Патент на изобретение №2385164

Published by on




РОССИЙСКАЯ ФЕДЕРАЦИЯ



ФЕДЕРАЛЬНАЯ СЛУЖБА
ПО ИНТЕЛЛЕКТУАЛЬНОЙ СОБСТВЕННОСТИ,
ПАТЕНТАМ И ТОВАРНЫМ ЗНАКАМ
(19) RU (11) 2385164 (13) C1
(51) МПК

A61K39/395 (2006.01)
A61P19/02 (2006.01)

(12) ОПИСАНИЕ ИЗОБРЕТЕНИЯ К ПАТЕНТУ

Статус: по данным на 28.09.2010 – действует

(21), (22) Заявка: 2008138592/15, 29.09.2008

(24) Дата начала отсчета срока действия патента:

29.09.2008

(46) Опубликовано: 27.03.2010

(56) Список документов, цитированных в отчете о
поиске:
DAVID E. YOCUM. Use intravenous immunoglobulin in therapy of rheumatoid arthritis, in MARTIN L. LEE, VIBEKE STRAND. Intravenous immunoglobulin in clinical practice. 1997, pp.409-415. KANEKO Y. et al. Anti-inflammatory activity of immunoglobulin G resulting from Fc sialylation. SCIENCE, 2006, Aug. 4, 313(5787), pp.670-673. FATEH-MOGHADAM A. et al.High-dose immunoglobulin therapy in autoimmune diseases. IMMUNOL. INFECT. 1984 Apr. 12 (2), pp.129-133.

Адрес для переписки:

426057, Удмуртская республика, г.Ижевск, ул. Красноармейская, 127, 7 этаж, ООО “Новые вакцины”

(72) Автор(ы):

Меньшиков Игорь Викторович (RU),
Бедулева Любовь Викторовна (RU)

(73) Патентообладатель(и):

Общество с ограниченной ответственностью “Новые вакцины” (RU)

(54) ПРИМЕНЕНИЕ Fc-ФРАГМЕНТОВ ИММУНОГЛОБУЛИНА КЛАССА G В КАЧЕСТВЕ АНТИГЕНА ДЛЯ ЛЕЧЕНИЯ РЕВМАТОИДНОГО АРТРИТА, СРЕДСТВО И СПОСОБ ЛЕЧЕНИЯ

(57) Реферат:

Изобретение относится к медицинским технологиям, иммунологии, фармакологии и, в частности, к лекарственным средствам для лечения пациентов с ревматоидным артритом (РА) и способам их лечения, которые могут использоваться в ревматологии. Сущность изобретения включает применение Fc фрагментов иммуноглобулина класса G в качестве антигена для лечения РА, средство для лечения РА, полученное путем соединения антигена и адьюванта, и способ лечения РА на ее основе. Преимущество изобретения заключается в повышении эффекта подавления аутоиммунной реакции. 3 н. и 3 з.п. ф-лы, 4 ил.

Изобретение относится к медицинским технологиям, иммунологии, фармакологии и, в частности, к лекарственным средствам для лечения больных ревматоидным артритом (РА) и способам их лечения, которые могут использоваться в ревматологии.

Для лечения РА традиционно используют нестероидные противовоспалительные препараты, иммуносупрессанты, глюкокортикоиды. Новыми направлениями в терапии РА является использование моноклональных антител против воспалительных цитокинов [1, 2, 3]. Все эти препараты и способы лечения РА направлены на подавление реализации патогенного действия аутоантител или аутореактивных клеток – аутоиммунное воспаление, но не подавляют аутоиммунный процесс. С этим связана сравнительно невысокая их эффективность. Существенным недостатком этих препаратов является также наличие большого числа выраженных побочных эффектов и большого числа противопоказаний.

