|
|
(21), (22) Заявка: 2007137641/09, 13.03.2006
(24) Дата начала отсчета срока действия патента:
13.03.2006
(30) Конвенционный приоритет:
11.03.2005 US 11/078,470
(43) Дата публикации заявки: 20.04.2009
(46) Опубликовано: 27.03.2010
(56) Список документов, цитированных в отчете о поиске:
US 2005/031044 A1, 10.02.2005. US 2004/202257 A1, 14.10.2004. RU 2208911 C2, 20.07.2003. RU 2242087 C2, 10.12.2004.
(85) Дата перевода заявки PCT на национальную фазу:
11.10.2007
(86) Заявка PCT:
US 2006/009468 20060313
(87) Публикация PCT:
WO 2006/099525 20060921
Адрес для переписки:
129090, Москва, ул. Б.Спасская, 25, стр.3, ООО “Юридическая фирма Городисский и Партнеры”, пат.пов. Ю.Д.Кузнецову, рег. 595
|
(72) Автор(ы):
КИМ Биоунг-Хоон (US)
(73) Патентообладатель(и):
КВЭЛКОММ ИНКОРПОРЕЙТЕД (US)
|
(54) СИСТЕМЫ И СПОСОБЫ ДЛЯ СОКРАЩЕНИЯ РЕСУРСОВ ВОСХОДЯЩЕЙ ЛИНИИ СВЯЗИ ДЛЯ ОБЕСПЕЧЕНИЯ ОБРАТНОЙ СВЯЗИ ПО ПРОИЗВОДИТЕЛЬНОСТИ КАНАЛА ДЛЯ РЕГУЛИРОВКИ СКОРОСТЕЙ ПЕРЕДАЧИ ДАННЫХ КАНАЛА MIMO НИСХОДЯЩЕЙ ЛИНИИ СВЯЗИ
(57) Реферат:
Изобретение относится к технике связи и может быть использовано в системах беспроводной связи MIMO. Технический результат – повышение производительности системы за счет сокращения объема ресурсов восходящей линии связи, необходимых для обеспечения обратной связи по производительности канала, для регулировки скоростей передачи данных на каналах MIMO нисходящей линии связи. Согласно одному варианту осуществления способ беспроводной связи содержит этапы, на которых кодируют каждый из набора потоков данных согласно соответствующим скоростям передачи данных, осуществляют перестановки потоков данных на наборе каналов MIMO согласно полной перестановке комбинаций, передают потоки данных, подвергнутые перестановке, принимают потоки данных, подвергнутые перестановке, декодируют и определяют SNR для каждого из потоков данных, вычисляют сводную метрику SNR для набора потоков данных, обеспечивают сводную метрику в качестве обратной связи, определяют набор отдельных метрик SNR для потоков данных на основании сводной метрики SNR, и регулируют скорости передачи данных, на которых кодируют потоки данных, на основании отдельных метрик SNR. 11 н. и 40 з.п. ф-лы, 7 ил.
Область техники, к которой относится изобретение
Изобретение относится, в целом, к системам беспроводной связи и, в частности, к системам и способам для сокращения объема обратной связи, необходимой для выбора подходящих скоростей передачи данных для кодирования потоков данных для максимизации пропускной способности данных.
Уровень техники
Системы беспроводной связи могут включать в себя множественные базовые станции и множественные мобильные станции. В любое данное время, конкретная базовая станция может осуществлять связь с одной или несколькими мобильными станциями. Каналы связи от базовой станции к мобильным станциям часто называют прямой линией связи или нисходящей линией связи, тогда как каналы связи от мобильных станций к базовой станции называют обратной линией связи или восходящей линией связи.
Данные, подлежащие передаче между базовой станцией и мобильной станцией, обычно кодируются, передаются передатчиком (на базовой станции или на мобильной станции), принимаются приемником (на мобильной станции или базовой станции), после чего декодируются. Данные кодируются на скорости передачи данных, которую выбирают на основании качеств линии связи. Чем лучше линия связи, тем выше скорость передачи данных, которую можно использовать.
Хотя базовая станция обычно имеет возможность увеличивать мощность передачи данных, тем самым повышая качество канала, это не всегда желательно. Например, если качество линии связи уже достаточно для поддержки надлежащей скорости передачи данных, увеличение мощности может просто увеличить помеху для других каналов. Поэтому на базовых станциях обычно реализуется тот или иной механизм управления мощностью и скоростями передачи данных, на которых передаются данные. Этот механизм может предусматривать, например, измерение производительности (например, отношения сигнал/шум или SNR) на мобильной станции, обеспечение обратной связи по производительности с базовой станцией и изменение скорости передачи данных, на которой данные кодируются и передаются, на основании измеренной производительности.
Одним из недавних достижений в области беспроводной связи является разработка систем MIMO (со многими входами и многими выходами). В системе MIMO используются множественные передающие антенны и множественные приемные антенны для установления множественных каналов, которые могут пространственно отличаться друг от друга. Одна из проблем, возникающих при разработке систем связи по технологии MIMO, является максимизация пропускной способности каждого из каналов MIMO и определение объема обратной связи, необходимого для максимизации пропускной способности.
Один подход (именуемый управлением скорости передачи данных для каждой антенны (Per Antenna Rate Control) или PARC) требует обеспечения отдельного значения SNR в качестве обратной связи для каждого из каналов MIMO. Этот подход не идеален ввиду большого объема ресурсов восходящей линии связи, необходимого для обеспечения SNR для каждого из каналов. Другой подход (именуемый диагональной многоуровневой пространственно-временной архитектурой лабораторий Белла (Diagonal Bell Laboratories Layered Space Time Architecture) или D-BLAST) требует только одного значения SNR в качестве обратной связи, но требует передачи пустых сигналов до передачи последовательности кодированных блоков данных для части каналов MIMO. Это приводит к неэффективному использованию каналов. Третий подход (именуемый многоуровневой пространственно-временной архитектурой лабораторий Белла с повторным использованием кодов (Code Reuse Bell Laboratories Layered Space Time Architecture) или CR-BLAST) также требует только одного значения SNR в качестве обратной связи, но использует единый общий кодер для кодирования всех потоков MIMO. Это не позволяет пользоваться последовательным подавлением помех (SIC) и индивидуальной оптимизацией управления скоростью передачи данных. Без использования очень сложного итерационного метода демодуляции и декодирования, производительность CR-BLAST оказывается гораздо ниже, чем в системах, использующих SIC и индивидуальную оптимизацию управления скоростью передачи данных. Поэтому желательно обеспечить системы и способы, в которых сокращенный объем обратной связи (например, меньше, чем отдельные SNR для каждого из каналов) можно передавать с мобильной станции на базовую станцию по восходящей линии связи, в которых использование каналов не уменьшается за счет передачи пустых сигналов, и в которых можно применять индивидуальное управление скоростью передачи данных и SIC.
Сущность изобретения
Раскрытые здесь варианты осуществления изобретения призваны удовлетворить одну или несколько вышеупомянутых потребностей, обеспечивая системы и способы для повышения производительности системы беспроводной связи MIMO за счет сокращения объема ресурсов восходящей линии связи, необходимого для обеспечения обратной связи по производительности канала, для регулировки скоростей передачи данных на каналах MIMO нисходящей линии связи. Согласно одному варианту осуществления потоки данных кодируют традиционным образом, перемежают и отображают в символы модуляции на базовой станции. Затем символы модуляции смешивают согласно псевдослучайному шаблону и передают набором передающих антенн, в результате чего данные каждого потока данных передают по всем каналам MIMO. Согласно одному варианту осуществления используют полную перестановку возможных комбинаций. Данные принимают на мобильной станции, подвергают снятию смешивания (обратной перестановке) и декодируют. Для каждого потока данных определяют SNR. Согласно одному варианту осуществления потоки данных декодируют с использованием последовательного подавления помех. Затем вычисляют сводную метрику SNR (например, опорное SNR и SNR), которую передают обратно на базовую станцию. Базовая станция определяет SNR для каждого из потоков данных на основании сводной метрики SNR и использует эти SNR для регулировки скоростей передачи данных, на которых кодируют соответствующие потоки данных. Согласно другому варианту осуществления потоки данных декодируют без SIC. В этом случае часть SNR сводного SNR задается равной нулю.
