|
|
(21), (22) Заявка: 2006134025/04, 25.02.2005
(24) Дата начала отсчета срока действия патента:
25.02.2005
(30) Конвенционный приоритет:
26.02.2004 FR 0401952
(43) Дата публикации заявки: 10.04.2008
(46) Опубликовано: 20.03.2010
(56) Список документов, цитированных в отчете о поиске:
WO 03/065989 А, 14.08.2003. WO 99/26584 A, 03.06.1999. WO 02/087569 A, 07.11.2002. US 4 539 323 A, 03.09.1985. RU 2216540 C2, 20.11.2003.
(85) Дата перевода заявки PCT на национальную фазу:
26.09.2006
(86) Заявка PCT:
FR 2005/000452 20050225
(87) Публикация PCT:
WO 2005/089759 20050929
Адрес для переписки:
129090, Москва, ул. Б.Спасская, 25, стр.3, ООО “Юридическая фирма Городисский и Партнеры”, пат.пов. Е.Е.Назиной
|
(72) Автор(ы):
АБУАБДЕЛЛА Ахмед (FR), АЛЬМАРИО ГАРСИЯ Антонио (FR), ХОРНАРТ Кристиан (FR), ЖЕНЕСС Жан (FR)
(73) Патентообладатель(и):
САНОФИ-АВЕНТИС (FR)
|
(54) ПРОИЗВОДНЫЕ ПИПЕРИДИНАЛКИЛКАРБАМАТОВ, ИХ ПОЛУЧЕНИЕ И ИХ ПРИМЕНЕНИЕ В КАЧЕСТВЕ ИНГИБИТОРОВ ФЕРМЕНТА FAAH
(57) Реферат:
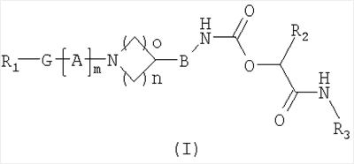
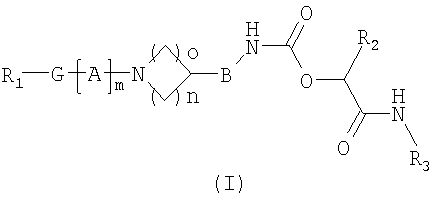
Изобретение относится к соединениям общей формулы (I) и их кислотно-аддитивным и основным солям в качестве ингибиторов фермента FAAH, способам их получения, фармацевтической композиции на их основе и их применению, а также к промежуточным соединениям формулы (IIа). Соединения могут найти применение для лечения и профилактики заболеваний, опосредованных активностью FAAH фермента, таких как острые или хронические боли, головокружения, рвота, тошнота, нарушения пищевого поведения, неврологические и психиатрические патологии, острые или хронические нейродегенеративные заболевания и др. В общей формуле (I)

m означает целое число от 1 до 4; n означает целое число, равное 1 или 2; о целое число, равное 1 или 2; А выбран из одной или нескольких групп X, Y; Х означает метиленовую группу, необязательно замещенную одной группой, представляющей C1-6-алкил; Y означает С2-алкиниленовую группу; В означает ковалентную связь или С1-6-алкиленовую группу; G означает ковалентную связь, атом кислорода; R1 означает группу R4, необязательно замещенную одной или несколькими группами R5 и/или R6; R4 означает группу, выбранную из оксазолила, изоксазолила, тиазолила, фенила, пиридинила, нафтила, хинолинила, изохинолинила; R5 означает атом галогена, группу циано, C1-6-алкил, C1-6-алкокси, C1-6-фторалкил, C1-6-фторалкокси, NR7R8; R6 означает фенильную группу, фенилокси или пиримидинилокси. причем группа или группы R6 могут быть замещены одной или двумя группами R5, одинаковыми или отличающимися друг от друга; R7 и R8 независимо друг от друга означают C1-6-алкильную группу; R2 означает атом водорода; R3 означает атом водорода или C1-С6алкильную группу. В общей формуле (IIа)

m означает целое число от 1 до 2; n обозначает 2; о обозначает 2; А обозначает X, Х означает метиленовую группу; В означает C1-6-алкиленовую группу; G означает ковалентную связь; R1 означает группу R4, необязательно замещенную одной или несколькими группами R5 и/или R6; R4 обозначает фенил; R5 означает атом галогена, C1-6-алкокси; R6 означает фенильную группу; R2 означает атом водорода.
Объектом изобретения являются производные пиперидиналкилкарбаматов, их получение и их применение в терапии.
Уже известны производные фенилалкилкарбаматов, диоксан-2-алкилкарбаматов и пиперидинил- и пиперазинилалкилкарбаматов, описанные соответственно в документах WO 2004/067498 A, WO 2004/020430 А и WO 2004/099176, являющиеся ингибиторами фермента FAAH (Fatty Acid Amido Hydrolase).
Потребность найти и разработать ингибиторы фермента FAAH существует всегда. Соединения согласно изобретению отвечают этой цели.
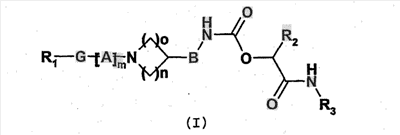
Соединения согласно изобретению отвечают общей формуле (I)

в которой m означает целое число от 1 до 4;
n означает целое число, равное 1, 2 или 3;
о означает целое число, равное 1 или 2;
А выбран из одной или нескольких групп X, Y и/или Z;
X означает метиленовую группу, необязательно замещенную одной или двумя С1-6-алкильными, C3-7-циклоалкильными или C3-7-циклоалкил-C1-3-алкиленовыми группами;
Y означает или C2-алкениленовую группу, необязательно замещенную одной или двумя группами C1-6-алкил, C3-7-циклоалкил или C3-7-циклоалкил-C1-3-алкилен, или C2-алкиниленовую группу;
Z означает группу формулы:

p означает целое число от 1 до 5;
q и r являются целыми числами и определены так, что r+q является числом от 1 до 5;
B означает ковалентную связь или C1-6-алкиленовую группу;
G означает ковалентную связь, атом кислорода или серы или группу -CH(OH)-, CO, SO или SO2;
R1 означает группу R4, необязательно замещенную одной или несколькими группами R5 и/или R6;
R4 означает группу, выбранную из фуранила, пирролила, тиенила, оксазолила, изоксазолила, тиазолила, изотиазолила, имидазолила, пиразолила, тиадиазолила, изотиадиазолила, оксадиазолила, тиадиазолила, триазолила, тетразолила, фенила, пиридинила, пиридазинила, пиримидинила, пиразинила, триазинила, нафтила, хинолинила, тетрагидрохинолинила, изохинолинила, тетрагидроизохинолинила, фталазинила, хиназолинила, хиноксалинила, циннолинила, нафтиридинила, имидазопиримидинила, тиенопиримидинила, бензофуранила, дигидробензофуранила, бензотиенила, дигидробензотиенила, бензимидазолила, бензоксазолила, бензизоксазолила, бензотиазолила, бензизотиазолила, индолила, изоиндолила, индазолила, пирролопиридинила, фуропиридинила, дигидрофуропиридинила, тиенопиридинила, дигидротиенопиридинила, имидазопиридинила, пиразолопиридинила, оксазолопиридинила, изоксазолопиридинила, тиазолопиридинила;
R5 означает атом галогена, группу циано, нитро, гидроксильную, С1-6-алкил, С1-6-алкокси, С1-6-тиоалкил, С1-6-фторалкил, С1-6-фторалкокси, С1-6-фтортиоалкил, C3-7-циклоалкил, C3-7-циклоалкил-C1-3-алкилен, NR7R8, NR7COR8, NR7CO2R8, NR7SO2R8, COR7, CO2R7, CONR7R8, SO2R7, SO2NR7R8 или -O-(C1-3-алкилен)-O-;
R6 означает группу: фенил, фенилокси, бензилокси, пиридинил, пиразинил, пиридазинил, пиримидинил или пиримидинилокси, причем группа или группы R6 могут быть замещены одной или несколькими группами R5, одинаковыми или отличающимися друг от друга;
R7 и R8 независимо друг от друга означают атом водорода или С1-6-алкильную группу, или вместе с атомом или атомами, с которыми они связаны, образуют цикл, выбранный из азетидинового, пирролидинового, пиперидинового, морфолинового, тиоморфолинового, азепинового или пиперазинового цикла, причем этот цикл при необходимости замещен С1-6-алкильной или бензильной группой;
R2 означает атом водорода или С1-6-алкильную группу;
R3 означает атом водорода или группу C1-6-алкил, C3-7-циклоалкил, C3-7-циклоалкил-C1-3-алкилен.
В рамках изобретения соединения общей формулы (I) могут, таким образом, содержать несколько групп А, одинаковых или отличных друг от друга.
Из соединений общей формулы (I) первую подгруппу соединений образуют соединения, в которых
m означает целое число от 1 до 4;
n означает целое число, равное 1 или 2;
о означает целое число, равное 1 или 2;
А выбран из одной или нескольких групп Х и/или Y;
Х означает метиленовую группу, необязательно замещенную одной или двумя C1-6-алкильными группами, в частности метил;
Y означает С2-алкиниленовую группу;
В означает ковалентную связь или C1-6-алкиленовую группу, в частности метилен или этилен;
G означает ковалентную связь или атом кислорода;
R1 означает группу R4, необязательно замещенную одной или несколькими группами R5 и/или R6, в частности одной или двумя группами R5 и/или R6;
R4 означает группу, выбранную из оксазолила, изоксазолила, тиазолила, фенила, пиридинила, нафтила, хинолинила, изохинолинила;
R5 означает атом галогена, в частности хлор, бром или фтор, группу циано, NR7R8, C1-6-алкильную группу, в частности метил или изопропил, C1-6-алкокси, в частности метокси или этокси, C1-6-фторалкил, в частности трифторметил, или C1-6-фторалкокси, в частности трифторметокси;
R6 означает фенильную группу, фенилокси или пиримидинилокси, причем группа или группы R6 могут быть замещены одной или несколькими группами R5, одинаковыми или отличающимися друг от друга;
R7 и R8 независимо друг от друга означают С1-6-алкильную группу, в частности метил;
R2 означает атом водорода или С1-6-алкильную группу;
R3 означает атом водорода или группу С1-6-алкил, C3-7-циклоалкил, C3-7-циклоалкил-C1-3-алкилен.
Из соединений общей формулы (I) и первой подгруппы, вторую подгруппу образуют соединения, в которых
n, o, A, B, G, R1, R2 и R3 такие, как определено в формуле (I) или в вышеуказанной подгруппе;
m означает целое число, равное 1 или 2, в частности равное 1.
Из соединений общей формулы (I) и вышеуказанных подгрупп третью подгруппу образуют соединения, в которых
m, A, B, G, R1, R2 и R3 такие, как определено в формуле (I) или в вышеуказанных подгруппах;
n равно 2;
o равно 2.
Из соединений общей формулы (I) и вышеуказанных подгрупп четвертую группу образуют соединения, в которых
m, n, o, A, B, G, R2 и R3 такие, как определено в формуле (I) или в вышеуказанных подгруппах;
R1 означает группу R4, при необходимости замещенную одной или несколькими группами R5 и/или R6, в частности одной или двумя группами R5 и/или R6;
R4 означает группу, выбранную из оксазолила, изоксазолила, фенила или нафтила;
R5 означает атом галогена, в частности хлор, бром или фтор, группу циано, NR7R8 или C1-6-алкильную группу, в частности метил или изопропил, C1-6-алкокси, в частности метокси или этокси, C1-6-фторалкил, в частности трифторметил, или C1-6-фторалкокси, в частности трифторметокси;
R6 означает фенильную группу, фенилокси или пиримидинилокси, причем группа или группы R6 могут быть замещены одной или несколькими группами R5, одинаковыми или отличными друг от друга;
R7 и R8 независимо друг от друга означают C1-6-алкильную группу, в частности метил.
Из соединений общей формулы (I) пятую подгруппу соединений образуют соединения, в которых
m, n, o, A, B, G и R1 такие, как определено в формуле (I) или в указанных выше подгруппах,
R2 означает атом водорода;
R3 означает атом водорода или С1-6-алкильную группу, в частности метил.
