|
|
(21), (22) Заявка: 2006136023/09, 09.03.2005
(24) Дата начала отсчета срока действия патента:
09.03.2005
(30) Конвенционный приоритет:
12.03.2004 GB 0405641.2 13.08.2004 US 60/601,463 15.09.2004 US 60/610,075 15.09.2004 GB 0420524.1
(43) Дата публикации заявки: 20.04.2008
(46) Опубликовано: 27.03.2010
(56) Список документов, цитированных в отчете о поиске:
US 4785290, 15.11.1988. RU 2065819 C1, 27.08.1996. WO 02/50790 A1, 27.06.2002. GB 2221870 A, 31.05.1989. US 6584214 В1, 24.06.2003.
(85) Дата перевода заявки PCT на национальную фазу:
12.10.2006
(86) Заявка PCT:
GB 2005/000922 20050309
(87) Публикация PCT:
WO 2005/088533 20050922
Адрес для переписки:
129090, Москва, ул. Б.Спасская, 25, стр.3, ООО “Юридическая фирма Городисский и Партнеры”, пат.пов. Ю.Д.Кузнецову, рег. 595
|
(72) Автор(ы):
КАУБЕРН Расселл Пол (GB)
(73) Патентообладатель(и):
ИНДЖЕНИА ТЕКНОЛОДЖИ ЛИМИТЕД (GB)
|
(54) СПОСОБЫ, ИЗДЕЛИЯ И УСТРОЙСТВА ДЛЯ ПРОВЕРКИ ПОДЛИННОСТИ
(57) Реферат:
Изобретение относится к проверке подлинности изделия. Изобретение позволяет повысить защищенность изделия от подделки без изготовления специальных маркеров. Когерентный источник света направляет пучок для освещения изделия, а детекторная установка собирает информационные точки от света, рассеянного от множества различных частей изделия для сбора большого числа независимых информационных точек, как правило, 500 или более. Посредством сбора большого числа независимых вкладов сигналов, характерных для множества различных частей изделия, можно вычислить цифровую сигнатуру, уникальную для сканированной области изделия. Это измерение можно повторять всякий раз, когда требуется проверить подлинность изделия. 10 н. и 36 з.п ф-лы, 16 ил.
УРОВЕНЬ ТЕХНИКИ, ПРЕДШЕСТВУЮЩИЙ ИЗОБРЕТЕНИЮ
Изобретение относится к способам обеспечения безопасности и, более конкретно, к проверке подлинности изделия, такого как личная идентификационная (ID) карта, товар, предназначенный для продажи, важный документ или другие изделия.
В основе многих традиционных систем обеспечения безопасности на основе аутентификации лежит процесс, который трудно выполнить кому-либо, кроме производителя, причем трудность может быть связана с расходами на производственное оборудование, сложностью технологии или, предпочтительно, и с тем, и с другим. Примерами могут служить нанесение водяного знака на денежные купюры и голограмм на кредитные карты и паспорта. К сожалению, преступники становятся все более изощренными и могут воспроизводить практически все, что могут делать оригинальные производители.
По этой причине существует известный подход к системам обеспечения безопасности на основе аутентификации, который основан на создании защитных знаков с использованием какого-либо процесса, управляемого законами природы, который приводит к уникальности каждого знака и, что более важно, к наличию у знака уникальной характеристики, которую можно измерить и, таким образом, можно использовать в качестве основы для последующей проверки. Согласно этим подходам, маркеры изготавливают и измеряют единообразным способом для получения уникальной характеристики. Эту характеристику можно затем сохранить в компьютерной базе данных или каким-либо иным образом. Знаки этого типа можно включать в изделие-носитель, например, в денежную купюру, паспорт, идентификационную карту, важный документ.Впоследствии изделие-носитель можно опять подвергнуть измерению и сравнить измеренную характеристику с характеристиками, хранящимися в базе данных, для установления наличия соответствия.
В рамках этого общего подхода было предложено использовать различные физические эффекты. Один эффект, который рассматривался, заключался в том, чтобы измерять характеристику магнитного отклика от нанесенных магнитных материалов, где каждый образец обладает уникальным магнитным откликом вследствие естественных дефектов в магнитном материале, которые образуются невоспроизводимым образом [1]. Другой эффект, который рассматривался в ряде документов, известных из уровня техники, заключается в том, чтобы использовать лазерный спекл, связанный с внутренними свойствами изделия, для получения уникальной характеристики.
В патентном документе GB 2221870 [2] раскрыт способ, в котором защитное устройство, такое как ID-карта, фактически обладает выдавленным в нем знаком. Форма знака представляет собой структурированную поверхность, полученную при помощи шаблона. Спекл-структура от рассеивающей свет структуры является уникальной для данного шаблона, и поэтому ее можно измерить для доказательства подлинности знака на защитном устройстве. Знак на защитном устройстве измеряют считывающим устройством, которое содержит лазер для формирования когерентного пучка, размер которого примерно равен размеру знака (2 мм в диаметре), и детектор, такой как детектор на приборах с зарядовой связью (ПЗС), для измерения спекл-структуры, созданной в результате взаимодействия лазерного пучка со знаком. Полученные данные записывают. Для проведения проверки защитное устройство можно поместить в считывающее устройство и сравнить записанный сигнал его спекл-структуры с аналогичным записанным сигналом от эталонного устройства, созданного с того же оригинала.
В патентном документе US 6584214 [3] описана альтернатива использованию спекл-структур, полученных в отраженном свете от специально подготовленной структуры поверхности, в которой вместо этого используют спекл-структуры, полученные в проходящем свете от специально подготовленного прозрачного знака. Предпочтительный вариант осуществления этого способа заключается в изготовлении эпоксидных маркеров размером примерно 1 см × 1 см, в которые вкраплены стеклянные шарики. Маркеры изготавливают посредством перемешивания стеклянных шариков в коллоидной суспензии в жидком полимере, который затем отверждается с фиксацией положения стеклянных шариков. Затем уникальную совокупность стеклянных шариков зондируют при помощи проходящего когерентного лазерного пучка и детектора ПЗС, расположенного так, чтобы измерять спекл-структуру. В модификации этого способа на отражающей поверхности кодируют известный идентификатор, который затем прикрепляют к одной стороне маркера. Зондирующий свет проходит через маркер, отражается от известного идентификатора и вновь проходит через маркер. Тем самым стеклянные шарики видоизменяют спекл-структуру, так что из известного идентификатора генерируется уникальный хешированный ключ.
Имеется краткое сообщение Kralovec [4] о том, что в 1980-х сотрудники Sandia National Laboratories в США проводили эксперименты со специальной бумагой для денежных купюр, в которую были вкраплены мелко нарезанные оптические волокна. Можно было измерить спекл-структуру, полученную от оптических волокон, и ее вариант в виде цифровой подписи напечатать в виде штрихкода на краю денежной купюры. Однако Kralovec сообщает, что эту идею не удалось воплотить надлежащим образом, поскольку оптические волокна оказались слишком хрупкими и спекл-структура слишком быстро менялась в результате износа денежной купюры в процессе обращения. Это означало, что спекл-структура, измеренная от оптических волокон в старой денежной купюре, больше не соответствовала штрихкоду, поэтому денежную купюру больше нельзя было проверить на подлинность по спекл-структуре предполагаемым образом.
Anderson [5] на странице 251 своего учебника 2001 года также вкратце упоминает способ, который представляется аналогичным способу, описанному Kravolec [4] и который используется для контроля выполнения соглашений по контролю над вооружениями. Anderson обращает внимание, что поверхности многих материалов уникальны и что их можно сделать такими, нарушив их при помощи небольшого заряда взрывчатого вещества. Утверждается, что таким образом можно легко идентифицировать капитальное оборудование, такое как тяжелая артиллерия, где достаточно идентифицировать каждый ствол пушки, чтобы никакая из сторон не допускала обмана в отношении выполнения соглашению по контролю над вооружениями. Anderson сообщает, что узор на поверхности ствола пушки измерялся при помощи метода спекл-структур, и этот узор либо записывался в файл, либо прикреплялся к устройству в виде машиночитаемой цифровой подписи.
Помимо использования лазерных спекл-структур существует группа более непосредственных способов, в которых просто обеспечивают изображение изделия с высоким разрешением и используют это изображение с высоким разрешением в качестве уникальной характеристики, которую затем можно снять повторно с целью проверки подлинности. Это можно рассматривать в качестве распространения традиционного подхода, используемого для библиотек отпечатков пальцев, которые ведутся полицией.
В патентном документе US 5521984 [6] предлагается использовать оптический микроскоп для получения изображения небольших участков ценных изделий, таких как картины, скульптуры, марки, драгоценные камни или определенного рода документы.
Anderson [5] на странице 252 своего учебника 2001 года сообщает, что почтовые службы рассматривают вопрос о применении такого рода способов, основанных на прямом получении изображений конвертов при помощи микроскопа. Сообщается, что получено изображение волокон бумаги конверта, из которой изготовлен конверт, из него извлечен узор и записан на почтовом штемпеле, который снабжен цифровой подписью.
В патентном документе US 5325167 [7] предлагается схожим образом получать изображение зернистой структуры частиц тонера на части ценного документа.
Благодаря этой проделанной работе стало ясно, какими различными желательными признаками должен обладать идеальный способ проверки (верификации).
Указанные способы с использованием магнитных свойств или спекл-структур, по-видимому, способны обеспечить высокий уровень защиты, но требуют изготовления специальных материалов [1, 2, 3], чтобы их практическое воплощение обеспечивало долгосрочную стабильность проверяемой структуры [4]. Во многих случаях внедрение маркера (знака) в защищаемое изделие является нетривиальной задачей. В частности, внедрение каучукового маркера или магнитного чипа в бумагу или картон является непростой задачей и требует значительных затрат. В идеальном случае любой маркер, предназначенный для внедрения в бумагу или картон, должен быть идеально впечатываемым. Кроме того, при подходе с использованием прикрепляемых маркеров существует естественный риск нарушения безопасности, связанный с потенциальной возможностью отсоединения и прикрепления маркера к другому изделию.
Указанные способы непосредственного получения изображений [5, 6, 7] имеют то преимущество, что в них цифровую подпись получают непосредственно из изделия, избегая необходимости в специальных маркерах (знаках). Однако им присущ низкий уровень защиты. Например, они уязвимы перед незаконным доступом к данным сохраненных изображений, которые могут быть использованы при изготовлении изделия, которое при проверке будет ошибочно признано подлинным, или перед подделкой посредством простого использования принтера с высоким разрешением для печати изображения того, что было бы видно под микроскопом при рассмотрении соответствующей части подлинного изделия. Кроме того, уровень защиты способов непосредственного получения изображений сильно зависит от объема данных изображения, вынуждает применять дорогостоящее оборудование для получения изображений с высоким разрешением, чтобы обеспечить более высокий уровень безопасности. В некоторых сферах применения, таких как сортировка почты или проверка денежных купюр, это может быть приемлемо, но во многих сферах применения это неприемлемо.
