|
|
(21), (22) Заявка: 2007139986/28, 30.10.2007
(24) Дата начала отсчета срока действия патента:
30.10.2007
(43) Дата публикации заявки: 10.05.2009
(46) Опубликовано: 10.03.2010
(56) Список документов, цитированных в отчете о поиске:
SU 1216640 A, 07.03.1984. SU 1663413 A1, 15.07.1991. SU 1226044 A, 24.10.1984. RU 95108213 A1, 21.03.1995. RU 94036133 A1, 27.07.1996. US 6822749 В1, 23.11.2004. JP 11183124 А, 09.07.1999.
Адрес для переписки:
117393, Москва, ул. Профсоюзная, 78, оф.3323, пат.пов. В.Н.Рослову, рег. 18
|
(72) Автор(ы):
Ширанков Александр Федорович (RU), Хорохоров Алексей Михайлович (RU), Штыков Станислав Александрович (RU), Аниканов Алексей Григорьевич (RU)
(73) Патентообладатель(и):
Корпорация “САМСУНГ ЭЛЕКТРОНИКС Ко., Лтд.” (KR)
|
(54) СПОСОБ ИЗМЕРЕНИЯ РАЗМЕРОВ МАЛЫХ ОБЪЕКТОВ С ПОМОЩЬЮ ВАРИООБЪЕКТИВА И УСТРОЙСТВО ДЛЯ ЕГО ОСУЩЕСТВЛЕНИЯ
(57) Реферат:
Способ бесконтактного измерения размеров малых объектов осуществляют с помощью устройства, содержащего вариообъектив, который выполнен в виде одного неподвижного, а также первого и второго подвижных компонентов. Рассматриваемый объект размещают в задней фокальной плоскости вариообъектива. В задней фокальной плоскости неподвижного компонента вариобъектива размещают две калиброванные рамки. Осуществляют последовательное совмещение изображения объекта с изображениями двух рамок и фиксацию положения подвижного компонента при этих совмещениях. Вычисление размера объекта производят по двум зафиксированным положениям подвижного компонента, по размеру рамок и конструктивным параметрам вариообъектива. Технический результат заключается в обеспечении высокой точности измерений линейных размеров небольших объектов. 2 н. и 1 з.п. ф-лы, 2 ил.
Изобретение относится к измерительной технике, в частности к бесконтактным оптическим средствам измерения геометрических размеров различных объектов.
Известен способ бесконтактного оптического измерения размеров объектов, называемый также теневым, который заключается в размещении исследуемого объекта между лазером и многоэлементным фотоприемником, развертке лазерного излучения в пучок параллельных лучей в зоне расположения объекта и определении размера объекта по величине тени, отбрасываемой им на фотоприемник. Устройства, реализующие известный способ, – лазерные теневые измерители – состоят из источника лазерного излучения, системы линз, формирующей из первоначального луча путем оптической развертки пучок параллельных лучей, и многоэлементного фотоприемника, подключенного к блоку обработки информации. Количество незасвеченных пикселов на фотоприемнике на линейке ПЗС определяет размер объекта (см., например, А.З.Венедиктов, В.Н.Демкин, Д.С.Доков, А.В.Комаров. Применение лазерных методов для контроля параметров автосцепки и пружин. Новые технологии – железнодорожному транспорту. Сборник научных статей с международным участием, часть 4. Омск 2000, с.23 2-233 [1] и V.N.Demrin, D.S.Dokov, V.N.Tereshkin, A.Z.Venediktov. Optical control of geometrical dimensions for railway cars automatic coupling. Third Internat. Workshop on New Approaches to High-Tech: Nondestructive Testing and Computer Simulations in Science and Engineering. Proceedings of SPAS, Vol.3. 7-11 June 1999, St. Petersburg, p.A17 [2]).
Использование оптической развертки позволяет применить для непрерывного считывания информации многоэлементный фотоприемник на линейке ПЗС и осуществить съем информации в течение одного кадра, длительность которого регулируется в широких пределах, вплоть до 0,1 мкс. Это обстоятельство дает возможность использовать лазерные теневые измерители для измерения параметров объектов, движущихся с большой скоростью.
