|
|
(21), (22) Заявка: 2006126787/04, 21.12.2004
(24) Дата начала отсчета срока действия патента:
21.12.2004
(30) Конвенционный приоритет:
23.12.2003 DE 10360792.7
(43) Дата публикации заявки: 27.01.2008
(46) Опубликовано: 10.03.2010
(56) Список документов, цитированных в отчете о поиске:
ЕР 466548 А1, 15.01.1992. ЕР 1142587 A1, 10.10.2001. SU 463262, 16.09.1975.
(85) Дата перевода заявки PCT на национальную фазу:
24.07.2006
(86) Заявка PCT:
EP 2004/014539 20041221
(87) Публикация PCT:
WO 2005/066183 20050721
Адрес для переписки:
101000, Москва, М.Златоустинский пер., 10, кв.15, “ЕВРОМАРКПАТ”, пат.пов. И.А.Веселицкой, рег. 11
|
(72) Автор(ы):
ХИНЦЕ Клаудиа (DE), ДЕРМАНН Бернд (DE), ШИКК Ханс (DE), ХЕНКЕЛЬ Биргитта (DE), ЭНГЛЬБЕРГЕР Вернер (DE), ОБЕРБЁРШ Штефан (DE), ФРИДЕРИХС Эльмар (DE), ФРОРМАНН Свен (DE), КЁГЕЛЬ Бабетте-Ивонне (DE), ЛИНЦ Клаус (DE), МЕРЛА Беатрикс (DE), ЗАУНДЕРС Дерек (DE), ШРЁДЕР Вольфганг (DE)
(73) Патентообладатель(и):
ГРЮНЕНТАЛЬ ГМБХ (DE)
|
(54) СПИРОЦИКЛИЧЕСКИЕ ПРОИЗВОДНЫЕ ЦИКЛОГЕКСАНА СО СРОДСТВОМ К ORL1-РЕЦЕПТОРУ
(57) Реферат:
Описаны спироциклические производные циклогексана общей формулы (I), значения радикалов указаны в формуле изобретения. Соединения обладают сродством к ORL1-рецептору и могут быть использованы для лечения абстиненции (синдрома отмены) или боли. Описаны также лекарственное средство и применение соединения формулы (I) для получения соответствующих лекарственных средств. 8 н. и 5 з.п. ф-лы, 1 ил., 2 табл.

Настоящее изобретение относится к спироциклическим производным циклогексана, способам их получения, лекарственным средствам, содержащим эти соединения, и к применению спироциклических производных циклогексана для получения соответствующих лекарственных средств.
Гептадекапептид ноцицептин является эндогенным лигандом ORL1-рецептора (от англ. “opioid receptor like” receptor”, подобный опиоидному рецептору рецептор) (Meunier и др., Nature 377, 1995, с.532-535), который относится к семейству опиоидных рецепторов и который можно обнаружить во многих отделах головного мозга и спинного мозга. Этот пептид отличается высокой аффинностью по отношению к ORL1-рецептору. ORL1-рецептор гомологичен опиоидным µ-, – и -рецепторам, а аминокислотная последовательность пептида – ноцицептина – обладает высоким сходством с аминокислотными последовательностями известных опиоидных пептидов. Индуцируемая ноцицептином активация такого рецептора приводит благодаря связыванию с Gi/o-протеинами к ингибированию аденилатциклазы (Meunier и др., Nature 377, 1995, с.532-535).
В различных экспериментах на животных пептид ноцицептин проявляет после его введения в межжелудочковую область головного мозга проноцицептивную и гипералгезивную активность (Reinscheid и др., Science 270, 1995, c.792-794). Подобный эффект можно объяснить ингибированием индуцированной стрессом аналгезии (Mogil и др., Neuroscience 75, 1996, c.333-337). В этом отношении удалось также выявить анксиолитическую активность ноцицептина (Jenck и др., Proc. Natl. Acad. Sci. USA 94, 1997, c.14854-14858).
С другой стороны, результаты различных экспериментов на животных свидетельствуют о том, что ноцицептин, прежде всего после его подоболочечного введения, проявляет также антиноцицептивное действие. Ноцицептин проявляет антиноцицептивное действие при моделировании различных болей, например, в опыте на мышах с отдергиванием хвоста (King и др., Neurosci. Lett., 223, 1997, c.113-116). При моделировании невропатических болей также удалось выявить антиноцицептивное действие ноцицептина, которое представляет особый интерес постольку, поскольку эффективность ноцицептина повышается после аксотомии спинно-мозговых нервов. В этом состоит отличие от классических опиоидов, эффективность которых при тех же условиях уменьшается (Abdulla и Smith, J. Neurosci., 18, 1998, c.9685-9694).