СУЩНОСТЬ ИЗОБРЕТЕНИЯ
Настоящее изобретение явилось следствием работы изобретателя над применением способов аутентификации с использованием маркеров, сделанных из магнитных материалов, где уникальность обеспечивается невоспроизводимыми дефектами в магнитном материале, которая влияет на магнитный отклик [1] маркера. В качестве составной части этой работы магнитные материалы изготавливаются в штрихкодовом формате, то есть в виде нескольких параллельных полосок. Помимо считывания уникального магнитного отклика посредством проведения магнитного устройства считывания через магнитное поле, был создан оптический сканер для считывания штрихкодовых полосок посредством сканирования штрихкода лазерным лучом и использования контраста вследствие изменяемой отражательной способности штрихкодовых полосок и изделия, на котором они были сформированы. Эта информация дополняла магнитную характеристику, поскольку штрихкод использовался для кодирования цифровой подписи уникального магнитного отклика в схеме самоаутентификации хорошо известного типа, например, в схеме, описанной выше для денежных купюр [4].
К удивлению изобретателя в процессе использования оптического сканера было обнаружено, что от материала бумажной основы, на которую наносились магнитные частицы, в сканер поступал уникальный оптический отклик. При дальнейшем исследовании было установлено, что тот же эффект демонстрируют многие другие неподготовленные поверхности, например, всякого рода картонные и пластиковые поверхности. Кроме того, изобретателем было установлено, что уникальная характеристика, по меньшей мере, частично связана со спекл-структурой, но также включает вклад, не связанный со спекл-структурой.
Таким образом, было обнаружено, что все преимущества способов, основанных на использовании спекл-структур, можно усилить без обязательного использования специально изготовленных маркеров или какой-либо иной специальной подготовки изделия. В частности, было обнаружено, что некоторые виды бумаги и картона имеют уникальные характеристические сигналы рассеяния под действием когерентного пучка света, так что уникальные цифровые подписи можно получить почти для любого бумажного документа или для картонной упаковки.
Представляется, что вышеописанные известные из уровня техники устройства для считывания спекл-структур использованные в защитных устройствах основаны на освещении всего маркера коллимированным, то есть несфокусированным, лазерным пучком и снятии при помощи ПЗС изображения части образующейся спекл-структуры в значительном телесном угле [2,3], в результате чего получают основанное на спекл-структуре отображение маркера, состоящее из большого массива информационных точек.
Считывающее устройство, используемое изобретателем, работает иначе. В нем используется четыре одноканальных детектора (для четырех фототранзисторов), которые разнесены друг от друга на определенный угол для сбора только четырех компонент сигнала от рассеянного лазерного пучка. Лазерный пучок фокусируют в пятно, охватывающее лишь очень небольшую часть поверхности. Снимают сигнал с четырех локализованных участков поверхности четырьмя одноканальными детекторами, когда при сканировании поверхности пятном. Таким образом, характеристический отклик изделия состоит из независимых измерений на большом числе (обычно сотни и тысячи) различных локализованных участков поверхности изделия. Хотя используется четыре фототранзистора, анализ, использующий данные только одного фототранзистора, показывает, что уникальный характеристический отклик можно получить только от одного канала! Однако, включение в отклик данных от четырех каналов обеспечивает более высокий уровень защиты.
Согласно одному аспекту изобретения представлено устройство для определения сигнатуры изделия, размещенного в объеме считывания, содержащее: источник для формирования когерентного пучка; детекторную установку для сбора набора информационных точек от сигналов, полученных при рассеянии лазерного пучка в объеме считывания, причем различные информационные точки относятся к рассеянию от различных частей объема считывания; и модуль сбора и обработки данных для определения сигнатуры изделия на основе набора значений данных.
В некоторых вариантах осуществления то, что различные информационные точки относятся к рассеянию от различных частей объема считывания, обеспечивается посредством привода, под действием которого когерентный пучок перемещается по объему считывания, и при этом размеры поперечного сечения когерентного пучка существенно меньше проекции объема считывания на плоскость, перпендикулярную когерентному пучку, так что под действием привода когерентный пучок осуществляют выборку различных частей объема считывания. Привод может быть снабжен электродвигателем, который перемещает пучок по неподвижному изделию. Приводной двигатель может быть серводвигателем, двигателем свободных колебаний, шаговым двигателем или любым двигателем подходящего типа. В альтернативном варианте привод в недорогом считывающем устройстве может быть ручным. Например, оператор может сканировать пучком объем считывания, перемещая несущее устройство, на котором установлено изделие, через статичный пучок. Поперечное сечение когерентного пучка обычно по меньшей мере на один (предпочтительно по меньшей мере на два) порядок меньше проекции объема считывания, так чтобы можно было собрать значительное число независимых информационных точек (значений данных). Может быть предусмотрено фокусирующее устройство для фокусирования когерентного пучка в объеме считывания. Фокусирующее устройство может быть выполнено с возможностью сведения когерентного пучка в вытянутый фокус, и в этом случае привод предпочтительно выполнен с возможностью перемещения когерентного пучка по объему считывания в направлении, перпендикулярном большой оси вытянутого фокуса. Наиболее удобным образом вытянутый фокус можно получить при помощи цилиндрических линз или эквивалентной установки из зеркал.
В других вариантах осуществления изобретения предусматривается, что различные значения данных относятся к рассеянию от различных частей объема считывания, при этом детекторная установка включает множество детекторных каналов, расположение и конфигурация которых таковы, что они воспринимают рассеяние от соответствующих различных частей объема считывания. Этого можно достичь при помощи направленных детекторов, локального сбора сигнала посредством оптического волокна и других мер. При использовании направленных детекторов или других способов локального сбора сигнала когерентный пучок не требуется фокусировать. На самом деле когерентный пучок может быть неподвижным и освещать весь измеряемый объем. Направленные детекторы можно реализовать, если вплавить в детекторные элементы или прикрепить к ним каким-либо иным образом фокусирующие линзы. Оптическое волокно можно использоваться совместно с микролинзами.
Устройство считывания может дополнительно содержать корпус, вмещающий по меньшей мере часть детекторной установки и имеющий апертуру для считывания, напротив которого помещают изделие таким образом, чтобы она находилось в объеме считывания. Для работы на местах предусмотрено, чтобы устройство считывания представляло собой автономный блок на основе корпуса с апертурой для считывания. Затем изделие, которое должно быть подвергнуто аутентификации, например, сотрудником таможни или инспектором по проверке торговых стандартов, можно поместить в заданное положение над апертурой для считывания. Апертура для считывания обычно закрыта прозрачным окном, чтобы не допустить попадания грязи в компоненты оптики.
При использовании на производственных линиях могут оказаться подходящими другие формы устройства считывания. Например, устройство считывания может дополнительно содержать конвейер для подачи изделия, по которому изделие или, скорее, несколько одинаковых изделий перемещаются мимо когерентного пучка. В условиях производства когерентный пучок может быть неподвижен, а изделия могут перемещаться через него. Например, упаковочные коробки для духов могут перемещаться на конвейере на заданной высоте и пересекать горизонтальный лазерный пучок.
Во многих случаях может быть полезным вспомогательное средство задания физического положения для расположения изделия данной формы в фиксированном положении относительно объема считывания. Следует иметь в виду, что обычно для получения сигнатуры используют лишь небольшую часть изделия, например элемент упаковки, или лист бумаги, или паспорт. Поэтому важно при повторном считывании изделия с целью аутентификации, чтобы измерение той же самой части изделия производилось так же, как и первоначально. При этом очень полезным является использование вспомогательного средства задания физического положения.
Могут применяться различные детекторные установки.
Можно создать работоспособное устройство считывания, когда детекторная установка состоит всего из одного детекторного канала. В других вариантах осуществления используется детекторная установка, которая содержит группу детекторных элементов, имеющих угловое распределение и работающих таким образом, чтобы для каждой различной части объема считывания собирать группу значений данных, предпочтительно это небольшая группа из нескольких детекторных элементов. Когда сигнатура содержит вклад от сравнения значений данных одной группы, обеспечивается более высокий уровень защиты. Это сравнение может при желании включать взаимную корреляцию.
Хотя работающее устройство считывания можно изготовить лишь с одним детекторным каналом, предпочтительно наличие по меньшей мере 2 каналов. В этом случае имеется возможность определить взаимные корреляции, что ценно при обработке сигнала, связанного с определением сигнатуры. Предусматривается, что для большинства применений достаточно иметь от 2 до 10 каналов, причем в настоящее время 2-4 канала считаются оптимальным соотношением между простотой устройства и безопасностью.
Детекторные элементы предпочтительно расположены в плоскости, пересекающей объем считывания, причем каждый элемент пары имеет угловое распределение в плоскости по отношению к оси когерентного пучка, при этом предпочтительно, когда с каждой стороны оси пучка располагаются один или несколько детекторных элементов. Однако допустимо, чтобы детекторные элементы располагались не в одной плоскости.
Было обнаружено, что использование взаимных корреляций сигналов, полученных от различных детекторов, дает ценные данные, касающиеся увеличения уровня защиты, а также более надежного воспроизведения сигнатур по прошествии времени. Полезность применения взаимных корреляций вызывает некоторое удивление с научной точки зрения, поскольку спекл-структурам присуща некоррелированность (за исключением сигналов с противоположных точек структуры). Иными словами, для спекл-структуры по определению имеет место нулевая взаимная корреляция между сигналами от различных детекторов, если только они смещены не под равными углами относительно местоположения возбуждения в общей плоскости, пересекающей местоположение возбуждения. Поэтому значимость использования вклада взаимных корреляций указывает на то, что значительная часть сигнала рассеяния не связана со спеклом. Не связанный со спеклом вклад можно считать результатом прямого рассеяния, или вкладом диффузного рассеяния, от сложной поверхности, такой как скрученные бумажные волокна. В настоящее время относительная значимость вкладов, связанных и не связанных со спеклом, в сигнал рассеяния, остается неясной. Одного из уже проведенных экспериментов ясно, что детекторы измеряют не чистую спекл-структуру, а составной сигнал, в котором имеются компоненты, связанные и не связанные со спеклом.
Включение в сигнатуру компонента, связанного с взаимными корреляциями, также способствует повышению защиты документа. Это связано с тем, что хотя для изготовления изделия, которое воспроизводит колебания контраста на поверхности подлинного изделия, можно использовать печать с высоким разрешением, таким образом не удастся обеспечить соответствие коэффициентов взаимной корреляции, полученных при сканировании подлинного изделия.
