|
|
(21), (22) Заявка: 2008141954/28, 22.10.2008
(24) Дата начала отсчета срока действия патента:
22.10.2008
(46) Опубликовано: 10.03.2010
(56) Список документов, цитированных в отчете о поиске:
RU 2003157 C1, 15.11.1993. RU 2001423 C1, 15.10.1993. RU 2310221 С1, 05.02.2008. SU 311242 А, 09.08.1971. US 7327699 В1, 05.02.2008.
Адрес для переписки:
191187, Санкт-Петербург, наб. Кутузова, 10, Институт прикладной астрономии, А.М. Финкельштейну
|
(72) Автор(ы):
Ипатов Александр Васильевич (RU), Дикарев Виктор Иванович (RU), Койнаш Борис Васильевич (RU), Кузьмин Владимир Никифорович (RU)
(73) Патентообладатель(и):
Учреждение Российской академии наук Институт прикладной астрономии РАН (RU)
|
(54) СПОСОБ СИНХРОНИЗАЦИИ ЧАСОВ И УСТРОЙСТВО ДЛЯ ЕГО РЕАЛИЗАЦИИ
(57) Реферат:
Изобретения относятся к технике связи и радиолокации и могут быть использованы для сличения шкал времени, разнесенных на большие расстояния. Изобретения направлены на повышение точности измерения относительного временного сдвига между зондирующим и ретранслированным шумоподобными сигналами путем автоматического отслеживания перемещения экстремума корреляционной функции указанных сигналов вдоль оси абсцисс. Этот результат обеспечивается за счет того, что устройство, реализующее способ синхронизации часов, содержит эталон времени и частоты, первый и второй гетеродины, блок гетеродинов, генератор псевдошумового сигнала, переключатель, усилители мощности, дуплексер 8, приемо-передающую антенну 9, первый и второй клипперы, первый и второй блоки памяти, коррелятор, блок регулируемой задержки, перемножитель, фильтр нижних частот, экстремальный регулятор и микропроцессор. 2 н.п. ф-лы, 3 ил.
Предлагаемые способ и устройство относятся к технике связи и радиолокации и могут быть использованы для сличения шкал времени, разнесенных на большие расстояния.
Известны способ и устройство синхронизации часов (авт.свид. СССР  970300, 118083, 1244632, 1278800; патенты РФ  2001423, 2003157, 2040035, 2177167, 2301437; B.C.Губанов, A.M.Финкельштейн, П.А.Фридман. Введение в радиоастрономию. – М., 1983; и другие).
Из известных способов и устройств наиболее близкими к предлагаемым являются «Способ синхронизации часов» (патент РФ 2003157, G04С 11/02, 1991) и «Устройство синхронизации часов» (патент РФ 2001423, G04С 11/02, 1992), которые и выбраны в качестве прототипов.
Указанные способ и устройство обеспечивают сличение шкал времени, разнесенных на большое расстояние, и основаны на использовании дуплексного метода связи через геостационарный ИСЗ-ретранслятор и корреляционной обработке шумоподобных сигналов.
Основное достоинство дуплексного метода связи состоит в том, что в нем исключается длина трассы прохождения сигнала. Поэтому его точность в основном зависит от параметров бортового ретранслятора, типа используемого сигнала и техники измерения временных интервалов.
Для измерения временных интервалов используется корреляционная обработка шумоподобных сигналов, которые имеют ряд достоинств, одним из которых является хорошее свойство корреляционной функции R( ) указанных сигналов: она имеет относительно высокий уровень центрального лепестка и низкий уровень боковых лепестков.
Следует отметить, что ИСЗ-ретранслятор, размещенный на геостационарной орбите, под действием различных дестабилизирующих факторов совершает определенные движения относительно предполагаемого устойчивого положения. Поэтому корреляционную обработку шумоподобных сигналов целесообразно проводить с использованием корреляционной экстремальной системы.
В указанной системе вычисления корреляционной функции R( ) между зондирующим и ретранслированными шумоподобными сигналами и отслеживается перемещение ее экстремума вдоль оси абсцисс. Процесс слежения осуществляется с помощью беспоисковой системы экстремального регулирования. Положение экстремума корреляционной функции R( ) на оси абсцисс может быть определено с высокой точностью.
Технической задачей изобретения является повышение точности измерения относительного временного сдвига между зондирующим и ретранслированным шумоподобными сигналами путем автоматического отслеживания перемещения экстремума корреляционной функции указанных сигналов вдоль оси абсцисс.