ORL1-рецептор участвует, кроме того, и в регуляции других физиологических и патофизиологических процессов. К таковым среди прочего относятся обучаемость и формирование памяти (Manabe и др. Nature, 394, 1997, c.577-581), слуховое восприятие (Nishi и др., ЕМВО J., 16, 1997, c.1858-1864), а также многие другие процессы. В статье Calo и др. (Br.J.Pharmacol., 129, 2000, c.1261-1283) приводится обзорная информация о симптомах или биологических процессах, при которых ORL1-рецептор играет или с высокой вероятностью мог бы играть определенную роль. При этом называются, в частности, аналгезия, стимуляция и регуляция усвоения пищи, влияние на µ-агонисты, такие как морфин, лечение абстиненции (синдрома отмены), снижение потенциала опиоидов как вызывающих привыкание веществ, анксиолиз, модуляция двигательной активности, нарушения памяти, эпилепсия, модуляция выброса нейротрансмиттеров, прежде всего глутамата, серотонина и допамина, и тем самым нейродегенеративные заболевания, влияние на сердечно-сосудистую систему, провоцирование эрекции, диурез, антинатрийурез, баланс электролитов, артериальное давление, различные формы водянки, перистальтика кишечника (диарея), расслабляющее действие на дыхательные пути, рефлекс мочеиспускания (недержание мочи). В указанной статье рассматривается далее применение агонистов и антагонистов в качестве средств, подавляющих аппетит, анальгетиков (в том числе и при совместном введении с опиоидами) или ноотропных средств.
В соответствии с этим соединения, которые связываются с ORL1-рецептором и активируют либо ингибируют его, обладают самыми разнообразными возможностями их применения. Наряду с этим именно при терапии болей, равно как и при других названных показаниях опиоидные рецепторы, такие как µ-рецептор, так же как и иные подтипы этих опиоидных рецепторов, в частности, – и -рецепторы, играют важную роль. Положительных результатов, следовательно, можно достигнуть в тех случаях. когда соединения проявляют свое действие также по отношению к указанным опиоидным рецепторам.
Исходя из вышеизложенного, в основу настоящего изобретения была положена задача предложить соединения, которые позволяли бы воздействовать на систему ноцицептин/ORL1-рецептор и тем самым были бы пригодны для применения в качестве или в составе лекарственных средств, предназначенных прежде всего для лечения различных заболеваний, которые согласно уровню техники так или иначе связаны с этой системой, соответственно для применения при указанных в описанном выше уровне техники показаниях.
Объектом изобретения в соответствии с этим являются спироциклические производные циклогексана общей формулы I

в которой
R1 и R2 независимо друг от друга обозначают Н, СНО, насыщенный или ненасыщенный, разветвленный или неразветвленный, одно- либо многозамещенный или незамещенный С1-С5алкил, насыщенный или ненасыщенный, одно- либо многозамещенный или незамещенный С3-С8циклоалкил или присоединенный через C1-С3алкил арил, С3-С8циклоалкил или гетероарил, каждый из которых является одно- либо многозамещенным или незамещенным, или
остатки R1 и R2 совместно образуют группу СН2СН2ОСН2СН2, CH2CH2NR11CH2CH2 или (CH2)3-6, где
R11 обозначает Н, насыщенный или ненасыщенный, разветвленный или неразветвленный, одно- либо многозамещенный или незамещенный С1-С5алкил, насыщенный или ненасыщенный, одно- либо многозамещенный или незамещенный С3-С8циклоалкил, одно- либо многозамещенный или незамещенный арил либо гетероарил или присоединенный через С1-С3алкил арил, С3-С8циклоалкил или гетероарил, каждый из которых является одно- либо многозамещенным или незамещенным,
R3 обозначает незамещенный или одно- либо многозамещенный гетероарил либо C1-С3гетероарил,
W обозначает NR4, О или S, где
R4 обозначает Н, насыщенный или ненасыщенный, разветвленный или неразветвленный, незамещенный или одно- либо многозамещенный С1-С5алкил, замещенный или незамещенный арил либо гетероарил, присоединенный через C1-С3алкильную группу арил, гетероарил или циклоалкил, каждый из которых является одно- либо многозамещенным или незамещенным, COR12, SO2R12, где
