|
|
(21), (22) Заявка: 2007131421/09, 11.01.2006
(24) Дата начала отсчета срока действия патента:
11.01.2006
(30) Конвенционный приоритет:
18.01.2005 US 11/049,034
(43) Дата публикации заявки: 27.02.2009
(46) Опубликовано: 20.03.2010
(56) Список документов, цитированных в отчете о поиске:
US 2004165251 А1, 26.08.2004. RU 2239857 C2, 10.11.2004. RU 2113066 C1, 10.06.1998. US 6621541 B1, 16.09.2003. US 6078109 A, 20.06.2000.
(85) Дата перевода заявки PCT на национальную фазу:
20.08.2007
(86) Заявка PCT:
US 2006/001152 20060111
(87) Публикация PCT:
WO 2006/078546 20060727
Адрес для переписки:
129090, Москва, ул. Б.Спасская, 25, стр.3, ООО “Юридическая фирма Городисский и Партнеры”, пат.пов. Ю.Д.Кузнецову, рег. 595
|
(72) Автор(ы):
МАЛВИНО Алберт П. (US)
(73) Патентообладатель(и):
РЕСЕРЧ ФРАНТИЕРС ИНК. (US)
|
(54) СПОСОБЫ И СХЕМЫ ДЛЯ РАСПРЕДЕЛЕНИЯ ЭЛЕКТРОЭНЕРГИИ В SPD-НАГРУЗКАХ
(57) Реферат:
Использование: в области электротехники. Технический результат заключается в повышении безопасности и снижении затрат при распределении электроэнергии. Управляющее напряжение, получаемое из основного источника питания, предоставляется в SPD-нагрузку посредством магистральной проводки, которая переносит низкое переменное или постоянное напряжение, получаемое из основного источника питания, и преобразующего каскада, который преобразует низкое напряжение в более высокое переменное управляющее напряжение, которое затем подается в SPD-нагрузку. 2 н. и 51 з.п. ф-лы, 8 ил.
Область техники, к которой относится изобретение
Изобретение относится к энергосберегающим и недорогим способам распределения электроэнергии в SPD-нагрузках, включающих в себя SPD-окна, SPD-экраны и другие виды модернизации окон или другие устройства, содержащие SPD-пленку.
Уровень техники
Световые клапаны для модуляции света известны уже более семидесяти лет. Принимается, что световой клапан представляет собой ячейку, сформированную из двух стенок, которые отстоят друг от друга на небольшом расстоянии, при этом, по меньшей мере, одна стенка является прозрачной, стенки имеют электроды на них, обычно в форме прозрачных электропроводных покрытий. Секция содержит элемент световой модуляции (иногда упоминаемый в данном документе как “активируемый материал”), которым может быть либо жидкая суспензия их частиц, либо пластиковая пленка, на которой распределяются капли жидкой суспензии частиц.
Жидкая суспензия (иногда упоминаемая в данном документе как “жидкая светоклапанная суспензия” или “светоклапанная суспензия”) содержит мелкие частицы анизометрической формы, взвешенные в жидкой взвеси. В отсутствие применяемого электрического поля частицы в жидкой суспензии допускают случайные позиции вследствие броуновского движения, и, как следствие, луч света, проходящей в секцию, отражается, передается или поглощается, в зависимости от структуры секции, природы и концентрации частиц и энергоемкости света. Таким образом, световой клапан является относительно затемненным в отключенном состоянии. Тем не менее, когда электрическое поле прикладывается через жидкую светоклапанную суспензию в световом клапане, частицы выстраиваются в ряд, и для многих суспензий большая часть света может проходить через секцию. Таким образом, световой клапан является относительно прозрачным во включенном состоянии. Световые клапаны типа, описанного в данном документе, также известны как “устройства на взвешенных частицах” или SPD.
Световые клапаны предложены для использования в различных вариантах применения, в том числе, к примеру, алфавитно-цифровых и графических дисплеях; телевизионных дисплеях; фильтрах для ламп, камер, оптоволокна и окон, люков в крышах автомобилей, солнцезащитных козырьках, очках, защитных очках, зеркалах и т.п., чтобы контролировать величину света, проходящего через них или отражаемого от них, в зависимости от ситуации. В данном документе используется термин “свет”, который, в общем, относится к видимому электромагнитному излучению, но где применимо, “свет” также может содержать другие типы электромагнитного излучения, такие как, но не только, инфракрасное излучение.
Для многих вариантов применения, как должны понимать специалисты в данной области техники, предпочтительно, чтобы активируемый материал, т.е. элемент световой модуляции, был пластиковой пленкой, а не жидкой суспензией. Например, в световом клапане, используемом в качестве окна с регулируемым пропусканием света, пластиковая пленка, в которой распределены капельки жидкой суспензии, предпочтительна в качестве одной жидкой суспензии, поскольку эффектов гидростатического давления, к примеру вздутия, связанного с высоким уровнем жидкой суспензии, можно избежать за счет использования пленки. А также можно избежать риска потенциальной утечки. Другое преимущество использования пластиковой пленки заключается в том, что в пластиковой пленке частицы, как правило, присутствуют только внутри очень мелких капелек и, следовательно, не скапливаются до заметных размеров, когда пленка многократно активируется с помощью напряжения.
В данном документе используются термины “SPD-пленка” и “светоклапанная пленка”, которые означают, по меньшей мере, одну пленку или лист, содержащий суспензию частиц, используемых или предназначенных для использования самих по себе или с другими компонентами как части светового клапана. Светоклапанная пленка или SPD-пленка содержит: либо (a) суспензию из частиц, диспергированных по всей непрерывной жидкой фазе, заключенную внутри одной или более жестких или гибких твердых пленок или листов, либо (b) дисперсную фазу жидкости, содержащую диспергированные частицы, при этом дисперсная фаза диспергирована по всей непрерывной фазе жесткой или гибкой твердой пленки или листа. Светоклапанная пленка или SPD-пленка также может содержать один или более других слоев, таких как, без ограничения, пленка, покрытие или лист, либо их комбинацию, которая может обеспечивать для светоклапанной пленки или SPD-пленки, например: (1) сопротивление царапанью, (2) защиту от ультрафиолетового излучения, (3) отражение инфракрасного излучения и/или (4) электропроводность для передачи применяемого электрического или магнитного поля на активируемый материал.
