Патент на изобретение №2383573
|
||||||||||||||||||||||||||||||||||||||||||||||||||||||||||||||||||||||||||||||||||||||||||||||||||||||||||||||||||||||||||||||||||||||||||||||||||||||||||||||||||||||||||||||||||||||||||||||||||||||||||||||||||||||||||
(54) КЛЕЕВАЯ КОМПОЗИЦИЯ НА ОСНОВЕ БУТАДИЕН-НИТРИЛЬНОГО ИЛИ ХЛОРОПРЕНОВОГО КАУЧУКА
(57) Реферат:
Изобретение относится к составам клеевых композиций на основе бутадиен-нитрильного или хлоропренового каучука и может быть использовано в резиновой, обувной, автомобильной, мебельной промышленности, сторойиндустрии и в других областях техники. Клеевая композиция содержит бутадиен-нитрильный или хлоропреновый каучуки, оксид цинка, оксид магния, органический растворитель, хелатированную металлом – свинцом, железом, цинком, марганцем или медью – фенолформальдегидную смолу. Клеевую композицию получают путем последовательного смешения компонентов. Композиция позволяет увеличить прочность склеивания различных субстратов и теплостойкость клеевых соединений. 5 табл.
Изобретение относится к составам клеевых композиций на основе карбоцепных эластомеров и может быть использовано в резиновой, обувной, автомобильной, мебельной промышленности, стройиндустрии и в других областях техники. Известна клеевая композиция, включающая хлоропреновый каучук, бутилфенолформальдегидную смолу 101К, воду, оксид цинка, оксид магния, органический растворитель, анилиновую смолу, представляющую собой отходы, образующиеся при производстве анилина (Патент 2279459 РФ, МПК C09J 111/00; опубл. 10.07.2006). Однако указанная клеевая композиция имеет недостаточную прочность склеивания и теплостойкость. Наиболее близкой к изобретению по технической сущности является клеевая композиция, в состав которой входит хлоропреновый каучук, оксид цинка, оксид магния, магнийхелатированная п-третбутилфенолформальдегидная смола, полиизоцианат, органический растворитель (Авторское свидетельство СССР Однако указанная клеевая композиция имеет недостаточную теплостойкость и невысокую жизнеспособность (2-3 часа). Технический результат состоит в увеличении адгезии к различным субстратам, повышении теплостойкости и жизнеспособности клеевой композиции. Техническим решением изобретения является клеевая композиция на основе бутадиен-нитрильного или хлоропренового каучука, содержащая оксид цинка, оксид магния, органический растворитель, хелатированную металлом – свинцом, железом, цинком, марганцем или медью – фенолформальдегидную смолу при следующем соотношении компонентов, мас.ч.:
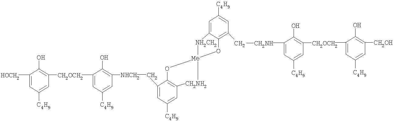
Хелатированная указанными металлами фенолформальдегидная смола представляет собой продукт взаимодействия фенолформальдегидной смолы с оксидами или солями данных металлов и имеет общую формулу: где Me – Pb, Fe, Zn, Mn, Cu. В качестве фенолформальдегидной смолы (ФФС) применяют хелатированную металлом – свинцом, железом, цинком, марганцем или медью – фенолформальдегидную смолу. Хелатированную металлом ФФС получают способом, описанным в Авторском свидетельстве СССР В качестве органического растворителя используется смесь нефраса, этилацетата и толуола в соотношении 1:1:1 для клеевой композиции на основе полихлоропренового каучука, этилацетат для клеевой композиции на основе бутадиен-нитрильного каучука и др. Примеры выполнения изобретения. Пример 1. Клеевую композицию приготавливают следующим образом. Сначала готовят резиновую смесь, содержащую 100 мас.ч хлоропренового каучука, 1 мас.ч. оксида магния и 5 мас.ч. оксида цинка, на вальцах в течение 15 мин при температуре 40°С. Затем разогретая резиновая смесь с 14,5 мас.ч. нефраса, 14,5 мас.ч. этилацетата и 14,5 мас.ч. толуола загружается в клеемешалку, перемешивается до образования однородной массы. Остальное количество растворителя (130,5 мас.ч нефраса, 130,5 мас.ч. этилацетата и 130,5 мас.ч. толуола) с 50 мас.ч. Pb-хелатированной фенолформальдегидной смолы загружается порциями в клеемешалку. Общее время клеесмешения составляет 4,5-5 ч. Полученный клеевой состав наносят на склеиваемые субстраты, представляющие собой резину на основе бутадиен-стирольного каучука. Образцы дублируют и клеевое соединение характеризуют прочностью склеивания. Примеры 2-5 готовят аналогично примеру 1, но в качестве фенолформальдегидной смолы применяют указанные в таблице 1 хелатированные фенолформальдегидные смолы. Пример 6 готовят аналогично примеру 1, но клеевую композицию готовят на основе бутадиен-нитрильного каучука, в качестве фенолформальдегидной смолы применяют Cu-хелатированную фенолформальдегидную смолу, а в качестве органического растворителя – этилацетат. В таблице 1 приведены составы всех композиций. Клеевая композиция представляет собой жидкость от светло-коричневого до темно-коричневого цвета. Клей технологичен, хорошо наносится на поверхность субстрата. Жизнеспособность клея – не менее 5 месяцев. Прочность склеивания субстратов при расслаивании оценивают по ГОСТ 6768-75. В таблицах 2-4 приведены результаты испытаний клеевых композиций. Были исследованы различные содержания хелатированной фенолформальдегидной смолы (табл.3). Заявленные пределы 10,0 – 50,0 мас.ч. на 100 мас.ч. эластомера обусловлены тем, что при увеличении или уменьшении указанных дозировок прочность склеивания снижается. Установлено, что наиболее оптимальным является содержание хелатированной фенолформальдегидной смолы 20,0 мас.ч. на 100 мас.ч. эластомера, что обеспечивает наилучшие результаты.
В таблице 5 приведены результаты испытаний при склеивании различных субстратов.
Таким образом, как видно из таблиц 2-5, использование в клеевых композициях на основе бутадиен-нитрильного или хлоропренового каучука в качестве фенолформальдегидной смолы хелатированной указанными металлами смолы позволяет повысить прочность склеивания различных субстратов ~ на 40%; увеличить прочность склеивания при повышенных температурах в 2-3 раза и жизнеспособность клея до 5 месяцев. Кроме того, в предлагаемых композициях не используется токсичный отвердитель – полиизоцианат, как в прототипе.
Формула изобретения
Клеевая композиция на основе бутадиен-нитрильного или хлоропренового каучука, содержащая фенолформальдегидную смолу, оксид цинка, оксид магния, органический растворитель, отличающаяся тем, что в качестве фенолформальдегидной смолы содержит хелатированную металлами – свинцом, железом, цинком, марганцем или медью фенолформальдегидную смолу при следующем соотношении компонентов, мас.ч.:
|
||||||||||||||||||||||||||||||||||||||||||||||||||||||||||||||||||||||||||||||||||||||||||||||||||||||||||||||||||||||||||||||||||||||||||||||||||||||||||||||||||||||||||||||||||||||||||||||||||||||||||||||||||||||||||

1112040, кл. C09J 3/12; C08L 11/00; опубл. 07.09.84).
