|
|
(21), (22) Заявка: 2008115710/04, 21.04.2008
(24) Дата начала отсчета срока действия патента:
21.04.2008
(43) Дата публикации заявки: 27.10.2009
(46) Опубликовано: 10.04.2010
(56) Список документов, цитированных в отчете о поиске:
МАШКОВСКИЙ М.Д. Лекарственные средства. – М.: Новая волна, 2005, с.31-38. SU 626559 A1, 30.02.1993.
Адрес для переписки:
630090, г.Новосибирск-90, пр. Ак. Лаврентьева, 9, НИОХ СО РАН, патентный отдел, Е.И. Витяевой
|
(72) Автор(ы):
Шульц Эльвира Эдуардовна (RU), Чернов Сергей Викторович (RU), Толстикова Татьяна Генриховна (RU), Долгих Маргарита Петровна (RU), Болкунов Алексей Викторович (RU), Толстиков Генрих Александрович (RU)
(73) Патентообладатель(и):
Новосибирский институт органической химии им. Н.Н. Ворожцова Сибирского отделения Российской академии наук (НИОХ СО РАН) (статус государственного учреждения) (RU)
|
(54) N-ЗАМЕЩЕННЫЕ (1S,4aR,5S)-МЕТИЛ-5-[2-(2′-ОКСО-2′,5′-ДИГИДРО-1Н-ПИРРОЛ-3′-ИЛ)ЭТИЛ]-1,4a-ДИМЕТИЛ-6-МЕТИЛЕНДЕКАГИДРОНАФТАЛИН-1-КАРБОКСИЛАТЫ, ОБЛАДАЮЩИЕ ПРОТИВОСУДОРОЖНОЙ АКТИВНОСТЬЮ
(57) Реферат:
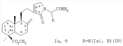
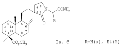
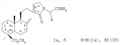
Изобретение относится к новым N-замещенным (1S,4aR,5S)-метил-5-[2-(2′-оксо-2′,5′-дигидро-1Н-пиррол-3′-ил)этил]-1,4а-диметил-6-метилендекагидронафталин-1-карбоксилатам формулы (I)

обладающим противосудорожной активностью. Соединения получают из растительного сырья – хвои или живицы кедра сибирского. 2 табл.
Изобретение относится к новым химическим соединениям, конкретно к N-замещенным (1S,4aR,5S)-метил-5-[2-(2′-оксо-2′,5′-дигидро-1H-пиррол-3′-ил)этил]-1,4а-диметил-6-метилендекагидронафталин-1-карбоксилатам формулы (I)

обладающим противосудорожной активностью.
Указанные свойства позволяют предполагать возможность использования соединений в медицине в качестве фармацевтических препаратов.
Противосудорожное действие могут оказывать различные вещества, ослабляющие процессы возбуждения или усиливающие процессы торможения в ЦНС. Специальное значение имеют противосудорожные средства, эффективные при эпилепсии и применяемые для предупреждения или купирования судорог или соответствующих им эквивалентов. Используемые в настоящее время противосудорожные (противоэпилептические) средства можно разделить на средства первой генерации («старые» противосудорожные средства), действие которых рассчитано на усиление центральных тормозных процессов [ГАМКэргические противоэпилептические средства – пирацетам (ноотропил), фенобарбитал, карбамазепин и вальпроат натрия], и «новые» противосудорожные средства – блокаторы высвобождения центральных возбуждающих аминокислот – глутамата и аспартата (ламотриджин, вигабатрин, леветирацетам). Новые противосудорожные препараты внесли определенный вклад в раскрытие первичных (молекулярных) механизмов патогенеза эпилепсии. Основной целью терапии больных эпилепсией является снятие приступа. Однако возможность контроля приступов наблюдается для 60% больных, а 40% пациентов страдают от не подающейся лечению фармакорезистентной эпилепсии [1, 2]. Кроме того, клиническое использование «старых» противосудорожных средств затруднено из-за их плохой переносимости, выражающейся в общих неблагоприятных эффектах на ЦНС и реакций организма в виде кожной сыпи [3, 4]. Подающий надежды терапевтический потенциал «новых» противосудорожных средств, в частности леветирацетама, заключается в возможности их применения (положительном влиянии) при лечении других расстройств ЦНС (мигрень, нарушения мозгового кровообращения) [5].
