|
|
(21), (22) Заявка: 2006136913/15, 14.03.2005
(24) Дата начала отсчета срока действия патента:
14.03.2005
(30) Конвенционный приоритет:
19.03.2004 EP 04101151.1
(43) Дата публикации заявки: 27.04.2008
(46) Опубликовано: 20.03.2010
(56) Список документов, цитированных в отчете о поиске:
EP 0303306 A1, 15.02.1989. WO 2004/011055 A2, 05.02.2004. US 2003/0153983 A1, 14.08.2003. US 5,676,146, 14.10.1997. US 4,300,244, 17.11.1981.
(85) Дата перевода заявки PCT на национальную фазу:
19.10.2006
(86) Заявка PCT:
EP 2005/051150 20050314
(87) Публикация PCT:
WO 2005/089814 20050929
Адрес для переписки:
129090, Москва, ул. Б.Спасская, 25, стр.3, ООО “Юридическая фирма Городисский и Партнеры”, пат.пов. Е.Е.Назиной, рег. 517
|
(72) Автор(ы):
ВЕНСТРА Харм (NL), ДЕ ГРАФФ Ваутер (NL)
(73) Патентообладатель(и):
Н.В. ОРГАНОН (NL)
|
(54) УСТРОЙСТВО ДЛЯ ДОСТАВКИ ЛЕКАРСТВЕННЫХ СРЕДСТВ, ВИДИМОЕ В РЕНТГЕНОВСКИХ ЛУЧАХ
(57) Реферат:
Изобретение относится к химико-фармацевтической промышленности, а именно к созданию устройства для доставки лекарственных средств, видимого в рентгеновских лучах, для подкожного введения контрацептива или проведения гормонозаместительной терапии, содержащего одно отделение, состоящее из (i) ядра из термопластичного полимера, нагруженного (а) контрацептивно эффективным или терапевтически эффективным количеством дезогестрела или 3-кетодезогестрела, и (b) примерно 4-30 мас.% рентгеноконтрастного материала, и (ii) оболочки из термопластичного полимера, покрывающей ядро и не содержащей лекарственного средства. 2 н. и 11 з.п. ф-лы, 16 ил, 6 табл.
Область техники, к которой относится изобретение
Настоящее изобретение относится к области контрацепции и гормонозаместительной терапии.
Настоящее изобретение относится к видимому в рентгеновских лучах устройству для доставки лекарственных средств, для субдермального (подкожного) введения контрацептива или проведения гормонозаместительной терапии.
Устройство в соответствии с настоящим изобретением, в частности, находится в форме имплантата и будет далее упоминаться как имплантат.
Уровень техники
««Implanon»®» представляет собой имплантат контрацептива, который вводится в тело человека в течение периодов до 3 лет. Сообщается о случаях, когда имплантаты не могут быть легко удалены либо из-за того, что они неправильно введены врачами, либо из-за того, что имплантат врачами не введен. «Implanon» может визуализироваться в теле с использованием методик ультрасонографии и MRI (магнитно-резонансной визуализации). Визуализация с помощью MRI является не всегда легкодоступной, относительно сложной и дорогостоящей. Визуализация посредством ультрасонографии также является не всегда легкодоступной и может быть сложной в руках неопытных врачей, особенно, в случае, когда имплантат введен неправильно.
Имплантат должен удаляться (и заменяться) через три года. Кроме того, женщины могут захотеть удалить имплантат, если желают забеременеть. Другая причина для удаления может представлять собой заболевание, такое как рак, в частности рак груди, рак яичников или рак матки.
По этой причине, было бы удобным иметь имплантат типа «Implanon», который был бы видимым в рентгеновских лучах. Это для того, чтобы иметь дополнительные способы для локализации и идентификации имплантата, либо для облегчения удаления имплантата, либо, чтобы пациент был уверен, что имплантат введен.
Охарактеризованный таким образом имплантат, видимый в рентгеновских лучах, должен быть таким, чтобы рентгеноконтрастный компонент (i) не влиял на профиль высвобождения гормонов из имплантата и (ii) не мигрировал в организм через открытые концы имплантата.
Видимые в рентгеновских лучах медицинские устройства, такие как стенты, катетеры, внутриматочные устройства, такие как MultiLoad®, биодеградируемые имплантаты и дентальные устройства, являются известными. Видимое в рентгеновских лучах устройство для доставки лекарственных средств, известное в области контрацепции, описано в патенте Великобритании GB 2168257, который раскрывает видимое в рентгеновских лучах вагинальное кольцо, содержащее прогестаген левоноргестрел. Патент Великобритании GB2168257 не относится ни к влиянию непрозрачного для излучения компонента на скорость высвобождения левоноргестрела из кольца, ни к тому, что такое кольцо имеет открытые концы.
Однако ключевым является обеспечение уверенности в том, что скорость высвобождения гормона не подвергается значительному влиянию рентгеноконтрастного компонента, присутствующего в устройстве для контрацепции, поскольку это привело бы, возможно, к беременности, нежелательному эффекту для женщины, использующей контрацепцию.
Кроме того, является также ключевым, чтобы рентгеноконтрастный компонент, присутствующий в устройстве для контрацепции/HRT (гормонозаместительной терапии), не мигрировал наружу из имплантата (с открытыми концами) в организм в нежелательных количествах, вызывая возможные отрицательные воздействия, связанные с рентгеноконтрастным компонентом.
