|
|
(21), (22) Заявка: 2007122513/04, 16.11.2005
(24) Дата начала отсчета срока действия патента:
16.11.2005
(30) Конвенционный приоритет:
17.11.2004 US 10/990,621
(43) Дата публикации заявки: 27.12.2008
(46) Опубликовано: 27.03.2010
(56) Список документов, цитированных в отчете о поиске:
US 6500912 B1, 31.12.2002. US 3251708 А, 17.05.1966. US 2001051256 A1, 13.09.2001. RU 2146272 C1, 10.03.2000. RU 2170286 C1, 10.07.2001.
(85) Дата перевода заявки PCT на национальную фазу:
18.06.2007
(86) Заявка PCT:
US 2005/042167 20051116
(87) Публикация PCT:
WO 2006/088524 20060824
Адрес для переписки:
103735, Москва, ул. Ильинка, 5/2, ООО “Союзпатент”, Н.Н.Высоцкой
|
(72) Автор(ы):
САВАНТ Суреш Г. (US), РАО Чандра Б. (US), ЧАРОНСАК Сринторн (US)
(73) Патентообладатель(и):
ПРК-ДЕСОТО ИНТЕРНЭШНЛ, ИНК. (US)
|
(54) СЕЛЕКТИВНО УДАЛЯЕМЫЕ ПРОМЕЖУТОЧНЫЕ ПОКРЫТИЯ И СПОСОБ ИХ ПРИМЕНЕНИЯ
(57) Реферат:
Изобретение относится к композиции селективно удаляемого промежуточного покрытия, включающей, по крайней мере, один полиамид с концевой аминогруппой, в которой среднечисленная молекулярная масса полиамида с концевой аминогруппой составляет от 500 до 100000 Da, а также к многослойному покрытию, содержащему первое покрытие(основное покрытие); второе покрытие (верхнее покрытие); и промежуточное покрытие, расположенное между первым и вторым покрытиями, в котором промежуточное покрытие содержит, по крайней мере, один полиамид с концевой аминогруппой, которым покрывают поверхности авиационных и космических транспортных средств. Технический результат – получение композиций покрытий для облегчения селективного удаления верхнего и промежуточного покрытия смывкой без удаления основного покрытия. 5 н. и 41 з.п. ф-лы, 1 табл.
Область техники
Настоящее изобретение относится к селективно удаляемой композиции покрытия, включающей, по крайней мере, один полиамид с конечной аминогруппой, к многослойным покрытиям, включающим селективно удаляемое промежуточное покрытие, и к способам использования композиций покрытий и промежуточные покрытия для облегчения селективного удаления смежного покрытия смывкой.
Предшествующий уровень техники
Поверхности авиационных и космических транспортных средств обычно покрываются многослойными покрытиями. Например, покрытия в авиационной и космической технике могут включать антикоррозионную грунтовку, грунтовку и кроющую краску. В некоторых многослойных покрытиях также может быть использован связующий слой покрытия между любым из слоев покрытия для увеличения межслойной адгезии. Когда авиационное или космическое транспортное средство нужно перекрасить, по крайней мере, кроющую краску можно удалить перед применением новой кроющей краски. Кроющая краска может быть удалена, например, пескоструйной очисткой поверхности или может быть удалена при помощи смывки. Смывки, используемые для удаления кроющей краски, могут основываться, например, на водных растворах бензилового спирта, хлорированных растворителях, экологических смывках, или водных растворах, содержащих сурфактант.
При подготовке многослойного покрытия для перекрашивания может быть полезно удалить кроющую краску, не удаляя, по крайней мере, некоторые из нижележащих слоев покрытия. Особенно желательно не удалять грунтовку, чтобы избежать необходимости удалять грунтовку, которая может содержать ядовитые соединения, например хромат, и/или избежать необходимости повторного грунтования подложки, на которой нанесено многослойное покрытие. Для облегчения удаления слоя кроющей краски без удаления межслоевой грунтовки промежуточные покрытия могут быть использованы между кроющей краской и промежуточными слоями.
Имеется необходимость в селективно удаляемых пленкообразующих промежуточных покрытиях, которые могут быть применены с рецептурами с низким VOC (“Содержание Органических Летучих соединений”) и которые являются полезными с покрытиями, используемыми в авиации и космической промышленности.
Определения, использованные в настоящем изобретении.
Если не указано иное, все числа, выражающие количества ингредиентов, условия реакции, и т.д., используемые в детализации и формуле изобретения, следует принимать как измененные во всех случаях термином “приблизительно”. Соответственно, если не указано обратное, числовые параметры, приведенные в описании, являются приближением, которое может меняться в зависимости от достигаемых свойств.
“Алкил” относится к насыщенной или ненасыщенной, разветвленной, с прямой цепью, или циклической одновалентной углеводородной группе, полученной удалением одного атома водорода от одного атома углерода от исходного алкана, алкена или алкина. Термин “алкил” специально предназначен для включения групп, имеющих любую степень или уровень насыщенности, т.е., группы, имеющие исключительно ординарные связи углерод-углерод, группы, имеющие одну или более двойных углерод-углерод связей, группы, имеющие одно или более тройных углерод-углерод связей, и группы, имеющие сочетание ординарных, двойных и тройных связей углерод-углерод. В отдельных выполнениях алкильная группа включает от 1 до 12 атомов углерода. В других выполнениях алкильная группа включает от 1 до 6 атомов углерода.
“Алкиден” относится к насыщенной или ненасыщенной, разветвленной, с прямой цепью, или циклической двухвалентной углеводородной группе, полученной удалением двух атомов водорода от одного или двух атомов углерода от исходного алкана, алкена или алкина. Термин “алкилен” специально предназначен для включения групп, имеющих любую степень или уровень насыщенности, т.е., групп, имеющих исключительно ординарные связи углерод-углерод, группы, имеющие одну или более двойных углерод-углерод связей, группы, имеющие одну или более тройных углерод-углерод связей, и группы, имеющие сочетание ординарных, двойных и тройных связей углерод-углерод. В некоторых выполнениях алкиленовая группа содержит от 2 до 12 атомов углерода.
“Амин” относится к радикалам -NH2 и -NR’R”, где R’ и R” независимо выбраны из Н, C1-10 алкил, замещенный С1-10 алкил, С1-10 гетероалкил и замещенный C1-10 гетероалкил, как определено в описании.
“Арил” относится к одновалентной ароматической углеводородной группе, полученной удалением одного атома водорода от одного атома углерода исходного кольца ароматической системы. В некоторых выполнениях арильная группа включает от 5 до 12 атомов углерода.
“Арилен” относится к двухвалентной ароматической углеводородной группе, полученной удалением двух атомов водорода от одного или двух атомов углерода исходного кольца ароматической системы. В некоторых выполнениях ариленовая группа включает от 5 до 12 атомов углерода.
“Арилалкил” относится к ациклической алкильной группе, в которой один атом водорода, связанный с атомом углерода, обычно с концевым или sp3 атомом углерода, замещен арильной группой. В некоторых выполнениях арилалкильная группа может быть С6-24 арилалкил, например, алкильная часть арилалкильной группы может быть C1-12, и арильная часть может быть C5-12.
“Арилалкилен” относится к двухвалентной группе, полученной заменой одного из атомов водорода арильной группы с алкильной группой, или полученной заменой двух атомов водорода ароматической группы с алкильными группами. В некоторых выполнениях арилалкиленовая группа может быть С6-24 арилалкилен, например, алкильная часть или части арилалкиленовой группы могут быть С1-12 и арильная часть может быть C5-12.
“Циано”относится к радикалу -CN.
“Циклоалкил” относится к насыщенной или ненасыщенной циклической алкильной группе. В некоторых выполнениях циклоалкильная группа может быть C5-12 циклоалкил.
“Циклоалкилен” относится к насыщенной или ненасыщенной циклической алкиленовой группе. В некоторых выполнениях циклоалкиленовая группа может быть C5-12 циклоалкилен.
“Циклоалкилалкил” относится к ациклической алкильной группе, в которой один из атомов водорода, связанный с атомом углерода, обычно концевым или sp3 атомом углерода, замещен циклоалкильной группой. В некоторых выполнениях циклоалкилалкильная группа может быть С6-24 циклоалкилалкил, например, алкильная часть циклоалкилалкильной группы может быть C1-12, и циклоалкильная часть может быть C5-12.
“Циклоалкилалкилен” относится к двухвалентной группе, полученной замещением одного из атомов водорода циклоалкильной группы алкильной группой, или полученной, замещением двух атомов водорода циклической части алкана, алкена, или алкина алкильными группами. В некоторых выполнениях циклоалкилилкиленовая группа может быть С6-24 циклоалкилалкилен, например, алкильная часть или части циклоалкилалкильной группы могут быть C1-12 и циклоалкильная часть может быть C5-12.
“Галоген” относится к фторо-, хлоро-, бромо- или йодогруппе.
“Гетероалкил” относится к алкильной группе, в которой один или более атомов углерода и/или любые связанные атомы водорода каждый независимо заменен на одинаковые или различные гетероатомные группы, где алкильная группа является определяющей.