Анализ литературных данных показывает, что поиск противосудорожных средств избирательного действия, не оказывающих общего угнетающего влияния на ЦНС и не вызывающих аллергических реакций, является актуальной задачей.
Поставленная задача решается новыми химическими соединениями – N-замещенными (1S,4aR,5S)-метил-5-[2-(2′-оксо-2′,5′-дигидро-1H-пиррол-3′-ил)этил]-1,4а-диметил-6-метилендекагидронафталин-1-карбоксилатами формулы (I), проявляющими выраженные противосудорожные свойства.

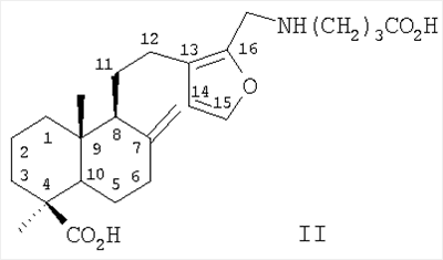
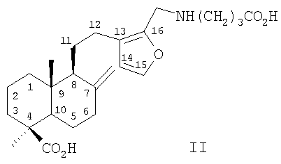
Аналогом по структуре указанных соединений является 16-(3-карбоксипропил-аминометил) замещенное производное метил 15,16-эпокси-7(17),13,14-лабдатриеноата (нумерация и название соединения (II) приведены по тривиальной номенклатуре для дитерпеноидов), формулы (II), обладающее ноотропной активностью [6].

Аналогами по свойствам заявляемых соединений являются фенобарбитал (III) и ламотриджин (IV), применяемые в настоящее время противосудорожные препараты [4, 6-8]. Основным недостаткам фармакологического эффекта фенобарбитала (III) является развитие побочных эффектов в виде общего угнетения ЦНС, повышенная сонливость, понижение артериального давления [4, 8]. При применении ламотриджина (IV) для купирования судорог отмечается головная боль, раздражительность, беспокойство и аллергические реакции [4, 9].
 
Заявляемые соединения (Ia, б) получают из ламбертиановой кислоты (V) по схеме 1. Взаимодействие доступных аминокислот (глицина или -аминомасляной кислоты) с терпеноидными ацеталями (VI), легко образующимися путем окислительного метоксилирования метилового эфира ламбертиановой кислоты (VII) по методике, описанной нами в работе [10], приводит к лабданоидным N-(1-карбоксиметил) или N-(1-карбоксипропил)-(5Н)-пиррол-2-онам (VIIIa, б). Обработка аминокислот (VIIIa, б) триметилхлорсиланом в метаноле и последующая (без выделения) реакция с аммиаком в метаноле дает соответствующие амиды (Iа, б). Выход соединений (Iа, б) составляет 48 и 42% соответственно в расчете на исходную ламбертиановую кислоту (V).
Схема 1

Достоинством изобретения является способ получения соединений (Iа, б) путем химической модификации доступного растительного метаболита кедра сибирского Pinus sibirica R. Mayr. ламбертиановой кислоты (V). Последняя, а также ее метиловый эфир (VII), легко выделяется из лесопромышленного продукта – кедровой живицы или из хвои кедра, являющейся многотоннажным отходом лесосеки [11]. Физико-химические константы новых, впервые полученных соединений приведены в примерах 1, 2.
Биологическая активность соединений (Ia, б) изучалась путем определения токсичности и противосудорожных свойств на моделях коразоловых и никотиновых судорог.
Острую токсичность определяли на беспородных мышах массой 18-23 г при однократном внутрижелудочном способе введения. Параметры токсичности рассчитывали по методу Кербера. Установлено, что LD50 соединений (Ia, б) превышает максимально возможную для разового введения дозу 1000 мг/кг. Заявляемые соединения относятся к 3-му классу умеренно опасных веществ. LD50 аналогов по свойствам: фенобарбитала (Ш) составляет 123 мг/кг, а ламотриджина (IV) – 245 мг/кг [9].