В основном варианте осуществления изобретения детекторные каналы состоят из дискретных детекторных компонентов в виде простых фототранзисторов. Могут использоваться и другие простые детекторные компоненты, например PIN-диоды и фотодиоды. Могут также применяться объединенные детекторные компоненты, такие как детекторные матрицы, хотя это увеличит стоимость и сложность устройства.
Исходя из результатов начальных экспериментов, в которых изменялся угол падения лазерного пучка на изделие, подлежащее сканированию, представляется также практически важным, чтобы лазерный пучок падал приблизительно перпендикулярно к сканируемой поверхности, для получения характеристики, которую можно повторно снять с той же поверхности с незначительными изменениями, даже если между измерениями изделие подверглось износу. По меньшей мере в некоторых устройствах считывания, известных из уровня техники, используется наклонное падение [2] излучения. Как только этот эффект понят, он кажется очевидным, но он явно не является непосредственно очевидным, о чем свидетельствует конструкция некоторых устройств считывания спекл-структур, известных из уровня техники, в том числе устройства считывания, предложенного Ezra и др. [2], и, надо сказать, первого устройства считывания прототипа, созданного изобретателем. Первое устройство считывания прототип изобретателя с наклонным падением излучения работало более или менее сносно в лабораторных условиях, но было весьма чувствительно к износу бумаги, используемой в качестве изделия. Например, достаточно было потереть бумагу пальцами, чтобы при повторном измерении проявились значительные различия. Во втором устройстве считывания прототипе использовалось падение излучения под прямым углом, и было обнаружено, что это устройство устойчиво к износу бумаги в результате обычного обращения с ней, а также в результате более серьезных испытаний, в том числе: прохождения через принтеры различных типов, включая лазерный принтер, прохождения через копировальный аппарат, нанесения рукописного текста, нанесения печатного текста, умышленного прокаливания бумаги в печи, а также смятия бумаги с последующим распрямлением.
Поэтому может быть выгодно установить источник таким образом, чтобы когерентный пучок был направлен на объем считывания так, чтобы обеспечивать падение излучения на изделие почти перпендикулярно. Почти перпендикулярное падение излучения означает±5, 10 или 20 градусов. В альтернативном варианте изобретения пучок излучения может быть направлен наклонно к изделию. Обычно в этом случае имеет место отрицательное влияние в случае, при сканировании пучком изделия.
Следует также заметить, что в устройствах считывания, описанных в подробном описании, детекторное устройство расположено в отраженном свете для регистрации излучения, рассеянного назад от объема считывания. Однако в случае прозрачного изделия детекторы могут быть расположены по направлению распространения света.
В одной группе вариантов осуществления изобретения модуль сбора и обработки данных выполнен с возможностью дополнительного анализа значений данных для идентификации компоненты сигнала, которая соответствует предварительно заданному протоколу кодирования, и для создания из нее эталонной сигнатуры. В большинстве вариантов осуществления предусматривается, что характеристика предварительно заданного протокола кодирования основана на контрасте, то есть на силе сигнала рассеяния. В частности, можно использовать протокол для обычного штрихкода, в соответствии с которым штрихкод печатают или иным образом наносят на изделие в виде полосок в случае одномерного штрихкода или в виде более сложных узоров в случае двумерного штрихкода. В этом случае модуль сбора и обработки данных может быть выполнен с возможностью осуществления сравнения, чтобы установить, соответствует ли эталонная сигнатура сигнатуре, полученной при считывании изделия, помещенного в объем считывания. Следовательно, изделие, например лист бумаги, может быть промаркировано несущим цифровой знак вариантом своей собственной характеристики, например штрихкодом. Из характеристики изделия может быть получена эталонная сигнатура при помощи необратимой функции, то есть при помощи ассиметричного алгоритма шифрования, который требует закрытого личного ключа. Это служит препятствием для неуполномоченного третьего лица, оснащенного устройством считывания, которое хочет считывать поддельные изделия и отпечатывать на них этикетку, которая содержит сканированные данные, полученные при помощи устройства считывания, в соответствии со схемой шифрования. Как правило, этикетка со штрих-кодом или другая маркировка представляет собой шифрограмму, которую можно расшифровать при помощи открытого ключа, а закрытый ключ предназначен уполномоченному лицу, изготавливающему этикетки.
Может быть предусмотрена база данных заранее записанных сигнатур, при этом модуль сбора и обработки данных выполнен с возможностью доступа к базе данных и выполнения сравнения с целью установить, содержит ли база данных сигнатуру изделия, помещенного в объем считывания. База данных может быть частью запоминающего устройства большой емкости или может находиться в удаленном месте, и с возможностью доступа устройства считывания к ней по телекоммуникационной связи. Телекоммуникационная связь может быть любым традиционным видом связи, в том числе беспроводной или фиксированной связью, или может осуществляться через Интернет.Модуль сбора и обработки данных может быть выполнен с возможностью, по меньшей мере в некоторых режимах работы, добавления сигнатуры к базе данных, если совпадение не обнаружено. По понятным причинам такая возможность обычно представляется только уполномоченным лицам.
Базы данных в процессе использования, помимо хранения сигнатуры, могут использоваться для связи этой сигнатуры в базе данных с другой информацией об изделии, например со сканированной копией документа, с фотографией владельца паспорта, со сведениями о месте и времени изготовления продукта или со сведениями о предполагаемых местах сбыта предназначенных к продаже товаров (например, для отслеживания “серого” импорта).
Описанные выше устройства считывания могут использоваться для заполнения базы данных сигнатурами посредством считывания ряда изделий, например, на производственной линии, и (или) для последующей проверки подлинности изделия, например, при использовании на местах.
Изобретение обеспечивает идентификацию изделий, сделанных из материалов различного типа, таких как бумага, картон и пластик.
Изобретение позволяет установить, имела ли место подделка изделия. Это возможно в том случае, если сканируемую область, используемую для создания сигнатуры, заклеить прозрачной пленкой, например клейкой лентой. Если для подделки изделия ленту необходимо удалить, например вскрыть упаковочную коробку, то клеевое соединение можно выбрать таким образом, что оно неизбежно изменит нижележащую поверхность. Следовательно, даже если коробку вновь заклеят аналогичной лентой, это можно будет обнаружить.
Изобретение предусматривает способ идентификации изделия, выполненного из бумаги или картона, содержащий этапы, на которых: подвергают бумагу или картон воздействию когерентного излучения; собирают группу значений данных, которые являются результатом измерения рассеяния когерентного излучения на внутренней структуре бумаги или картона; и определяют сигнатуру изделия по набору значений данных.
Под внутренней структурой мы имеем в виду структуру, которая становится присуща изделию в процессе его производства, и тем самым она отличается от структуры, специально созданной для целей защиты, такой как структура, придаваемая маркерам или искусственным волокнам, включенным в изделие.
Под бумагой или картоном мы имеем в виду любое изделие, сделанное в процессе переработки целлюлозы. На бумагу или картон может быть нанесено покрытие, или они могут быть пропитаны или покрыты прозрачным материалом, например целлофаном. Если особое значение имеет долговременная стабильность поверхности, то бумагу можно, например, обработать акриловым напыляемым прозрачным покрытием.
Таким образом, значения данных могут собираться как функция от места освещения когерентным пучком. Это достигается либо посредством сканирования изделия локализованным когерентным пучком, либо посредством использования направленных детекторов для сбора рассеянного света от различных частей изделия, либо посредством комбинирования обоих подходов.
Предполагается, что изобретение будет особенно полезно для бумажных и картонных изделий из следующего перечня примеров:
1) ценные документы, такие как свидетельства на акцию, транспортные накладные, паспорта, межгосударственные договоры, уставы, водительские удостоверения, сертификаты о пригодности транспортного средства к эксплуатации, любые свидетельства о подлинности,
2) любой документ, предназначенный для целей отслеживания и сопровождения, например, конверты для почтовых систем, денежные купюры с возможностью отслеживания, предоставляемой правоохранительным органам,
3) упаковки продуктов, предназначенных для продажи,
4) ярлыки с маркой на модельные товары, например, на предметы моды,
5) упаковка косметики, фармацевтических препаратов или других продуктов,
6) компакт-диски и DVD-диски либо на самом диске, например, вблизи центра, либо на коробке.
Изобретение также предусматривает способ идентификации изделия, сделанного из пластика, содержащий этапы, на которых: подвергают пластик воздействию когерентного излучения; собирают набор значений данных, которые являются результатом измерения рассеяния когерентного излучения от внутренней структуры пластика; и определяют сигнатуру изделия по набору значений данных.
Если пластик непрозрачен для когерентного излучения, то рассеяние будет происходить на внутренней структуре поверхности пластика, а если пластик прозрачен, то рассеяние может иметь место в любой части изделия, подвергнутой воздействию когерентного излучения.
Предполагается, что изобретение особенно полезно для пластиковых изделий из следующего перечня примеров:
1) пластиковая упаковка, например, для фармацевтических препаратов,
2) идентификационные карты, в том числе банковские карты, служебные пропуска, магазинные карты – включая полосу для подписи на идентификационной карте, особенно на банковской или магазинной карте.
Особенно полезным применением может быть сканирование полоски для подписи на идентификационной карте, после того как подпись поставлена, так чтобы цифровая подпись, используемая для проверки подлинности, была особой для данной подписанной карты и формировалась на основе сочетания подписи лица и структуры поверхности полоски, на которую ставится подпись.
В случае, когда идентификационная карта содержит фотографию лица (которая может представлять собой пластиковую идентификационную карту или удостоверение личности из другого материала, например бумажный паспорт), то может быть полезно, если устройство считывания просканирует часть с фотографией идентификационной карты (отдельно от сканирования обложки или пустой страницы) с целью проверки на отсутствие попыток подделки. Это делается для того, что если для крепления фотографии к идентификационному изделию используют покровную или клеящуюся пленку, фальсификатор должен ее удалить, чтобы наклеить на идентификационное изделие фальшивую фотографию. Устройство считывания, реализованное согласно настоящему изобретению, распознает подделку такого типа, поскольку у новой фотографии будет иная структура поверхности.
Предполагается, что при помощи изобретения можно идентифицировать материал любого другого типа при условии, что он обладает подходящей структурой поверхности. Типы материалов с очень гладкой поверхностью на микроскопическом уровне могут оказаться непригодны, равно как и непрозрачные материалы, у которых очень глубокая и (или) неустойчивая поверхность (например, текстильное полотно с начесом).
Изобретение позволяет также идентифицировать изделия множества других типов, в том числе упаковку, документы и одежду.
Изобретение предусматривает способ идентификации продукта по его упаковке, содержащий этапы, на которых: подвергают упаковку воздействию когерентного излучения; собирают набор значений данных, которые являются результатом измерения рассеяния когерентного излучения от внутренней структуры упаковки; и определяют сигнатуру продукта по набору значений данных.