Таким образом, рассматриваемое изобретение включает видимый в рентгеновских лучах имплантат, контрацептив и/или HRT, где рентгеноконтрастный компонент не оказывает отрицательного воздействия на скорость высвобождения гормонов из устройства и не мигрирует в организм.
Раскрытие изобретения
Рассматриваемое изобретение включает видимое в рентгеновских лучах устройство для доставки лекарственных средств, для подкожного введения контрацептива или гормонозаместительной терапии, содержащее одно отделение, состоящее из (i) ядра из термопластичного полимера, нагруженного (a) контрацептивно эффективным или терапевтически эффективным количеством дезогестрела или 3-кетодезогестрела и (b) примерно 4-30 мас.% рентгеноконтрастного материала, и (ii) оболочки из термопластичного полимера, покрывающей ядро и не содержащей лекарственного средства.
Рассматриваемое изобретение дополнительно включает видимое в рентгеновских лучах устройство для доставки лекарственных средств, для подкожного введения контрацептива или проведения гормонозаместительной терапии, содержащее одно отделение, состоящее из (i) ядра из термопластичного полимера, нагруженного контрацептивно эффективным или терапевтически эффективным количеством дезогестрела или 3-кетодезогестрела и содержащего проволоку из инертного металла, и (ii) оболочки из термопластичного полимера, покрывающей ядро и не содержащей лекарственного средства.
Краткое описание чертежей
Фиг.1. Рентгеновские фотографии имплантатов a) без сульфата бария (BaSO4) (то есть идентичных «Implanon»); b) с 20 мас.% BaSO4 в оболочке; и c) с 11,5 мас.% BaSO4 в ядре.
Фиг.2. Рентгеновские фотографии имплантатов без сульфата бария (образец 8) и с 11,5 мас.% BaSO4 в ядре (образец 7), введенных в ткани свиньи.
Фиг.3. Профили ускоренного высвобождения имплантатов с 0, 8, 11,5 и 15 мас.% сульфата бария в ядре. (Имплантат с 0 мас.% идентичен «Implanon».)
Фиг.4. Профили высвобождения в реальном времени до 190 дней для имплантатов с 0, 8, 11,5 и 15 мас.% сульфата бария в ядре. (Имплантат с 0 мас.% идентичен «Implanon».)
Фиг.5. Рентгеновские фотографии имплантатов a) без BaSO4 или титановой проволоки (то есть идентичных «Implanon»); и b) с 0,5 мм титановой проволокой.
Фиг.6. Рентгеновские фотографии имплантатов без титановой проволоки (образец 3) и с 0,5 мм титановой проволокой в ядре (образец 4), введенных в ткани свиньи.
Фиг.7. Профили ускоренного высвобождения из имплантатов с 0,25 мм титановой проволокой в ядре, 0,50 мм титановой проволокой в ядре и из имплантата сравнения (идентичного «Implanon») без титановой проволоки.
Фиг.8. Профили высвобождения в реальном времени из имплантатов с 0,25 мм титановой проволокой в ядре, 0,50 мм титановой проволокой в ядре и из имплантата сравнения (идентичного «Implanon») без титановой проволоки.
Фиг.9. Фотография, сделанная с помощью детектора обратного рассеяния электронов (BSE) (увеличение 350x), имплантата с 11,5 мас.% сульфата бария в ядре.
Фиг.10. Фотография, сделанная с помощью детектора BSE (увеличение 3500x), лишенного гормона имплантата с 11,5 мас.% сульфата бария в ядре. Темный участок слева представляет собой оболочку.
Фиг.11. Рентгеновские фотографии имплантатов a) без BaSO4 (то есть идентичных «Implanon», образец 1); b) с 11,5 мас.% BaSO4 в ядре (образцы 2 и 3); c) с 4 мас.% BaSO4 в ядре; d) с 20 мас.% BaSO4 в ядре; и e) с 30 мас.% BaSO4 в ядре.
Фиг.12. Пропускание рентгеновских лучей для имплантатов как функция содержания BaSO4 (мас.%).
Фиг.13. Профили ускоренного высвобождения для имплантатов с 0, 4, 20 и 30 мас.% сульфата бария в ядре. (Имплантат с 0 мас.% идентичен «Implanon».)
Фиг.14. Профили высвобождения в реальном времени до 76 дней для имплантатов с 0, 4, 20 и 30 мас.% сульфата бария в ядре. (Имплантат с 0 мас.% идентичен «Implanon».)
Фиг.15. Фотография, сделанная с помощью детектора обратного рассеяния электронов (BSE) (увеличение 350x), имплантата с a) 4 мас.% сульфата бария в ядре; b) 20 мас.% сульфата бария в ядре и c) 30 мас.% сульфата бария в ядре.
Фиг.16. Фотография, сделанная с помощью детектора BSE (увеличение 3500x), лишенного гормона имплантата с a) 4 мас.% сульфата ария в ядре; b) 20 мас.% сульфата ария в ядре и c) 30 мас.% сульфата бария в ядре. Темный участок слева представляет собой оболочку.
Подробное описание изобретения
«Implanon»® представляет собой подкожный контрацептивный имплантат контрацептива, состоящий из коаксиального стержня. Ядро этого стержня состоит из смеси этоногестрела (3-кетодезогестрела) и сополимера этилена-винилацетата (EVA), то есть EVA 28, который имеет содержание винилацетата примерно 28% (мас./мас.). Слой оболочки также состоит из полимера EVA, то есть EVA 14, который имеет содержание винилацетата примерно 14% (мас./мас.). Каждый стержень имеет массу 129 мг и содержит 68 мг этоногестрела. «Implanon» имеет длину 40 мм и диаметр 2 мм и имеет открытые концы.