Один вариант осуществления содержит способ, включающий в себя этапы, на которых кодируют каждый из набора потоков данных согласно соответствующим скоростям передачи данных, смешивают потоки данных на наборе каналов MIMO согласно полной перестановке комбинаций, передают потоки данных, подвергнутые перестановке, принимают потоки данных, подвергнутые перестановке, осуществляют обратную перестановку потоков данных, декодирование и определение SNR для каждого из потоков данных, вычисляют сводную метрику SNR для набора потоков данных, обеспечивают сводную метрику в качестве обратной связи, определяют набор отдельных метрик SNR для потоков данных на основании сводной метрики SNR и регулируют скорости передачи данных, на которых кодируют потоки данных, на основании отдельных метрик SNR.
Другой вариант осуществления содержит систему беспроводной связи MIMO. Система включает в себя базовую станцию, имеющую совокупность передающих антенн MIMO, и мобильную станцию, имеющую совокупность приемных антенн MIMO. Базовая станция сконфигурирована с возможностью кодирования каждого из совокупности потоков данных согласно соответствующей скорости передачи данных, перестановки потоков данных и передачи каждого из потоков данных по совокупности каналов MIMO, соответствующих передающим антеннам MIMO. Мобильная станция сконфигурирована с возможностью обратной перестановки потоков данных для воспроизведения кодированных потоков данных, декодирования потоков данных и определения метрики качества, соответствующей каждому из потоков данных. Затем мобильная станция определяет сводную метрику качества на основании метрик качества, соответствующих каждому из потоков данных и передает сводную метрику качества обратно на базовую станцию. Базовая станция сконфигурирована с возможностью определения отдельной метрики качества, связанной с каждым из потоков данных, на основании сводной метрики качества, и затем регулирования скоростей передачи данных, на которых кодируется каждый из потоков данных, на основании отдельных метрик качества. Возможны также многочисленные альтернативные варианты осуществления.
Краткое описание чертежей
Фиг.1 – функциональная блок-схема, демонстрирующая структуру иллюстративного беспроводного передатчика.
Фиг.2 – функциональная блок-схема, демонстрирующая структуру иллюстративного беспроводного приемника.
Фиг.3 – схема, демонстрирующая передачу каждого из набора потоков данных по соответствующему набору каналов MIMO, согласно уровню техники.
Фиг.4A и 4B – пара схем, демонстрирующих передачу каждого из набора потоков данных по каждому из набора каналов MIMO, согласно одному варианту осуществления.
Фиг.5 – таблица, демонстрирующая все возможные перестановки четырех потоков данных, передаваемых по четырем каналам MIMO.
Фиг.6 – функциональная блок-схема, демонстрирующая структуру системы, где используются псевдослучайная перестановка антенн и последовательное подавление помех, согласно одному варианту осуществления.
Фиг.7 – логическая блок-схема, демонстрирующая обработку и передачу множественных потоков данных в системе связи MIMO, а также определение сводной метрики, обеспечиваемой в качестве обратной связи для управления скоростями передачи данных при обработке потоков данных, согласно одному варианту осуществления.
Подробное описание
Ниже описан один или несколько вариантов осуществления изобретения. Заметим, что эти и любые другие варианты осуществления, описанные ниже, являются иллюстративными и призваны иллюстрировать, но не ограничивать изобретение.
Описанные здесь различные варианты осуществления изобретения содержат системы и способы для повышения производительности систем беспроводной связи MIMO за счет сокращения объема ресурсов восходящей линии связи (обратной линии связи), необходимого для обеспечения обратной связи по SNR/ производительности канала для регулировки скоростей передачи данных на каналах MIMO нисходящей линии связи (прямой линии связи).
Согласно одному варианту осуществления набор потоков данных на базовой станции кодируется с использованием соответствующих скоростей передачи данных. Кодированные потоки данных готовы к передаче. Вместо передачи каждого из кодированных потоков данных по одному из каналов MIMO, последовательные блоки в кадре каждого кодированного потока данных смешиваются и передаются по разным каналам MIMO. Таким образом, потоки данных подвергаются перестановкам по разным каналам.
Согласно этому варианту осуществления первый блок каждого из потоков данных передается первой комбинацией каналов MIMO. Например, при наличии четырех потоков данных под номерами 1-4 и четырех каналов MIMO под номерами 1-4, первые блоки потоков данных 1-4 можно передавать по каналам MIMO 1-4 соответственно. Затем вторые блоки потоков данных 1-4 можно передавать по каналам MIMO 2, 3, 4 и 1 соответственно, и третьи блоки можно передавать по каналам 3, 4, 1 и 2 соответственно. Согласно этому варианту осуществления последовательные блоки потоков данных 1-4 передаются посредством каждой из 24 возможных перестановок каналов MIMO 1-4.
Каналы MIMO, передаваемые базовой станцией, пространственно различимы приемником MIMO мобильной станции. Это дает возможность мобильной станции брать блоки кодированных данных из каждого из каналов MIMO и реконструировать кодированные потоки данных (предполагается, что мобильной станции известна схема перестановки, используемая базовой станцией для смешивания (перестановки) блоков потоков данных между каналами MIMO). Затем приемник декодирует потоки данных и определяет SNR для каждого из потоков данных.
Поскольку блоки каждого потока данных передаются по всем четырем каналам MIMO, все четыре потока данных находятся, в среднем, в одинаковых канальных условиях, если канал остается приблизительно статичным во время передачи всего кодированного кадра. В результате, при определении SNR (усредненных по кадру) для каждого из потоков данных, значения SNR варьируются только вследствие подавления помех, которое может достигаться, когда каждый поток данных декодируется и затем используется в качестве обратной связи для удаления соответствующей помехи из оставшихся потоков данных, которым предстоит декодирование. Это называется последовательным подавлением помех.
Поскольку SNR четырех потоков данных варьируются только в результате последовательного подавления помех, значения SNR не претерпевают значительных изменений, но демонстрируют сравнительно хорошее поведение. Это справедливо, несмотря на то, что условия на каналах MIMO могут значительно различаться (вследствие чего значения SNR потоков данных, передаваемых отдельно по соответствующим отдельным каналам MIMO варьируются в значительно большей степени).
Тот факт, что SNR разных потоков данных демонстрируют сравнительно хорошее поведение, позволяет представлять значения SNR, с разумной точностью, в сводной форме (т.е. в форме, более компактной по сравнению с обеспечением по отдельности каждого из четырех разных значений SNR). Например, SNR можно представлять в виде опорного значения SNR и значения SNR, причем опорное значение SNR соответствует SNR первого декодированного потока данных, и значение SNR соответствует разности между значениями SNR последовательных потоков данных.
Мобильная станция передает сводное представление SNR на базовую станцию по восходящей линии связи. Поскольку сводное представление SNR имеет меньший размер, чем представление четырех отдельных значений SNR, требуется меньше ресурсов восходящей линии связи для обеспечения этой обратной связи с базовой станцией. Затем базовая станция использует сводное представление SNR для разных потоков данных как основу для регулировки скоростей передачи данных, на которых затем кодируются разные потоки данных. Иными словами, для одного потока данных, базовая станция предполагает, что SNR, измеренное мобильной станцией, равно опорному значению SNR, и регулирует скорость передачи данных для этого потока данных в соответствии с опорным SNR. Для следующего потока данных базовая станция предполагает, что измеренное значение SNR равно опорному значению SNR плюс значение SNR. Для следующего потока данных используется значение, равное опорному значению SNR, плюс удвоенное значение SNR и т.д., при этом соответственно регулируется скорость передачи данных каждого потока данных.
Прежде чем приступить к подробному рассмотрению иллюстративных вариантов осуществления, полезно описать основы работы отдельного физического канала в обычной системе беспроводной связи. На фиг.1 показана функциональная блок-схема, демонстрирующая структуру иллюстративного беспроводного передатчика.
Согласно фиг.1 поток данных принимается и обрабатывается кодером 110. Поток данных кодируется на выбранной скорости передачи данных, что будет дополнительно рассмотрено ниже. Кодированный поток данных поступает на перемежитель 120 и затем на модуль 130 отображения/модуляции. Модулированный сигнал поступает на антенну 140, которая передает модулированный сигнал.