R12 обозначает H, насыщенный или ненасыщенный, разветвленный или неразветвленный, одно- либо многозамещенный или незамещенный С1-С5алкил, насыщенный или ненасыщенный, одно- либо многозамещенный или незамещенный С3-С8циклоалкил, одно- либо многозамещенный или незамещенный арил либо гетероарил или присоединенный через C1-С3алкил арил, С3-С8циклоалкил или гетероарил, каждый из которых является одно- либо многозамещенным или незамещенным, OR13, NR14R15,
R5 обозначает =O, Н, COOR13, CONR13, OR13, насыщенный или ненасыщенный, разветвленный или неразветвленный, незамещенный или одно- либо многозамещенный С1-С5алкил, насыщенный или ненасыщенный, незамещенный или одно- либо многозамещенный С3-С8циклоалкил, незамещенный или одно- либо многозамещенный арил либо гетероарил или присоединенный через С1-С3алкил арил, С3-С8циклоалкил или гетероарил, каждый из которых является незамещенным или одно- либо многозамещенным,
R6 обозначает Н, F, Cl, NO2, CF3, OR13, SR13, SO2R13, SO2OR13, CN, COOR13, NR14R15, насыщенный или ненасыщенный, разветвленный или неразветвленный, незамещенный или одно- либо многозамещенный С1-С5алкил, насыщенный или ненасыщенный, незамещенный или одно- либо многозамещенный С3-С8циклоалкил, незамещенный или одно- либо многозамещенный арил либо гетероарил или присоединенный через C1-С3алкил арил, С3-С8циклоалкил или гетероарил, каждый из которых является незамещенным или одно- либо многозамещенным, или
R5 и R6 совместно образуют группу (СН2)n, где n обозначает 2, 3, 4, 5 или 6, при этом отдельные атомы водорода могут быть также заменены на F, Cl, Br, I, NO2, CF3, OR13, CN или С1-С5алкил,
R7, R8, R9 и R10 независимо друг от друга обозначают Н, F, Cl, Br, I, NO2, CF3, OR13, SR13, SO2R13, SO2OR13, CN, COOR13, NR14R15, С1-C5алкил, незамещенный или одно- либо многозамещенный С3-С8циклоалкил, незамещенный или одно- либо многозамещенный арил либо гетероарил или присоединенный через C1-С3алкил арил, С3-С8циклоалкил либо гетероарил, каждый из которых является незамещенным или одно- либо многозамещенным, при этом
R13 обозначает Н, насыщенный или ненасыщенный, разветвленный или неразветвленный, незамещенный или одно- либо многозамещенный С1-С5алкил, насыщенный или ненасыщенный, незамещенный или одно- либо многозамещенный С3-С8циклоалкил, незамещенный или одно- либо многозамещенный арил либо гетероарил или присоединенный через C1-С3алкил арил, С3-С8циклоалкил или гетероарил, каждый из которых является незамещенным или одно- либо многозамещенным,
R14 и R15 независимо друг от друга обозначают Н, насыщенный или ненасыщенный, разветвленный или неразветвленный, незамещенный или одно- либо многозамещенный С1-С5алкил, насыщенный или ненасыщенный, незамещенный или одно- либо многозамещенный С3-С8циклоалкил, незамещенный или одно- либо многозамещенный арил либо гетероарил или присоединенный через C1-С3алкил арил, С3-С8циклоалкил или гетероарил, каждый из которых является незамещенным или одно- либо многозамещенным, или
R14 и R15 совместно образуют группу CH2CH2OCH2CH2,
CH2CH2NR16CH2CH2 или (СН2)3-6, где
R16 обозначает Н, насыщенный или ненасыщенный, разветвленный или неразветвленный, незамещенный или одно- либо многозамещенный С1-С5алкил,
Х обозначает О, S, SO, SO2 или NR17, где
R17 обозначает Н, насыщенный или ненасыщенный, разветвленный или неразветвленный С1-С5алкил, COR12 или SO2R12,
в виде рацемата, энантиомеров, диастереомеров, смесей энантиомеров или диастереомеров либо в виде одного отдельного энантиомера или диастереомера, в виде оснований и/или солей физиологически совместимых кислот или катионов.
При общем раскрытии значений различных остатков, например R7, R8, R9 и R10, равно как и заместителей этих остатков, как, например, OR13, SR13, SO2R13 или COOR13, один заместитель, например R13, в одном и том же соединении может принимать для двух или более остатков, например R7, R8, R9 и R10, различные значения.