Из соединений общей формулы (I) можно назвать следующие соединения:
-[2-(метиламино)-2-оксоэтил]-{1-[(3,4′-дифторбифенил-4-ил)метил]пиперидин-4-ил}метилкарбамат;
-[2-(метиламино)-2-оксоэтил]-{1-[(3-хлор-4′-фторбифенил-4-ил)метил]пиперидин-4-ил}метилкарбамат;
-[2-(метиламино)-2-оксоэтил]-{1-[3-(4-фторфенокси)бензил]пиперидин-4-ил]}метилкарбамат;
-[2-(метиламино)-2-оксоэтил]-{1-[4-(4-хлор-3-фторметокси)бензил]пиперидин-4-ил}метилкарбамат;
-[2-(метиламино)-2-оксоэтил]-2-{1-[3-(трифторметокси)бензил]пиперидин-4-ил}этилкарбамат;
-[2-(метиламино)-2-оксоэтил]-2-{1-[4-(трифторметокси)бензил]пиперидин-4-ил}этилкарбамат;
-[2-(метиламино)-2-оксоэтил]-2-[-1-(3-трет-бутоксибензил)пиперидин-4-ил]этилкарбамат;
-[2-(метиламино)-2-оксоэтил]-2-[1-(3-трет-бутоксибензил)пиперидин-4-ил]метилкарбамат;
-[2-(метиламино)-2-оксоэтил]-2-[1-(2,4-дихлорбензил)пиперидин-4-ил]этилкарбамат;
-[2-(метиламино)-2-оксоэтил]-2-[1-(2,5-дихлорбензил)пиперидин-4-ил]этилкарбамат;
-[2-(метиламино)-2-оксоэтил]-2-[1-(3,5-дихлорбензил)пиперидин-4-ил]этилкарбамат;
-[2-(метиламино)-2-оксоэтил]-2-[1-(2-хлор-5-фторбензил)пиперидин-4-ил]
этилкарбамат;
-[2-(метиламино)-2-оксоэтил]-2-[1-(3-хлор-2-фторбензил)пиперидин-4-ил]
этилкарбамат;
-[2-(метиламино)-2-оксоэтил]-2-[1-(3-хлор-5-метилбензил)пиперидин-4-ил]
этилкарбамат;
-[2-(метиламино)-2-оксоэтил]-2-{1-[(3,4′-дифторбифенил-4-ил)метил]пиперидин-4-ил}этилкарбамат;
-[2-(метиламино)-2-оксоэтил]-2-{1-[(3-хлор-4′-фторбифенил-4-ил)метил]пиперидин-4-ил}этилкарбамат;
-[2-(метиламино)-2-оксоэтил]-2-{1-[4-(4-хлор-3-фторфенокси)бензил]пиперидин-4-ил}этилкарбамат;
-[2-(метиламино)-2-оксоэтил]-{1-[3-(4-фторфенокси)бензил]пиперидин-4-ил}
карбамат;
-[2-(метиламино)-2-оксоэтил]-{1-[3-(трифторметокси)бензил]пиперидин-4-ил}метилкарбамат;
-[2-(метиламино)-2-оксоэтил]-{1-[4-(трифторметокси)бензил]пиперидин-4-ил}метилкарбамат;
-[2-(метиламино)-2-оксоэтил]-{1-[3-(пиримидин-2-илокси)бензил]пиперидин-4-ил}метилкарбамат;
-[2-(метиламино)-2-оксоэтил]-2-[1-(2-хлор-4-фторбензил)пиперидин-4-ил]этилкарбамат;
-[2-(метиламино)-2-оксоэтил]-2-[1-(3-хлор-4-фторбензил)пиперидин-4-ил]этилкарбамат;
-[2-(метиламино)-2-оксоэтил]-2-[1-(3-циано-5-фторбензил)пиперидин-4-ил]этилкарбамат;
-[2-(метиламино)-2-оксоэтил]-2-{1-[3-(4-фторфенокси)бензил]пиперидин-4-ил}этилкарбамат;
-[2-(метиламино)-2-оксоэтил]-(1-{[3-(4-хлорфенил)изоксазол-5-ил]метил}пиперидин-4-ил)метилкарбамат;
-[2-(метиламино)-2-оксоэтил]-(1-{[5-(4-хлорфенил)-1,3-оксазол-2-ил]метил}пиперидин-4-ил)метилкарбамат;
-[2-(метиламино)-2-оксоэтил]-[1-({4-[4-(трифторметил)фенил]-l,3-тиазол-2-ил}метил)пиперидин-4-ил]метилкарбамат;
-[2-(метиламино)-2-оксоэтил]-2-[1-{[3-(4-хлорфенил)изоксазол-5-ил]метил}пиперидин-4-ил]этилкарбамат;
-[2-(метиламино)-2-оксоэтил]-2-[1-{[5-(4-хлорфенил)-1,3-оксазол-2-ил]метил}пиперидин-4-ил]этилкарбамат;
-[2-(метиламино)-2-оксоэтил]-2-[1-({4-[4-(трифторметил)фенил]-1,3-тиазол-2-ил}метил)пиперидин-4-ил]этилкарбамат;
-[2-(метиламино)-2-оксоэтил]-[1-{2-[5-(4-хлорфенил)изоксазол-3-ил]этил}пиперидин-4-ил]метилкарбамат;
-[2-(метиламино)-2-оксоэтил]-2-[1-{2-[3-(4-хлорфенил)изоксазол-5-ил]этил}пиперидин-4-ил]этилкарбамат;
-[2-(метиламино)-2-оксоэтил]-[1-{2-[3-(4-хлорфенил)изоксазол-5-ил]этил}пиперидин-4-ил]метилкарбамат;
-[2-(метиламино)-2-оксоэтил]-[1-{3-[3-(4-хлорфенил)изоксазол-5-ил]пропил}пиперидин-4-ил]метилкарбамат;
-[2-(метиламино)-2-оксоэтил]-[1-{3-[5-(4-хлорфенил)изоксазол-3-ил]пропил}пиперидин-4-ил]метилкарбамат;
-[2-(метиламино)-2-оксоэтил]-{1-[1-(2-хлор-4-фторфенил)этил]пиперидин-4-ил}метилкарбамат;
-[2-(метиламино)-2-оксоэтил]-[1-{1-[3-(4-хлорфенокси)фенил]этил}пиперидин-4-ил]метилкарбамат;
-[2-(метиламино)-2-оксоэтил]-[1-{1-[2-хлор-3-(4-хлорфенокси)фенил]этил}пиперидин-4-ил]метилкарбамат;
-[2-(метиламино)-2-оксоэтил]-2-(1-{1-[3-(трифторметокси)фенил]этил}пиперидин-4-ил)этилкарбамат;
-[2-(метиламино)-2-оксоэтил]-2-{1-[1-(2-хлор-4-фторфенил)этил]пиперидин-4-ил}этилкарбамат;
-[2-(метиламино)-2-оксоэтил]-{1-[4-(4-хлорфенил)бут-3-ин-1-ил]пиперидин-4-ил}карбамат;
-[2-(метиламино)-2-оксоэтил]-{1-[5-(4-хлорфенил)пент-4-ин-1-ил]пиперидин-4-ил}карбамат;
-[2-(метиламино)-2-оксоэтил]-{1-[5-(2,5-дихлорфенил)пент-4-ин-1-ил]пиперидин-4-ил}карбамат;
-[2-(метиламино)-2-оксоэтил]-{1-[4-(4-хлорфенил)бут-3-ин-1-ил]пиперидин-4-ил}метилкарбамат;
-[2-(метиламино)-2-оксоэтил]-{1-[4-(4-хлор-2-фторфенил)бут-3-ин-1-ил]пиперидин-4-ил}метилкарбамат;
-[2-(метиламино)-2-оксоэтил]-{1-[4-(2,5-дихлорфенил)бут-3-ин-1-ил]пиперидин-4-ил}метилкарбамат.
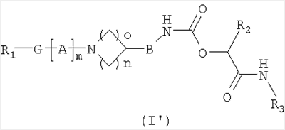
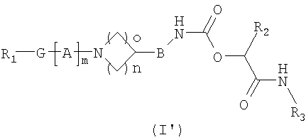
Из соединений общей формулы (I) одна подгруппа соединений образована соединениями, отвечающими общей формуле (I’):

в которой m означает целое число от 1 до 4;
n означает целое число, равное 1, 2 или 3;
о означает целое число, равное 1 или 2;
А выбран из одной или нескольких групп X, Y и/или Z;
Х означает метиленовую группу, необязательно замещенную одной или двумя группами C1-6-алкил, С3-7-циклоалкил или С3-7-циклоалкил-С1-3-алкилен;
Y означает С2-алкениленовую группу, при необходимости замещенную одной или двумя группами C1-6-алкил, С3-7-циклоалкил или С3-7-циклоалкил-С1-3-алкилен; или
C2-алкиниленовую группу;
Z означает группу формулы

p означает целое число от 1 до 5;
q и r означают целые числа и определены так, что r+q является целым числом от 1 до 5;
B означает ковалентную связь или C1-6-алкиленовую группу;
G означает ковалентную связь, атом кислорода или серы или группу -CH(OH)-, CO, SO или SO2;
R1 означает группу R4, при необходимости замещенную одной или несколькими группами R5 и/или R6;
R4 означает группу, выбранную из фуранила, пирролила, тиенила, оксазолила, изоксазолила, тиазолила, изотиазолила, имидазолила, пиразолила, тиадиазолила, изотиадиазолила, оксадиазолила, тиадиазолила, триазолила, тетразолила, фенила, пиридинила, пиридазинила, пиримидинила, пиразинила, триазинила, нафтила, хинолинила, тетрагидрохинолинила, изохинолинила, тетрагидроизохинолинила, фталазинила, хиназолинила, хиноксалинила, циннолинила, нафтиридинила, имидазопиримидинила, тиенопиримидинила, бензофуранила, дигидробензофуранила, бензотиенила, дигидробензотиенила, бензимидазолила, бензоксазолила, бензизоксазолила, бензотиазолила, бензизотиазолила, индолила, изоиндолила, индазолила, пирролопиридинила, фуропиридинила, дигидрофуропиридинила, тиенопиридинила, дигидротиенопиридинила, имидазопиридинила, пиразолопиридинила, оксазолопиридинила, изоксазолопиридинила, тиазолопиридинила;
R5 означает атом галогена, группу циано, нитро, гидроксильную, C1-6-алкил, C1-6-алкокси, C1-6-тиоалкил, C1-6-фторалкил, C1-6-фторалкокси, C1-6-фтортиоалкил, С3-7-циклоалкил, С3-7-циклоалкил-С1-3-алкилен, NR7R8, NR7COR8, NR7CO2R8, NR7SO2R8, COR7, CO2R7, CONR7R8, SO2R7, SO2NR7R8 или -О- (C1-3-алкилен) -O-;
R6 означает группу фенил, фенилокси, бензилокси, пиридинил, пиразинил, пиридазинил или пиримидинил, причем группа или группы R6 могут быть замещены одной или несколькими группами R5, одинаковыми или отличающимися друг от друга;
R7 и R8 независимо друг от друга означают атом водорода или C1-6-алкильную группу, или вместе с атомом или атомами, с которыми они связаны, образуют цикл, выбранный из азетидинового, пирролидинового, пиперидинового, морфолинового, тиоморфолинового, азепинового или пиперазинового цикла, причем этот цикл при необходимости замещен C1-6-алкильной или бензильной группой;
R2 означает атом водорода или C1-6-алкильную группу;
R3 означает атом водорода или группу C1-6-алкил, С3-7-циклоалкил, С3-7-циклоалкил-С1-3-алкилен.
Из соединений общей формулы (I’) первую подгруппу соединений образуют соединения, в которых
m означает целое число от 1 до 3;
n означает целое число, равное 1 или 2;
о означает целое число, равное 2;
A является метиленовой группой;
B означает ковалентную связь или С1-6-алкиленовую группу, в частности метилен или этилен;
G означает ковалентную связь или атом кислорода;
R1 означает группу R4, необязательно замещенную одной или несколькими группами R5 и/или R6, в частности одной или двумя группами R5 и/или R6;
R4 означает группу, выбранную из фенила, пиридинила, нафтила, изохинолинила;
R5 означает атом галогена, в частности хлор, бром или фтор, группу циано, N,N-диметиламиногруппу, C1-6-алкильную группу, в частности изопропил, C1-6-алкокси, в частности метокси или этокси, C1-6-фторалкил, в частности трифторметил;
R6 означает фенильную группу;
R2 означает атом водорода или C1-6-алкильную группу;
R3 означает атом водорода или группу C1-6-алкил, C3-7-циклоалкил, C3-7-циклоалкил-C1-3-алкилен.
Из соединений общей формулы (I’) вторую подгруппу соединений образуют соединения, в которых
m, n, o, A, B, G и R1 такие, как определено в подгруппе 1;
R2 означает атом водорода;
R3 означает атом водорода или C1-6-алкильную группу, в частности метил.