На фиг.2 показана функциональная блок-схема, демонстрирующая структуру иллюстративного беспроводного приемника. Согласно этой фигуре сигнал, переданный с антенны 140, принимается антенной 250, после чего поступает на модуль 260 демодуляции/снятия отображения. Демодулированный сигнал поступает на деперемежитель 270. После снятия перемежения на сигнале он декодируется декодером 280 для воспроизведения исходного потока данных. Заметим, что в ходе обработки сигнала на передатчике и приемнике могут возникать некоторые ошибки, поэтому здесь используется термин “исходный поток данных”, указывающий, является ли декодированный сигнал точным воспроизведением исходного сигнала, или же содержит какие-либо ошибки.
На фиг.1 и 2 представлен механизм передачи информации в одном направлении. Например, информацию можно передавать с базовой станции на мобильную станцию в сотовой телефонной системе. Обычно связь является двусторонней, а не односторонней, поэтому аналогичный набор структур можно использовать для передачи информации как с мобильной станции на базовую станцию, так и с базовой станции на мобильную станцию. В такого рода системе каналы связи от базовой станции к мобильной станции обычно называются прямой линией связи, каналы связи от мобильной станции к базовой станции называются обратной линией связи.
Как отмечено выше, кодирование потока данных на передатчике осуществляется на основании скорости передачи данных, выбранной для передачи данных. Скорость передачи данных, в свою очередь, выбирается на основании качества принятого сигнала. Чем выше качество принятого сигнала, тем более высокую скорость передачи данных может декодировать приемник. Поэтому желательно повышать скорость передачи данных, чтобы добиться более высокой пропускной способности. Чем ниже качество принятого сигнала, тем более низкую скорость передачи данных может декодировать приемник. В этом случае, желательно снижать скорость передачи данных для уменьшения ошибок в декодированных данных.
Для определения скорости передачи данных, которую нужно выбрать для кодирования потока данных, прежде всего, необходимо определить качество принятого сигнала. В ряде систем качество сигнала определяется путем измерения отношения сигнал/шум (SNR) сигнала. На определенных уровнях SNR можно поддерживать соответствующие скорости передачи данных. Например, SNR1 позволяет поддерживать до data_rate1 с приемлемой частотой ошибок, SNR2 позволяет поддерживать до data_rate2 и т.д. Поэтому эти системы измеряют SNR принятого сигнала и передают эту информацию обратно на передатчик, который затем определяет, приемлема ли скорость передачи данных, используемая в настоящее время для кодирования передаваемых данных, или же она слишком высока или, напротив, слишком низка. Если скорость передачи данных слишком высока или слишком низка, для последующего кодирования можно выбрать более подходящую скорость передачи данных.
Это сравнительно прямолинейный подход в этом одноканальном сценарии к обеспечению SNR принятого сигнала в качестве обратной связи для использования при регулировке скорости передачи данных, на которой кодируются данные. Информации SNR достаточно для выбора скорости передачи данных, и эта информация не составляет особенно большой дополнительной стоимости. Даже если дополнительная стоимость представляется большой, было бы трудно сократить эту нагрузку, поскольку SNR является единственным значением, и эта информация необходима для определения подходящей скорости передачи данных.
Однако в некоторых системах нет только одного канала. Например, система MIMO (со многими входами и многими выходами) имеет множественные физические каналы. Передатчик MIMO имеет множественные антенны, каждую из которых можно использовать для передачи какого-либо из множественных каналов MIMO. Аналогично, приемник MIMO имеет множественные антенны, которые используются для различения между разными физическими каналами, передаваемыми через антенны передатчика, и для приема этих отдельных физических каналов.
В обычной системе MIMO каждый канал обрабатывается, по существу, так же, как в одноканальной системе. Иными словами, для каждого канала поток данных кодируется на выбранной скорости передачи данных, перемежается, отображается/модулируется, передается через соответствующую антенну MIMO, принимается в приемнике, подвергается снятию отображения/демодуляции, подвергается снятию перемежения и декодируется для реконструкции исходного потока данных. Этот процесс осуществляется параллельно для каждого из каналов MIMO.
Система MIMO имеет конфигурацию, в которой физические каналы не зависят друг от друга. Поэтому множественные потоки данных можно по отдельности передавать по разным каналам. Иными словами, разные потоки данных можно передавать через разные передающие антенны, и многоантенный приемник MIMO может различать их. Это проиллюстрировано на фиг.3.
На фиг.3 показана схема, демонстрирующая передачу каждого из набора потоков данных по соответствующему набору каналов MIMO в системе, отвечающей уровню техники. Система, показанная на фиг.3, иллюстрирует, например, систему PARC. В этой системе набор кодированных потоков данных 311-314 передается набором передающих антенн 321-324. Переданные сигналы принимаются приемными антеннами 331-334. Пространственно-временной сигнальный процессор 335 обрабатывает принятые сигналы (которые все принимаются каждой из антенн 331-334) для различения потоков данных 341-344 (которые, по существу, идентичны потокам данных 311-314).
Поскольку каналы MIMO не зависят друг от друга, разные каналы могут иметь разные характеристики замирания. Иными словами каждый из каналов системы MIMO может иметь отдельное SNR. В результате, на разных каналах может требоваться кодировать соответствующие потоки данных на разных скоростях передачи данных для максимизации пропускной способности каждого из каналов.
Прямой подход к обеспечению этой информации SNR состоит в отдельном измерении SNR для каждого из каналов MIMO с последующей передачей каждого из этих значений SNR обратно на передатчик, чтобы скорости передачи данных для каждого из каналов можно было выбрать на основании соответствующих измеренных значений SNR. Этот подход используется в системах PARC. Хотя этот подход является прямым, он требует сравнительно большого объема ресурсов обратной линии связи. При наличии n каналов MIMO этот подход требует в n раз больше ресурсов, чем необходимо в случае одного канала. Вследствие высоких затрат ресурсов, связанных с этим подходом, системы и способы, отвечающие настоящему изобретению, предусматривают использование альтернативного подхода, согласно которому в качестве обратной связи на передатчик возвращается сводная метрика SNR, что позволяет экономить ресурсы обратной линии связи и, вместе с тем, выбирать скорости передачи данных, обеспечивающие более высокую пропускную способность системы.
Поскольку разные каналы MIMO не зависят друг от друга, они имеют независимые характеристики замирания и качества канала. Поэтому значения SNR каждого из этих каналов также независимы. Ввиду взаимной независимости SNR они могут значительно отличаться друг от друга. Например, при наличии четырех каналов, первый канал может иметь SNR [+15] дБ, второй канал может иметь SNR [-15] дБ, третий канал может иметь SNR 0 дБ и четвертый канал может иметь SNR [+15] дБ. Очевидно, что в этом случае было бы очень трудно выразить значения SNR всех каналов в сводной форме. Поэтому варианты осуществления настоящего изобретения предусматривают методологию, гарантирующую достаточно хорошее поведение значений SNR, чтобы их можно было представить с разумной точностью в сводной форме.
Методология, используемая в вариантах осуществления настоящего изобретения, предусматривает передачу данных для каждого потока данных по всем каналам MIMO. Иными словами, для каждого потока данных данные обрабатываются на передатчике, по существу, так же, как в обычной системе MIMO, но вместо передачи данных через одну единственную из антенн MIMO, один блок передается через первую антенну, следующий блок передается через вторую антенну и т.д. Таким образом, блоки каждого потока данных распределяются по всем каналам MIMO (причем каждый канал MIMO связан с соответствующей из антенн MIMO). Это проиллюстрировано на фиг.4A и 4B.
На фиг.4A показана схема, демонстрирующая передачу каждого из набора потоков данных по каждому из набора каналов MIMO, согласно одному варианту осуществления. С правой стороны на фиг.4A показаны четыре потока данных 411-414. Потоки данных 411-414 соответствуют кодированным, перемеженным, отображенным/модулированным данным, обработанным на передатчике и готовым к передаче по беспроводной линии связи в приемник. В частности, множественные потоки данных представляют данные, которые традиционным образом передавались бы по отдельным каналам системы MIMO (через антенны передатчика MIMO.) В каждом из потоков данных имеется ряд блоков данных. Блоки данных обозначаются буквой, соответствующей потоку данных, и числом, соответствующим позиции блока данных в потоке данных. Блоки данных могут иметь любой размер, удобный для конкретной реализации, но не могут быть настолько велики, чтобы была утрачена выгода от перестановки потоков данных между разными каналами.