Предлагаемые в изобретении соединения проявляют высокую степень связывания с ORL1-рецептором, равно как и с другими опиоидными рецепторами.
Под понятиями “С1-С5алкил” и “C1-С3алкил” согласно настоящему изобретению подразумеваются ациклические насыщенные или ненасыщенные углеводородные остатки, которые могут быть разветвленными или прямоцепочечными, а также незамещенными или одно- либо многозамещенными, с 1, 2, 3, 4 или 5 С-атомами, соответственно с 1, 2 или 3 С-атомами, т.е. С1-C5алканилы, С2-C5алкенилы и С2-С5алкинилы, соответственно С1-С3алканилы, С2-С3алкенилы и С2-С3алкинилы. При этом алкенилы содержат по меньшей мере одну двойную углерод-углеродную связь, а алкинилы содержат по меньшей мере одну тройную углерод-углеродную связь. Предпочтительно алкил выбран из группы, включающей метил, этил, н-пропил, 2-пропил, н-бутил, изобутил, втор-бутил, трет-бутил, н-пентил, изопентил, неопентил, н-гексил, 2-гексил, этиленил (винил), этинил, пропенил (-СН2СН=СН2, -СН=СН-СН3, -С(=СН2)-СН3), пропинил (-СН-С СН, -С С-СН3), 1,1-диметилэтил, 1,1-диметилпропил, бутенил, бутинил, пентенил и пентинил.
Под понятием “циклоалкил” или “С3-С8циклоалкил” согласно настоящему изобретению подразумеваются циклические углеводороды, которые содержат 3, 4, 5, 6, 7 или 8 атомов углерода и могут быть насыщенными или ненасыщенными (но не ароматическими), незамещенными или одно – либо многозамещенными.
Применительно к циклоалкилу это понятие включает также насыщенные или ненасыщенные (но не ароматические) циклоалкильные группы, в которых один или два атома углерода заменены на гетероатом – S, N или О. Предпочтительно С3-С8циклоалкил выбран из группы, включающей циклопропил, циклобутил, циклопентил, циклогексил, циклогептил, циклооктил, циклопентенил, циклогексенил, циклогептенил и циклооктенил, а также тетрагидропиранил, диоксанил, диоксоланил, морфолинил, пиперидинил, пиперазинил, пиразолинонил и пирролидинил.
Под остатком (СН2)3-6 подразумеваются группы -СН2-СН2-СН2-, -СН2-СН2-СН2-СН2-, -СН2-СН2-СН2-СН2-СН2– и -СН2-СН2-СН2-СН2-СН2-СН2-.
Под понятием “арил” согласно настоящему изобретению подразумеваются карбоциклические системы с по меньшей мере одним ароматическим кольцом, но без гетероатомов только в одном из колец, в частности фенилы, нафтилы, фенантренилы, флуорантенилы, флуоренилы, инданилы и тетралинилы. Арильные остатки могут быть также сконденсированы с другими насыщенными, (частично) ненасыщенными или ароматическими циклическими системами. Каждый арильный остаток может быть представлен в незамещенном или одно- либо многозамещенном виде, при этом арильные заместители могут быть идентичными или различными или могут находиться в любом из возможных положений арила. Особенно предпочтительными являются фенильные или нафтильные остатки.
Под понятием “гетероарил” подразумевается 5-, 6- или 7-членный циклический ароматический остаток, содержащий по меньшей мере 1, а при определенных условиях 2, 3, 4 или 5 идентичных или различных гетероатомов, и гетероцикл может быть незамещенным или одно- либо многозамещенным, причем в случае замещенного гетероцикла его заместители могут быть идентичными или различными и могут находиться в любом из возможных положений гетероарила. Гетероцикл может также представлять собой часть би- или полициклической системы. К предпочтительным гетероатомам относятся азот, кислород и сера. Предпочтительно выбирать гетероарильный остаток из группы, включающей пирролил, индолил, фурил (фуранил), бензофуранил, тиенил (тиофенил), бензотиенил, бензотиадиазолил, бензотиазолил, бензотриазолил, бензодиоксоланил, бензодиоксанил, фталазинил, пиразолил, имидазолил, тиазолил, оксазолил, изоксазолил, пиридинил, пиридазинил, пиримидинил, пиразинил, пиранил, индазолил, пуринил, индолизинил, хинолинил, изохинолинил, хиназолинил, карбозолил, феназинил, фенотиазинил и оксадиазолил, при этом присоединение к соединениям общей формулы I может осуществляться через любой из возможных членов цикла гетероарильного остатка.