Из соединений общей формулы (I’) могут быть названы следующие соединения:
-[2-(метиламино)-2-оксоэтил]-{1-[(2-хлорфенил)метил]пиперидин-4-ил}метилкарбамат;
-[2-(метиламино)-2-оксоэтил]-{1-[(4-хлорфенил)метил]пиперидин-4-ил}метилкарбамат;
-[2-(метиламино)-2-оксоэтил]-{1-[(4-хлорфенил)метил]пиперидин-4-ил}карбамат;
-[2-(метиламино)-2-оксоэтил]-(1-[4-(1-метилэтил)фенил]метилпиперидин-4-ил)метилкарбамат;
-[2-(метиламино)-2-оксоэтил]-[1-(бифенил-4-илметил)пиперидин-4-ил]карбамат;
-[2-(метиламино)-2-оксоэтил]-[1-(бифенил-4-илметил)пиперидин-4-ил]метилкарбамат;
-[2-(метиламино)-2-оксоэтил]-2-[1-(бифенил-4-илметил)пиперидин-4-ил]этилкарбамат;
-[2-(метиламино)-2-оксоэтил]-[1-(2-бифенил-4-илэтил)пиперидин-4-ил]карбамат;
-[2-(метиламино)-2-оксоэтил]-[1-(нафталин-2-илметил)пиперидин-4-ил]метилкарбамат;
-[2-(метиламино)-2-оксоэтил]-2-{1-[(4-бромфенил)метил]пиперидин-4-ил}этилкарбамат;
-[2-(метиламино)-2-оксоэтил]-2-(1-{[3-(трифторметил)фенил]метил}пиперидин-4-ил)этилкарбамат;
-[2-(метиламино)-2-оксоэтил]-2-(1-{[4-(трифторметил)фенил]метил}пиперидин-4-ил)этилкарбамат;
-[2-(метиламино)-2-оксоэтил]-2-{1-[(2,3-дихлорфенил)метил]пиперидин-4-ил}этилкарбамат;
-[2-(метиламино)-2-оксоэтил]-2-{1-[(3,4-дихлорфенил)метил]пиперидин-4-ил}этилкарбамат;
-[2-(метиламино)-2-оксоэтил]-2-[1-(нафталин-1-илметил)пиперидин-4-ил]этилкарбамат;
-[2-(метиламино)-2-оксоэтил]-2-[1-(нафталин-2-илметил)пиперидин-4-ил]этилкарбамат;
-[2-(метиламино)-2-оксоэтил]-2-[1-(пиридин-2-илметил)пиперидин-4-ил]этилкарбамат;
-[2-(метиламино)-2-оксоэтил]-(l-{2-[4-фтор-2-(метилокси)фенил]этил}пиперидин-4-ил)метилкарбамат;
-[2-(метиламино)-2-оксоэтил]-(1-{2-[(4-фторфенил)окси]этил}пиперидин-4-ил)карбамат;
-[2-(метиламино)-2-оксоэтил]-(1-{2-[(4-хлорфенил)окси]этил}пиперидин-4-ил)карбамат;
-[2-(метиламино)-2-оксоэтил]-(l-{2-[(2,4-дихлорфенил)окси]этил}пиперидин-4-ил)карбамат;
-[2-(метиламино)-2-оксоэтил]-(1-{2-[(4-хлорфенил)окси]этил}пиперидин-4-ил)метилкарбамат;
-[2-(метиламино)-2-оксоэтил]-1-{2-[(2,4-дихлорфенил)окси]этил}пиперидин-4-ил)метилкарбамат;
-[2-(метиламино)-2-оксоэтил]-2-(1-{2-[(4-фторфенил)окси]этил}пиперидин-4-ил)этилкарбамат;
-[2-(метиламино)-2-оксоэтил]-2-(1-{2-[(4-хлорфенил)окси]этил}пиперидин-4-ил)этилкарбамат;
-[2-(метиламино)-2-оксоэтил]-(1-{2-[(4-фторфенил)окси]этил}пирролидин-3-ил)метилкарбамат;
-[2-(метиламино)-2-оксоэтил]-(1-{2-[(4-хлорфенил)окси]этил}пирролидин-3-ил)метилкарбамат;
-[2-(метиламино)-2-оксоэтил]-(1-{2-[3-(трифторметил)фенил]этил}пиперидин-4-ил)карбамат;
-[2-(метиламино)-2-оксоэтил]-{1-[2-(4-хлорфенил)этил]пиперидин-4-ил}карбамат;
-[2-(метиламино)-2-оксоэтил]-{1-[2-(4-цианофенил)этил]пиперидин-4-ил}карбамат;
-[2-(метиламино)-2-оксоэтил]-(1-{2-[(изохинолин-5-ил)окси]этил}пиперидин-4-ил)карбамат;
-[2-(метиламино)-2-оксоэтил]-[1-(2-нафталин-1-илэтил)пиперидин-4-ил]карбамат;
-[2-(метиламино)-2-оксоэтил]-[1-(2-нафталин-2-илэтил)пиперидин-4-ил]карбамат;
-[2-(метиламино)-2-оксоэтил]-{1-[3-(4-хлорфенил)пропил]пиперидин-4-ил}карбамат;
-[2-(метиламино)-2-оксоэтил]-(1-{3-[4-(метилокси)фенил]пропил}пиперидин-4-ил)карбамат;
-[2-(метиламино)-2-оксоэтил]-{1-[2-(3-хлорфенил)этил]пиперидин-4-ил}метилкарбамат;
-[2-(метиламино)-2-оксоэтил]-(1-{2-[4-(этилокси)фенил]этил}пиперидин-4-ил)метилкарбамат;
-[2-(метиламино)-2-оксоэтил]-[1-{2-[4-(диметиламино)фенил]этил}пиперидин-4-ил)метилкарбамат;
-[2-(метиламино)-2-оксоэтил]-{1-[2-(2,4-дихлорфенил)этил]пиперидин-4-ил}метилкарбамат;
-[2-(метиламино)-2-оксоэтил]-[1-(2-нафталин-1-илэтил)пиперидин-4-ил]метилкарбамат;
-[2-(метиламино)-2-оксоэтил]-[1-(2-нафталин-2-илэтил)пиперидин-4-ил]метилкарбамат;
-[2-(метиламино)-2-оксоэтил]-(1-{3-[4-(метилокси)фенил]пропил}пиперидин-4-ил)метилкарбамат;
-[2-(метиламино)-2-оксоэтил]-2-{1-[2-(2-хлорфенил)этил]пиперидин-4-ил}этилкарбамат;
-[2-(метиламино)-2-оксоэтил]-2-{1-[2-(4-фторфенил)этил]пиперидин-4-ил}этилкарбамат;
-[2-(метиламино)-2-оксоэтил]-2-(1-{2-[4-(этилокси)фенил]этил}пиперидин-4-ил)этилкарбамат;
-[2-(метиламино)-2-оксоэтил]-2-{1-[2-(2-хлор-6-фторфенил)этил]пиперидин-4-ил}этилкарбамат;
-[2-(метиламино)-2-оксоэтил]-2-(1-{3-[4-(метилокси)фенил]пропил}пиперидин-4-ил)этилкарбамат.
Соединения общей формулы (I) могут содержать один или несколько несимметричных углеродов. Они могут существовать в форме энантиомеров или диастереомеров. Эти энантиомеры или диастереомеры, а также их смеси, в том числе рацемические смеси, являются частью изобретения.
Соединения формулы (I) могут существовать в виде оснований или кислотно-аддитивных солей. Такие аддитивные соли являются частью изобретения.
Эти соли предпочтительно получены с фармацевтически приемлемыми кислотами, но и соли других кислот, пригодные, например, для очистки или выделения соединений формулы (I), также составляют часть изобретения.
Соединения общей формулы (I) могут находиться в виде гидратов или иных сольватов, а именно в виде ассоциатов или иных комбинаций с одной или несколькими молекулами воды или с растворителем. Такие гидраты и сольваты также составляют часть изобретения.
В контексте изобретения подразумевается, что
– Ct-z, где t и z могут принимать значения от 1 до 7, означает углеродную цепь, которая может иметь от t до z атомов углерода, например, C1-3 является углеродной цепью, которая может иметь от 1 до 3 атомов углерода;
– алкил означает насыщенную алифатическую группу, линейную или разветвленную, например, С1-6-алкильная группа означает углеродную цепь с 1-6 атомами углерода, линейную или разветвленную, в частности метил, этил, пропил, изопропил, бутил, изобутил, трет-бутил, пентил, гексил;
– алкилен означает двухвалентную насыщенную алкильную группу, линейную или разветвленную, например, С1-3-алкиленовая группа означает двухвалентную углеродную цепь с 1-3 атомами углерода, линейную или разветвленную, в частности метилен, этилен, 1-метилэтилен, пропилен;
– циклоалкил означает циклическую алкильную группу, например C3-7-циклоалкильная группа означает циклическую углеродную группу с 3-7 атомами углерода, в частности циклопропил, циклобутил, циклопентил, циклогексил, циклогептил;
– алкенилен означает двухвалентную ненасыщенную алифатическую группу с 2 атомами углерода, в частности этилен;
– C2-алкинилиен означает группу -С С-;
– алкокси означает -О-алкильную группу с насыщенной алифатической цепью, линейной или разветвленной;
– тиоалкил означает -S-алкильную группу с насыщенной алифатической цепью, линейной или разветвленной;
– фторалкил означает алкильную группу, в которой один или несколько атомов водорода замещены атомом фтора;
– фторалкокси означает алкоксигруппу, в которой один или несколько атомов водорода замещены атомом фтора;
– фтортиоалкил означает тиоалкильную группу, в которой один или несколько атомов водорода замещены атомом фтора;
– атом галогена означает фтор, хлор, бром или йод.
Далее под защитной группой PG понимается группа, которая позволяет, с одной стороны, защитить реакционноспособную функциональную группу, такую как гидрокси или аминогруппу, во время синтеза, а с другой стороны, позволяет активизировать невредимую реакционноспособную функциональную группу в конце синтеза. Примеры защитных групп, а также способы защиты и удаления защиты приведены в “Protective Groups in Organic Synthesis”, Green et al., 2nd Edition (John Wiley & Sons, Inc., New York).
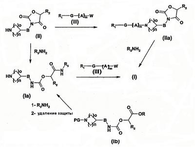
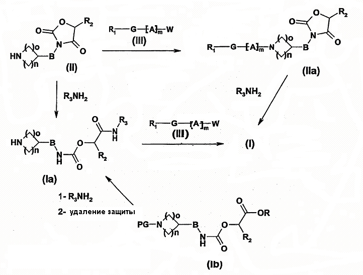
Соединения согласно изобретению могут быть получены разными способами, показанными на следующей схеме 1.
Так, первый способ (схема 1) состоит в том, чтобы ввести в реакцию соединение общей формулы (II), в котором B, R2, n и o такие, как определено в общей формуле (I), с производным общей формулы (III), в которой W означает мезилатную, тозилатную группу или атом хлора, брома или йода, а m, G, A и R1 такие, как определено в общей формуле (I), в присутствии основания, такого как триэтиламин, гидрид натрия, трет-бутоксид натрия или карбонат натрия, в растворителе, таком как тетрагидрофуран, ацетонитрил, диметилсульфоксид или диметилформамид, при температуре, составляющей от 0°C до температуры кипения растворителя.
Схема 1

Затем полученный таким образом оксазолидиндион общей формулы (IIa) преобразуют в соединение общей формулы (I), аминолизом амином общей формулы R3NH2, в которой R3 такой, как определено в общей формуле (I). Реакция аминолиза может быть проведена в растворителе, таком как метанол, этанол, или в смеси растворителей, таких как метанол и тетрагидрофуран, или метанол и диоксан.
Один вариант получения соединений общей формулы (I) (схема 1) состоит в преобразовании соединения общей формулы (II), такой, как определенная выше, аминолизом в описанных выше условиях с помощью амина общей формулы R3NH2, такой как определена выше, чтобы получить производное карбамата-амида общей формулы (Ia), в которой B, R2, R3, n и o такие, как определено в общей формуле (I). Затем получают соединение общей формулы (I) реакцией соединения (Ia) с производным общей формулы (III), таким как определено выше, в описанных выше условиях.
Производное карбамата-амида общей формулы (Ia), такое как определено выше, может быть получено также из сложного эфира карбамата общей формулы (Ib), в которой B, R2, n и o такие, как определено в общей формуле (I), PG означает защитную группу, такую как Boc (трет-бутилоксикарбонил), и R означает метильную или этильную группу, путем аминолиза амином общей формулы R3NH2, таким как определено выше, и в описанных выше условиях, затем путем удаления защиты, например, в присутствии раствора соляной кислоты (5 н.) в изопропаноле.
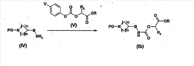
Сложные эфиры – карбаматы (Ib) – могут быть получены по способу, показанному на следующей схеме 2.
Схема 2

Согласно схеме 2 сложный эфир карбамата общей формулы (Ib) получен по реакции амина общей формулы (IV), в которой B, n и o такие, как определено в общей формуле (I), и PG означает защитную группу, такую как Boc, с карбонатом общей формулы (V), в которой V означает атом водорода или группу нитро, R2 определен в общей формуле (I) и R означает метильную или этильную группу.
Если способ их получения не описан, соединения общей формулы (II) могут быть получены способами, описанными в литературе, или способами, аналогичными описанным, или способами, которые известны специалисту.
Карбонаты общей формулы (V) могут быть получены любым способом, описанным в литературе, например реакцией спирта общей формулы HOCHR2COOR, где R означает метильную или этильную группу, с хлорформиатом фенила или 4-нитрофенила, в присутствии основания, такого как триэтиламин или диизопропилэтиламин.
Соединения общих формул (III), (IV) и амины общей формулы R3NH2 коммерчески доступны или приготовлены способами, описанными в литературе или известными специалисту способами.
Соединения общей формулы (Ia), в которой B, R2, R3, n и o определены в общей формуле (I), являются новыми и также составляют часть изобретения. Они полезны в качестве промежуточных продуктов синтеза для получения соединений общей формулы (I).
Соединения общей формулы (IIa), в которой m, G, A, R1, B, R2, n и o определены в общей формуле (I), являются новыми и также составляют часть изобретения, за исключением соединения 3-[1-(фенилметил)-4-пиперидинил]-2,4-оксазолидиндион. Они полезны в качестве промежуточных соединений синтеза для получения соединения общей формулы (I).
Следующие примеры иллюстрируют получение некоторых соединений согласно изобретению. Эти примеры не являются ограничивающими и только иллюстрируют изобретение. Микроанализ, ИК- и ЯМР-спектры и/или ЖХ-МС (жидкостная хроматография в сочетании с масс-спектроскопией) подтверждают структуру и чистоту полученных соединений.
PF(°C) означает температуру плавления в градусах Цельсия.