Соответствующая часть упаковки, подвергаемая воздействию когерентного излучения, может быть сделана из бумаги, картона, пластика (например, упаковка из целлофана), металла или другого материала с подходящей характерной поверхностью или внутренней структурой. Изделие может содержаться в упаковке, и необязательно упаковка может быть загерметизирована для защиты от неумелого обращения. В альтернативном варианте упаковка может быть дополнением к изделию, например, ярлыком, прикрепленным соединительным элементом, который нельзя отсоединить без видимых повреждений. Это может быть особенно полезно, например, для фармацевтических продуктов, косметических и парфюмерных товаров, а также запасных частей для воздушных судов или наземных или водных транспортных средств.
Изобретение предусматривает способ идентификации документа, содержащий этапы, на которых: подвергают документ воздействию когерентного излучения; собирают набор значений данных, которые являются результатом измерения рассеяния когерентного излучения от внутренней структуры документа; и определяют сигнатуру документа по набору значений данных.
Изобретение также предусматривает способ идентификации предметов одежды или обуви по прикрепленному к нему ярлыку, содержащий этапы, на которых: подвергают ярлык воздействию когерентного излучения; собирают набор значений данных, которые являются результатом измерения рассеяния когерентного излучения от внутренней структуры ярлыка; и определяют сигнатуру ярлыка по набору значений данных. Ярлык может быть обычным неизмененным товарным ярлыком, например пластиковым, картонным, прикрепленным к одежде или к обуви.
Изобретение также предусматривает способ идентификации диска, например компакт-диска или DVD-диска, содержащий этапы, на которых: подвергают диск воздействию когерентного излучения; собирают набор значений данных, которые являются результатом измерения рассеяния когерентного излучения от внутренней структуры диска; и определяют сигнатуру диска по группе значений данных.
Итак, в некоторых случаях сигнатура может быть получена из какого-то дополнения к продаваемому продукту, например его упаковки, а в других случаях получена из самого объекта, например из структуры поверхности документа. Изобретение может найти множество практических применений, например для контроля над “серым” импортом или над подделками. Для таких применений сотрудники таможни или инспекторы по контролю за стандартами торговли могут использовать портативные устройства считывания.
Предусматривается, что в большинстве применений сигнатура представляет собой цифровую сигнатуру. Типичные размеры цифровой сигнатуры для современного уровня техники находятся в диапазоне от 200 бит до 8 кбит, причем в настоящее время предпочтительно, чтобы для большей защиты размер цифровой сигнатуры составлял около 2 кбит.
Другой аспект изобретения предусматривает способ маркировки изделия сигнатурной характеристикой его внутренней структуры, содержащий этапы, на которых: получают сигнатуру посредством применения любого из вышеуказанных способов идентификации; и маркируют изделие маркировкой, в которой закодирована сигнатура в соответствии с машиночитаемым протоколом кодирования.
Сигнатуру предпочтительно кодируют в маркировке при помощи асимметричного алгоритма шифрования. Например, маркировка может представлять собой шифрограмму, расшифровка которой осуществляется открытым ключом в системе шифрования “открытый ключ/закрытый ключ”. В альтернативном варианте сигнатуру можно закодировать в маркировке при помощи симметричного алгоритма шифрования.
В случае со многими материалами, особенно с бумагой и картоном, очень удобно, когда маркировка представляет собой маркировку, выполненную типографской краской, нанесенной посредством процесса печати.
Маркировка может быть видимой, например штриховым кодом, или невидимой, например в виде данных на смарт-чипе, когда изделие представляет собой смарт-карту.
Изобретение также относится к изделию, маркированному в соответствии с вышеуказанным способом маркировки.
КРАТКОЕ ОПИСАНИЕ ЧЕРТЕЖЕЙ
Для лучшего понимания изобретения и для того, чтобы продемонстрировать, как оно может быть реализовано, в качестве примера приводятся ссылки на прилагаемые чертежи, среди которых:
Фиг.1 представляет собой схематический вид сбоку устройства считывания, согласно изобретению;
Фиг.2 представляет собой схематический вид в перспективе, на котором показано, как в объеме считывания осуществляется n выборок посредством его сканирования вытянутым пучком;
Фиг.3 представляет собой принципиальную блок-схему функциональных компонентов устройства считывания;
Фиг.4 представляет собой внешний вид в перспективе устройства считывания;
Фиг.5 представляет собой схематический вид в перспективе альтернативного варианта осуществления устройства считывания;
Фиг.6А схематически показывает на виде сбоку альтернативную установку получения изображения для устройства считывания, согласно изобретению, на основе направленного сбора света и равномерной засветки;
Фиг.6B схематически показывает на виде сверху оптическую зону охвата еще одной альтернативной установки получения изображения для устройства считывания, согласно изобретению, в которой используются направленные детекторы в сочетании с локальным освещением при помощи вытянутого пучка;
Фиг.7 представляет собой полученное с помощью микроскопа изображение поверхности бумаги, причем изображение охватывает площадь приблизительно 0,5×0,2 мм;
Фиг.8A показывает необработанные данные от одного фотодетектора с использованием устройства считывания, изображенного на фиг.1, которые состоят из сигнала от фотодетектора и сигнала кодирования;
Фиг.8B показывает полученные от фотодетектора данные, изображенные на фиг.8A, после линеаризации при помощи сигнала кодирования и усреднения амплитуды;
Фиг.8C показывает данные, изображенные на фиг.8B, после оцифровки в соответствии со средним уровнем;
Фиг.9 представляет собой блок-схему процесса генерирования сигнатуры изделия от сканированного изображения;
Фиг.10 представляет собой блок-схему того, как сигнатура изделия, полученная от сканированного изображения, может быть верифицирована с базой данных сигнатур;
Фиг.11 представляет собой схематический вид сверху идентификационной карты, содержащей маркировку со штрихкодом, на котором закодирована цифровая сигнатура, полученная из внутренней измеренной поверхностной характеристики;
Фиг.12 представляет собой схематический вид сверху идентификационной карты с чипом, содержащим данные, которые представляют собой закодированную цифровую сигнатуру, полученную от внутренней измеренной поверхностной характеристики;
Фиг.13 представляет собой схематический вид сверху гарантийного документа, содержащего две маркировки со штрихкодом, на которых закодирована цифровая сигнатура, полученная от внутренней измеренной поверхностной характеристики.
ПОДРОБНОЕ ОПИСАНИЕ
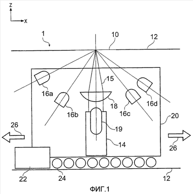
На фиг.1 приведен схематический вид сбоку устройства 1 считывания, согласно изобретению. Устройство 1 оптического считывания предназначено для определения сигнатуры из изделия (не показано), установленного в устройстве в объеме считывания. Объем считывания образован апертурой 10 считывания, которая представляет собой прорезь в корпусе 12. Корпус 12 вмещает основные оптические компоненты устройства. Прорезь вытянута в направлении x (см. вставку с осями на чертеже). Главными оптическими компонентами являются лазерный источник 14 для создания когерентного лазерного пучка 15 и детекторная установка 16, состоящая из множества фотодетекторных элементов k, где в данном случае k=4, обозначенных 16a, 16b, 16c и 16d. Лазерный пучок 15 фокусируется цилиндрической линзой 18 в вытянутый фокус, проходящий в направлении y (перпендикулярно плоскости чертежа) и лежащий в плоскости апертуры считывания. На примере опытного образца устройства считывания размер большой оси вытянутого фокуса составляет примерно 2 мм, а размер малой оси примерно 40 микрометров. Эти оптические компоненты содержатся в подузле 20. В приведенном варианте осуществления четыре детекторных элемента 16a…d распределены по обе стороны от оси пучка под разными углами к ней, располагаясь встречно-гребенчатым образом относительно оси пучка для сбора света, рассеянного при отражении от изделия, находящегося в объеме считывания. На опытном образце эти углы составляют -70, -20, +30 и +50 градусов. Углы с обеих сторон от оси пучка выбираются так, чтобы они не были равными, чтобы сделать собранные значения данных как можно более независимыми. Все четыре детекторных элемента расположены в одной плоскости. Фотодетекторные элементы 16a..d детектируют свет, рассеянный от изделия, помещенного на корпус, когда когерентный пучок рассеивается из объема считывания. Как показано на чертеже, источник установлен таким образом, чтобы ось лазерного пучка 15 была направлена в направлении z, так чтобы он по нормам падал на изделие через апертуру считывания.
В целом желательно, чтобы глубина фокуса была большой, так чтобы любые различия в размещении изделия в направлении z не приводили к существенным изменениям размера пучка в плоскости апертуры считывания. В случае опытного образца глубина фокуса составляет примерно 0,5 мм, что является достаточно большой величиной для получения хороших результатов. Такие параметры, как глубина фокуса, числовая апертура и рабочее расстояние, являются взаимозависимыми, что приводит к поиску хорошо известного компромисса между размером пятна и глубиной фокуса.
В корпусе 12 расположен приводной двигатель 22 для обеспечения прямолинейного движения оптического подузла 20 посредством соответствующих подшипников или других средств, показанных стрелками 26. Таким образом, приводной двигатель 22 выполнен для обеспечения линейного перемещения когерентного пучка по считывающей апертуре 10 в направлении x, так чтобы пучок 15 осуществлял сканирование в направлении, перпендикулярном большой оси вытянутого фокуса. Поскольку когерентный пучок 15 имеет в своем фокусе размер поперечного сечения в плоскости xy (в плоскости чертежа) значительно меньший, чем проекция считывающего объема на плоскость, перпендикулярную когерентному пучку, то есть на плоскость стенки корпуса, в которой расположена апертура считывания, сканирование посредством приводного двигателя 22 приводит к тому, что когерентный пучок 15 осуществляет выборки со многих различных частей объема считывания под действием приводного двигателя 22.
Фиг.2 приведена для иллюстрации указанной выборки, которая представляет собой схематический вид в перспективе, на котором показано, как в объеме считывания делаются n выборок посредством сканирования указанного объема считывания вытянутым пучком. Замеряемые положения сфокусированного лазерного пучка, при его сканировании апертуры считывания под действием привода, представлены прилегающими друг к другу прямоугольниками, пронумерованными от 1 до n, которые осуществляют выборку площадью длиной “l” и шириной “w”. Сбор данных осуществляется таким образом, что снимать сигнал в каждом из n положений, когда привод осуществляет сканирование вдоль прорези 10. Следовательно, осуществляется сбор последовательности из k x n значений данных, которые связаны с рассеянием на n различных изображенных частях объема считывания. Кроме того, схематически показаны метки 28 дальности, нанесенные на нижней стороне корпуса 12, прилегающей к прорези 10, вдоль направления x, то есть вдоль направления сканирования. Расстояние между метками в направлении x составляет, например, 300 микрометров.