Патент США 5409734 приводит в качестве примера тип светоклапанной пленки, которая сформирована посредством отделения фазы от однородного раствора. Светоклапанные пленки, изготовляемые посредством сшивающих эмульсий, также известны. Их примеры описаны в патентах США 5463491 и 5463492, оба из которых назначены правопреемнику настоящего изобретения.
Патент США 6804040 B2 описывает способ и устройство для регулирования переменного напряжения, подаваемого в устройство на взвешенных частицах, далее называемое SPD.
Когда электрическое поле равно нулю, взвешенные частицы ориентированы случайно вследствие броуновского движения, и эта случайность имеет эффект уменьшения или блокирования прохождения света. При приложении электрического поля частицы выстраиваются в ряд, обычно своими продолговатыми осями параллельно электрическому полю, что позволяет проходить свету через SPD-нагрузку.
В доступных в настоящее время SPD-пленках номинальное переменное напряжение в 120 В позволяет создавать прозрачное состояние, тогда как отсутствие напряжения приводит к затемненному состоянию. Промежуточные значения напряжения создают пропускание света между прозрачным и затемненным состоянием, т.е. относительное пропускание света от 0 до 100 процентов. Точное значение допустимого напряжения, требуемого для прозрачного состояния, зависит от толщины диэлектрического слоя между проводящими слоями, диэлектрической постоянной SPD-эмульсии и природы SPD-частиц. Функция SPD-контроллера заключается в том, чтобы формировать переменное напряжение между 0 и Vmax, уровень напряжения, который формирует субъективно приемлемый уровень яркости окна в данном варианте применения. Хотя значения переменного напряжения вплоть до минимум 60 В могут быть допустимы в некоторых вариантах применения, это описание допускает действующее значение в 120 В в качестве стандартного значения для Vmax, поскольку 120 В формирует допустимое прозрачное состояние во всех современных SPD-пленках. Будущие пленки могут со временем работать с переменным напряжением вплоть до 10 В и меньше, когда пленки станут, например, тоньше и эффективнее.
Далее приводится краткое описание жидких светоклапанных суспензий, известных в данной области техники, которые применимы для формирования окон, модернизированных с помощью переключаемого остекления, хотя изобретение не ограничено использованием только таких суспензий, как и не ограничено использованием переключаемого остекления как такового, поскольку альтернативные классы устройств модуляции света (к примеру, не переключаемые устройства), как описано ниже, могут быть использованы вместо этих модернизаций переключаемых окон.
1. Жидкая взвесь и стабилизаторы
Жидкой светоклапанной суспензией для использования в изобретении может быть любая светоклапанная суспензия, известная в данной области техники, и она может изготавливаться согласно методикам, хорошо известным специалистам в данной области техники. Термин “жидкая светоклапанная суспензия”, используемый в данном документе, означает “жидкую взвесь”, в которой диспергировано множество мелких частиц. “Жидкая взвесь” содержит одну или более безводных электрически резистивных жидкостей, в которой предпочтительно растворен, по меньшей мере, один тип полимерного стабилизатора, который служит для того, чтобы уменьшать склонность частиц к тому, чтобы скапливаться, а также чтобы сохранять их диспергированными в суспензии.
Жидкие светоклапанные суспензии, используемые в настоящем изобретении, могут включать в себя любую жидкую взвесь, ранее предложенную для использования в световых клапанах для взвешивания частиц. Жидкие взвеси, известные в данной области техники, которые используются в данном документе, включают в себя, но не ограничиваются ими, жидкие взвеси, раскрытые в патентах США 4247175 и 4407565. В общем, по меньшей мере, одно из жидкой взвеси и полимерного стабилизатора, растворенного в ней, выбирается в способе, известном в данной области техники, с тем, чтобы поддерживать взвешенные частицы в гравитационном равновесии.
Полимерным стабилизатором, когда он используется, может быть один твердый полимер, который связывается с поверхностью частиц, но который также растворяется в безводной жидкости или жидкостях жидкой взвеси. Альтернативно, два или более твердых полимерных стабилизатора могут выступать в качестве системы полимерных стабилизаторов. Например, частицы могут быть покрыты первым типом твердого полимерного стабилизатора, таким как нитроцеллюлоза, которая, по сути, предоставляет плоское покрытие для частиц, после чего они могут быть повторно покрыты с помощью одного или более дополнительных типов твердого полимерного стабилизатора, который связан или объединен с первым типом твердого полимерного стабилизатора и который также растворяется в жидкой взвеси, чтобы обеспечить диспергирование и стерическую защиту частицам. Кроме того, жидкие полимерные стабилизаторы могут быть преимущественно использованы, особенно в светоклапанных SPD-пленках, как описано в патенте США 5463492.
2. Частицы
Неорганические и органические частицы могут быть заключены в светоклапанную суспензию, используемую для формирования улучшения возможности переключения для применения при модифицировании окна в соответствии с настоящим изобретением. Такие частицы могут быть либо светопоглощающими, либо светоотражающими в видимой части электромагнитного спектра. В некоторых конкретных вариантах применения частицы могут быть отражающими на инфракрасной длине волны.
