Патент на изобретение №2385734
|
||||||||||||||||||||||||||
(54) СПОСОБ ПОЛУЧЕНИЯ ГЛИЦИРРЕТИНОВОЙ КИСЛОТЫ
(57) Реферат:
Изобретение относится к фармацевтике. Получают глицирретиновую кислоту
Изобретение относится к способу получения пентациклических тритерпеноидов, относящихся к ряду
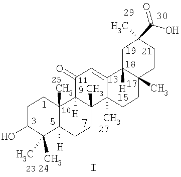
Глицирретиновая кислота Известен способ получения глицирретиновой кислоты Наиболее близким по выполнению является способ получения глицирретиновой кислоты путем гидролиза сырой глицирризиновой кислоты в водной среде в присутствии сульфокатионита Н-формы, при этом соотношение исходный продукт: сульфокатионит составляет 1:75. Гидролиз осуществляют при 98-100°С в течение не менее 9 ч. Затем сульфокатионит отделяют, а полученный гидролизат сгущают до 1/5-1/10 исходного объема, прибавляют этанол до конечной концентрации его в смеси 40-50%. Смесь отстаивают в течение 24 ч, осадок отфильтровывают, растворяют в 1,5-2 объемах 95% этанола при нагревании, добавляют горячую воду до образования концентрации спирта в смеси 40-50 об.% и вновь оставляют на 24 ч для кристаллизации глицирретиновой кислоты. Осадок отфильтровывают, промывают на фильтре водой и сушат при 100-105°С (заявка РФ Техническим результатом являются проведение процесса без использования органических растворителей и упрощение процесса. Технический результат достигается тем, что глицирретиновую кислоту получают гидролизом экстракта корня солодки, который проводят в герметических условиях в среде воды или водного раствора минеральных кислот (HNO3, H2SO4, HCl) при температуре 200-270°С с последующим выделением целевого продукта. Соотношение компонентов может быть взято 1:5-10 – сырье: вода или 1-5% водный раствор минеральных кислот HNO3, H2SO4, HCl. Изобретение обладает изобретательским уровнем, так как не известно получение глицирретиновой кислоты в субкритической воде в предлагаемых условиях. Ниже приведены примеры получения глицирретиновой кислоты (ГЛК). Пример 1 1 г сухого измельченного экстракта солодки и 5 мл воды нагревают 60 минут в герметичном реакторе емкостью 10 см3 при постоянной температуре 190°С. Затем реактор охлаждают, гидролизат отфильтровывают. Далее отфильтрованный гидролизат сушат и проводят выделение ГЛК из реакционной смеси методом высокоэффективной жидкостной хроматографии. Выход 0,5 мг/г, 0,05%. Глицирретиновая кислота в полученном продукте имеет Пример 2 Аналогично примеру 1 проводят гидролиз и выделение ГЛК из 0,7 г сухого измельченного экстракта солодки и 7 мл воды при постоянной температуре 270°С. Выход 9,5 мг/г, 1,36%. Спектры ЯМР аналогичны спектрам, приведенным в примере 1. Пример 3 Аналогично примеру 1 проводят гидролиз и выделение ГЛК из 1 г сухого измельченного экстракта солодки и 5 мл 1% водного раствора HCl при температуре 190°С. Выход 23,7 мг/г, 2,37%. Спектры ЯМР аналогичны спектрам, приведенным в примере 1. Пример 4 Аналогично примеру 1 проводят гидролиз и выделение ГЛК из 0,7 г сухого измельченного экстракта солодки и 7 мл 5% водного раствора HCl при температуре 270°С. Выход 23,7 мг/г, 2,37%. Спектры ЯМР аналогичны спектрам, приведенным в примере 1. Пример 5 Аналогично примеру 1 проводят гидролиз и выделение ГЛК из 1 г сухого измельченного экстракта солодки и 5 мл 1% водного раствора N2SO4 при температуре 190°С. Выход 37,3 мг/г, 3,73%. Спектры ЯМР аналогичны спектрам, приведенным в примере 1. Пример 6 Аналогично примеру 1 проводят гидролиз и выделение ГЛК из 0,7 г сухого измельченного экстракта солодки и 7 мл 5% водного раствора H2SO4 при температуре 270°С. Выход 15,8 мг/г, 2,26%. Спектры ЯМР аналогичны спектрам, приведенным в примере 1. Пример 7 Аналогично примеру 1 проводят гидролиз и выделение ГЛК из 1 г сухого измельченного экстракта солодки и 5 мл 1% водного раствора HNO3 при температуре 190°С. Выход 1,2 мг/г, 0,12%. Спектры ЯМР аналогичны спектрам, приведенным в примере 1. Пример 8 Аналогично примеру 1 проводят гидролиз и выделение ГЛК из 0,7 г сухого измельченного экстракта солодки и 7 мл 5% водного раствора HNO3 при температуре 270°С. Выход 0,4 мг/г, 0,06%. Спектры ЯМР аналогичны спектрам, приведенным в примере 1. Пример 9 Аналогично примеру 1 проводят гидролиз и выделение ГЛК из 0,7 г сухого измельченного экстракта солодки и 7 мл воды при температуре 280°С. Выход 7,6 мг/г, 0,1%. Спектры ЯМР аналогичны спектрам, приведенным в примере 1.
Формула изобретения
1. Способ получения глицирретиновой кислоты 2. Способ по п.1, заключающийся в том, что используют 1-5%-ный водный раствор минеральных кислот. 3. Способ по п.2, заключающийся в том, что используют водный раствор минеральных кислот, выбранных из ряда: азотная кислота, серная кислота, соляная кислота. 4. Способ по п.1, заключающийся в том, что компоненты сырье : среда взяты в соотношении 1:5-10.
|
||||||||||||||||||||||||||

-конфигурации гидролизом экстракта корня солодки в герметических условиях в среде воды или водного раствора минеральных кислот при температуре 190-270°С с последующим выделением целевого продукта. Изобретение позволяет проводить процесс без использования органических растворителей и упростить его. 3 з.п. ф-лы.
381183, заявл. 26.07.84,