“Гетероалкилен” относится к алкиленовой группе, в которой один или более атомов углерода и/или любые связанные атомы водорода каждый независимо заменены на одинаковые или различные гетероатомные группы, где алкиленовая группа определена в описании. В некоторых выполнениях гетероарильная группа может быть получена из C2-12 алкилена.
“Гетероарил” относится к арильной группе, в которой один или более атомов углерода и/или любые связанные атомы водорода каждый независимо заменены на одинаковые или различные гетероатомные группы, где арильная группа определена в описании. В некоторых выполнениях гетероарильная группа может быть получена из C5-12 арила.
“Гетероарилен” относится к ариленовой группе, в которой один или более атомов углерода и/или любые связанные атомы водорода каждый независимо заменены на одинаковые или различные гетероатомные группы, где ариленовая группа определена в описании. В некоторых выполнениях гетероариленовая группа может быть получена из C5-12 арилена.
“Гетероарилалкил” относится к арилалкильной группе, в которой один или более атомов углерода и/или любые связанные атомы водорода каждый независимо заменены на одинаковые или различные гетероатомные группы, где арилалкильная группа определена в описании. В некоторых выполнениях гетероарилалкильная группа может быть получена из С6-24 арилалкила.
“Гетероарилалкилен” относится к арилалкиленовой группе, в которой один или более атомов углерода и/или любые связанные атомы водорода каждый независимо заменены на одинаковые или различные гетероатомные группы, где арилалкиленовая группа определена в описании. В некоторых выполнениях гетероарилалкиленовая группа может быть получена из С6-24 арилалкилена.
“Гетероатомные группы” включают, но не ограничены -O-, -S-, -N-, -Р-, -Si-, -O-O-, -S-S-, -O-S-, -NR’-, =N-N=, -N=N-, -N=N-NR’-, -PH-, -P(O)2-, -O-P(O)2-, -S(O)-, -S(O)2– и т.п., где R’ – водород, алкил, замещенный алкил, циклоалкил, замещенный циклоалкил, арил или замещенный арил.
“Гетероциклоалкил” относится к циклоалкильной группе, в которой один или более атомов углерода и/или любые связанные атомы водорода каждый независимо заменены на одинаковые или различные гетероатомные группы, где циклоалкильная определена в описании. В некоторых выполнениях гетероциклоалкильная группа может быть получена из С6-24 циклоалкила.
“Гетероциклоалкен” относится к циклоалкеновой группе, в которой один или более атомов углерода и/или любые связанные атомы водорода каждый независимо заменены на одинаковые или различные гетероатомные группы, где циклоалкеновая группа определена в описании. В некоторых выполнениях гетероциклоалкеновая группа может быть получена из С6-24 циклоалкилена.
“Гетероциклоалкилалкил” относится к циклоалкилалкильной группе, в которой один или более атомов углерода и/или любые связанные атомы водорода каждый независимо заменены на одинаковые или различные гетероатомные группы, где циклоалкилалкильная группа определена в описании. В некоторых выполнениях гетероциклоалкилалкильная группа может быть получена из С6-24 циклоалкилалкила.
“Гетероциклоалкилалкилен” относится к циклоалкилалкиленовой группе, в которой один или более атомов углерода и/или любые связанные атомы водорода каждый независимо заменены на одинаковые или различные гетероатомные группы, где циклоалкилалкиленовая группа определена в описании. В некоторых выполнениях гетероциклоалкилалкиленовая группа может быть получена из С6-24 циклоалкила.
“Замещенный” относится к группе, в которой один или более атомов водорода каждый независимо замещены одинаковыми или различными заместителем (заместителями). Примеры заместителей включают, но не ограничены галогенами, -S(O)2OH-,-S(O)2-, -СООН, NO2, -NH2, CN, C1-6 алкил, -CF3, и -COR”’, где R”’ является C1-6 алкилом.
“Сульфонил” относится к радикалу -S(O)2 группы.
Раскрытие сущности изобретения
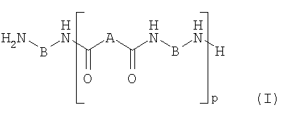
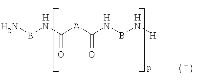
Композиции покрытия настоящего изобретения могут включать, по крайней мере, один полиамид с концевой аминогруппой. Полиамиды с концевой аминогруппой настоящего изобретения могут иметь структуру формулы (I) или формулы (II):


где каждый А независимо выбран из C2-12 алкилена, замещенного C2-12 алкилена, C2-12 гетероалкилена, замещенного C2-12 гетероалкилена, C5-12 арилена, замещенного C5-12 арилена, C5-12 гетероарилена, замещенного C5-12 гетероарилена, C5-12 циклоалкилена, замещенного C5-12 циклоалкилена, C5-12 гетероциклоалкилена, замещенного C5-12 гетероциклоалкилена, С6-24 циклоалкилалкилена, замещенного С6-24 циклоалкилалкилена, С6-24 гетероциклоалкилалкилена, замещенного С6-24 гетероциклоалкилалкилена, С6-24 арилалкилена, замещенного С6-24 арилалкилена, С6-24 гетероарилалкилена и замещенного С6-24 гетероарилалкилена;
каждый В независимо выбран из C2-12 алкилена, замещенного C2-12 алкилена, C2-12 гетероалкилена, замещенного C2-12 гетероалкилена, C5-12 арилена, замещенного C5-12 арилена, C5-10 гетероарилена, замещенного C5-12 гетероарилена, C5-12 циклоалкилена, замещенного C5-12 циклоалкилена, C5-12 гетероциклоалкилена, замещенного C5-12 гетероциклоалкилена, С6-24 циклоалкилалкилена, замещенного С6-24 циклоалкилалкилена, С6-24 гетероциклоалкилалкилена, замещенного С6-24 гетероциклоалкилалкилена, С6-24 арилалкилена, замещенного С6-24 арилалкилена, С6-24 гетероарилалкилена и замещенного С6-24 гетероарилалкилена.
В некоторых выполнениях в соединениях с формулами (I) и (II) р может быть целым числом, выбранным таким, чтобы среднечисленная молекулярная масса полиамида с концевой аминогруппой составляла от 500 до 100000 Da, в некоторых выполнениях от 500 до 25000 Da, и в некоторых выполнениях от 500 до 5000 Da.
В некоторых выполнениях в соединениях с формулами (I) и (II), каждый А может быть независимо выбран из C2-12 алкилена, замещенного C2-12 алкилена, C2-12 гетероалкилена, замещенного C2-12 гетероалкилена.
В некоторых выполнениях в соединениях с формулами (I) и (II), каждый А может быть независимо выбран из C2-12 алкилена и C2-12 гетероалкилена.
В некоторых выполнениях в соединениях с формулами (I) и (II), каждый А может быть независимо выбран из -NH-R6-NH- и -NH-R6-, где R6 выбран из C1-6 алкилена.
В некоторых выполнениях в соединениях с формулами (I) и (II), по крайней мере, одна группа-заместитель может быть выбрана из C1-6 алкил, гало, пиано, и сульфонил.
В некоторых выполнениях в соединениях с формулой (I), каждый В может быть независимо выбран из C2-12 алкилена, замещенного С2-12 алкилена, C2-12 гетероалкилена и замещенного C2-12 гетероалкилена.
В некоторых выполнениях в соединениях с формулой (I), каждый В может быть независимо выбран из C2-12 алкилена, имеющего, по крайней мере, одну C2-12 алкил группу-заместитель.
В некоторых выполнениях в соединениях с формулой (I), каждый В может быть независимо выбран из метила, замещенного C2-12 алкилена.
Полиамиды с концевой аминогруппой, использованные для получения композиций покрытий настоящего изобретения, могут быть приготовлены реакцией двухосновных мономеров, имеющих эфирную, кислотную, амидную и/или карбамоильную группы, с мономерами диаминов.
Двухосновные мономеры, используемые для получения, полиамидов с концевой аминогруппой настоящего изобретения могут иметь структуру формулы (III):

где R1 и R2 независимо выбраны из галогена, -OH, -OR3, -NH2, и -NR4R5, где R3 выбран из C1-6 алкила, замещенного C1-6 алкила, C1-6 гетероалкила, и замещенного C1-6 гетероалкила; и R4 и R5 независимо выбраны из Н, C1-10 алкила, замещенного C1-10 алкила, С1-10 гетероалкила и замещенного C1-10 гетероалкила; и А выбран из C2-12 алкилена, замещенного C2-12 алкилена, C2-12 гетероалкилена, замещенного C2-12 гетероалкилена, C5-12 арилена, замещенного C2-12 арилена, C5-12 гетероарилена, замещенного C5-12 гетероарилена, C5-12 циклоалкилена, замещенного C5-12 пиклоалкилена, C5-12 гетероциклоалкилена, замещенного C5-12 гетероциклоалкилена, С6-24 циклоалкилалкилена, замещенного С6-24 циклоалкилалкилена, С6-24 гетероциклоалкилалкилена, замещенного С6-24 гетероциклоалкилалкилена, С6-24 арилалкилена, замещенного С6-24 арилалкилена, С6-24 гетероарилалкилена и замещенного С6-24 гетероарилалкилена.