Традиционные световые SPD-клапаны, как правило, использовали полигалоидные частицы коллоидного размера, т.е. частицы, которые, в общем, имеют наибольший размер, в среднем около 1 микрона и менее. Используемый в данном документе термин “коллоидный”, когда упоминается применительно к размеру частицы, должен иметь смысл, представленный в предыдущем предложении. Предпочтительно, большинство полигалоидных или других частиц, используемых или предназначенных для использования в светоклапанной суспензии SPD, используемой в соответствии с изобретением, должны иметь наибольший размер, который в среднем составляет менее половины длины волны синего цвета, т.е. менее 2000 ангстрем, чтобы поддерживать рассеяние света на очень низком уровне. Используемый в данном документе термин “анизометрический”, который относится к форме частицы, означает, что, по меньшей мере, один размер больше другого. Обычно анизометрические частицы (иногда упоминаемые как частицы, которые имеют анизометрическую форму) желательны в светоклапанной суспензии SPD, с тем чтобы частицы блокировали меньше света, когда суспензия активирована, чем когда она неактивирована. Для некоторых суспензий, тем не менее, обратное является верным. Требуемые анизометрические формы частиц включают в себя, но не ограничиваются ими, частицы в форме стержней, цилиндров, пластин, иголок, лезвий, призм и других форм, известных в данной области техники.
Подробный обзор полигалоидных частиц предшествующего уровня техники содержится в документе “The Optical Properties and Structure of Polyiodides” авторов D. A. Godina и G. P. Faerman, опубликованном в “The Journal of General Chemistry”, том 20, стр. 1005-1016 (USSR, 1950).
Герафатит, например, задан как полийодид гидросульфата хинина, и его формула представлена под названием “йодсульфат хинина” как 4C20H24N2O2·3H2SO4·2HI·I4·6H2O в The Merck Index, 10.sup.th Ed. (Merck & Co., Inc., Rahway, N.J.). Считается, что в полийодидных композициях анион йодида формирует цепочки, и композиции являются сильными поляризаторами света. См. патент США 4877313 и документ авторов Teitelbaum и др. JACS 100 (1978), стр. 3215-3217. Термин “полигалоидный” используется в данном документе, чтобы обозначать композицию, например полийодид, но в которой, по меньшей мере, часть аниона йодида может быть заменена другим анионом галоида. Позднее улучшенные полигалоидные частицы для использования в световых клапанах были предложены в Патентах США номера 4877313, 5002701, 5093041 и 5516463. Эти “полигалоидные частицы” формируются посредством вступления в реакцию органических соединений, обычно содержащих азот, с элементарным йодом и полигалоидной кислотой или галоидом аммония, галоидом щелочного металла или галоидом щелочноземельного металла.
Тем не менее, для некоторых вариантов применения может быть желательно использовать не полигалоидные частицы в светоклапанных суспензиях и пленках, особенно когда известно, что стабильность материала, составляющего частицы, отличная.
3. Источники электроэнергии
Вне зависимости от типа SPD-нагрузки, в настоящее время распространенной практикой является применение высокого переменного напряжения к SPD-нагрузке, чтобы достигать максимальной прозрачности, т.е. максимального пропускания света через SPD-пленку. Это применяемое переменное напряжение обычно составляет 120 В при 60 Гц, что делает SPD-нагрузки идеальными для использования с мощностью переменного тока, предоставляемой в США. Для тех стран, где стандартным является переменное напряжение в 240 В при 50 Гц, понижающий трансформатор 2-к-1 может быть использован для того, чтобы получить переменное напряжение в 120 В. Нет существенной разницы между 50 Гц и 60 Гц для управления SPD-нагрузкой.
Патент США 6804040 B2 описывает SPD-контроллер, способ и устройство для управления высоким переменным напряжением, предоставляемым SPD-нагрузке. По сути, он модулирует переменное напряжение в 120 В, чтобы сформировать выходной сигнал, который регулируется вручную, автоматически или посредством дистанционного управления, чтобы варьировать напряжение, прикладываемое к SPD-нагрузке, от 0 до 120 В. Нижний предел диапазона (0 В) формирует затемненное состояние, т.е. очень небольшое пропускание падающего света. Верхний предел диапазона (120 В) формирует прозрачное состояние, т.е. очень высокое пропускание падающего света. Промежуточные напряжения между 0 и 120 В формируют промежуточное прохождение света между затемненным и прозрачным состоянием.
Обращаясь сначала к фиг.1, на ней показано традиционное распределение мощности переменного тока от источника 10 к SPD-нагрузкам SPD1-SPD5 в архитектурных вариантах применения. В США напряжение сети имеет номинальное значение 120 В при 60 Гц. Хотя напряжения менее 120 В могут формировать практически прозрачные состояния для некоторых типов SPD-пленок, 120 В является идеальным вариантом в настоящее время для SPD нагрузок, поскольку он формирует полностью прозрачное состояние во всех SPD-пленках. В Европе номинальное напряжение сети равно 240 В при 50 Гц. В Европе используется понижающий трансформатор 2-к-1, чтобы получить требуемое максимальное переменное напряжение в 120 В.
На фиг.1 показано применение пяти SPD-нагрузок только в качестве иллюстрации. Фактическое число SPD-нагрузок зависит от размера архитектурной структуры, общей используемой площади окна, числа используемых отдельных SPD-контроллеров и других факторов. Несмотря на то, что далее на чертежах проиллюстрировано пять SPD-нагрузок, гораздо большее число SPD-нагрузок может присутствовать в различных вариантах осуществления изобретения. В некоторых крупных офисных зданиях могут присутствовать сотни или даже тысячи SPD-нагрузок.
