|
|
(21), (22) Заявка: 2008144083/04, 10.11.2008
(24) Дата начала отсчета срока действия патента:
10.11.2008
(46) Опубликовано: 10.03.2010
(56) Список документов, цитированных в отчете о поиске:
RU 2294330 C1 27.02.2007. RU 22557386 C1 27.02.2005.
Адрес для переписки:
614990, г.Пермь, ул. Букирева, 15, ПГУ, пат.пов. А.А. Онорину, рег. 126
|
(72) Автор(ы):
Рачева Надежда Львовна (RU), Масливец Андрей Николаевич (RU), Александрова Галина Арсентьевна (RU)
(73) Патентообладатель(и):
Государственное образовательное учреждение высшего профессионального образования “Пермский государственный университет” (RU)
|
(54) ПРОМЕЖУТОЧНЫЕ ПРОДУКТЫ-МЕТИЛ 7-АРИЛ-4,9-ДИАРОИЛ-3-ГИДРОКСИ-1-(2-ГИДРОКСИФЕНИЛ)-2,6-ДИОКСО-1,7-ДИАЗАСПИРО[4.4]НОНА-3,8-ДИЕН-8-КАРБОКСИЛАТЫ; МЕТИЛ 6,9-ДИАРИЛ-11-АРОИЛ-2-(О-ГИДРОКСИФЕНИЛ)-3,4,10-ТРИОКСО-7-ОКСА-2,9-ДИАЗАТРИЦИКЛО[6.2.1.01,5]УНДЕЦ-5-ЕН-8-КАРБОКСИЛАТЫ; СПОСОБ ПОЛУЧЕНИЯ МЕТИЛ 6, 9-ДИАРИЛ-11-АРОИЛ-2-(О-ГИДРОКСИФЕНИЛ)-3,4,10-ТРИОКСО-7-ОКСА-2,9-ДИАЗАТРИЦИКЛО[6.2.1.01,5]УНДЕЦ-5-ЕН-8-КАРБОКСИЛАТОВ; МЕТИЛ 11-БЕНЗОИЛ-2-О-ГИДРОКСИФЕНИЛ-3,4,10-ТРИОКСО-9-П-ТОЛИЛ-6-ФЕНИЛ-7-ОКСА-2, 9-ДИАЗАТРИЦИКЛО[6.2.1.01,5]УНДЕЦ-5-ЕН-8-КАРБОКСИЛАТ, ОБЛАДАЮЩИЙ ПРОТИВОМИКРОБНОЙ АКТИВНОСТЬЮ
(57) Реферат:
Изобретение относится к новым промежуточным соединениям – метил
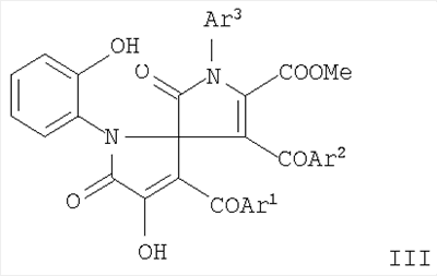
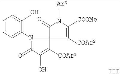
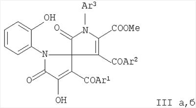
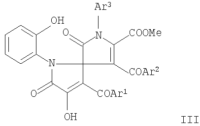
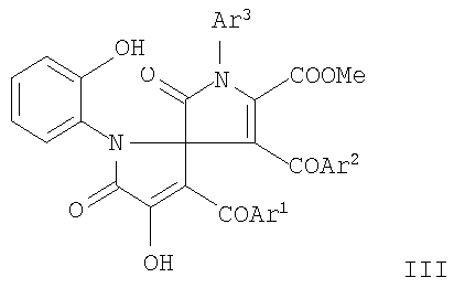
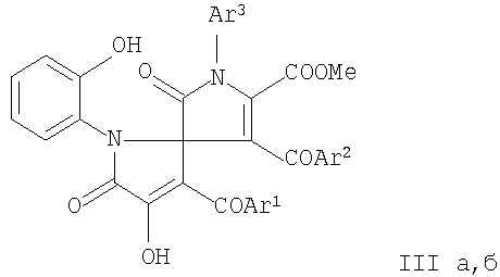
7-арил-4,9-диароил-3-гидрокси-1-(2-гидроксифенил)-2,6-диоксо-1,7-диазаспиро[4.4]нона-3,8-диен-8-карбоксилатам формулы III

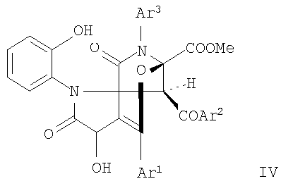
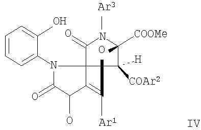