После того, как потоки данных прошли традиционную обработку перед передачей, блоки каждого потока данных отображаются на разные антенны передатчика MIMO. Согласно фиг.4A первый набор блоков, A1, B1, C1 и D1, отображается на антенны 431, 432, 433 и 434 соответственно. Следующий набор блоков, A2, B2, C2 и D2, отображается на другую комбинацию из четырех антенн. В частности, они отображаются на антенны 432, 433, 434 и 431 соответственно. Иными словами, блоки разных потоков данных подвергаются циклической перестановке относительно антенн. Третий набор блоков данных снова подвергается циклической перестановке, в результате чего блоки данных A3, B3, C3 и D3 отображаются на антенны 433, 434, 431 и 432 соответственно. Последующие блоки аналогично отображаются на разные комбинации антенн, пока это возможно. Согласно одному варианту осуществления, последовательность отображений блоков данных на каналы MIMO содержит псевдослучайный шаблон (показанный и описанный со ссылкой на фиг.5).
На фиг.4B показана схема, демонстрирующая прием каждого из переданных смешанных потоков данных в приемнике. Можно видеть, что каждая из приемных антенн 441-444 принимает комбинированные сигналы, переданные передающими антеннами 431-434. Пространственно-временной сигнальный процессор 445 обрабатывает принятые сигналы для различения потоков данных, подвергнутых перестановке 451-454. Приемник располагает алгоритмом и/или шаблоном для отображения исходных потоков данных 411-414 в смешанные потоки данных 421-424. Это позволяет приемнику осуществлять снятие отображения или снятие смешивания на принятых блоках данных (451-454) для реконструкции исходных потоков данных (461-464). Реконструированные потоки данных 461-464 можно подвергать снятию отображения /демодуляции, снятию перемежения и декодированию традиционными способами.
Из фиг.4A и 4B следует, что реконструированные потоки данных состоят из блоков данных, переданных по всем каналам MIMO, предпочтительно, согласно псевдослучайному шаблону. Например, реконструированный поток данных 411 включает в себя блоки данных A1, A2, A3,… Эти блоки данных были переданы по первому, второму, третьему и т.д. каналам MIMO. Другие реконструированные потоки данных аналогично были переданы по всем каналам MIMO. Благодаря передаче каждого потока данных по всем каналам MIMO, все потоки данных находятся, в среднем, в одинаковых канальных условиях. Иными словами, по каждому из каналов MIMO передается примерно четверть блоков данных каждого из потоков данных, и потому они находятся в канальных условиях каждого из каналов MIMO четверть времени.
В вышеприведенном примере, где SNR разных каналов варьируется от [+15] дБ до [-15] дБ, передача каждого потока данных по всем четырем каналам дает среднее SNR где-то между [+15] дБ и [-15] дБ. Например, SNR может быть равно [+5] дБ. Хотя SNR разных потоков данных, скорее всего, не в точности равны, одни должны быть примерно эквивалентны, и определенно демонстрируют очень хорошее поведение по сравнению с вариациями SNR в обычной системе MIMO.
Заметим, что помимо преимущества выравнивания SNR, связанных с разными потоками данных, передача каждого из потоков данных по всем физическим каналам MIMO может иметь дополнительные выгоды. Например, выгодно использовать разные тракты сигнала для передачи потока данных, поскольку разнесение обеспечивает более устойчивый канал.
Если каждый из потоков данных подлежит передаче по множественным физическим каналам, необходимо определить, как разные потоки данных будут смешиваться на каналах. Иными словами, необходимо определить, какой поток данных будет передаваться какой антенной в любой конкретный момент времени. Согласно некоторым вариантам осуществления, можно просто осуществлять циклические перестановки потоков данных по разным антеннам. Например, при наличии четырех каналов, последовательные блоки потока данных можно передавать через антенны 1, 2, 3, 4, 1, 2, 3, 4 и т.д.
Хотя простое зацикливание, наподобие вышеописанного, может иметь свои преимущества, предполагается, что более высокую производительность, в отношении как выравнивания SNR, связанных с потоками данных, так и преимуществ разнесения, более вероятно получить с использованием псевдослучайного шаблона, включающего в себя полную перестановку возможных комбинаций потоков данных и физических каналов. Используемое здесь понятие “полной” перестановки комбинаций означает все возможные упорядоченные комбинации потоков данных и физических каналов. Пример показан на фиг.5.
На фиг.5 приведена таблица, демонстрирующая все возможные перестановки четырех потоков данных, передаваемых по четырем каналам MIMO. Блоки данных, соответствующие тому или иному потоку данных, обозначены одной и той же буквой. Например, все блоки данных, начиная с первого из потоков данных, обозначены буквой “A”. Блоки данных второго, третьего и четвертого потоков данных обозначены буквами “B”, “C” и “D” соответственно. Каждая строка таблицы соответствует конкретному каналу MIMO. Каждый столбец таблицы соответствует последовательным блокам данных, передаваемым по каналу MIMO.
Можно видеть, что, в каждый момент времени (т.е. в каждом столбце таблицы), передается по одному блоку данных из каждого из четырех потоков данных. В первом (самом левом) столбце, блоки данных из потоков данных A, B, C и D передаются по каналам MIMO 1, 2, 3 и 4 соответственно. В следующем столбце, потоки данных (или каналы MIMO) подвергнуты циклической перестановке, поэтому блоки данных из потоков данных A, B, C и D передаются по каналам MIMO 2, 3, 4 и 1 соответственно. Потоки данных подвергаются дальнейшим циклическим перестановкам в отношении блоков данных в этом порядке.
В пятом столбце, потоки данных в исходном порядке в результате циклических перестановок возвращаются к исходной комбинации потоков данных и каналов MIMO (т.е. потоки данных A, B, C и D на каналах MIMO 1, 2, 3 и 4 соответственно). Вместо повторения этой комбинации потоки данных подвергаются такой перестановке, что потоки данных A, B, C и D передаются по каналам MIMO 1, 2, 4 и 3 соответственно. Затем потоки данных подвергаются циклическим перестановкам в этом порядке, пока блок из каждого потока данных не будет передан по каждому из каналов MIMO.
Этот процесс повторяется для каждой перестановки комбинаций потоков данных и каналов MIMO. Четыре потока данных можно упорядочить в шести разных перестановках: A-B-C-D; A-B-D-C; A-C-B-D; A-C-D-B; A-D-B-C; и A-D-C-B. Затем каждое из этих упорядочений потоков данных можно подвергать циклическим перестановкам по четырем разным каналам MIMO. Например, A-B-C-D можно передавать по каналам 1-2-3-4, 4-1-2-3, 3-4-1-2 или 2-3-4-1. Таким образом, существует 24 (4 факториал или 4!) разных комбинации из четырех потоков данных и четырех каналов MIMO. Передача потоков данных по каналам MIMO с использованием всех этих разных комбинаций именуется в контексте данного раскрытия полной перестановкой комбинаций.
Заметим, что описанная здесь система является иллюстративной, и что альтернативные варианты осуществления могут иметь другие количества потоков данных и/или каналов MIMO. Для вариантов осуществления, в которых количество потоков данных равно количеству каналов MIMO, количество разных комбинаций потоков данных и каналов MIMO задается как n! (n факториал), где n это количество потоков данных /каналов MIMO. Так, например, система, имеющая три потока данных и три канала MIMO, будет иметь 3!=6 разных комбинаций в полной перестановке. Система, имеющая пять потоков данных и пять каналов MIMO, будет иметь 5!=120, разных комбинаций в полной перестановке.
Поскольку блоки каждого из потоков данных передаются по всем каналам MIMO и находятся в, по существу, одинаковых канальных условиях, SNR разных потоков данных демонстрируют хорошее поведение. В идеале, SNR потоков данных эквивалентны. Это дает возможность обеспечивать обратную связь с передатчиком в форме единого SNR, которое представляет все потоки данных. Однако это может препятствовать обеспечению наивысшей пропускной способности для потоков данных.
Согласно одному варианту осуществления приемник MIMO является линейным приемником без нелинейного подавления помех.
