|
|
(21), (22) Заявка: 2008108332/04, 03.03.2008
(24) Дата начала отсчета срока действия патента:
03.03.2008
(43) Дата публикации заявки: 10.09.2009
(46) Опубликовано: 20.03.2010
(56) Список документов, цитированных в отчете о поиске:
SU 1038339 A, 30.08.1983. RU 2146666 C1, 20.03.2000. RU 2144529 C1, 20.01.2000. Harry Heaney et all, Tetrahedron, 1997, 53(39), 13361-13372. Robin A. Fairhurst et all, Tetrahedron Letters, 1988, 29(45), 5801-5804.
Адрес для переписки:
450075, РБ, г.Уфа, просп. Октября, 141, ИНК РАН, патентная группа
|
(72) Автор(ы):
Шайбакова Мария Геннадьевна (RU), Титова Ирина Геннадьевна (RU), Махмудияров Гилемдар Адыхамович (RU), Ибрагимов Асхат Габдрахманович (RU), Джемилев Усеин Меметович (RU)
(73) Патентообладатель(и):
ИНСТИТУТ НЕФТЕХИМИИ И КАТАЛИЗА Российской Академии Наук (RU)
|
(54) СПОСОБ ПОЛУЧЕНИЯ 2-[(ДИМЕТИЛАМИНО)МЕТИЛ]ФЕНОЛА
(57) Реферат:
Предлагаемое изобретение относится к улучшенному способу получения 2-[(диметиламино)метил]фенола, который применяется в пищевой промышленности и медицине, а также в качестве добавок к смазочным и моторным маслам, ингибиторов коррозии различных сталей, стабилизаторов автомобильных и ракетных топлив, мономеров, пластмасс и различных видов каучуков. Способ заключается во взаимодействии фенола с N,N,N,N-тетраметилметилендиамином. Реакцию проводят в присутствии катализатора хлорида меди (I) при мольном соотношении реагентов фенол: N,N,N,N-тетраметилметилендиамин: CuCl=10:(10-11):(0.2-0.4) при атмосферном давлении, преимущественно при температуре 50°С, в течение 3.5-4.5 ч. Способ позволяет повысить селективность процесса и выход целевого продукта, а также снизить температуру реакции. 1 табл.
Предлагаемое изобретение относится к органической химии, в частности к способу получения 2-[(диметиламино)метил] фенола общей формулы (I):

Аминометилированные фенолы находят практическое применение в различных областях народного хозяйства. Их выраженная антимикробная и бактерицидная активность используется в пищевой промышленности и медицине. Отмечено их эффективное действие как субстанций, оказывающих спазмолитическое, противоаритмическое, анестезирующее и диуретическое действие. Аминометилфенолы применяются для получения высокоактивных инсектицидов и фунгицидов. Антиокислительная способность аминометилфенолов позволяет успешно использовать их в качестве добавок к смазочным и моторным маслам, ингибиторов коррозии различных сталей, стабилизаторов автомобильных и ракетных топлив, мономеров, пластмасс и различных видов каучуков.
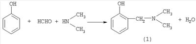
Известен способ [патент ЧССР, 163467] получения 2-[(диметиламино)метил]фенола реакцией между фенолом, формальдегидом и диметиламином (или его солянокислой солью) в среде диоксана при температурном режиме 60-85°С и использовании высаливающего агента (поваренная соль) на стадии выделения по схеме