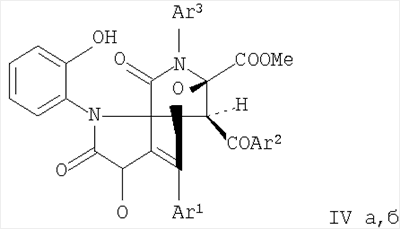
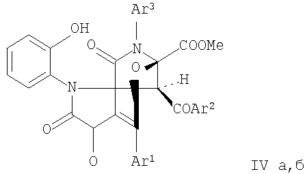
Ar1=Ar2=Ph, Ar3=C6H4Me-п (IIIa); и Ar1=C6H4Br-п, Аr2=С6H4ОЕt-п, Ar3=C6H4Me-п (IIIб), для получения метил 6,9-диарил-11-ароил-2-(о-гидpoкcифeнил)-3,4,10-тpиoкco-7-oкca-2,9-диaзaтpициклo[6.2.1.01,5]ундeц-6-ен-8-карбоксилатов формулы IV

где Ar1=Ar2=Ph, Ar3=C6H4Me-п (IVa); Arl=C6H4Br-п Ar2=C6H4OEt-п, Аr3=С6Н4Ме-п (IVб), проявляющих противомикробную активность и используемых в качестве исходных продуктов для синтеза новых гетероциклических систем, и способу их получения. 4 н. и 1 з.п. ф-лы, 1 табл.
«Промежуточные продукты – метил 7-арил-4,9-диароил-3-гидрокси-1-(2-гидроксифенил)-2,6-диоксо-1,7-диазаспиро[4.4]нона-3,8-диен-8-карбоксилаты; Метил 6,9-диарил-1 1-ароил-2-(о-гидроксифенил)-3,4,10-триоксо-7-окса-2,9-диазатрицикло[6.2.1.01,5]ундец-5-ен-8-карбоксилаты; Способ получения метил 6,9-диарил-11 -ароил-2-(о-гидроксифенил)-3,4,10-триоксо-7-окса-2,9-диазатрицикло[6.2.1.01,5]yндeц-5-eн-8-кapбoкcилaтoв; Метил 11-бензоил-2-о-гидроксифенил-3,4,10-триоксо-9-п-толил-6-фенил-7-окса-2,9-диазатрицикло[6.2.1.01,5]ундeц-5-eн-8-кapбoкcилaт, обладающий противомикробной активностью».
Область техники
Изобретение относится к области органической химии, а именно к синтезу и выделению промежуточных продуктов (индивидуальных соединений) 1,7-диазаспиро[4.4]нона-3,8-диен-8-карбоксилатов, обладающих противомикробной активностью, к синтезу индивидуальных соединений с функционализированной мостиковой гетероциклической системой 7-окса-2,9-диазатрицикло[6.2.1.01,5]ундекана, обладающих противомикробной активностью, которые могут быть использованы в качестве исходных продуктов для синтеза новых гетероциклических систем.