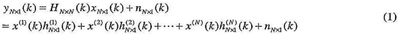
В отсутствие операции последовательного подавления помех в приемнике, наивысшей скорости передачи данных можно добиться, используя только один канал обратной связи по SNR, путем применения вышеописанной псевдослучайной перестановки антенн. Обозначив вектор приема системы MIMO N×N в символьное время k как y(k), для которого

получаем SNR i-го потока на линейном приемнике с минимальной среднеквадратической ошибкой (MMSE):

где i-я ковариационная матрица шума выражается как

В (1)-(3), обозначает матрицу канала, xN×1(k)=[x(1)(k), x(2)(k), , x(N)(k)] обозначает нормированный вектор сигнала, и nN×1(k) обозначает вектор флуктуационного шума, принятый N приемными антеннами с дисперсией 2 на измерение. Хотя здесь мы полагаем, что система MIMO имеет N потоков данных, N передающих антенн и N приемных антенн, количество передаваемых потоков MIMO не обязано быть равным ни количеству передающих антенн, ни количеству приемных антенн. Количества передающих антенн и приемных антенн также не обязаны быть одинаковыми.
В целом, разные потоки будут видеть разные значения SNR ввиду различия векторов каналов приема для разных передающих антенн. Обозначив количество символов в блоке кодирования и полосу системы как K и W, можно вычислить достижимую скорость передачи данных (биты в секунду) для i-го потока системы PARC на квазистатическом канале с использованием отображения (или любой другой надлежащим образом составленной формулы отображения SNR-скорость) в виде

Заметим, что временной индекс k был сознательно опущен в представлении SNR, поскольку канал предполагается квазистатическим. Эти N запрошенные скорости передачи данных передаются в порядке обратной связи и используются для кодирования следующего N-потокового кадра данных. Полная скорость передачи данных, которой можно добиться за счет независимого кодирования каждого потока в отдельности, задается следующим образом:

В случае применения псевдослучайной перестановки антенн, как показано на фиг.3-4, можно видеть, что скорости N потоков имеют одинаковое значение. В частности, обозначив индекс перестановки антенны i-го потока в время k как (i, k), получаем достижимую скорость передачи данных i-го потока как

и все R(i) имеют одинаковое значение. Полная достижимая скорость передачи данных по-прежнему задается (5), если размер кодированного кадра велик, и используется квазислучайное кодирование, например турбокодирование. Отношения между PARC и псевдослучайной перестановкой антенн остаются аналогичными даже для линейного приемника с обнулением незначащих коэффициентов (ZF) или согласованным фильтром (MF), вместо приемника MMSE. Заметим, что для достижения максимальной скорости передачи данных в случае линейного приемника не требуются все перестановки, а необходимы только операции циклической перестановки антенн и один канал обратной связи по SNR.
Согласно одному варианту осуществления в приемнике MIMO при декодировании потоков данных применяется методология последовательного подавления помех (SIC). Приемник SIC достигает повышенных значений SNR для некоторых потоков данных, декодируя сначала один из потоков данных, а затем используя эту информацию для частичного подавления помехи в остальных потоках данных. В частности, первый декодированный поток данных используется для регенерации помехи, созданной при передаче. Затем эту помеху можно подавить в принятой суперпозиции потоков данных. Затем декодируется второй из потоков данных. Поскольку помеха в этом потоке данных снижена в результате подавления помех в первом потоке данных, SNR второго декодированного потока данных больше, чем SNR первого декодированного потока данных. Затем второй декодированный поток данных используется таким же образом, как первый поток данных, для частичного подавления помехи в оставшихся потоках данных. Этот процесс повторяется для каждого из оставшихся потоков данных.
При использовании этой методологии SIC, SNR, связанное с конкретным потоком данных, соответствует порядку декодирования потоков данных, причем первый поток данных, подлежащий декодированию, имеет наинизшее SNR, и последний поток данных, подлежащий декодированию, имеет наивысшее SNR. Поскольку SNR разных потоков данных не одинаковы, потоки данных могут поддерживать разные скорости передачи данных (т.е. кодироваться на них). Поток данных, имеющий наинизшее SNR, поддерживает наинизшую скорость передачи данных, а поток данных, имеющий наивысшее SNR, поддерживает наивысшую скорость передачи данных. Если приемник обеспечивает в качестве обратной связи одно значение SNR, которое используется передатчиком как основание для выбора скорости передачи данных для кодирования каждого потока данных, максимальная возможная пропускная способность на потоках данных, имеющих наивысшие SNR, не будет достигнута. Поэтому согласно этому варианту осуществления полезно обеспечивать какое-либо указание разности между значениями SNR разных потоков данных, чтобы для каждого из потоков данных можно было выбрать подходящие скорости передачи данных.
В случае использования в приемнике декодера MMSE-SIC или ZF-SIC максимальной скорости передачи данных, строго говоря, нельзя добиться, пока в качестве обратной связи не будет обеспечено N значений SNR. Однако, на практике, можно добиться почти максимальной скорости передачи данных с помощью сводного SNR (или усеченной обратной связи), применяя надлежащую приближенную формулу, описанную здесь.
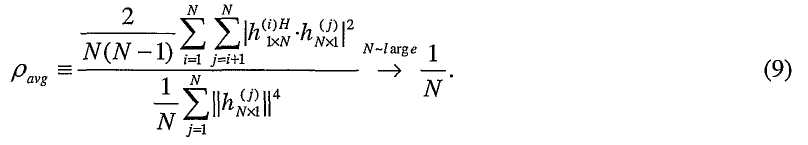
С другой стороны, при использовании декодера MF-SIC совместно с псевдослучайной перестановкой антенн, на передатчике можно точнее вычислить значения SNR других потоков данных, используя SNR первого потока данных и усредненный коэффициент корреляции каналов по потокам. Мгновенное SNR первого потока на выходе MF (или объединителя со взвешиванием по пилот-сигналу) выражается в виде

где P, N и 2 соответственно обозначают энергию сигнала, количество потоков данных и дисперсию флуктуационного шума. Простой способ (хотя и не оптимальный в отношении достижимой скорости передачи данных) вычисления среднего SNR кадра кодирования состоит в использовании отношения усредненной мощности сигнала (или, в частности, среднего арифметического) к усредненной (среднему арифметическому) мощности помехи и шума, в результате чего получается

где усредненный коэффициент корреляции каналов вычисляется как

Таким же образом можно вычислить среднее SNR кадра кодирования i-го потока, который декодируется после подавления помехи в первых i-1 потоках. Благодаря симметричной структуре псевдослучайной перестановки антенн, достигается результат для SNR, аналогичный результату для 1-го потока с разницей в эффективном количестве сигналов помехи, который выражается следующим образом

Из (8) и (10) можно вывести соотношение между SNR 1-го потока и j-го потока:

или, эквивалентно, отношение SNR можно переписать в виде

через SNR последнего потока. Таким образом, если известны SNR 1-го декодированного потока (или последнего или любого другого декодированного потока) и усредненный коэффициент корреляции каналов, то можно точно прогнозировать значения SNR других потоков системы псевдослучайной перестановки антенн, объединенной с приемником MF-SIC. Однако формулы (11)-(12) представляют только один пример того, как можно восстановить полный набор значений SNR всех потоков данных, когда известны только одно значение SNR и один параметр корреляции. Заметим, что для обеспечения более адекватного и оптимального выбора скоростей, в качестве обратной связи следует обеспечить не среднее SNR на основе среднего арифметического, представленное в (10), а более сложное эффективное SNR на основе (6). Так, в фактической реализации можно использовать любые другие формулы, позволяющие эффективно учитывать соотношения между SNR потоков в данной системе MIMO, в которые входят опорное SNR и один или несколько вспомогательных параметров. Вспомогательным параметром может быть усредненный коэффициент корреляции каналов, SNR или любые другие величины.
Формулу прогнозирования SNR (11) или (12), позволяющую точно вычислить значения SNR в случае приемника MF-SIC, можно использовать для расчета нижней границы SNR для приемника MMSE-SIC. Фактически, SNR последнего декодированного потока будет промежуточным значением между MF-SIC и MMSE-SIC, если флуктуационный шум является белым, и зазор SNR (т.е. MMSE SNR – MF SNR) между другими потоками сильно зависит от усредненного коэффициента корреляции каналов. Когда усредненный коэффициент корреляции каналов мал (т.е. большинство пространственных сигнатур примерно ортогональны друг другу), зазор будет близок к нулю даже для других потоков (и значения SNR для разных потоков будут почти одинаковыми); в противном случае он может быть большим. Предполагая, что МС возвращает SNR последнего декодированного потока и усредненный коэффициент корреляции каналов согласно (9), базовая станция может выбирать скорости консервативно на основании (12), чтобы после декодирования первого потока можно было почти гарантированно декодировать последующие потоки. С другой стороны, базовая станция может установить значение усредненного коэффициента корреляции каналов меньше сообщенного с учетом возможностей передового приемника (т.е. MMSE-SIC): сообщенный усредненный коэффициент корреляции каналов согласно (9) можно уменьшать в большей степени, если он велик, и оставлять почти неизменным, если он мал.
