами касающихся друг друга роликов.
Например:
=18,90182 мм – это есть диаметр каждого ролика. Расстояние между роликами 3 и 4 равно , а между роликами 5 и 6 равно b и т.д. Угол 4 – минимальный, следовательно, сила Р для данного зацепления – максимальная, а сила R – минимальная.
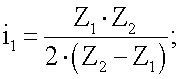
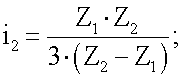
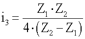
Передаточные отношения для редукторов, спроектированных на основании первого, второго и третьего вариантов зацеплений, соответственно просчитывают по формулам
  
Z1 – количество роликов у ведомого колеса;
Z2 – количество роликов у неподвижного колеса.
Вывод: если три редуктора спроектированы с одинаковыми данными (количество роликов Z1; Z2 и модуль m), то наибольшее передаточное отношение будет у редуктора, спроектированного по первому варианту; а если передаточные отношения равны, то наименьшие габариты будут у первого редуктора.
Для получения наибольшего разнообразия значений передаточных отношений разработаны редукторы, изображенные на фиг.7 и 8. В этих редукторах в одном зацеплении разность количества роликов равна двум единицам, а во втором зацеплении разность количества роликов может быть более двух единиц (например, три или четыре единицы).
В корпусе, состоящем из кольца 7, стенки 8 и двух крышек 9 и 10, соосно оси 11 установлены быстроходный вал 12 и тихоходный вал 13. Последний связан (скреплен) с диском 14 шлицевым соединением 15. Эксцентрик 16 закреплен на быстроходном валу 12. Детали 8 и 9 могут быть выполнены из одного куска металла (как одно целое). Их можно назвать боковой крышкой (стенкой) корпуса. В боковой крышке (стенке) корпуса выполнены отверстия 17, в которых установлены ролики 18, равномерно расположенные по окружности с центром на оси 11. Диск 19 установлен на эксцентрике 16. Ось 20 совпадает с осью диска 19 и эксцентрика. Ролики 21 и 22 вставлены в отверстия, выполненные в диске 19, и равномерно расположены по двум концентрическим окружностям с центром на оси 20. В диске 14 выполнены отверстия 23, расположенные равномерно по окружности с центром на оси 11, в которые вставлены ролики 24, зацепленные с роликами 21. Ролики 22 зацеплены с роликами 18. Между кольцом 25 и диском 14 установлены игольчатые ролики 26. Редуктор стянут (скреплен) вдоль его оси 11 шпильками 27 и гайками 28. Вал 12 установлен в подшипнике 29.
Зацепление роликов 18 и 22 (фиг.7) выполнено по первому базовому варианту, а зацепление роликов 21 и 24 – по второму варианту. Например, роликов позиции 18 установлено 18 штук, а роликов позиции 22 установлено 20 штук. Модуль зацепления выбран 6 мм. Диаметр делительной окружности для роликов 18 равен 108 мм. Количество роликов позиции 21 взято 24 штуки, а позиции 24 – 27 штук. Модуль зацепления для них выбран 4 мм. Диаметр делительной окружности роликов позиции 24 равен 108 мм.
Передаточное отношение i4 для редуктора, изображенного на фиг.7, рассчитывают по формуле 
где Z1 – количество роликов позиции 24;
Z2 – количество роликов позиции 22.
Передаточное отношение i5 для редуктора, изображенного на фиг.8, рассчитывают по формуле:

где Z1 – количество роликов позиции 24;
Z2 – количество роликов позиции 30.
Многоразовые проектирования редукторов, например по второму варианту зацепления, показали, что получаются не равные теоретические диаметры роликов. Если в одном зацеплении диаметр каждого ролика принять равным 10 мм, то во втором зацеплении редуктора диаметр каждого ролика получают на основании компьютерного проектирования равным от 10,01 до 10,015 мм. Диаметр стандартного ролика равен 10,00-0,01 мм. Чтобы между двумя рядом стоящими стандартными роликами не допустить зазора, увеличивают меньшую делительную окружность либо уменьшают на соответствующую величину большую делительную окружность (увеличивают или уменьшают их диаметры). В обоих случаях указанные окружности пересекаются между собой. Отсюда следует, что в одном зацеплении роликов их делительные окружности касаются, а во втором зацеплении редуктора делительные окружности роликов пересекаются.
Технический результат заключается в расширении ряда передаточных отношений, в упрощении конструкции редуктора за счет применения стандартных роликов, в повышении КПД за счет уменьшения силы, действующей на радиальный подшипник редуктора.
Формула изобретения
1. Редуктор орбитальный, содержащий соосно установленные в корпусе быстроходный и тихоходный валы, диск, связанный с тихоходным валом, две группы роликов, связанные между собой посредством звена, установленного на эксцентрике быстроходного вала, относительно оси которого ось эксцентрика параллельно смещена, одна группа роликов установлена в отверстиях диска, равномерно расположенных по окружности с центром на оси вала, а другая группа роликов установлена в соответствующих отверстиях на окружности боковой крышки корпуса, при этом звено, связывающее две группы роликов, выполнено в виде диска с отверстиями, в которых установлены ролики третей группы, выступающими своими концами зацепленные с роликами диска тихоходного вала и роликами крышки корпуса, отличающийся тем, что в одном зацеплении роликов их делительные окружности имеют внутреннее касание, а во втором зацеплении делительные окружности роликов не касательные.
2. Редуктор орбитальный, содержащий соосно установленные в корпусе быстроходный и тихоходный валы, диск, связанный с тихоходным валом, две группы роликов, связанные между собой посредством звена, установленного на эксцентрике быстроходного вала, относительно оси которого ось эксцентрика параллельно смещена, одна группа роликов установлена в отверстиях диска, равномерно расположенных по окружности с центром на оси вала, а другая группа роликов установлена в отверстиях боковой крышки корпуса, равномерно расположенных по окружности с центром на той же оси, при этом звено, связывающее две группы роликов, выполнено в виде диска с отверстиями, расположенными на двух концентрических окружностях с центром на оси диска, в которых установлены ролики третьей и четвертой группы, выступающими своими концами зацепленные с роликами диска тихоходного вала и роликами крышки корпуса, отличающийся тем, что делительные окружности роликов в зацеплении с одной стороны связывающего звена имеют внутренне касание, а с другой стороны того же звена делительные окружности роликов в зацеплении не касательные.
3. Редуктор орбитальный, содержащий соосно установленные в корпусе быстроходный и тихоходный валы, диск, связанный с тихоходным валом, две группы роликов, связанные между собой посредством звена, установленного на эксцентрике быстроходного вала, относительно оси которого ось эксцентрика параллельно смещена, одна группа роликов установлена в отверстиях диска, равномерно расположенных по окружности с центром на оси вала, а другая группа роликов установлена в отверстиях боковой крышки корпуса, равномерно расположенных по окружности с центром на той же оси, при этом звено, связывающее две группы роликов, выполнено в виде диска с отверстиями, расположенными на двух концентрических окружностях с центром на оси диска, в которых установлены ролики третьей и четвертой группы, выступающими своими концами зацепленные с роликами диска тихоходного вала и роликами крышки корпуса, отличающийся тем, что делительные окружности роликов в зацеплении с одной стороны связывающего звена имеют внутренне касание, а с другой стороны того же звена делительные окружности роликов в зацеплении пересекаются.
РИСУНКИ
|
|