Для исследования противосудорожного эффекта были использованы стандартные экспериментальные модели внутрибрюшинного введения конвульсантов коразола и никотина на фоне введения заявляемых соединений и препарата сравнения ламотриджина (IV). Модели воспроизводились согласно методическим рекомендациям [12]. Результаты изучения биологической активности приведены в табл.1, 2.
Противосудорожную активность оценивали по проценту выживших животных после внутрибрюшинного введения коразола в токсической дозе 90 мг/кг. Исследуемое соединение вводили мышам внутрижелудочно в дозах 5 и 10 мг/кг за час до воспроизведения судорог. В качестве препарата сравнения использовали ламотриджин (IV). Контрольной группе животных вводили только коразол. Результаты представлены в таблице 1. Из данных таблицы 1 видно, что заявляемые соединения при введении в дозах 5 и 10 мг/кг в значительной степени блокируют развитие клонических судорог и соответственно уменьшают процент наступления летальных исходов до 10-20% в дозе 5 мг/кг и 7-8% в дозе 10 мг/кг, тем самым проявляя противосудорожное действие в отношении вводимой дозы конвульсанта. Ламотриджин (IV) в дозе 5 мг/кг не проявил эффекта, а в дозе 10 мг/кг снижал процент наступления летальных исходов до 20%, тем самым проявляя незначительное противосудорожное действие в отношении вводимой дозы конвульсанта.
Противосудорожную активность оценивали по проценту выживших животных после внутрибрюшинного введения никотина в токсической дозе 20 мг/кг. Исследуемые соединения вводили мышам внутрижелудочно в дозе 10 мг/кг за час до воспроизведения судорог. Результаты представлены в таблице 2. Из данных таблицы 2 видно, что заявляемые соединения в дозе 10 мг/кг полностью блокируют развитие судорог, вызванных Н-холиномиметиком никотином и проявляют высокую противосудорожную активность. Активность препарата сравнения ламотриджина (IV) в выбранной дозе на модели “никотиновые судороги” значительно ниже.
Таким образом, заявляемые соединения – N-замещенные (1S,4aR,5S)-метил-5-[2-(2′-оксо-2′,5′-дигидро-1Н-пиррол-3′-ил)этил]-1,4а-диметил-6-метилендекагидро-нафталин-1-карбоксилаты (Ia) и (Iб) проявляют противосудорожное действие в тестах «никотиновые» и «коразоловые» судороги, связанное с влиянием агентов на нейромедиаторные (ГАМКэргическую и Н-холинергическую) системы, вовлеченные в регуляцию судорожного ответа. Соединения обладают низкой токсичностью и могут быть рекомендованы для изучения в качестве новых противосудорожных агентов.
Изобретение иллюстрируется следующими примерами.
Пример 1. Синтез (1S,4aR,5S)-метил-5-{2-[1′-(2-амино-2-оксоэтил)-2′-оксо-2′,5′-дигидро-1H-пиррол-3′-ил]этил}-1,4а-диметил-6-метилендекагидронафталин-1-карбоксилата (Ia).
1. Получение метил 1,4а-диметил-6-метилен-5-[2-(2′,5′-диметокси-2′,5′-дигидрофуран-3′-ил)этил]-декагидронафталин-1-карбоксилатов (VI).
а) К раствору 3.3 г (10 ммоль) метилового эфира ламбертиановой кислоты (VII) (полученного по методике работы [11]) и 1.5 мл АсОН в 25 мл метанола при температуре 0÷+5°С и перемешивании добавили порциями в течении 10 мин 4.7 г (21 ммоль) натриевой соли N-хлорбензолсульфамида. Перемешивание продолжали 30 мин при 5°С. По окончании реакции (контроль по ТСХ) к смеси добавили 1-2 мл 5%-ного Na2SO3 для разложения избытка хлорамина, затем 50 мл воды, продукт экстрагировали метил-трет-бутиловым эфиром (3×15 мл). Экстракт промыли 3%-ным водн. NaOH (3×10 мл) для удаления PhSO2NH2, затем водой, и упарили. Хроматографией остатка (элюент – петролейный эфир – t-BuOMe, 1:1) получили 3.5 г (90%) смеси цис- и транс-ацеталей (VI).