В порядке альтернативы, мобильная станция может фактически генерировать все средние значения SNR N потоков на стадии декодирования и оценивать оптимальный эффективный усредненный коэффициент корреляции каналов, чтобы кривая согласно (12) (или другая надлежащим образом построенная кривая для MMSE-SIC или ZF-SIC) была как можно ближе к генерированным значениям SNR. Затем SNR последнего потока и эффективный усредненный коэффициент корреляции каналов передаются в порядке обратной связи, чтобы базовая станция могла выбрать скорости согласно (12).
На практике, в случае приемника MMSE-SIC или ZF-SIC, можно вывести приближенное соотношение между SNR, лучшее, чем (12) в отношении простоты, эффективного описания соотношений между SNR и т.д. Например, можно использовать аддитивное соотношение между SNR

или мультипликативное соотношение между SNR

для правильно выбранных вспомогательного параметра и рекурсивной функции f(i)(·, ·). В простой реализации рекурсивная функция может принимать постоянное значение, например, 
Согласно одному варианту осуществления обратная связь, обеспечиваемая приемником, состоит из опорного значения SNR и значения SNR. Поскольку качество канала, испытываемое каждым из потоков данных, по существу, одинаково, различие в SNR для каждого из потоков данных обусловлено подавлением помехи при декодировании последовательных потоков данных. Поскольку влияние SIC на SNR последовательных потоков данных хорошо предсказуемо и хорошо понятно, SNR потоков данных можно разумно аппроксимировать опорным значением SNR и значением SNR, где опорное значение SNR это фактическое SNR для первого декодированного канала (или последнего декодированного или любого другого заранее указанного канала в зависимости от конструкции системы), и SNR это улучшение (или ухудшение, в зависимости от конструкции системы) в SNR для каждого следующего декодируемого канала. Например, SNR первого декодированного канала равно опорному SNR, SNR второго декодированного канала равно опорному значению SNR плюс SNR, SNR третьего декодированного канала равно опорному значению SNR плюс удвоенное SNR и т.д. Заметим, что базовая станция предположительно знает порядок, в котором мобильная станция декодирует потоки данных, и потому способна применять SNR (опорное значение SNR плюс кратное SNR) к соответствующим потокам данных. Вычисление и операцию прибавления SNR можно осуществлять либо в линейном масштабе, либо в логарифмическом (дБ) масштабе. Поскольку операция прибавления в логарифмическом масштабе соответствует операции умножения в линейном масштабе, операции сложения в линейном и логарифмическом масштабах соответственно эквивалентны использованию (13) и (14), где .
На фиг.6 показана функциональная блок-схема, демонстрирующая структуру системы, где используются псевдослучайная перестановка антенн и последовательное подавление помех согласно одному варианту осуществления. Согласно этому варианту осуществления система состоит из передатчика 610 и приемника 620. Согласно одному варианту осуществления передатчик 610 реализован в виде беспроводной базовой станции, а приемник 620 реализован в виде беспроводной мобильной станции для формирования нисходящей линии связи. Мобильная станция также включает в себя передатчик, и базовая станция включает в себя приемник для формирования соответствующей восходящей линии связи.
Передатчик 610 и приемник 620 являются устройствами MIMO, способными передавать и принимать четыре канала. Передатчик 610 способен обрабатывать четыре потока данных и передавать соответствующие кодированные потоки данных по псевдослучайным комбинациям четырех физических каналов MIMO. Приемник 620 способен принимать данные по четырем каналам MIMO, реконструировать кодированные потоки данных и обрабатывать эти данные для регенерации исходных потоков данных.
На передатчике 610 четыре исходных потока данных поступают на кодеры 630. Каждый из кодеров кодирует соответствующий поток данных на скорости передачи данных, выбранной для этого конкретного потока данных. Затем кодированные символы данных перемежаются перемежителями 635 и отображаются в символы модуляции модулями 640 отображения. Затем символы модуляции отображаются модулем 645 перестановки на антенны 650. Затем символы модуляции передаются антеннами 650 согласно схеме перестановки, реализованной на модуле 645 перестановки.
В приемнике 620 переданные символы принимаются антеннами 655 и поступают на первый из корректоров 660. Этот первый корректор вычисляет SNR для первого из потоков данных и выдает сигнал на первый из модулей 665 снятия отображения. Затем кодированные символы подвергаются снятию перемежения первым из деперемежителей 670 и декодируются первым из декодеров 675. Декодированные данные поступают на первый из помехоподавителей 680, который регенерирует помеху, соответствующую первому потоку данных и подавляет эту помеху в принятом сигнале. Аналогичный тракт обработки обеспечен для сигналов, соответствующих каждому из оставшихся потоков данных.
После декодирования всех четырех потоков данных определяются SNR для каждого из потоков данных. Как описано выше, SNR потоков данных выравниваются за счет передачи их по всем каналам MIMO, поэтому различия в SNR, определенные для каждого из потоков данных, обусловлены последовательным подавлением помехи. Это дает возможность приемнику вычислять сводную метрику SNR для хорошо предсказуемого набора SNR, соответствующих четырем потокам данных. Согласно одному варианту осуществления эта сводная метрика состоит из опорного значения SNR и значения SNR, где значение SNR это разность между SNR последовательных потоков данных либо в линейном масштабе, либо в логарифмическом масштабе. Затем эта сводная метрика передается в качестве обратной связи на передатчик, который может регулировать скорости передачи данных, на которых кодируются разные потоки данных, на основании соответствующих SNR, определяемых из сводной метрики SNR.
Работа этой системы схематически представлена на фиг.7. Фиг.7 – это логическая блок-схема, демонстрирующая обработку и передачу множественных потоков данных в системе связи MIMO, а также определение сводной метрики, обеспечиваемой в качестве обратной связи для управления скоростями передачи данных при обработке потоков данных согласно одному варианту осуществления.
Согласно фиг.7 сначала обрабатывается (700) набор из n начальных потоков данных для создания соответствующего набора кодированных потоков данных. Эта обработка соответствует кодированию, перемежению и отображению/модуляции полного кадра данных, осуществляемым компонентами 630, 635 и 640 передатчика 610. Затем последовательные части (например, блоки) в кадре каждого из кодированных потоков данных передаются (705) попеременно на разных каналах MIMO. Как отмечено выше, попеременная передача на разных каналах MIMO может осуществляться, например, согласно псевдослучайному шаблону. Согласно одному варианту осуществления псевдослучайный шаблон включает в себя все возможные перестановки комбинаций потоков данных и каналов MIMO. Смешивание и передача кодированных потоков данных соответствуют компонентам 645 и 650 передатчика 610.
Затем переданные данные принимаются (710) приемником. Приемником является приемник MIMO, способный к пространственному различению разных каналов MIMO.
Смешанные части потоков данных подвергаются снятию смешивания, и кодированные потоки данных реконструируются (715). После реконструкции кодированных потоков данных SNR определяется для каждого из кодированных потоков данных, и кодированные потоки данных декодируются в начальные потоки данных (720, 725). Как описано выше, согласно варианту осуществления, показанному на фиг.6, потоки данных последовательно декодируются и используются для регенерации, а затем подавления помехи, соответствующей декодированным потокам данных.
После определения SNR для каждого из потоков данных из этих значений вычисляется (730) сводная метрика SNR. Как рассмотрено выше, сводная метрика, согласно одному варианту осуществления содержит опорное значение SNR и значение SNR. Затем сводная метрика SNR передается (735) обратно на передатчик. Как отмечено выше, передатчик 610 и приемник 620 формируют нисходящую линию связи системы беспроводной связи, которая также включает в себя передатчик и приемник восходящей линии связи (не показанные на фиг.6), которые используются для передачи сводной метрики SNR в качестве обратной связи. После приема сводной метрики SNR, SNR для каждого из потоков данных реконструируются (740), и скорости передачи данных, на которых кодируется каждый из потоков данных, регулируются (745) на основании этих значений SNR. Если приемник не использует последовательное подавление помех, SNR задается равным 0 в линейном масштабе и 0 дБ в логарифмическом масштабе.
