|
|
(21), (22) Заявка: 2008117845/04, 07.05.2008
(24) Дата начала отсчета срока действия патента:
07.05.2008
(43) Дата публикации заявки: 20.11.2009
(46) Опубликовано: 20.03.2010
(56) Список документов, цитированных в отчете о поиске:
ЕА 1143 В2, 16.01.1996. US 4072680 A, 07.02.1978. US 4066643 A, 03.01.1978. US 4066645 A, 03.01.1978. WO 2007147883 A1, 27.12.2007.
Адрес для переписки:
141400, Московская обл., г. Химки, ул. Рабочая, 2-а, корп.1, ЦВТ “ХимРар”, Н.М. Шмаковой
|
(72) Автор(ы):
Иващенко Александр Васильевич (US), Кисиль Володимир Михайлович (UA), Савчук Николай Филиппович (RU), Иващенко Андрей Александрович (RU)
(73) Патентообладатель(и):
Иващенко Андрей Александрович (RU), АЛЛА ХЕМ, ЛЛС (US)
|
(54) ЗАМЕЩЕННЫЕ 2-АМИНО-3-СУЛЬФОНИЛ-ТЕТРАГИДРО-ПИРАЗОЛО[1,5-a]ПИРИДО-ПИРИМИДИНЫ – АНТАГОНИСТЫ СЕРОТОНИНОВЫХ 5-HT6 РЕЦЕПТОРОВ, СПОСОБЫ ИХ ПОЛУЧЕНИЯ И ПРИМЕНЕНИЯ
(57) Реферат:
Изобретение относится к новым антагонистам серотониновых 5-НТ6 рецепторов – замещенным 2-амино-3-сульфонил-6,7,8,9-тетрагидро-пиразоло[1,5-а]пиридо[3,4-е]пиримидинам общей формулы 1 и замещенным 2-амино-3-сульфонил-5,6,7,8-тетрагидро-пиразоло[1,5-а]пиридо[4,3-d]пиримидинам общей формулы 2 или их фармацевтически приемлемым солям и/или гидратам, способу их получения и фармацевтическим композициям, лекарственным средствам и способу лечения. Соединения могут найти применение для профилактики и лечения заболеваний центральной нервной системы, патогенез которых связан с 5-НТ6 рецепторами, в частности таких заболеваний, как когнитивные расстройства и нейродегенеративные заболевания, психические и тревожные расстройства (анксиолитическое действие), для улучшения умственных способностей (ноотропное действие). В соединениях общей формулы 1 и общей формулы 2,
 
где Ar представляет собой фенил, возможно замещенный атомами галогена, или 6-членный азотсодержащий гетероарил; R1 представляет собой атом водорода, C1-С3алкил, возможно замещенный фенилом, С1-С3алкоксикарбонил;
R2 представляет собой атом водорода, галогена или C1-С3алкил; R1 3 и R2 3 представляют собой необязательно одинаковые заместители, выбранные из атома водорода, возможно замещенного C1-С3алкила или R1 3 и R2 3 вместе с атомом азота, с которым они связаны, образуют необязательно замещенный C1-C5 алкоксикарбонилом азотсодержащий 6-членный насыщенный гетероциклил с 1-2 гетероатомами, выбранными из азота. 8 н. и 6 з.п. ф-лы, 3 табл., 18 ил.
Данное изобретение относится к новьм арилсульфонил-азагетероциклическим соединениям, к новым антагонистам серотониновых 5-НТ6 рецепторов, к новым лекарственным началам, фармацевтическим композициям, лекарственным средствам и способам их получения. Более конкретно настоящее изобретение относится к антагонистам серотониновых 5-НТ6 рецепторов – новым замещенным 2-амино-3-сульфонил-6,7,8,9-тетрагидро-пиразоло[1,5-а]пиридо[3,4-е]пиримидинам и замещенным 2-амино-3-сульфонил-5,6,7,8-тетрагидро-пиразоло[1,5-а]пиридо[4,3-d]пиримидинам, лекарственным началам и фармацевтическим композициям, содержащим лекарственные начала в виде указанных соединений, а также к способу лечения и предупреждения развития различных заболеваний центральной нервной системы (ЦНС), в том числе когнетивных расстройств и нейродегенеративных заболеваний.
В основе фармакологического эффекта новых лекарственных начал лежит их способность антагонистически взаимодействовать с серотониновыми 5-НТ6 рецепторами, играющими важную роль для лечения заболеваний ЦНС, в частности болезни Альцгеймера (БА), болезни Гантингтона, шизофрении, других нейродегенеративных заболеваний, когнетивных расстройств и ожирения.
Использование эффективных и селективных антагонистов серотониновых 5-НТ6 рецепторов для лечения заболеваний ЦНС, в частности шизофрении, БА и других нейродегенеративных заболеваний и когнетивных расстройств является перспективным направлением для получения новых лекарств [Holenz J., Pauwels P.J., Diaz J.L., Merce R., Codony X., Buschmann H. Medicinal chemistry strategies to 5-НТ6 receptor ligands as potential cognitive enhancers and antiobesity agents. Drug Disc. Today. 2006; 11:283-299]. Эти рецепторы у млекопитающих находятся исключительно в центральной нервной системе, причем, главным образом, в участках головного мозга, ответственных за обучение и память [Ge’rard С., Martres M.-P., Lefe’vre K., Miquel M.-C., Verge’ D., Lanfumey L., Doucet E., Hamon M., El Mestikawy S. Immune-localisation of serotonin 5-HT6 receptor-like material in the rat central nervous system. Brain Research. 1997; 746:207-219]. Кроме того, показано [Dawson L.A., Nguyen H.Q., Li P. The 5-HT(6) receptor antagonist SB-271046 selectively enhances excitatory neurotransmission in the rat frontal cortex and hippocampus. Neuropsychopharmacology. 2001; 25:662-668], что 5-НТ6 рецепторы являются модуляторами нескольких нейромедиаторных систем, включая холинэргическую, норадренэргическую, глутаматэргическую и допаминэргическую. Учитывая фундаментальную роль этих систем в нормальных когнитивных процессах, а также их дисфункцию при нейродегенерации, становится очевидной исключительная роль 5-НТ6 рецепторов в формировании нормальной или «патологической» памяти. В большом числе современных работ показано, что блокирование 5-НТ6 рецепторов приводит к значительному усилению консолидации памяти в различных животных моделях обучения-запоминания-воспроизведения [Foley A.G., Murphy K.J., Hirst W.D., Gallagher H.C., Hagan J.J., Upton N., Walsh F.S., Regan C.M. The 5-HT(6) receptor antagonist SB-271046 reverses scopolamine-disrupted consolidation of a passive avoidance task and ameliorates spatial task deficits in aged rats. Neuropsychopharmacology. 2004; 29:93-100. Riemer С., Borroni E., Levet-Trafit В., Martin J.R., Poli S., Porter R.H., Bos M. Influence of the 5-НТ6 receptor on acetylcholine release in the cortex: pharmacological characterization of 4-(2-bromo-6-pyrrolidin-1-ylpyridine-4-sulfonyi)phenylamine, a potent and selective 5-НТ6 receptor antagonist. J. Med. Chem. 2003; 46:1273-1276. King M.V., Woolley M.L., Topham I.A., Sleight A.J., Marsden C.A., Fone K.C. 5-НТ6 receptor antagonists reverse delay-dependent deficits in novel object discrimination by enhancing consolidation e an effect sensitive to NMDA receptor antagonism. Neuropharmacology 2004; 47:195-204]. Также показано значительное улучшение когнитивных функций у старых крыс в модели водного лабиринта Моррисона при воздействии антагонистом 5-НТ6 рецепторов [Foley A.G., Murphy K.J., Hirst W.D., Gallagher H.C., Hagan J.J., Upton N., Walsh F.S., Regan C.M. The 5-HT(6) receptor antagonist SB-271046 reverses scopolamine-disrupted consolidation of a passive avoidance task and ameliorates spatial task deficits in aged rats. Neuropsychopharmacology. 2004; 29:93-100]. В последнее время достигнуто не только более глубокое понимание роли 5-НТ6 рецепторов в когнитивных процессах, но более четкое формирование представлений о возможных фармакофорных свойствах их антагонистов [Holenz J., Pauwels P.J., Diaz J.L., Merce R., Codony X., Buschmann H. Medicinal chemistry strategies to 5-НТ6 receptor ligands as potential cognitive enhancers and antiobesity agents. Drug Disc. Today. 2006; 11:283-299]. Это привело к созданию высокоаффинных селективных лигандов («молекулярных инструментов»), а затем и клинических кандидатов. В настоящее время ряд антагонистов 5-НТ6
| Таблица 1. |
| Антагонисты 5-НТ6 рецепторов как лекарственные кандидаты. |
| Лекарство |
Клиническая фаза испытаний |
Разработчик |
Терапевтическая группа |
| DimebonTM |
Фаза III |
Medivation (USA) |
Лечение болезни Альцгеймера |
| SGS-518 |
Фаза II |
Lilly, Saegis |
Лечение когнитивных заболеваний |
| SB-742457 |
Фаза II |
GlaxoSmithKline |
Лечение болезни Альцгеймера; Антипсихотик |
| Dimebon* |
Фаза I/IIa |
Medivation (USA) |
Лечение болезни Гантингтона |
| Dimebon* |
Фаза II |
(Россия) |
Шизофрения |
| PRX-07034 |
Фаза I |
Epix Pharm. |
Лечение избыточного веса; Антипсихотик; Лечение когнитивных заболеваний |
| SB-737050A |
Фаза II |
GlaxoSmithKline |
Антипсихотик |
| BVT-74316 |
Фаза I |
Biovitrum |
Лечение избыточного веса |
| SAM-315 |
Фаза I |
Wyeth Pharm. |
Лечение болезни Альцгеймера |
| SYN-114 |
Фаза I |
Roche, Synosis Ther. |
Лечение когнитивных заболеваний |
| BGC-20-761 |
Предклиника |
BTG (London) |
Антипсихотик; Лечение когнитивных заболеваний |
| FMPO |
Предклиника |
Lilly |
Антипсихотик |
| DimebonTM |
Предклиника |
(Россия) |
Лечение инсульта |
Еще одним привлекательным свойством антагонистов 5-НТ6 рецепторов является их способность подавлять аппетит, что может привести к созданию на их основе принципиально новых средств для понижения избыточного веса и ожирения [Vicker S.P., Dourish С.Т. Serotonin receptor ligands and the treatment of obesity. Curr. Opin. Investig. Drugs. 2004; 5:377-388]. Этот эффект подтвержден во многих исследованиях [Holenz J., Pauwels P.J., Diaz J.L., Merce R., Codony X., Buschmann H. Medicinal chemistry strategies to 5-НТ6 receptor ligands as potential cognitive enhancers and antiobesity agents. Drug Disc. Today. 2006; 11:283-299. Davies S.L. Drug discovery targets: 5-НТ6 receptor. Drug Future. 2005; 30:479-495], его механизм основан на подавлении антагонистами 5-НТ6 рецепторов сигналинга гамма-аминомасляной кислоты и увеличении выброса альфа-меланоцит-стимулирующего гормона, что в конечном итоге приводит к уменьшению потребности в пище [Woolley M.L. 5-НТ6 receptors. Curr. Drug Targets CNS Neurol. Disord. 2004; 3:59-79]. В настоящее время два антагониста 5-НТ6
В этой связи поиск селективных и эффективных антагонистов серотониновых 5-НТ6 рецепторов представляется оригинальным и перспективным подходом к созданию новых лекарственных средств для лечения широкого круга неврологических и нейродегенеративных заболеваний и когнетивных расстройств.