б) Раствор 1.2 г (3.6 ммоль) метилламбертианата (VII) в 15 мл метанола охладили до 0°С и добавили порциями при перемешивании 1.3 г (7.2 ммоль) N-бромсукцинимида. Реакционную массу перемешивали 10 мин, затем добавили раствор 1 мл 5%-ного Na2SO3 и 50 мл воды. Продукт реакции извлекли эфиром (3×20 мл), экстракт промыли водой и упарили. Хроматографией остатка выделили 1.2 г (85%) смеси цис- и транс-ацеталей (VI). Спектр ЯМР 1H (CCl4), , м.д. (J, Гц): 0.47 с (3Н, C20H3), 0,83-1.29 м (3Н, Н1,3,9), 1.14 с (3Н, С19Н3), 1.40-2.05 м (10Н, H1,2,2,3,5,6,6,7,11,11), 2.08-2.25 м (2Н, Н7,12), 2.33-2.40 м (1Н, Н12), 3.23 с, 3.24 с, 3.26 с, 3.27 с (соотношение 1:1:1:1) (6Н, 2-СН3О), 3.52 с (3Н, ОСН3), 4.47 с, 4.82 с (2Н, Н17), 5.23 с, 5.27 с, 5.38 д (1Н, Н16, для цис-изомеров J 1.7), 5.50 д, 5.59 д (2Н, Н14,15, J 1.7, 1.6, 1.6).
2. Получение (1S,4aR,5S)-метил 5-{2-[N-(карбоксиметил)-2′-оксо-2′,5′-дигидро-1H-пиррол-3′-ил]этил}-1,4а-диметил-6-метилендекагидронафталин-1-карбоксилата (VIIIa).
К горячему раствору 0.80 г (10.7 ммоль) глицина в 10 мл 80%-ной уксусной кислоты добавили 1.90 г (5 ммоль) ацеталей (VI). Смесь выдерживали на кипящей водяной бане до полного растворения (10-15 мин), после чего охлаждали и разбавляли водой. Продукт извлекали эфиром, экстракт промывали водой, затем 3%-ным раствором соды. Растворитель упаривали, остаток хроматографировали на силикагеле (элюент – петролейный эфир-эфир, 2:1). Получили 1.62 г (82%) аминокислоты (VI) в виде аморфного порошка. Спектр ЯМР 1H (CDCl3), , м.д. (J, Гц): 0.46 с (3Н, C20H3), 0.85-1.12 м (2Н, Н1,3), 1.15 с (3Н, С19Н3), 1.25 д.д (1Н, Н9, J 12.1, 1.8), 1.40-1.58 м (3Н, Н1,3,9), 1.69-2.11 м (9H, H1,2,2,3,5,6,6,7,11), 2.36 м (2Н, Н11,12), 2.62 м (2Н, H7,12), 3.58 с (3Н, ОСН3), 3.68 д.д (2Н, H15, J 9.2, 2.4), 3.93 с (2Н, СН2), 4.56 с, 4.83 с (2Н, Н17), 6.59 у.с (1Н, Н14), 9.07 м (1Н, ОН). Найдено, %: С 68.22, Н 8.63, N 3.62. C23H33NO5. Вычислено: С 68.46, Н 8.24, N3.47.
3. Получение (1S,4aR,5S)-метил-5-{2-[1′-(2-амино-2-оксоэтил)-2′-оксо-2′,5′-дигидро-1H-пиррол-3′-ил]этил}-1,4а-диметил-6-метилендекагидронафталин-1-карбоксилата (Ia).