В некоторых выполнениях соединения с формулой (III) R1 и R2 представляют собой -ОН, R1 и R2 представляет собой -ОСН3, или R1 и R2 представляют собой -NH2.
В некоторых выполнениях в соединениях с формулой (III) А может быть выбран из C2-12 алкилена, замещенного C2-12 алкилена, C2-12 гетероалкилена и замещенного С2-12 гетероалкилена.
В некоторых выполнениях в соединениях с формулой (III) А может быть выбран из С2-10 алкилена и С2-10 гетероалкилена.
В некоторых выполнениях в соединениях с формулой (III) А может быть выбран из -NH-R6-NH- и -NH-R6-, где R6 выбран из C2-12 алкилена.
В некоторых выполнениях в соединениях с формулой (III), по крайней мере, одна группа-заместитель может быть выбрана из C1-6 алкил, гало, циано, и сульфонил.
В некоторых выполнениях двухосновный мономер может быть выбран из двухосновного сложного эфира, такого как диметиловые эфиры, например, диметиладипинат, диметилглутарат, диметилсукцинат и т.п. Подходящие двухосновные эфиры коммерчески доступны в DuPont.
В некоторых выполнениях двухосновный мономер может быть выбран из двухосновных кислот, например пентандиовой, адипиновой, гептандиовой, себациновой, нонандиовой кислот и т.п.
Диамины, используемые для получения полиамидов с концевой аминогруппой, настоящего изобретения имеют структуру формулы (IV):

в которой В выбран из C2-12 алкилена, замещенного C2-12 алкилена, C2-12 гетероалкилена, замещенного C2-12 гетероалкилена, C5-12 арилена, замещенного C5-12 арилена, C5-12 гетероарилена, замещенного C5-12 гетероарилена, C5-12 циклоалкилена, замещенного C5-12 циклоалкилена, C5-12 гетероциклоалкилена, замещенного C5-12 гетероциклоалкилена, С6-24 циклоалкилалкилена, замещенного С6-24 циклоалкилалкилена, С6-24 гетероциклоалкилалкилена, замещенного С6-24 гетероциклоалкилалкилена, С6-24 арилалкилена, замещенного С6-24 арилалкилена, С6-24 гетероарилалкилена и замещенного С6-24 гетероарилалкилена.
В некоторых выполнениях в соединениях с формулой (IV) В может быть выбран из С2-10 алкилена, замещенного C2-12 алкилена, C2-12 гетероалкилена, замещенного C2-10 гетероалкилена.
В некоторых выполнениях в соединениях с формулой (IV) В может быть выбран из замещенного C2-12 алкилена, имеющего, по крайней мере, одну C1-6 алкил группу-заместитель.
В некоторых выполнениях в соединениях с формулой (IV), по крайней мере, одна группа-зместитель выбрана из C1-6 алкил, гало, циано и сульфонил.
В некоторых выполнениях в соединениях с формулой (IV) мономер диамина может быть выбран из метилзамещенного C1-6 алкилдиамина, например, 2-метилпентаметилендиамин, бутан-1,3-диамин и т.п. Подходящие диамины доступны, например, в DuPont под торговой маркой DYTEK.
В некоторых выполнениях лактамы, включая циклические амиды аминокарбоновых кислот, и аналоги, имеющие ненасыщенность или замещение гетероатомами одного или большего количества атомов углерода кольца, могут реагировать с образованием полиамидов с концевой аминогруппой настоящего изобретения. В некоторых выполнениях лактамы, используемые для получения полиамидов с концевой аминогруппой настоящего изобретения, могут иметь структуру формулы (V):

где С выбран из С2-12 алкилена, замещенного C2-12 алкилена, С2-12 гетероалкилена, замещенного C2-12 гетероалкилена, С6-20 циклоалкилалкилена, замещенного С6-20 гетероциклоалкилалкилена, С6-20 арилалкилена, С6-20 гетероарилалкилена и замещенного С6-20 гетероарилалкилена.
В некоторых выполнениях в соединениях с формулой (V) С может быть выбран из C2-12 алкилена, замещенного C2-12 алкилена, C2-12 гетероалкилена, замещенного C2-12 гетероалкилена.
В некоторых выполнениях в соединениях с формулой (V) С может быть выбран из замещенного C2-12 алкилена, имеющего, по крайней мере, одну C1-6 алкил группу-заместитель.
В некоторых выполнениях в соединениях с формулой (V), по крайней мере, одна группа-заместитель выбрана из C1-6 алкил, гало, циано и сульфонил.
В некоторых выполнениях аминокислоты, пригодные для получения полиамидов с концевой аминогруппой настоящего изобретения, имеют структуру формулы (VI):

где D выбран из C2-12 алкилена, замещенного C2-12 алкилена, C2-12 гетероалкилена, замещенного C2-12 гетероалкилена, C5-12 арилена, замещенного C5-12 арилена, C5-12 гетероарилена, замещенного C5-12 гетероарилена, C5-12 циклоалкилена, замещенного C5-12 циклоалкилена, C5-12 гетероциклоалкилена, замещенного C5-12 гетероциклоалкилена, С6-24 циклоалкилалкилена, замещенного С6-24 циклоалкилалкилена, С6-24 гетероциклоалкилалкилена, замещенного С6-24 гетероциклоалкилалкилена, С6-24 арилалкилена, замещенного С6-24 арилалкилена, С6-24 гетероарилалкилена и замещенного С6-24 гетероарилалкилена
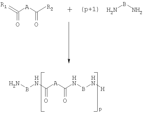
Полиамид с концевой аминогруппой настоящего изобретения может быть получен реакцией с участием одного или более мономеров. Например, полиамиды с концевой аминогруппой могут быть получены реакцией одного типа двухосновных мономеров с одним или более типами диаминов или одним или более типами лактамов. В некоторых выполнениях полиамиды с концевой аминогруппой настоящего изобретения могут включать одну или более концевых аминогрупп.
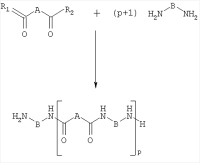
Полиамиды с концевой аминогруппой настоящего изобретения могут быть получены реакцией двухосновных мономеров с формулой (III) с мономерами с формулой (IV). Двухосновные мономеры, используемые для получения полиамидов с концевой аминогруппой настоящего изобретения, могут иметь такую же структуру или могут быть смесями различных двухосновных мономеров. Так же мономеры диаминов, используемые для получения полиамидов с концевой аминогруппой настоящего изобретения, могут иметь такую же структуру или могут быть смесями различных мономеров диаминов. Для получения полиамида с концевой аминогруппой настоящего изобретения, р молей двухосновного мономера, или смеси двухосновных мономеров, могут реагировать с р+1 молей мономера диамина или смеси мономеров диаминов. Общая реакция представлена на схеме 1:
Схема 1

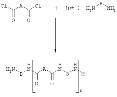
Полиамиды с концевой аминогруппой настоящего изобретения могут быть получены реакцией, по крайней мере, одного галида двухосновной кислоты, например, дихлорогалида с, по крайней мере, одним диамином, как показано на схеме 2:
Схема 2

Полиамиды с концевой аминогруппой настоящего изобретения могут быть получены реакцией, по крайней мере, одного лактама, как показано на схеме 3:
Схема 3

Полиамиды с концевой аминогруппой настоящего изобретения могут быть получены реакцией, по крайней мере, одной аминокислоты, как показано на схеме 4:
Схема 4

Отдельные мономеры, используемые для получения полиамидов с концевой аминогруппой настоящего изобретения, могут быть выбраны для получения полиамидов с концевой аминогруппой, которые растворимы, по крайней мере, в одном растворителе, так чтобы раствор полиамида с концевой аминогруппой и растворитель обладали содержанием органических летучих соединений (“VOC”) менее чем 700 г/л, и в некоторых выполнениях менее чем 600 г/л. VOC относится к количеству летучего органического растворителя в растворе или дисперсии, содержащей полиамид с концевой аминогруппой и растворитель. “Растворитель” в описании включает органические растворители, воду, вспомогательные растворители и их смеси и может, кроме того, включать солюбилизирующий и/или диспергирующий агент. В некоторых выполнениях полиамиды с концевой аминогруппой настоящего изобретения растворимы в спиртах, например 1-пропаноле, изопропаноле и этаноле, этилацетате, метилэтилкетоне, тетрагидрофуране, ксилоле, метилизобутилкетоне, ацетоне, 1-метокси-2-пропаноле, диметиладипинате, этиленгликоле, диметилформамиде, хлороформе, диацетамиде, муравьиной кислоте, мета-крезоле и/или их смеси. В некоторых выполнениях полиамиды с концевой аминогруппой настоящего изобретения могут быть растворимы в 1-пропаноле, изопропаноле, и/или этаноле. Полиамиды с концевой аминогруппой также могут быть растворимы в водных растворах, содержащих сурфактант, которые могут содержать сурфактанты, вспомогательные растворители, солюбилизирующие и/или диспергирующие агенты.