Чтобы понять некоторые проблемы, связанные с распределением электроэнергии, следует обсудить требования по питанию для SPD-нагрузок. Для начала, емкость SPD-пленки может варьироваться от 40 нФ на квадратный фут (далее обозначенный sf) до 90 нФ на sf. Первая емкость характерна для типа самой затемненной доступной пленки, а вторая – для типа самой прозрачной пленки. Соответствующие значения емкостного сопротивления для вышеуказанных значений емкости составляют примерно 66 кОм/sf и 30 кОм/sf. При 120 В и 60 Гц это полное сопротивление дает ток в 1,8 мА/sf и 4 мА/sf. Эти данные обобщаются ниже для дальнейших ссылок:
Входное напряжение – 120 В при 60 Гц
40 нФ пленка – 1,8 мА/sf
90 нФ пленка на – 4 мА/sf
В качестве примера вычисления требуемого тока SPD-нагрузки допустим архитектурную структуру в 3000 квадратных футов с 20-процентной площадью окна в 600 квадратных футов с 90 нФ пленкой. В таком случае общий ток SPD-нагрузки равен:
I=(600 sf)(4 мА/sf)=2,4 A.
Если 40 нФ пленка используется вместо 90 нФ пленки, общий ток SPD понижается до:
I=(600 sf)(1,8 мА/sf)=1,08 A.
Проводка, которая проходит через структуру на фиг.1, должна соответствовать Национальным правилам по установке электрооборудования (NEC) в США. Благодаря распределению высокого переменного напряжения Национальные правила по установке электрооборудования разрешают ряд проблем, таких как предотвращение поражения электрическим током, опасности возникновения пожара и т.д. Назначение данного изобретения состоит в том, чтобы устранить некоторые из этих проблем посредством распределения электроэнергии для SPD-нагрузок более безопасным и менее затратным способом.
Сущность изобретения
Настоящее изобретение направлено на способы распределения электроэнергии в доме, офисе, автомобиле, самолете, морском судне или в любой другой структуре с одной или несколькими SPD-нагрузками в различных местоположениях в структуре. Изобретение распределяет низкое напряжение, переменного или постоянного тока, которое затем преобразуется в гораздо более высокое напряжение постоянного тока для применения к каждой SPD-нагрузке.
Настоящее изобретение предоставляет распределение электроэнергии, требуемой SPD-нагрузкам новым, экономичным и безопасным способом. Используемый здесь термин “SPD-нагрузка” включает в себя SPD-пленки, световые SPD-клапаны и все остальные SPD-продукты, которые основываются на применении электрического поля для того, чтобы управлять ориентацией взвешенных частиц.
Согласно аспекту изобретения управляющее напряжение из основного источника питания предоставляется в SPD-нагрузку посредством магистральной проводки, которая переносит низкое напряжение, получаемое из основного источника питания, и преобразующего каскада, который преобразует низкое напряжение в переменное управляющее напряжение и подает переменное управляющее напряжение в SPD-нагрузку.
В предпочтительных вариантах осуществления изобретения низкое напряжение может быть переменным напряжением в 12 В или постоянным напряжением в 12 В, к примеру, а переменное управляющее напряжение может составлять 120 В.
Преобразующий каскад может содержать один или более повышающих трансформаторов, и понижающий трансформатор может быть предусмотрен для понижения подаваемого переменного тока до низкого переменного напряжения в магистральной проводке.
Если низкое напряжение в магистральной проводке является постоянным, преобразующий каскад может содержать один или более повышающих преобразователей постоянного тока в переменный, и понижающий преобразователь постоянного тока в переменный может быть предоставлен для понижения подаваемого переменного напряжения к низкому постоянному напряжению в магистральной проводке.
В некоторых вариантах осуществления изобретения может быть множество повышающих трансформаторов или преобразователей постоянного тока в переменный, возможно, соответствующий повышающий трансформатор или преобразователь постоянного тока в переменный для каждой из SPD-нагрузок. Также может быть множество магистралей и/или множество понижающих трансформаторов или преобразователей переменного тока в постоянный, в различных конфигурациях, возможно соответствующих надлежащим SPD-нагрузкам.
В варианте осуществления, в котором SPD-нагрузки содержат окна, соответствующие повышающие трансформаторы или преобразователи постоянного тока в переменный могут быть встроены в окна.
Основной источник питания может содержать аккумулятор, который подает низкое постоянное напряжение. Зарядное устройство для аккумулятора, в свою очередь, может питаться посредством солнечного элемента.
Преимущественно, в преобразующем каскаде повышающий преобразователь постоянного тока в переменный может иметь низкую рабочую частоту фактически в 10-15 Гц или немного выше, более предпочтительно около 15 Гц, тем самым предоставляя низкий ток SPD-нагрузки без возникновения существенного мерцания.
Другие признаки и преимущества настоящего изобретения должны стать очевидными из нижеприведенного описания вариантов осуществления изобретения, которое ссылается на прилагаемые чертежи, на которых одинаковые ссылки означают одинаковые элементы и части, и лишнее дополнительное описание опускается.
Краткое описание чертежей
Фиг.1 – это схема распределения электроэнергии, как правило, используемая с несколькими SPD-нагрузками для архитектурных структур в США и других странах, использующих номинальное напряжение сети в 120 В при 60 Гц.
Фиг.2 – это схема, показывающая снижение напряжения сети со 120 В до гораздо меньшего переменного напряжения в 12 В для распределения и последующего повышения до 120 В для использования посредством SPD-нагрузок.
Фиг.3 – это схема, которая иллюстрирует преобразователь переменного тока в постоянный, который преобразует переменное напряжение в 120 В в постоянное напряжение 12 В, чтобы обеспечить возможность распределения низкого постоянного напряжения по структуре для последующего преобразования обратно к высокому переменному напряжению для SPD-нагрузок.
Фиг.4 – это схема, иллюстрирующая преобразователь переменного тока в постоянный, запитывающий несколько магистралей, распределяющих постоянное напряжение в 12 В в сотни или тысячи SPD-устройств в крупных архитектурных структурах.
Фиг.5 – это схема, иллюстрирующая несколько преобразователей переменного тока в постоянный, запитывающих одинаковое число магистралей, распределяющих 12 В в сотни или тысячи SPD-устройств в крупных архитектурных структурах.
Фиг.6 – это схема, иллюстрирующая распределение низкого постоянного напряжения, доступного от аккумуляторных источников, находящихся в автомобилях, самолетах или других структурах с аккумуляторным питанием.