К раствору 1.52 г (3.85 ммоль) кислоты (VIIIa) в 10 мл абсолютного метанола добавили по каплям при перемешивании 1,50 мл (~10 ммоль) триметилхлорсилана. Смесь выдерживали 2 ч при комнатной температуре (контроль ТСХ), после чего упаривали досуха. Остаток растворяли в 15 мл 10%-ного раствора NH3 в метаноле и оставили на 2 суток. По окончании реакции раствор выливали в воду, продукт извлекали эфиром, экстракт промывали водой 2 раза, остаток хроматографировали на окиси алюминия (МеОН). Растворитель упаривали, получили 1.1 г (73%) амида (Ia) в виде светло-желтого аморфного порошка. Спектр ЯМР 1H (CDCl3), , м.д. (J, Гц): 0.43 с (3Н, C20H3), 0.75-1.20 м (3Н, Н1,3,9), 1.11 с (3Н, C19H3), 1.40-1.99 м (10Н, H1,2,2,3,5,6,6,7,11,11), 2.08 м (1H, H12) 2.29 м (2Н, Н7,12), 3.55 с (3Н, ОСН3), 4.01 м (4Н, 2Н-СН2 и 2Н, H15), 4.58 с, 4.80 с (2Н, Н17), 6.63 у.с (1Н, Н14), 6.80 м, 7.30 м (2Н, NH2). Найдено, %: С 68.32, Н 8.43, N 7.06. C23H34N2O4. Вычислено: С 68.63, Н 8.51, N 6.96.
Общий выход соединения (Ia) в расчете на исходную ламбертиановую кислоту (V) составляет 48%.
Пример 2. Синтез (1S,4aR,5S)-метил-5-{2-[1′-(1-амино-1-оксобутан-2-ил)-2′-оксо-2′,5′-дигидро-1H-пиррол-3′-ил]этил}-1,4а-диметил-6-метилендекагидро-нафталин-1-карбоксилата (Iб).
1. Получение метил 1,4а-диметил-6-метилен-5-[2-(2′,5′-диметокси-2′,5′-дигидрофуран-3′-ил)-этил]-декагидронафталин-1-карбоксилатов (VI).
а) К раствору 3,3 г (10 ммоль) метилового эфира ламбертиановой кислоты (VII) и 1.5 мл АсОН в 25 мл метанола при температуре 0÷+5°С и перемешивании добавили порциями в течение 10 мин 4.7 г (21 ммоль) натриевой соли N-хлорбензолсульфамида. Перемешивание продолжали 30 мин при 5°С. По окончании реакции (контроль по ТСХ) к смеси добавили 1-2 мл 5%-ного Na2SO3 для разложения избытка хлорамина, затем 50 мл воды, продукт экстрагировали метил-трет-бутиловым эфиром (3×15 мл). Экстракт промыли 3%-ным водн. NaOH (3×10 мл) для удаления PhSO2NH2, затем водой и упарили. Хроматографией остатка (элюент – петролейный эфир – t-BuOMe, 1:1) получили 3.5 г (90%) смеси цис- и транс-ацеталей (VI).
б) Раствор 1.2 г (3.6 ммоль) метилламбертианата (VII) в 15 мл метанола охладили до 0°С и добавили порциями при перемешивании 1.3 г (7.2 ммоль) N-бромсукцинимида. Реакционную массу перемешивали 10 мин, затем добавили раствор 1 мл 5%-ного Na2SO3 и 50 мл воды. Продукт реакции извлекли эфиром (3×20 мл), экстракт промыли водой и упарили. Хроматографией остатка выделили 1.2 г (85%) смеси ацеталей (VI). Спектр ЯМР 1H (CCl4), , м.д. (J, Гц): 0.47 с (3Н, C20H3), 0.83-1.29 м (3Н, Н1,3,9), 1.14 с (3Н, С19Н3), 1.40-2.05 м (10Н, н1,2,2,3,5,6,6,7,11,11), 2.08-2.25 м (2Н, Н7,12), 2.33-2.40 м (1Н, H12), 3.23 с, 3.24 с, 3.26 с, 3.27 с (соотношение 1:1:1:1) (6Н, 2-СН3О), 3.52 с (3Н, ОСН3), 4.47 с, 4.82 с (2Н, Н17), 5.23 с, 5.27 с, 5.38 д (1Н, Н16, для цис-изомеров J 1.7), 5.50 д, 5.59 д (2H, H14,15, J 1.7, 1.6, 1.6).
2. Получение (1S,4aR,5S)-метил 5-{2-[1′-(карбоксипропил)-2′-оксо-2′,5′-дигидро-1H-пиррол-3′-ил]этил}-1,4а-диметил-6-метилендекагидронафталин-1-карбоксилата (VIIIб).