Уровень техники
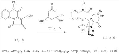
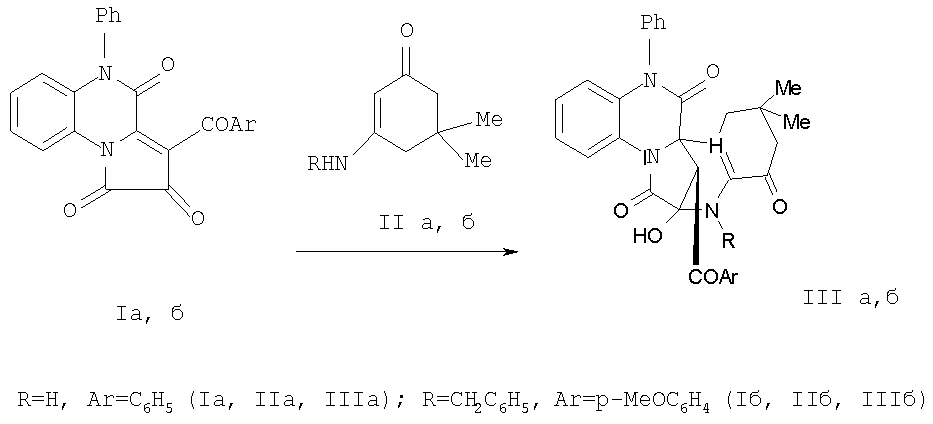
Известны структурные аналоги заявленных соединений (5-метил-2-оксо-1-фенил-4-этоксикарбонил-2,3-дигидро-1Н-пиррол-3-спиро-2-(3-бензоил-4-гидрокси-1-о-гидроксифенил-5-оксо-2,5-дигидропирролы), полученные взаимодействием 3-ароил-2,4-дигидро-1Н-пирроло[2,1-с] [1,4]бензоксазин-1,2,4-трионов с этил 3-ариламино-2-бутеноатами (этиловыми эфирами 3-ариламино-2-бутеновых кислот) (Патент РФ на изобретение 2294330, приоритет 11.10.05, заявка 2005131264, зарегистрировано в Гос. Реестре РФ 27.02.2007 г.).

К недостаткам данного способа относится невозможность получения метил 7-арил-4,9-диароил-(3-гидроксифенил)-2,6-диоксо-1,7-диазаспиро[4.4]нона-3,8-диен-8-карбоксилатов, которые являются промежуточным продуктом для синтеза более сложной мостиковой гетероциклической системы 7-окса-2,9-диазатрицикло[6.2.1.01,5]ундекана, обладающей противомикробной активностью.
Известны структурные аналоги заявленных соединений (7-окса-2,9-диазатрицикло[6.2.1.01,5]ундекан), получаемые взаимодействием 3-ароил-5-фенил-1,2,4,5-тетрагидро-1Н-пирроло[2,1-а]хиноксалин-1,2,4-трионов с 3-амино- и 3-бензиламино-5,5-диметил-2-циклогексен-1-онами (Патент РФ на изобретение 2257386, приоритет 05.05.04, заявка 2004113761, зарегистрировано в Гос. Реестре РФ 27.07.2005 г.). Синтез структурных аналогов осуществляется по следующей схеме:

К недостаткам данного способа относится невозможность получения метил 6,9-диарил-11-ароил-2-(о-гидроксифенил)-3,4,10-триоксо-7-окса-2,9-диазатрицикло[6.2.1.01,5]ундeц-5-eн-8-кapбoкcилaтoв. Структурные аналоги обладают слабой противомикробной активностью. Соединение (IIIa) имеет минимальную ингибирующую концентрацию против штампа кишечной палочки Е.соli M17 1000 мкг/мл и золотистого стафилококка Р-209 1000 мкг/мл.
Раскрытие изобретения
Задачей изобретения является разработка простого способа синтеза промежуточных продуктов метил 7-арил-4,9-диароил-3-гидрокси-1-(2-гидроксифенил)-2,6-диоксо-1,7-диазаспиро[4.4]нона-3,8-диен-8-карбоксилатов и разработка способа синтеза из этих промежуточных продуктов – метил 6,9-диарил-11-ароил-2-(о-гидроксифенил)-3,4,10-триоксо-7-окса-2,9-диазатрицикло[6.2.1.01,5]ундец-5-ен-8-карбоксилатов, проявляющих противомикробную активность, которые могут быть использованы в качестве исходных продуктов для синтеза новых гетероциклических систем и найти применение в практическом здравоохранении.