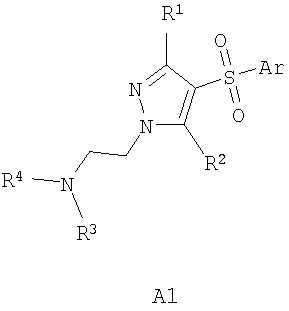
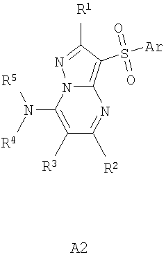
В литературе имеется значительное число публикаций, посвященных различным биологически активным сульфонилпроизводным азагетероциклов, в том числе лигандам серотониновых рецепторов. Так, например, известны замещенные 1-(2-аминоэтил)-4-арилсульфонил-пиразолы общей формулы А1, как лиганды серотониновых 5-HT2c рецепторов [WO 2003057674 А1], и 7-амино-3-сульфонил-пиразоло[1,5-а]пиримидины А2, как антагонисты серотониновых 5-НТ6 рецепторов [ЕР 941994 А1, 1999],
 
А1: Ar = алкил, арил; R1 и R2=H, ОН, алкил, алкокси; R3 и R4=H, алкил, арил.
А2: Ar = арил, гетероциклил; R1=H, алкил, алкилтио; R2=H, алкил, галоген; R3=H, алкил, гидроксиалкил; R4 и R5=H; NR4R5 = пиперазинил.
С целью разработки новых высокоэффективных нейропротекторных лекарственных средств авторами данного изобретения выполнены широкие исследования в ряду замещенных 3-сульфонил-пиразоло[1,5-а]пиримидинов, в результате которых найдены новые лекарственные начала, представляющие собой антагонисты 5-НТ6 рецепторов.
Ниже приведены определения терминов, которые использованы в описании этого изобретения:
«Агонисты» означают лиганды, которые, связываясь с рецепторами данного типа, активно способствуют передаче этими рецепторами свойственного им специфического сигнала и тем самым вызывают биологический ответ клетки.
«Азагетероцикл» означает ароматическую или неароматическую моноциклическую или полициклическую систему, содержащую в цикле, по крайней мере, один атом азота. Азагетероцикл может иметь один или более «заместителей циклической системы».
«Алкил» означает алифатическую углеводородную линейную или разветвленную группу с 1-12 атомами углерода в цепи. Разветвленная означает, что алкильная цепь имеет один или несколько «низших алкильных» заместителей. Алкил может иметь один или несколько одинаковых или различных заместителей («алкильных заместителей»), включая галоген, алкенилокси, циклоалкил, арил, гетероарил, гетероциклил, ароил, циано, гидрокси, алкокси, карбокси, алкинилокси, аралкокси, арилокси, арилоксикарбонил, алкилтио, гетероарилтио, аралкилтио, арилсульфонил, алкилсульфонил, гетероаралкилокси, аннелированный гетероарилциклоалкенил, аннелированный гетероарилциклоалкил, аннелированный гетероарилгетероцикленил, аннелированный гетероарилгетероциклил, аннелированный арилциклоалкенил, аннелированный арилциклоалкил, аннелированный арилгетероцикленил, аннелированный арилгетероциклил, алкоксикарбонил, аралкоксикарбонил, гетероаралкилоксикарбонил или Rk aRk+1 aN-, Rk aRk+1 aNC(=O)-, Rk aRk+1 aNC(=S)-, Rk aRk+1 aNSO2-, где Rk a и Rk+1 a независимо друг от друга представляют собой «заместители аминогруппы», значение которых определено в данном разделе, например атом водорода, алкил, арил, аралкил, гетероаралкил, гетероциклил или гетероарил, или Rk a и Rk+1 a вместе с атомом N, с которым они связаны, образуют через Rk a и Rk+1 a 4-7-членный гетероциклил или гетеоцикленил. Предпочтительными алкильными группами являются метил, трифторметил, циклопропилметил, циклопентилметил, этил, н-пропил, изо-пропил, н-бутил, трет-бутил, н-пентил, 3-пентил, метоксиэтил, карбоксиметил, метоксикарбонилметил, этоксикарбонилметил, бензилоксикарбонилметил, метоксикарбонилметил и пиридилметилоксикарбонилметил. Предпочтительными «алкильными заместителями» являются циклоалкил, арил, гетероарил, гетероциклил, гидрокси, алкокси, алкоксикарбонил, аралкокси, арилокси, алкилтио, гетероарилтио, аралкилтио, алкилсульфонил, арилсульфонил, алкоксикарбонил, аралкоксикарбонил, гетероаралкилоксикарбонил или Rk aRk+1 aN-, Rk aRk+1 aNC(=O)-, аннелированный арилгетероцикленил, аннелированный арилгетероциклил.
«Алкилокси» означает алкил-O- группу, в которой алкил определен в данном разделе. Предпочтительным алкилокси группами являются метокси, этокси, н-пропокси, изо-пропокси и н-бутокси.
«Алкилоксикарбонил» означает алкил-O-С(=O)- группу, в которой алкил определен в данном разделе. Предпочтительными алкоксикарбонильными группами являются метоксикарбонил, этоксикарбонил и трет-бутилоксикарбонил.
«Аминогруппа» означает Rk aRk+1 aN – группу, замещенную или незамещенную «заместителем аминогруппы» Rk a и Rk+1 a, значение которых определено в данном разделе, например амино (H2N-), метиламино, диэтиламино, пирролидино, морфолино, бензиламино или фенетиламино.
«Антагонисты» означают лиганды, которые связываются с рецепторами определенного типа и не вызывают активного клеточного ответа. Антагонисты препятствуют связыванию агонистов с рецепторами и тем самым блокируют передачу специфического рецепторного сигнала.
«Арил» означает ароматическую моноциклическую или полициклическую систему, включающую от 6 до 14 атомов углерода, преимуществено от 6 до 10 атомов углерода.
Арил может содержать один или более «заместителей циклической системы», которые могут быть одинаковыми или разными. Представителями арильных групп являются фенил или нафтил, замещенный фенил или замещенный нафтил. Арил может быть аннелирован с неароматической циклической системой или гетероциклом.
«Арилсульфонил» означает арил-SO2– группу, в которой арил определен в данном разделе.
«Ацил» означает Н-С(=O)- или алкил-С(=O)-, циклоалкил-С(=O)-, гетероциклил-С(=O)-, гетероциклилалкил-С(=O)-, арил-С(=O)- арилалкил-С(=O)-, гетероарил-С(=O)-, гетероарилалкил-С(=O)- группу, в которых алкил-, циклоалкил-, гетероциклил-, гетероциклилалкил, арил-, арилалкил, гетероарил-, гетероарилалкил определены в данном разделе.
«Ациламино» означает ацил-NH- группу, в которой значение ацил определено в данном разделе.
«Галоген» означает фтор, хлор, бром и йод. Предпочтительными являются фтор, хлор и бром.
«Гетероарил» означает ароматическую моноциклическую или полициклическую систему, включающую от 5 до 14 атомов углерода, предпочтительно от 5 до 10, в которой один или больше атомов углерода замещены гетероатомом или гетероатомами, такими как азот, сера или кислород. Приставка «аза», «окса» или «тиа» перед «гетероарил» означает наличие в циклической системе атома азота, атома кислорода или атома серы, соответственно. Атом азота, находящийся в гетероариле, может быть окисленным до N-оксида. Гетероарил может иметь один или несколько «заместителей циклической системы», которые могут быть одинаковыми или разными. Представителями гетероарилов являются пирролил, фуранил, тиенил, пиридил, пиразинил, пиримидинил, изооксазолил, изотиазолил, тетразолил, охазолил, тиазолил, пиразолил, фуразанил, триазолил, 1,2,4-тиадиазолил, пиридазинил, хиноксалинил, фталазинил, имидазо[1,2-а]пиридинил, имидазо[2,1-b]тиазолил, бензофуразанил, индолил, азаиндолил, бензимидазолил, бензотиазенил, хинолинил, имидазолил, тиенопиридил, хиназолинил, тиенопиримидинил, пирролопиридинил, имидазопиридилил, изохинолинил, бензоазаиндолил, 1,2,4-триазинил, тиенопирролил, фуропирролил и др.
«Гетероциклил» означает ароматическую или неароматическую насыщенную моноциклическую или полициклическую систему, включающую от 3 до 10 атомов углерода, преимущественно от 5 до 6 атомов углерода, в которой один или несколько атомов углерода заменены на гетероатом, такой как азот, кислород, сера. Приставка «аза», «окса» или «тиа» перед гетероциклилом означает наличие в циклической системе атома азота, атома кислорода или атома серы соответственно. Гетероциклил может иметь один или несколько «заместителей циклической системы», которые могут быть одинаковыми или разными. Атомы азота и серы, находящиеся в гетероциклиле, могут быть окисленными до N-оксида, S-оксида или S-диоксида. Представителями гетероциклилов являются пиперидин, пирролидин, пиперазин, морфолин, тиоморфолин, тиазолидин, 1,4-диоксан, тетрагидрофуран, тетрагидротиофен и др.
«Гидрат» означает сольват, в котором вода является молекулой или молекулами растворителя.
«Заместитель аминогруппы» означает заместитель, присоединенный к аминогруппе. Заместитель аминогруппы представляет собой водород, алкил, циклоалкил, арил, гетероарил, гетероциклил, ацил, ароил, алкилсульфонил, арилсульфонил, гетероарилсульфонил, алкиламинокарбонил, ариламинокарбонил, гетероариламинокарбонил, гетероциклиламинокарбонил, алкиламинотиокарбонил, ариламинотиокарбонил, гетероариламинотиокарбонил, гетероциклиламинотиокарбонил, аннелированный гетероарилциклоалкенил, аннелированный гетероарилциклоалкил, аннелированный гетероарилгетероцикленил, аннелированный гетероарилгетероциклил, аннелированный арилциклоалкенил, аннелированный арилциклоалкил, аннелированный арилгетероцикленил, аннелированный арилгетероциклил, алкоксикарбонилалкил, аралкоксикарбонилалкил, гетероаралкилоксикарбонилалкил. Значение «заместителей аминогруппы» определено в данном разделе.
«Замещенная аминогруппа» означает Rk aRk+1 aN- группу, в которой Rk a и Rk+1 a представляют собой заместители аминогруппы, значение которых определено в данном разделе.
«Защитная группа» (PG) означает химический радикал, который присоединяется к скэффолду или полупродукту синтеза для временной защиты аминогруппы в мультифункциональных соединениях, включая, но не ограничивая: амидный заместитель, такой как формил, необязательно замещенный ацетил (например, трихлорацетил, трифторацетил, 3-фенилпропионил и др.), необязательно замещенный бензоил и др.; карбаматный заместитель, такой как необязательно замещенный C1-C7 алкилоксикарбонил, например метилоксикарбонил, этилоксикарбонил, трет-бутилоксикарбонил, 9-флуоренилметилоксикарбонил (Fmoc) и др.; необязательно замещенный C1-C7 алкильный заместитель, например трет-бутил, бензил, 2,4-диметоксибензил, 9-фенилфлуоренил и др.; сульфонильный заместитель, например бензолсульфонил, п-толуолсульфонил и др. Более подробно «защитные группы» описаны в книге: Protective groups in organic synthesis. Third Edition Greene, T.W. and Wuts, P.G.M. 1999, p.494-653. Издательство John Wiley & Sons, Inc., New York, Chichester, Weinheim, Brisbane, Toronto, Singapore.
«Лекарственное начало» (лекарственное вещество, лекарственная субстанция, drug-substance) означает физиологически активное вещество синтетического или иного (биотехнологического, растительного, животного, микробного и прочего) происхождения, обладающее фармакологической активностью и являющееся активным началом фармацевтической композиции, используемой для производства и изготовления лекарственного средства (препарата).
«Лекарственное средство (препарат)» – вещество (или смесь веществ в виде фармацевтической композиции) в виде таблеток, капсул, инъекций, мазей и других готовых форм, предназначенное для восстановления, исправления или изменения физиологических функций у человека и животных, а также для лечения и профилактики болезней, диагностики, анестезии, контрацепции, косметологии и прочего.
«Лиганды» (от латинского ligo – связывать) представляют собой химические вещества (малая молекула, неорганический ион, пептид, белок и прочее), способные взаимодействовать с рецепторами, которые трансформируют это взаимодействие в специфический сигнал.