К горячему раствору 1.0 г (9.7 ммоль) -аминомасляной кислоты в 10 мл 80%-ной уксусной кислоты добавили 1.90 г (5 ммоль) ацеталей (VI). Смесь выдерживали на кипящей водяной бане до полного растворения (10-15 мин), после чего охлаждали и разбавляли водой. Продукт извлекали эфиром, экстракт промывали водой, затем 3%-ным раствором соды. Растворитель упаривали, остаток хроматографировали на силикагеле (элюент – петролейный эфир-эфир, 2:1). Получили 1.56 г (79%) аминокислоты (VIIIб) в виде аморфного порошка. Спектр ЯМР 1H (CDCl3), , м.д. (J, Гц): 0.47 с (3Н, C20H3), 0.88 т (3Н, СН3-Et, J 7.0), 0.92-1.12 м (2Н, Н1,3), 1.15 с (3Н, С19Н3), 1.25 д.д (1Н, Н9, J 12.1, 1.8), 1.46-1.65 м (3Н, Н1,3,9), 1.69-2.10 м (9Н, H1,2,2,3,5,6,6,7,11), 2.36 м (2Н, H11,12), 2.62 м (2Н, Н7,12), 3.51 с (3Н, ОСН3), 3.56 м (1Н, СН), 3.72 д (1Н, Н15, J 8.8), 3.85 д (1Н, Н15, J 8.8), 4.35 с (1Н, Н17), 4.36 к (2Н, СН2, J 7.0), 4.71 с (1Н, Н17), 6.25 у.с (1Н, Н14), 6.80 м (1Н, ОН). Найдено, %: С 68.62, Н 8.46, N 3.32. C25H37NO5. Вычислено, %: С 68.58, Н 8.64, N 3.25.
3. Получение (1S,4aR,5S)-метил-5-{2-[1′-(1-амино-1-оксобутан-2-ил)-2′-оксо-2′,5′-дигидро-1H-пиррол-3′-ил]этил}-1,4а-диметил-6-метилендекагидронафталин-1-карбоксилата (Iб).
К раствору 1.50 г (3.56 ммоль) кислоты (VIIIб) в 10 мл абсолютного метанола добавили по каплям при перемешивании 1.50 мл (~10 ммоль) триметилхлорсилана. Смесь выдерживали 2 ч при комнатной температуре (контроль ТСХ), после чего упаривали досуха. Остаток растворяли в 15 мл 10%-ного раствора NH3 в метаноле и оставили на 2 суток. По окончании реакции раствор выливали в воду, продукт извлекали эфиром, экстракт промывали водой 2 раза, остаток хроматографировали на окиси алюминия (МеОН). Растворитель упаривали, получили 1.0 г (67%) амида (Iб) в виде светло-желтого аморфного порошка. Спектр ЯМР 1H (CDCl3), , м.д. (J, Гц): 0.47 с (3Н, C20H3), 0.88 т (3Н, СН3-Et, J 7.0), 0.92-1.12 м (2Н, Н1,3), 1.15 с (3Н, С19Н3), 1.28 д.д (1Н, Н9, J 12.1, 1.8), 1.46-1.65 м (3Н, Н1,3,9), 1.69-2.10 м (9Н, H1,2,2,3,5,6,6,7,11), 2.36 м (2Н, Н11,12), 2.62 м (2Н, Н7,12), 3.56 с (3Н, ОСН3), 3.60 м (1Н, СН), 3.82 д (1Н, Н15, J 8.8), 4.05 д (1Н, H15, J 8.8), 4.46 с (1Н, Н17), 4.58 к (2Н, СН3, J 7.0), 4.82 с (1Н, Н17), 6.62 у.с (1Н, Н14), 6.53 м, 7.20 м (2Н, NH2). Найдено, %: С 70.13, Н 8.54, N 6.36. C25H38N2O4. Вычислено, %: С 69.74, Н 8.90, N 6.51.
Общий выход соединения (Iб) в расчете на исходную ламбертиановую кислоту (V) составляет 42%.