Имплантат может помещаться внутри аппликатора, состоящего из иглы из нержавеющей стали, которая соединена с аппликатором из акрилонитрил-бутадиен-стирольного полимера (ABS). Аппликатор представляет собой устройство, подобное шприцу, состоящее из корпуса, поршня, иглы и полипропиленового футляра. Заряженный аппликатор может помещаться в поддон из полиэтилентерефталатгликоля (PETG), который впоследствии может герметизироваться с помощью крышки из бумаги.
Задачей настоящего изобретения является добавление элемента, рентгеноконтрастного к имплантату контрацептива/HRT, такому как «Implanon®», обеспечивающему возможность идентификации и локализации в организме посредством рентгеновских методик, в то же время, сохраняя профиль высвобождения гормонов из него и, в то же время, обеспечивая, чтобы рентгеноконтрастный компонент не мигрировал из имплантата в нежелательных количествах в организм.
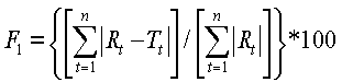
Специалист в данной области заметит, что профиль высвобождения гормона для одной загрузки устройства для доставки лекарственных средств никогда не является совершенно идентичным другой загрузке этого же устройства для доставки лекарственных средств. По этой причине, в соответствии с рассматриваемым изобретением, когда профиль высвобождения гормона из имплантата по настоящему изобретению, видимого в рентгеновских лучах, отклоняется менее, примерно, чем на 15% от профиля высвобождения гормона из устройства «Implanon®», эти профили высвобождения гормонов рассматриваются как идентичные или эквивалентные. Отклонение может вычисляться с использованием коэффициента различия (F1) для сравнения профилей растворения. Коэффициент различия (F1) вычисляет процент различия между двумя кривыми в каждый момент времени

где Rt представляет собой сравнительный анализ в момент времени t, Tt представляет собой исследуемый анализ в момент времени t, и n представляет собой количество анализируемых точек. Значения F1 до 15 (0-15) дают уверенность в сходстве или эквивалентности двух кривых. Кривая сравнения выбирается так, что другие контролируемые параметры высвобождения кроме того, что исследуется, поддерживаются настолько постоянными, насколько это возможно.
Когда рентгеноконтрастный элемент включается в слой оболочки имплантата, видимость в рентгеновских лучах почти не достигается. Однако видимость в рентгеновских лучах достигается, когда рентгеноконтрастный элемент включается в ядро имплантата. Несмотря на включение рентгеноконтрастного элемента в ядро имплантата, которое содержит также активное вещество гормона, воздействия на профиль высвобождения гормона не происходит.
Когда оценивается, где именно находится рентгеноконтрастный компонент в имплантате после его получения, неожиданно обнаруживается, что почти весь рентгеноконтрастный компонент инкапсулируется внутри полимерного компонента и едва ли какое-то количество рентгеноконтрастного компонента инкапсулируется в кристаллах гормона. Это является неожиданным, с точки зрения того факта, что полимерный компонент представляет собой только примерно 36 мас.% имплантата, в то время как гормональный компонент составляет примерно 52,5 мас.% имплантата. В результате инкапсулирования внутри полимерного компонента, кристаллы рентгеноконтрастного компонента не могли бы мигрировать из имплантата через открытые концы имплантата в нежелательных количествах. Когда рентгеноконтрастный компонент присутствует в кристаллах гормона, он может иметь возможность для миграции из имплантата в случае, где кристаллы гормона связаны друг с другом.
Таким образом, рассматриваемое изобретение включает видимое в рентгеновских лучах устройство для доставки лекарственных средств, для подкожного введения контрацептива или проведения гормонозаместительной терапии, содержащее одно отделение, состоящее из (i) ядра из термопластичного полимера, нагруженного (a) контрацептивно эффективным или терапевтически эффективным количеством дезогестрела или 3-кетодезогестрела и (b) примерно 4-30 мас.% рентгеноконтрастного материала, и (ii) оболочки из термопластичного полимера, покрывающей ядро и не содержащей лекарственного средства.
В одном из конкретных вариантов осуществления, видимое в рентгеновских лучах устройство для доставки лекарственных средств представляет собой имплантат.
Рентгеноконтрастный элемент может представлять собой любой такой элемент, известный в данной области, такой как сульфат бария, оксид титана, оксид висмута, тантал, вольфрам или платину. В конкретном варианте осуществления, рентгеноконтрастный материал представляет собой сульфат бария.
В одном из вариантов осуществления, рентгеноконтрастный материал составляет примерно 4-25 мас.%. В другом варианте осуществления, рентгеноконтрастный материал составляет примерно 6-20 мас.%. В еще одном варианте осуществления, рентгеноконтрастный материал составляет примерно 4-15 мас.%. В конкретном варианте осуществления, рентгеноконтрастный материал составляет примерно 8-15 мас.%.