На сегодняшний день проводятся клинические испытания вакцины на основе Т-клеток для лечения PA [4]. Известен способ получения поликлональной Т-клеточной вакцины для лечения PA [5], выбранный в качестве прототипа способа, который включает в себя два этапа: на первом этапе мононуклеарные клетки больного культивируют в присутствии антигена – белков коллагена, после чего антиген-реактивные бластные Т-клетки отделяют от непрореагировавших клеток с помощью градиентного центрифугирования на перколле; на втором этапе выделенные Т-клетки наращивают посредством их неспецифической митогенной стимуляции, облучают, затем криоконсервируют. Специфичность вакцинальных Т-лимфоцитов оценивают по их антиген-индуцированному пролиферативному ответу. Схема иммунотерапии включает 4 еженедельных вакцинации с интервалом в 1 мес. Однако вакцинация проводилась на фоне базовой терапии хорошо известными препаратами (метотрексат и др.), поэтому эффективность Т-клеточной вакцинации невозможно однозначно оценить. Кроме того, несмотря на то, что данный способ известен давно, он не нашел широкого применения в клинической практике, что также может быть следствием его невысокой эффективности.

В иммунохимии известны Fc-фрагменты иммуноглобулина класса G (IgG) человека и животных, в частности, для использования в качестве антигена для получения антивидовых антител при конструировании диагностических иммуноферментных тест-систем [6]. Методы выделения и очистки Fc-фрагментов IgG известны из [7, 8]. Лекарственных средств или вакцин на основе Fc-фрагментов IgG до настоящего времени не существовало и поэтому Fc-фрагменты IgG для лечения каких-либо заболеваний не использовались.

Известно применение препаратов неспецифических иммуноглобулинов человека при аутоиммунных заболеваниях, таких как аутоиммунная тромбоцитопения, дерматомиозит [9]. Препараты неспецифических иммуноглобулинов человека являются наиболее близкими по химической природе Fc-фрагментам IgG человека. Также известно применение человеческого иммуноглобулина для внутривенного введения при лечении ревматоидного артрита, DAVID E. YOCUM, Use intravenous Immunoglobulin in therapy rheumatoid arthritis, in MARTIN L. LEE, VIBEKE STRAND, Intravenous immunoglobulin in clinical practice, 1997, pp.409-415. Указанное средство выбрано в качестве прототипа. Однако эти препараты не являются вакциной и для лечения РА не применяются ввиду их низкой эффективности при РА и вариативности результатов [9].

Технической задачей данного изобретения являлось создание средства (вакцины) и способа лечения РА на ее основе с выраженным эффектом подавления аутоиммунной реакции.

В результате научных исследований обнаружили эффект подавления продукции специфических аутоантител, инициирующих аутоиммунное воспаление при артрите, и улучшение клинических проявлений артрита при иммунизации Fc-фрагментами IgG. Обоснованием для применения Fc-фрагментов IgG в качестве антигена при лечении РА послужили проведенные нами исследования на экспериментальной модели коллаген-индуцированного артрита крыс, показавшие зависимость развития артрита от активности лимфоцитов, продуцирующих ревматоидный фактор (РФ) в ответ на воздействие индуктора артрита. Высокая активность лимфоцитов, продуцирующих РФ, ассоциировалась с устойчивостью к артриту [10]. В связи с тем что Fc-фрагменты IgG являются антигеном для лимфоцитов, продуцирующих РФ, то они могут быть использованы для стимуляции последних.

Технический результат достигается путем получения средства (вакцины) лечения ревматоидного артрита (далее – средства) на основе антигена и адъюванта (адъюванты – вещества, усиливающие иммунный ответ). В качестве антигена в составе средства (вакцины) используют Fc-фрагменты IgG человека. Например, используют Fc-фрагменты IgG человека чистотой не менее 95%, в забуференном физиологическом растворе смешивают с адъювантом до получения стойкой эмульсии, а забуференный физиологический раствор готовят из физиологического раствора и 0,15 М натрий-фосфатного буфера рН 7,2-7,4 в соотношении 9:1. В качестве адъюванта может использоваться неполный адъювант Фрейнда или Монтанид ISA-51.

Технический результат достигается в способе лечения ревматоидного артрита, включающем иммунизацию средством (вакциной), полученным путем соединения антигена и адъюванта, в дозе, достаточной для вызова иммунного ответа на антиген, при этом в качестве антигена используют Fc-фрагменты иммуноглобулина IgG.