Эти метки замеряются хвостовой частью вытянутого фокуса и обеспечивают линеаризацию данных в направлении x, о чем более подробно будет сказано ниже. Измерение выполняется посредством дополнительного фототранзистора 19, который является направленным детектором, выполненным с возможностью сбора света с области нахождения меток, прилегающих к прорези.
В альтернативном варианте осуществления метки 28 считываются специальным модулем 10 кодирующего излучателя/детектора, который является частью оптического подузла 20. Модули кодирующего излучателя/детектора используются в устройствах считывания штрих-кодов. Например, мы использовали модуль Agilent HEDS-1500, который основан на сфокусированном фотодиоде и фотодетекторе. Сигнал от модуля подается АЦП ПКП в качестве дополнительного детекторного канала.
В случае незначительного размера фокуса 40 микрометров и длины сканирования в направлении x, составляющим 2 см при n=500, обеспечивают 2000 значений данных (информационных точек) при k=4. Типичный диапазон значений для k×n, зависящий от требуемого уровня защиты, типа изделия, числа детекторных каналов k и других факторов, предполагается равным 100
Фиг.3 представляет собой принципиальную блок-схему функциональных компонентов устройства считывания. Двигатель 22 связан с программируемым контроллером 30 прерываний (ПКП) посредством электрического соединения 23. Детекторы 16a…d детекторного модуля 16 связаны посредством соответствующих электрических линий 17a…d связи с аналого-цифровым преобразователем (АЦП), который является частью ПКП 30. Аналогичная электрическая линия связи соединяет с ПКП 30 детектор 19 считывания метки. Следует иметь в виду, что вместо электрических линий связи или в сочетании с ними могут применяться оптические или беспроводные линии связи. ПКП 30 сопряжен с персональным компьютером (ПК) 34 посредством последовательного соединения 32. ПК 34 может быть настольным или портативным компьютером. В качестве альтернативы ПК могут использоваться другие интеллектуальные устройства, например персональный цифровой помощник (ПЦП) или специализированный электронный блок. ПКП 30 и ПК 34 вместе образуют модуль 36 сбора и обработки данных для определения сигнатуры изделия из набора значений данных, собранных детекторами 16a…d. ПК 34 через интерфейсное соединение 38 имеет доступ к базе данных (БД) 40. База 40 данных может находиться резидентно в памяти ПК 34 или храниться на его накопителе. В альтернативном варианте база 40 данных может быть удаленной по отношению к ПК 34, а доступ к ней может осуществляться при помощи беспроводной линии связи, например, посредством услуг сотовой телефонии или через беспроводную локальную сеть (LAN) в сочетании с сетью Интернет. Кроме того, база 40 данных может храниться локально на ПК 34, но периодически загружаться с удаленного источника.
База 40 данных содержит библиотеку предварительно записанных сигнатур. ПК 34 запрограммирован так, чтобы при использовании он имел доступ к базе 40 данных и осуществлял сравнение с целью установить, содержит ли база 40 данных соответствие сигнатуре изделия, помещенного в объем считывания. ПК 34 может также быть запрограммирован так, чтобы позволить дополнение сигнатуры к базе данных, если не найдено ни одного соответствия. Этот режим предназначен только для уполномоченных пользователей и может быть исключен из систем, которые предназначены для использования на местах исключительно для целей верификации.
Фиг.4 представляет собой вид в перспективе внешнего вида устройства 1 считывания. Можно видеть корпус 12 и щелевую апертуру 10 считывания. Можно также видеть вспомогательное средство 42 задания физического положения, которое предназначено для расположения изделия данной формы в фиксированном положении относительно объема 10 считывания. В приведенном на чертеже примере вспомогательное средство 42 задания физического положения имеет вид уголка, в угол которого можно поместить документ или упаковочную коробку. Тем самым обеспечивается, что всякий раз, когда требуется просканировать изделие, в апертуре 10 считывания будет расположена одна и та же часть изделия. Для изделий с четко обозначенным углом, например, для листов бумаги, паспортов, идентификационных карточек и упаковочных коробок достаточно использовать обычный уголок.
Может быть предусмотрено устройство для подачи документа, обеспечивающее единообразное расположение изделия. Например, устройство может соответствовать любому принятому формату для сканеров документов, копировальных аппаратов и систем управления документами. В случае упаковочных коробок в качестве альтернативы может быть предусмотрено соответствующее направляющее отверстие, например, прямоугольное в сечении отверстие, куда вставляется основание прямоугольной коробки, или круглое в сечении отверстие, куда вставляется основание цилиндрической коробки.
Фиг.5 представляет собой схематический вид в перспективе альтернативного варианта осуществления устройства 1′, предназначенного для сортировки партий изделий. Устройство считывания базируется на конвейерной ленте 44, на которую могут быть помещены упаковочные изделия, причем для простоты на чертеже представлено только одно изделие. Область 10′ считывания на изделии 5 сканируется неподвижным лазерным пучком 15, когда изделие 5 движется по конвейерной ленте 44. Лазерный пучок 15 генерируется источником 14 лазерного излучения, неподвижно расположенного у конвейерной ленты 44. Источник 14 лазерного излучения имеет составную фокусирующую линзу (не показана) для получения узкого, почти коллимированного пучка, который распространяется в направлении z (то есть горизонтально полу), проходя над конвейерной лентой 44 на высоте “h” и тем самым пересекаясь с изделием 5 на высоте “h” для сканирования области 10′ считывания. В поперечном сечении пучок может быть пятном, то есть круглым (например, созданный составной сферической линзой), или линией, вытянутой в направлении y (например, созданный составной цилиндрической линзой). Хотя на чертеже изображено только одно изделие, следует иметь в виду, что по конвейерной ленте может перемещаться поток аналогичных изделий, которые сканируются в порядке прохождения через пучок 15.
Функциональные компоненты устройства считывания на основе конвейера аналогичны компонентам автономного устройства считывания, описанного выше. Единственное существенное отличие состоит в том, что для получения требуемого относительного движения между сканирующим пучком и изделием перемещается изделие, а не лазерный пучок.
Предполагается, что устройство считывания на основе конвейера может использоваться на производственной линии или на товарном складе для загрузки базы данных сигнатурами посредством считывания последовательности изделий. Для контроля каждое изделие может быть просканировано еще раз, чтобы проверить, что каждая записанная сигнатура может быть проверена. Это можно осуществить при помощи двух последовательно работающих систем или при помощи одной системы, через которую каждое изделие проходит дважды. В местах продажи может также применяться пакетное сканирование или может применяться устройство считывания, основанное на компонентах оборудования места продажи.
Вышеописанные варианты осуществления основаны на локальном возбуждении когерентным пучком света малого сечения в сочетании с детекторами, которые принимают световой сигнал, рассеянный на значительно большей площади, которая включает локальную область возбуждения. Можно сконструировать функционально эквивалентную оптическую систему, которая, в отличие от вышеназванной, основана на направленных детекторах, которые собирают свет только с локальных областей в сочетании с возбуждением гораздо большей области.
На фиг.6A приведен схематический вид сбоку установки получения изображения для устройства считывания, согласно изобретению, которое основано на направленном сборе света и равномерной засветке когерентным пучком. Матричный детектор 48 расположен в сочетании с матрицей 46 цилиндрических микролинз таким образом, что соседние полоски детекторной матрицы 48 собирают только свет с соответствующих соседних полосок в объеме считывания. Как показано на фиг.2, каждая цилиндрическая микролинза расположена таким образом, чтобы собирать световой сигнал с одной из n полосок выборки. Когерентное освещение может представлять собой равномерную засветку всего объема считывания (не показано).
В некоторых случаях может также использоваться гибридная система, где применяется сочетание локального возбуждения и локального детектирования.
На фиг.6B приведен схематический вид сверху оптической зоны охвата такой гибридной установки получения изображения для устройства считывания, согласно изобретению, в которой используются направленные детекторы в сочетании с локальным освещением вытянутым пучком. Этот вариант осуществления может рассматриваться в качестве развития варианта осуществления, изображенного на фиг.1, в котором предусмотрены направленные детекторы. В этом варианте осуществления предусмотрены три группы направленных детекторов, причем каждая группа предназначена для сбора света с различных участков вдоль полоски возбуждения “l×w”. Пунктирными кружками показана область сбора в плоскости объема считывания, так что первая группа, состоящая, например, из двух детекторов, собирает световой сигнал с верхнего участка полоски возбуждения, вторая группа детекторов собирает свет со среднего участка полоски возбуждения, а третья группа детекторов собирает свет с нижнего участка полоски возбуждения. Как показано на чертеже, каждая группа детекторов имеет круглую область сбора диаметром примерно l/m, где m является числом участков полоски возбуждения и в представленном примере равно 3. Таким образом, число независимых значений данных для заданной длины сканирования l может быть увеличено в m раз. Как будет описано ниже, одну или несколько различных групп направленных детекторов можно использовать для иной цели, нежели сбор светового сигнала, который замеряет спекл-структуру. Например, одну группу можно использовать для сбора светового сигнала способом, оптимизированным для сканирования штрихкода. В этом случае обычно достаточно, чтобы такая группа содержала только один детектор, поскольку при сканировании контраста мелких деталей получение перекрестных корреляций не дает никаких преимуществ.
Теперь, описав основные структурные компоненты и функциональные компоненты различных устройств считывания, пригодных для реализации изобретения, опишем численную обработку данных, используемую для определения сигнатуры. Следует иметь в виду, что численная обработка данных выполняется в основном согласно компьютерной программе, которая осуществляется ПК 34 с некоторыми элементами, подчиненными ПКП 30.
Фиг.7 представляет собой изображение в микроскопе поверхности бумаги, причем изображение охватывает площадь размером приблизительно 0,5×0,2 мм. Эта фигура приведена для иллюстрации того, что макроскопически плоская поверхность, например поверхность бумаги, во многих случаях является высокоструктурированной на микроскопическом уровне. В случае бумаги микроскопически высокоструктурированная поверхность является результатом переплетения древесных волокон, из которых состоит бумага. Фигура также иллюстрирует характерный масштаб длины для древесных волокон, который составляет примерно 10 микрон. Этот размер имеет прямое отношение к оптической длине волны когерентного пучка, приводящего к возникновению дифракции, а следовательно, и спекл-структуры, а также к диффузному рассеянию, профиль которого зависит от ориентации волокон. Таким образом, следует иметь в виду, что если устройство считывания предполагается использовать для определенного класса товаров, то длина волны лазера может быть приведена в соответствие размеру структурных элементов для класса товаров, подлежащих сканированию. Из фигуры также очевидно, что локальная структура поверхности каждого листа бумаги является уникальной в том смысле, что она зависит от взаиморасположения отдельных древесных волокон. Таким образом, лист бумаги ничем не отличается от специально созданного маркера, такого как специальные маркеры из смолы или покрытия из магнитного материала, известные из уровня техники, в том смысле, что его структура является уникальной, будучи полученной в результате процесса, управляемого законами природы. То же относится ко многим другим типам изделий.