Номера, указанные в скобках в названиях примеров, соответствуют номерам, приведенным в первой колонке нижеследующей таблицы.
Пример 1 (соединение N 25)
[2-(Метиламино)-2-оксоэтил]-2-[1-(бифенил-4-илметил)пиперидин-4-ил]этилкарбамат

1.1. Гидрохлорид 3-(2-пиперидин-4-илэтил)-1,3-оксазолидин-2,4-диона
К раствору 10 г (77,40 ммоль) 2-пиперидин-4-илэтанола, 22,33 г (85,14 ммоль) трифенилфосфина и 9,39 г (92,88 ммоль) 1,3-оксазолидин-2,4-диона (J. Med. Chem. 1991,34, 1538-1544) в 150 мл тетрагидрофурана, охлажденному до примерно -10°C, в инертной атмосфере по каплям добавляют раствор 15,65 г (77,40 ммоль) диизопропилазодикарбоксилата (DIAD) в 25 мл тетрагидрофурана, поддерживая температуру реакционной среды между -10°C и 0°C. Продолжают перемешивать при 0°C в течение 1 часа, затем при 25°C в течение 22 часов. Образованную твердую фазу отделяют фильтрацией, промывают ее несколько раз тетрагидрофураном, затем сушат в вакууме при примерно 70°C. Затем твердую фазу вводят в раствор соляной кислоты (5 н.) в изопропаноле. Образовавшуюся твердую фазу выделяют фильтрацией и затем промывают этилацетатом и эфиром.
После сушки в вакууме при примерно 70°C получают 6,45 г гидрохлорида в виде твердого белого вещества.
PF(°C): 178°C.
1.2. 3-{2-[1-(Бифенил-4-илметил)пиперидин-4-ил]этил}-1,3-оксазолидин-2,4-дион
Раствор 0,40 г (1,61 ммоль) гидрохлорида 3-(2-пиперидин-4-илэтил)-1,3-оксазолидин-2,4-диона, полученного на стадии 1.1, 0,326 г (1,61 ммоль) 4-(хлорметил)бифенила и 0,51 г (4,82 ммоль) карбоната натрия в 3 мл ацетонитрила кипятят с обратным холодильником в течение 17 часов. Доводят до температуры окружающей среды, фильтруют и фильтрат концентрируют при пониженном давлении. Остаток объединяют с дихлорметаном и водой, отделяют водную фазу и экстрагируют ее два раза дихлорметаном. Соединенные органические фазы промывают насыщенным водным раствором хлорида натрия и сушат над сульфатом натрия. После выпаривания растворителя полученный остаток очищают хроматографией на силикагеле, элюируя смесью 97/3, затем 95/5 дихлорметана и метанола.
Получают 0,46 г продукта в виде бежевой твердой субстанции.
1.3. [2-(Метиламино)-2-оксоэтил]-2-[1-(бифенил-4-илметил)пиперидин-4-ил]этилкарбамат
К раствору 0,45 г (1,19 ммоль) 3-{2-[1-(бифенил-4-илметил)пиперидин-4-ил]этил}-1,3-оксазолидин-2,4-диона, полученному на стадии 1.2, в 5 мл метанола добавляют 3 мл (5,97 ммоль) раствора метиламина (2М) в тетрагидрофуране. Продолжают перемешивать при температуре окружающей среды в течение 17 часов. После концентрирования при пониженном давлении полученный остаток очищают хроматографией на силикагеле, элюируя смесью 95/5, затем 90/10 дихлорметана и метанола. Получают желтую пасту, которую кристаллизуют в диизопропиловом эфире.
Получают 0,40 г продукта в виде желтой твердой субстанции.
ЖХ-МС:М+Н = 410.
PF(°C) 106-110°C.
1H-ЯМР (CDCl3) (ppm): 1,2-1,50 (мас., 5Н); 1,70 (м, 2Н); 2,0 (шир. т, 2Н); 2,90 (д, 3Н); 3,0 (м, 2Н); 3,30 (квинтет, 2Н); 3,55 (с, 2Н); 4,60 (с, 2Н); 4,80 (шир. с, 1Н); 6,15 (шир. с, 1Н); 7,40 (м, 5Н); 7,60 (м, 4Н).
Пример 2 (соединение N 52)
[2-(Метиламино)-2-оксоэтил]-(1-{2-[4-фтор-2-(метокси)фенил]этил}пиперидин-4-ил)метилкарбамат

2.1. 1,1-Диметилэтил-4-{[(1-метилсульфонил)окси]метил}пиперидин-1-карбоксилат
К раствору 10,08 г (46,81 ммоль) 1,1-диметилэтил-4-(гидроксиметил)пиперидин-1-карбоксилата и 9,90 мл (70,21 ммоль) триэтиламина в 100 мл дихлорметана, охлажденному до примерно 0°C, по каплям в инертной атмосфере добавляют раствор 4 мл (51,49 ммоль) мезилхлорида в 10 мл дихлорметана. Удаляют баню и продолжают перемешивать при температуре окружающей среды в течение 30 минут. В реакционную среду добавляют воду, отделяют водную фазу, экстрагируют ее один раз дихлорметаном, соединенные органические фазы промывают водой, сушат над сульфатом натрия и фильтрат концентрируют при пониженном давлении.
Получают 13,7 г продукта в виде оранжевого масла, используемого на следующей стадии как есть.
2.2. 1,1-Диметилэтил-4-[(2,4-диоксо-1,3-оксазолидин-3-ил)метил]пиперидин-1-карбоксилат
Кипятят с обратным холодильником в течение 24 часов суспензию 13,60 г (46,36 ммоль) 1,1-диметилэтил-4-{[(метилсульфонил)окси]метил}пиперидин-1-карбоксилата, полученного на стадии 2.1, 9,37 г (92,72 ммоль) 1,3-оксазолидин-2,4-диона и 16,02 г (139,08 ммоль) 1,1,3,3-тетраметилгуанидина в смеси 180 мл тетрагидрофурана и 30 мл диметилформамида. Доводят до температуры окружающей среды и концентрируют при пониженном давлении. Остаток вводят в дихлорметан и воду, отделяют водную фазу и дважды экстрагируют ее дихлорметаном. Соединенные органические фазы промывают насыщенным водным раствором хлорида натрия и сушат их над сульфатом натрия. После выпаривания растворителя полученный остаток очищают хроматографией на силикагеле, элюируя смесью 98/2, затем 95/5 дихлорметана и метанола.
Получают 12,53 г продукта в виде коричневато-оранжевой твердой субстанции.
2.3. Гидрохлорид 3-(пиперидин-4-илметил)-1,3-оксазолидин-2,4-диона
К суспензии 12,51 г (41,95 ммоль) 1,1-диметилэтил-4-[(2,4-диоксо-1,3-оксазолидин-3-ил)метил]пиперидин-1-карбоксилата, полученного на стадии 2.2, в 65 мл диоксана добавляют 38,10 мл (209,75 ммоль) раствора соляной кислоты (5 н.) в изопропаноле. Продолжают перемешивать при примерно 60°С в течение 17 часов. Доводят до температуры окружающей среды. Твердую фазу выделяют фильтрацией, затем промывают ее несколько раз эфиром и сушат в вакууме при примерно 70°С.
Получают 8,41 г продукта в виде твердого белого вещества.
PF(°C): 195-200°С.
2.4. 3-[(1-{2-[4-Фтор-2-(метокси)фенил]этил}пиперидин-4-ил)метил]-1,3-оксазолидин-2,4-дион
Применяют способ, описанный в примере 1 (стадия 1.2). Из 0,40 г (1,70 ммоль) 3-(пиперидин-4-илметил)-1,3-оксазолидин-2,4-дионгидрохлорида, полученного на стадии 2.3, 0,423 г (1,70 ммоль) 2-[4-фтор-2-(метилокси)фенил]этилметансульфоната (ЕР 1340761) и 0,54 г (5,11 ммоль) карбоната натрия после обработки получают 0,590 г продукта в виде вязкого желтого масла, используемого на следующей стадии как есть.
2.5. [2-(Метиламино)-2-оксоэтил]-(1-{2-[4-фтор-2-(метокси)фенил]этил}пиперидин-4-ил)метилкарбамат
Следуют методике синтеза, описанной в примере 1 (стадия 1.3). Из 0,58 г (1,66 ммоль) 3-[(1-{2-[4-фтор-2-(метокси)фенил]этил}пиперидин-4-ил)метил]-1,3-оксазолидин-2,4-диона, полученного на стадии 2.4, и 8,28 мл (16,55 ммоль) раствора метиламина (2М) в тетрагидрофуране после хроматографии на силикагеле при элюировании смесью 95/5/0,5 дихлорметана, метанола и 28%-ного аммиака с последующим промыванием диизопропиловым эфиром получают 0,315 г продукта в виде твердого белого вещества.
ЖХ-МС: М+Н = 382.
PF(°C): 126-128°С.
1H-ЯМР (ДМСО) (ppm): 1,10 (м, 2Н); 1,35 (шир. с, 1Н); 1,60 (шир. д, 2Н); 1,85 (шир.т, 2Н); 2, 40 (м,2Н); 2,60 (м, 5Н); 2,90 (м, 4Н); 3,80 (с, 3Н); 4,30 (с, 2Н); 6,65 (тд, 1Н); 6,80 (дд, 1Н); 7,15 (м, 2Н); 7,70 (шир. с, 1Н).
Пример 3 (соединение N 68)
[2-(Метиламино)-2-оксоэтил]-(1-{2-[(2,4-дихлорфенил)окси]этил}пиперидин-4-ил)карбамат

3.1. 1,1-Диметилэтил-4-[({[2-(этилокси)-2-оксоэтил]окси}карбонил)амино]пиперидин-1-карбоксилат
Кипятят с обратным холодильником в течение 30 часов суспензию 5,09 г (25,42 ммоль) 1,1-диметилэтил-4-аминопиперидин-1-карбоксилата и 13,45 г (59,99 ммоль) этил[(фенилоксикарбонил)окси]ацетата (J. Med. Chem., 1999, 42, 277-290) в 300 мл толуола.
Доводят до температуры окружающей среды, нерастворимую фракцию отделяют фильтрацией и фильтрат концентрируют при пониженном давлении. Полученный так остаток очищают хроматографией на силикагеле, элюируя смесью 30/70 этилацетата и циклогексана.
Таким путем получают 6,62 г продукта в виде прозрачного желтого масла.
3.2. 1,1-диметилэтил-4-[({[2-(метиламино)-2-оксоэтил]окси}карбонил)амино]пиперидин-1-карбоксилат
Действуют, как в примере 1 (стадия 1.3). Из 6,33 г (19,16 ммоль) 1,1-диметилэтил-4-[({[2-(этилокси)-2-оксоэтил]окси}карбонил)амино]пиперидин-1-карбоксилата, полученного на стадии 3.1, и 47,90 мл (95,81 ммоль) раствора метиламина (2М) в тетрагидрофуране, получают 5,90 г продукта в виде пасты липкого желтого вещества.
3.3. Гидрохлорид 2-(метиламино)-2-оксоэтилпиперидин-4-илкарбамата
Применяют способ, описанный в примере 2 (стадия 2.3).
Из 5,90 г (18,71 ммоль) 1,1-диметилэтил-4-[({[2-(метиламино)-2-оксоэтил]окси}карбонил)амино]пиперидин-1-карбоксилата, полученного на стадии 3.2, и 17 мл (93,53 ммоль) раствора соляной кислоты (5 н.) в изопропаноле, после промывки диизопропиловым эфиром и сушки под вакуумом при примерно 70°С получают 3,83 г гидрохлорида в виде твердого белого вещества.
PF(°C): 153°С.
3.4. [2-(Метиламино)-2-оксоэтил]-(1-{2-[(2,4-дихлорфенил)окси]этил}пиперидин-4-ил)карбамат
Применяют способ, описанный в примере 1 (стадия 1.2). Из 0,51 г (1,89 ммоль) гидрохлорида [2-(метиламино)-2-оксоэтил]пиперидин-4-илкарбамата, полученного на стадии 3.3, 0,50 г (1,99 ммоль) 1-[(2-бромэтил)окси]-2,4-дихлорбензола и 0,60 г (5,68 ммоль) карбоната натрия после хроматографии на силикагеле при элюировании смесью 94/6/0,6, затем 95/5/0,5 дихлорметана, метанола и 28%-ного аммиака и последующей промывки диизопропиловым эфиром получают 0,44 г продукта в виде твердого белого вещества.
ЖХ-МС: M+H = 404.
PF(°C) 115-119°C.
1H-ЯМР (CDCl3) (ppm): 1,50 (м, 2H); 2,0 (шир. д, 2H); 2,35 (шир. т, 2H); 2,90 (д, 3H); 3,0 (м, 4H); 3,60 (м, 1H); 4,15 (т, 2H); 4,60 (с, 2H); 4,75 (шир. д, 1H); 6,15 (шир. с, 1H); 6,85 (д, 1H); 7,20 (дд, 1H); 7,40 (д, 1H).