Фиг.7 – это схема, иллюстрирующая распределение низкого постоянного напряжения в любом типе структуры для нескольких SPD-нагрузок с внутренними преобразователями постоянного тока в переменный и управляющими схемами.
Фиг.8 иллюстрирует SPD с питанием от солнечного элемента, использующий преобразователь постоянного тока в переменный ток очень низкой частоты.
Осуществление изобретения
Фиг.2 иллюстрирует один вариант осуществления настоящего изобретения, который преодолевает недостаток подачи переменного напряжения в 120 В в каждое местоположение SPD по всей архитектурной структуре. Понижающий преобразователь 20 10-к-1 используется для того, чтобы понижать распределяемое переменное напряжение со 120 В до 12 В. Использование коэффициента понижения 10-к-1 служит только для примера. Коэффициентом понижения может быть любой коэффициент, который понижает 120 В до любого низкого переменного напряжения. Например, понижение 20-к-1 должно привести к подаче 6 В переменного напряжения в структуре.
Как показано на фиг.2, повышающие трансформаторы 21-25 1-к-10 подключены соответственно к SPD-нагрузкам SPD1-SPD5. Эти обратные трансформаторы восстанавливают переменное напряжение до 120 В, которое затем применяется к SPD-контроллеру в этом местоположении. Таким образом, не допускается прохождение длинного привода с высоким переменным напряжением между исходным источником переменного напряжения 120 В и отдельными SPD-нагрузками. Это упрощает многие из обязательных процедур NEC установки, поскольку только низкое переменное напряжение распределяется в структуре.
Фиг.3 показывает другой вариант осуществления изобретения. Вместо распределения низкого переменного напряжения можно распределять низкое постоянное напряжение. В этом случае высокое переменное напряжение сети в 120 В сначала преобразуется в постоянное напряжение 12 В посредством преобразователя 30 переменного тока в постоянный. Это низкое постоянное напряжение затем распределяется по структуре во все местоположения SPD. В каждом местоположении SPD обратные преобразователи 31-35 постоянного тока в переменный преобразуют постоянное напряжение в 12 В в переменное напряжение в 120 В. Кроме того, использование постоянного напряжения 12 В является произвольным, поскольку изобретение может использовать любое низкое переменное напряжение, такое как 6 В, 15 В, 24 В и т.д., при условии, что обратный преобразователь постоянного тока в переменный формирует выходное переменное напряжение в 120 В или другое высокое переменное напряжение, адекватное для того, чтобы формировать прозрачное состояние в SPD-нагрузке. В некоторых вариантах применения для определенных SPD-пленок переменное напряжение в 60 В может считаться допустимым.
В этом и других вариантах осуществления дополнительное электронное оборудование (не показано), связанное с преобразователями 31-35, может модулировать выходное переменное напряжение 120 В, чтобы формировать требуемый уровень пропускания света.
В очень крупных структурах, таких как офисные здания, могут быть сотни или тысячи SPD-нагрузок. В этом случае несколько магистралей с 12-вольтовой проводкой может быть необходимо для того, чтобы ограничивать ток магистрали от преобразователя 30 переменного тока в постоянный до приемлемых уровней. Фиг.4 иллюстрирует эту идею. В этом примере каждая из 12-вольтовых магистралей 41-45 переносит ток для максимум 500 sf SPD-пленки, указанной схематично как 46. Как указывалось выше, 90 нФ пленка требует 4 мА на sf, что подразумевает общий ток SPD-нагрузки в 2 А при 120 В. Это преобразуется в постоянный ток 20 А при 12 В. Провод AWG-14 может удерживать 20 А с коэффициентом надежности более 50 процентов, поскольку провод AWG-14 рассчитан на номинальный ток 32 А.
Недостаток подхода, показанного на фиг.4, – это большой ток, который существует в проводке между преобразователем 30 переменного тока в постоянный и пятью магистралями 41-45. Поскольку каждая магистраль переносит 20 А, требование по совокупному току, исходящему из преобразователя 30 переменного тока в постоянный, должно быть 100 А. Такой большой ток должен требовать преобразователя переменного тока в постоянный большой мощности, а также очень большого диаметра провода между преобразователем переменного тока в постоянный и стыком пяти магистральных линий.
Фиг.5 иллюстрирует вариант осуществления изобретения, который упрощает требования по большому току на фиг.4. Идея на фиг.5 заключается в том, чтобы использовать несколько преобразователей 51-55 переменного тока в постоянный, по одному для каждой из магистралей 41-45, чтобы снизить выходной ток со 100 А до 20 А, значение тока магистрали.
Для неархитектурных структур, таких как автомобили, самолеты и морские судна, основным источником питания типично является аккумулятор 60, который заряжается посредством механического, электрического или солнечного способа. Фиг.6 иллюстрирует вариант осуществления изобретения, который может быть использован в системах с аккумуляторным питанием. Для удобства постоянное напряжение в 12 В является допускаемым напряжением аккумулятора, однако любое относительно низкое постоянное напряжение включено в изобретение. Кроме того, преимуществом данного способа является возможность распределять низкое постоянное напряжение по магистрали 61, что само по себе безопаснее и подчиняется менее строгим электротехническим правилам и нормам. Как и на фиг.3, повышающие преобразователи 31-35 постоянного тока в переменный предусмотрены в SPD-местоположениях SPD1-SPD5.
Поскольку ток в SPD-нагрузке самое большее составляет 4 мА/sf, преобразователи постоянного тока в переменный, используемые с SPD-нагрузками, должны предоставлять только относительно небольшие токи нагрузки. Например, 16 sf SPD-окна, использующего 90 нФ пленку, требует только 64 мА при 120 В. По этой причине преобразователи постоянного тока в переменный, используемые с SPD-нагрузками, могут конструироваться с очень небольшими физическими размерами. Более того, низкие требования по току позволяют конструировать очень эффективные небольшие модуляторы или схемы управления, которые могут изменять входное напряжение 120 В до любого значения от 0 до 120 В. Таким образом, на фиг.3, 6 и 7 небольшой повышающий преобразователь постоянного тока в переменный и небольшая схема управления могут быть осуществлены, например, внутри оконной рамы, используемой для того, чтобы содержать SPD-нагрузку.