Относительные количества мономеров, используемые для получения полиамидов с концевой аминогруппой настоящего изобретения, могут быть выбраны для обеспечения среднечисленной молекулярной массы конечного полиамида с концевой аминогруппой в пределах от 500 до 100000 Da, в некоторых выполнениях от 500 до 25000 Da, и в некоторых выполнениях от 500 до 5000 Da. Характеристики распределения молекулярного веса полиамидов с концевой аминогруппой могут быть определены методами гельпроникающей хроматографии. Полиамиды с концевой аминогруппой с низким молекулярным весом могут быть растворимыми в одном или большем числе органических растворителей, таких как, например, любой из раскрытых в описании, и поэтому растворы, содержащие полиамиды с концевой аминогруппой, могу иметь более низкий VOC по сравнению со смолами с более высоким молекулярным весом.
Селективно удаляемое покрытие настоящего изобретения может содержать, по крайней мере, один полиамид с концевой аминогруппой и растворитель в качестве однофазной системы. Однофазная система может содержать полиамид с концевой аминогруппой настоящего изобретения, растворенный и/или диспергированный в растворителе. Однофазная система может дополнительно содержать добавки и/или наполнители. Содержание твердого вещества в однофазной системе может составлять от 1 до 50% по отношению к полному весу общего веса однофазной системы. Селективно удаляемое покрытие, полученное с использованием однофазной системы, может быть без сшивки или может быть сшитым.
Композиции селективно удаляемых покрытий включают, по крайней мере, один полиамид с концевой аминогруппой и, по крайней мере, один эпоксидный отверждающий агент, способный к реакции с концевой аминогруппой полиамида с концевой аминогруппой. Пригодными эпоксидными отверждающими агентами являются, например, гидантоин диэпоксид, диглицидиловые эфиры бисфенола-А, например EPON 828, коммерчески доступный в Shell Chemical, диглицидиловые эфиры эпоксида бисфенола -F, эпоксиды новолачного типа, например DEN 431, коммерчески доступный в Shell Chemical, другие эпоксидированные ненасыщенные и фенольные смолы, и их смеси. В зависимости от используемого полиамида с концевой аминогруппой, композиция покрытия может содержать от 90 до 150% стехиометрического количества (отношение амина к эпоксиду), и в некоторых выполнениях от 95 до 125% агента отверждения или смеси агентов отверждения.
Композиции покрытия настоящего изобретения могут быть приготовлены смешиванием двухкомпонентной рецептуры, в которой первый компонент включает, по крайней мере, один полиамид с концевой аминогруппой, и второй компонент включает, по крайней мере, один эпоксидный отверждающий агент, перед применением. Первый компонент может содержать полиамид с концевой аминогруппой настоящего изобретения, растворенный и/или диспергированный в растворителе или смеси растворителей, включая любой из раскрытых в описании. Первый компонент может дополнительно содержать добавки и/или наполнители. Содержание твердого вещества первого компонента может составлять от 1 до 50% по отношению к общему весу первого компонента. В некоторых выполнениях содержание твердого вещества первого компонента может меняться от 30 до 40%. Второй компонент может содержать эпоксидный отверждающий агент, растворенный и/или диспергированный в растворителе, и может дополнительно включать наполнители и/или добавки. Содержание твердого вещества второго компонента может меняться от 1 до 10% по отношению к общему весу второго компонента.
Два компонента содержатся отдельно до использования. Непосредственно перед нанесением композиции покрытия на поверхность, эти два компонента могут быть смешаны в соотношении, достаточном для получения сшитой отвержденной композиции покрытия, которая может обеспечить механическую, химическую и/или физическую целостность, соответствующую предполагаемому использованию. Соответствующее соотношение этих двух компонентов может также определяться желательным временем отверждения и стехиометрией реакционно-способных аминогрупп полиамида с концевой аминогруппой и реакционно-способных групп эпоксигрупп эпоксидного отверждающего агента. Например, в некоторых выполнениях относительные количества первого и второго компонентов, используемых для образования композиций покрытия настоящего изобретения, могут быть выбраны для обеспечения отношения полиамида с концевой аминогруппой к эпоксидному отверждающему агенту от 4:1 до 1:10. В некоторых выполнениях отношение полиамида с концевой аминогруппой к эпоксидному отверждающему агенту составляет от 4:1 до 1:1, и в некоторых выполнениях, в пределах от 2,5:1 до 1,5:1.
Композиции покрытия могут содержать, по крайней мере, один растворитель. Растворителем может быть водный растворитель, органический растворитель, вспомогательный растворитель, или их смеси. Примеры пригодных органических растворителей включают алифатические растворители, ароматические и/или алкилированные ароматические растворители, например толуол, ксилол, и SOLVESSO 100, спирты, например изопропанол, сложные эфиры, кетоны, эфиры гликолей, смешанные эфир гликолей, и их смеси. Кроме того, растворитель может содержать солюбилизирующий и/или диспергирующий агенты. Любое количество дополнительного растворителя может быть включено в композицию покрытия при необходимости для облегчения нанесения композиции покрытия на поверхность.
В некоторых выполнениях, в дополнение к растворителю, входящему в состав компонентов, содержащих концевую аминогруппу или эпоксидный отверждающий агент, растворитель может быть использован как дополнительный компонент, который смешивают с другими компонентами непосредственно перед применением.
Композиции покрытий настоящего изобретения могут содержать один или более красителей и/или пигментов для придания окраски. Композиции покрытий настоящего изобретения могут содержать металлические пигменты, неорганические пигменты, например диоксид титана, тальк, слюду, оксиды железа, оксиды свинца, оксиды хрома, хромат свинца, и/или газовую сажу. Композиции покрытий могут содержать проводящие пигменты, например проводящую газовую сажу и/или углеродные волокна. Композиции покрытий настоящего изобретения могут, кроме того, содержать другие материалы, хорошо известные в рецептурах поверхностных покрытий, например пластификаторы, сурфактанты, регуляторы текучести, увлажнители, катализаторы, агенты для регулирования и/или изменения реологических свойств композиции, тиксотропные агенты, наполнители, агенты против газовыделения, антиплесневые препараты и фунгициды, антиокислители, поглотители ультрафиолетового света, органические вспомогательные растворители, дополнительные пленкообразующие полимеры, полимерные микрочастицы, катализаторы, и/или другие обычные добавки. В некоторых выполнениях эти дополнительные растворители, пигменты, и/или добавки могут присутствовать в количестве приблизительно до 40 мас.% по отношению к общему весу твердого вещества композиции покрытия. Все эти добавки или другие добавки, стандартные в технологии, могут быть включены в первый и/или второй компонент двухфазной рецептуры.
В некоторых выполнениях композиции селективно удаляемых промежуточных покрытий настоящего изобретения могут обладать низким VOC. Например, в некоторых выполнениях композиции покрытия может иметь VOC меньше чем 700 г/л, и в некоторых выполнениях, меньше чем 600 г/л.
Композиции покрытия настоящего изобретения могут быть пленкообразующими композициями. “Пленкообразующий” относится к свойству, состоящему в том, что покрытие может образовывать самостоятельную непрерывную пленку на, по крайней мере, горизонтальной поверхности подложки после отверждения и удаления растворителя при обычной или повышенной температуре.
Композиции покрытия настоящего изобретения могут быть нанесены в качестве промежуточного покрытия между основным покрытием, также называемым в описании как основной слой, и верхним покрытием для облегчения селективного удаления верхнего покрытия смывкой. Например, композиции покрытия настоящего изобретения могут быть использованы в качестве селективно удаляемого промежуточного покрытия. “Селективно удаляемый” трактуется в описании как свойство, состоящее в том, что, когда покрытие используется, в качестве промежуточного покрытия между основным покрытием и верхним покрытием и верхнее покрытие и промежуточное покрытие могут быть удалены, когда смывка применена к верхнему покрытию, не удаляя основное покрытие. После применения смывки к внешней поверхности верхнего покрытия смывка может вызвать растворение и/или набухание и отделение промежуточного покрытия от основного покрытия. Верхнее покрытие и промежуточное покрытие затем могут быть легко удалены, например, стиранием и/или распылением растворителя или раствора, при этом смывка удаляется. После селективного удаления верхнего и промежуточного покрытий с основного покрытия, основное покрытие можно обработать и нанести один или более новых слоев покрытия. Способность отдельной композиции покрытия к селективному удалению может быть определена, например, погружая композицию покрытия в смывку на время и измеряя увеличение или потерю веса композицию покрытия. Композиции покрытия, демонстрирующие повышенную способность к селективному удалению, будут показывать большее увеличение веса после погружения в смывку.