Пример 4 (соединение N 4)
Гидрохлорид [2-(метиламино)-2-оксоэтил]-{1-[(4-хлорфенил)метил]пиперидин-4-ил}метилкарбамата

4.1. Гидрохлорид [2-(метиламино)-2-оксоэтил]-(пиперидин-4-ил)метилкарбамата
При температуре окружающей среды перемешивают в течение 15 часов раствор 0,50 г (2,13 ммоль) гидрохлорида 3-(пиперидин-4-илметил)-1,3-оксазолидин-2,4-диона, полученного на стадии 2.3, и 5,30 мл (10,65 ммоль) раствора метиламина (2М) в тетрагидрофуране в 10 мл метанола. После концентрирования при пониженном давлении полученный остаток обрабатывают раствором соляной кислоты (5 н.) в изопропаноле. Полученный гидрохлорид выделяют фильтрацией, промывают его диизопропиловым эфиром и сушат под вакуумом при примерно 70°С.
Получают 0,49 г белого порошка.
4.2. Гидрохлорид [2-(метиламино)-2-оксоэтил]-{1-[(4-хлорфенил)метил]пиперидин-4-ил}метилкарбамата
При температуре окружающей среды перемешивают смесь 0,118 г (0,44 ммоль) гидрохлорида [2-(метиламино)-2-оксоэтил]-(пиперидин-4-ил)метилкарбамата, 0,283 г (1,33 ммоль) триацетоксиборгидрида натрия и 0,626 г (4,45 ммоль) 4-хлорбензальдегида в 5 мл 1%-ного раствора уксусной кислоты в N,N-диметилформамиде. После 24 часов перемешивания добавляют 2 г кислотной смолы DOWEX50WX2 (Fluka) и продолжают перемешивать при температуре окружающей среды в течение одного часа. Смолу фильтруют и 3 раза промывают 5 мл N,N-диметилформамида, 3 раза 5 мл дихлорметана и 3 раза 5 мл метанола. Затем смолу обрабатывают в течение одного часа при температуре окружающей среды 8 мл раствора (2М) аммиака в метаноле. Фильтруют и фильтрат концентрируют в вакууме. Продукт очищают хроматографией на силикагеле, элюируя смесью 94/6 дихлорметана и метанола, содержащего 2% водного раствора 28%-ного аммиака. Полученный маслянистый остаток обрабатывают 5 мл раствора соляной кислоты (0,1 н.) в изопропаноле. Концентрируют и получают 0,067 г белого порошка.
PF (°С): 220-222°С.
ЖХ-МС: М+Н = 354.
1H-ЯМР (ДМСО-d6/D2O): (ppm): 1,20 (м, 2H); 1,40 (м, 1H); 1,60 (м, 2H); 1,90 (т, 2H); 2,70 (с, 3H); 2,75 (д, 2H); 2,90 (д, 2H); 3,40 (с, 2H); 4,30 (с, 2H); 7,95 (м, 4H).
В нижеследующей таблице 1 показаны химическая структура и физические свойства некоторых соединений согласно изобретению.
В этой таблице
– в колонке “основание или соль” основание означает, что соединение находится в виде свободного основания, а HCl означает соединение в виде гидрохлорида, а отношение в скобках является отношением (кислота:основание),
– t-BuO, Me, Et и i-Pr означают соответственно группы трет-бутокси, метил, этил и изопропил и
– Ph означает фенильную группу.
Таблица 1

| N° |
R1 |
G |
[A]m |
n |
о |
B |
R2 |
R3 |
основание или соль |
PF(°C) |
| 1. |
4-Cl-фенил |
связь |
CH2 |
2 |
2 |
связь |
H |
CH3 |
основание |
144-146 |
| 2. |
4-Ph-фенил |
связь |
CH2 |
2 |
2 |
связь |
H |
CH3 |
основание |
165-167 |
| 3. |
2-Cl-фенил |
связь |
CH2 |
2 |
2 |
CH2 |
H |
CH3 |
HCl (1/1) |
173-175 |
| 4. |
4-Cl-фенил |
связь |
CH2 |
2 |
2 |
CH2 |
H |
CH3 |
HCl (1/1) |
220-222 |
| 5. |
4-iPr-фенил |
связь |
CH2 |
2 |
2 |
CH2 |
H |
CH3 |
HCl (1/1) |
159-161 |
| 6. |
4-Ph-фенил |
связь |
CH2 |
2 |
2 |
CH2 |
H |
CH3 |
HCl (1/1) |
205-207 |
| 7. |
[2-F,4-(4-F-фенил)]-фенил |
связь |
CH2 |
2 |
2 |
CH2 |
H |
CH3 |
основание |
156-158 |
| 8. |
[2-Cl,4-(4-F-фенил)]-фенил |
связь |
CH2 |
2 |
2 |
CH2 |
H |
CH3 |
HCl (1/1) |
163-169 |
| 9. |
3-(4-F-фенилокси)-фенил |
связь |
CH2 |
2 |
2 |
CH2 |
H |
CH3 |
HCl (1/1) |
163-165 |
| 10. |
4-[(3-F,4-Cl)-фенилокси]-фенил |
связь |
CH2 |
2 |
2 |
CH2 |
H |
CH3 |
основание |
96-104 |
| 11. |
нафталин-2-ил |
связь |
CH2 |
2 |
2 |
CH2 |
H |
CH3 |
HCl (1/1) |
156-157 |
| 12. |
4-Br-фенил |
связь |
CH2 |
2 |
2 |
(CH2)2 |
H |
CH3 |
основание |
107-111 |
| 13. |
3-CF3-фенил |
связь |
CH2 |
2 |
2 |
(CH2)2 |
H |
CH3 |
основание |
90-92 |
| 14. |
4-CF3-фенил |
связь |
CH2 |
2 |
2 |
(CH2)2 |
H |
CH3 |
основание |
116-12O |
| 15. |
3-CF3O-фенил |
связь |
CH2 |
2 |
2 |
(CH2)2 |
H |
CH3 |
основание |
418* |
| 16. |
4-CF3O-фенил |
связь |
CH2 |
2 |
2 |
(CH2)2 |
H |
CH3 |
основание |
109-111 |
| 17. |
(2-Cl,3-Cl)-фенил |
связь |
CH2 |
2 |
2 |
(CH2)2 |
H |
CH3 |
основание |
114-116 |
| 18. |
(2-Cl,4-Cl)-фенил |
связь |
CH2 |
2 |
2 |
(CH2)2 |
H |
CH3 |
основание |
117-119 |
| 19. |
(2-Cl,5-Cl)-фенил |
связь |
CH2 |
2 |
2 |
(CH2)2 |
H |
CH3 |
основание |
125-127 |
| 20. |
(3-Cl,4-Cl)-фенил |
связь |
CH2 |
2 |
2 |
(CH2)2 |
H |
CH3 |
основание |
101-105 |
| 21. |
(3-Cl,5-Cl)-фенил |
связь |
CH2 |
2 |
2 |
(CH2)2 |
H |
CH3 |
основание |
124-126 |
| 22. |
(2-Cl,5-F)-фенил |
связь |
CH2 |
2 |
2 |
(CH2)2 |
H |
CH3 |
основание |
102-104 |
| 23. |
(2-F,3-Cl)-фенил |
связь |
CH2 |
2 |
2 |
(CH2)2 |
H |
CH3 |
основание |
104-106 |
| 24. |
(3-Cl,5-CH3)-фенил |
связь |
CH2 |
2 |
2 |
(CH2)2 |
H |
CH3 |
основание |
79-81 |
| 25. |
4-Ph-фенил |
связь |
CH2 |
2 |
2 |
(CH2)2 |
H |
CH3 |
основание |
106-110 |
| 26. |
[2-F,4-(4-F-фенил)]-фенил |
связь |
CH2 |
2 |
2 |
(CH2)2 |
H |
CH3 |
основание |
143-145 |
| 27. |
[2-Cl,4-(4-F-фенил)]-фенил |
связь |
CH2 |
2 |
2 |
(CH2)2 |
H |
CH3 |
основание |
98-102 |
| 28. |
4-[(3-F,4-Cl)-фенилокси]-фенил |
связь |
CH2 |
2 |
2 |
(CH2)2 |
H |
CH3 |
основание |
109-111 |
| 29. |
нафталин-1-ил |
связь |
CH2 |
2 |
2 |
(CH2)2 |
H |
CH3 |
основание |
86-88 |
| 30. |
нафталин-2-ил |
связь |
CH2 |
2 |
2 |
(CH2)2 |
H |
CH3 |
основание |
87-93 |
| 31. |
пиридин-2-ил |
связь |
CH2 |
2 |
2 |
(CH2)2 |
H |
CH3 |
основание |
104-106 |
| 32. |
3-CF3-фенил |
связь |
(CH2)2 |
2 |
2 |
связь |
H |
CH3 |
HCl (1/1) |
136-138 |
| 33. |
4-Cl-фенил |
связь |
(CH2)2 |
2 |
2 |
связь |
H |
CH3 |
HCl (1/1) |
168-170 |
| 34. |
4-CN-фенил |
связь |
(CH2)2 |
2 |
2 |
связь |
H |
CH3 |
основание |
179-181 |
| 35. |
(2-Cl,3-Cl)-фенил |
связь |
(CH2)2 |
2 |
2 |
связь |
H |
CH3 |
основание |
117-123 |
| 36. |
(2-Cl,4-Cl)-фенил |
связь |
(CH2)2 |
2 |
2 |
связь |
H |
CH3 |
основание |
134-138 |
| 37. |
(2-Cl,6-Cl)-фенил |
связь |
(CH2)2 |
2 |
2 |
связь |
H |
CH3 |
основание |
163-167 |
| 38. |
(3-Cl,4-Cl)-фенил |
связь |
(CH2)2 |
2 |
2 |
связь |
H |
CH3 |
основание |
130-132 |
| 39. |
4-Ph-фенил |
связь |
(CH2)2 |
2 |
2 |
связь |
H |
CH3 |
основание |
174-178 |
| 40. |
4-фенилокси-фенил |
связь |
(CH2)2 |
2 |
2 |
связь |
H |
CH3 |
основание |
144-146 |
| 41. |
нафталин-1-ил |
связь |
(CH2)2 |
2 |
2 |
связь |
H |
CH3 |
HCl (1/1) |
185-187 |
| 42. |
4-F-нафталин-1-ил |
связь |
(CH2)2 |
2 |
2 |
связь |
H |
CH3 |
основание |
124-130 |
| 43. |
нафталин-2-ил |
связь |
(CH2)2 |
2 |
2 |
связь |
H |
CH3 |
HCl (1/1) |
198-202 |
| 44. |
3-Cl-фенил |
связь |
(CH2)2 |
2 |
2 |
CH2 |
H |
CH3 |
основание |
93-95 |
| 45. |
4-EtO-фенил |
связь |
(CH2)2 |
2 |
2 |
CH2 |
H |
CH3 |
основание |
134-136 |
| 46. |
4-Me2N-фенил |
связь |
(CH2)2 |
2 |
2 |
CH2 |
H |
CH3 |
основание |
130-132 |
| 47. |
2-Cl,3-Cl)-фенил |
связь |
(CH2)2 |
2 |
2 |
CH2 |
H |
CH3 |
основание |
81-87 |
| 48. |
(2-Cl,4-Cl)-фенил |
связь |
(CH2)2 |
2 |
2 |
CH2 |
H |
CH3 |
основание |
125-127 |
| 49. |
(2-Cl,4-Cl)-фенил |
связь |
(CH2)2 |
2 |
2 |
CH2 |
H |
H |
основание |
115-119 |
| 50. |
(2-Cl,6-Cl)-фенил |
связь |
(CH2)2 |
2 |
2 |
CH2 |
H |
CH3 |
основание |
144-148 |
| 51. |
(3-Cl,4-Cl)-фенил |
связь |
(CH2)2 |
2 |
2 |
CH2 |
H |
CH3 |
основание |
123-127 |
| 52. |
(2-MeO,4-F)-фенил |
связь |
(CH2)2 |
2 |
2 |
CH2 |
H |
CH3 |
основание |
126-128 |
| 53. |
4-фенилокси-фенил |
связь |
(CH2)2 |
2 |
2 |
CH2 |
H |
CH3 |
основание |
120-124 |
| 54. |
нафталин-1-ил |
связь |
(CH2)2 |
2 |
2 |
CH2 |
H |
CH3 |
HCl (1/1) |
148-150 |
| 55. |
4-F-нафталин-1-ил |
связь |
(CH2)2 |
2 |
2 |
CH2 |
H |
CH3 |
основание |
120-124 |
| 56. |
нафталин-2-ил |
связь |
(CH2)2 |
2 |
2 |
CH2 |
H |
CH3 |
основание |
163-166 |
| 57. |
2-Cl-фенил |
связь |
(CH2)2 |
2 |
2 |
(CH2)2 |
H |
CH3 |
HCl (1/1) |
121-123 |
| 58. |
4-F-фенил |
связь |
(CH2)2 |
2 |
2 |
(CH2)2 |
H |
CH3 |
основание |
122-124 |
| 59. |
4-EtO-фенил |
связь |
(CH2)2 |
2 |
2 |
(CH2)2 |
H |
CH3 |
основание |
118-120 |
| 60. |
(2-Cl,6-F)-фенил |
связь |
(CH2)2 |
2 |
2 |
(CH2)2 |
H |
CH3 |
основание |
88-90 |
| 61. |
4-Cl-фенил |
связь |
(CH2)3 |
2 |
2 |
связь |
H |
CH3 |
HCl (1/1) |
132-134 |
| 62. |
4-MeO-фенил |
связь |
(CH2)3 |
2 |
2 |
связь |
H |
CH3 |
HCl (1/1) |