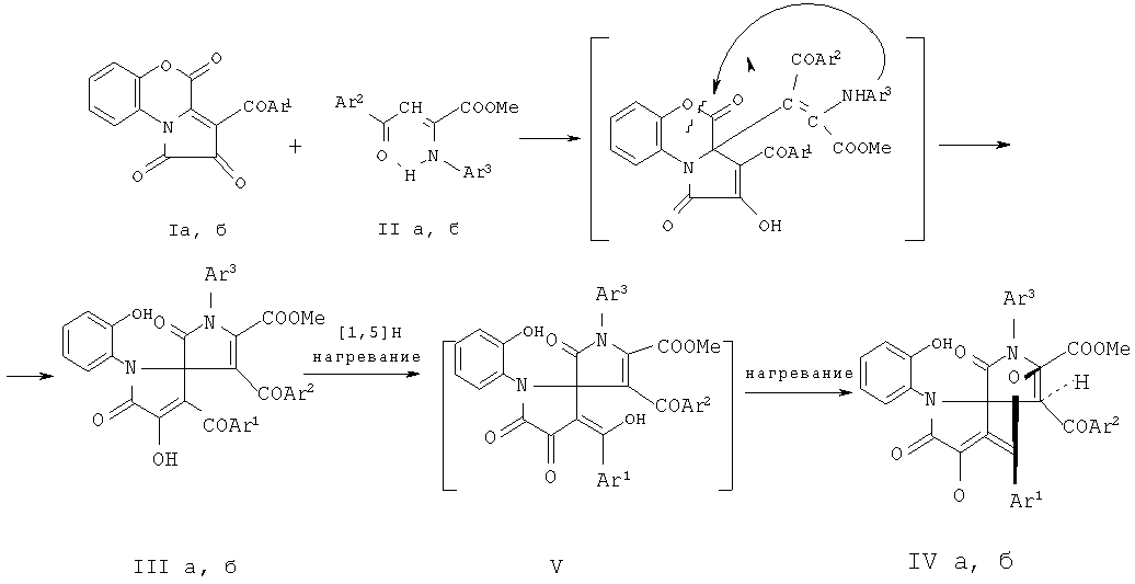
Поставленная задача осуществляется путем кипячения 3-ароил-2,4-дигидро-1Н-пирроло[2,1-с][1,4]бензоксазин-1,2,4-трионов с метил 4-арил-2-ариламино-4-оксо-2-бутеноатами, взятыми в соотношении 1:1, в инертном апротонном растворителе с получением промежуточных продуктов – замещенных метил
7-арил-4,9-диароил-3-гидрокси-1-(2-гидроксифенил)-2,6-диоксо-1,7-диазаспиро[4.4]нона-3,8-диен-8-карбоксилатов, циклизующихся при перекристаллизации из этилацетата в метил 6,9-диарил-11-ароил-2-(о-гидроксифенил)-3,4,10-триоксо-7-окса-2,9-диазатрицикло[6.2.1.01,5]ундец-5-ен-8-карбоксилаты, по схеме:

I, Аr1=Ph (а), С6Н4Вr-п (б); II, Ar2=Ph, Ar3=С6H4Ме-п (a), Ar2=C6H4OEt-п, Ar3=С6Н4Ме-п (б); III, IV, Ar1=Аr2=Ph, Ar3=С6Н4Ме-п (а), Ar1=С6Н4Вr-п, Ar2=C6H4OEt-п, Ar3=С6Н4Ме-п (б).
Процесс ведут при температуре 79-80°С, а в качестве растворителя используют абсолютный бензол. В качестве растворителя для перекристаллизации используют этилацетат.
Из патентной и технической литературы были выявлены способы получения сходных с метил 7-арил-4,9-диароил-3-гидрокси-1-(2-гидроксифенил)-2,6-диоксо-1,7-диазаспиро[4.4]нона-3,8-диен-8-карбоксилатами соединений, но при использовании этих способов получаются продукты, которые невозможно использовать для синтеза мостиковых гетероциклических систем.
Из патентной и технической литературы не были выявлены способы синтеза метил 6,9-диарил-11-ароил-2-(о-гидроксифенил)-3,4,10-триоксо-7-окса-2,9-диазатрицикло[6.2.1.01,5]ундец-5-ен-8-карбоксилатов, имеющие сходные признаки с заявляемым способом, а именно не использовались исходные продукты, растворители, в которых проходит реакция, и интервал температур, на основании чего можно сделать вывод о соответствии заявленного технического решения критерию «новизна» и «изобретательский уровень».