«Необязательно замещенный радикал или группа» означает радикал или группу без заместителей или содержащую один или несколько заместителей. «Низший алкил» означает линейный или разветвленный алкил с 1-4 атомами углерода.
«Сульфонил» означает R-SO2– группу, в которой R представляет собой алкил, циклоалкил, арил, гетероарил, гетероциклил, аннелированный гетероарилциклоалкенил, аннелированный гетероарилциклоалкил, аннелированный гетероарилгетероцикленил, аннелированный гетероарилгетероциклил, аннелированный арилциклоалкенил, аннелированный арилциклоалкил, аннелированный арилгетероцикленил, аннелированный арилгетероциклил, значение которых определено в данном разделе.
«Терапевтический коктейль» представляет одновременно администрируемую комбинацию двух и более лекарственных препаратов, обладающих различным механизмом фармакологического действия и направленных на различные биомишени, участвующие в патогенезе заболевания.
«Фармацевтическая композиция» обозначает композицию, включающую в себя соединение общей формулы 1, 2 и, по крайней мере, один из компонентов, выбранных из группы, состоящей из фармацевтически приемлимых и фармакологически совместимых наполнителей, растворителей, разбавителей, носителей, вспомогательных, распределяющих и воспринимающих средств, средств доставки, таких как консерванты, стабилизаторы, наполнители, измельчители, увлажнители, эмульгаторы, суспендирующие агенты, загустители, подсластители, отдушки, ароматизаторы, антибактериальные агенты, фунгициды, лубриканты, регуляторы пролонгированной доставки, выбор и соотношение которых зависит от природы, способа назначения и дозировки. Примерами суспендирующих агентов являются этоксилированный изостеариловый спирт, полиоксиэтилен, сорбитол и сорбитовый эфир, микрокристаллическая целлюлоза, метагидроксид алюминия, бентонит, агар-агар и трагакант, а также смеси этих веществ. Защита от действия микроорганизмов может быть обеспечена с помощью разнообразных антибактериальных и противогрибковых агентов, например, таких как парабены, хлорбутанол, сорбиновая кислота и подобные им соединения. Композиция может включать также изотонические агенты, например сахара, хлористый натрий и им подобные. Пролонгированное действие композиции может быть обеспечено с помощью агентов, замедляющих абсорбцию активного начала, например моностеарат алюминия и желатин. Примерами подходящих носителей, растворителей, разбавителей и средств доставки являются вода, этанол, полиспирты, а также их смеси, растительные масла (такие как оливковое масло) и инъекционные органические сложные эфиры (такие как этилолеат). Примерами наполнителей являются лактоза, молочный сахар, цитрат натрия, карбонат кальция, фосфат кальция и им подобные. Примерами измельчителей и распределяющих средств являются крахмал, алгиновая кислота и ее соли, силикаты. Примерами лубрикантов являются стеарат магния, лаурилсульфат натрия, тальк, а также полиэтиленгликоль с высоким молекулярным весом. Фармацевтическая композиция для перорального, сублингвального, трансдермального, внутримышечного, внутривенного, подкожного, местного или ректального введения активного начала, одного или в комбинации с другим активным началом, может быть введена животным и людям в стандартной форме введения, в виде смеси с традиционными фармацевтическими носителями. Пригодные стандартные формы введения включают пероральные формы, такие как таблетки, желатиновые капсулы, пилюли, порошки, гранулы, жевательные резинки и пероральные растворы или суспензии, сублингвальные и трансбуккальные формы введения, аэрозоли, имплантаты, местные, трансдермальные, подкожные, внутримышечные, внутривенные, интраназальные или внутриглазные формы введения и ректальные формы введения.
«Фармацевтически приемлемая соль» означает относительно нетоксичные органические и неорганические соли кислот и оснований, заявленных в настоящем изобретении. Эти соли могут быть получены in situ в процессе синтеза, выделения или очистки соединений или приготовлены специально. В частности, соли оснований могут быть получены специально, исходя из очищенного свободного основания заявленного соединения и подходящей органической или неорганической кислоты. Примерами полученных таким образом солей являются гидрохлориды, гидробромиды, сульфаты, бисульфаты, фосфаты, нитраты, ацетаты, оксалаты, валериаты, олеаты, пальмитаты, стеараты, лаураты, бораты, бензоаты, лактаты, тозилаты, цитраты, малеаты, фумараты, сукцинаты, тартраты, мезилаты, малонаты, салицилаты, пропионаты, этансульфонаты, бензолсульфонаты, сульфаматы и им подобные. (Подробное описание свойств таких солей дано в Berge S.M., et al., “Pharmaceutical Salts” J. Pharm. Sci. 1977, 66: 1-19). Соли заявленных кислот также могут быть специально получены реакцией очищенной кислоты с подходящим основанием, при этом могут быть синтезированы соли металлов и аминов. К металлическим относятся соли натрия, калия, кальция, бария, цинка, магния, лития и алюминия, наиболее желательными из которых являются соли натрия и калия. Подходящими неорганическими основаниями, из которых могут быть получены соли металлов, являются гидроксид, карбонат, бикарбонат и гидрид натрия, гидроксид и бикарбонат калия, поташ, гидроксид лития, гидроксид кальция, гидроксид магния, гидроксид цинка. В качестве органических оснований, из которых могут быть получены соли заявленных кислот, выбраны амины и аминокислоты, обладающие достаточной основностью, чтобы образовать устойчивую соль и пригодные для использования в медицинских целях (в частности, они должны обладать низкой токсичностью). К таким аминам относятся аммиак, метиламин, диметиламин, триметиламин, этиламин, диэтиламин, триэтиламин, бензиламин, дибензиламин, дициклогексиламин, пиперазин, этилпиперидин, трис(гидроксиметил)аминометан и подобные им. Кроме того, для солеобразования могут быть использованы гидроокиси тетраалкиламмония, например, такие как холин, тетраметиламмоний, тетраэтиламмоний и им подобные. В качестве аминокислот могут быть использованы основные аминокислоты – лизин, орнитин и аргинин.
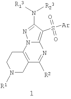
Предметом настоящего изобретения являются новые соединения – замещенные 2-амино-3-сульфонил-6,7,8,9-тетрагидро-пиразоло[1,5-а]пиридо[3,4-е]пиримидины общей формулы 1 и замещенные 2-амино-3-сульфонил-5,6,7,8-тетрагидро-пиразоло[1,5-а]пиридо[4,3-d]пиримидины общей формулы 2 или их фармацевтически приемлемые соли и/или гидраты,
 
где Ar представляет собой фенил, возможно замещенный атомами галогена, или 6-членный азотсодержащий гетероарил; R1 представляет собой атом водорода, C1-С3 алкил, возможно замещенный фенилом, C1-C5 алкоксикарбонил; R2 представляет собой атом водорода, необязательно замещенный C1-С3 алкил или галоген; R1 3 и R2 3 представляют собой необязательно одинаковые атом водорода, возможно замещенный C1-С3 алкил или R1 3 и R2 3 вместе с атомом азота, с которым они связаны, образуют необязательно замещенный азотсодержащий 6-членный насыщенный гетероциклил с 1-2 гетероатомами, выбранными из азота.
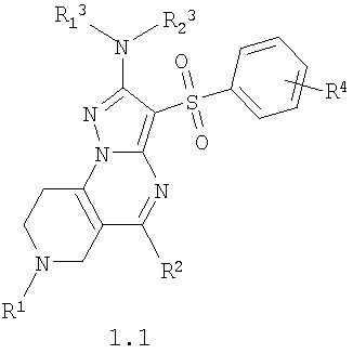
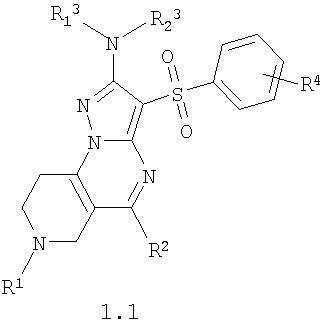
Более предпочтительными новыми соединениями являются замещенные 2-метиламино-3-фенилсульфонил-6,7,8,9-тетрагидро-пиразоло[1,5-а]пиридо[3,4-е]пиримидины общей формулы 1.1 или их фармацевтически приемлемые соли и/или гидраты,

где: R1, R2 и R1 3 имеют вышеуказанное значение; R4 представляет собой атом водорода, один или два необязательно одинаковых атома галогена.
Более предпочтительными новыми соединениями являются 2-метиламино-3-фенилсульфонил-6,7,8,9-тетрагидро-пиразоло[1,5-а]пиридо[3,4-е]пиримидин 1.1(1), 2-метиламино-5-метил-3-фенилсульфонил-6,7,8,9-тетрагидро-пиразоло[1,5-а]пиридо[3,4-е]пиримидин 1.1 (2), 2-метиламино-7-метил-3-фенилсульфонил-6,7,8,9-тетрагидро-пиразоло[1,5-а]пиридо[3,4-е]пиримидин 1.1 (3), 2-метиламино-5,7-диметил-3-фенилсульфонил-6,7,8,9-тетрагидро-пиразоло[1,5-а]пиридо[3,4-е]пиримидин 1.1(4), 2-метиламино-3-(3-хлорфенилсульфонил)-6,7,8,9-тетрагидро-пиразоло[1,5-а]пиридо[3,4-е]пиримидин 1.1 (5), 2-метиламино-5-метил-3-(3-хлорфенилсульфонил)-6,7,8,9-тетрагидро-пиразоло[1,5-а]пиридо[3,4-е]пиримидин 1.1(6), 2-метиламино-7-метил-3-(3-хлорфенилсульфонил)-6,7,8,9-тетрагидро-пиразоло[1,5-а]пиридо[3,4-е]пиримидин 1.1(7), 2-метиламино-5,7-диметил-3-(3-хлорфенилсульфонил)-6,7,8,9-тетрагидро-пиразоло[1,5-а]пиридо[3,4-е]пиримидин 1.1(8), 2-метиламино-3-(3-фторфенилсульфонил)-6,7,8,9-тетрагидро-пиразоло[1,5-а]пиридо[3,4-е]пиримидин 1.1 (9), 2-метиламино-5-метил-3-(3-фторфенилсульфонил)-6,7,8,9-тетрагидро-пиразоло[1,5-а]пиридо[3,4-е]пиримидин 1.1(10), 2-метиламино-7-метил-3-(3-фторфенилсульфонил)-6,7,8,9-тетрагидро-пиразоло[1,5-а]пиридо[3,4-е]пиримидин 1.1(11), 2-метиламино-5,7-диметил-3-(3-фторфенилсульфонил)-6,7,8,9-тетрагидро-пиразоло[1,5-а]пиридо[3,4-е]пиримидин 1.1(12) или их фармацевтически приемлемые соли и/или гидраты:
   
   
   
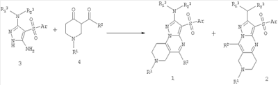
Предметом настоящего изобретения является также способ получения новых замещенных 2-амино-3-сульфонил-тетрагидро-пиразоло[1,5-а]-пиридо-пиримидинов общей формулы 1 и 2 взаимодействием 3-амино-4-сульфонил-2Н-пиразолов общей формулы 3 с -дикетонами общей формулы 4 с последующим выделением и/или разделением соединений 1 и 2 по схеме, представленной ниже:

где Ar, R1, R2, R1 3 и R2 3 имеют вышеуказанное значение.
Целью настоящего изобретения является также создание новых антагонистов серотониновых 5-НТ6 рецепторов.
Поставленная цель достигается антагонистами серотониновых 5-НТ6 рецепторов, представляющими собой 2-амино-3-сульфонил-6,7,8,9-тетрагидро-пиразоло[1,5-а]пиридо[3,4-е]пиримидины общей формулы 1 и 2-амино-3-сульфонил-5,6,7,8-тетрагидро-пиразоло[1,5-а]пиридо[4,3-d]пиримидины общей формулы 2 или их фармацевтически приемлемые соли и/или гидраты.