Пример 3. Исследование противосудорожной активности соединения (Ia) в тесте «коразоловые судороги». Судороги вызывали у беспородных мышей-самцов путем однократного внутрижелудочного введения коразола в токсической дозе 90 мг/кг. Соединение (Ia) вводили животным внутрижелудочно в дозах 5 и 10 мг/кг в виде водно-твиновой взвеси за 1 час до воспроизведения судорог. Контрольным животным аналогично вводили водно-твиновую взвесь в эквивалентном объеме. Противосудорожную активность оценивали по проценту выживших животных. Экспериментальные группы были сформированы по 8 животных в каждой. Статистическую обработку данных осуществляли с помощью пакета программ «STATISTIKA 6». Результаты эксперимента представлены в таблице 1. Установлено, что соединение (Ia) проявляет значительный противосудорожный эффект в дозах 5 и 10 мг/кг, снижая процент наступления летальных исходов до 10 и 7%. Противосудорожная активность агента (Ia) в 3 раза выше, чем у препарата сравнения ламотриджина.
Ламотриджин (IV) в дозе 5 мг/кг не проявил эффекта, а в дозе 10 мг/кг снижал процент наступления летальных исходов до 20%. Соединение (Ia) блокирует развитие клонических судорог и значительно снижает число летальных исходов по сравнению с контролем.
Пример 4. Исследование противосудорожной активности соединения (Iб) в тесте «коразоловые судороги». Судороги вызывали у беспородных мышей-самцов путем однократного внутрижелудочного введения коразола в токсической дозе 90 мг/кг. Соединение (Iб) вводили животным внутрижелудочно в дозах 5 и 10 мг/кг в виде водно-твиновой взвеси за 1 час до воспроизведения судорог. Контрольным животным аналогично вводили водно-твиновую взвесь в эквивалентном объеме. Противосудорожную активность оценивали по проценту выживших животных. Экспериментальные группы были сформированы по 8 животных в каждой. Статистическую обработку данных осуществляли с помощью пакета программ «STATISTIKA 6». Результаты эксперимента представлены в таблице 1. Установлено, что соединение (Iб) проявляет дозозависимый противосудорожный эффект в дозах 5 и 10 мг/кг. Ламотриджин (IV) в дозе 5 мг/кг не проявил эффекта, а в дозе 10 мг/кг снижал процент наступления летальных исходов до 20%. Противосудорожная активность агента (Iб) в дозе 10 мг/кг в 3 раза выше, чем у препарата сравнения ламотриджина. Ламотриджин проявляет активность только в дозе 10 мг/кг. Соединение (Iб) блокирует развитие клонических судорог и значительно снижает число летальных исходов по сравнению с контролем.
Пример 5. Исследование противосудорожной активности соединения (Ia) в тесте «никотиновые судороги». Судороги вызывали у беспородных мышей-самцов путем однократного внутрижелудочного введения никотина в токсической дозе 20 мг/кг. Соединение (Ia) вводили животным внутрижелудочно в дозе 10 мг/кг в виде водно-твиновой взвеси за 1 час до воспроизведения судорог. Контрольным животным аналогично вводили водно-твиновую взвесь в эквивалентном объеме. Противосудорожную активность оценивали по проценту выживших животных. Результаты обрабатывали статистически с помощью пакета программ «STATISTIKA 6». Результаты эксперимента представлены в таблице 2. Установлено, что соединение (Ia) проявляет достоверный противосудорожный эффект. Агент (Ia) полностью блокирует развитие судорог, вызванных Н-холиномиметиком никотином при введении его в дозе 10 мг/кг, и проявляет высокую противосудорожную активность. Активность заявляемого соединения (Iб) значительно выше, чем у препарата сравнения ламотриджина (IV), введенного в той же дозе.
Пример 6. Исследование противосудорожной активности соединения (Iб) в тесте «никотиновые судороги». Судороги вызывали у беспородных мышей-самцов путем однократного внутрижелудочного введения никотина в токсической дозе 20 мг/кг. Соединение (Iб) вводили животным внутрижелудочно в дозе 10 мг/кг в виде водно-твиновой взвеси за 1 час до воспроизведения судорог. Контрольным животным аналогично вводили водно-твиновую взвесь в эквивалентном объеме. Противосудорожную активность оценивали по проценту выживших животных. Результаты обрабатывали статистически с помощью пакета программ «STATISTIKA 6». Результаты эксперимента представлены в таблице 2. Установлено, что соединение (Iб) проявляет достоверный противосудорожный эффект при введении его в дозе 10 мг/кг. Агент (Iб) полностью блокирует развитие судорог, вызванных Н-холиномиметиком никотином, и проявляет высокую противосудорожную активность. Активность заявляемого соединения (Iб) значительно выше, чем у препарата сравнения ламотриджина (IV), введенного в той же дозе.