В некоторых выполнениях основной слой покрытия может быть отвержденным грунтовочным покрытием или отвержденной грунтовкой. Основное покрытие может включать, например, амино-эпоксидную смолу, эпокси-полиамидную смолу, полиуретановую смолу, или другие композиции покрытия. Примеры грунтовочных покрытий включают компоненты на основе эпоксидных смол, отвержденных агентом отверждения с аминной функцией, например полиамид с аминной функцией и/или аралифатическим диамином и сшитый полиуретан. Грунтовочное покрытие может включать антикоррозийный пигмент, например хромат, фосфат, фосфонат или молибдат, и/или может содержать один или более других пигментов и/или наполнителей. Грунтовочное покрытие может быть применено в виде раствора или дисперсии в органическом растворителе или может быть с высоким содержанием твердой фазы или композицией без растворителя, или может быть применено в виде водной композиции. Грунтовки на амино-эпоксидной основе включают хроматные грунтовки на амино-эпоксидной основе, например DESOPRIME HS СА 7700/СА, грунтовки без хромата, например “DeSoto Military Polyamide Primer, 513,” и водные эпоксидные грунтовки без хромата, например “DeSoto Military Water-Borne Primer,” каждая из которых коммерчески доступна в PRC-DeSoto International, Inc.
В некоторых выполнениях верхнее покрытие может быть кроющей краской и может содержать полиуретановую смолу. Кроющая краска, особенно для покрытий авиационных и космических транспортных средств, может быть полиуретановой, например полиэфир-уретановой, хотя могут быть использованы другие отверждаемые покрытия, например полиэфир, фторполимер, или покрытия из акрилового полимера на основе, например, акриловых полимеров с оксазолидиновой функциональной группой. Примеры полиуретановой кроющей краски включают любую из DESOTHANE HS СА 8000 полиуретановых кроющих красок, коммерчески доступных в PRC-DeSoto Intemational, Inc. Кроющая краска может быть, например, отверждаемым покрытием, включающим два или три взаимодействующих компонента, которые обычно упаковываются отдельно и смешиваются при применении (например, распылением с двойной подачей) или незадолго перед применением. Кроющая краска может быть нанесена, например, в виде раствора в органическом растворителе, дисперсии в водном и/или органическом растворителе, или из водного раствора или дисперсии, содержащих солюбилизирующий и/или диспергирующий агенты.
Композиции покрытия настоящего изобретения могут быть использованы для получения селективно удаляемых промежуточных покрытий и селективно удаляемых многослойных покрытий. В некоторых выполнениях селективно удаляемое многослойное покрытие может быть получено последовательным нанесением отверждаемого грунтовочного покрытия на подложку, например металлическую поверхность авиационного или космического транспортного средства, отверждением грунтовочного покрытия, нанесением промежуточного покрытия, образованного, по крайней мере, из одного полиамида с концевой аминогруппой настоящего изобретения и, по крайней мере, одного эпоксидного отверждающего агента, отверждением промежуточного покрытия и нанесением и отверждением слоя кроющей краски. В некоторых выполнениях селективно удаляемое промежуточное покрытие может быть расположено между другими слоями покрытий, отличными от грунтовочного покрытия и кроющей краской. Например, многослойное покрытие может включать грунтовочное покрытие, внутренний слой покрытия, нанесенный на грунтовочное покрытие, селективно удаляемое промежуточное покрытие, нанесенное на внутренний слой покрытия, и кроющая краска, нанесенная на селективно удаляемое промежуточное покрытие. В многослойном покрытии селективно удаляемый промежуточный слой покрытия может облегчить селективное удаление кроющей краски с внутреннего слоя покрытия. Внутреннее покрытие может быть, например, покрытием для увеличения межслоевой адгезии. Многослойное покрытие может включать любое число индивидуальных слоев покрытия и один или более селективно удаляемых покрытий. В некоторых выполнениях один или более слоев покрытия могут быть нанесены под или по отдельному селективно удаляемому покрытию. В некоторых выполнениях на селективно удаляемое покрытие может быть нанесена кроющая краска.
Нижнее покрытие или грунтовка, например грунтовочное покрытие, может быть нанесено на подложку любым способом, известным квалифицированным специалистам, с последующим отверждением. Композиция селективно удаляемого покрытия настоящего изобретения может быть нанесена на грунтовочное покрытие после того, как грунтовочное покрытие становится “не клейким” или “сухим на ощупь”. Используемые в описании “не клейкий” и “сухой на ощупь” относятся к свойству, заключающемуся в том, что композиция покрытия более не является липкой при прикосновении. В некоторых выполнениях композиция селективно удаляемого покрытия может быть нанесена после частичного или полного отверждения нижнего покрытия, например грунтовочного покрытия. Время отверждения для типичных грунтовок может составлять от 2 до 24 часов. Отвержденная грунтовка может быть обработана до нанесения композиции селективно удаляемого промежуточного покрытия настоящего изобретения любым методом, способным к удалению макрочастиц и поверхностных пленок. Например, в некоторых выполнениях поверхность может быть протерта растворителем с использованием свободной от корпии ткани, сохраняющей летучий растворитель, например этанола, метанола, нафты, уайт-спирита, метилизобутил кетона, метилэтила кетона, ацетона, или других подходящих растворителей. В некоторых выполнениях может быть применен коммерчески доступный растворитель для очистки, например, DESOCLEAN 120 (PRC-DeSoto international. Inc.).
Селективно удаляемое промежуточное покрытие может быть нанесено любым соответствующим способом, зависящим, по крайней мере частично, от используемого растворителя и содержания твердого вещества. Например, селективно удаляемое промежуточное покрытие может быть нанесено кистью, распылением, окунанием, валиком, обливанием и т.п. Способы распыления включают распыление сжатым воздухом и электростатические распыление и включают ручные и автоматические способы. Низкое содержание VOC в композициях селективно удаляемых промежуточных покрытий, раскрытых в описании, делают композиции особенно пригодными для нанесения распылением.
Селективно удаляемое промежуточное покрытие может быть нанесено на любое подходящее основное покрытие, что облегчает селективное удаление кроющей краски и промежуточного покрытия с основного покрытия. В некоторых выполнениях толщина сухой пленки селективно удаляемого промежуточного покрытия может составлять от 0,05 мил до 1 мил и, в некоторых выполнениях, может составлять от 0,2 мил до 0,5 мил.
После нанесения селективно удаляемого промежуточного покрытия на поверхность или покрытие промежуточное покрытие может быть высушено. Селективно удаляемое промежуточное покрытие может быть высушено за время, достаточное для испарения растворителя и для достижения адекватных адгезионных характеристик покрытия. Адекватные адгезионные характеристики в общем достигаются, когда покрытие становится “не клейким” или “сухим на ощупь”. Время сушки отдельного селективно удаляемого промежуточного покрытия может зависеть, по крайней мере частично, от количества использованного растворителя, толщины промежуточного покрытия, давления пара растворителя, температуры, влажности и/или потока воздуха у поверхности. В некоторых выполнениях селективно удаляемое промежуточное покрытие достигает адекватных адгезионных характеристик, когда верхнее покрытие, например кроющая краска, нанесенная на селективно удаляемое промежуточное покрытие, проходит сухой и влажный адгезионный тесты. Например, селективно удаляемое промежуточное покрытие достигает адекватной адгезии, когда кроющая краска, нанесенная на промежуточный слой, проходит тест пересечения параллельных меток под 45 градусов согласно инструкции BSS 7225, после отверждения кроющей краски в течение 1 часа при комнатной температуре. В некоторых выполнениях селективно удаляемое промежуточное покрытие настоящего изобретения является сухим, когда не клейкое. В некоторых выполнениях композиция промежуточного покрытия настоящего изобретения становится сухой в течение от 2 до 24 часов после применения. Кроющая краска может быть нанесена после достижения селективно удаляемым промежуточным покрытием адекватной адгезии, что возможно, по крайней мере, через 18 часов после нанесения селективно удаляемого промежуточного покрытия. После высыхания селективно удаляемого промежуточного покрытия и достижения адекватных адгезионных характеристик, например, когда покрытие становится “не клейким” или “сухим на ощупь “, одно или более покрытий, включая, например, любое из раскрытых в описании, может быть нанесено на селективно удаляемое промежуточное покрытие.
Верхний кроющий слой может быть нанесен на промежуточное покрытие, используя любой соответствующий способ нанесения, например, раскрытый в описании. Каждый из одного или большего числа верхних слоев может быть нанесен до любой необходимой толщины сухой пленки. Например, в некоторых выполнениях толщина сухой пленки верхнее полиуретановое покрытие может составлять от 0,25 до 5 мил, в некоторых выполнениях от 0,5 до 4 мил, и в некоторых выполнениях от 0,5 до 2 мил. Верхний слой может быть отвержден согласно рекомендованным методикам, включая окружающую температуру. Время отверждения верхнего слоя может составлять, например, от 4 часов до 7 дней.