Термопластичный полимер, который может использоваться при осуществлении настоящего изобретения, может в принципе представлять собой любой материал термопластичного полимера или эластомера, пригодного для фармацевтического использования, такой как полиэтилен низкой плотности, сополимеры этилена-винилацетата и сополимеры стирола-бутадиена-стирола. В конкретном варианте осуществления, используется сополимер этилена-винилацетата (поли-EVA), из-за его превосходных механических и физических свойств (например, растворимости стероидов в материале). Материал поли-EVA может использоваться для ядра, а также для оболочки, и может представлять собой любой коммерчески доступный сополимер этилена-винилацетата, такой как продукты, доступные под торговыми наименованиями: Elvax, Evatane, Lupolen, Movriton, Ultrathene, Ateva и Vestypar.
Рентгеноконтрастный материал в ядре не влияет на высвобождение дезогестрела или 3-кетодезогестрела из устройства и не мигрирует из имплантата.
Рассматриваемое изобретение, кроме того, включает видимое в рентгеновских лучах устройство для доставки лекарственных средств, для подкожного введения контрацептива или гормонозаместительной терапии, содержащее одно отделение, состоящее из (i) ядра из термопластичного полимера, нагруженного контрацептивно эффективным или терапевтически эффективным количеством дезогестрела или 3-кетодезогестрела и содержащего проволоку из инертного металла, и (ii) оболочки из термопластичного полимера, покрывающей ядро и не содержащей лекарственного средства.
Рентгеноконтрастный элемент может представлять собой инертную титановую проволоку или другой инертный материал, такой как определенные сорта нержавеющей стали или сплавов золота. В конкретном варианте осуществления, инертная металлическая проволока представляет собой титановую проволоку.
Металлическая проволока в ядре не влияет на высвобождение дезогестрела или 3-кетодезогестрела из устройства.
Настоящее изобретение дополнительно описывается в следующих далее примерах, которые ни в коем случае не предназначаются для ограничения объема настоящего изобретения согласно формуле изобретения.
Примеры
Пример 1 – Приготовление двухслойного имплантата, содержащего сульфат бария в ядре
Приготовление двухслойного имплантата, содержащего сульфат бария в ядре, состоит из двух стадий, то есть производства гранулята ядра (предварительного смешивания и экструзии смеси), содержащего смесь этоногестрела (3-кетодезогестрела), сульфата бария и сополимера EVA-28, и получения коаксиального волокна, состоящего из ядра и слоя оболочки из сополимера EVA-14.
Материал ядра приготавливают посредством добавления желаемого количества (например, 52,5 мас.% этоногестрела, 36 мас.% EVA, 11,5 мас.% сульфата бария) ингредиентов в барабан из нержавеющей стали, после чего смесь порошков предварительно смешивается посредством вращения барабана на мельнице Rhoenrad или на ее эквиваленте, при 47 об/мин. Затем смесь порошков вводят в двухшнековый экструдер со шнеками, вращающимися в одном направлении, Berstorff ZE25 (или его эквивалент), и смесь экструдируют при температуре экструзии 125°C. Экструзия смеси приводит к получению тяжей, в которых этоногестрел (3-кетодезогестрел) и сульфат бария гомогенно диспергированы в матрице из EVA-28. Затем тяжи гранулируются в виде гранулята ядра.
Установка совместной экструзии состоит из экструдера оболочки, который обрабатывает материал оболочки, и экструдера ядра, который обрабатывает материал ядра, когда он доставляется экструдером смеси. Потоки расплавов объединяются в многоканальной фильере, в результате получается волокно из оболочки с ядром. Объемная скорость потока обоих потоков расплавов контролируется посредством установки отдельных центробежных насосов. Используют температуру экструзии 145°C и скорость экструзии 1 м/мин. Экструзия приводит к получению коаксиального волокна с диаметром 2 мм и с толщиной оболочки 60 мкм. Волокно охлаждают до комнатной температуры в ванне с водой, сушат на воздухе и наматывают на колесо. Коаксиальное волокно разрезают на стержни 4,0 см, с использованием полуавтоматического резака (Diosynth или его эквивалента).
Пример 2 – Приготовление двухслойного имплантата, содержащего сульфат бария в оболочке
Приготовление двухслойного имплантата, содержащего сульфат бария в оболочке, состоит из двух стадий, то есть производства гранулята ядра (предварительного смешивания и экструзии смеси), содержащего смесь этоногестрела (3-кетодезогестрела) и сополимера EVA-28, и получения гранулята оболочки (предварительного смешивания и экструзии смеси), содержащего смесь сульфата бария и сополимера EVA-14, и получения коаксиального волокна, состоящего из ядра и слоя оболочки.
Материал ядра (например, 60 мас.% этоногестрела и 40 мас.% EVA-28) и материал оболочки (например, 20 мас.% сульфата бария и 80 мас.% EVA-14) получают посредством добавления желаемых ингредиентов в барабан из нержавеющей стали, после чего смеси порошков предварительно смешивают посредством вращения барабана на мельнице Rhoenrad или ее эквиваленте, при 47 об/мин.
Затем смесь порошков вводят в двухшнековый экструдер со шнеками, вращающимися в одном направлении, Berstorff ZE25 (или его эквивалент), и смесь экструдируют при температуре экструзии 125°C. Экструзия смеси приводит к получению тяжей, в которых этоногестрел (3-кетодезогестрел) гомогенно диспергирован в матрице из EVA-28. Затем тяжи гранулируются в виде гранулята ядра. По существу такой же способ, за исключением более высокой температуры экструзии 150°C, осуществляют для смеси порошков для оболочки, что приводит к получению тяжей, в которых сульфат бария гомогенно диспергирован в матрице EVA-14. Затем тяжи гранулируют в виде гранулята оболочки.