Таким образом, предлагаемое соединение обладает следующими преимуществами, а именно:
– высокая противосудорожная активность в тестах «никотиновые» и «коразоловые» судороги;
– анальгетическая активность в тесте «уксусные корчи»;
– пониженная токсичность по сравнению с эталонными препаратами;
– использование для получения заявляемых соединений доступного растительного сырья – хвои или живицы кедра сибирского.
| Таблица 1 |
| Противосудорожная активность соединений (Ia, б) в тесте «коразоловые судороги» |
| Исследуемые агенты |
Соединение (Ia) |
Соединение (Iб) |
Ламотриджин (IV) |
Контрольная группа* |
| Доза агента, мг/кг |
Гибель животных в группе, % |
| 5 |
10 |
20 |
30 |
30 |
| 10 |
7 |
8 |
20 |
30 |
| * Введение только коразола. |
| Таблица 2 |
| Противосудорожная активность заявляемых соединений в тесте «никотиновые судороги» |
| Исследуемые агенты |
Соединение (Ia) |
Соединение (Iб) |
Ламотриджин (IV) |
Контрольная группа* |
| Доза агента, мг/кг |
Гибель животных в группе, % |
| 10 |
0 |
0 |
20 |
40 |
| * Введение только никотина. |
Источники информации
1. Р.Kwan, M.J.Brodie. Early Identification of Refractory Epilepsy. N. Engl. J. Med. 2000. V.342. No 2. P.314-320.
2. W.Loscher, H.Potschka. Role of Multidrug Transporters in Pharmacoresistance to Antiepileptic Drugs. J. Pharmacol. Exp. Ther., 2002. V.301. No 1. P.7-14.
3. R.S.Greenwood. Adverse Effects of Antiepileptic Drugs. Epilepsia, 2000. В.41. S.42-52.
4. М.Д.Машковский. Лекарственные средства, изд. 15. «Новая Волна», М.: 2005, 31-38.
5. P.N.Patsalos. Antiepileptic Drugs: Newly Lecensed and Under Development. Curr. Opin. CPNS Invest. Drugs., 1999. V.5. P.549-562.
6. Т.Г.Толстикова, И.В.Сорокина, Т.В.Воевода, С.В.Чернов, Э.Э.Шульц, Г.А.Толстиков. Доклады академии наук. 2001. Т.376. 2. С.271-273.
7. М.Д.Машковский. Лекарства XX века. «Новая Волна», М.: 1998, 118-120.
8. В.Э.Колла, С.А.Шеленкова. Поиск новых противосудорожных веществ. Пермь. 2006, 323 с.
9. Г.О.Бакунц, Г.С.Бурд, М.Я.Вайнтруб. Журнал неврол. и психиатр., 1995. 3. С.41-45.
10. Е.Е.Shults, J.Velder, H.-G.Schmalz, S.V.Chernov, T.V.Rubalova, Y.V.Gatilov, G.Henze, G.A.Tolstikov and A. Prokop. Gram-scale synthesis of pinusolide and evaluation of its antileukemic potential. Bioorg. Med. Chem. Lett. 2006. V.16. No 16. P.4228-4232.
11. Т.Г.Толстикова, И.В.Сорокина, М.П.Долгих, Ю.В.Харитонов, С.В.Чернов, Э.Э.Шульц, Г.А.Толстиков. Химико-фармацевтический журнал. 2004. Т.38, 10. С.13-15.
12. Руководство по экспериментальному (до клиническому) изучению новых фармакологических веществ. Под редакцией Р.У.Хабриева. М.: Медицина, 2000, 832 с.
Формула изобретения
N-Замещенные (1S,4aR,5S)-метил-5-[2-(2′-оксо-2′,5′-дигидро-1H-пиррол-3′-ил)этил]-1,4а-диметил-6-метилендекагидронафталин-1-карбоксилаты формулы (I)
 обладающие противосудорожной активностью.
|
|