175-177 |
| 63. |
4-MeO-фенил |
связь |
(CH2)3 |
2 |
2 |
CH2 |
H |
CH3 |
HCl (1/1) |
155-157 |
| 64. |
4-MeO-фенил |
связь |
(CH2)3 |
2 |
2 |
(CH2)2 |
H |
CH3 |
HCl (1/1) |
118-120 |
| 65. |
4-F-фенил |
O |
(CH2)2 |
2 |
2 |
связь |
H |
CH3 |
основание |
135-137 |
| 66. |
4-Cl-фенил |
O |
(CH2)2 |
2 |
2 |
связь |
H |
CH3 |
основание |
141-145 |
| 67. |
(2-Cl,3-Cl)-фенил |
O |
(CH2)2 |
2 |
2 |
связь |
H |
CH3 |
основание |
128-130 |
| 68. |
2-Cl,4-Cl}-фенил |
O |
(CH2)2 |
2 |
2 |
связь |
H |
CH3 |
основание |
115-119 |
| 69. |
2-Cl,4-Cl)-фенил |
O |
CH(CH3)CH2 |
2 |
2 |
связь |
H |
CH3 |
HCl (1/1) |
141-143 |
| 70. |
3-Cl,4-Cl)-фенил |
O |
(CH2)2 |
2 |
2 |
связь |
H |
CH3 |
основание |
146-148 |
| 71. |
4-Cl-нафталин-1-ил |
O |
(CH2)2 |
2 |
2 |
связь |
H |
CH3 |
основание |
136-140 |
| 72. |
4-C1-нафталин-1-ил |
O |
(CH2)2 |
2 |
2 |
связь |
H |
H |
основание |
141-143 |
| 73. |
хинолин-5-ил- |
O |
(CH2)2 |
2 |
2 |
связь |
H |
CH3 |
основание |
140-142 |
| 74. |
изохинолин-5-ил |
O |
(CH2)2 |
2 |
2 |
связь |
H |
CH3 |
основание |
149-153 |
| 75. |
4-Cl-фенил |
O |
(CH2)2 |
2 |
2 |
CH2 |
H |
CH3 |
основание |
115-119 |
| 76. |
(2-Cl,3-Cl)-фенил |
O |
(CH2)2 |
2 |
2 |
CH2 |
H |
CH3 |
основание |
117-119 |
| 77. |
(2-Cl,4-Cl)-фенил |
O |
(CH2)2 |
2 |
2 |
CH2 |
H |
CH3 |
HCl (1/1) |
137-139 |
| 78. |
(2-Cl,4-Cl)-фенил |
O |
CH(CH3)CH2 |
2 |
2 |
CH2 |
H |
CH3 |
HCl (1/1) |
194-196 |
| 79. |
(3-Cl,4-Cl)-фенил |
O |
(CH2)2 |
2 |
2 |
CH2 |
H |
CH3 |
основание |
98-100 |
| 80. |
4-C1-нафталин-1-ил |
O |
(CH2)2 |
2 |
2 |
CH2 |
H |
CH3 |
основание |
116-120 |
| 81. |
хинолин-5-ил |
O |
(CH2)2 |
2 |
2 |
CH2 |
H |
CH3 |
HCl (1/1) |
220-224 |
| 82. |
изохинолин-5-ил |
O |
(CH2)2 |
2 |
2 |
CH2 |
H |
CH3 |
HCl (1/1) |
74-78 |
| 83. |
4-F-фенил |
O |
(CH2)2 |
2 |
2 |
(CH2)2 |
H |
CH3 |
основание |
125-129 |
| 84. |
4-Cl-фенил |
O |
(CH2)2 |
2 |
2 |
(CH2)2 |
H |
CH3 |
основание |
109-113 |
| 85. |
4-Cl-фенил |
O |
(CH2)3 |
2 |
2 |
связь |
H |
CH3 |
основание |
133-137 |
| 86. |
4-F-фенил |
O |
(CH2)2 |
1 |
2 |
CH2 |
H |
CH3 |
HCl (1/1) |
354* |
| 87. |
4-Cl-фенил |
O |
(CH2)2 |
1 |
2 |
CH2 |
H |
CH3 |
основание |
67-69 |
| 88. |
3-(4-F-фенилокси)-фенил |
связь |
CH2 |
2 |
2 |
связь |
H |
CH3 |
основание |
107-109 |
| 89. |
5-(4-Cl-фенил)-изоксазол-3-ил |
связь |
(CH2)3 |
2 |
2 |
связь |
H |
CH3 |
основание |
151-153 |
| 90. |
3-CF3O-фенил |
связь |
CH2 |
2 |
2 |
CH2 |
H |
CH3 |
основание |
73-75 |
| 91. |
4-CF3O-фенил |
связь |
CH2 |
2 |
2 |
CH2 |
H |
CH3 |
основание |
104-106 |
| 92. |
3- (пиримидин-2-илокси)-фенил |
связь |
CH2 |
2 |
2 |
CH2 |
H |
CH3 |
HCl (1/1) |
196-200 |
| 93. |
3-(4-Cl-фенил)-изоксазол-5-ил |
связь |
CH2 |
2 |
2 |
CH2 |
H |
CH3 |
основание |
148-150 |
| 94. |
5-(4-Cl-фенил)-1,3-оксазол-2-ил |
связь |
CH2 |
2 |
2 |
CH2 |
H |
CH3 |
основание |
143-145 |
| 95. |
4-(4-CF3-фенил)-1,3-тиазол-2-ил |
связь |
CH2 |
2 |
2 |
CH2 |
H |
CH3 |
основание |
172-174 |
| 96. |
5-(4-Cl-фенил)-изоксазол-3-ил |
связь |
(CH2)2 |
2 |
2 |
CH2 |
H |
CH3 |
основание |
165-167 |
| 97. |
3-(4-Cl-фенил)-изоксазол-5-ил |
связь |
(CH2)2 |
2 |
2 |
CH2 |
H |
CH3 |
основание |
146-148 |
| 98. |
3-(4-Cl-фенил)-изоксазол-5-ил |
связь |
(CH2)3 |
2 |
2 |
CH2 |
H |
CH3 |
основание |
134-136 |
| 99. |
5-(4-Cl-фенил)-изоксазол-3-ил |
связь |
(CH2)3 |
2 |
2 |
CH2 |
H |
CH3 |
основание |
160-162 |
| 100. |
(2-Cl,4-F)-фенил |
связь |
CH2 |
2 |
2 |
(CH2)2 |
H |
CH3 |
основание |
108-110 |
| 101. |
(3-Cl,4-F)-фенил |
связь |
CH2 |
2 |
2 |
(CH2)2 |
H |
CH3 |
основание |
112-114 |
| 102. |
(3-CN,5-F)-фенил |
связь |
CH2 |
2 |
2 |
(CH2)2 |
H |
CH3 |
основание |
132-134 |
| 103. |
3-(4-F-фенилокси)-фенил |
связь |
CH2 |
2 |
2 |
(CH2)2 |
H |
CH3 |
основание |
79-81 |
| 104. |
3-(4-Cl-фенил)-изоксазол-5-ил |
связь |
CH2 |
2 |
2 |
(CH2)2 |
H |
CH3 |
основание |
169-171 |
| 105. |
5-(4-Cl-фенил)-1,3-оксазол-2-ил |
связь |
CH2 |
2 |
2 |
(CH2)2 |
H |
CH3 |
основание |
124-126 |
| 106. |
4-(4-CF3-фенил)-1,3-тиазол-2-ил |
связь |
CH2 |
2 |
2 |
(CH2)2 |
H |
CH3 |
основание |
161-163 |
| 107. |
2-Cl,4-F)-фенил |
связь |
CH(CH3) |
2 |
2 |
CH2 |
H |
CH3 |
HCl (1/1) |
386* |
| 108. |
3-(4-Cl-фенилокси)-фенил |
связь |
CH(CH3) |
2 |
2 |
CH2 |
H |
CH3 |
HC1 (1/1) |
130-134 |
| 109. |
[2-Cl,3-(4-Cl-фенилокси)]-фенил |
связь |
CH(CH3) |
2 |
2 |
CH2 |
H |
CH3 |
основание |
115-119 |
| 110. |
3-CF3O-фенил |
связь |
CH(CH3) |
2 |
2 |
(CH2)2 |
H |
CH3 |
HCl (1/1) |
169-171 |
| 111. |
(2-Cl,4-F)-фенил |
связь |
CH(CH3) |
2 |
2 |
(CH2)2 |
H |
CH3 |
HCl (1/1) |
400* |
| 112. |
4-Cl-фенил |
связь |
C C-(CH2)2 |
2 |
2 |
связь |
H |
CH3 |
основание |
189-191 |
| 113. |
4-Cl-фенил |
связь |
C C-(CH2)3 |
2 |
2 |
связь |
H |
CH3 |
основание |
137-139 |
| 114. |
(2-Cl,5-Cl)-фенил |
связь |
C C-(CH2)3 |
2 |
2 |
связь |
H |
CH3 |
основание |
426* |
| 115. |
(2-Cl,4-F)-фенил |
связь |
C C-(CH2)3 |
2 |
2 |
связь |
H |
CH3 |
основание |
410* |
| 116. |
4-Cl-фенил |
связь |
C C-(CH2)2 |
2 |
2 |
CH2 |
H |
CH3 |
основание |
151-153 |
| 117. |
(2-Cl,3-Cl)-фенил |
О |
(CH2)2 |
1 |
1 |
связь |
H |
CH3 |
основание |
138-140 |
| 118. |
(2-F,4-Cl)-фенил |
связь |
C C-(CH2)2 |
2 |
2 |
CH2 |
H |
CH3 |
основание |
144-146 |
| 119. |
(2-Cl,5-Cl)-фенил |
связь |
C C-(CH2)2 |
2 |
2 |
CH2 |
H |
CH3 |
основание |
128-130 |
| 120. |
3-(4-Cl-фенил)-изоксазол-5-ил |
связь |
(CH2)2 |
2 |
2 |
(CH2)2 |
H |
CH3 |
основание |
135-137 |
| 121. |
3-t-BuO-фенил |
связь |
CH2 |
2 |
2 |
CH2 |
H |
CH3 |
основание |
392* |
| 122. |
3-t-BuO-фенил |
связь |
CH2 |
2 |
2 |
(CH2)2 |
H |
CH3 |
основание |
66-70 |
* М+Н
Соединения согласно изобретению были объектом фармакологических тестов, позволяющих определить их ингибирующее действие на ферменты FAAH (гидролаза амидов жирных кислот).
Ингибирующая активность была подтверждена в радиоферментном тесте, основанном на измерении продукта гидролиза (этаноламина [1-3H]) из анандамида [этаноламина 1-3H] посредством FAAH (Life Sciences (1995), 56, 1999-2005, и Journal of Pharmacology and Experimental Therapeutics (1997), 283, 729-734). Итак, был извлечен мозг мышей (без мозжечка) и его сохраняли при -80°C. Мембранные гомогенаты были приготовлены непосредственно перед экспериментом путем гомогенизирования ткани на Polytrone в буфере Tris-HCl 10 мМ (pH 8,0), содержащем 150 мМ NaCl и 1 мМ ЭДТА. Затем проводилась ферментативная реакция в 70 мкл буфера, содержащего альбумин бычьей сыворотки без жирных кислот (1 мг/мл). Последовательно добавлялись тестируемые соединения в различных концентрациях: анандамид [этаноламин 1-3H] (удельная активность 15-20 Ci/ммоль), разбавленный до 10 мкМ холодным анандамидом, и мембранный препарат (по 400 мкг замороженной ткани на опыт). Через 15 минут при 25°C ферментативную реакцию останавливали путем добавления 140 мкл смеси хлороформ/метанол (2:1). Смесь перемешивали 10 минут, затем центрифугировали в течение 15 минут при 3500 об/мин. Аликвота (30 мкл) водной фазы, содержащей этаноламин [1-3H], рассчитана по сцинтилляции жидкости.
В этих условиях самые активные соединения по изобретению имеют CI50 (концентрация, ингибирующая 50% энзиматической активности контрольной FAAH) от 0,001 до 1 мкМ.
Ниже в таблице 2 показаны CI50 некоторых соединений согласно изобретению.
Таблица 2
Соединение  |
CI50 |
| 25 |
0,225 мкМ |
| 77 |
0,049 мкМ |
Таким образом, видно, что соединения согласно изобретению обладают ингибирующей активностью в отношении фермента FAAH.
Активность in vivo соединений по изобретению была оценена в тесте на анальгезию.
Так, внутрибрюшинное (i.p.) введение PBQ (фенилбензохинон, 2 мг/кг в 0,9%-ном растворе хлорида натрия, содержащем 5% этанола) самцам мышей линии OF1 весом 25-30 г, вызывает спазм брюшины, в среднем 30 перекрутов или сокращений за период от 5 до 15 минут после инъекции. Испытываемые соединения вводились перорально (p/o) или внутрибрюшинно (i.p.) в суспензии Tween-80 концентрации 0,5% за 60 или 120 минут до введения PBQ. В этих условиях самые сильнодействующие соединения по изобретению на 35-70% снижают число спазмов, вызванных PBQ, в диапазоне доз, составляющем от 1 до 30 мг/кг.
Например, соединение 26 таблицы снижает число растяжений, вызванных PBQ, на 56% при пероральной дозе 10 мг/кг через 60 минут.