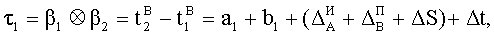
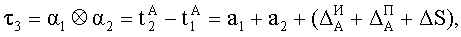
Поставленная задача решается тем, что способ синхронизации часов, основанный, в соответствии с ближайшим аналогом, на одновременном приеме разнесенными наземными пунктами шумоподобных СВЧ-сигналов с борта искусственного спутника Земли, когерентном их преобразовании к видеочастоте, цифровой регистрации принятых сигналов и определении временной задержки прихода одного и того же сигнала в пункты синхронизации методом корреляционной обработки зарегистрированных сигналов, по величине которой производится сличение шкал времени, при этом в начальный момент времени t1 по часам первого пункта с помощью кодовой последовательности формируют шумоподобный СВЧ-сигнал, регистрируют его на этом же пункте, сформированный сигнал преобразуют на частоту f1, усиливают его по мощности, излучают усиленный сигнал в направлении на искусственный спутник Земли – ретранслятор, в тот же момент времени t1 по часам второго пункта с помощью такой же кодовой последовательности формируют такой же шумоподобный СВЧ-сигнал, регистрируют его на втором пункте, принимают бортовой аппаратурой ИСЗ-ретранслятора сигнал на частоте f1, переизлучают его на первый и второй пункты на частоте f2 с сохранением фазовых соотношений, в произвольный момент времени t3 по часам второго пункта аналогично формируют и регистрируют шумоподобный СВЧ-сигнал, сформированный сигнал преобразуют на частоту f1 усиливают его по мощности, излучают усиленный сигнал в направлении того же ИСЗ-ретранслятора, в тот же момент времени t3 по часам первого пункта с помощью той же кодовой последовательности формируют такой же шумоподобный СВЧ-сигнал, регистрируют его на первом пункте, принимают бортовой аппаратурой ИСЗ-ретранслятора сигнал на частоте f1 и переизлучают его на первый и второй пункты на частоте f2 с сохранением фазовых соотношений, отличается от ближайшего аналога тем, что зарегистрированный зондирующий сигнал пропускают через блок регулируемой задержки, перемножают его с зарегистрированным ретранслированным сигналом, выделяют низкочастотное напряжение, формируя тем самым корреляционную функцию R( ), где – текущая временная задержка, изменением задержки поддерживают корреляционную функцию R( ) на максимальном уровне, фиксируют временную задержку i (i=1, 2, 3, 4) между двумя парами зарегистрированных зондирующих и ретранслируемых сигналов, по величине которой производится сличение шкал времени.
Поставленная задача решается тем, что устройство синхронизации часов, содержащее, в соответствии с ближайшим аналогом, ИСЗ-ретранслятор, первый и второй наземные пункты, каждый из которых содержит последовательно включенные эталон времени и частоты, первый гетеродин, первый смеситель, второй вход которого через переключатель соединен с первым выходом генератора псевдослучайного сигнала, первый усилитель промежуточной частоты, первый усилитель мощности, дуплексер, вход-выход которого связан с приемо-передающей антенной, второй усилитель мощности, второй смеситель, второй вход которого через второй гетеродин соединен с первым выходом эталона времени и частоты, второй усилитель промежуточной частоты, второй клиппер, второй вход которого соединен с третьим выходом эталона времени и частоты, второй блок памяти и коррелятор, при этом к второму выходу генератора псевдослучайного сигнала последовательно подключены первый клиппер, второй вход которого соединен с вторым выходом эталона времени и частоты, и первый блок памяти, выход которого подключен к второму входу коррелятора, отличается от ближайшего аналога тем, что коррелятор выполнен в последовательно подключенных к выходу первого блока памяти блока регулируемой задержки, перемножителя, второй вход которого соединен с выходом второго блока памяти, фильтра нижних частот и экстремального регулятора, выход которого соединен с вторым входом блока регулируемой задержки, к второму выходу которого подключен микропроцессор.
Геометрическая схема расположения наземных пунктов A и B и ИСЗ-ретранслятора S изображена на фиг.1, где введены следующие обозначения: О – центр масс Земли; d – база интерферометра; r – радиус-вектор ИСЗ.
Временная диаграмма дуплексного метода сличения часов представлена на фиг.2, где введены следующие обозначения: S, A, B – шкалы времени ИСЗ-ретранслятора и пунктов A и B соответственно.