Цель настоящего изобретения заключается в создании новых «молекулярных инструментов» для изучения особенностей физиологически активных соединений, обладающих свойством ингибировать серотониновые 5-НТ6 рецепторы.
Поставленная цель достигается антагонистами серотониновых 5-НТ6 рецепторов, представляющими собой 2-амино-3-сульфонил-6,7,8,9-тетрагидро-пиразоло[1,5-а]пиридо[3,4-е]пиримидины формулы 1, 1.1, 1.1(1), 1.1(2), 1.1(3), 1.1(4), 1.1(5), 1.1(6), 1.1(7), 1.1(8), 1.1(9), 1.1(10), 1.1(11), 1.1(12), 2-амино-3-сульфонил-5.6,7,8-тетрагидро-пиразоло[1,5-а]пиридо[4,3-d]пиримидины общей формулы 2 или их фармацевтически приемлемые соли и/или гидраты.
Предметом данного изобретения является также лекарственное начало для фармацевтических композиций и лекарственных средств, представляющее собой, по крайней мере, один 2-амино-3-сульфонил-6,7,8,9-тетрагидро-пиразоло[1,5-а]пиридо[3,4-е]пиримидин формулы 1, 1.1, 1.1(1), 1.1(2), 1.1(3), 1.1(4), 1.1(5), 1.1(6), 1.1(7), 1.1(8), 1.1(9), 1.1(10), 1.1(11), 1.1(12), 2-амино-3-сульфонил-5,6,7,8-тетрагидро-пиразоло[1,5-а]пиридо[4,3-d]пиримидин общей формулы 2 или их фармацевтически приемлемую соль и/или гидрат.
Предметом данного изобретения является также фармацевтическая композиция, взаимодействующая с серотониновыми 5-НТ6 рецепторами, для лечения и предупреждения развития различных состояний и заболеваний ЦНС людей и теплокровных животных, содержащая в качестве активного ингредиента фармацевтически эффективное количество нового лекарственного начала, представляющего собой, по крайней мере, один 2-амино-3-сульфонил-6,7,8,9-тетрагидро-пиразоло[1,5-а]пиридо[3,4-е]пиримидин формулы 1, 1.1, 1.1(1), 1.1(2), 1.1(3), 1.1(4), 1.1(5), 1.1(6), 1.1(7), 1.1(8), 1.1(9), 1.1(10), 1.1(11), 1.1(12), 2-амино-3-сульфонил-5,6,7,8-тетрагидро-пиразоло[1,5-а]пиридо[4,3-d]пиримидин общей формулы 2 или их фармацевтически приемлемую соль и/или гидрат.
Фармацевтическая композиция может включать фармацевтически приемлемые эксципиенты. Под фармацевтически приемлемыми эксципиентами подразумеваются применяемые в сфере фармацевтики разбавители, вспомогательные агенты и/или носители. Фармацевтическая композиция наряду с лекарственным началом общей формулы 1, 2 по настоящему изобретению может включать и другие активные ингредиенты, при условии, что они не вызывают нежелательных эффектов, например аллергических реакций.
При необходимости использования фармацевтических композиций по настоящему изобретению в клинической практике они могут смешиваться для изготовления различных форм, при этом они могут включать в свой состав традиционные фармацевтические носители; например пероральные формы (такие как таблетки, желатиновые капсулы, пилюли, растворы или суспензии); формы для инъекций (такие как растворы или суспензии для инъекций, или сухой порошок для инъекций, который требует лишь добавления воды для инъекций перед использованием); местные формы (такие как мази или растворы).
Носители, используемые в фармацевтических композициях по настоящему изобретению, представляют собой носители, которые применяются в сфере фармацевтики для получения распространенных форм, в том числе в пероральных формах используются связующие вещества, смазывающие агенты, дезинтеграторы, растворители, разбавители, стабилизаторы, суспендирующие агенты, бесцветные агенты, корригенты вкуса; в формах для инъекций используются антисептические агенты, солюбилизаторы, стабилизаторы; в местных формах используются основы, разбавители, смазывающие агенты, антисептические агенты.
Предметом данного изобретения является также способ получения новой фармацевтической композиции смешением с инертным наполнителем и/или растворителем лекарственного начала, представляющего собой, по крайней мере, один 2-амино-3-сульфонил-6,7,8,9-тетрагидро-пиразоло[1,5-а]пиридо[3,4-е]пиримидин формулы 1, 1.1, 1.1(1), 1.1(2), 1.1(3), 1.1(4), 1.1(5), 1.1(6), 1.1(7), 1.1(8), 1.1(9), 1.1(10), 1.1(11), 1.1(12), 2-амино-3-сульфонил-5,6,7,8-тетрагидро-пиразоло[1,5-а]пиридо[4,3-с1]пиримидин общей формулы 2 или их фармацевтически приемлемую соль и/или гидрат.
Предметом данного изобретения является также лекарственное средство в форме таблеток, капсул или инъекций, помещенных в фармацевтически приемлемую упаковку, включающее в свой состав лекарственную начало, представляющее собой, по крайней мере, один 2-амино-3-сульфонил-6,7,8,9-тетрагидро-пиразоло[1,5-а]пиридо[3,4-е]пиримидин формулы 1, 1.1, 1.1(1), 1.1(2), 1.1(3), 1.1(4), 1.1(5), 1.1(6), 1.1(7), 1.1(8), 1.1(9), 1.1(10), 1.1(11), 1.1(12), 2-амино-3-сульфонил-5,6,7,8-тетрагидро-пиразоло[1,5-а]пиридо[4,3-d]пиримидин общей формулы 2 или их фармацевтически приемлемую соль и/или гидрат, или фармацевтическую композицию, включающую это лекарственное начало, предназначенное для лечения и предупреждения патологических состояний и заболеваний ЦНС, патогенез которых связан с нарушением активации серотониновых 5-НТ6 рецепторов.
Согласно данному изобретению более предпочтительным является лекарственное средство для профилактики и лечения когнитивных расстройств и нейродегенеративных заболеваний.
Согласно данному изобретению более предпочтительным является лекарственное средство для профилактики и лечения болезни Альцгеймера, болезни Паркинсона и болезни Гантингтона.
Согласно данному изобретению более предпочтительным является лекарственное средство для профилактики и лечения психических расстройств и шизофрении.
Согласно данному изобретению более предпочтительным является также лекарственное средство, представляющее собой ноотроп для улучшения умственных способностей.
Согласно данному изобретению более предпочтительным является лекарственное средство, представляющее собой анксиолитик для профилактики и лечения тревожных состояний и расстройств.
Согласно данному изобретению более предпочтительным является также лекарственное средство для профилактики и лечения ожирения.
Предметом данного изобретения является также терапевтический коктейль для профилактики и лечения различных заболеваний, патогенез которых связан с серотониновыми 5-НТ6 рецепторами у животных и людей, включающий лекарственное начало общей формулы 1, 2 или его фармацевтически приемлемую соль, или новую фармацевтическую композицию, включающую это лекарственное начало, или новое лекарственное средство, содержащее новое лекарственное начало.
Согласно данному изобретению более предпочтительным является терапевтический коктейль для профилактики и лечения неврологических расстройств, нейродегенеративных заболеваний и когнетивных расстройств у животных и людей, включающий лекарственное начало общей формулы 1, 2 или его фармацевтически приемлемую соль, или новую фармацевтическую композицию, включающую это лекарственное начало, или новое лекарственное средство, содержащее новое лекарственное начало.
Согласно данному изобретению более предпочтительным является терапевтический коктейль для профилактики и лечения болезни Альцгеймера, болезни Гантингтона, психических расстройств, шизофрении, тревожных состояний и расстройств, улучшения умственных способностей, гипоксии-ишемии, гипогликемии, судорожных состояний, мозговых травм, латиризма, бокового амиотрофического склероза, ожирения или инсульта.
Терапевтические коктейли для профилактики и лечения различных заболеваний, патогенез которых связан с серотониновыми 5-НТ6 рецепторами у животных и людей, в том числе неврологических расстройств, нейродегенеративных заболеваний и когнетивных расстройств, болезни Альцгеймера, болезни Гантингтона, психических расстройств и шизофрении, гипоксии-ишемии, гипогликемии, судорожных состояний, мозговых травм, латиризма, бокового амиотрофического склероза и инсульта, наряду с лекарственными средствами по данному изобретению могут включать другие лекарственные средства, такие как: нестероидные противовоспалительные препараты (Ортофен, Индометацин, Ибупрофен и т.п.); ингибиторы ацетилхолинэстеразы (Такрин, Амиридин, Физостигмин, Арисепт, Phenserine и т.п.); эстрогены (например, Эстрадиол); антагонисты NMDA-рецепторов (например, Мемантин, Neramexane); ноотропные препараты (например, Пирацетам, Фенибут и т.п.); модуляторы АМРА рецепторов (например, Ampalex); антагонисты каннабиноидных рецепторов СВ-1 (например, Rimonabant); ингибиторы моноаминооксидазы МАО-В и/или МАО-А (например, Rasagiline); антиамилоидогенные препараты (например, Tramiprosate); вещества, понижающие нейротоксичность бета-амилоида (например, Индол-3-пропионовая кислота); ингибиторы гамма- и/или бета-Секретазы; агонисты мускариновых рецепторов M1 (например, Cevimeline); хелаторы металлов (например, Clioquinol); антагонисты ГАМК(В) рецепторов (например, CGP-36742); моноклональные антитела (например, Bapineuzumab); антиоксиданты; нейротрофические агенты (например, Церебролизин); антидепрессанты (например, Имипрамин, Сертралин и т.п.) и прочие.
Согласно данному изобретению более предпочтительным является терапевтический коктейль для понижения избыточного веса и лечения ожирения, включающий лекарственное начало общей формулы 1, 2 или его фармацевтически приемлемую соль, или новую фармацевтическую композицию, или новое лекарственное средство.
Терапевтические коктейли для понижения избыточного веса и лечения ожирения наряду с лекарственными средствами по данному изобретению включают другие лекарственные средства, такие как анорексические препараты (например, Фепранон, Дезопимон, Мазиндол), гормональные препараты (например, Тиреоидин), гиполипидимические средства, такие как фибраты (например, Фенофибрат), статины (например, Ловастатин, Симвастатин, Правастатин и Пробукол), а также гипогликемические препараты (сульфонилмочевины – например, Бутамид, Глибенкламид; бигуаниды – например, Буформин, Метморфин) и препараты с другим механизмом действия, такие как антагонисты каннабиноидных СВ-1 рецепторов (Rimonabant), ингибиторы обратного захвата норэпинефрина и серотонина (Sibutramine), ингибиторы ферментов синтеза жирных кислот (Orlistat) и прочие наряду с антиоксидантами, пищевыми добавками и т.д.
Предметом данного изобретения является также способ профилактики и лечения различных заболеваний центральной нервной системы, патогенез которых связан с серотониновыми 5-НТ6 рецепторами у животных и людей, в том числе неврологических расстройств, нейродегенеративных и когнетивных заболеваний, тревожных состояний и расстройств, улучшения умственных способностей, для понижения избыточного веса и лечения ожирения, введением теплокровному животному или человеку лекарственного начала общей формулы 1, 1.1, 1.1(1), 1.1(2), 1.1(3), 1.1(4), 1.1(5), 1.1(6), 1.1(7), 1.1(8), 1.1(9), 1.1(10), 1.1(11), 1.1(12), 2 или их фармацевтически приемлемой соли и/или гидрата, или новой фармацевтической композиции, включающей эту лекарственное начало, или нового лекарственного средства, содержащего новое лекарственное начало или новую фармацевтическую композицию на его основе.