Установка для совместной экструзии состоит из экструдера оболочки, который обрабатывает гранулят оболочки, когда он доставляется экструдером смеси, и экструдера ядра, который обрабатывает гранулят ядра, когда он доставляется экструдером смеси. Потоки расплавов объединяются в многоканальной фильере, в результате получается волокно из оболочки с ядром. Объемная скорость потока обоих потоков расплавов контролируется посредством установки отдельных центробежных насосов. Используют температуру экструзии 120°C и скорость экструзии 1 м/мин. Экструзия приводит к получению коаксиального волокна с диаметром 2 мм и толщиной оболочки 60 мкм. Волокно охлаждают до комнатной температуры в ванне с водой, сушат на воздухе и наматывают на колесо. Коаксиальное волокно разрезают на стержни 4,0 см.
Пример 3 – Сравнение видимости в рентгеновских лучах между имплантатом, содержащим сульфат бария в ядре, имплантатом, содержащим сульфат бария в оболочке, и имплантатом без сульфата бария («Implanon»)
Делают рентгеновские фотографии имплантатов, а затем сравнивают видимость в рентгеновских лучах между имплантатами, имеющими сульфат бария либо в ядре, либо в оболочке, по сравнению с видимостью в рентгеновских лучах имплантатов без сульфата бария («Implanon»). Фиг.1 демонстрирует, что введение сульфата бария в слой оболочки едва улучшает видимость в рентгеновских лучах, если сравнивать с имплантатами без сульфата бария. Однако введение сульфата бария в ядро значительно улучшает видимость имплантата в рентгеновских лучах.
Видимость в рентгеновских лучах имплантата с сульфатом бария в ядре также исследуют in vivo на тканях свиньи. Для этой цели имплантаты, имеющие сульфат бария в ядре, и имплантаты без сульфата бария («Implanon») вставляют в задние ноги свиней, а затем делают рентгеновские фотографии. Фиг.2 демонстрирует, что имплантат, содержащий сульфат бария (образец 7), виден четко, в то время как имплантат «Implanon» – нет (образец 8).
Пример 4 – Профиль высвобождения гормона из имплантата, содержащего сульфат бария в ядре, по сравнению с профилем высвобождения гормона из коммерчески доступного «Implanon»
Профили скорости высвобождения имплантатов in vitro исследуют посредством двух способов. Способ ускоренной скорости высвобождения осуществляют посредством исследования имплантата в растворе этанол/вода (90/10). Для способа скорости высвобождения в реальном времени, профиль высвобождения in vitro исследуют в воде. Для обоих исследований профиль высвобождения имплантата, содержащего сульфат бария в ядре, сравнивают с профилем «Implanon» без сульфата бария.
Изготавливают имплантаты, нагруженные 8, 11,5 и 15 мас.% сульфата бария в ядре. Полученные профили ускоренного высвобождения показаны на фиг.3, которые демонстрируют, что все профили высвобождения являются сходными и что в исследуемом диапазоне содержания сульфата бария в ядре (0-15 мас.%) непрозрачный для излучения компонент не влияет на высвобождение гормонов из устройства. Такое же заключение может быть сделано из профилей высвобождения в реальном времени до 190 дней (фиг.4), то есть в исследуемом диапазоне содержания сульфата бария в ядре (0-15 мас.%) непрозрачный для излучения компонент не влияет на высвобождение гормонов из устройства.
Эти заключения подтверждаются посредством вычисления значения F1. Значения F1 вычисляются как для профилей ускоренной скорости высвобождения (вплоть до 18 дней и включая их), так и для профилей скорости высвобождения в реальном времени (вплоть до 190 дней и включая их), используя профили высвобождения «Implanon» в качестве сравнения. Результаты приводятся в таблице 1. Значения F1 до 15 (0-15) обеспечивают уверенность в одинаковости или эквивалентности двух кривых.
Таблица 1 Значения F1 для имплантатов, нагруженных 8, 11,5 и 15 мас.% сульфата бария в ядре |
| Сульфат бария (мас.%) |
Ускоренное высвобождение |
Высвобождение в реальном времени |
| 8 |
3,3 |
9,8 |
| 11,5 |
2,4 |
9,7 |
| 15 |
2,1 |
8,7 |
Пример 5 – Приготовление имплантата, содержащего титановую проволоку в ядре
Для приготовления имплантатов, в которых ядро содержит инертную титановую проволоку, стержни «Implanon» с диаметром 2 мм адаптируются таким образом, что может быть вставлена титановая проволока. Это делается посредством осторожного сверления канала в имплантатах в продольном направлении. Используют спиральные сверла (Guhring Spiralbohre, Germany) с диаметром либо 0,40, либо 0,60 мм. Спиральное сверло 0,40 мм используют для имплантатов, в которые вставляют 0,25 мм титановую проволоку, в то время как 0,60 мм сверло используют для имплантата, в который вставляют 0,50 мм титановую проволоку. После получения канала осторожно вставляют титановую проволоку, контролируя, чтобы проволока не проходила через слой оболочки. После вставки проволоку обрезают на конце стержня, используя острый резак.
Пример 6 – Сравнение видимости в рентгеновских лучах между имплантатом, содержащим титановую проволоку в ядре, и имплантатом без титановой проволоки («Implanon»)
Делают рентгеновские фотографии имплантатов, а затем сравнивают видимость в рентгеновских лучах между имплантатами, имеющими титановую проволоку в ядре, по сравнению с видимостью в рентгеновских лучах имплантатов без титановой проволоки («Implanon»). Как демонстрируется на фиг.5, вставки титановой проволоки в ядро значительно улучшают видимость в рентгеновских лучах имплантата.