Известен также способ бесконтактного оптического измерения размеров объектов, заключающийся в размещении исследуемого объекта между лазером и фотоприемником, оптической развертке лазерного излучения в пучок параллельных лучей в зоне расположения объекта и определении размера объекта по величине тени от объекта на фотоприемнике. Устройство, реализующее известный способ, состоит из источника лазерного излучения, линзовой системы оптической развертки, многоэлементной фотодиодной линейки, схемы обработки информации и компьютера (см., например, В.В.Анциферов, М.В.Муравьев. Бесконтактный лазерный измеритель геометрических размеров роликов подшипников. Новые технологии – железнодорожному транспорту. Сборник научных статей с международным участием, часть 4. Омск 2000, с.210-213 [3]).
Недостатки способа и устройства [3], с помощью которого реализуется способ, обусловлены следующим. Точность измерения при использовании известного способа зависит, прежде всего, от точности определения границ контура исследуемого объекта. Дифракционные эффекты приводят к тому, что переход от света к тени на поверхности фотоприемника характеризуется определенной протяженностью, которая для используемых на практике фотоприемников на линейке ПЗС составляет, как правило, несколько пикселов. Размытость границы между светом и тенью снижает точность определения размеров объекта, причем влияние этого фактора будет тем больше, чем меньше размер объекта.
Наиболее близким к заявляемому изобретению является техническое решение, описанное в патенте РФ 2262660 [4]. В способе-прототипе измеряемый объект размещается между источником лазерного излучения и фотоприемником, измеряется мощность лазерного излучения Р, затем сравнивается с заданным уровнем Ро, осуществляется оптическая развертка лазерного излучения в пучок параллельных лучей в зоне нахождения объекта и определяется размер объекта по величине тени от объекта на фотоприемнике, корректируя время экспозиции фотоприемника по величине разности (Ро-Р). Устройство-прототип для осуществления способа включает лазер, светоделительную пластину, короткофокусную цилиндрическую линзу, выходную цилиндрическую линзу, коллимирующую линзу, ПЗС, блок обработки информации, фотоприемное пороговое устройство.
Недостатком решения-прототипа является то, что предложенный способ измерения не позволяет проводить измерение поперечных линейных размеров труднодоступных небольших объектов без их перемещения в поле зрения оптической системы устройства, а также не обладает широким диапазоном измеряемых размеров.
Таким образом, задача, на решение которой направлено заявляемое изобретение, состоит в том, чтобы обеспечить высокую точность измерений линейных поперечных размеров небольших объектов; создать условия для проведения точных измерений труднодоступных объектов, не допускающих произвольного перемещения и расположения в пространстве; проводить точные измерения поперечных линейных размеров при их значительном разбросе, например, в 10 и более раз.
Поставленная задача решена за счет разработки способа бесконтактного измерения размеров малых объектов, заключающегося в том, что рассматриваемый объект размещают в задней фокальной плоскости вариообъектива, в задней фокальной плоскости неподвижного объектива размещают две калиброванные рамки, далее осуществляют последовательное совмещение изображения объекта с изображениями двух рамок, фиксацию положения подвижного компонента при этих совмещениях и вычисление размера объекта по двум зафиксированным положениям подвижного компонента, по размеру рамок и конструктивным параметрам вариообъектива.
Кроме того, для реализации заявляемого способа разработано устройство, содержащее вариообъектив, который выполнен в виде одного неподвижного и первого и второго подвижных компонентов, и в задней фокальной плоскости которого размещается исследуемый объект, две калиброванные рамки, размещенные в задней фокальной плоскости неподвижного компонента, оптически сопряженной с задней фокальной плоскостью вариообъектива, и датчик линейного перемещения первого подвижного компонента.
При этом, в конструкции устройства важно предусмотреть, чтобы первый подвижный компонент был выполнен с возможностью движения как в ведомом, так и в линейном режиме по отношению к второму подвижному компоненту.
Принцип, положенный в основу заявляемого изобретения, может быть сформулирован следующим образом. Для измерения поперечных линейных размеров труднодоступных объектов с ними совмещают заднюю фокальную плоскость вариообъектива, который используется при рассматривании глазом изображения объекта с большим видимым увеличением. Вариообъектив имеет необходимый перепад фокусного расстояния.