Изобретение поясняется рисунками:

– на фиг.1 показано изменение опухоли пораженных конечностей (в баллах) у опытных и контрольных животных (m±). Стрелка показывает введение предлагаемого средства (вакцины) опытным крысам и введение НАФ контрольным крысам;

– на фиг.2 показано изменение числа пораженных конечностей у опытных и контрольных животных (m±). Стрелка показывает введение предлагаемого средства (вакцины) опытным крысам и введение НАФ контрольным крысам;

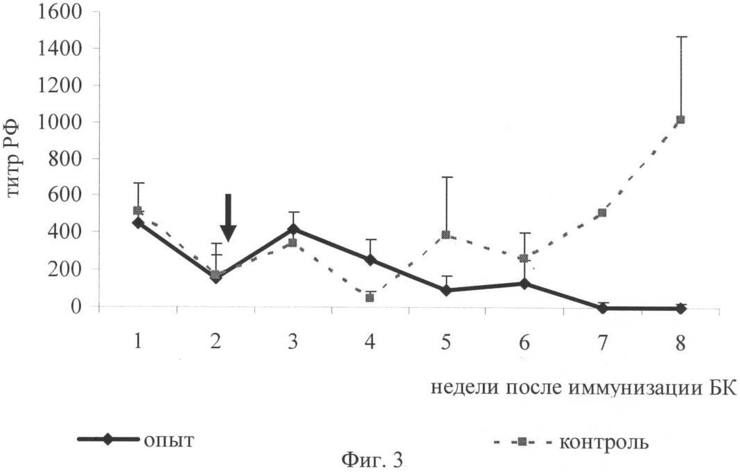
– на фиг.3 показана кинетика ревматоидного фактора в периферической крови опытных и контрольных крыс до и после введения средства (вакцины) на основе Fc-фрагментов IgG крыс, полученной, как указано в примере 1. Стрелка показывает введение предлагаемого средства;

– на фиг.4 показана кинетика аутоантител к коллагену II типа в периферической крови опытных и контрольных крыс до и после введения средства (вакцины) на основе Fc-фрагментов IgG крыс, полученной, как указано в примере 1. Стрелка показывает введение предлагаемого средства.

Техническое решение задачи осуществляли в два этапа.

1. Приготовление средства (вакцины).

Средство (вакцину) изготавливали путем соединения раствора Fc-фрагментов IgG человека с адъювантом. Способ соединения зависит от свойств используемого адьюванта. Для получения очищенных Fc-фрагментов IgG человека могут быть использованы различные методы, обеспечивающие необходимую степень чистоты и иммуногенности Fc-фрагментов IgG человека.

2. Способ лечения РА

Осуществляли путем иммунизации больных РА приготовленным средством (вакциной), при этом возможна реиммунизация. Может быть использован любой известный способ введения средства (вакцины) за исключением внутривенного. Выбор способа иммунизации зависит от иммуногенной формы средства (вакцины).

Пример 1. Средство (вакцина) на основе Fc-фрагментов IgG для крыс

Средство (вакцину) получали путем смешивания раствора Fc-фрагментов IgG крыс с концентрацией 5,6 мг/мл (чистота не менее 95% по данным электрофореза) в забуференном физиологическом растворе с неполным адъювантом Фрейнда (НАФ) фирмы Sigma до получения стойкой эмульсии, например 1:1 (или в любом соотношении, которое позволяет получить стойкую эмульсию). 1 доза средства содержала 100-500 мкг Fc-фрагментов IgG крыс. При этом использовали хорошо известный и выпускаемый промышленным путем состав адъюванта Фрейнда. Забуференный физиологический раствор состоял из 9 частей физиологического раствора и 1 части 0,15 М натрий-фосфатного буфера рН 7,2-7,4.

Пример 2. Средство (вакцина) на основе Fc-фрагментов IgG для человека

Средство (вакцину) приготовляли из Fc-фрагментов IgG человека, растворенных в забуференном физиологическом растворе, смешанных с адъювантом Монтанид ISA-51 в соотношении 1:1 (адъювант фирмы Syntex на основе водно-маслянной эмульсии, содержащий сквален, Плюнорик L121, Твин 80), также выпускаемый промышленным путем фирмой Syntex. При получении средства использовали не только стандартизованный аллогенный препарат Fc-фрагментов IgG человека, но и Fc-фрагменты IgG самого пациента – аутоантигенный препарат.