Видимость в рентгеновских лучах имплантата с титановой проволокой также исследуют in vivo на тканях свиньи. Для этой цели имплантаты, имеющие титановую проволоку в ядре, и имплантаты без проволоки («Implanon») вставляют в задние ноги свиней, а затем делают рентгеновские фотографии. Фиг.6 демонстрирует, что имплантат, содержащий титановую проволоку (образец 4), виден четко, в то время как имплантат «Implanon» – нет (образец 3).
Пример 7 – Профиль высвобождения гормона из имплантата, содержащего титановую проволоку в ядре, по сравнению с профилем высвобождения гормона коммерчески доступного «Implanon»
Профили скорости высвобождения «Implanon» in vitro определяют посредством двух способов. Способ ускоренной скорости высвобождения осуществляют посредством исследования имплантата в растворе этанол/вода (90/10). Для способа скорости высвобождения в реальном времени, профиль высвобождения in vitro исследуют в воде. Для обоих исследований, профиль высвобождения имплантата, содержащего титановую проволоку в ядре, сравнивают с профилем «Implanon» без титановой проволоки. Полученные профили ускоренного высвобождения показаны на фиг.7, которая демонстрирует, что все профили высвобождения сравнимы с имплантатом сравнения «Implanon» и что в исследуемом диапазоне диаметров титановой проволоки (0,25-0,50 мм) влияние на высвобождение гормонов из устройства, содержащего рентгеноконтрастный компонент, является приемлемым.
Такое же заключение может быть сделано по профилям высвобождения в реальном времени до 118 дней (фиг.8), то есть, что все профили высвобождения являются сравнимыми с имплантатом сравнения «Implanon» и что в исследуемом диапазоне диаметров титановой проволоки (0,25-0,50 мм) влияние на высвобождение гормонов из устройства, содержащего рентгеноконтрастный компонент, является приемлемым.
Эти заключения подтверждаются посредством вычисления значения F1. Значения F1 вычисляются как для профилей ускоренной скорости высвобождения (вплоть до 18 дней и включая их), так и для профилей скорости высвобождения в реальном времени (вплоть до 118 дней и включая их), используя профили высвобождения «Implanon» в качестве сравнения. Результаты приводятся в таблице 2. Значения F1 до 15 (0-15) обеспечивают уверенность в одинаковости или эквивалентности двух кривых.
Таблица 2 Значения F1 для имплантатов, нагруженных 0,25 и 0,50 мм титановой проволокой |
| Титановая проволока (мм) |
Ускоренное высвобожение |
Высвобождение в реальном времени |
| 0,25 |
2,6 |
8,1 |
| 0,50 |
7,7 |
10,8 |
Пример 8 – Миграция частиц сульфата бария из имплантата с открытыми концами
Чтобы получить распределение сульфата бария в имплантате и получить картину потерь частиц сульфата бария при их вымывании, получают криогенные срезы имплантатов с использованием ультрамикротома. Затем срезы имплантатов анализируют с использованием сканирующей электронной микроскопии/рентгеновского спектра рассеивания энергии (SEM/EDX) до и после вымывания гормона. Вымывание гормона из имплантатов приводит к удалению кристаллов этоногестрела из имплантата. Посредством анализа до и после вымывания гормона получают информацию относительно морфологии смеси сульфат бария/этоногестрел/EVA-28. Для получения изображения используют детектор обратного рассеяния электронов (BSE). На изображении, сделанном с помощью BSE, присутствие частиц сульфата бария легко обнаруживается посредством высокой яркости частиц сульфата бария.
Фиг.9 показывает морфологию имплантата, в котором ядро нагружено примерно 11,5 мас.% сульфата бария. Можно увидеть, что яркие пятна, представляющие собой сульфат бария, располагаются в основном в материале EVA-28, то есть серые/черные пятна нерегулярной формы, представляющие собой кристаллы этоногестрела, не содержат ярких пятен. Фиг.10 показывает такой же образец, из которого гормон вымыт. Левая часть представляет собой материал оболочки, в то время как правая часть представляет собой ядро, из которого гормон вымыт. Четко видны темные дыры. Дыры, представляющие собой положения, в которых кристаллы этоногестрела находились перед вымыванием гормона, едва ли содержат какие-либо яркие точки.
Содержание сульфата бария в нескольких загрузках также исследуют с использованием сжигания, до и после вымывания гормона (18 дней в этаноле/воде (90/10)). Это дает информацию о возможной миграции кристаллов сульфата бария из имплантата, после того как кристаллы этоногестрела вымываются из имплантата. Результаты (таблица 3) показывают, что нет большого изменения содержания сульфата бария при вымывании гормона. По этой причине, можно сделать заключение, что едва ли кристаллы сульфата бария мигрируют из имплантата через открытые концы.
Объединяя фиг.9 и 10 с результатами таблицы 3, можно сделать заключение, что едва ли компонент рентгеноконтрастный (показанный яркими пятнами) инкапсулируется кристаллами гормона и что большая часть компонента рентгеноконтрастного инкапсулируется полимером EVA-28.