Лекарственные средства могут вводиться перорально или парентерально (например, внутривенно, подкожно, внутрибрюшинно или местно). Клиническая дозировка фармацевтической композиции или лекарственного средства, содержащих лекарственное начало общей формулы 1, 2 или его фармацевтически приемлемую соль и/или гидрат, у пациентов может корректироваться в зависимости от терапевтической эффективности и биодоступности активных ингредиентов в организме, скорости их обмена и выведения из организма, а также в зависимости от возраста, пола и стадии заболевания пациента, при этом суточная доза у взрослых обычно составляет 10~500 мг, предпочтительно 50~300 мг. Поэтому во время приготовления фармацевтических композиций по настоящему изобретению в виде единиц дозировки необходимо учитывать вышеназванную эффективную дозировку, при этом каждая единица дозировки препарата должна содержать 10~500 мг лекарственного начала общей формулы 1, 2 или его фармацевтически приемлемой соли и/или гидрата, предпочтительно – 50~300 мг. В соответствии с указаниями врача или фармацевта данные препараты могут приниматься несколько раз в течение определенных промежутков времени (предпочтительно – от одного до шести раз).
Изобретение поясняется чертежами:
Фиг.1. Латентный период первого захода в темный отсек через 24 ч после обучения мышей избеганию темного отсека в челночной камере (средняя величина ± стандартная ошибка). Число в скобках – доза вещества в мг/кг.Отличие от группы, получавшей скополамин: * – р<0,05; ** – р<0,01; *** – р<0,001. Препараты сравнения: Такрин, Мемантин, PRX-07034, SB-742457. В/бр – внутрибрюшинное введение, внутрь – пероральное введение.
Фиг.2 Продолжительность пребывания в светлом отсеке через 24 ч после обучения мышей избеганию темного отсека в челночной камере (средняя величина ± стандартная ошибка). Число в скобках – доза вещества в мг/кг. Отличие от группы, получавшей скополамин: * – р<0,05; ** – р<0,01; *** – р<0,001. Препараты сравнения: Такрин, Мемантин, PRX-07034, SB-742457. В/бр – внутрибрюшинное введение, внутрь – пероральное введение.
Фиг.3. Число заходов в темный отсек через 24 ч после обучения мышей избеганию темного отсека в челночной камере (средняя величина ± стандартная ошибка). Число в скобках – доза вещества в мг/кг. Отличие от группы, получавшей скополамин: * – р<0,05; *** р<0,001. Препараты сравнения: Такрин, Мемантин, PRX-07034, SB-742457. В/бр – внутрибрюшинное введение, внутрь – пероральное введение.
Фиг.4. Латентный период первого захода в темный отсек челночной камеры в тесте пассивного избегания. Числа в скобках обозначают дозу в мг/кг. & – статистически значимое отличие от группы, получавшей скополамин, при р<0,05.
Фиг.5. Продолжительность пребывания в светлом отсеке челночной камеры в тесте пассивного избегания. Числа в скобках обозначают дозу в мг/кг. & – статистически значимое отличие от группы, получавшей скополамин, при р<0,05.
Фиг.6. Результаты теста на распознавание новых объектов на мышах (среднее значение ± стандартная ошибка). В скобках приведены значения доз в мг/кг. Отличие от группы, которой вводили только скополамин: * – р<0,05 в соответствии с критерием 2.
Фиг.7. Поведение мышей в тесте водного лабиринта Морриса. Латентный период избегания (влезания на погруженную в воду площадку, усредненное значение по результатам четырех попыток за день) за первые 2 дня обучения мышей в водном лабиринте Морриса (средняя величина ± стандартная ошибка). Число в скобках – доза вещества в мг/кг.
Фиг.8. Латентный период первого захода в темный отсек через 24 ч после обучения крыс избеганию темного отсека в челночной камере (средняя величина ± стандартная ошибка). Число в скобках – доза вещества в мг/кг. Отличие от группы, получавшей МК-801: * – р<0,05; ** – р<0,01; *** – р<0,001.
Фиг.9. Продолжительность пребывания в светлом отсеке через 24 часа после обучения мышей избеганию темного отсека в челночной камере (средняя величина ± стандартная ошибка). Число в скобках – доза вещества в мг/кг. Отличие от группы, получавшей МК-801: * – р<0,05; ** – р<0,01; *** – р<0,001.
Фиг.10. Число заходов в темный отсек через 24 часа после обучения мышей избеганию темного отсека в челночной камере (средняя величина ± стандартная ошибка). Число в скобках – доза вещества в мг/кг. Отличие от группы, получавшей МК-801: * – р<0,05; *** р<0,001.
Фиг.11. Результаты теста на распознавание новых объектов на мышах (среднее значение ± стандартная ошибка). В скобках приведены значения доз в мг/кг. Отличие от группы, которой вводили только МК-801: * – р<0,05 в соответствии с критерием 2.
Фиг.12. Поведение мышей в тесте водного лабиринта Морриса. Латентный период избегания (влезания на погруженную в воду площадку, усредненное значение по результатам 4-х попыток за день) за первые 2 дня обучения мышей в водном лабиринте Морриса (средняя величина ± стандартная ошибка). Число в скобках – доза вещества в мг/кг.
Фиг.13. Результаты эксперимента по изучению когнитивной способности НЭП и ВЭП мышей.
Фиг.14. Отношение времени, проведенного животными в открытых рукавах, к общему времени пребывания в открытых и закрытых рукавах (среднее ± стандартная ошибка). В скобках приведены дозы (в мг/кг). Отличие от групп, получавших плацебо: * – р<0,05; ** – р<0,01; *** – р<0,001.
Фиг.15. Отношение числа входов в открытые рукава к общему числу входов в рукава обоих типов (среднее ± стандартная ошибка). В скобках приведены дозы (в мг/кг). Отличие от групп, получавших плацебо: * – р<0,05; ** – р<0,01; *** – р<0,001.
Фиг.16. Число дефекаций в тесте «лабиринт-плюс» (среднее ± стандартная ошибка). В скобках приведены дозы (в мг/кг). Отличие от групп, получавших плацебо: * – р<0,05; ** – р<0,01; *** – р<0,001.
Фиг.17. Количество входов в открытые и закрытые рукава лабиринта (среднее ± стандартная ошибка). В скобках приведены дозы (в мг/кг). Отличие от групп, получавших плацебо: * – р<0,05; ** – р<0,01; *** – р<0,001.
Фиг.18. Результаты теста пре-пульсового торможения вздрагивания у мышей.
В представленных ниже примерах описан синтез антагонистов серотониновых
5-НТ6 рецепторов общей формулы 1, 2 и их биологические испытания. Представленные примеры демонстрируют, но не ограничивают данное изобретение.
Пример 1. Общий способ получения 2-амино-3-сульфонил-тетрагидро-пиразоло[1,5-а]-пиридо-пиримидинов общей формулы 1, 2. Кипятят 0.005 моль аминопиразола 3 и 0.0055 моль соответствующего дикарбонильного соединения 4 в 5 мл уксусной кислоты в течение 4 ч. Полученный раствор охлаждают. Выпавший осадок фильтруют, промывают метанолом и водой. В случае необходимости продукт подвергают перекристаллизации из подходящего растворителя или хроматографической очистке, или хроматографическому разделению. Выход 2-амино-3-сульфонил-тетрагидро-пиразоло[1,5-а]-пиридо-пиримидинов общей формулы 1, 2 составляет от 30% до 85%. В таблице 2 представлены некоторые примеры новых 2-амино-3-сульфонил-тетрагидро-пиразоло[1,5-а]-пиридо-пиримидинов общей формулы 1, 2 и данные их LCMS анализов и ЯМР спектров.
| Таблица 2. |
| Замещенные 3-сульфонил-6,7,8,9-тетрагидро-пиразоло[1,5-а]пиридо[3,4-е]пиримидины общей формулы 1 и замещенные 3-сульфонил-5,6,7,8-тетрагидро-пиразоло[1,5-а]пиридо[4,3-d]пиримидины общей формулы 2. |
 |
Формула |
Мол. вес |
LCMS, m/z (M+1) |
ЯМР спектры |
| 1(1) |
 |
512.6 |
513 |
 |
| 1(2) |
 |
598.7 |
599 |
 |
| 1(3)·2HCl |
 |
485.4 |
413 |
 |
| 1(4)·2HCl |
 |
471.4 |
399 |
 |
| 1(5) |
 |
358.4 |
359 |
 |
| 1.1(1)·HCl |
 |
379.8 |
344 |
NMR-1H (DMSO-D6): 9.81 (br.s, 2H); 8.45 (s, 1H); 7.98 (d, J=8.0Hz, 2H); 7.45-7.63 (m, 3H); 6.53 (br.s, 1H); 4.28 (s, 2H); 3.45 (t, J=6.1Hz, 2H); 3.22 (t, J=6.6Hz, 2H); 2.90 (s, 3H). |
| 1.1(2) |
 |
357.4 |
358 |
 |
| 1.1(3) |
 |
357.4 |
358 |
NMR-1H (CDCl3): 8.21 (s, 1H); 8.09 (d, J=8.0Hz, 2H); 7.40-7.52 (m, 3H); 6.00 (br.t, J=5.9 Hz, 1H); 3.55 (s, 2H); 3.14 (t, J=5.9 Hz, 2H); 3.03 (d, J=5.1Hz, 3H); 2.79 (t, J=5.9 Hz, 2H); 2.49 (s, 3H). |
| 1.1(3)· HCl |
 |
393.9 |
358 |
NMR-1H (DMSO-D6): 11.36 (br.s, 1H); 8.43 (s, 1H); 7.99 (d, J=8.0Hz, 2H); 7.48-7.63 (m, 3H); 6.55 (br.q, J=4.9Hz, 1H); 4.42-4.61 (br.m, 1H); 4.17-4.35 (br.m, 1H); 3.62-3.77 (br.m, 1H); 3,37-3.50 (br.m, 1H); 2.92 (d, J=4.9Hz, 3H); 2.90 (s, 3H). |
| 1.1(4)· HCl |
 |
407.9 |
372 |
 |
| 1.1(5) |
 |
377.8 |
378 |
 |
| 1.1(6) |
 |
391.8 |
392 |
 |
| 1.1(7)·HCl |
 |
428.3 |
392 |
 |
| 1.1(8) |
 |
405.9 |
406 |
 |
| 1.1(9) |
 |
361.4 |
362 |
 |
| 1.1(10) |
 |
375.4 |
376 |
 |
| 1.1(11) |
 |
375.4 |
376 |
 |
| 1.1(12) |
 |
389.4 |
390 |
 |
| 1.1(13) |
 |
443.5 |
444 |
 |
| 1.1(14) |
 |
433.5 |
435 |
 |
| 1.1(15) |
 |
371.4 |
372 |
 |
| 2(1)·HCl |
 |
379.8 |
344 |
NMR-1H (DMSO-D6): 9.68 (br.s, 2H); 8.95 (s, 1H); 7.98 (d, J=8.0Hz, 2H); 7.47-7.63 (m, 3H); 6.49 (br.s, 1H); 4.22 (s, 2H); 3.45 (t, J=6.1Hz, 2H); 3.13 (t, J=6.6Hz, 2H); 2.89 (s, 3H). |
| 2(2) |
 |
433.5 |
435 |
 |
| 2(3)·HCl |
 |
428.3 |
392 |
 |
| 2(4)·HCl |
 |
407.9 |
372 |
 |
| 2(5) |
 |
391.8 |
392 |
 |
| 2(6) |
 |
357.4 |
358 |
NMR-1H (CDCl3): 8.11 (d, J=8.0Hz, 2H); 8.08 (s, 1H); 7.41-7.50 (m, 3Н); 6.04 (br.t, J=5.1 Hz, 1H); 3.52 (s, 2H); 3.11 (t, J=5.9 Hz, 2H); 2.99 (d, J=5.1Hz, 3Н); 2.77 (t, J=5.9 Hz, 2H); 2.46 (s, 3Н). |
| 2(7)·HCl |
 |
393.8 |
378 |
NMR-1H (DMSO-D6): 11.60 (br.s, 1H); 8.97 (s, 1H); 8.00 (d, J=8.0Hz, 2H); 7.50-7.62 (m, 3H); 6.51 (br.q, J=4.7Hz, 1H); 4.35-4.49 (br.m, 1H); 4.16-4.30 (br.m, 1H); 3.62-3.76 (br.m, 1H); 3.40-3.52 (br.m, 1H); 2.90 (s, 3H); 2.86 (d, J=4.7Hz, 3H). |
| 2(8) |
 |
371.4 |
372 |
 |
| 2(9)·2HCl |
 |
485.4 |
413 |
 |
| 2(10)·2HCl |
 |
471.4 |
399 |
 |
| 2(11)·2HCl |
 |
431.4 |
359 |
 |
Пример 2. Определение антагонистической активности соединений общей формулы 1, 2 по отношению к 5-НТ6 рецепторам. Соединения общей формулы 1, 2 были испытаны на их способность препятствовать активации 5-НТ6 рецепторов серотонином. Использовали клетки НЕК 293 (клетки почки человеческого эмбриона) с искусственно экспрессированным рецептором 5-НТ6
Эффективность соединений оценивали по их способности снижать содержание внутриклеточного цАМФ, индуцированного серотонином.