Изобретение иллюстрируется следующими примерами.
Пример 1 (промежуточный продукт). Метил 4,9-дибензоил-3-гидрокси-1-(2-гидроксифенил)-2,6-диоксо-7-п-метоксифенил-1,7-диазаспиро[4.4]нона-3,8-диен-8-карбоксилат (IIIa).
Раствор 1.0 ммоль 3-бензоил-2,4-дигидро-1Н-пирроло[2,1-с][1,4]бензоксазин-1,2,4-триона(Iа) и 1.0 ммоль метил (2Е)-4-оксо-4-фенил-2-(4-толуидин)-2-бутеноата (IIа) в 10 мл абсолютного бензола кипятили 20 минут (до обесцвечивания), охлаждали, выпавший осадок отфильтровывали, промыли 2 раза по 1 мл этилацетата и 5 мл гексана. Выход 85%, т.пл. 184-185°С.
Соединение (III a) C36H26N2O8.
Найдено %: С 70.32; Н 4.16; N 4.58.
Вычислено %: С 70.35; Н 4.26; N 4.56.
Пример 2 (промежуточный продукт). Метил 4-п-бромбензоил-3-гидрокси-1-(2-гидроксифенил)-2,6-диоксо-7-п-метоксифенил-9-n-этоксибензоил-1,7-диазаспиро[4.4]нона-3,8-диен-8-карбоксилат(IIIб).
Раствор 1.0 ммоль 3-п-бромфенил-2,4-дигидро-1Н-пирроло[2,1-с][1,4]бензоксазин-1,2,4-триона (1б) и 1.0 ммоль метил (2Е)-4-оксо-2-(4-толуидин)-(4-этоксифенил)-2-бутеноата (IIб) в 10 мл абсолютного бензола кипятили 25 минут (до обесцвечивания), охлаждали, выпавший осадок отфильтровывали, промыли 2 раза по 1 мл этилацетата и 5 мл гексана. Выход 86%, т.пл. 209-210°С.
Соединение (IIIб) C38H29BrN2O9.
Найдено, %: С 61.76; Н 3.92; Вr 10.84; N 3.76.
Вычислено, %: С 61.88; Н 3.96; Вr 10.83; N 3.80.
Соединения (III а, б) – светло-желтые кристаллические вещества с высокими температурами плавления, плавящиеся с разложением, легкорастворимые в ДМФА и ДМСО, труднорастворимые в обычных органических растворителях, нерастворимые в алканах и воде, дающие положительную пробу (вишневое окрашивание) на наличие енольного и фенольного гидроксилов со спиртовым раствором хлорида железа (III).
В ИК-спектрах соединений (III а, б) имеются полосы валентных колебаний групп ОН в виде широкого пика в области 3150-3170 см-1, группы СООМе в области 1760-1770 см-1, двух лактамных карбонильных групп в виде двух пиков в области 1723-1736 см-1, ацетильной и ароильной карбонильной группы в виде двух пиков в области 1620-1675 см-1.
В спектрах ЯМР 1Н растворов спиросоединений (III а, б) в ДМСО-d6 кроме сигналов протонов ароматических колец и связанных с ними групп присутствует синглет протонов метоксигруппы в области 3.23-3.30 м.д., синглет протона фенольной группы ОН в области 9.83-9.84 м.д., уширенный синглет протона енольной группы ОН в области 12.50-12.60 м.д.
Предлагаемый способ достаточно прост в осуществлении, одностадиен и позволяет получить неописанные в литературе метил 7-арил-4,9-диароил-3-гидрокси-1-(2-гидроксифенил)-2,6-диоксо-1,7-диазаспиро[4.4]нона-3,8-диен-8-карбоксилаты, практически с количественным выходом, которые могут быть использованы в качестве исходных продуктов для синтеза новых гетероциклических систем.