Согласно одному варианту осуществления приемник может дополнительно передавать в порядке обратной связи информацию, предписывающую отключить некоторые из передающих антенн. Тогда, представленные псевдослучайная перестановка антенн и сводная обратная связь по SNR будут применяться только к активным передающим антеннам, которые фактически передают потоки данных.
Согласно другому варианту осуществления количество активных потоков данных (Ns) может быть меньше количества передающих антенн (Nt). Тогда, Nt – Ns передающих антенн могут не передавать никакого сигнала в данный момент времени. Даже в этом случае, псевдослучайную перестановку антенн и обратную связь по сводному SNR можно применять с учетом того, что существует дополнительно Nt – Ns потоков данных, каждый из которых имеет нулевую мощность передачи.
Как отмечено выше, вышеописанные варианты осуществления призваны иллюстрировать изобретение, но не ограничивать его. Альтернативные варианты осуществления могут предусматривать многочисленные отклонения от вышеописанных систем и способов. Например, альтернативные варианты осуществления могут использовать сводную метрику обратной связи, которая содержит значение, отличное от суммы опорного значения SNR и значения SNR. Фактически, метрика может содержать значения, отличные от SNR, например, частоты возникновения ошибки в принятых, декодированных потоках данных. Альтернативные варианты осуществления также могут иметь другие типы приемников (например, без SIC), другие количества каналов или другие отличия.
Хотя это не было подробно описано выше, заметим, что вышеописанные функциональные возможности можно реализовать в мобильных станциях и базовых станциях системы беспроводной связи, обеспечивая подходящие программы, выполняемые соответствующими подсистемами обработки этих устройств. В этом случае, подсистемы обработки управляют обработкой данных и передачей/приемом данных, осуществляемыми соответствующими подсистемами приема/передачи мобильных станций и базовых станций.
Программные инструкции обычно реализуются в виде носителя данных, считываемого соответствующими подсистемами обработки. Иллюстративные носители данных могут включать в себя ОЗУ, флэш-память, ПЗУ, ЭППЗУ, ЭСППЗУ, регистры, жесткий диск, сменный диск, CD-ROM или носитель данных любого другого типа, известного в технике. Такой носитель данных, реализующий программные инструкции для обеспечения вышеописанных функциональных возможностей, содержит альтернативный вариант осуществления изобретения.
Специалисту в данной области техники очевидно, что информацию и сигналы можно представлять с использованием различных других технологий и техник. Например, данные, инструкции, команды, информация, сигналы, биты, символы и элементы данных, упомянутые в вышеприведенном описании, могут быть представлены напряжениями, токами, электромагнитными волнами, магнитными полями или частицами, оптическими полями или частицами или любой их комбинацией.
Специалисту в данной области техники очевидно, что различные иллюстративные логические блоки, модули, схемы и этапы способа, описанные в связи с раскрытыми здесь вариантами осуществления, могут быть реализованы в виде электронного оборудования, компьютерного программного обеспечения или их комбинации. Чтобы отчетливо проиллюстрировать эту взаимозаменяемость оборудования и программного обеспечения, различные иллюстративные компоненты, блоки, модули и этапы были описаны выше, в целом, применительно к их функциональным возможностям. Будут ли эти функциональные возможности реализованы аппаратными или программными средствами, зависит от конкретного применения и конструктивных ограничений, наложенных на систему в целом. Заметим также, что в альтернативных вариантах осуществления иллюстративные компоненты, блоки, модули, схемы и этапы могут быть поменяны местами или иначе переупорядочены. Специалисты в данной области техники могут реализовать описанные функциональные возможности по-разному в зависимости от конкретного применения, но такие особенности реализации не следует рассматривать как отступление от объема настоящего изобретения.
Различные иллюстративные логические блоки и модули, описанные в связи с раскрытыми здесь вариантами осуществления, можно реализовать или осуществлять посредством процессора общего назначения, цифрового сигнального процессора (ЦСП), специализированной интегральной схемы (СИС), программируемой пользователем вентильной матрицы (ППВМ) или другого программируемого логического устройства, дискретной вентильной или транзисторной логики, дискретных аппаратных компонентов или любой их комбинации, предназначенных для осуществления описанных здесь функций. Процессор общего назначения может представлять собой микропроцессор, но, альтернативно, процессор может представлять собой любой традиционный процессор, контроллер, микроконтроллер или конечный автомат. Процессор также может быть реализован как комбинация вычислительных устройств, например, комбинация ЦСП и микропроцессора, совокупность микропроцессоров, один или несколько микропроцессоров в сочетании с ядром ЦСП или любая другая подобная комбинация.
Вышеприведенное описание раскрытых вариантов осуществления предоставлено, чтобы специалист в данной области мог использовать настоящее изобретение. Специалисту в данной области должны быть очевидны различные модификации этих вариантов осуществления, и раскрытые здесь общие принципы можно применять к другим вариантам осуществления, не выходя за рамки сущности и объема изобретения. Таким образом, настоящее изобретение не ограничивается показанными здесь вариантами осуществления, но подлежит рассмотрению в широчайшем объеме, согласующимся с раскрытыми здесь принципами и новыми признаками.
Формула изобретения
1. Способ беспроводной связи, осуществляемый в системе со многими входами и многими выходами (MIMO), содержащий этапы, на которых передают каждый из совокупности потоков данных с первой станции на вторую станцию в режиме перестановки по совокупности каналов MIMO; подвергают обратной перестановке потоки данных на второй станции; определяют метрику качества для каждого из потоков данных на второй станции; определяют сводную метрику качества на второй станции на основании метрик качества для каждого из потоков данных; и передают сводную метрику качества со второй станции на первую станцию.
2. Способ по п.1, дополнительно содержащий этапы, на которых кодируют на первой станции каждый из совокупности потоков данных согласно соответствующим скоростям передачи данных, и регулируют скорости передачи данных, на которых кодируют потоки данных, на первой станции на основании сводной метрики качества.
3. Способ по п.2, в котором метрика качества содержит отношение сигнал/шум (SNR), при этом сводная метрика качества содержит опорное значение SNR и значение SNR, и кроме того, на этапе регулировки скоростей передачи данных, на которых кодируют потоки данных, на основании сводной метрики качества регулируют скорость передачи данных для каждого канала на основании опорного значения SNR плюс кратное значения SNR.
4. Способ по п.1, в котором первой станцией является базовая станция, а второй станцией является мобильная станция.
5. Способ по п.1, в котором на этапе передачи потоков данных в режиме перестановки смешивают потоки данных на каналах MIMO согласно псевдослучайному шаблону.
6. Способ по п.5, в котором псевдослучайный шаблон содержит полную перестановку возможных комбинаций потоков данных и каналов MIMO.
7. Способ по п.1, в котором метрика качества содержит отношение сигнал/шум (SNR).
8. Способ по п.7, в котором сводная метрика качества содержит опорное значение SNR и значение SNR.
9. Способ по п.1, дополнительно содержащий этапы, на которых декодируют кодированные потоки данных на второй станции.
10. Способ по п.9, в котором кодированные потоки данных декодируют на второй станции с использованием последовательного подавления помех.
11. Способ беспроводной связи, осуществляемый в системе со многими входами и многими выходами (MIMO), содержащий этапы, на которых кодируют каждый из совокупности потоков данных согласно соответствующим скоростям передачи данных; передают потоки данных в режиме перестановки по совокупности каналов MIMO на вторую станцию; принимают сводную метрику качества; и регулируют скорости передачи данных, на которых кодируют потоки данных, на основании сводной метрики качества.
12. Способ по п.11, в котором на этапе передачи потоков данных в режиме перестановки смешивают потоки данных на каналах MIMO согласно псевдослучайному шаблону.
13. Способ по п.12, в котором псевдослучайный шаблон содержит полную перестановку возможных комбинаций потоков данных и каналов MIMO.
14. Способ по п.11, в котором метрика качества содержит отношение сигнал/шум (SNR).
15. Способ по п.14, в котором сводная метрика качества содержит опорное значение SNR и значение SNR.
16. Способ по п.15, в котором на этапе регулировки скоростей передачи данных, на которых кодируют потоки данных, на основании сводной метрики качества регулируют скорость передачи данных для каждого канала на основании опорного значения SNR плюс кратное значения SNR.