Замещенные 2-амино-3-сульфонил-тетрагидро-пиразоло[1,5-а]-пиридо-пиримидины общей формулы 1, 2 (10 µМ растворы) ингибируют серотониновые 5-НТ6 рецепторы на 80-100% и имеют высокую антагонистическую активность. Так, например, 2-метиламино-7-метил-3-фенилсульфонил-6,7,8,9-тетрагидро-пиразоло[1,5-а]пиридо[3,4-е]пиримидин 1.1(3) в условиях функционального эссея имеет значение IC50=29.67 nM.
Пример 3. Определение активности соединений общей формулы 1, 2 в условиях конкурентного связывания с серотониновыми 5-НТ6 рецепторами. Для проведения скрининга веществ на их потенциальную способность взаимодействовать с серотониновым рецептором 5-НТ6 использовали метод радиолигандного связывания. Для этого готовили мембранные препараты из клеток HeLa, экспрессирующих рекомбинантный человеческий 5-НТ6 рецептор, путем гомогенизирования рекомбинантных клеток в стеклянном гомогенизаторе с последующим отделением плазматических мембран от ядер, митохондрий и клеточных обломков путем дифференциального центрифугирования. Определение связывания изучаемых соединений с 5-НТ6 рецептором проводили в соответствии с методикой, описанной в [Monsma F.J. Jr., Shen Y., Ward R.P., Hamblin M.W. and Sibley D.R., Cloning and expression of a novel serotonin receptor with high affinity for tricyclic psychotropic drugs. Mol. Pharmacol. 43:320-327, 1993]. В предпочтительном исполнении мембранные препараты инкубировали с меченым лигандом (1.5 nM [3H] Lysergic acid diethylamide) без и в присутствии исследуемых соединений в течение 120 минут при 37°С в среде, состоящей из 50 mM Tris-HCl, рН 7.4, 150 mM NaCl, 2 тМ Ascorbic Acid, 0.001% BSA. Образцы после инкубации фильтровали под вакуумом на стекломикроволоконных фильтрах G/F (Millipor, USA), фильтры трижды промывали холодным раствором среды и радиоактивность измеряли с помощью сцинтилляционного счетчика MicroBeta 340 (PerkinElmer, USA). Неспецифическое связывание, которое составляло 30% от общего связывания, определяли инкубацией мембранных препаратов с радиолигандом в присутствии 5 µM Serotonin (5-HT). В качестве положительного контроля использовали Methiothepin. Связывание тестируемых соединений с рецептором определялось по их способности вытеснять радиоактивный лиганд и выражалось в процентах вытеснения. Процент вытеснения определялся по следующей формуле:

где ТА – это общая радиоактивность в присутствии только радиоактивного лиганда, СА – это радиоактивность в присутствии радиолиганда и тестируемого соединения и NA – это радиоактивность в присутствии радиолиганда и серотонина (5 µM).
Для исследованных соединений были определены по представленной ниже формуле величины pKi (pKi=-lg Ki):
Ki=IC50/(1+[L]/KD),
где IC50 – концентрация исследуемого вещества, выраженная в нМ, при которой оно вытесняет 50% лиганда, связанного с рецептором; [L] – концентрация лиганда; и KD – константа диссоциации лиганда.
Испытанные замещенные 2-амино-3-сульфонил-тетрагидро-пиразоло[1,5-а]-пиридо-пиримидины общей формулы 1, 2 в условиях конкурентного связывания с серотониновыми 5-НТ6 рецепторами показали их очень высокую активность. В таблице 3 представлены примеры сродства некоторых 2-амино-3-сульфонил-тетрагидро-пиразоло[1,5-а]-пиридо-пиримидинов общей формулы 1, 2 к 5-НТ6 рецептору, достигающего пикомолярных величин.
| Таблица 3. |
| Значения IC50 и Ki 2-амино-3-сульфонил-тетрагидро-пиразоло[1,5-а]-пиридо-пиримидинов общей формулы 1,2 в условиях конкурентного связывания с серотониновыми 5-НТ6 рецепторами. |
 |
IC50, µМ |
Ki, nM |
| 1.1(3)·HCl |
0.837 |
0.389 |
| 1.1(4)·HCl |
1.48 |
0.685 |
| 2(4)·HCl |
1.43 |
0.662 |
| 2(7)·HCl |
7.02 |
3.26 |
Пример 4. Получение лекарственного средства в форме таблеток. Смешивают 1600 мг крахмала, 1600 мг измельченной лактозы, 400 мг талька и 1000 мг гидрохлорида 2-метиламино-7-метил-3-фенилсульфонил-6,7,8,9-тетрагидро-пиразоло[1,5-а]пиридо[3,4-е]пиримидина 1.1(3)·HCl и спрессовывают в брусок. Полученный брусок измельчают в гранулы и просеивают через сита, собирая гранулы размером 14-16 меш. Полученные гранулы таблетируют в подходящую форму таблетки весом 560 мг каждая. Согласно изобретению аналогичным образом получают лекарственные средства, содержащие в качестве лекарственного начала другие соединения общей формулы 1.
Пример 5. Получение лекарственного средства в форме капсул. Тщательно смешивают гидрохлорид 2-метиламино-7-метил-3-фенилсульфонил-6,7,8,9-тетрагидро-пиразоло [1,5-а] пиридо [3,4-е] пиримидина 1.1(3)·HCl с порошком лактозы в соотношении 2:1. Полученную порошкообразную смесь упаковывают по 300 мг в желатиновые капсулы подходящего размера.
Пример 6. Получение лекарственного средства в форме инъекционных композиций для внутримышечных, внутрибрюшинных или подкожных инъекций. Смешивают 500 мг гидрохлорида 2-метиламино-7-метил-3-фенилсульфонил-6,7,8,9-тетрагидро-пиразоло[1,5-а]пиридо[3,4-е]пиримидина 1.1(3)·HCl с 300 мг хлорбутанола, 2 мл пропиленгликоля и 100 мл инъекционной воды. Полученный раствор фильтруют и помещают по 1 мл в ампулы, которые запаивают.
Пример 7. Антиамнестическая активность (улучшение памяти, нарушенной скополамином) лекарственного начала общей формулы 1 и 2 в тесте «Пассивное избегание мышей в челночной камере». Эксперименты проводились на взрослых самцах мышей линии BALB/c весом 20-25 г. В опыте использовалась челночная камера (Ugo Basile, Италия), которая состояла из двух отсеков. Размеры: 19,5×9,5×15 см. Один отсек был белым и освещенным, другой – темным. Отсеки соединялись отверстием, которое закрывалось автоматической вертикальной дверцей. Пол темного отсека состоял из поперечных металлических прутьев, на которые могли подаваться импульсы постоянного тока.
В первый день опыта за 30 мин до обучения мышам внутрибрюшинно вводили скополамин (0,3 мг/кг), который вызывает нарушение памяти. Животным опытной группы дополнительно вводили одно из следующих веществ: такрин, 10 мг/кг, за 30 мин до обучения; мемантин, 5 мг/кг, за 60 мин до обучения; PRX-07034, 10 мг/кг, за 10 мин до обучения; SB-742457, 1 мг/кг, за 15 мин до обучения или лекарственное начало 1.1(3), которое вводили за 5 мин (внутрибрюшинное введение) или 15-60 мин (пероральное введение) до обучения. Животные контрольной группы получали инъекцию физиологического раствора. В каждой группе использовалось 8 животных.
Животных помещали в светлый отсек и регистрировали латентный период первого захода в темную камеру. При этом дверцу между камерами закрывали и животное в течение 3 с получало наказание током 0,6 мА. После этого животное возвращали в жилую клетку. Через 24 ч животное вновь помещали в светлый отсек челночной камеры и регистрировали латентный период первого захода в темную камеру, общее время пребывания в светлой камере и число заходов в темную камеру. Продолжительность наблюдения составляла 5 мин.
Животные контрольной группы, получившие наказание в темном отсеке, демонстрировали успешную обучаемость, которая выражалась в увеличении латентного периода захода в темный отсек, длительности пребывания в светлом отсеке и уменьшении числа заходов в темную камеру по сравнению с животными из группы, не получавшей наказания. Скополамин в дозе 0,3 мг/кг вызывал так называемую антероградную амнезию, которая характеризуется нарушением фиксации в долгосрочной памяти новых событий. Это выражалось в виде статистически значимого увеличения латентного периода захода в темный отсек, уменьшения времени пребывания в светлом отсеке и увеличении числа заходов в темный отсек камеры. Такрин (10 мг/кг), мемантин (5 мг/кг) и лекарственное начало 1.1(3) (0,05-1 мг/кг), вводившиеся в сочетании со скополамином, вызывали статистически значимое улучшение обучения.
Результаты эксперимента представлены на фиг.1, 2 и 3.
В соответствии с результатами теста пассивного избегания лекарственное начало 1.1(3) более эффективно восстанавливало память, нарушенную скополамином, чем мемантин и такрин. Наиболее выраженный эффект наблюдался при дозе соединения 1.1(3), равной 0,2 мг/кг, при пероральном введении за 15 мин до эксперимента.
Пример 8. Антиамнестическая активность (улучшение памяти, нарушенной скополамином) лекарственного начала общей формулы 1 и 2 в тесте «Пассивное избегание крыс в челночной камере». Эксперимент проводили на десятинедельных самцах и самках крыс линии Wistar. Поскольку в данном тесте не было обнаружено различий между самцами и самками, данные, полученные на животных разного пола, были объединены. Использовалась челночная камера (Ugo Basile, Италия), которая состояла из двух отсеков. Размеры: 48×21×23 см. Один отсек был белым и освещенным, другой – темным. Отсеки соединялись отверстием, которое закрывалось автоматической вертикальной дверцей. Пол темного отсека состоял из поперечных металлических прутьев, на которые могли подаваться импульсы постоянного тока.
В первый день опыта за 20 мин до обучения крысам внутрибрюшинно вводили скополамин (2,5 мг/кг) или внутрибрюшинно скополамин в сочетании с лекарственным началом 1.1(3) (0,2-5 мг/кг, перорально) за 15-30 мин до начала обучения. Контрольной группе животных вводили физиологический раствор. В каждой группе использовалось 8 животных.
Животных помещали в светлый отсек и регистрировали латентный период первого захода в темную камеру. При этом дверцу между отсеками закрывали и животное в течение 3 с получало наказание током 1,5 мА. После этого животное возвращали в жилую клетку. Через 24 ч животное вновь помещали в светлый отсек челночной камеры и регистрировали латентный период первого захода в темный отсек, общее время пребывания в светлом отсеке и число заходов в темный отсек. Продолжительность наблюдения составляла 5 мин.