Пример 3. Способ лечения РА крыс

Крыс с коллаген-индуцированным артритом в стадии выраженных клинических проявлений артрита иммунизировали средством (вакциной), полученной согласно примеру 1. Средство вводили однократно внутрикожно и подкожно в объеме 200 мкл в дозе 100-500 мкг на крысу.

Для подтверждения эффективности предлагаемого средства (вакцины) при РА был проведен модельный эксперимент. Исследование влияния Fc-фрагментов IgG на артрит проводили на модели коллаген-индуцированного артрита крыс, который является адекватной моделью РА человека [11]. Артрит у белых крыс (m=150-180 г) вызывали введением бычьего коллагена II типа в дозе 400 мкг в составе НАФ внутрикожно. На 14 день после иммунизации бычьим коллагеном, непосредственно при появлении первых признаков артрита, крыс иммунизировали согласно примеру 3 средством, приготовленным по примеру 1. Вакцинированные животные составили группу опытных животных (n=7). Контрольную группу составили артритные крысы (n=7), которым вводили смешанный с физиологическим раствором неполный адъювант Фрейнда в эквивалентном объеме и по той же схеме, как и в опытной группе.

В течение 5 недель после введения средства (вакцины) наблюдали клиническую картину артрита по принятым в медицинской и исследовательской практике показателям, отражающим тяжесть артрита, таким как выраженность опухоли пораженных суставов и число пораженных артритом лап. Кроме того, исследовали влияние предлагаемого средства на аутоиммунные реакции при артрите, определяемое по уровню аутоантител к коллагену II типа и уровню РФ в крови. Опухоль пораженной конечности измеряли в баллах (1 балл – незначительное припухание нескольких суставов лапы, 2 балла – значительное припухание нескольких суставов лапы, 3 балла – опухание в области многих суставов лапы, 4 балла – сильная опухоль всей лапы, но животное приступает на лапу, 5 баллов – сильная опухоль лапы, животное не наступает на лапу, не передвигается).

У контрольных животных в течение двух недель после первых появлений артрита существенно усиливается опухоль лап (фиг.1), в течение первой недели после первых клинических проявлений растет число пораженных конечностей – вовлекаются новые лапы (фиг.2).

Разворачивание клинической картины (усиление опухоли пораженных суставов, вовлечение новых суставов) в течение 2 недель после первых проявлений типично для модели КИА крыс [10]. У опытных животных, получивших средство, не наблюдалось ни увеличения опухоли пораженных конечностей (фиг.1), ни вовлечения новых лап в патологический процесс (фиг.2). У опытных животных опухоль не только не усиливалась, а даже спадала через две недели после начала клинических проявлений (фиг.1) и на 3 неделю не наблюдалась, оставались небольшие утолщения в области пораженных суставов, которые в течение трех последующих недель проходили. У контрольных животных, как показано на фиг.1, опухоль лап наблюдалась длительно, в течение 5 недель после начала артрита, и спадала только на 6 неделе после начала артрита с формированием выраженных утолщений в области пораженных суставов.

Несмотря на то, что высокий показатель стандартного отклонения от средней величины числа пораженных лап (фиг.2) не позволяет судить о достоверности различий в первые две недели после введения средства (вакцины), тем не менее наблюдаемое ограничение развития артрита у вакцинированных крыс далее реализуется в достоверное различие по числу пораженных лап между животными, получившими вакцину, и контрольными. Так, на фиг.2 видно, что у животных, не получивших средство (вакцину), количество пораженных лап остается неизменным в течение 5 недель, тогда как у животных, получивших средство, через 3 недели после введения состояние всех ранее пораженных лап приходит в норму. Из этого следует, что у крыс, иммунизированных предлагаемым средством – вакциной, приготовленной, как описано в примере 1, подавляется развитие клинической картины артрита, наблюдается редукция симптомов артрита.