Иными словами, изобретатель обнаружил, что в сущности бессмысленно тратить силы и средства на создание специально изготовленных маркеров, когда на большом спектре повседневных изделий уникальные характеристики можно измерить непосредственным образом. Теперь будут описаны сбор данных и численная обработка сигнала рассеяния, которые используют естественную структуру поверхности изделия (или внутреннего объема в случае пропускания).
На фиг.8A приведены необработанные данные от одного из фотодетекторов 16a…d устройства считывания, изображенного на фиг.1. На графике приведена интенсивность сигнала I в произвольных единицах (п.е.) в зависимости от номера значения данных (информационной точки) n (см. фиг.2). Верхняя кривая, колеблющаяся между I=0-250, представляет собой необработанные данные о сигнале от фотодетектора 16a. Нижняя кривая представляет собой кодирующий сигнал, снятый с меток 28 (см. фиг.2), который составляет примерно I=50.
На фиг.8B приведены данные с фотодетектора, изображенного на фиг.8A, после линеаризации при помощи кодирующего сигнала (хотя ось имеет иной масштаб, чем на фиг.8A, это не имеет значения). Кроме того, было вычислено среднее значение интенсивности и вычтено из значений интенсивности. Таким образом, значения обработанных данных колеблются выше и ниже нуля.
На фиг.8C приведены данные фиг.8B после оцифровки. Принятая схема оцифровки представляет собой простую двоичную схему, когда любые положительные значения интенсивности принимают значение 1, а любые отрицательные значения интенсивности принимают значение нуль. Следует иметь в виду, что вместо этого возможна оцифровка со многими состояниями либо возможен один из многих других существующих методов оцифровки. Наиболее важная характерная черта оцифровки заключается просто в последовательном применении одной и той же схемы оцифровки.
Фиг.9 представляет собой блок-схему процесса генерирования подписи изделия из сканированного изображения.
Этап S1 является этапом сбора данных, во время которого примерно каждую 1 мс на протяжении всего процесса сканирования от каждого фотодетектора получают значение оптической интенсивности. Одновременно получают кодирующий сигнал как функцию времени. Следует отметить, что если сканирующий двигатель обладает высокой степенью точности линеаризации (как, например, в шаговом двигателе), то линеаризация данных может не потребоваться. Данные получают посредством ПКП 30, получающего данные от АЦП 31. Значения данных передаются от ПКП 30 к ПК 34 в реальном времени. В альтернативном варианте изобретения значения данных могут сохраняться в памяти ПКП 30, а затем передаваться в ПК по окончании сканирования. Число n значений данных (информационных точек) на детекторный канал, собранных при каждом сканировании, будет в дальнейшем обозначаться как N. Кроме того, значение ak(i) означает i-е сохраненное значение интенсивности от фотодетектора k, где i значения в диапазоне от 1 до N. Примеры двух наборов необработанных данных, полученных в результате такого сканирования, приведены на фиг.8A.
На этапе S2 применяется численная интерполяция для локального расширения и сжатия значения ak(i), так чтобы переходы через кодирующие метки происходили через равные промежутки времени. Тем самым вносится поправка в локальные колебания скорости двигателя. Этот этап выполняет в ПК 34 согласно компьютерной программе.
Этап S3 является необязательным. Если он выполняется, то на этом этапе осуществляется численное дифференцирование данных по времени. Может быть также желательно применить к данным слабую сглаживающую функцию. Дифференцирование может быть полезно в случае высокоструктурированных поверхностей, поскольку при этом ослабляются некоррелированные вклады от сигнала по отношению к коррелированным вкладам (вкладам спекла).
Этап S4 является этапом, на котором для каждого фотодетектора берется среднее значение зарегистрированного сигнала по N значениям данных. Для каждого фотодетектора эта средняя величина вычитается из всех значений данных, так чтобы данные были распределены относительно нулевой интенсивности. Можно обратиться к фиг.8B, на которой приведен пример набора данных сканирования после линеаризации и вычитания вычисленного среднего значения.
На этапе S5 осуществляется оцифровка аналоговых данных фотодетектора для вычисления цифровой сигнатуры, представляющей данные сканирования. Цифровая сигнатура получается при помощи правила: ak(i) 0 отображается на двоичную “1”, а
ak(i) 0 отображается на двоичную “0”. Набор оцифрованных данных обозначается как dk(i), где i находится в диапазоне от 1 до N. Полезно, чтобы сигнатура изделия, помимо описанной выше оцифрованной сигнатуры данных интенсивности, включала дополнительные компоненты. Ниже описываются эти дополнительные необязательные компоненты сигнатуры.
Этап S6 является необязательным этапом, на котором создается более маленькая “миниатюрная” цифровая сигнатура. Это делается либо посредством усреднения вместе соседних групп из m считываний, либо, что предпочтительно, посредством считывания каждого c-го значения данных, где c является коэффициентом сжатия миниатюрной сигнатуры. Последний вариант осуществления предпочтителен, поскольку усреднение может привести к непропорциональному усилению шума. Затем к сокращенному набору данных применяется то же правило оцифровки, что использовалось на этапе S5. Оцифровка миниатюр по сигнатуре обозначается как tk(i), где i находится в диапазоне значений от 1 до N/с, а c является коэффициентом сжатия.
Этап S7 является необязательным этапом, который используется, когда имеется множество детекторных каналов. Дополнительный компонент является компонентом взаимной корреляции, вычисленным на основании данных об интенсивности, полученных от различных фотодетекторов. При 2 каналах имеется один возможный коэффициент взаимной корреляции, при 3 каналах – до 3, а при 4 каналах – до 6 и т.д. Коэффициенты взаимной корреляции полезны потому, что было обнаружено, что они являются хорошими индикаторами типа материала. Например, для определенного типа документа, например, для паспорта данного типа или для бумаги для лазерного принтера, коэффициенты корреляции всегда, по-видимому, находятся в прогнозируемых пределах. Может быть вычислена нормированная взаимная корреляция между ak(i) и al(i), где k l и k, l изменяются по всем номерам каналов фотодетекторов. Нормированная функция взаимной корреляции (определяется следующим образом:

Другим аспектом функции взаимной корреляции, которая может быть сохранена для использования при последующей проверке, является ширина пика функции взаимной корреляции, например полная ширина на половине высоты (FWHM). Ниже описывается применение коэффициентов взаимной корреляции при обработке процедуры проверки (верификации).
Этап S8 является еще одним необязательным этапом, который предназначен для вычисления простого среднего значения интенсивности, указывающего на распределение интенсивности сигнала. Это может быть общее среднее каждого среднего значения для различных детекторов или среднее для каждого детектора, например среднеквадратичное значение ak(i). Если детекторы установлены попарно по обе стороны от направления перпендикулярного падения, как в случае описанных выше детекторов, можно использовать среднее значение для каждой пары детекторов. Как было установлено, величина интенсивности служит хорошим грубым фильтром типа материала, поскольку она является простым отражением общего коэффициента отражения и грубости образца. Например, можно использовать в качестве значения интенсивности ненормированное среднеквадратичное значение, полученное после вычитания среднего значения, например фона от постоянного тока.
Данные сигнатур, полученные в результате сканирования, можно сравнить с записями, помещенными в базу данных подписей с целью проверки, и (или) записать в базу данных с целью добавить новую запись о сигнатуре для расширения имеющейся базы данных.
Новая запись в базе данных включает цифровую сигнатуру, полученную на этапе S5, а также в качестве необязательного элемента ее миниатюрный вариант, полученный на этапе S6, для каждого канала фотодетектора, коэффициенты взаимной корреляции, полученные на этапе S7, и среднее(ие) значение(я), полученное(ые) на этапе S8. В альтернативном варианте миниатюры могут храниться в отдельной, своей собственной базе данных, оптимизированной для быстрого поиска, а остальные данные (в том числе миниатюры) – в основной базе данных.
Фиг.10 представляет собой блок-схему, показывающую, каким образом сигнатуру изделия, полученную в результате сканирования, можно сверить с сигнатурой из базы данных.
В простом применении можно просто осуществлять поиск в базе данных для поиска соответствия на основе полного набора данных с сигнатурами. Однако для ускорения процесса проверки (верификации) в этом процессе предпочтительно используют более мелкие миниатюры и предварительный отсев на основе вычисленных средних значений и описанных здесь коэффициентов взаимной корреляции.
Этап V1 проверки является первым этапом процесса проверки, который заключается в сканировании изделия в соответствии с вышеописанной процедурой, то есть в выполнении этапов S1-S8 сканирования.
На этапе V2 проверки берут каждую запись миниатюры и оценивают число совпадающих битов между ней и tk(i+j), где j является сдвигом бита, который варьируют для компенсации ошибок расположения сканируемой области. Определяют значение j, а затем и запись миниатюры, которая дает максимальное число совпадающих битов. Это и есть «кандидат», используемый для дальнейшей обработки.
Этап V3 проверки является необязательным предварительным отбором, который осуществляется до анализа полной цифровой сигнатуры, сохраненной для записи, в сравнении со сканированной цифровой сигнатурой. В ходе предварительного отсева сравнивают среднеквадратичные значения, полученные на этапе S8 сканирования, с соответствующими сохраненными значениями, находящимися в записи базы данных, содержащей «кандидат». «Кандидат» исключают из дальнейшей обработки, если соответствующие средние значения не согласуются в заданных пределах. В этом случае изделие отбраковывают как непрошедшее проверку (то есть переходят к этапу V6 проверки и выдают результат «не годен»).
Этап V4 проверки является еще одним необязательным предварительным отсевом, который выполняется до анализа полной цифровой сигнатуры. В ходе этого предварительного отсева сравнивают коэффициенты взаимной корреляции, полученные на этапе S7 сканирования, с соответствующими сохраненными значениями в записи базы данных, относящейся к “кандидату”. “Кандидат” не допускают к дальнейшей обработке, если соответствующие коэффициенты взаимной корреляции не согласуются в заданных пределах. В этом случае изделие отбраковывают как непрошедшее проверку (то есть переходят к этапу V6 проверки и выдают результат «не годен»).
Другой проверкой с использованием коэффициентов взаимной корреляции, которую можно выполнить на этапе V4 проверки, является проверка ширины пика функции взаимной корреляции, причем функцию взаимной корреляции оценивают посредством сравнения значения, хранящегося после первоначального сканирования на этапе S7 сканирования, описанного выше, и значения, полученного в результате повторного сканирования

Если ширина пика, полученного в результате повторного сканирования, больше ширины первоначального пика, то это может служить указателем на то, что повторно отсканированное изделие было сфальсифицировано или вызывает подозрение по какой-нибудь иной причине. Например, эта проверка должна поймать фальсификатора, который пытается обмануть систему, печатая штрихкод или другую последовательность с такими же колебаниями интенсивности, какие должны восприниматься фотодетекторами от сканируемой поверхности.