Под понятием “замещенный” применительно к алкилу согласно настоящему изобретению имеется в виду замещение одного или нескольких атомов водорода атомами F, Cl, Br, I, группами -CN, NH2, NH-алкилом, NH-арилом, NH-гетероарилом, NH-циклоалкилом, NH-алкиларилом, NH-алкилгетероарилом, группами NH-алкил-ОН, N(алкил)2, N(алкиларил)2, N(алкилгетероарил)2, N(циклоалкил)2, N(алкил-ОН)2, NO2, SH, S-алкилом, S-арилом, S-гетероарилом, S-алкиларилом, S-алкилгетероарилом, S-циклоалкилом, группами S-алкил-ОН, S-алкил-SH, ОН, O-алкилом, O-арилом, O-гетероарилом, O-алкиларилом, O-алкилгетероарилом, O-циклоалкилом, группами O-алкил-ОН, СНО, С(=O)С1-С6алкилом, С(=S)С1-С6алкилом, С(=O)арилом, С(=S)арилом, С(=O)С1-С6алкиларилом, С(=S)С1-С6алкиларилом, С(=O)гетероарилом, С(=S)гетероарилом, С(=O)циклоалкилом, C(=S)циклоалкилом, группой СО2Н, CO2-алкилом, СО2-алкиларилом, группой C(=O)NH2, С(=O)NH-алкилом, C(=O)NH-арилом, С(=O)NH-циклоалкилом, группами С(=O)N(алкил)2, C(=O)N(алкиларил)2, С(=O)N(алкилгетероарил)2, С(=O)N(циклоалкил)2, SO-алкилом, SO2-алкилом, группами SO2NH2, SO3H, РО(O-С1-С6алкил)2, Si(С1-С6алкил)3, Si(С3-С8циклоалкил)3, Si(СН2-С3-С8циклоалкил)3, Si(фенил)3, циклоалкилом, арилом или гетероарилом, при этом под многозамещенными остатками подразумеваются остатки, многозамещенные, например дву- или тризамещенные, либо по разным, либо по одним и тем же атомам, например тризамещенные по одному и тому же С-атому, как в случае CF3 или -CH2CF3, или по находящимся в разных положениях атомам, как в случае -СН(ОН)-СН=СН-CHCl2. В случае полизамещения заместители могут иметь идентичные или различные значения. При определенных условиях заместитель в свою очередь также может быть замещен: так, в частности, -Оалкил включает также -O-СН2-СН2-O-СН2-СН2-ОН.
Под понятием “одно- либо многозамещенный” применительно к арилу, гетероарилу и циклоалкилу согласно настоящему изобретению имеется в виду моно- либо полизамещение, например ди-, три-, тетра- либо пентазамещение, одного или нескольких атомов водорода циклической системы атомами F, Cl, Br, I, группами CN, NH2, NH-алкилом, NH-арилом, NH-гетероарилом, NH-алкиларилом, NH-алкилгетероарилом, NH-циклоалкилом, группами NH-алкил-ОН, N(алкил)2, N(алкиларил)2, N(алкилгетероарил)2, N(циклоалкил)2, N(алкил-ОН)2, NO2, SH, S-алкилом, S-циклоалкилом, S-арилом, S-гетероарилом, S-алкиларилом, S-алкилгетероарилом, группами S-алкил-ОН, S-алкил-SH, ОН, O-алкилом, O-циклоалкилом, O-арилом, O-гетероарилом, O-алкиларилом, O-алкилгетероарилом, группами O-алкил-ОН, СНО, С(=O)С1-С6алкилом, С(=S)С1-С6алкилом, С(=O)арилом, С(=S)арилом, С(=O)С1-С6алкиларилом, С(=S)С1-С6алкиларилом, С(=O)гетероарилом, С(=S)гетероарилом, С(=O)циклоалкилом, С(=S)циклоалкилом, группой CO2H, CO2-алкилом, CO2-алкиларилом, группой C(=O)NH2, С(=O)NH-алкилом, С(=O)NH-арилом, С(=O)NH-циклоалкилом, группами С(=O)N(алкил)2, С(=O)N(алкиларил)2, C(=O)N(алкилгетероарил)2, С(=O)N(циклоалкил)2, S(O)-алкилом, S(O)-арилом, SO2-алкилом, SO2-арилом, группами SO2NH2, SO3H, CF3, =O, =S, алкилом, циклоалкилом, арилом и/или гетероарилом по одному или необязательно по разным атомам (причем соответствующий заместитель в свою очередь может быть при определенных условиях также замещен). Многократное замещение при этом может осуществляться с помощью одного и того же заместителя либо разных заместителей.