Данный способ имеет целый ряд недостатков:
– способ не исключает возможности образования фенолформальдегидных смол;
– процесс многостадийный;
– необходимо применение высаливающего агента, требующего утилизации;
– образование в качестве побочных продуктов ди- и тризамещенных фенолов;
– образование большого количества фенольных стоков, требующих локальной очистки.
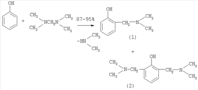
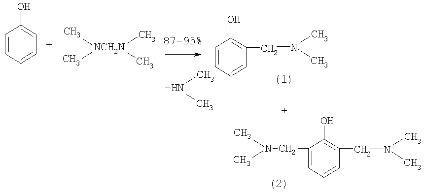
Известен способ [авторское свидетельство 1038339 СССР. Б.И. 32 (1983)] получения 2-[(диметиламино)метил]фенола (1) с выходами 87-95% взаимодействием фенола с N,N,N,N-тетраметилметандиамином (бисамин) в безводной среде при температуре 80-110°С в апротонных растворителях для предотвращения дальнейшего превращения продукта монозамещения в диаминометилированное производное фенола. Но даже соблюдение всех вышеописанных условий не позволяет получить целевой продукт без побочных соединений. Наряду с 2-[(диметиламино)метил]фенолом (1) реакционная масса содержит исходный фенол от 2.0 до 4.0%, а также 2,6-бис[(диметиламино)метил]фенол (2) в количестве от 3.0 до 9.0%.
Известный способ позволяет получать 2-[(диметиламино)метил]фенол (1) с выходом 87-95%. Однако целевой продукт требует дополнительной очистки от побочного 2,6-бис[(диметиламино)метил]фенола (2).
Задачей изобретения является повышение селективности и выхода 2-[(диметиламино)метил]фенола (1), снижение температуры реакции.
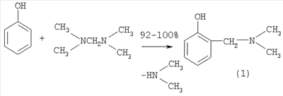
Сущность способа заключается во взаимодействии фенола с N,N,N,N-тетраметилметандиамином в присутствии катализатора однохлористой меди (CuCl), взятыми в соотношении фенол:N,N,N,N-тетраметилметандиамин:CuCl=10:(10-11):(0.2-0.4), предпочтительно 10:10.5:0.3 ммоль, при температуре 45-70°С, предпочтительно 50°С, и атмосферном давлении в течение 3.5-4.5 ч. Выход 2-[(диметиламино)метил] фенола (1) составляет 92-100%. Реакция протекает по схеме

2-[(Диметиламино)метил]фенол (1) образуется только лишь с участием фенола и бисамина. В присутствии других ароматических спиртов или других диаминов целевой продукт (1) не образуется.
Проведение указанной реакции в присутствии катализатора CuCl больше 0.4 ммоль не приводит к существенному увеличению выхода целевого продукта (1). Использование катализатора CuCl менее 0.3 ммоль снижает выход 2-[(диметиламино)метил]фенола (1), что связано, возможно, со снижением каталитически активных центров в реакционной массе. Реакции проводили при температуре 45-70°С. При меньшей температуре (например, 30°С) значительно снижается скорость реакции (до 72 ч). При повышенной температуре (90°С) снижается селективность процесса.
Существенные отличия предлагаемого способа
В известном способе используется реакция термического аминометилирования фенола с помощью бисамина. Реакция идет при температуре 80-110°С с образованием, наряду с целевым продуктом (87-95%), побочного 2,6-бис[(диметиламино)метил]фенола (3.0-9.0%).
В предлагаемом способе используется реакция каталитического аминометилирования фенола с помощью бисамина в присутствии CuCl. Реакция идет при температуре 45-70°С, предпочтительно 50°С, с образованием целевого продукта (92-100%). В этих условиях побочный 2,6-бис[(диметиламино)метил]фенол не образуется.
Способ поясняется следующими примерами.
ПРИМЕР 1. В стеклянный реактор объемом 50 мл, установленный на магнитной мешалке, помещают 10 ммоль фенола, 10.5 ммоль бисамина, 0.3 ммоль катализатора CuCl, перемешивают 4 ч при температуре 50°С. Из реакционной массы выделяют 2-[(диметиламино)метил]фенол (1) с выходом 98%.
Спектральные характеристики 2-[(диметиламино)метил]фенола (1).

Спектр ЯМР 13С (CDCl3, , м.д.): 157.98; 129.52; 128.02; 122.75; 118.71; 115.78; 62.54; 44.70
Другие примеры, подтверждающие способ, приведены в таблице.
 п/п |
Соотношение фенол: бисамин: CuCl, ммоль |
Время реакции, ч |
t, °C |
Выход (1), % |
| 1 |
10:10.5:0.3 |
4 |
50 |
98 |
| 2 |
10:11:0.3 |
4 |
50 |
99 |
| 3 |
10:10:0.3 |
4 |
50 |
94 |
| 4 |
10:10.5:0.4 |
4 |
50 |
100 |
| 5 |
10:10.5:0.2 |
4 |
50 |
92 |
| 6 |
10:10.5:0.3 |
4.5 |
50 |
99 |
| 7 |
10:10.5:0.3 |
3.5 |
50 |
95 |
| 8 |
10:10.5:0.3 |
4 |
30 |
36 |
| 9 |
10:10.5:0.3 |
4 |
90 |
81 |
Формула изобретения
Способ получения 2-[(диметиламино)метил]фенола формулы (I):
 взаимодействием фенола с N,N,N,N-тетраметилметилендиамином, отличающийся тем, что реакцию проводят в присутствии катализатора хлорида меди (I) при мольном соотношении реагентов фенол: N,N,N,N-тетраметилметилендиамин: CuCl=10:(10-11):(0,2-0,4), атмосферном давлении, преимущественно при температуре 50°С, в течение 3,5-4,5 ч.
|
|