На этапе V5 проверки осуществляется основное сравнение между сканированной цифровой сигнатурой, полученной на этапе S5 сканирования, и соответствующими сохраненными значениями в записи базы данных, относящейся к “кандидату”. Полную сохраненную оцифрованную сигнатуру dk db(i) расщепляют на n блоков, состоящих из q смежных битов на k детекторных каналах, то есть qk битов на блок. Типичное значение q равно 4, и типичное значение k равно 4, что дает в типичном случае 16 битов на блок. Затем qk битов вновь сопоставляют с qk соответствующих битов в сохраненной цифровой сигнатуре dk db(i+j). Если число совпадающих битов в блоке больше или равно некоему заданному пороговому значению zthresh, то число совпавших блоков увеличивают на единицу. Типичное значение zthresh равно 13. Эту процедуру повторяют для всех n блоков. Всю процедуру повторяют для различных значений смещения j для компенсации ошибок расположения сканируемой области до тех пор, пока не будет найдено максимальное число совпадающих блоков. Обозначая максимальное число совпадающих блоков как M, вычисляют вероятность случайного совпадения посредством оценки

где s – вероятность случайного совпадения между двумя блоками (что в свою очередь зависит от выбранного значения zthreshold), М – число совпадающих блоков, а p(M) – вероятность того, что М или более блоков случайно совпадут. Значение s определяют посредством сравнения блоков, имеющихся в базе данных и полученных в результате сканирования различных объектов из аналогичных материалов, например ряда сканированных бумажных документов и т.д. Для случая q=4, k=4 и zthreshold=13 получаем типичное значение s, равное 0,1. Если бы qk битов были полностью независимы, то по теории вероятности s=0,01 для zthreshold=13. То обстоятельство, что на опыте мы находим более высокое значение, связано с корреляциями между k детекторными каналами, а также с корреляциями между смежными битами в блоке из-за конечной ширины лазерного пятна. Типичный сканированный лист бумаги дает примерно 314 совпадающих блоков из общего числа 510 блоков при сравнении с записью в базе данных для этого листа бумаги. Задав в вышеприведенной формуле значения M=314, n=510, s=0,1, получаем вероятность случайного совпадения 10-177.
На этапе V6 проверки выдают результат процесса проверки. Значение вероятности, полученное на этапе V5 проверки, может использоваться для решения о годности или негодности, критерием для которого служит заранее установленное пороговое значение вероятности. В данном случае пороговое значение вероятности можно установить на уровне системы, а можно сделать его переменным параметром, устанавливаемым на уровне, выбранном пользователем. В альтернативном варианте изобретения значение вероятности может выдаваться пользователю в виде уровня достоверности, причем либо в необработанном виде, как собственно вероятность, так и в измененном виде при помощи относительных понятий (например, совпадения нет/плохое совпадение/хорошее совпадение/отличное совпадение) или какой-либо другой классификации.
Следует иметь в виду, что возможны различные модификации. Например, вместо того, чтобы рассматривать коэффициенты взаимной корреляции в качестве компонента для предварительного отсева, их можно рассматривать вместе оцифрованными данными об интенсивности в качестве составной части основной сигнатуры. Например, коэффициенты взаимной корреляции можно независимо оцифровать и использовать для генерации последовательности битов или чего-то подобного, по чему затем можно осуществлять поиск таким же образом, какой описан выше для миниатюрных вариантов оцифрованных данных об интенсивности с целью поиска кандидатов.
Опишем теперь еще один вариант выполнения изобретения.
На фиг.11 приведена идентификационная карта 50, содержащая штрихкод. Идентификационная карта может также содержать независимый защитный элемент 54, такой как фотография, голограмма, содержать некую биометрическую информацию, относящуюся к какому-то лицу. Как показано на чертеже, штрихкод попадает в область 56 сканирования, которая обозначена штриховой линией, поскольку на идентификационной карте она никак не выделяется. Область сканирования подразделена на нижнюю область 52, содержащую штрихкод, и пустую верхнюю область 58. Идентификационная карта 50 предназначена для сканирования устройством считывания, аналогичного тому, что изображено на фиг.6B, причем одна группа направленных детекторов используется для сканирования области 52 штрихкода, а две другие группы детекторов используются для сканирования верхней области 58. В данном варианте осуществления штрихкод содержит закодированную сигнатуру, полученную посредством сканирования пустой верхней области с использованием способа согласно изобретению.
Иными словами, штрихкод был нанесен изначально при изготовлении идентификационной карты посредством сканирования пустой верхней области карты согласно способу изобретения и последующей печати штрихкода в нижней области 52. Таким образом, идентификационная карта промаркирована сигнатурой, характеризующей ее внутреннюю структуру, а именно структуру поверхности верхней области 58.
Следует заметить, что штрихкод может сам по себе использоваться для линеаризации сканированного изображения вместо или в сочетании с отдельными линеаризационными метками, описанными выше. Это может быть особенно полезно, когда привод устройства считывания имеет плохую линейность, например, роликовый привод вроде того, что используется в банкоматах. Допустимость использования приводов с плохой линейностью позволяет встраивать устройство считывания во многие устройства для считывания карты, например, в банкоматы, не внося больших изменений. Действительно, штрихкод или даже псевдометки могут быть напечатаны на карте исключительно для целей линеаризации и вовсе не использоваться для кодирования. В этом случае проверка может осуществляться посредством обращения к базе данных или посредством снятия данных с другой части карты, например, посредством снятия данных с интегральной схемы (так называемая смарт-карта).
Следует иметь в виду, что этот простейший подход может применяться для маркировки широкого спектра изделий, имеющих маркировку, в которой закодирована собственная сигнатура изделий, полученная на основе присущих физических свойств, например, для любых печатных изделий, в том числе для бумажных и картонных изделий или пластиковых изделий.
Учитывая открытый характер штрихкода или другой маркировки, которая выполнена в соответствии с общеизвестным протоколом кодирования, рекомендуется позаботиться о том, чтобы сигнатура была преобразована при помощи асимметричного алгоритма кодирования для создания штрихкода, то есть чтобы использовалась необратимая функция, например, в соответствии с хорошо известным алгоритмом RSA. Предпочтительный вариант выполнения заключается в том, чтобы маркировка представляла открытый ключ в системе шифрования “открытый ключ/закрытый ключ”. Если систему используют несколько различных клиентов, рекомендуется, чтобы каждый клиент имел свой собственный закрытый ключ, так чтобы раскрытие закрытого ключа затрагивало бы только одного клиента. Таким образом, маркировка кодирует открытый ключ, а закрытый ключ надежно хранится у уполномоченных лиц.
В альтернативном варианте шифрование может быть симметричным. В этом случае ключ может надежно храниться в защищенной от несанкционированного доступа памяти или в смарт-картах с криптопроцессором в сканерах документов.
Еще одно явное преимущество такого подхода к маркировке заключается в том, что пользователь-новичок, не обладающий специальными знаниями, не будет знать о проводимой проверке. Будет естественно, если пользователь предположит, что устройство считывания было просто сканером штрих-кодов и что оно сканировало штрихкод.
В одном примере, относящемся к компакт-дискам, DVD-дискам и другим дискам, содержащим контент, сигнатура находится на диске и образует часть дешифровального ключа для данных на диске. Затем устройство воспроизведения данных с диска считывает с диска спекл-сигнатуру при считывании данных.
Эта схема маркировки может быть применена для того, чтобы изделия можно было проверить, не обращаясь к базе данных, а исключительно на основе самой маркировки. По общей идее этот подход аналогичен схеме обнаружения негодных банкнот, известной из уровня техники [4].
Предусмотрено, однако, что эта схема маркировки может применяться в сочетании со схемой проверки в базе данных. Например, штрихкод может содержать в кодированном виде миниатюрный вариант цифровой сигнатуры и использоваться для быстрого предварительного отсева перед отсевом с обращением к базе данных. Этот подход может иметь очень большое практическое значение, поскольку потенциально в некоторых применениях баз данных число записей может быть огромным (например, миллионы), и стратегия поиска может иметь существенное значение. В сущности, важную роль могут получить методики высокоскоростного поиска, например, с использованием последовательности битов.
В качестве альтернативы штрихкоду, кодирующему миниатюру, штрихкод (или другая маркировка) может кодировать адрес записи, то есть указатель или закладку, которую можно использовать для быстрого поиска правильной сигнатуры в базе данных для дальнейшего сравнения.
Другой вариант заключается в том, что штрихкод (или другая маркировка) кодирует миниатюрную сигнатуру, которую можно использовать для получения совпадения с разумной, но не высокой степенью достоверности, если база данных недоступна (например, временно отключена, или сканирование осуществляется в слишком удаленном месте, не имеющем доступа к Интернету). Ту же самую миниатюру можно затем использовать для быстрого обнаружения записи в основной базе данных, если база данных доступна, что позволяет провести проверку с высокой степенью достоверности.
На фиг.12 приведен схематический вид сверху идентификационной карты 50, которая является так называемой смарт-картой, которая содержит интегральную микросхему 54 с данными. Данные, содержащиеся в микросхеме 54, включают данные кодирования сигнатуры, которые кодируют цифровую сигнатуру, полученную от внутренней измеренной характеристики поверхности идентификационной карты 50, полученную от области 56 сканирования, которая в этом примере никак не выделяется и обозначена пунктирными линиями, но может быть оформлена любым желаемым образом или содержать, например, фотографию.
На фиг.13 приведен схематический вид сверху гарантийного документа 50. Область 56 сканирования включает два маркера 52a, 52b со штрихкодом, расположенные один над другим, которые кодируют цифровую сигнатуру, полученную от внутренней измеренной характеристики поверхности, аналогично примеру с идентификационной картой, изображенному на фиг.11. Штрихкоды 52a, 52b расположены выше и ниже области 58 сканирования цифровой сигнатуры, предназначенной для подписи 59 лица, как схематически показано на чертеже. Область 58, по меньшей мере, предпочтительно покрыта прозрачным клеящим покрытием с целью защиты от подделки.
Можно предусмотреть множество других примеров коммерческого использования, и вышеприведенные фиг.11-13 даны только для примера.
Из вышеприведенного подробного описания должно быть понятно, каким образом изделие, сделанное из материала типа бумаги, или картона, или пластика, можно идентифицировать, подвергнув его когерентному излучению, собрав набор значений данных, которые измеряют рассеяние когерентного излучения на внутренней структуре материала, и определив сигнатуру изделия из этого набора значений данных.