Под понятием “соль” подразумевается каждая из форм предлагаемого в изобретении действующего вещества, в которой оно принимает ионную форму, соответственно имеет заряд того или иного знака и связано с противоионом (катионом или анионом), соответственно находится в растворе. Сюда же включены также комплексы действующего вещества с другими молекулами и ионами, прежде всего комплексы, образованные за счет ионных взаимодействий. При этом под понятием “соль” имеются в виду в первую очередь (что соответствует также предпочтительному варианту осуществления настоящего изобретения) физиологически совместимые соли, прежде всего физиологически совместимые соли с катионами или основаниями и физиологически совместимые соли с анионами или кислотами или же образованная с физиологически совместимой кислотой либо с физиологически совместимым катионом соль.
Под понятием “физиологически совместимая соль с анионами или кислотами” согласно изобретению подразумеваются соли по меньшей мере одного из предлагаемых в изобретении соединений, преимущественно в протонированном, например, по азоту, виде, в качестве катиона по меньшей мере с одним анионом, которые являются физиологически совместимыми, прежде всего при введении в организм человека и/или млекопитающего. К таким солям согласно изобретению относятся прежде всего образованная с физиологически совместимой кислотой соль, а именно: соли соответствующего действующего вещества с неорганическими, соответственно органическими кислотами, которые являются физиологически совместимыми, прежде всего при введении в организм человека и/или млекопитающего. В качестве примера физиологически совместимых солей определенных кислот можно назвать соли соляной кислоты, бромистоводородной кислоты, серной кислоты, метансульфоновой кислоты, муравьиной кислоты, уксусной кислоты, щавелевой кислоты, янтарной кислоты, яблочной кислоты, винной кислоты, миндальной кислоты, фумаровой кислоты, молочной кислоты, лимонной кислоты, глутаминовой кислоты, 1,1-диоксо-1,2-дигидро-1 6-бензо[d]изотиазол-3-она (сахариновой кислоты), монометилсебациновой кислоты, 5-оксопролина, гексан-1-сульфоновой кислоты, никотиновой кислоты, 2-, 3- либо 4-аминобензойной кислоты, 2,4,6-триметилбензойной кислоты, -липоевой кислоты, ацетилглицина, гиппуровой кислоты и/или аспарагиновой кислоты. Наиболее предпочтительной солью является гидрохлорид, цитрат и гемицитрат.
Под понятием “образованная с физиологически совместимой кислотой соль” согласно настоящему изобретению подразумеваются соли соответствующего действующего вещества с неорганическими, соответственно органическими кислотами, которые являются физиологически совместимыми, прежде всего при введении в организм человека и/или млекопитающего. Наиболее предпочтительными при этом являются гидрохлорид и цитрат. В качестве примера физиологически совместимых кислот можно назвать соляную кислоту, бромистоводородную кислоту, серную кислоту, метансульфоновую кислоту, муравьиную кислоту, уксусную кислоту, щавелевую кислоту, янтарную кислоту, винную кислоту, миндальную кислоту, фумаровую кислоту, молочную кислоту, лимонную кислоту, глутаминовую кислоту, 1,1-диоксо-1,2-дигидро-1 6-бензо[d]изотиазол-3-он (сахариновую кислоту), монометилсебациновую кислоту, 5-оксопролина, гексан-1-сульфоновую кислоту, никотиновую кислоту, 2-, 3- либо 4-аминобензойную кислоту, 2,4,6-триметилбензойную кислоту, -липоевую кислоту, ацетилглицина, ацетилсалициловую кислоту, гиппуровую кислоту и/или аспарагиновую кислоту.
Под понятием “физиологически совместимая соль с катионами или основаниями” согласно настоящему изобретению имеются в виду соли по меньшей мере одного из предлагаемых в изобретении соединений, преимущественно (депротонированной) кислоты, в качестве аниона по меньшей мере с одним, предпочтительно неорганическим, катионом, которые являются физиологически совместимыми, прежде всего при введении в организм человека и/или млекопитающего. Наиболее предпочтительны соли щелочных и щелочноземельных металлов, а также соли аммония, но прежде всего моно- либо динатриевые, моно- либо дикалиевые, магниевые или кальциевые соли.