Синхронизация часов по предлагаемому способу осуществляется следующим образом:
в момент времени по часам первого пункта A с помощью кодовой последовательности формируют шумовой СВЧ-сигнал (сигнал 1);
регистрируют его на этом же пункте;
сформированный сигнал преобразуют на частоте f1;
усиливают его по мощности;
излучают усиленный сигнал в направлении на ИСЗ-ретранслятор;
в тот же момент времени по часам второго пункта B с помощью той же кодовой последовательности формируют такой же шумовой СВЧ-сигнал (сигнал 1);
регистрируют его на втором пункте B (сигнал 1, который, однако, не отправляют на ретрансляцию);
принимают бортовой аппаратурой ИСЗ-ретранслятора сигнал на частоте f1 (сигнал 1);
переизлучают его в пунктах A и B на частоте f2 с сохранением фазовых соотношений на интервале tc;
принимают ретранслированный сигнал в обоих пунктах;
преобразуют его на видеочастоту;
регистрируют его в моменты времени и соответственно (сигналы 2, 2);
в произвольный момент времени по часам второго пункта аналогично формируют и регистрируют шумовой СВЧ-сигнал (сигнал 3);
сформированный сигнал преобразуют на частоте f1;
усиливают его по мощности;
излучают усиленный сигнал в направлении того же ИСЗ-ретранслятора;
в тот же момент времени по часам первого пункта A с помощью той же кодовой последовательности формируют такой же шумовой СВЧ-сигнал (сигнал 3);
регистрируют его на первом пункте A (сигнал 3, который, однако, не регистрируют);
принимают бортовой аппаратурой ИСЗ-ретранслятора сигнал на частоте f1 (сигнал 3);




и соответствующие им частоты интерференции Fi(i=l,2,3,4), которые определяют производные этих задержек:

где 
aj,bl (j=1,2,3) – время распространения сигнала между ИСЗ и пунктами A и В соответственно (фиг.1);
– задержки сигналов в излучающей аппаратуре обоих пунктов;
– задержки сигналов в приемо-регистрирующей аппаратуре;
s – задержка сигналов в бортовом ретрансляторе ИСЗ;
t=tB-tA – искомая разность показаний часов в один и тот же
физический момент.
Полагая aj и bj линейными функциями с производными  , , получаем:

где 

переизлучают его в пункты A и B на частоте f2 с сохранением фазовых соотношений на интервале tc;
принимают ретранслированный сигнал в обоих пунктах;
преобразуют его на видеочастоту;
регистрируют его в моменты времени и соответственно (сигналы 4, 4);


A.B‘, A.B – задержки сигнала в атмосфере на частотах f1 и f2
соответственно;
– релятивистская поправка (эффект Саньяка);
c – скорость света;
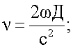
Д – площадь четырехугольника OA’SB’, образуемого в экваториальной плоскости центром масс Земли, проекциями пунктов A и B и ИСЗ-ретранслятора.
Поправку за подвижность ИСЗ-ретранслятора во времени единичного измерения проще всего свести к нулю соответствующим выбором свободного параметра :

который следует в начале измерений рассчитывать по приближенным эфемеридным данным, а затем уточнить по результатам текущих измерений. Что касается поправки за аппаратные задержки, то ее можно найти путем калибровки по методу «нулевой базы».
Атмосферная поправка также учитывается.
Оценка ошибки измерения временных задержек i(i=1,2,3,4).
Радиоинтерферометрическое отношение сигнал/шум составит
(3)
А ошибки измерения временной задержки и частоты интерференции F имеют вид
 
где f – полоса принимаемых и регистрируемых частот псевдошумового сигнала;
Рc, Рш – мощности сигнала и шума на входе приемника;
tc – интервал когерентности сигнала при его ретрансляции.
Тогда для получения ошибки  =0,1 нс необходимо, чтобы Q f 5·109. Например, при f=10 МГц получаем Q 500, что вполне достижимо даже при использовании наземных приемо-передающих антенн малого диаметра.
Для Q=500, f=10 МГц и согласно (4) оказывается достаточным и
tc=5·10-6 с. Как легко показать, такое время когерентности обеспечивается уже при нестабильности гетеродина бортового ретранслятора f=2·10-6.