Фермент FAAH (Chemistry and Physics of Lipids, (2000), 108, 107-121) катализирует гидролиз эндогенных производных амидов и сложных эфиров разных жирных кислот, таких как N-арахидоноилэтаноламин (анандамид), N-пальмитоилэтаноламин, N-олеоилэтаноламин, олеамид или 2-арахидоноилглицерин. Кроме того, эти производные проявляют разную фармакологическую активность во взаимодействии с каннабиоидными и ваниллоидными рецепторами.
Соединения по изобретению блокируют этот путь распада и увеличивают тканевую долю этих эндогенных веществ. Они могут применяться для этой цели при профилактике и лечении патологий, в которые вовлечены эндогенные каннабиоиды и/или любые другие субстраты, метаболизированные ферментом FAAH.
Можно назвать, например, следующие заболевания и недуги:
боль, в частности острые или хронические боли нейрогенного типа: мигрень, невропатические боли, в том числе формы, связанные с вирусом герпеса и диабетом;
острые или хронические боли, связанные с воспалительными заболеваниями: артрит, ревматоидный артрит, остеоартрит, спондилит, подагра, васкулярит, болезнь Крона, синдром раздраженной кишки;
острые или хронические периферические боли;
головокружения, рвота, тошнота, в частности, являющиеся следствием химиотерапии;
нарушения пищевого поведения, в частности анорексия и кахексия различной природы;
неврологические и психиатрические патологии: дрожь, дискинезия, дистония, спастичность, обсессивно-компульсивные расстройства, синдром Туретта, все формы депрессии и тревоги любой природы и происхождения, расстройства настроения, психозы;
острые и хронические нейродегенеративные заболевания: болезнь Паркинсона, болезнь Альцгеймера, сенильная деменция, хорея Хантингтона, поражения, связанные с церебральной ишемией и черепно-мозговыми травмами;
эпилепсия;
нарушения сна, включая остановку дыхания во сне;
сердечно-сосудистые заболевания, в частности гипертензия, сердечная аритмия, артериосклероз, сердечные приступы, ишемия сердца;
почечная ишемия;
рак: поверхностные опухоли кожи, папилломы и опухоли мозга, опухоли простаты, опухоли мозга (глиобластомы, медуллоэпителиомы, медуллобластомы, нейробластомы, опухоли эмбрионального происхождения, астроцитомы, астробластомы, эпендиомы, олигодендроглиомы, опухоли в сплетениях, нейроэпителиомы, опухоль эпифиза, эпендимобластомы, злокачественные менингиомы, саркоматозы, злокачественные меланомы, шванномы);
расстройства иммунной системы, в частности аутоиммунные заболевания: псориаз, красная волчанка, заболевания соединительной или связующей ткани, синдром Сьегрена, анкилостомный спондилоартрит, недифференцированный спондилоартрит, болезнь Бехчета, аутоиммунные гемолитические анемии, рассеянный склероз, боковой амиотрофический склероз, амилозы, отторжение трансплантата, заболевания, действующие на плазмоцетарный ряд;
аллергические заболевания: мгновенная или замедленная гиперчувствительность, аллергические риниты или конъюнктивиты, контактные дерматиты;
инфекционные паразитарные, вирусные или бактериальные заболевания: СПИД, менингит; воспалительные заболевания, в частности заболевания суставов: артрит, ревматоидный артрит, остеоартрит, спондилит, подагра, васкулярит, болезнь Крона, синдром раздраженной кишки; остеопороз; глазные болезни: глазная гипертензия, глаукома;
болезни легких: заболевания дыхательных путей, бронхоспазмы, кашель, астма, хронический бронхит, хроническая непроходимость дыхательных путей, эмфизема;
желудочно-кишечные заболевания: синдром раздраженной кишки, воспалительные кишечные расстройства, язвы, диарея;
недержание мочи и воспаление мочевого пузыря.
Применение соединения формулы (I) в состоянии фармацевтически приемлемого основания, соли, гидрата или сольвата для получения лекарственного средства, предназначенного для лечения вышеназванных патологий, составляет неотъемлемую часть изобретения.
Объектом изобретения являются также лекарственные средства, которые содержат соединение формулы (I) или его соль, а также фармацевтически приемлемый гидрат или сольват соединения формулы (I). Эти лекарственные средства находят применение в терапии, в частности, при лечении вышеназванных патологий.
Согласно другому его аспекту настоящее изобретение относится к фармацевтическим композициям, содержащим в качестве действующего вещества по меньшей мере одно соединение согласно изобретению. Эти фармацевтические композиции содержат эффективную дозу соединения согласно изобретению или фармацевтически приемлемой соли, гидрата или сольвата указанного соединения и при необходимости один или несколько фармацевтически приемлемых эксципиентов.
Указанные эксципиенты выбирают в соответствии с фармацевтической формой и желательным способом введения, из обычных эксципиентов, которые специалисту известны.
В фармацевтических композициях согласно настоящему изобретению для перорального, сублингвального, подкожного, внутримышечного, внутривенного, наружного, местного, интратрахеального, интраназального, трансдермального, ректального введения или введения через легкие и глаза, действующее вещество вышеуказанной формулы (I) или его возможная соль, сольват или гидрат могут быть введены животным и людям для профилактики или лечения указанных выше расстройств или заболеваний в виде единой формы приема в смеси с классическими фармацевтическими эксципиентами.
Соответствующие единые формы введения включают формы для перорального приема, такие как таблетки, мягкие или твердые желатинозные капсулы, порошки, гранулы, жевательные резинки и оральные растворы или суспензии, формы для сублингвального, буккального, интратрахеального, внутриглазного, интраназального введения, введения путем ингаляции, формы для подкожного, внутримышечного или внутривенного введения и ректальные или вагинальные формы введения. Для топического применения соединения согласно изобретению можно применять в кремах, гелях, помадах или лосьонах.
Например, единая форма введения соединения согласно изобретению в виде таблетки может содержать следующие компоненты:
| Соединение в соответствии с изобретением |
50,0 мг |
| Маннит |
223,75 мг |
| Кроскармелоза натрия |
6,0 мг |
| Кукурузный крахмал |
15,0 мг |
| Гидроксипропилметилцеллюлоза |
2,25 мг |
| Стеарат магния |
3,0 мг |
Указанные единые формы могут быть дозированы так, чтобы позволить суточный прием от 0,01 до 20 мг действующего вещества на 1 кг веса тела, согласно галеновой форме.
Могут быть особые случаи, когда подходят более высокие или более низкие дозировки; такие дозировки также не выходят за рамки изобретения. Согласно обычной практике дозы, подходящие для каждого пациента, определяются врачом в соответствии со способом введения, весом и восприимчивостью указанного пациента.
Настоящее изобретение согласно другому его аспекту относится также к способу лечения указанных выше патологий, который включает прием пациентом эффективной дозы соединения согласно изобретению или одной из его фармацевтически приемлемых солей, гидрата или сольвата указанного соединения.
Формула изобретения
1. Соединение, отвечающее формуле (I)
 в которой m означает целое число от 1 до 4; n означает целое число, равное 1 или 2; о целое число, равное 1 или 2; А выбран из одной или нескольких групп X, Y; Х означает метиленовую группу, необязательно замещенную одной группой, представляющей C1-6-алкил; Y означает С2-алкиниленовую группу; В означает ковалентную связь или С1-6-алкиленовую группу; G означает ковалентную связь, атом кислорода; R1 означает группу R4, необязательно замещенную одной или несколькими группами R5 и/или R6; R4 означает группу, выбранную из оксазолила, изоксазолила, тиазолила, фенила, пиридинила, нафтила, хинолинила, изохинолинила; R5 означает атом галогена, группу циано, C1-6-алкил, C1-6-алкокси, C1-6-фторалкил, C1-6-фторалкокси, NR7R8; R6 означает фенильную группу, фенилокси или пиримидинилокси, причем группа или группы R6 могут быть замещены одной или двумя группами R5, одинаковыми или отличающимися друг от друга; R7 и R8 независимо друг от друга означают C1-6-алкильную группу; R2 означает атом водорода; R3 означает атом водорода или C1-С6алкильную группу; в состоянии основания, кислотно-аддитивной соли.
2. Соединение формулы (I) по п.1 или 2, отличающееся тем, что: m означает целое число, равное 1 или 2; в состоянии основания, кислотно-аддитивной соли.
3. Соединение формулы (I) по п.1 или 2, отличающееся тем, что: n равно 2; о равно 2; в состоянии основания, кислотно-аддитивной соли.
4. Соединение формулы (I) по п.1 или 2, отличающееся тем, что: R1 означает группу R4, необязательно замещенную одной или несколькими группами R5 и/или R6; R4 означает группу, выбранную из оксазолила, изоксазолила, фенила или нафтила; R5 означает атом галогена, группу циано, NR7R8, группу C1-6-алкил, C1-6-алкокси, C1-6-фторалкил или C1-6-фторалкокси; R6 означает фенильную группу, фенилокси или пиримидинилокси, причем группа или группы R6 могут быть замещены одной или двумя группами R6, одинаковыми или отличающимися друг от друга; R7 и R8 независимо друг от друга означают C1-6-алкильную группу; в состоянии основания, кислотно-аддитивной соли.
5. Соединение формулы (I) по п.1 или 2, отличающееся тем, что: R2 означает атом водорода; R3 означает атом водорода или C1-6-алкильную группу; в состоянии основания, кислотно-аддитивной соли.
6. Соединения формулы (I) по п.1, выбранные из группы, включающей: -[2-(метиламино)-2-оксоэтил]-{1-[(3,4′-дифторбифенил-4-ил)метил]пиперидин-4-ил}метилкарбамат; -[2-(метиламино)-2-оксоэтил]-{1[(3-хлор-4′-фторбифенил-4-ил)метил]пиперидин-4-ил}метилкарбамат; -[2-(метиламино)-2-оксоэтил]-{1-[3-(4-фторфенокси)бензил]пиперидин-4-ил}метилкарбамат; -[2-(метиламино)-2-оксоэтил]-{1-[4-(4-хлор-3-фторметокси)бензил]пиперидин-4-ил}метилкарбамат; -[2-(метиламино)-2-оксоэтил]-2-{1-[3-(трифторметокси)бензил]пиперидин-4-ил}этилкарбамат; -[2-(метиламино)-2-оксоэтил]-2-{1-[4-(трифторметокси)бензил]пиперидин-4-ил}этилкарбамат; -[2-(метиламино)-2-оксоэтил]-2-[-1-(3-трет-бутоксибензил)пиперидин-4-ил]этилкарбамат; -[2-(метиламино)-2-оксоэтил]-2-[1-(3-трет-бутоксибензил)пиперидин-4-ил]метилкарбамат; -[2-(метиламино)-2-оксоэтил]-2-[1-(2,4-дихлорбензил)пиперидин-4-ил]этилкарбамат; -[2-(метиламино)-2-оксоэтил]-2-[1-(2,5-дихлорбензил)пиперидин-4-ил]этилкарбамат; -[2-(метиламино)-2-оксоэтил]-2-[1-(3,5-дихлорбензил)пиперидин-4-ил]этилкарбамат; -[2-(метиламино)-2-оксоэтил]-2-[1-(2-хлор-5-фторбензил)пиперидин-4-ил]этилкарбамат; -[2-(метиламино)-2-оксоэтил]-2-[1-(3-хлор-2-фторбензил)пиперидин-4-ил]этилкарбамат; -[2-(метиламино)-2-оксоэтил]-2-[1-(3-хлор-5-метилбензил)пиперидин-4-ил]этилкарбамат; -[2-(метиламино)-2-оксоэтил]-2-{1-[(3,4′-дифторбифенил-4-ил)метил]пиперидин-4-ил}этилкарбамат; -[2-(метиламино)-2-оксоэтил]-2-{1-[(3-хлор-4′-фторбифенил-4-ил)метил]пиперидин-4-ил}этилкарбамат; -[2-(метиламино)-2-оксоэтил]-2-{1-[4-(4-хлор-3-фторфенокси)бензил]пиперидин-4-ил}этилкарбамат; -[2-(метиламино)-2-оксоэтил]-{1-[3-(4-фторфенокси)бензил]пиперидин-4-ил}карбамат; -[2-(метиламино)-2-оксоэтил]-{1-[3-(трифторметокси)бензил]пиперидин-4-ил}метилкарбамат; -[2-(метиламино)-2-оксоэтил]-{1-[4-(трифторметокси)бензил]пиперидин-4-ил}метилкарбамат; -[2-(метиламино)-2-оксоэтил]-{1-[3-(пиримидин-2-илокси)бензил]пиперидин-4-ил}метилкарбамат; -[2-(метиламино)-2-оксоэтил]-2-[1-(2-хлор-4-фторбензил)пиперидин-4-ил]этилкарбамат; -[2-(метиламино)-2-оксоэтил]-2-[1-(3-хлор-4-фторбензил)пиперидин-4-ил]этилкарбамат; -[2-(метиламино)-2-оксоэтил]-2-[1-(3-циано-5-фторбензил)пиперидин-4-ил]этилкарбамат; -[2-(метиламино)-2-оксоэтил]-2-{1-[3-(4-фторфенокси)бензил]пиперидин-4-ил}этилкарбамат; -[2-(метиламино)-2-оксоэтил]-(1-{[3-(4-хлорфенил)изоксазол-5-ил]метил}пиперидин-4-ил]метилкарбамат; -[2-(метиламино)-2-оксоэтил]-(1-{[5-(4-хлорфенил)-1,3-оксазол-2-ил]метил}пиперидин-4-ил]метилкарбамат; -[2-(метиламино)-2-оксоэтил]-[1-({4-[4-(трифторметил)фенил]-1,3-тиазол-2-ил}метил)пиперидин-4-ил]метилкарбамат; -[2-(метиламино)-2-оксоэтил]-2-[1-{[3-(4-хлорфенил)изоксазол-5-ил]метил}пиперидин-4-ил)этилкарбамат; -[2-(метиламино)-2-оксоэтил]-2-[1-{[5-(4-хлорфенил)-1,3-оксазол-2-ил]метил}пиперидин-4-ил)этилкарбамат; -[2-(метиламино)-2-оксоэтил]-2-[1-({4-[4-(трифторметил)фенил]-1,3-тиазол-2-ил}метил)пиперидин-4-ил]этилкарбамат; -[2-(метиламино)-2-оксоэтил]-[1-{2-[5-(4-хлорфенил)изоксазол-3-ил]этил}пиперидин-4-ил]метилкарбамат; -[2-(метиламино)-2-оксоэтил]-2-[1-{2-[3-(4-хлорфенил)изоксазол-5-ил]этил}пиперидин-4-ил)этилкарбамат; -[2-(метиламино)-2-оксоэтил]-[1-{2-[3-(4-хлорфенил)изоксазол-5-ил]этил]пиперидин-4-ил]метилкарбамат; -[2-(метиламино)-2-оксоэтил]-[1-{3-[3-(4-хлорфенил)изоксазол-5-ил]пропил}пиперидин-4-ил]метилкарбамат; -[2-(метиламино)-2-оксоэтил]-[1-{3-[5-(4-хлорфенил)изоксазол-3-ил]пропил}пиперидин-4-ил}метилкарбамат; -[2-(метиламино)-2-оксоэтил]-{1-[1-(2-хлор-4-фторфенил)этил]пиперидин-4-ил}метилкарбамат; -[2-(метиламино)-2-оксоэтил]-[1-{1-[3-(4-хлорфенокси)фенил]этил}пиперидин-4-ил)метилкарбамат; -[2-(метиламино)-2-оксоэтил]-[1-{1-[2-хлор-3-(4-хлорфенокси)фенил]этил}пиперидин-4-ил]метилкарбамат; -[2-(метиламино)-2-оксоэтил]-2-(1-{1-[3-(трифторметокси)фенил]этил}пиперидин-4-ил)этилкарбамат; -[2-(метиламино)-2-оксоэтил]-2-{1-[1-(2-хлор-4-фторфенил)этил]пиперидин-4-ил}этилкарбамат; -[2-(метиламино)-2-оксоэтил]-{1-[4-(4-хлорфенил)бут-3-ин-1-ил]пиперидин-4-ил}карбамат; -[2-(метиламино)-2-оксоэтил]-{1-[5-(4-хлорфенил)пент-4-ин-1-ил]пиперидин-4-ил}карбамат; -[2-(метиламино)-2-оксоэтил]-{1-[5-(2,5-дихлорфенил)пент-4-ин-1-ил]пиперидин-4-ил}карбамат; -[2-(метиламино)-2-оксоэтил]-{1-[4-(4-хлорфенил)бут-3-ин-1-ил]пиперидин-4-ил}метилкарбамат; -[2-(метиламино)-2-оксоэтил]-{1-[4-(4-хлор-2-фторфенил)бут-3-ин-1-ил]пиперидин-4-ил}метилкарбамат; -[2-(метиламино)-2-оксоэтил]-{1-[4-(2,5-дихлорфенил) бут-3-ин-1-ил]пиперидин-4-ил}метилкарбамат.