Фиг.7 иллюстрирует вышеописанную идею. Каждое из автономных SPD-окон 71-75 имеет собственный встроенный повышающий преобразователь постоянного тока в переменный и схему управления. В этом способе только два провода, переносящих постоянный ток (не показаны), требуются в качестве входных проводов для каждого SPD-окна. Автономные окна с собственным внутренним электронным оборудованием значительно упрощают установку SPD-нагрузок в архитектурных и других структурах.
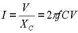
Фиг.8 иллюстрирует специальный вариант осуществления изобретения, используемый для SPD-окна 81 с питанием от солнечного элемента. В яркий солнечный день солнечные элементы 80 могут формировать примерно 20 В на квадратный фут. Поскольку солнечные элементы могут быть встроены в оконную раму (не показано), можно создавать автономное SPD-окно с питанием от солнечного элемента. Основная идея этого состоит в том, чтобы позволить солнечным элементам 80 подавать электроэнергию в зарядное устройство 82, чтобы заряжать аккумулятор 83, который затем предоставляет входную мощность в повышающий преобразователь 84 постоянного тока в переменный. Для этого достаточное число солнечных элементов должно быть встроено в оконную раму, чтобы заряжать аккумулятор, с тем, чтобы он мог предоставлять питание в пасмурные дни. То, как долго аккумулятор может предоставлять питание, определяется его емкостью в вольт-амперах и ампер-часах. В свою очередь, наиболее важным показателем при определении того, как долго аккумулятор может предоставлять питание в пасмурные дни, является ток SPD-нагрузки.
Реактивная составляющая емкостного сопротивления SPD-нагрузки задается посредством:
.
При синусоидальном напряжении ток задается посредством:
.
Это уравнение показывает, что ток SPD-нагрузки прямо пропорционален частоте. Следовательно, чтобы минимизировать потребление тока и продлить заряд аккумулятора в солнечные дни, необходимо использовать наименьшую возможную частоту.
Ограничивающим фактором снижения частоты является частота мерцания, задаваемая как частота, при которой SPD-нагрузка впервые начинает заметно мигать или мерцать. Это происходит потому, что SPD-частицы перемешиваются при отсутствии подаваемого напряжения. Поскольку любое переменное напряжение вне зависимости от его формы волны имеет переходы через нуль, из этого вытекает, что SPD-частицы пытаются перемешиваться во время переходов напряжений, которые проходят через нуль. Как описано в патенте США номер 6804040 B2, мерцание заметно в районе 10 Гц. Как рекомендовано в вышеупомянутом патенте, минимальная частота, используемая с SPD, должна составлять примерно 15 Гц, чтобы избежать мерцания. Следовательно, посредством конструирования преобразователя постоянного тока в переменный, который работает большей частью при 10-15 Гц или немного выше, а предпочтительно примерно при 15 Гц, можно снизить ток SPD-нагрузки на коэффициент 4 без возникновения заметного мерцания. Другими словами, заданный заряд аккумулятора предоставляет электроэнергию в SPD-нагрузку в четыре раза дольше при 15 Гц, чем при 60 Гц.
SPD-пленки, в настоящее время доступные для архитектурных целей, имеют постоянную времени затухания примерно 2 секунды и частоту мерцания в 10 Гц. Дополнительное усовершенствование может стать возможным в будущих SPD-пленках. Посредством увеличения вязкости, изменения размера частиц и модификации других факторов может быть возможным снижение частоты мерцания до гораздо более низкого значения. В целях иллюстрации предположим SPD-пленку с постоянной времени затухания в 20 секунд и частотой мерцания 1 Гц. Эта SPD-пленка в таком случае должна создавать приемлемое прозрачное состояние при управляющей частоте всего в 1,5 Гц. В этом случае можно сконструировать преобразователь постоянного тока в переменный, чтобы работать при 1,5 Гц, что должно означать, что ток SPD-нагрузки будет очень небольшим. Фактически данный заряд аккумулятора позволяет работать окну 40 с питанием от солнечного элемента в 40 раз дольше при 1,5 Гц, чем при 60 Гц. Для преобразователя постоянного тока в переменный на 1,5 Гц автономное окно с питанием от солнечного элемента должно быть высокоэффективным и позволять в гораздо большей степени экономить питание аккумулятора в пасмурные дни.
Каждый из патентов и других ссылок, упомянутых в данном документе, включается в настоящее подробное описание в степени, требуемой для того, чтобы понимать изобретение.
Хотя настоящее изобретение описано в отношении его конкретных вариантов осуществления, множество других вариаций и модификаций и других вариантов применения должно быть очевидным специалистам в данной области техники. Следовательно, настоящее изобретение не ограничено конкретным изложением в данном документе.
Формула изобретения
1. Устройство для предоставления управляющего напряжения из основного источника питания в одну или более SPD-нагрузок, содержащее в сочетании: магистральную проводку, которая переносит низкое напряжение, получаемое из упомянутого основного источника питания; и преобразующий каскад, который преобразует упомянутое низкое напряжение в более высокое переменное управляющее напряжение и подает упомянутое более высокое переменное управляющее напряжение в упомянутую одну или более SPD-нагрузок.
2. Устройство по п.1, в котором упомянутое низкое напряжение главным образом является переменным напряжением в 12 В.
3. Устройство по п.1, в котором упомянутое низкое напряжение главным образом является постоянным напряжением в 12 В.