В некоторых выполнениях композиция верхнего слоя может включать отверждаемую композицию полиуретанового слоя. Представляется целесообразным, чтобы верхние слои, используемые для отделки и повторной отделки некоторых поверхностей, например, поверхности авиационных и космических транспортных средств, были твердыми, стойкими к воде и растворителям, легко наносились и/или образовывали пленки с высоким блеском. Для этих применений могут быть использованы композиции покрытия, содержащие полимер с гидроксильной функциональной группой, например полиэфир или акриловый полимер и полиизоцианат. Двухкомпонентные композиции полиуретанового покрытия могут содержать органический полиизоцианат в одном компоненте, иногда упоминаемый в описании как “изоцианатный компонент” и гидроксил-содержащий полимер, например сложный полиэфир многоатомного спирта, полиэфир многоатомного спирта или гидроксил-содержащий акриловый полимер во втором компоненте. Этот второй компонент иногда упоминается в описании как “компонент многоатомного спирта”. Эти два компонента сохраняются отдельно до непосредственного применения. После нанесения полиизоцианат и полимерный многоатомный спирт реагируют с образованием отвержденного полиуретанового покрытия. Реакция между полимером с гидроксильными функциональными группами и полиизоцианатом протекает при комнатной температуре и можно добавить катализаторы для ускорения реакции. Другие составляющие, например пигменты, растворители, катализаторы, добавки и т.п., могут быть включены в рецептуру любого из этих двух компонентов. Двухкомпонентные полиуретановые покрытия и клеи известны (см., US 4,341,689, например) и коммерчески доступны. Примером коммерчески доступной композиции двухкомпонентного полиуретанового покрытия является DESOTHANE СА 8000 (PRC-DeSoto International, Inc, Burbak, California).
Однокомпонентные полиуретановые композиции, отверждаемые во влажной среде, также могут быть использованы для получения высококачественных покрытий. Отверждаемые во влажной среде полиуретановые полимеры могут быть получены реакцией стехиометрического избытка органического полиизоцианата с полимерным многоатомным спиртом, например сложным полиэфиром многоатомного спирта, полиэфиром многоатомного спирта или гидроксилсодержащим акриловым полимером для получения полиизоцианатного полимера. Полиизоцианатный полимер может быть включен в рецептуру с растворителями, пигментами, добавками и т.п., для получения композиции покрытия. Примером коммерчески доступного отверждаемого во влажной среде полиуретанового покрытия является DESMODUR E polyisocyanate (Bayer |Corporation; Pittsburg, Pensylvania).
Одно- и двухкомпонентные композиции полиуретанового покрытия могут быть выполнены в виде рецептуры или на водной основе, или на основе органического растворителя. В некоторых выполнениях органическим растворителем может быть алифатический или ароматический углеводород, например толуол или ксилол, спирт, например бутанол или изопропанол, сложный эфир, например бутилацетат или этилацетат, кетон, например ацетон, метилизобутилкетон, или метилэтилкетон, простой эфир, неполный эфир многоатомного спирта или эфир алкоксикислоты, или смесь любого из вышеупомянутых. Композиция полиуретанового покрытия может содержать один тип полиуретанового полимера или может содержать смесь различных типов полиуретановых полимеров.
После отверждения верхнего слоя, верхний слой плотно сцепляется с промежуточным покрытием. Когда верхний слой обрабатывают смывкой, верхний слой и селективно удаляемое промежуточное покрытие набухают, за чем следует отделение селективно удаляемого промежуточного покрытия и верхнего слоя с основного покрытия, например, грунтовки. Верхний слой и селективно удаляемый промежуточный слой могут затем освободить грунтовку и могут отпасть и/или могут быть удалены, например, распылением воды низкого давления. Верхний слой и селективно удаляемый промежуточный слой могут быть удалены за временя, которое в общем составляет от 10 минут до 5 часов и обычно от 0,5 до 2 часов после применения смывки, без какого-либо удаления грунтовки. Грунтовка может набухать или изменять цвет под действием смывки краски, но может быть устойчивой к удалению с верхним слоем и будет продолжать держаться на подложке. Селективно удаляемые промежуточные покрытия настоящего изобретения облегчают удаление кроющего слоя, когда весь или только часть кроющего слоя, обработанного смывкой, могут быть удалены.
Смывки, используемые для удаления покрытий с авиационных и космических транспортных средств и в особенности полиуретановых кроющих покрытий, могут быть водными загущенными смесями бензилового спирта и муравьиной кислоты. Альтернативные смывки включают щелочной загущенный водный бензиловый спирт или смывки на основе метилен хлорида и фенола, которые, прежде всего, используются для удаления некоторых фторполимеров и акриловых кроющих слоев. Примеры коммерчески доступных смывок с бензиловьм спиртом включают Е-2012А (коммерчески доступный в СееВее Aviation Product), композиция, содержащая от 30 до 50% бензилового спирта, от 0,5 до 5% силиката натрия, от 5 до 15% анизола, и от 0,5 до 5% растворителя нафты и TURCO 1270-5 (коммерчески доступный в ELF Atochem). Смывки на основе без бензилового спирта также могут быть использованы с композициями селективно удаляемых промежуточных покрытий настоящего изобретения. Например, смывка на основе этилцеллюлозы, например, EFS-2500, коммерчески доступная в Molecular-Tech Coatings, Inc, ВС, Canada.
Адгезия многослойного покрытия, включающего, по крайней мере, один полиуретановый верхний слой и селективно удаляемое промежуточное покрытие, может быть определена любым подходящим способом. Например, адгезия может быть определена с использованием теста сухой адгезии, 7-дневным тестом адгезии во влажной среде, и/или 36-дневным тестом адгезии во влажной среде BSS 7225 (перечень вспомогательных стандартов Боинга Boeing Specification Support Standard). Тест стойкости к дождевой эрозии на вращающемся держателе (BSS 7225) также может быть использован для оценки характеристик адгезии покрытий. Стойкость многослойного покрытия к воздействию растворителей может быть определена с использованием, например, Skydrol теста определения стойкости к растворителям (BMS3-11). Вышеупомянутые способы тестирования раскрыты в описании.
ПРИМЕРЫ
Выполнения настоящего изобретения могут быть далее определены со ссылкой на следующие примеры, которые подробно описывают получение композиций и соединений настоящего изобретения и проверку использования соединений и композиций настоящего изобретения. Квалифицированным специалистам будет очевидно, что многие модификации, и в материалах и способах, могут быть осуществлены, не выходя за рамки притязаний настоящего изобретения.
Адгезионные тесты
Адгезию покрытий, межслоевых покрытий, верхних слоев и многослойных покрытий, раскрытых в описании оценивают, используя способы тестирования сухой адгезии, влажной адгезии, и стойкости к дождевой эрозии на вращающемся держателе.
Адгезию полиуретановых покрытий, раскрытых в описании, оценивают с использованием методик, описанных в BSS 7225 (перечень вспомогательных стандартов Боинга Boeing Specification Support Standard). В сухом тесте адгезии (тип I) на образцы наносят контрольные метки пишущим элементом, например, наносят две параллельные метки, на расстоянии в 1 дюйм, одну метку, пересекающую параллельные метки под углом 45±5 градусов (BSS 7225, Parallel Plus 45 Degree Scribes – Class 3). Клейкая лента, шириной в 1 дюйм, с резиновым или акриловым адгезионным слоем, с минимальной силой отрыва в 60 унций/дюйм ширины, как было проверено в соответствии с ASTM D 330, метод А, прижимают к поверхности перпендикулярно параллельным меткам, накрывая метку в 45 градусов в области между параллельными метками. Одним резким движением пленку отрывают в направлении, перпендикулярном испытуемому образцу. Проверяемая область и пленка исследуются на наличие удаленного покрытия. Покрытие, которое в ходе адгезионного теста показало отсутствие или очень незначительную потерю покрытия за метками, обозначается, в соответствии с классификациями 10 и 9, соответственно, в BSS 7225. Классификация 10 соответствует отсутствию потери краски вдоль меток, и классификация 9 соответствует очень небольшой потере краски за метками. Неудовлетворительная адгезия указана для результатов, соответствующих классификациям от 8 до 1, как определено в BSS 7225.
Адгезионный тест межслоевых и кроющих покрытий оценивают, используя процедуру, описанную в BSS 7225, влажная адгезия, метод погружения (Тип III). Испытуемые образцы погружают в дистиллированную воду или на 7 дней, или на 36 дней.
В конце указанного времени испытуемые образцы удаляют из воды, вытирают насухо, и адгезию покрытия оценивают, как описано для сухого адгезионного теста.
Адгезию межслоевых и кроющих покрытий также оценивают, используя тест устойчивости к дождевой эрозии на вращающемся держателе. Испытательные панели из алюминия 2024-ТЗ в форме изогнутой фольги с размером 3×6×0,032 дюйма предварительно обрабатывают нанесением хроматного конверсионного покрытия согласно MIL-C-5541 класс 1 А. Испытательные панели затем протирают растворителем и высушивают до нанесения покрытий. После нанесения и высушивания покрытий испытательные панели погружают в воду при 25°С на 18-24 часа до теста. В течение одного часа после удаления из воды испытательные панели закрепляют на вращающемся держателе. Образцы выдерживают при скорости 385 миль/час* и подвергают (3 in to 4 in per hour water spray)* воздействию капель воды с размером от 1 до 4 мм в течение 30 мин.
Тест считается неудачным, когда отделяется более чем 0,25 дюйма покрытия на переднем крае испытательной панели.
Skydrol тест стойкости к растворителям
Skydrol тест стойкости к растворителям проводят погружением испытательной панели с многослойным покрытием в авиационное реактивное топливо Skydrol минимум на 30 дней при 70°С. Испытательную панель с многослойным покрытием вынимают и высушивают. Затем измеряют твердость по карандашной шкале многослойного покрытия. Многослойное покрытие проходит Skydrol тест стойкости к растворителям, когда карандашная твердость, по крайней мере, равна “Н”.