Тест на пассивное избегание демонстрирует способность крысы к обучению и запоминанию, исходя из времени ожидания перед тем, как зайти в темный отсек. Контрольная группа животных проявляла успешную обучаемость, что выражалось в продолжительном ожидании перед светлым отсеком и снижении числа посещений темного отсека. Скополамин в дозе 2,5 мг/кг существенно снижал эффективность обучения. Совместное введение скополамина и лекарственного начала 1.1(3) (0,2-5 мг/кг) привело к значительному повышению обучаемости.
Результаты эксперимента, представленные на фиг.4 и 5, показывают, что пероральное введение лекарственного начала 1.1(3) существенно восстанавливает у крыс память, нарушенную скополамином.
Пример 9. Антиамнестическая активность (улучшение памяти, нарушенной скополамином) лекарственного начала общей формулы 1 и 2 в тесте «Распознавание новых объектов мышами в крестообразном лабиринте». Эксперимент проводили на взрослых самцах мышей линии SHK. В эксперименте использовали крестообразный плексигласовый лабиринт, который состоял из четырех тупиковых боковых камер (пронумерованных 1, 2, 3, 4), соединявшихся между собой через такую же пятую центральную камеру. Мышь помещали в центральную камеру и позволяли исследовать лабиринт. Пол очищался после каждого животного. Порядок посещения камер и время визитов регистрировались наблюдателем, данные заносились в персональный компьютер. Тест заканчивался, когда происходило 13 заходов в тупики. Критерием захода считалось наличие всех четырех лап животного внутри камеры.
Во время обучения животное помещали в лабиринт, в котором в каждой из четырех боковых камер находились по одной одинаковой чашке. Во время теста (спустя 1 ч после обучения) две противоположно стоящих чашки были заменены колбами и животному было позволено исследовать лабиринт. В периоды обучения и тестирования регистрировали время, проведенное животным в каждой боковой камере. Рассчитывали индекс распознавания новых объектов как отношение времени, проведенного в боковых камерах с новыми объектами, к общему времени пребывания в боковых камерах. Появление нового объекта увеличивает время, проведенное животным в камере, по сравнению с фазой обучения (так называемый эффект распознавания новых объектов). Под действием скополамина в дозе 1 мг/кг, введенного внутрибрюшинно за 30 мин до начала обучения, распознавание новых объектов нарушалось и индекс распознавания снижался. Однако это влияние скополамина удавалось предотвратить внутрибрюшинным введением мемантина (10 мг/кг) за 60 мин до начала обучения, такрина (10 мг/кг) за 30 мин до начала обучения, PRX-07034 (10 мг/кг) за 10 мин до начала обучения, SB-742457 (1 мг/кг) за 15 мин до начала обучения или лекарственного начала 1.1(3) (0,05 и 0,2 мг/кг) за 5 мин до начала обучения или SB-742457 (0,2 мг/кг) за 15 мин до начала обучения (фиг.6).
Лекарственное начало 1.1(3) характеризуется антиамнестическим эффектом, превосходящим таковой такрина.
Пример 10. Антиамнестическая активность (улучшение памяти, нарушенной скополамином) лекарственного начала общей формулы 1, 2 в тесте «Водный лабиринт Морриса, мыши». Эксперименты проводились на взрослых самцах мышей линии BALB/c весом 20-25 г. Использовался круглый бассейн диаметром 85 см с высотой бортика 55 см, который заполнялся водой на 30 см. На протяжении всего эксперимента поддерживалась температура 20-22°С. В бассейн помещалась круглая керамическая платформа высотой 14 см. Поведение животных регистрировали с помощью автоматизированной компьютерной видеосистемы, использующей программу распознавания и анализа движений Any-maze (Stoelting Co., США).
До начала экспериментов проводили отбор мышей, пригодных для обучения. Для этого платформу располагали на 1 см выше уровня воды. Животное на 20 с помещали на платформу. Затем мышь опускали в воду на противоположной стороне бассейна и позволяли ей найти платформу и взобраться на нее в течение 60 с, где ее оставляли на 20 с. После этого мышь повторно опускали в воду на противоположной стороне бассейна и позволяли ей искать платформу. Если мышь не могла самостоятельно найти платформу в течение 60 с, экспериментатор помогал ей переместиться к платформе и взобраться на нее. Мыши, которые не могли самостоятельно найти и влезть на платформу в двух попытках подряд, исключались из опыта.
В течение двух последующих дней платформа располагалась на 0,5 см ниже уровня воды. Ежедневно мышам предоставляли по 4 попытки найти платформу в течение 60 с. Интервал между попытками составлял 20 с, в течение которого они находились на платформе. Каждый день перед первой попыткой мышь на 20 с помещали на платформу. Регистрировали время, прошедшее от момента пуска животного в воду до влезания на платформу. Животных опускали в воду в двух различных точках на половине бассейна, противоположной по отношению к платформе. В каждый из данных двух дней опыта, за 35-40 мин до начала обучения, мышам внутрибрюшинно вводили следующие вещества: скополамин (1,5 мг/кг), скополамин (1,5 мг/кг) в сочетании с такрином (3 мг/кг), донепезилом (1 мг/кг) или лекарственное начало 1.1(3) (0,1 или 1 мг/кг). Скополамин вводили за 30 мин до начала обучения, такрин и донепезил – за 60 мин и соединение 1.1(3) – за 5 мин до начала обучения. Животным контрольной группы вводили физиологический раствор. Каждая группа содержала как минимум 8 животных.
На третий день платформа отсутствовала и животных однократно помещали в бассейн на 60 с. Регистрировали время, в течение которого мышь находилась в квадранте, где в предыдущие дни располагалась платформа. Это время служило показателем эффективности обучения, проводившегося в предыдущие два дня.
Животные контрольной группы продемонстрировали успешную обучаемость за первые два дня опыта, что подтверждалось их достаточно длительным пребыванием на третий день опыта в области расположения платформы. Скополамин в дозе 1,5 мг/кг нарушал обучение в описанных выше условиях опыта. В то же время дополнительное введение лекарственного начала 1.1(3) (0,1 мг/кг) вызывало статистически значимое улучшение обучения пространственной ориентации.
Результаты эксперимента, представленные на фиг.7, показывают, что в тесте водного лабиринта Морриса у мышей лекарственное начало 1.1(3) в дозе 0,1 и 1,0 мг/кг обладает антиамнестическим эффектом, сравнимым с эффектом ингибитора ацетилхолинэстеразы донепезила и такрина.
Пример 11. Антиамнестическая активность (улучшение памяти, нарушенной МК-801) лекарственного начала общей формулы 1, 2 в тесте «Пассивное избегание крыс в челночной камере». Эксперименты проводились на взрослых самцах мышей линии BALB/c весом 24-25 г. Использовалась челночная камера (Ugo Basile, Италия). Метод описан в примере 8.
В первый день опыта за 30 мин до обучения мышам внутрибрюшинно вводили МК-801 (0,1 мг/кг), вызывающий амнезию. Животным опытной группы дополнительно вводили одно из следующих веществ: такрин, 10 мг/кг, за 30 мин до обучения; мемантин, 10 мг/кг, за 60 мин до обучения; PRX-07034, 10 мг/кг, за 10 мин до обучения; SB-742457, 1 мг/кг, за 15 мин до обучения или лекарственное начало 1.1(3) (0,05-0,2 мг/кг), за 5 мин до обучения. Животные контрольной группы получали инъекцию физиологического раствора. В каждой группе использовалось 8 животных.
Предварительное введение МК-801 значительно снижает эффект обучения, то есть вызывает антероградную амнезию. Результаты эксперимента представлены на фиг.8, 9, 10.
Согласно результатам теста пассивного избегания лекарственное начало 1.1(3) является одним из наиболее активных веществ, использовавшихся в данном эксперименте.
Пример 12. Антиамнестическая активность (улучшение памяти, нарушенной МК-801) лекарственного начала общей формулы 1, 2 в тесте «Распознавание новых объектов мышами в крестообразном лабиринте». Крестообразный плексигласовый лабиринт и метод детально описаны в примере 9. В эксперименте использовались взрослые самцы мышей линии SHK.
МК-801, снижающий способность к распознаванию новых объектов, вводили в дозе 0,2 мг/кг внутрибрюшинно за 30 мин до начала обучения. Вызванные МК-801 нарушения нивелировались введением мемантина (10 мг/кг) за 60 мин до обучения, такрина (10 мг/кг) за 30 мин до начала обучения, SB-742457 (1 мг/кг) за 15 мин до начала обучения или лекарственного начала 1.1(3) (0,05 и 0,2 мг/кг) за 5 мин до начала обучения (фиг.11).
Полученные результаты показывают, что лекарственное начало 1.1(3) наряду со всеми протестированными соединениями проявляет антиамнестический эффект.
Пример 13. Антиамнестическая активность (улучшение памяти, нарушенной МК-801) лекарственного начала общей формулы 1 в тесте «Водный лабиринт Морриса, мыши». Эксперименты проводились на взрослых самцах мышей линии BALB/c весом 24-25 г. Использовался круглый бассейн диаметром 85 см с высотой бортика 55 см, который заполнялся водой на 30 см. На протяжении эксперимента поддерживалась температура 20-22°С. В бассейн помещалась круглая керамическая платформа высотой 14 см. Поведение животных регистрировали с помощью автоматизированной компьютерной видеосистемы, использующей программу распознавания и анализа движений Any-maze (Stoelting Co., США).
Проведение отбора мышей и метод подробно описаны в примере 10. В каждый из двух дней эксперимента, за 30 мин до начала обучения мышам внутрибрюшинно вводили следующие вещества: МК-801 (0,2 мг/кг), МК-801 (0,2 мг/кг) в сочетании с такрином (3 мг/кг), донепезилом (1 мг/кг), мемантином (5 мг/кг) или лекарственным началом 1.1(3) (0,1 или 1 мг/кг). МК-801 вводили за 30 мин до начала обучения, такрин, донепезил и мемантин – за 60 мин, соединение 1.1(3) вводили за 5 мин до начала обучения. Животным контрольной группы вводили физиологический раствор. Каждая группа содержала 8 животных.
Результаты эксперимента представлены на фиг.12.
Животные контрольной группы продемонстрировали успешную обучаемость за первые два дня опыта, которая подтвердилась их достаточно длительным пребыванием на третий день опыта в области расположения платформы. МК-801 в дозе 0,2 мг/кг нарушал обучение в описанных выше условиях опыта. В то же время дополнительное введение лекарственного начала 1.1(3) вызывало статистически значимое улучшение обучения пространственной ориентации.
Пример 14. Ноотропная активность лекарственного начала общей формулы 1 в тесте «Распознавание новых объектов мышами в крестообразном лабиринте». Для проведения эксперимента использовался крестообразный лабиринт, который состоял их четырех тупиковых боковых камер, соединявшихся между собой через центральную камеру. После помещения животного в центральную камеру оно начинало входить в боковые камеры, демонстрируя поведение патрулирования, направленное на изучение камер. Завершением первого эпизода патрулирования считался вход животного в последнюю непосещенную камеру. Чем меньше было посещений тупиковых камер в процессе патрулирования лабиринта, тем больше была эффективность спонтанной ориентации животного.
Показано, что частота распределения числа посещений во время первого эпизода патрулирования у беспородных крыс и мышей имеет бимодальную форму и значительно отличается от нормального распределения Гаусса, что свидетельствует о существовании субпопуляций особей с относительно низкой и высокой эффективностью патрулирования лабиринта (НЭП и ВЭП мыши). Во втором тесте, проводимом несколько дней спустя, различия между указанными двумя подгруппами животных все еще сохранялись, и это указывает на то, что НЭП и ВЭП лабиринта является устойчивой типологической чертой. На эффективность поведения патрулирования животными камер оказывают влияние как лекарственные препараты, обладающие прокогнитивными свойствами, так и факторы, повреждающие мозг (этиловый спирт, нейротоксины, пожилой возраст). Эффективность патрулирования не коррелирует с двигательной активностью и ее улучшение после введения прокогнитивных препаратов не связано с изменениями скорости передвижений.