7. Соединения формулы (I) по п.1, выбранные из группы, включающей -[2-(метиламино)-2-оксоэтил]-{1-[(2-хлорфенил)метил]пиперидин- 4-ил}метилкарбамат; -[2-(метиламино)-2-оксоэтил]-{1-[(4-хлорфенил)метил]пиперидин-4-ил}метилкарбамат; -[2-(метиламино)-2-оксоэтил]-{1-[(4-хлорфенил)метил]пиперидин-4-ил}карбамат; -[2-(метиламино)-2-оксоэтил]-(1-[4-[1-метилэтил)фенил]метилпиперидин-4-ил)метилкарбамат; -[2-(метиламино)-2-оксоэтил]-[1-(бифенил-4-илметил)пиперидин-4-ил]карбамат; -[2-(метиламино)-2-оксоэтил]-[1-(бифенил-4-илметил)пиперидин-4-ил]метилкарбамат; -[2-(метиламино)-2-оксоэтил]-2-[1-(бифенил-4-илметил)пиперидин-4-ил]этилкарбамат; -[2-(метиламино)-2-оксоэтил]-[1-(2-бифенил-4-илэтил)пиперидин-4-ил]карбамат; -[2-(метиламино)-2-оксоэтил]-[1-(нафталин-2-илметил)пиперидин-4-ил]метилкарбамат; -[2-(метиламино)-2-оксоэтил]-2-{1-[(4-бромфенил)метил]пиперидин-4-ил}этилкарбамат; -[2-(метиламино)-2-оксоэтил]-2-(1-{[3-(трифторметил)фенил]метил}пиперидин-4-ил)этилкарбамат; -[2-(метиламино)-2-оксоэтил]-2-(1-{[4-(трифторметил)фенил]метил}пиперидин-4-ил)этилкарбамат; -[2-(метиламино)-2-оксоэтил]-2-{1-[(2,3-дихлорфенил)метил]пиперидин-4-ил}этилкарбамат; -[2-(метиламино)-2-оксоэтил]-2-{1-[(3,4-дихлорфенил)метил]пиперидин-4-ил}этилкарбамат; -[2-(метиламино)-2-оксоэтил]-2-[1-(нафталин-1-илметил)пиперидин-4-ил]этилкарбамат; -[2-(метиламино)-2-оксоэтил]-2-[1-(нафталин-2-илметил)пиперидин-4-ил]этилкарбамат; -[2-(метиламино)-2-оксоэтил]-2-[1-(пиридин-2-илметил)пиперидин-4-ил]этилкарбамат; -[2-(метиламино)-2-оксоэтил]-(1-{2-[4-фтор-2-(метилокси)фенил]этил}пиперидин-4-ил]метилкарбамат; -[2-(метиламино)-2-оксоэтил]-(1-{2-[(4-фторфенил)окси]этил}пиперидин-4-ил)карбамат; -[2-(метиламино)-2-оксоэтил]-(1-{2-[(4-хлорфенил)окси]этил}пиперидин-4-ил)карбамат; -[2-(метиламино)-2-оксоэтил]-(1-{2-[(2,4-дихлорфенил)окси]этил}пиперидин-4-ил)карбамат; -[2-(метиламино)-2-оксоэтил]-(1-{2-[(4-хлорфенил)окси]этил}пиперидин-4-ил)метилкарбамат; -[2-(метиламино)-2-оксоэтил]-1-{2-[(2,4-дихлорфенил)окси]этил}пиперидин-4-ил]метилкарбамат; -[2-(метиламино)-2-оксоэтил]-2-(1-{2-[(4-фторфенил)окси]этил}пиперидин-4-ил)этилкарбамат; -[2-(метиламино)-2-оксоэтил]-2-(1-{2-[(4-хлорфенил)окси]этил}пиперидин-4-ил)этилкарбамат; -[2-(метиламино)-2-оксоэтил]-(1-{2-[(4-фторфенил)окси]этил}пирролидин-3-ил)метилкарбамат; -[2-(метиламино)-2-оксоэтил]-(1-{2-[(4-хлорфенил)окси]этил}пирролидин-3-ил)метилкарбамат; -[2-(метиламино)-2-оксоэтил]-(1-{2-[3-(трифторметил)фенил]этил}пиперидин-4-ил)карбамат; -[2-(метиламино)-2-оксоэтил]-{1-[2-(4-хлорфенил)этил]пиперидин-4-ил} карбамат; -[2-(метиламино)-2-оксоэтил]-{1-[2-(4-цианофенил)этил]пиперидин-4-ил} карбамат; -[2-(метиламино)-2-оксоэтил]-(1-{2-[(изохинолин-5-ил)окси]этил}пиперидин-4-ил)карбамат; -[2-(метиламино)-2-оксоэтил]-[1-(2-нафталин-1-илэтил)пиперидин-4-ил]карбамат; -[2-(метиламино)-2-оксоэтил]-[1-(2-нафталин-2-илэтил)пиперидин-4-ил]карбамат; -[2-(метиламино)-2-оксоэтил]-{1-[3-(4-хлорфенил)пропил]пиперидин-4-ил}карбамат; -[2-(метиламино)-2-оксоэтил]-(1-{3-[4-(метилокси)фенил]пропил}пиперидин-4-ил)карбамат; -[2-(метиламино)-2-оксоэтил]-{1-[(3-хлорфенил)этил]пиперидин-4-ил }метилкарбамат; -[2-(метиламино)-2-оксоэтил]-(1-{2-[4-(этилокси)фенил]этил }пиперидин-4-ил)метилкарбамат; -[2-(метиламино)-2-оксоэтил]-[1-{2-[4-(диметиламино)фенил]этил} пиперидин-4-ил)метилкарбамат; -[2-(метиламино)-2-оксоэтил]-{1-[2-(2,4-дихлорфенил)этил]пиперидин-4-ил}метилкарбамат; -[2-(метиламино)-2-оксоэтил]-[1-(2-нафталин-1-илэтил)пиперидин-4-ил]метилкарбамат; -[2-(метиламино)-2-оксоэтил]-[1-(2-нафталин-2-илэтил)пиперидин-4-ил]метилкарбамат; -[2-(метиламино)-2-оксоэтил]-(1-{3-[4-(метилокси)фенил]пропил}пиперидин-4-ил)метилкарбамат; -[2-(метиламино)-2-оксоэтил]-2-{1-[2-(2-хлорфенил)этил]пиперидин-4-ил}этилкарбамат; -[2-(метиламино)-2-оксоэтил]-2-{1-[2-(4-фторфенил)этил]пиперидин-4-ил}этилкарбамат; -[2-(метиламино)-2-оксоэтил]-2-(1-{2-[4-(этилокси)фенил]этил}пиперидин-4-ил)этилкарбамат; -[2-(метиламино)-2-оксоэтил]-2-(1-[2-(2-хлор-6-фторфенил)этил] пиперидин-4-ил}этилкарбамат; -[2-(метиламино)-2-оксоэтил]-2-(1-{3-[4-(метилокси)фенил]пропил} пиперидин-4-ил)этилкарбамат.
8. Способ получения соединения формулы (I) по любому из пп.1-7, включающий стадию, состоящую в превращении оксазолидиндиона общей формулы (IIa)
 в которой А, В, G, R1, R2, m, n и о определены в формуле (I) по п.1, протекающем при аммонолизе амином общей формулы R3NH2, в которой R3 определен в формуле (I) по п.1.
9. Способ получения соединения формулы (I) по любому из пп.1-7, включающий стадию, состоящую в превращении производного карбамата-амида общей формулы (Ia)
 в которой В, R2, R3, n и о определены в формуле (1) по п.1, протекающем в ходе реакции с производным общей формулы (III)
 в которой W означает мезилатную, тозилатную группу или атом хлора, брома или йода и m, G, А и R1 определены в формуле (I) по п.1.
10. Соединение, отвечающее общей формуле (IIa)
 в которой m означает целое число от 1 до 2; n обозначает 2; о обозначает 2; А обозначает X, Х означает метиленовую группу; В означает C1-6-алкиленовую группу; G означает ковалентную связь; R1 означает группу R4, необязательно замещенную одной или несколькими группами R5 и/или R6; R4 обозначает фенил; R5 означает атом галогена, C1-6-алкокси; R6 означает фенильную группу; R2 означает атом водорода, причем 3-[1-(фенилметил)-4-пиперидинил]-2,4-оксазолидиндион исключен.
11. Соединение, отвечающее общей формуле (Iа),
 в которой В, R2, R3, n и о определены в формуле (I) по п.1.
12. Фармацевтическая композиция, обладающая свойством ингибитора FAAH фермента, содержащая по меньшей мере одно соединение формулы (I) по любому из пп.1-7 в состоянии фармацевтически приемлемого основания соли, необязательно один или несколько фармацевтически приемлемых эксципиентов.
13. Соединение формулы (I) по любому из пп.1-7 в виде фармацевтически приемлемого основания, соли для его применения в качестве лекарственного средства, обладающего свойством ингибирования FAAH фермента.
14. Применение соединения формулы (I) по любому из пп.1-7 в состоянии фармацевтически приемлемого основания, соли для получения лекарственного средства, предназначенного для предупреждения или лечения острых или хронических болей, головокружений, рвоты, тошноты, нарушений пищевого поведения, неврологических и психиатрических патологий, острых или хронических нейродегенеративных заболеваний, эпилепсии, нарушений сна, сердечно-сосудистых заболеваний, почечной ишемии, рака, расстройств иммунной системы, аллергических заболеваний, инфекционных паразитарных, вирусных или бактериальных заболеваний, воспалительных заболеваний, остеопороза, глазных болезней, болезней легких, желудочно-кишечных заболеваний или недержания мочи.
|
|