Таблица 3 Остаточное содержание BaSO4 имплантатов (приводится среднее значение, а диапазон для 6 образцов приводится в скобках) |
| Загрузка |
Необработанный [мг BaSO4/имплантат] |
Вымывание гормона (18 дней EtOH/H2O) [мг BaSO4/имплантат] |
| Ядро с 11,5 мас.% BaSO4 |
14,7(14,5-14,8) |
14,9(14,7-15,1) |
| Ядро с 8 мас.% BaSO4 |
10,3(10,2-10,4) |
9,5(9,4-9,6) |
| Ядро с 15 мас.%BaSO4 |
19,7(19,4-20,1) |
19,5(19,4-19,6) |
Пример 9 – Сравнение видимости в рентгеновских лучах между имплантатом, содержащим сульфат бария в ядре, и имплантатом без сульфата бария («Implanon»)
Делают рентгеновские фотографии (при 26 кВт и 0,6 мАсек) имплантатов, а затем сравнивают видимость в рентгеновских лучах между имплантатами, имеющими сульфат бария в ядре, по сравнению с видимостью в рентгеновских лучах имплантатов без сульфата бария («Implanon»). Фиг.11 демонстрирует, что введение сульфата бария в ядро значительно улучшает видимость имплантата в рентгеновских лучах. Имплантат с содержанием сульфата бария всего лишь 4 мас.% в ядре (образец 4) виден четко, в то время как имплантат «Implanon» (образец 1) без сульфата бария – нет.
Измеренное пропускание рентгеновских лучей представляет собой количественный параметр для видимости имплантатов в рентгеновских лучах. Число представляет собой экспонирование для рентгеновских лучей (пиксели на единицу площади) рентгеновской камеры (пропускание рентгеновских лучей). Таблица 4 и фиг.12 показывают, что величина пропускания рентгеновских лучей имплантата с низким содержанием сульфата бария в ядре 4 мас.% (образец 4) значительно отличается от имплантата без BaSO4 (образец 1).
Таблица 4 Видимость в рентгеновских лучах имплантата с BaSO4 и без |
Образца |
Содержание BaSO4 |
Пропускание рентгеновских лучей [пиксели/единичная площадь] |
 |
[мас.%] |
Среднее [n=4] |
SD |
| 1 |
0 |
1588 |
21 |
| 2 |
11,5 |
736 |
28 |
| 3 |
11,5 |
729 |
29 |
| 4 |
4 |
1140 |
29 |
| 5 |
20 |
486 |
24 |
| 6 |
30 |
292 |
17 |
Пример 10 – Профиль высвобождения гормона имплантата, содержащего сульфат бария в ядре, по сравнению с профилем высвобождения гормона из коммерчески доступного «Implanon» (без сульфата бария)
Профили скорости высвобождения in vitro имплантатов исследуются с помощью двух способов. Способ для исследования увеличенной скорости высвобождения осуществляют посредством исследования имплантата в растворе этанол/вода (90/10). Для способа, показывающего скорость высвобождения в реальном времени, профиль высвобождения in vitro исследуют в воде. Для обоих исследований профиль высвобождения из имплантата, содержащего сульфат бария в ядре, сравнивают с профилем «Implanon» без сульфата бария.
Изготавливают имплантаты, нагруженные 4, 20 и 30 мас.% сульфата бария в ядре. Полученные профили ускоренного высвобождения показаны на фиг.13, которая демонстрирует, что все профили высвобождения являются сходными и что в исследуемом диапазоне содержания сульфата бария в ядре (0-30 мас.%) рентгеноконстрастный компонент не влияет на высвобождение гормонов из устройства. Такое же заключение может быть сделано по профилям высвобождения в реальном времени вплоть до 76 дней (фиг.14), то есть в исследуемом диапазоне содержания сульфата бария в ядре (0-30 мас.%) рентгеноконстрастный компонент не влияет на высвобождение гормонов из устройства.
Эти заключения подтверждаются посредством вычисления значения F1. Значения F1 вычисляются как для профилей ускоренной скорости высвобождения (вплоть до 18 дней и включая их), так и для профилей скорости высвобождения в реальном времени (вплоть до 76 дней и включая их), принимая в качестве сравнения профили с 0 мас.% высвобождения из имплантата. Результаты приводятся в таблице 5. Значения F1 до 15 (0-15) обеспечивают уверенность в одинаковости или эквивалентности двух кривых.
Таблица 5 Значения Fl для имплантатов, нагруженных 4, 20 и 30 мас.% сульфата бария в ядре |
Сульфат бария [мас.%] |
Ускоренное высвобождение |
Высвобождение в реальном времени |
| 4 |
4,2 |
2,9 |
| 20 |
5,8 |
6,9 |
| 30 |
6,8 |
7,5 |
Пример 11 – Миграция частиц сульфата бария из имплантата с открытыми концами
Чтобы получить распределение сульфата бария в имплантате и получить картину потерь частиц сульфата бария при вымывании, получают криогенные срезы имплантатов с использованием ультрамикротома. Затем срезы имплантатов анализируют с использованием сканирующей электронной микроскопии/рентгеновского спектра рассеивания энергии (SEM/EDX) до и после вымывания гормона. Вымывание гормона из имплантатов приводит к удалению кристаллов этоногестрела из имплантата. Посредством анализа до и после вымывания гормона получают информацию относительно морфологии смеси сульфат бария/этоногестрел/EVA-28. Для получения изображения используют детектор обратного рассеяния электронов (BSE). На изображении, сделанном с помощью BSE, присутствие частиц сульфата бария легко обнаруживается посредством высокой яркости частиц сульфата бария.