НЭП-субпопуляция мышей представляет собой модель естественного (спонтанного) когнитивного дефицита, удобную для обнаружения потенциальных корректоров когнитивной функции. У мышей данной категории обнаружены более низкий уровень серотонина в коре головного мозга, более низкая плотность мест связывания NMDA рецепторов в гиппокампе и более высокое содержание мест связывания ацетилхолиновых рецепторов в коре.
Эксперимент проводили на взрослых самцах мышей линии SHK. В эксперименте использовали крестообразный лабиринт, который состоял из четырех тупиковых боковых камер (пронумерованных 1, 2, 3, 4), имевших выход в такую же центральную камеру через проем 7×7 см. Центральная и боковые камеры имели размеры 15×15×15 см. Мышь помещали в центральную камеру и позволяли исследовать лабиринт. Последовательность и время посещений камер регистрировались наблюдателем в персональный компьютер до тех пор, пока не было осуществлено 12 переходов между камерами (13 посещений). Критерием захода считали нахождение всех четырех лап животного в камере.
В первый день эксперимента было изучено поведение в лабиринте двухмесячных мышей линии SHK, поделенных на две группы – с низкой и высокой эффективностью патрулирования. Мышей, сделавших менее 7 визитов в течение первого эпизода патрулирования, относили к категории НЭП. Группу НЭП-мышей делили на подгруппы, получавшие в течение четырех дней ежедневно раз в сутки внутрибрюшинную инъекцию плацебо, пирацетама (400 мг/кг) или лекарственного начала 1.1(3) (0,2 мг/кг). Второй тест, протокол которого был идентичен первому, проводился на седьмой день после первого теста через 1 ч после последней инъекции. Результаты эксперимента представлены на фиг.13.
Установлено, что пирацетам (препарат сравнения) и лекарственное начало 1.1(3) статистически значимо уменьшают число посещений тупиковых рукавов, которые необходимы для завершения первого патрулирования лабиринта по сравнению с группой, получавшей плацебо, то есть проявляют характерный про-когнитивный эффект.
Пример 15. Анксиолитическая активность лекарственного начала общей формулы 1 в тесте «Приподнятый крестообразный лабиринт, мыши». В эксперименте использовались самцы мышей линии BALB/c весом приблизительно 25 г. Животных содержали в клетках (по 5-7 мышей на клетку), обеспечивая свободный доступ к корму и воде. Ни одно из животных не было до этого знакомо с экспериментальной установкой. Каждая экспериментальная группа включала 8 животных.
Использованный метод был ранее описан Листером (Lister R.G. The use of a plus-maze to measure anxiety in the mouse. Psychopharmacology, 1987; 92:180-185). Плексигласовая установка состояла из двух открытых рукавов размером 30×5 см и двух закрытых рукавов размером 30×5×15 см. Боковые рукава были закрыты прозрачным плексигласом и соединялись с центральной площадкой размером 5×5 см. Открытые рукава, центральная платформа и пол были выполнены из черного плексигласа. Аппарат был смонтирован на металлическом основании, которое располагалось над уровнем пола на высоте 38,5 см.
Мышам вводили внутрибрюшинно плацебо, буспирон (5 мг/кг, за 30 мин до обучения), лоразепам (0,05 мг/кг, за 60 мин до обучения), фенобам (5 мг/кг, за 60 мин до обучения), руфинамид (15 мг/кг, за 60 мин до обучения) или лекарственное начало 1.1(3) (0,05, 0,2 или 1 мг/кг, за 5 мин до обучения). Буспирон, лоразепам, фенобам и руфинамид вводили в максимальной эффективной дозе, при которой еще не наблюдалось побочного седативного действия, которое выражалось в виде общего снижения исследовательской активности (число визитов в рукава за время теста).
Каждую мышь помещали в центр лабиринта головой к открытому рукаву. На протяжении 5 мин регистрировали последовательность и продолжительность заходов в рукава с помощью компьютерной программы. Наблюдатель вводил полученные данные в персональный компьютер. Критерием захода считали нахождение всех четырех лап животного в рукаве. Рассчитывали индекс предпочтения как отношение времени, проведенного животным в открытых камерах, а также числа заходов в открытые рукава, к общему времени пребывания в открытых и закрытых рукавах или соответственно к общему числу заходов в рукава обоих типов. Число фекальных болюсов, оставленных мышью, рассматривалось как дополнительный параметр, характеризующий состояние тревоги.
Результаты эксперимента, представленные на фиг.14, 15, 16, 17, показывают, что буспирон и лоразепам оказывали выраженное анксиолитическое действие в тесте приподнятого крестообразного лабиринта, в то время как лекарственное начало 1.1(3) было менее активно.
Пример 16. Антипсихотическая активность лекарственного начала общей формулы 1 в тесте «Препульсное торможение вздрагивания, мыши». В экспериментах использовали мышей линии SHK весом 24-30 г. Эксперименты проводили в светлое время суточного цикла животных. Апоморфина гидрохлорид и галоперидол были получены от компании Сигма Кемикалз, США. Апоморфина гидрохлорид растворяли в 0,1% растворе аскорбиновой кислоты, приготовленном на стерилизованной воде. Галоперидол растворяли в стерилизованной воде с использованием эмульгатора Твин 80. Соединение 1.1(3) растворяли в стерилизованной воде. Контрольным животным вводили 0,1% раствор аскорбиновой кислоты, приготовленный на стерилизованной воде с Твином 80. Галоперидол вводили за 60 мин, апоморфин – за 15 мин, а лекарственное начало 1.1(3) – за 5 мин до теста. Объем вводимой жидкости составлял 10 мл/кг. Все вещества вводили подкожно.
Аппарат состоял из камеры, выполненной из прозрачного плексигласа (производитель – компания Коламбус Инструменте, США), размещенной на платформе, которая находилась внутри звукоизолирующего кабинета. В 2 см от платформы находилась высокочастотная звуковая колонка, через которую передавались звуковые стимулы. При вздрагивании животного возникали колебания платформы, которые улавливались аналоговым преобразователем и регистрировались компьютером. Уровень фонового шума составлял 65 дБ. Животные получали по 4 предъявления одиночного тестирующего («пульсового») стимула длительностью 50 мс и громкостью 105 дБ или предваряющего («пре-пульсового») стимула длительностью 20 мс громкостью 85 дБ, за которым через 30 мс следовал пульсовой стимул длительностью 50 мс громкостью 105 дБ. Интервал между повторными предъявлениями пульсового или пре-пульсового в сочетании с пульсовым стимулом составлял 10 с.Ослабление вздрагивания в ответ на пульсовой стимул при наличии пре-пульсового стимула рассчитывали в процентах по отношению к амплитуде вздрагивания в ответ на изолированный пульсовой стимул. Результаты эксперимента представлены на фиг.18.
Полученные данные показывают, что в норме у мышей наблюдается 53% пре-пульсового торможения вздрагивания. Введение апоморфина, который используется в экспериментах на животных для моделирования психото-подобных состояний, вызывало уменьшение пре-пульсового торможения вздрагивания, что отражает снижение способности ЦНС фильтровать сенсорные стимулы.
Галоперидол (1 мг/кг) и лекарственное начало 1.1(3) (1 мг/кг) предупреждали нарушение пре-пульсового торможения вздрагивания при введении апоморфина.
Формула изобретения
1. Замещенные 2-амино-3-сульфонил-6,7,8,9-тетрагидро-пиразоло[1,5-а]пиридо[3,4-е]пиримидины общей формулы 1 и замещенные 2-амино-3-сульфонил-5,6,7,8-тетрагидро-пиразоло[1,5-а]пиридо[4,3-d]пиримидины общей формулы 2 или их фармацевтически приемлемые соли и/или гидраты,
  где Ar представляет собой фенил, возможно замещенный атомами галогена, или 6-членный азотсодержащий гетероарил; R1 представляет собой атом водорода, С1-С3алкил, возможно замещенный фенилом, С1-С5алкоксикарбонил; R2 представляет собой атом водорода, галогена или C1-С3алкил; R1 3 и R2 3 представляют собой необязательно одинаковые заместители, выбранные из атома водорода, возможно замещенного C1-С3алкила или R1 3 и R2 3 вместе с атомом азота, с которым они связаны, образуют необязательно замещенный C1-C5 алкоксикарбонилом азотсодержащий 6-членный насыщенный гетероциклил с 1-2 гетероатомами, выбранными из азота.
2. Соединения по п.1, представляющие собой замещенные 2-метиламино-3-фенилсульфонил-6,7,8,9-тетрагидро-пиразоло [1,5-а]пиридо[3,4-е]пиримидины общей формулы 1.1 или их фармацевтически приемлемые соли и/или гидраты,
 где R1, R2 и R1 3 имеют вышеуказанное значение; R4 представляет собой атом водорода, один или два необязательно одинаковых атома галогена.
3. Соединения по п.2, представляющие собой 2-метиламино-3-фенилсульфонил-6,7,8,9-тетрагидро-пиразоло[1,5-а]пиридо[3,4-е] пиримидин 1.1(1), 2-метиламино-7-метил-3-фенилсульфонил-6,7,8,9-тетрагидро-пиразоло[1,5-а]пиридо[3,4-е]пиримидин 1.1(3), 2-метиламино-5,7-диметил-3-фенилсульфонил-6,7,8,9-тетрагидро-пиразоло[1,5-а] пиридо[3,4-е]пиримидин 1.1(4), 2-метиламино-7-метил-3-(3-хлорфенилсульфонил)-6,7,8,9-тетрагидро-пиразоло[1,5-а]пиридо[3,4-е]пиримидин 1.1(7),
   
4. Способ получения соединений общей формулы 1 или 2 по любому из пп.1-3 взаимодействием 3-амино-4-арилсульфонил-2Н-пиразолов общей формулы 3 с соответствующими -дикетонами общей формулы 4,
  где Ar, R1, R2, R1 3 и R2 3 имеют вышеуказанное значение.
5. Антагонисты серотониновых 5-НТ6 рецепторов, представляющие собой соединения общей формулы 1 или 2 по любому из пп.1-3.
6. Замещенные 2-амино-3-сульфонил-6,7,8,9-тетрагидро-пиразоло[1,5-а]пиридо[3,4-е]пиримидины общей формулы 1 и замещенные 2-амино-3-сульфонил-5,6,7,8-тетрагидро-пиразоло[1,5-а]пиридо[4,3-d]пиримидины общей формулы 2 или их фармацевтически приемлемые соли и/или гидраты по любому из пп.1-3 в качестве лекарственного начала для приготовления фармацевтических композиций и лекарственных средств.
7. Фармацевтическая композиция, обладающая свойствами антагониста серотониновых 5-НТ6 рецепторов, пригодная для лечения и предупреждения развития состояний и заболеваний центральной нервной системы, содержащая в качестве активного компонента фармацевтически эффективное количество лекарственного начала по п.6.
8. Способ получения фармацевтической композиции по п.7 смешением с инертным наполнителем и/или растворителем лекарственного начала по п.6.
9. Лекарственное средство для профилактики и лечения заболеваний центральной нервной системы, патогенез которых связан с 5-НТ6 рецепторами, в форме таблеток, капсул или инъекций, помещенных в фармацевтически приемлемую упаковку, включающее фармацевтически эффективное количество лекарственного начала по п.6 или фармацевтической композиции по п.7.
10. Лекарственное средство по п.9 для профилактики и лечения когнитивных расстройств и нейродегенеративных заболеваний.
11. Лекарственное средство по п.9 для профилактики и лечения психических расстройств.
12. Лекарственное средство, обладающее анксиолитическим действием, по п.9 для профилактики и лечения тревожных расстройств.
13.Лекарственное средство, обладающее ноотропным действием по п.9, для улучшения умственных способностей.
14. Способ профилактики и лечения заболеваний центральной нервной системы, патогенез которых связан с 5-НТ6 рецепторами, заключающийся во введении в эффективном количестве лекарственного начала по п.6, или фармацевтической композиции по п.7, или лекарственного средства по любому из пп.9-13.
РИСУНКИ
|
|