Также должно быть ясно, что область сканирования является в сущности произвольной с точки зрения ее размеров и расположения на изделии. При желании сканирование может быть линейным сканированием, развернутым, чтобы охватить, например, более крупную двумерную область.
Кроме того, должно быть ясно, что изобретение может использоваться для идентификации продукта по его упаковке, документа или предмета одежды, посредством того, что изделие подвергают когерентному излучению, собирают набор значений данных, которые измеряют рассеяние когерентного излучения на внутренней структуре изделия и определяют сигнатуру продукта из набора значений данных.
Из вышеприведенного описания численной обработки должно быть понятно, что деградация локализации пучка (например, расширение сечения пучка в объеме считывания вследствие не вполне оптимального фокусирования когерентного пучка) не приведет систему к катастрофическим последствиям, но лишь ведет к деградации ее характеристик, выражающейся в росте вероятности случайного совпадения. Таким образом, устройство является устойчивым относительно изменений характеристик устройства, поскольку это изменение не приводит к внезапному нестабильному отказу устройства, а ведет к стабильной постепенной деградации характеристик. В любом случае можно простым образом выполнить самопроверку устройства считывания и тем самым установить любые проблемы в работе оборудования посредством выполнения автокорелляции по собранным данным для установления характерного минимального размера в ответных данных.
Дополнительной защитной мерой, которая может применяться в отношении бумаги или картона, служит, например, приклеивание на сканируемую область прозрачного защитного слоя (или липкой ленты). Клей выбирают достаточно сильным, чтобы его удаление разрушило находящуюся по ним структуру поверхности, которую необходимо сохранить, чтобы выполнить сканирование с целью проверки (верификации). Тот же подход можно применить к нанесению на карту прозрачных полимерных или пластиковых пленок или к ее запечатыванию при помощи аналогичных материалов.
Как описано выше, устройство считывания может быть выполнено в виде устройства, специально предназначенного для реализации изобретения. В других случаях устройство считывания может быть создано посредством добавления специальных дополнительных компонентов к устройству, предназначенному, в принципе, для выполнения других функций, например, к копировальному аппарату, сканеру документов, системе управления документами, терминалу в месте продажи, банкомату, устройству считывания посадочных талонов к авиабилетам и другим устройствам.
Специалисты могут предусмотреть множество других модификаций помимо тех, что специально указаны в настоящем раскрытии.
ИСТОЧНИК ИНФОРМАЦИИ

Формула изобретения
1. Устройство для определения сигнатуры на изделии, расположенном в объеме считывания, содержащее: источник для формирования когерентного пучка; детекторную установку, содержащую группу детекторных элементов, имеющих угловое распределение и функционирующих для сбора группы информационных точек, при этом каждая группа информационных точек собирается для области объема считывания от сигналов, полученных при рассеивании когерентного пучка от области объема считывания, так что различные группы информационных точек относятся к рассеянию от соответствующих различных частей объема считывания; и модуль сбора и обработки данных для определения сигнатуры изделия из набора групп информационных точек.
2. Устройство по п.1, в котором предусмотрено, что различные группы информационных точек относятся к рассеянию от различных частей объема считывания, причем предусмотрен привод для инициирования перемещения когерентного пучка по объему считывания, причем размеры когерентного пучка таковы, что его поперечное сечение существенно меньше проекции объема считывания на плоскость, перпендикулярную когерентному пучку, так что под действием привода когерентный пучок осуществляет выборку различных частей объема считывания.
3. Устройство по п.2, дополнительно содержащее фокусирующую систему для фокусировки когерентного пучка в объеме считывания.
4. Устройство по п.3, в котором фокусирующая система выполнена с возможностью создания когерентного пучка с вытянутым фокусом и в котором привод выполнен с возможностью перемещать когерентный пучок по объему считывания в направлении, перпендикулярном большой оси вытянутого фокуса.
5. Устройство по п.1, в котором каждый детекторный элемент соответствует отличному детекторному каналу и в котором детекторные элементы распределены под углом так, чтобы воспринимать рассеяние от соответствующих различных частей объема считывания.
6. Устройство по п.5, в котором детекторные элементы распределены под углами ассиметрично относительно угла падения когерентного пучка в объем считывания.
7. Устройство по п.1, дополнительно содержащее корпус для вмещения, по меньшей мере, части детекторной установки и имеющий апертуру считывания, напротив которой располагается изделие так, что оно оказывается помещенным в объем считывания.
8. Устройство по п.1, дополнительно содержащее конвейер для изделий для перемещения изделия мимо когерентного пучка.
9. Устройство по п.1, содержащее вспомогательное средство задания физического положения для помещения изделия данной формы в фиксированное положение по отношению к объему считывания.
10. Устройство по п.1, в котором сигнатура включает в себя вклад от сравнения между информационными точками одной группы.
11. Устройство по п.10, в котором сравнение включает взаимную корреляцию.
12. Устройство по п.1, в котором источник установлен для направления когерентного пучка в объем считывания так, что он падает на изделие под углом, близким к прямому.
13. Устройство по п.1, в котором детекторная установка расположена в отраженном свете для детектирования излучения, рассеянного назад от объема считывания.
14. Устройство по п.1, в котором модуль сбора и обработки данных выполнен с возможностью дальнейшего анализа информационных точек для идентификации компоненты сигнала, который следует предварительно заданному протоколу кодирования, и для генерации из нее эталонной сигнатуры.
15. Устройство по п.14, в котором модуль сбора и обработки данных выполнен с возможностью осуществления сравнения, чтобы установить, совпадает ли эталонная сигнатура с сигнатурой, полученной при считывании изделия, помещенного в объем считывания.
16. Устройство по п.1, в котором модуль сбора и обработки данных выполнен с возможностью определения миниатюрной сигнатуры изделия из набора информационных точек.
17. Устройство по п.16, в котором модуль сбора и обработки данных выполнен с возможностью определения миниатюрной сигнатуры посредством применения коэффициента сжатия.
18. Устройство по п.17, в котором модуль сбора и обработки данных выполнен с возможностью определения миниатюрной сигнатуры посредством выбора каждого с-го бита из сигнатуры или выбора каждого с-го значения информационной точке, где с является коэффициентом сжатия.
19. Устройство по п.16, в котором модуль сбора и обработки данных выполнен с возможностью определения миниатюрной сигнатуры посредством усреднения соседних групп информационных точек или посредством усреднения соседних групп битов сигнатуры.
20. Устройство по п.1, дополнительно содержащее базу данных предварительно записанных сигнатур, в котором модуль сбора и обработки данных выполнен с возможностью доступа к базе данных и выполнения сравнения для установления, содержит ли база данных сигнатуру, совпадающую с сигнатурой изделия, помещенного в объем считывания.
21. Устройство по п.20, в котором модуль сбора и обработки данных выполнен с возможностью добавления сигнатуры в базу данных, если ни одного совпадения не найдено.
22. Применение устройства по п.1 для заполнения базы данных сигнатурами посредством считывания последовательности изделий.
23. Применение устройства по п.1 для проверки подлинности изделия.
24. Применение устройства по п.1 для установления, имела ли место фальсификация изделия.
25. Способ идентификации изделия, выполненного из бумаги, картона или пластика, содержащий этапы, на которых: подвергают бумагу или картон воздействию когерентного излучения; собирают набор, содержащий группы информационных точек, которые измеряют рассеяние когерентного излучения от внутренней структуры бумаги или картона, причем каждая группа соответствует соответствующей различной области изделия и содержит информационные точки, соответствующие рассеянию от разных углов относительно изделия; и определяют сигнатуру изделия из набора групп информационных точек.
26. Способ по п.25, в котором изделие представляет собой документ.
27. Способ по п.25, дополнительно содержащий миниатюрную сигнатуру изделия из набора информационных точек.
28. Способ по п.27, в котором определение миниатюрной сигнатуры содержит применение коэффициента сжатия.
29. Способ по п.28, в котором определение миниатюрной сигнатуры содержит выбор каждого с-го бита из сигнатуры или выбор каждого с-го значения информационной точке, где с является коэффициентом сжатия.
30. Способ по п.27, в котором определение миниатюрной сигнатуры содержит усреднение соседних групп информационных точек или усреднение соседних групп битов.
31. Способ маркировки изделия характеристикой сигнатуры ее внутренней структуры, содержащий этапы, на которых: получают сигнатуру посредством применения способа по п.25; и наносят на изделие маркировку, которая кодирует сигнатуру в соответствии с машиночитаемым протоколом кодирования.
32. Способ по п.31, в котором сигнатуру кодируют в маркировке посредством асимметричного алгоритма шифрования.
33. Способ по п.32, в котором маркировка представляет открытый ключ в системе шифрования открытый ключ/закрытый ключ.
34. Способ по п.22, в котором маркировка является маркировкой, выполненной типографской краской, нанесенной посредством процесса печати.
35. Изделие, снабженное маркировкой в соответствии со способом по п.31.
36. Способ идентификации продукта по его упаковке, содержащий этапы, на которых: подвергают упаковку воздействию когерентного излучения; собирают набор, содержащий группы информационных точек, которые измеряют рассеяние когерентного излучения от внутренней структуры упаковки или ярлыка, причем каждая группа соответствует соответствующей различной области на упаковке или ярлыке и содержит информационные точки, соответствующие рассеянию от различных углов относительно упаковки или ярлыка; и определяют сигнатуру продукта из набора групп информационных точек.
37. Способ по п.36, в котором продукт представляет собой предмет изделия или обуви.
38. Способ по п.36, дополнительно содержащий определение миниатюрной сигнатуры продукта из набора информационных точек.
39. Способ по п.37, в котором определение миниатюрной сигнатуры содержит применение коэффициента сжатия.
40. Способ по п.38, в котором определение миниатюрной сигнатуры содержит выбор каждого с-го бита из сигнатуры или выбор каждого с-го значения информационной точке, где с является коэффициентом сжатия.
41. Способ по п.38, в котором определение миниатюрной сигнатуры содержит усреднение соседних групп информационных точек или усреднение соседних групп битов.
42. Способ маркировки продукта характеристикой сигнатуры ее внутренней структуры, содержащий этапы, на которых: получают сигнатуру посредством применения способа по п.36; и наносят на упаковку продукта или ярлык маркировку, которая кодирует сигнатуру в соответствии с машиночитаемым протоколом кодирования.
43. Способ по п.42, в котором сигнатуру кодируют в маркировке посредством асимметричного алгоритма шифрования.
44. Способ по п.43, в котором маркировка представляет открытый ключ в системе шифрования открытый ключ/закрытый ключ.
45. Способ по п.42, в котором маркировка является маркировкой, выполненной типографской краской, нанесенной посредством процесса печати.
46. Изделие, снабженное маркировкой в соответствии со способом по п.42.
РИСУНКИ
×n
|
|