Для проведения измерений в качестве измерительного средства используют калиброванную рамку. Причем для проведения высокоточных измерений размеров объектов вариообъектив обеспечивает высокое качество их изображения при любом увеличении. При измерениях с изображением калиброванной рамки совмещают увеличенное изображение объекта, размер которого может варьироваться в широких пределах за счет изменения видимого увеличения (фокусного расстояния) вариообъектива. Изменение величины видимого увеличения вариообъектива с известными конструктивными параметрами однозначно определяется законом перемещения двух его подвижных компонентов: зная величину перемещения одного какого-либо подвижного компонента, можно вычислить значение углового увеличения вариообъектива. При совмещении изображения объекта с изображением калиброванной рамки с помощью датчика снимается линейное перемещение выбранного подвижного компонента вариообъектива и по этой величине рассчитывают искомый линейный размер объекта.
Для лучшего понимания существа заявляемого изобретения далее приводится его подробное описание с привлечением графических материалов.
На Фиг.1 приведена схема устройства для измерения поперечных линейных размеров малых труднодоступных объектов.
На Фиг.2 показана оптическая схема вариообъектива для измерений поперечных линейных размеров малых труднодоступных объектов.
Изобретение поясняется Фиг.1, где изображено заявляемое устройство, с помощью которого реализуется заявляемый способ измерения поперечных линейных размеров малых объектов.
Устройство включает глаз 1 оператора, производящего измерения размера объекта, вариообъектив 2, состоящий из неподвижного объектива 3, в задней фокальной плоскости объектива которого расположен кадр с двумя тест-рамками 4, системы 9 переменного линейного увеличения (СПЛУ) с двумя перемещающимися линзовыми компонентами 5 и 6, оптически сопрягающей заднюю фокальную плоскость объектива 3 с задней фокальной плоскостью всего вариообъектива 2, датчика 7 линейного положения подвижного компонента 5. Объект 8 расположен в задней фокальной плоскости вариообъектива, которая остается неподвижной при изменении фокусного расстояния (и увеличения вариообъектива).
На Фиг.2 показано, что исследуемый объект 8 расположен в плоскости F’, которую СПЛУ оптически сопрягает с неподвижной задней фокальной плоскостью F’1 объектива 3, где расположен кадр 4. Причем за счет перемещения положения компонентов 5 и 6 изменяют соответственно линейное увеличение системы 9 переменного линейного увеличения, фокусное расстояние всего вариообъектива 2 и угловой размер объекта.
Такое построение вариообъектива с кадром в плоскости F1 обеспечивает наблюдение резкого изображения объекта переменного углового размера на фоне двух калиброванных рамок.
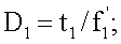
Заявляемый способ осуществляется следующим образом. Глаз через объектив 3 видит изображение объекта 8 на фоне двух рамок фиксированных угловых размеров (калиброванных рамок). Изменяя фокусное расстояние вариообъектива 2, меняют положение подвижных компонентов 5 и 6 и линейное увеличение системы 9 переменного увеличения. Меняют размер изображения объекта до тех пор, пока он не будет равен размеру первой калиброванной рамки с угловым размером W1. При совпадении указанных размеров фиксируют величину t1 расстояния d1 между неподвижным объективом и компонентом 5.
Повторно изменяя фокальное расстояние вариообъектива, перемещают компонент 5 до совмещения изображения объекта со второй калиброванной рамкой с угловым размером W2 и фиксируют величину t2 расстояния d1. Используют полученные отчеты t1 и t2 для расчета искомого размера предмета по зависимости, в которой используются известные конструктивные параметры вариообъектива и угловые размеры калиброванных рамок W1 и W2.
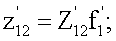
Для вариообъектива известны связи между его параметрами и угловыми размерами объекта и калиброванные рамки с размерами LK1 и LK2.
Угловые размеры W1 и W2 двух калиброванных рамок определяются фокусным расстоянием неподвижного объектива 2 при помощи выражений  
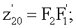
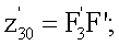
Угловой размер W объекта размером L определяется фокусным расстоянием всего вариообъектива f’ согласно выражению TgW=L/f’. Здесь фокусное расстояние вариообъектива f’ связано с фокусным расстоянием через линейное увеличение Bet(t) системы 9 переменного увеличения Видимое увеличение Г объекта, которое обеспечивает вариообъектив при фокусном расстоянии f’, определяется известным соотношением Г=250/f’.