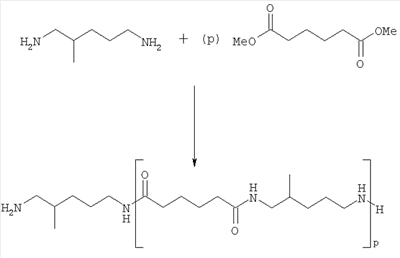
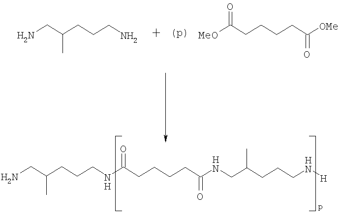
Пример 1
Полиамид с концевой аминогруппой получают реакцией диметиладипината с 2-метилпентаметилен диамином, как оказано на схеме 5:

где Me представляет метальную группу и р может быть целым числом от 3 до 17, и в отдельных выполнениях р равно 8 или 9.
33,47 грамма (28,8 ммоля) 2-метилпентаметилен диамина (DYTEK А амин, коммерчески доступный в DuPont) и 45,99 г (26,4 ммоля) диметиладипината (DBE-6, коммерчески доступный в DuPont) смешивают при температуре от 140 до 170°С в течение 3 часов. После 3 часов удаляется 15,06 г жидкости. Смесь реагирует дополнительно еще 3 часа при температуре от 180 до 210°С, при которой удалятся еще 0,2 г жидкости. Полиамид с концевой аминогруппой дегазируют и выдерживают при температуре 200-210°С 1 ч. За ходом реакции следят определением эквивалентного веса амина реакционного продукта через различные интервалы времени титрованием азота. 15 мас.% раствор полиамида с концевой аминогруппой в изопропаноле обладает вязкостью менее 1 пуаз.
Пример 2
Для получения композиции промежуточного покрытия, способного облегчить селективное удаление полиуретанового кроющего слоя с использованием смывки на основе бензилового спирта, полиамид с концевой аминогруппой примера 1 смешивают с бисфнол-А эпоксидным отверждающим агентом из двухкомпонентной системы. Дисперсию полиамида с концевой аминогруппой готовят смешением 15 мас.% полиамида с концевой аминогруппой примера 1 с 55 мас.% смеси растворителей, и 30 мас.% наполнителей для получения первого компонента. Дисперсию эпоксидного отверждающего агента готовят диспергированием 12,3 мас.% эпоксидного отверждающего агента с 87,7 мас.% смеси растворителей для получения второго компонента. Промежуточную композицию готовят смешением 10 объемов первого компонента и 1 объема второго компонента. Вязкость таким образом полученной промежуточной композиции составляет 19 сек (BMS 10-72). VOC промежуточной композиции составляет 580 г/л. Промежуточная композиция имеет пригодный срок хранения более 24 часов. После нанесения на поверхность промежуточное покрытие высыхает до состояния, обеспечивающего возможность нанесения покрытия, после приблизительно 18 ч при обычной температуре и влажности и полностью отверждается через 7 дней.
Пример 3
Очищенные абразивным материалом испытательные пластины из алюминия 2024-Т3 сначала покрывают эпоксидной грунтовкой С DESOPRME HS СА 7700/СА 7755 (коммерчески доступная в PRC-DeSoto International, Inc.) и отверждают при 50°С, по крайней мере, 6 ч. Затем слой эпоксидной грунтовки обрабатывают с использованием метилэтилкетона (“МЕК”) или DESOCLEAN120 (коммерчески доступный в PRC-DeSoto International, Inc.) для протирки. Промежуточная композиция, полученная смешением 10 объемов компонента полиамида с концевой аминогруппой, описанной в примере 2, с 1 объемом эпоксидного отверждающего агента смешивают и тщательно перемешивают. После достижения композицией покрытия формы пленки за время, по крайней мере, от 5 до 10 мин, композиция промежуточного покрытия наносится распылением на эпоксидную грунтовку до толщины сухой пленки в пределах от 0,2 до 0,25 мил. Композицию промежуточного покрытия отверждают при 25°С, по крайней мере, 18 ч. После отверждения промежуточного покрытия СА 8000 полиуретановую кроющую краску (коммерчески доступная в PRC-DeSoto International, Inc.) наносят и отверждают, по крайней мере, 7 дней до проведения испытаний на целостность, химическую стойкость и удаляемость.
Отвержденное многослойное покрытие проходит тесты сухой адгезии (BSS 7225, Pass 10), на ударную прочность (Pass, 80 прямой и обратный), на водостойкость (30 дней при 25°С (BSS 7225), Pass 9) и Skydrol стойкость (30 дней при 70°С, карандашная твердость Н, стойкость к царапанию 1,400 г).
Некоторые испытательные панели с покрытием обрабатывают смывкой на основе бензилового спирта TURCO 1270-5. После 30 минут кроющий слой и промежуточный слой набухают и отделяются от грунтовки. Затем кроющий слой, промежуточный слой и смывку удаляют смыванием водой при низком давлении, оставляя неповрежденным промежуточный слой.
Некоторые испытательные панели с покрытием обрабатывают смывкой на основе бензилового спирта Е-2012А. После 90 минут кроющий слой и промежуточный слой набухают и отделяются от грунтовки. Затем кроющий слой, промежуточный слой и смывку удаляют смыванием водой при низком давлении, оставляя неповрежденной эпоксидную грунтовку.
Пример 4
С использованием процедур, описанных в примере 3, оценивают применение композиций покрытий, описанных в примере 2, в качестве селективно удаляемого промежуточного покрытия с использованием типов грунтовок, указанных в таблице, каждая из которых коммерчески доступна в PRC-DeSoto International, Inc. Отвержденное многослойное покрытие проходит тесты сухой адгезии (BSS 7225, Pass 10), на ударную прочность (Pass, 80 прямой и обратный), на водостойкость (30 дней при 25°С (BSS 7225), Pass 9) и Skydrol стойкость (30 дней при 70°С, карандашная твердость Н, стойкость к царапанию 1,400 г). Кроющий слой и промежуточное покрытие становятся селективно удаляемыми через 30 минут после обработки смывкой на основе бензинового спирта.
Другие выполнения настоящего изобретения будут очевидны специалистам в этой области техники из рассмотрения конкретизации и осуществления настоящего изобретения. Подразумевается, что конкретизация и примеры будут рассматриваться только как демонстрационный материал, сущность и объем притязаний настоящего изобретения раскрыты в нижеследующей формуле изобретения.
Формула изобретения
1. Композиция покрытия, включающая, по крайней мере, один полиамид с концевой аминогруппой, в которой среднечисленная молекулярная масса полиамида с концевой аминогруппой составляет от 500 до 100000 Да и где, по крайней мере, один полиамид с концевой аминогруппой имеет структуру формулы (I) или формулы (II):

 где каждый А независимо выбран из C2-12 алкилена, замещенного C2-12 алкилена, C2-12 гетероалкилена, замещенного C2-12 гетероалкилена, C5-12 арилена, замещенного C5-12 арилена, C5-12 гетероарилена, замещенного C5-12 гетероарилена, C5-12 циклоалкилена, замещенного C5-12 циклоалкилена, С5-12 гетероциклоалкилена, замещенного C5-12 гетероциклоалкилена, С6-24 циклоалкилалкилена, замещенного С6-24 циклоалкилалкилена, С6-24 гетероциклоалкилалкилена, замещенного С6-24 гетероциклоалкилалкилена, С6-24 арилалкилена, замещенного С6-24 арилалкилена, С6-24 гетероарилалкилена и замещенного С6-24 гетероарилалкилена; каждый В независимо выбран из C2-12 алкилена, замещенного C2-12 алкилена, C2-12 гетероалкилена, замещенного C2-12 гетероалкилена, C5-12 арилена, замещенного C5-12 арилена, C5-12 гетероарилена, замещенного C5-12 гетероарилена, C5-12 циклоалкилена, замещенного C5-12 циклоалкилена, С5-12 гетероциклоалкилена, замещенного C5-12 гетероциклоалкилена, С6-24 циклоалкилалкилена, замещенного С6-24 циклоалкилалкилена, С6-24 гетероциклоалкилалкилена, замещенного С6-24 гетероциклоалкилалкилена, С6-24 арилалкилена, замещенного С6-24 арилалкилена, С6-24 гетероарилалкилена, и замещенного С6-24 гетероарилалкилена; и р является целым числом, выбранным так, чтобы среднечисленная молекулярная масса, по крайней мере, одного полиамида с концевой аминогруппой составляла от 500 до 100000 Да.
2. Композиция покрытия по п.1, в которой, по крайней мере, один полиамид с концевой аминогруппой получают по реакции, по крайней мере, одного мономера диамина с, по крайней мере, одним двухосновным мономером.