Что касается ошибки измерения частоты интерференции F, то при использовании в качестве ретранслятора ИСЗ-геостационара обычно выполняются следующие ограничения: [ ]< 0,3c, [ ]=с[ ]<100 , поэтому для вычисления с ошибкой 0,1 нс необходимо F знать с ошибкой F= 3Гц. Тогда, используя формулы (4) и (5), получаем tC=0,4·10-3, что требует более высокой стабильности бортового гетеродина 3 f 3·10-8.
Структурная схема аппаратуры одного из пунктов (A), реализующей предлагаемый способ синхронизации часов, представлена на фиг.3, где введены следующие обозначения: 1 – стандарт частоты и времени, 2 – блок гетеродинов – первый 2.1 и второй 2.2 гетеродины, 4 – переключатель, 5, 13 – смесители, 6, 14 – усилители промежуточной частоты, 7, 12 – усилители мощности, 8 – дуплексер, 9 – приемо-передающая антенна, 10, 15 – клипперы, 11, 16 – буферные запоминающие устройства, 17 – измеритель задержки и их производных, измеритель 17 задержек содержит блок 18 регулируемой задержки, перемножитель 19, фильтр 20 нижних частот, экстремальный регулятор 21 и микропроцессор 22.
Принцип работы аппаратуры заключается в следующем. На первом шаге единичных измерений псевдошумовой сигнал 1(фиг.2), созданный генератором 3 с помощью стандарта 1 частоты и времени, преобразуется с помощью смесителя 5 и усилителя 6 промежуточной частоты к частоте f1, усиливается в усилителе 7 мощности и излучается через дуплексер 8 и антенну 9 в направлении ИСЗ-ретранслятора. Вместе с тем, этот же сигнал клиппируется в клиппере 10 тактовой частоты того же стандарта частоты 1 и записывается в буферное запоминающее устройство 11. Регистрация синхронизируется стандартом частоты 1.
Ретрансляционный сигнал 2 на частоте f2 принимается той же антенной 9 и после усиления в усилителе 12 мощности и преобразований к видеочастоте в смесителе 13 и усилителе 14 промежуточной частоты клиппируется в клиппере 15 и записывается в буферное запоминающее устройство 16. Регистрация синхронизируется стандартом частоты 1. На втором шаге (при передаче сигнала из пункта B) переключатель 4 должен быть разомкнут, и сигнал 3 из генератора 3 через клиппер 10 поступает в то же запоминающее устройство 11. Ретранслированный сигнал 4 записывается, как и 2, в запоминающее устройство 16. Затем в перерыве между актами измерений пары сигналов 1, 2 и 3, 4 подвергаются корреляционной обработке в измерителе 17, и вычисляются задержки 2, 3 и их производные , .
Зарегистрированный зондирующий сигнал с выхода блока 11 памяти поступает через блок 18 регулируемой задержки на первый вход перемножителя 19, на второй вход которого подается зарегистрированный ретранслированный сигнал с выхода блока 16 памяти. Полученное на выходе перемножителя 19 напряжение пропускается через фильтр 20 нижних частот, на выходе которого формируется корреляционная функция R( ). Экстремальный регулятор 21, предназначенный для поддержания максимального значения корреляционной функции R( ) и подключенный к выходу фильтра 20 нижних частот, воздействует на управляющий вход блока 18 регулируемой задержки и поддерживает вводимую им задержку равной i(i=1,2,3,4), что соответствует максимальному значению корреляционной функции R( ). Измерения значения i поступают в микропроцессор 22, где определяются их производные.
В пункте B аппаратура работает аналогично, только порядок шагов там обратный. Для вычисления разности показаний часов t по формуле (2) теперь достаточно обменяться между пунктами, полученными цифровыми данными, что можно делать по обычным телефонным или телеграфным каналам связи.
Описанные операции позволяют:
– достичь предельной точности измерений (около ±0,1 нc) с помощью PCДБ техники и техники ретрансляции, которая уже широко используется на практике;
– формировать необходимые для проведения измерений СВЧ-сигналы на наземных пунктах, что дает возможность постепенно наращивать точность измерений за счет оптимизации структуры сигнала и усовершенствования наземной техники регистрации без вмешательства в бортовую аппаратуру ИСЗ;
– повысить оперативность измерений, т.е. довести интервал времени от начала измерений до получения результатов вплоть до нескольких десятков секунд (практически до времени корреляционной обработки сигналов);
– избежать установки на борту ИСЗ высокостабильных хранителей времени и измерителей временных интервалов, ограничить бортовую аппаратуру только системой фазостабильной регистрации СВЧ-сигналов.