Для подтверждения того, что предлагаемая вакцина действует на аутоиммунную реакцию, определяли титры аутоантител: титр аутоантител к коллагену II типа и титр ревматоидного фактора. Титр аутоантител к коллагену II типа определяли в ИФА, РФ в реакции агглютинации эритроцитов, нагруженных IgG крыс (Sigma).

У опытных животных в ответ на введение средства (вакцины) происходило постепенное снижение титра РФ (фиг.3) Через 5 недель после введения предлагаемого средства (что соответствует 7 неделе после иммунизации БК) РФ в крови вакцинированных животных не определялся (фиг.3). Тогда как у животных, не получивших средство (контрольные), титр РФ постепенно нарастал и на 7 неделю после иммунизации БК составил 1:1024±451 (фиг.3).

Титр аутоантител к коллагену II типа у опытных животных в ответ на введение предлагаемого средства снижался и оставался низким в пределах от 1:100±58 до 1:267±189 весь период наблюдения и в среднем за период с 3 по 7 неделю после иммунизации БК составил 1:160±88 (фиг.4). У контрольных крыс уровень аутоантител к коллагену II типа за период наблюдения существенно колебался в пределах от 1:100±100 до 1:3200±1600, что характерно для кинетики аутоантител при артрите, и в среднем за период наблюдения с 3 по 7 неделю после иммунизации БК составил 1:1750±680. Таким образом, в ответ на введение предлагаемого средства существенно снижается как уровень РФ, так и уровень аутоантител к коллагену II типа, тогда как у контрольных животных титры данных аутоантител нарастали в течение всего периода наблюдения.

Снижение уровня аутоантител к коллагену II типа, ревматоидного фактора в ответ на введение средства подтвердило подавление аутоиммунной реакции при РА в результате иммунизации средством, содержащем Fc-фрагменты IgG и адъювант.

Общепризнано, что экспериментальная модель коллаген-индуцированного артрита у крыс является наиболее адекватной моделью развития РА у человека [11]. Однако для проведения эффективной терапии РА у человека средством на основе Fc-фрагментов IgG человека схема вакцинации (дозы, количество повторных введений, а также применяемые адъюванты) может быть индивидуальна для каждого больного ввиду тяжести протекания заболевания, стадии, способности организма к выраженному иммунному ответу на Fс-фрагменты IgG параллельно проводимой лекарственной терапии и т.д. В экспериментах на человеке применяемый неполный адъювант Фрейнда заменяется на коммерческий адъювант Montanide (Syntex, France), работающий по принципу неполного адъюванта Фрейнда, но с минимальными побочными эффектами (прежде всего воспалительными).

Таким образом, из результатов экспериментальных исследований можно сделать вывод об эффективности предлагаемых средства и способа лечения РА на ее основе для человека и животных.

Источники информации

5. Селедцов В.И., Иванова И.П., Самарин Д.М., Козлов В.А. Способ получения поликлональной т-клеточной вакцины для лечения иммунологических расстройств. Заявка на изобретение RU 2004120727/13 – прототип.

11. – С.8-11.

8. Фримель Г. Иммунологические методы. М:Медицина. 1987.

4. – 2008. – С.214-215.

Формула изобретения

1. Применение Fc-фрагментов иммуноглобулина класса G в качестве антигена для лечения ревматоидного артрита.

2. Средство для лечения ревматоидного артрита, полученное путем соединения антигена по п.1 и адъюванта.

3. Средство по п.2, характеризующееся тем, что Fc-фрагменты иммуноглобулина класса G чистотой не менее 95% в физиологическом растворе, забуференном 0,15 М натрий-фосфатным буфером рН 7,2-7,4, смешивают с адъювантом до получения стойкой эмульсии.

4. Средство по п.2, характеризующееся тем, что в качестве адъюванта используют неполный адъювант Фрейнда.

5. Средство по п.2, характеризующееся тем, что в качестве адъюванта используют Монтанид ISA-51.

6. Способ лечения ревматоидного артрита, включающий иммунизацию средством, полученным по п.2, в дозе, достаточной для вызова иммунного ответа на антиген.

РИСУНКИ

Categories: BD_2385000-2385999