Фиг.15 показывает морфологию имплантата, в котором ядро нагружено примерно 4, 20 и 30 мас.% сульфата бария. Можно увидеть, что яркие пятна, представляющие собой сульфат бария, располагаются в основном в материале EVA-28, то есть серые/черные пятна нерегулярной формы, представляющие собой кристаллы этоногестрела, не содержат ярких пятен. Фиг.16 показывает такой же образец, из которого произошло вымывание гормона. Пустая часть представляет собой материал оболочки, в то время как часть, содержащая яркие пятна, показывает вымывание гормона из ядра. Четко видны темные дыры. Дыры, представляющие собой положения, в которых кристаллы этоногестрела находились перед вымыванием гормона, едва ли содержат какие-либо яркие точки.
Содержание сульфата бария в нескольких загрузках также исследуют с использованием сжигания до и после вымывания гормона (18 дней в этаноле/воде (90/10)). Это дает информацию о возможной миграции кристаллов сульфата бария из имплантата, после того как кристаллы этоногестрела вымываются из имплантата. Результаты (таблица 6) показывают, что нет большого изменения содержания сульфата бария при вымывании гормона. По этой причине, можно сделать заключение, что едва ли кристаллы сульфата бария мигрируют из имплантата через открытые концы.
Объединяя фиг.15 и 16 с результатами таблицы 6, можно сделать заключение, что едва ли рентгеноконтрастный компонент (показанный яркими пятнами) инкапсулируется кристаллами гормона и что большая часть рентгеноконтрастного компонента инкапсулируется полимером EVA-28.
Таблица 6 Остаточное содержание BaSO4 в имплантатах (приводится среднее значение, а диапазон для 6 образцов приводится в скобках) |
| Загрузка |
Необработанный [мг BaSO4/имплантат] |
Вымывание гормона (18 дней EtOH/H2O) [мг BaSO4/имплантат] |
| Ядро с 4 мас.% BaSO4 |
5,0 (4,9-5,1) |
5,6 (5,5-5,6) |
| Ядро с 20 мас.% BaSO4 |
26,2 (26,0-26,3) |
26,8 (26,6-26,9) |
| Ядро с 30 мас.%BaSO4 |
45,6 (45,4-45,8) |
45,2 (45,11-45,4) |
Формула изобретения
1. Устройство для доставки лекарственных средств, видимое в рентгеновских лучах, для подкожного введения контрацептива или проведения гормонозаместительной терапии, содержащее одно отделение, состоящее из (i) ядра из термопластичного полимера, нагруженного (а) контрацептивно эффективным или терапевтически эффективным количеством дезогестрела или 3-кетодезогестрела, и (b) примерно 4-30 мас.% рентгеноконтрастного материала, и (ii) оболочки из термопластичного полимера, покрывающей ядро и не содержащей лекарственного средства.
2. Устройство для доставки лекарственных средств, видимое в рентгеновских лучах, по п.1, в котором рентгеноконтрастный материал составляет примерно 6-20 мас.%.
3. Устройство для доставки лекарственных средств, видимое в рентгеновских лучах, по п.1, в котором рентгеноконтрастный материал составляет примерно 8-15 мас.%.
4. Устройство для доставки лекарственных средств, видимое в рентгеновских лучах, по любому из пп.1-3, в котором рентгеноконтрастный материал в ядре не влияет на высвобождение дезогестрела или 3-кетодезогестрела из устройства.
5. Устройство для доставки лекарственных средств, видимое в рентгеновских лучах, по любому из пп.1-3, в котором рентгеноконтрастные частицы не мигрируют из имплантата.
6. Устройство для доставки лекарственных средств, видимое в рентгеновских лучах, по любому из пп.1-3, где рентгеноконтрастный материал представляет собой сульфат бария.
7. Устройство для доставки лекарственных средств, видимое в рентгеновских лучах, по любому из пп.1-3, где устройство представляет собой имплантат.
8. Устройство для доставки лекарственных средств, видимое в рентгеновских лучах, по любому из пп.1-3, в котором термопластичный полимер представляет собой полиэтилен-винилацетат.
9. Устройство для доставки лекарственных средств, видимое в рентгеновских лучах, для подкожного введения контрацептива или проведения гормонозаместительной терапии, содержащее одно отделение, состоящее из (i) ядра из термопластичного полимера, нагруженного контрацептивно эффективным или терапевтически эффективным количеством дезогестрела или 3-кетодезогестрела, и содержащего инертную металлическую проволоку, и (ii) оболочки из термопластичного полимера, покрывающей ядро и не содержащей лекарственного средства.
10. Устройство для доставки лекарственных средств, видимое в рентгеновских лучах, по п.9, в котором металлическая проволока в ядре не влияет на высвобождение дезогестрела или 3-кетодезогестрела из устройства.
11. Устройство для доставки лекарственных средств, видимое в рентгеновских лучах, по п.9 или 10, в котором инертная металлическая проволока представляет собой титановую проволоку.
12. Устройство для доставки лекарственных средств, видимое в рентгеновских лучах, по п.9 или 10, где устройство представляет собой имплантат.
13. Устройство для доставки лекарственного средства, видимое в рентгеновских лучах, по п.9 или 10, в котором термопластичный полимер представляет собой полиэтилен-винилацетат.
РИСУНКИ
|
|