4. Устройство по п.1, в котором упомянутый основной источник питания подает переменный ток, упомянутое низкое напряжение в упомянутой магистральной проводке является переменным, упомянутый преобразующий каскад содержит, по меньшей мере, один повышающий трансформатор и дополнительно содержит понижающий трансформатор, который понижает упомянутое более высокое подаваемое переменное напряжение до упомянутого низкого переменного напряжения в упомянутой магистральной проводке.
5. Устройство по п.4, в котором упомянутый преобразующий каскад содержит множество повышающих трансформаторов.
6. Устройство по п.5, в котором упомянутый преобразующий каскад содержит соответствующий повышающий трансформатор для каждой из упомянутых SPD-нагрузок.
7. Устройство по п.1, в котором упомянутый основной источник питания подает переменный ток, упомянутое низкое напряжение в упомянутой магистральной проводке является постоянным, упомянутый преобразующий каскад содержит, по меньшей мере, один повышающий преобразователь постоянного тока в переменный и дополнительно содержит понижающий преобразователь переменного тока в постоянный, который понижает упомянутое более высокое подаваемое переменное напряжение до упомянутого низкого постоянного напряжения в упомянутой магистральной проводке.
8. Устройство по п.7, в котором упомянутый преобразующий каскад содержит множество повышающих преобразователей постоянного тока в переменный.
9. Устройство по п.8, в котором упомянутый преобразующий каскад содержит соответствующий повышающий преобразователь постоянного тока в переменный для каждой из упомянутых SPD-нагрузок.
10. Устройство по п.7, в котором упомянутая магистральная проводка содержит множество магистралей, каждая из которых принимает упомянутое низкое постоянное напряжение от упомянутого понижающего преобразователя переменного тока в постоянный; упомянутый преобразующий каскад содержит множество цепей преобразователей, связанных с соответствующей одной из упомянутых SPD-нагрузок; и каждая из упомянутого множества магистралей переносит упомянутое низкое постоянное напряжение, по меньшей мере, в одну из упомянутых схем преобразователя и соответствующую упомянутую SPD-нагрузку.
11. Устройство по п.10, в котором каждая из множества упомянутых магистралей переносит упомянутое низкое постоянное напряжение в множество схем преобразователей и соответствующее множество SPD-нагрузок.
12. Устройство по п.10, содержащее множество понижающих преобразователей переменного тока в постоянный, каждый из которых питает соответствующую одну из упомянутого множества магистралей.
13. Устройство по п.12, в котором каждая из множества упомянутых магистралей переносит упомянутое низкое постоянное напряжение в множество схем преобразователей и соответствующее множество SPD-нагрузок.
14. Устройство по п.1, в котором упомянутый основной источник питания подает постоянный ток, а упомянутый преобразующий каскад содержит, по меньшей мере, один повышающий преобразователь постоянного тока в переменный, который подает упомянутое более высокое переменное управляющее напряжение, по меньшей мере, в одну упомянутую SPD-нагрузку.
15. Устройство по п.14, в котором упомянутый преобразующий каскад содержит множество повышающих преобразователей постоянного тока в переменный, которые принимают упомянутое низкое постоянное напряжение и подают упомянутое более высокое переменное управляющее напряжение в соответствующее множество упомянутых SPD-нагрузок.
16. Устройство по п.15, в котором упомянутые SPD-нагрузки содержат окна, а упомянутые соответствующие повышающие преобразователи постоянного тока в переменный встраиваются в упомянутые окна.
17. Устройство по п.14, в котором упомянутый основной источник питания содержит аккумулятор, который подает упомянутое низкое постоянное напряжение.
18. Устройство по п.17, дополнительно содержащее солнечный элемент, который питает зарядное устройство для упомянутого аккумулятора.
19. Устройство по п.17, в котором упомянутый повышающий преобразователь постоянного тока в переменный имеет рабочую частоту фактически в 10-15 Гц, тем самым предоставляя низкий ток SPD-нагрузки без возникновения существенного мерцания.
20. Устройство по п.19, в котором упомянутая рабочая частота, главным образом, составляет 15 Гц.
21. Устройство по п.17, дополнительно содержащее, по меньшей мере, один повышающий преобразователь постоянного тока в переменный, который принимает упомянутое низкое постоянное напряжение по упомянутой магистральной проводке и подает упомянутое более высокое переменное управляющее напряжение.
22. Устройство по п.21, в котором упомянутый преобразующий каскад содержит множество повышающих преобразователей постоянного тока в переменный.
23. Устройство по п.22, в котором упомянутый преобразующий каскад содержит соответствующий повышающий преобразователь постоянного тока в переменный для каждой из упомянутых SPD-нагрузок.
24. Устройство по п.14, дополнительно содержащее, по меньшей мере, один повышающий преобразователь постоянного тока в переменный, который принимает упомянутое низкое постоянное напряжение по упомянутой магистральной проводке и подает упомянутое более высокое переменное управляющее напряжение.
25. Устройство по п.24, в котором упомянутый преобразующий каскад содержит множество повышающих преобразователей постоянного тока в переменный.
26. Устройство по п.25, в котором упомянутый преобразующий каскад содержит соответствующий повышающий преобразователь постоянного тока в переменный для каждой из упомянутых SPD-нагрузок.
27. Способ предоставления управляющего напряжения из основного источника питания в одну или более SPD-нагрузок, содержащий этапы, на которых: подают низкое напряжение, получаемое из упомянутого основного источника питания, в магистральную проводку; и преобразуют упомянутое низкое напряжение в более высокое переменное управляющее напряжение и подают упомянутое более высокое переменное управляющее напряжение в упомянутую одну или более SPD-нагрузок.
28. Способ по п.27, в котором упомянутое низкое напряжение главным образом является переменным напряжением в 12 В.
29. Способ по п.27, в котором упомянутое низкое напряжение главным образом является постоянным напряжением в 12 В.