Под понятием “образованная с физиологически совместимым катионом соль” согласно настоящему изобретению подразумеваются соли по меньшей мере одного из соответствующих соединений в качестве аниона по меньшей мере с одним неорганическим катионом, который является физиологически совместимым, прежде всего при введении в организм человека и/или млекопитающего. Наиболее предпочтительны соли щелочных и щелочноземельных металлов, а также соли аммония, но прежде всего моно- либо динатриевые, моно- либо дикалиевые, магниевые или кальциевые соли.
Согласно одному из предпочтительных вариантов осуществления изобретения в предлагаемых в нем спироциклических производных циклогексана
R1 и R2 независимо друг от друга обозначают Н, насыщенный или ненасыщенный, разветвленный или неразветвленный, одно- либо многозамещенный или незамещенный С1-С2алкил или
остатки R1 и R2 совместно образуют группу СН2СН2ОСН2СН2, CH2CH2NR11CH2CH2 или (CH2)3-6.
Согласно другому предпочтительному варианту осуществления изобретения в предлагаемых в нем спироциклических производных циклогексана
R1 и R2 независимо друг от друга обозначают H, разветвленный или неразветвленный, насыщенный или ненасыщенный, незамещенный или одно- либо многозамещенный C1-С5алкил или СНО,
R3 обозначает незамещенный или одно- либо многозамещенный гетероарил,
R5 обозначает Н, разветвленный или неразветвленный, незамещенный или одно- либо многозамещенный С1-С5алкил или COOR13,
R6 обозначает Н или C1-С5алкил,
R7, R8, R9 и R10 независимо друг от друга обозначают Н, разветвленный или неразветвленный, незамещенный или одно- либо многозамещенный С1-С5алкил, F, Cl, Br, I, ОН, ОСН3, NH2, СООН, СООСН3, NHCH3, N(СН3)2 или NO2.
Согласно изобретению предпочтительны также такие спироциклические производные циклогексана общей формулы I, в которой
W обозначает NR4, О или S, а
Х обозначает О, S, SO, SO2 или NR17, предпочтительно О или NR17,
R1 и R2 независимо друг от друга обозначают Н, разветвленный или неразветвленный, одно- либо многозамещенный или незамещенный С1-С4алкил или СНО,
R3 обозначает незамещенный или одно- либо многозамещенный гетероарил,
R4 обозначает Н, одно- либо многозамещенный или незамещенный C1-С3алкил, СО(СН2)mH, где m обозначает 0-2, и/или
R5 и R6 каждый соответственно обозначает Н и/или
R7, R8, R9 и R10 независимо друг от друга обозначают Н, разветвленную или неразветвленную, насыщенную или ненасыщенную, незамещенную или одно- либо многозамещенную С1-С5алкильную либо OC1-С3алкильную группу, F, Cl, Br, I, CF3, ОН, SH, SCH3, ОСН3, NH2, COOH, СООСН3, NHCH3, N(СН3)2 или NO2,
при этом к особенно предпочтительным относятся соединения, в которых W обозначает NR4, а Х обозначает О.
Согласно особенно предпочтительному варианту осуществления изобретения в предлагаемых в нем спироциклических производных циклогексана R1 и R2 независимо друг от друга обозначают И или СН3, при этом R1 и R2 одновременно не обозначают Н.
Согласно другому особенно предпочтительному варианту осуществления изобретения в предлагаемых в нем спироциклических производных циклогексана R3 обозначает тиенил или пиридил.
Согласно еще одному из наиболее предпочтительных вариантов осуществления изобретения в предлагаемых в нем спироциклических производных циклогексана остаток R5 обозначает Н, СН3, СООСН3 или СН2ОН, остаток R6 обозначает Н, остатки R7, R8, R9 и R10 независимо друг от друга обозначают Н, разветвленный или неразветвленный, незамещенный или одно- либо многозамещенный C1-C5алкил, F, Cl, Br, I, CF3, ОН, ОСН3, NH2, COOH, СООСН3, NHCH3, N(СН3)2 или NO2, предпочтительно
остатки R6, R7, R8, R9 и R10 обозначают Н, или один из остатков R6, R7 и R8 обозначает Н, разветвленный или неразветвленный, незамещенный или одно- либо многозамещенный С1-С5алкил, F, Cl, Br, I, ОН, ОСН3, COOH, СООСН3, NH2, NHCH3, N(CH3)2 или NO2, тогда как другие остатки обозначают Н, или два из остатков R6, R7, R8, R9 и R10 независимо друг от друга обозначают Н, разветвленный или неразветвленный, незамещенный или одно- либо многозамещенный С1-С5алкил, F, Cl, Br, I, ОН, ОСН3, COOH, СООСН3, NH2, NHCH3, N(CH3)2 или NO2, тогда как другие остатки обозначают Н.