Пример 3. Метил 11-бензоил-2-о-гидроксифенил-3,4,10-триоксо-9-п-толил-6-фенил-7-окса-2,9-диазатрицикло[6.2.1.01,5]ундец-5-ен-8-карбоксилат (IVa). Раствор 1.0 ммоль метил 4,9-дибензоил-3-гидрокси-1-(2-гидроксифенил)-2,6-диоксо-7-п-метоксифенил-1,7-диазаспиро[4.4]нона-3,8-диен-8-карбоксилата перекристаллизовали из 10 мл этилацетата, охладили, выпавший осадок отфильтровали. Выход 90%, т.пл. 190-191°С (из этилацетата).
Соединение (IVa) C36H26N2O8.
Найдено, %: С 70.28; Н 4.21; N 4.49.
Вычислено, %: С 70.35; Н 4.26; N 4.56.
Пример 4. Метил 6-п-бромфенил-2-о-гидроксифенил-3,4,10-триоксо-9-п-толил-11-п-этоксибензоил-7-окса-2,9-диазатрицикло[6.2.1.01,5]ундец-5-ен-8-карбоксилат (IV6).
Раствор 1.0 ммоль метил 4-п-бромбензоил-3-гидрокси-1-(2-гидроксифенил)-2,6-диоксо-7-п-метоксифенил-9-п-этоксибензоил-1,7-диазаспиро[4.4]нона-3,8-диен-8-карбоксилат перекристаллизовали из 10 мл этилацетата, охладили, выпавший осадок отфильтровали. Выход 93%, т.пл. 210-211°С (из этилацетата).
Соединение (IV6) С38Н29ВrN2O9.
Найдено, %: С 61.85; Н 3.94; Вr 10.79; N 3.82.
Вычислено, %: С 61.88; Н 3.96; Вr 10.83; N 3.80.
Соединения (IV a,б) – бесцветные кристаллические вещества с высокими температурами разложения, легкорастворимые в ДМФА и ДМСО, труднорастворимые в обычных органических растворителях, нерастворимые в алканах и воде, дающие положительную пробу (вишневое окрашивание) на наличие фенольного гидроксила со спиртовым раствором хлорида железа (III).
В ИК-спектрах соединений (IV a,б) имеются полосы валентных колебаний группы ОН в виде широкого пика в области 3220-3230 см-1, группы СООМе в области 1767-1770 см-1, двух лактамных и кетонной карбонильной группы в положении 4 в виде одного или двух пиков в области 1721-1755 см-1, ароильной карбонильной группы в области 1700-1707 см-1.
В спектрах ЯМР 1Н растворов соединений (IV а,б) в ДМСО-d6, кроме сигналов протонов ароматических колец и связанных с ними групп, присутствует синглет протонов группы ОМе в области 3.23-3.34 м.д., синглет метинового протона С11 Н в области 5.15-5.25 м.д., синглет протона фенольной группы ОН в области 9.91-10.01 м.д.
В спектре ЯМР 13С раствора соединения (IVб) в ДМСО-d6 присутствуют следующие сигналы атомов углерода ( С, м.д.): 189.11 (СОС6Н4ОЕt), 176.95 (С4=O), 167.87, 163.07 (С10=О, С3=О), 159.80 (СООСН3), 154.07 (С5), 137.68-106.49 гр.с.(СAr), 92.44 (С8), 65.29 (С спиро), 63.72 (С11), 53.76 (ОСН2), 44.52 (ОСН3), 20.49 (СН3), 14,40 (CH2СН3).
Пример 5.
Исследование противомикробного действия заявленных соединений проводили на грамположительных микроорганизмах золотистый стафилококк (штамм 906) и кишечная палочка (штамм 1275), методом двукратных серийных разведений в соответствии с методикой изучения противомикробного действия препаратов [Г.Н.Першин. Методы экспериментальной химиотерапии. – М.,1971 г. с.100, 109-117].
Для культивирования бактерий использовали мясопептонный агар и бульон (рН 7,2-7,4). Готовили исходные разведения микробных тел по оптическому стандарту мутности из суточной агаровой культуры. Для определения противомикробного действия микробная нагрузка соответствовала 2,5·105 микробных тел в 1 мл среды. Микробную взвесь вносили в приготовленные разведенные препараты в питательной среде. Результаты опытов учитывали после 20-часового (ингибирующее действие) и 7-суточного (бактерицидное действие) термостатирования при 37°С. Противомикробную (бактериостатическую – МИК и бактерицидную – МБК) активность оценивали по минимально действующей концентрации. Максимально испытанная концентрация соединений составляла 1000,0 мкг/мл. Эталоном сравнения служил известный в медицинской практике фенилсалицилат (М.Д.Машковский «Лекарственные средства». – М.: Медицина, 1993, т.2 стр.472).