Таким образом, предлагаемые способ и устройство по сравнению с прототипами обеспечивают повышение точности измерения относительного временного сдвига между зондирующим и ретранслированным шумоподобными сигналами. Это достигается путем автоматического отслеживания перемещения экстремума корреляционной функции указанных сигналов вдоль оси абсцисс.
С точки зрения техники измерения предлагаемая корреляционная экстремальная система является компенсационной измерительной системой, т.е. в ней измеряемая величина (временной интервал) сравнивается с некоторой эталонной величиной (временной задержкой). Компенсационный метод позволяет осуществлять измерение с очень высокой точностью. Предлагаемая корреляционная измерительная система обеспечивает методическую погрешность измерений равную долям процента.
Формула изобретения
1. Способ синхронизации часов, основанный на одновременном приеме разнесенными наземными пунктами шумоподобных СВЧ-сигналов с борта искусственного спутника Земли, когерентном их преобразовании к видеочастоте, цифровой регистрации принятых сигналов и определении временной задержки прихода одного и того же сигнала в пункты синхронизации методом корреляционной обработки зарегистрированных сигналов, по величине которой производится сличение шкал времени, при этом в начальный момент времени t1 по часам первого пункта с помощью кодовой последовательности формируют шумоподобный СВЧ-сигнал, регистрируют его на этом же пункте, сформированный сигнал преобразуют на частоту f1 усиливают его по мощности, излучают усиленный сигнал в направлении на искусственный спутник Земли – ретранслятор, в тот же момент времени t1 по часам второго пункта с помощью такой же кодовой последовательности формируют такой же шумоподобный СВЧ-сигнал, регистрируют его на втором пункте, принимают бортовой аппаратурой искусственного спутника Земли-ретранслятора сигнала на частоте f1, переизлучают его на первый и второй пункты на частоте f2 с сохранением фазовых соотношений, в произвольный момент времени t3 по часам второго пункта аналогично формируют и регистрируют шумоподобный СВЧ-сигнал, сформированный сигнал преобразуют на частоту f1, усиливают его по мощности, излучают усиленный сигнал в направлении того же искусственного спутника Земли-ретранслятора, в тот же момент времени t3 по часам первого пункта с помощью той же кодовой последовательности формируют такой же шумоподобный СВЧ-сигнал, регистрируют его на первом пункте, принимают бортовой аппаратурой искусственного спутника Земли-ретранслятора сигнал на частоте f1 и переизлучают его на первый и второй пункты на частоте f2 с сохранением фазовых соотношений, отличающийся тем, что зарегистрированный зондирующий сигнал пропускают через блок регулируемой задержки, перемножают его с зарегистрированным ретранслированным сигналом, выделяют низкочастотное напряжение, формируя тем самым корреляционную функцию R( ), где – текущая временная задержка, изменением задержки поддерживают корреляционную функцию R( ) на максимальном уровне, фиксируют временную задержку i(i=1, 2, 3, 4) между двумя парами зарегистрированных зондирующих и регистрированных сигналов, по величине которой производится сличение шкал времени.
2. Устройство синхронизации часов, содержащее ИС3-ретранслятор, первый и второй наземные пункты, каждый из которых содержат последовательно включенные эталон времени и частоты, первый гетеродин, первый смеситель, второй вход которого через переключатель соединен с первым выходом генератора псевдошумового сигнала, первый усилитель промежуточной частоты, первый усилитель мощности, дуплексер, вход-выход которого связан с приемопередающей антенной, второй усилитель мощности, второй смеситель, второй вход которого соединен через второй гетеродин с первым выходом эталона времени и частоты, второй усилитель промежуточной частоты, второй клипер, второй вход которого соединен с третьим выходом эталона времени и частоты, второй блок памяти и коррелятор, при этом к второму выходу генератора псевдошумового сигнала последовательно подключены первый клипер, второй вход которого соединен с вторым выходом эталона времени и частоты и первый блок памяти, выход которого подключен к второму входу коррелятора, отличающееся тем, что коррелятор выполнен в виде последовательно подключенных к выходу первого блока памяти блока регулируемой задержки, перемножителя, второй вход которого соединен с выходом второго блока памяти, фильтра нижних частот и экстремального регулятора, выход которого соединен с вторым входом блока регулируемой задержки, к второму выходу которого подключен микропроцессор.
РИСУНКИ
|
|