3. Композиция покрытия по п.2, в которой, по крайней мере, один двухосновный мономер имеет структуру формулы (III):
 где R1 и R2 независимо выбраны из галогена, -OH, -OR3, -NH2, и -NR4R5, где R3 выбран из С1-6 алкила, замещенного C1-6 алкила, C1-6 гетероалкила, и замещенного гетероалкила; и R4 и R5 независимо выбраны из Н, C1-10 алкила, замещенного С1-10 алкила, C1-10 гетероалкила, и замещенного C1-10 гетероалкила; и; А выбрано из C2-12 алкилена, замещенного C2-12 алкилена, С2-12 гетероалкилена, замещенного C2-12 гетероалкилена, C5-12 арилена, замещенного C5-12 арилена, C5-12 гетероарилена, замещенного C5-12 гетероарилена, C5-12 циклоалкилена, замещенного C5-12 циклоалкилена, С5-12 гетероциклоалкилена, замещенного C5-12 гетероциклоалкилена, С6-24 циклоалкилалкилена, замещенного С6-24 циклоалкилалкилена, С6-24 гетероциклоалкилалкилена, замещенного С6-24 гетероциклоалкилалкилена, С6-24 арилалкилена, замещенного С6-24 арилалкилена, С6-24 гетероарилалкилена, и замещенного С6-24 гетероарилалкилена.
4. Композиция покрытия по п.1 или 3, в которой каждый А независимо выбран из C2-12 алкилена, замещенного C2-12 алкилена, C2-12 гетероалкилена и замещенного C2-12 гетероалкилена.
5. Композиция покрытия по п.1 или 3, в которой каждый А независимо выбран из C2-12 алкилена и C2-12 гетероалкилена.
6. Композиция покрытия по п.1 или 3, в которой каждый А независимо выбран из -NH-R6-NH- и -NH-R6-, где R6 выбран из C1-8 алкилена.
7. Композиция покрытия по п.1 или 3, в которой, по крайней мере, одна группа-заместитель выбрана из C1-6 алкил, гало, циано и сульфонил.
8. Композиция покрытия по п.3, в которой R1 и R2 представляют собой -ОН, R1 и R2 представляют собой -ОСН3, или R1 и R2 представляют собой -NH2.
9. Композиция покрытия по п.3, в которой двухосновный мономер выбран из двухосновного сложного эфира.
10. Композиция покрытия по п.9, в которой двухосновный сложный эфир выбран из диметиладипината, диметилглутарата и диметилсукцината.
11. Композиция покрытия по п.2, в которой мономер диамина имеет структуру формулы (IV):
 где В выбран из C2-10 алкилена, замещенного C2-10 алкилена, C2-10 гетероалкилена, замещенного C2-10 гетероалкилена, С5-10 арилена, замещенного С5-10 арилена, С5-10 гетероарилена, замещенного С5-10 гетероарилена, С5-10 циклоалкилена, замещенного С5-10 циклоалкилена, С5-10 гетероциклоалкилена, замещенного С5-10 гетероциклоалкилена, С6-24 циклоалкилалкилена, замещенного С6-24 циклоалкилалкилена, С6-24 гетероциклоалкилалкилена, замещенного С6-24 гетероциклоалкилалкилена, С6-24 арилалкилена, замещенного С6-24 арилалкилена, С6-24 гетероарилалкилена и замещенного С6-24 гетероарилалкилена.
12. Композиция покрытия по одному из пп.1 или 11, в которой В независимо выбран из C2-12 алкилена, замещенного C2-12 алкилена, C2-12 гетероалкилена, замещенного C2-12 гетероалкилена.
13. Композиция покрытия по п.1 или 11, в которой В независимо выбран из С2-12 замещенного алкилена, имеющего, по крайней мере, одну С1-6 алкильную группу-заместитель.
14. Композиция покрытия по п.4, в которой, по крайней мере, один мономер диамина выбран из C2-8 алкилен диамина и замещенного C2-8 алкилен диамина.
15. Композиция покрытия по п.2, в которой, по крайней мере, один мономер диамина выбран из метилзамещенного алкилендиамина.
16. Композиция покрытия по п.2, в которой мономер диамина выбран из 2-метилпентаметилендиамина, 1,2-диамина и аминоэтилпиперазина.
17. Композиция покрытия по п.2, в которой мономером диамина является 2-метилпентаметилендиамин и мономером сложного диэфира является диметиладипинат.
18. Композиция покрытия по п.1, дополнительно содержащая, по крайней мере, один эпоксидный отверждающий агент.
19. Композиция покрытия по п.18, в которой эпоксидный отверждающий агент выбран из глицидиловых эфиров бисфенола-А, гидантоин диэпоксида, диглицидиловых эфиров бисфенола-F, эпоксидов новолачного типа и их смеси.
20. Композиция покрытия по п.1, в которой композиция покрытия дополнительно содержит, по крайней мере, один растворитель.
21. Композиция покрытия по п.20, в которой по крайней мере, один растворитель выбран из изопропанола, 1-пропанола и/или этанола.
22. Композиция покрытия по п.1, в которой композиция покрытия дополнительно содержит, по крайней мере, один из следующих ингредиентов: пигмент, наполнитель и добавку.
23. Композиция покрытия по п.1, в которой содержание твердой смолы композиции покрытия составляет от 1 до 50 мас.% по отношению к общей массе композиции покрытия.
24. Композиция покрытия по п.1, в которой содержание твердой смолы композиции покрытия составляет от 30 до 40 мас.% по отношению к общей массе композиции покрытия.
25. Композиция покрытия по п.1, в которой содержание летучего органического ингредиента композиции покрытия ниже, чем 700 г/л.
26. Многослойное покрытие, содержащее первое покрытие, второе покрытие, и промежуточное покрытие, расположенное между первым и вторым покрытиями, в котором промежуточное покрытие содержит, по крайней мере, один полиамид с концевой аминогруппой по одному из пп.1 и 2, 18 и 25.
27. Многослойное покрытие по п.26, в котором промежуточное покрытие может быть селективно удалено в присутствии смывки.
28. Многослойное покрытие по п.27, в котором смывка выбрана из смывки на основе бензилового спирта.
29. Многослойное покрытие по п.26, в котором первое покрытие выбрано из грунтовки на основе аминоэпоксидной смолы.
30. Многослойное покрытие по п.26, в котором второе покрытие выбрано из верхнего слоя на основе полиуретана.
31. Многослойное покрытие по п.26, в котором толщина сухой пленки промежуточного покрытия составляет от 1,27 до 25,4 мкм (от 0,05 до 1 мил).
32. Многослойное покрытие по п.26, в котором толщина сухой пленки промежуточного покрытия составляет от 5,08 до 12,7 мкм (от 0,2 до 0,5 мил).
33. Многослойное покрытие по п.26, в котором многослойное покрытие проходит тест стойкости к дождевой эрозии на вращающемся держателе, в соответствии с техническими условиями BSS 7225.
34. Многослойное покрытие по п.26, в котором многослойное покрытие проходит тест стойкости к дождевой эрозии на вращающемся держателе, в соответствии с техническими условиями BSS 7225, тест сухой адгезии, влажной адгезии, ударопрочности и Skydrol тест.
35. Способ получения многослойного покрытия, включающий нанесение отверждаемого первого покрытия на подложку; высушивание первого покрытия; нанесение промежуточного покрытия на первое покрытие, в котором промежуточное покрытие содержит, по крайней мере, один полиамид с концевой аминогруппой; высушивание промежуточного покрытия; и нанесение отверждаемого верхнего слоя на промежуточное покрытие.
36. Способ покрытия основного слоя отверждаемым верхним слоем, включающий: нанесение промежуточного покрытия на основной слой, в котором промежуточное покрытие содержит, по крайней мере, один полиамид с концевой аминогруппой; по крайней мере, высушивание промежуточного покрытия; нанесение верхнего слоя на промежуточное покрытие; и отверждение верхнего слоя, в котором промежуточное покрытие облегчает удаление верхнего слоя с основного слоя при помощи смывки.
37. Способ обработки подложки с отвержденным основным слоем для облегчения удаления смывкой нанесенного впоследствии верхнего слоя, включающий: нанесение промежуточного покрытия, содержащего, по крайней мере, один полиамид с концевой аминогруппой, на отвержденный основной слой.
38. Способ по одному из пп.35-37, в котором промежуточное покрытие является покрытием по одному из пп.1-18.
39. Способ по п.35, дополнительно включающий нанесение, по крайней мере, одной грунтовки на, по крайней мере, высушенное первое покрытие и, по крайней мере, высушивание одной грунтовки перед нанесением промежуточного покрытия.
40. Способ по п.35, в котором промежуточное покрытие облегчает селективное удаление верхнего слоя при нанесении смывки на верхний слой.
41. Способ по п.40, в котором смывка включает смывку на основе бензилового спирта.
42. Способ по п.35, в котором подложкой является поверхность авиационного или космического транспортного средства.
43. Способ по п.35, в котором первое покрытие выбрано из грунтовки на основе аминоэпоксидной смолы.
44. Способ по п.35, в котором, по крайней мере, один полиамид с концевой аминогруппой получается реакцией, по крайней мере, одного двухосновного мономера и, по крайней мере, одного мономера диамина.
45. Способ по п.36 или 37, в котором основное покрытие выбрано из грунтовки.
46. Способ по п.35 или 37, в котором верхним слоем является покрытие на основе полиуретана.
|
|