Проведенные исследования показали (см. Таблицу 1), что заявляемое соединение (IVa) проявляет противомикробные свойства в отношении грамположительных и грамотрицательных бактерий, т.е. ингибирующее действие в отношении культуры золотистого стафилококка в концентрации 125,0 мкг/мл, что превосходит среднюю концентрацию эталона фенилсалицилата в 6 раз и в отношении кишечной палочки – 1000,0 мкг/мл.
Бактерицидный эффект соединения (IVa) был отмечен в отношении золотистого стафилококка в концентрации 250,0 мкг/мл, что превосходит среднюю концентрацию эталона фенилсалицилата в 8 раз.
В связи с тем что предлагаемое соединение обладает выраженным противомикробным действием на грамположительную и грамотрицательную микрофлору и его активность против золотистого стафилококка в 8 раз выше, чем у структурного аналога, оно может найти применение в практической медицине.
| Таблица 1 |
| Изучение противомикробного действия соединений |
| Номер соединения |
Кишечная палочка |
Золотистый стафилококк |
| МИК, мкг/мл |
МБК, мкг/мл |
МИК, мкг/мл |
МБК, мкг/мл |
| IVa |
1000,0 |
– |
125,0 |
250,0 |
| Эталон сравнения -фенилсалицилат |
– |
– |
750,0 |
2000,0 |
Формула изобретения
1. Промежуточные продукты – метил 7-арил-4,9-диароил-3-гидрокси-1-(2-гидроксифенил)-2,6-диоксо-1,7-диазаспиро[4.4]нона-3,8-диен-8-карбоксилаты общей формулы III:
 где Аr1 и Аr2 означает Ph, Ar3 означает С6Н4Ме-п (IIIа); Аr1 означает С6Н4Вr-п, Аr2 означает С6Н4OEt-п, Аr3 означает С6Н4Ме-п (IIIб).
2. Метил 6,9-диарил-11-ароил-2-(о-гидроксифенил)-3,4,10-триоксо-7-окса-2,9-диазатрицикло[6.2.1.01,5]ундeц-5-eн-8-кapбoкcилaты общей формулы IV:
 где Ar1 и Аr2 означает Ph, Аr3 означает С6Н4Ме-п (IVа); Аr1 означает С6Н4Вr-п, Аr2 означает С6Н4OЕt-п, Аr3 означает С6Н4Ме-п (IVб).
3. Способ получения метил 6,9-диарил-11-ароил-2-(о-гидроксифенил)-3,4,10-триоксо-7-окса-2,9-диазатрицикло[6.2.1.01,5]ундец-5-ен-8-карбоксилатов IV а, б:
 где Аr1 и Аr2 означает Ph, Ar3 означает С6Н4Ме-п (IVa); Ar означает С6Н4Br-п, Ar2 означает С6Н4OЕt-п, Ar3 означает С6Н4Ме-п (IVб), отличающийся тем, что метил 7-арил-4,9-диароил-3-гидрокси-1-(2-гидроксифенил)-2,6-диоксо-1,7-диазаспиро [4.4] нона-3,8-диен-8 карбоксилаты формулы III а, б:
 где Ar1 и Ar2 означает Ph, Аr3 означает С6Н4Ме-п (IIIa); Ar1 означает С6Н4Вr-п, Ar2 означает С6Н4ОEt-п, Ar3 означает С6Н4Ме-п (IIIб), подвергают перекристаллизации из этилацетата, с последующим выделением целевых продуктов.
4. Способ по п.3 отличающийся тем, что в качестве растворителя используют этилацетат.
5. Метил 11-бензоил-2-о-гидроксифенил-3,4,10-триоксо-9-n-толил-6-фенил-7-окса-2,9-диазатрицикло[6.2.1.01,5]ундец-5-ен-8-карбоксилат обладающий противомикробной активностью.
|
|