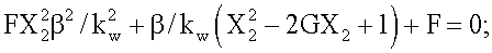
В свою очередь линейное увеличение Bet(t) системы 9 переменного увеличения однозначно связано с ее конструктивными параметрами с перемещением компонента 5. Из теории СПЛУ [1] при условии неподвижности плоскостей F1 и F2 можно получить связь нормированных конструктивных параметров F, G, перемещения Х компонента 5 и текущего линейного увеличения Bet(t).
FX2 2+ (X2-2GX+1)+F=0;
Здесь   
   
   
– фокусное расстояние первого компонента СПЛУ;
– фокусное расстояние второго компонента СПЛУ;
d1, d2 – расстояния между компонентами системы;
d3 – расстояние от второго компонента до плоскости изображения;
G – обобщенное нормированное расстояние между фокальными плоскостями компонентов СПЛУ в начальном положении;
  
– параметр СПЛУ,
– текущее увеличение СПЛУ;
1, 2= 1/M – увеличение СПУ в начальном и конечном положениях компонентов системы;
М – требуемый перепад увеличений СПЛУ;
Х – нормированное расстояние от задней фокальной плоскости неподвижного объектива до переднего фокуса первого компонента СПЛУ.
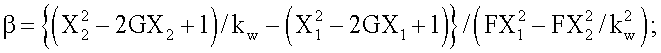
Зная величину d1=t1, полученную при совпадении изображений предмета и первой калиброванной рамки, можно последовательно найти:
 
Зная параметры вариообъектива, можем записать 1-е уравнение для расчета линейного увеличения СПЛУ, соответствующее первом отсчету t1:


kw=tgW1/tgW2.
Аналогично можно записать 2-е уравнение, соответствующее отсчету t2.
Вычитая из 1-го уравнения 2-е, для линейного увеличения и искомого размера у объекта получаем:


Минимальное фокусное расстояние вариообъектива обеспечивает большое видимое увеличение объекта и, как следствие, высокую точность измерений даже при малых размерах объекта, а большой перепад фокусных расстояний вариообъектива позволяет поддерживать эту точность при варьировании размеров объекта в большом диапазоне.
Таким образом, заявляемые способ и устройство за счет использования вариообъектива, высокой точности поперечной наводки обеспечивают – по сравнению с устройством – прототипом – повышение точности измерения размеров малых объектов.
В практическом примере реализации заявляемого изобретения был использован вариообъектив, имеющий оптическое разрешение с перепадом фокусных расстояний М=39 крат в плоскости объекта около 5 мкм. Такой объектив обеспечивает измерение размеров с высокой точностью.
Изобретение может быть использовано в различных отраслях производства, в медицине и других областях, где требуется проведение высокоточных измерений.
Формула изобретения
1. Способ бесконтактного измерения размеров малых объектов, заключающийся в том, что рассматриваемый объект размещают в задней фокальной плоскости вариообъектива, в задней фокальной плоскости его неподвижного компонента размещают две калиброванные рамки, далее осуществляют последовательное совмещение изображения объекта с изображениями двух рамок, фиксацию положения подвижного компонента при этих совмещениях и вычисление размера объекта по двум зафиксированным положениям подвижного компонента, по размеру рамок и конструктивным параметрам вариообъектива.
2. Устройство для бесконтактного оптического измерения размеров малых объектов, содержащее вариообъектив, который выполнен в виде одного неподвижного и первого и второго подвижных компонентов, и в задней фокальной плоскости которого размещается исследуемый объект, две калиброванные рамки, размещенные в задней фокальной плоскости неподвижного компонента, оптически сопряженной с задней фокальной плоскостью вариообъектива, и датчик линейного перемещения первого подвижного компонента.
3. Устройство по п.2, отличающееся тем, что первый подвижный компонент выполнен с возможностью движения как в ведомом, так и в линейном режиме по отношению к второму подвижному компоненту.
РИСУНКИ
|
|