17. Способ беспроводной связи, осуществляемый в системе со многими входами и многими выходами (MIMO), содержащий этапы, на которых принимают совокупность потоков данных, подвергнутых перестановке, по совокупности каналов MIMO, подвергают обратной перестановке потоки данных, определяют метрику качества для каждого из потоков данных, определяют сводную метрику качества на основании метрик качества для каждого из потоков данных, и передают сводную метрику качества на базовую станцию.
18. Способ по п.17, в котором потоки данных подвергают перестановке согласно псевдослучайному шаблону.
19. Способ по п.18, в котором псевдослучайный шаблон содержит полную перестановку возможных комбинаций потоков данных и каналов MIMO.
20. Способ по п.17, в котором метрика качества содержит отношение сигнал/шум (SNR).
21. Способ по п.20, в котором сводная метрика качества содержит опорное значение SNR и значение SNR.
22. Способ по п.17, дополнительно содержащий этап, на котором декодируют кодированные потоки данных.
23. Способ по п.22, в котором кодированные потоки данных декодируют с использованием последовательного подавления помех.
24. Базовая станция для системы беспроводной связи MIMO, содержащая подсистему обработки и подсистему приема/передачи, имеющую совокупность передающих антенн и подключенную к подсистеме обработки, причем подсистема обработки сконфигурирована с возможностью кодирования каждого из совокупности потоков данных согласно соответствующей скорости передачи данных, перестановки потоков данных и управления подсистемой приема/передачи для передачи каждого из потоков данных по совокупности каналов MIMO, соответствующих передающим антеннам, приема сводной метрики качества, связанной со всеми потоками данных, определения отдельной метрики качества, связанной с каждым из потоков данных, на основании сводной метрики качества, и регулирования скоростей передачи данных, на которых кодирован каждый из потоков данных, на основании отдельной метрики качества, связанной с каждым из потоков данных.
25. Базовая станция по п.24, в которой подсистема обработки сконфигурирована с возможностью смешивания потоков данных на каналах MIMO согласно псевдослучайному шаблону.
26. Базовая станция по п.25, в которой псевдослучайный шаблон содержит полную перестановку возможных комбинаций потоков данных и каналов MIMO.
27. Базовая станция по п.24, в которой метрика качества содержит отношение сигнал/шум (SNR).
28. Базовая станция по п.27, в которой сводная метрика качества содержит опорное значение SNR и значение SNR.
29. Базовая станция по п.28, в которой подсистема обработки сконфигурирована с возможностью регулирования скорости передачи данных, на которой кодирован каждый поток данных, посредством вычисления соответствующего SNR, равного опорному значению SNR плюс кратное значения SNR, при этом последовательные потоки данных имеют последовательно увеличивающиеся значения SNR.
30. Мобильная станция для системы беспроводной связи MIMO, содержащая подсистему обработки и подсистему приема/передачи, имеющую совокупность приемных антенн и подключенную к подсистеме обработки, причем подсистема обработки сконфигурирована с возможностью приема потоков данных, подвергнутых перестановке, через приемные антенны, обратной перестановки потоков данных, декодирования потоков данных, определения отдельной метрики качества, соответствующей каждому из потоков данных, определения сводной метрики качества на основании отдельных метрик качества, соответствующих каждому из потоков данных, и управления подсистемой приема/передачи для передачи сводной метрики качества на базовую станцию.
31. Мобильная станция по п.30, в которой подсистема обработки сконфигурирована с возможностью обратной перестановки потоков данных согласно псевдослучайному шаблону.
32. Мобильная станция по п.31, в которой псевдослучайный шаблон содержит полную перестановку возможных комбинаций потоков данных и каналов MIMO.
33. Мобильная станция по п.30, в которой метрика качества содержит отношение сигнал/шум (SNR).
34. Мобильная станция по п.33, в которой сводная метрика качества содержит опорное значение SNR и значение SNR.
35. Мобильная станция по п.30, дополнительно содержащая подсистему обработки, декодирующую кодированные потоки данных.
36. Мобильная станция по п.35, в которой подсистема обработки декодирует кодированные потоки данных с использованием последовательного подавления помех.
37. Система беспроводной связи со многими входами и многими выходами (MIMO), содержащая средство передачи каждого из совокупности потоков данных с первой станции на вторую станцию в режиме перестановки по совокупности каналов MIMO, средство обратной перестановки потоков данных на второй станции, средство определения метрики качества для каждого из потоков данных на второй станции, средство определения сводной метрики качества на второй станции на основании метрик качества для каждого из потоков данных, и средство передачи сводной метрики качества со второй станции на первую станцию.
38. Система по п.37, дополнительно содержащая средство кодирования на первой станции каждого из совокупности потоков данных согласно соответствующим скоростям передачи данных, и средство регулировки скоростей передачи данных, на которых кодированы потоки данных, на первой станции на основании сводной метрики качества.
39. Система по п.38, в которой метрика качества содержит отношение сигнал/шум (SNR), при этом сводная метрика качества содержит опорное значение SNR и значение SNR, и кроме того, средство регулировки скоростей передачи данных сконфигурировано с возможностью регулирования скорости передачи данных для каждого канала на основании опорного значения SNR плюс кратное значения SNR.
40. Система по п.37, в которой первой станцией является базовая станция, а второй станцией является мобильная станция.
41. Система по п.37, в которой средство передачи потоков данных в режиме перестановки сконфигурировано с возможностью смешивания потоков данных на каналах MIMO согласно псевдослучайному шаблону.
42. Система по п.41, в которой псевдослучайный шаблон содержит полную перестановку возможных комбинаций потоков данных и каналов MIMO.
43. Система по п.37, в которой метрика качества содержит отношение сигнал/шум (SNR).
44. Система по п.43, в которой сводная метрика качества содержит опорное значение SNR и значение SNR.
45. Система по п.37, дополнительно содержащая средство декодирования кодированных потоков данных на второй станции.
46. Система по п.45, в которой средство декодирования кодированных потоков данных сконфигурировано с возможностью декодирования кодированных потоков данных с использованием последовательного подавления помех.
47. Система беспроводной связи со многими входами и выходами (MIMO), содержащая средство кодирования каждого из совокупности потоков данных согласно соответствующим скоростям передачи данных; средство передачи потоков данных в режиме перестановки по совокупности каналов MIMO на станцию; средство приема сводной метрики качества; и средство регулировки скоростей передачи данных, на которых кодируют потоки данных, на основании сводной метрики качества.
48. Система беспроводной связи со многими входами и многими выходами (MIMO), содержащая средство передачи совокупности потоков данных, подвергнутых перестановке, по совокупности каналов MIMO, средство обратной перестановки потоков данных, средство определения метрики качества для каждого из потоков данных, средство определения сводной метрики качества на основании метрик качества для каждого из потоков данных, и средство передачи сводной метрики качества на базовую станцию.
49. Считываемый компьютером носитель данных, содержащий инструкции для беспроводной связи в системе беспроводной связи со многими входами и многими выходами (MIMO), при этом инструкции выполняются для осуществления передачи каждого из совокупности потоков данных с первой станции на вторую станцию в режиме перестановки по совокупности каналов MIMO, обратной перестановки потоков данных на второй станции, определения метрики качества для каждого из потоков данных на второй станции, определения сводной метрики качества на второй станции на основании метрик качества для каждого из потоков данных, и передачи сводной метрики качества со второй станции на первую станцию.
50. Считываемый компьютером носитель данных, содержащий инструкции для беспроводной связи в системе беспроводной связи со многими входами и многими выходами (MIMO), при этом инструкции выполняются для осуществления кодирования каждого из совокупности потоков данных согласно соответствующим скоростям передачи данных; передачи потоков данных в режиме перестановки по совокупности каналов MIMO на станцию; приема сводной метрики качества; и регулировки скоростей передачи данных, на которых кодируют потоки данных, на основании сводной метрики качества.
51. Считываемый компьютером носитель данных, содержащий инструкции для беспроводной связи в системе беспроводной связи со многими входами и многими выходами (MIMO), при этом инструкции выполняются для осуществления приема совокупности потоков данных, подвергнутых перестановке, по совокупности каналов MIMO, обратной перестановки потоков данных, определения метрики качества для каждого из потоков данных, определения сводной метрики качества на основании метрик качества для каждого из потоков данных, и передачи сводной метрики качества на базовую станцию.
РИСУНКИ
|
|