30. Способ по п.27, в котором упомянутый основной источник питания подает переменный ток, упомянутое низкое напряжение в упомянутой магистральной проводке является переменным, и дополнительно содержащий этапы, на которых используют понижающий трансформатор для того, чтобы понижать упомянутое более высокое подаваемое переменное напряжение в упомянутое низкое переменное напряжение в упомянутой магистральной проводке, и используют, по меньшей мере, один повышающий трансформатор для преобразования упомянутого низкого напряжения в упомянутое более высокое переменное управляющее напряжение.
31. Способ по п.30, в котором множество повышающих трансформаторов используется для преобразования упомянутого низкого напряжения в упомянутое переменное управляющее напряжение.
32. Способ по п.31, дополнительно содержащий этап, на котором предоставляют соответствующий повышающий трансформатор для каждой из упомянутых SPD-нагрузок.
33. Способ по п.27, в котором упомянутый основной источник питания подает переменный ток, упомянутое низкое напряжение в упомянутой магистральной проводке является постоянным, и дополнительно содержащий этапы, на которых используют понижающий преобразователь переменного тока в постоянный для того, чтобы понижать упомянутое более высокое подаваемое переменное напряжение в упомянутое низкое постоянное напряжение в упомянутой магистральной проводке, и используют, по меньшей мере, один повышающий преобразователь постоянного тока в переменный для преобразования упомянутого низкого напряжения в упомянутое более высокое переменное управляющее напряжение.
34. Способ по п.33, в котором множество повышающих преобразователей постоянного тока в переменный используется для преобразования упомянутого низкого напряжения в упомянутое более высокое переменное управляющее напряжение.
35. Способ по п.34, дополнительно содержащий этап, на котором предоставляют соответствующий повышающий преобразователь постоянного тока в переменный для каждой из упомянутых SPD-нагрузок.
36. Способ по п.33, дополнительно содержащий этапы, на которых предоставляют множество магистралей упомянутой магистральной проводки, каждая из которых принимает упомянутое низкое постоянное напряжение от упомянутого понижающего преобразователя переменного тока в постоянный; и предоставляют множество схем преобразователей, связанных с соответствующей одной из упомянутых SPD-нагрузок; при этом каждая из упомянутого множества магистралей переносит упомянутое низкое постоянное напряжение, по меньшей мере, в одну из упомянутых схем преобразователя и соответствующую упомянутую SPD-нагрузку.
37. Способ по п.36, в котором каждая из множества упомянутых магистралей переносит упомянутое низкое постоянное напряжение в множество схем преобразователей и соответствующее множество SPD-нагрузок.
38. Способ по п.36, дополнительно содержащий этап, на котором предоставляют множество понижающих преобразователей переменного тока в постоянный, каждый из которых питает соответствующую одну из упомянутого множества магистралей.
39. Способ по п.38, в котором каждая из множества упомянутых магистралей переносит упомянутое низкое постоянное напряжение в множество схем преобразователей и соответствующее множество SPD-нагрузок.
40. Способ по п.27, в котором упомянутый основной источник питания подает постоянный ток, и содержащий этап, на котором предоставляют, по меньшей мере, один повышающий преобразователь постоянного тока в переменный для подачи упомянутого более высокого переменного управляющего напряжения, по меньшей мере, в одну упомянутую SPD-нагрузку.
41. Способ по п.40, дополнительно содержащий этап, на котором предоставляют множество повышающих преобразователей постоянного тока в переменный, которые принимают упомянутое низкое постоянное напряжение и подают упомянутое более высокое переменное управляющее напряжение в соответствующее множество упомянутых SPD-нагрузок.
42. Способ по п.41, в котором упомянутые SPD-нагрузки содержат окна, и дополнительно содержащий этап, на котором встраивают упомянутые соответствующие повышающие преобразователи постоянного тока в переменный в упомянутые окна.
43. Способ по п.40, дополнительно содержащий этап, на котором предоставляют аккумулятор в качестве упомянутого основного источника питания, который подает упомянутое низкое постоянное напряжение.
44. Способ по п.43, дополнительно содержащий этап, на котором предоставляют солнечный элемент для подачи электроэнергии в упомянутое зарядное устройство упомянутого аккумулятора.
45. Способ по п.43, дополнительно содержащий этап, на котором снижают рабочую частоту упомянутого повышающего преобразователя постоянного тока в переменный, тем самым снижая ток SPD-нагрузки без возникновения существенного мерцания.
46. Способ по п.45, в котором упомянутая рабочая частота снижается до, главным образом, примерно 10-15 Гц.
47. Способ по п.46, в котором упомянутая рабочая частота снижается примерно до 15 Гц.
48. Способ по п.43, дополнительно содержащий этап, на котором предоставляют, по меньшей мере, один повышающий преобразователь постоянного тока в переменный, который принимает упомянутое низкое постоянное напряжение по упомянутой магистральной проводке и подает упомянутое более высокое переменное управляющее напряжение.
49. Способ по п.48, дополнительно содержащий этап, на котором предоставляют множество повышающих преобразователей постоянного тока в переменный для подачи упомянутого более высокое переменного управляющего напряжения.
50. Способ по п.49, содержащий этап, на котором предоставляют соответствующий повышающий преобразователь постоянного тока в переменный для каждой из упомянутых SPD-нагрузок.
51. Способ по п.40, дополнительно содержащий этап, на котором предоставляют, по меньшей мере, один повышающий преобразователь постоянного тока в переменный, который принимает упомянутое низкое постоянное напряжение по упомянутой магистральной проводке и подает упомянутое более высокое переменное управляющее напряжение.
52. Способ по п.51, дополнительно содержащий этап, на котором предоставляют множество повышающих преобразователей постоянного тока в переменный для подачи упомянутого более высокого переменного управляющего напряжения.
53. Способ по п.52, содержащий этап, на котором предоставляют соответствующий повышающий преобразователь постоянного тока в переменный для каждой из упомянутых SPD-нагрузок.
РИСУНКИ
|
|