К особенно предпочтительным относятся далее такие соединения, в которых W обозначает NR4, Х обозначает О, a R4 представляет собой Н, СН3, С2Н5, ацетил, фенил, бензил или COR12, прежде всего Н.
Согласно наиболее предпочтительному варианту осуществления изобретения в предлагаемых в нем спироциклических производных циклогексана R1 и R2 независимо друг от друга обозначают Н или СН3, прежде всего СН3, а R3 обозначает пиридил или тиенил, и/или остатки R5, R6, R7, R9 и R10 обозначают Н, а остаток R8 обозначает Н или F.
К наиболее предпочтительным относятся спироциклические производные циклогексана из группы, включающей
1,1-[3-диметиламино-3-(пиридин-2-ил)пентаметилен]-3,4-дигидро-1Н-2,9-диазафлуорен,
2-ацетил-1,1-[3-диметиламино-3-(пиридин-2-ил)пентаметилен]-3,4-дигидро-1Н-2,9-диазафлуорен,
1,1-[3-диметиламино-3-(пиридин-2-ил)пентаметилен]-3,4-дигидро-1Н-2-окса-9-тиафлуорен,
гемицитрат 1,1-[3-диметиламино-3-(пиридин-2-ил)пентаметилен]-1,3,4,9-тетрагидропирано[3,4-b]индола, неполярный диастереоизомер,
цитрат 1,1-[3-диметиламино-3-(пиридин-2-ил)пентаметилен]-1,3,4,9-тетрагидропирано[3,4-b]индола, полярный диастереоизомер,
диметансульфонат 1,1-[3-диметиламино-3-(2-тиенил)пентаметилен]-1,3,4,9-тетрагидропирано[3,4-b]индола, полярный диастереомер,
цитрат 1,1-[3-диметиламино-3-(2-тиенил)пентаметилен]-1,3,4,9-тетрагидропирано[3,4-b]индола, неполярный диастереомер,
гемицитрат 1,1-[3-диметиламино-3-(3-тиенил)пентаметилен]-1,3,4,9-тетрагидропирано[3,4-b]индола, неполярный диастереомер,
цитрат 1,1-[3-диметиламино-3-(3-тиенил)пентаметилен]-1,3,4,9-тетрагидропирано[3,4-b]индола, полярный диастереомер,
гемицитрат 1,1-[3-диметиламино-3-(2-тиенил)пентаметилен]-1,3,4,9-тетрагидропирано[3,4-b]-6-фториндола, неполярный диастереомер,
цитрат 1,1-[3-диметиламино-3-(2-тиенил)пентаметилен]-1,3,4,9-тетрагидропирано[3,4-b]-6-фториндола, полярный диастереомер,
диметансульфонат 1,1-[3-диметиламино-3-(3-тиенил)пентаметилен]-1,3,4,9-тетрагидропирано[3,4-b]-6-фториндола, полярный диастереомер,
гемицитрат 1,1-[3-диметиламино-3-(3-тиенил)пентаметилен]-1,3,4,9-тетрагидропирано[3,4-b]-6-фториндола, неполярный диастереомер,
цитрат 1,1-[3-метиламино-3-(2-тиенил)пентаметилен]-1,3,4,9-тетрагидропирано[3,4-b]индола,
цитрат 1,1-[3-метиламино-3-(2-тиенил)пентаметилен]-1,3,4,9-тетрагидропирано[3,4-b]-6-фториндола,
цитрат 1,1-[3-метиламино-3-(3-тиенил)пентаметилен]-1,3,4,9-тетрагидропирано[3,4-b]индола,
цитрат 1,1-[3-метиламино-3-(3-тиенил)пентаметилен]-1,3,4,9-тетрагидропирано[3,4-b]-6-фториндола, а также при определенных условиях их смеси.
Предлагаемые в изобретении соединения обладают среди прочего действием на ORL1-рецептор, играющий важную роль при различных заболеваниях, и благодаря этому они могут применяться в качестве фармацевтического действующего вещества в соответствующем лекарственном средстве. Еще одним объектом изобретения в соответствии с этим являются лекарственные средства, содержащие по меньшей мере одно предлагаемое в нем спироциклическое производное циклогексана, а также при необходимости соответствующие добавки и/или вспомогательные вещества и/или при определенных условиях еще и другие действующие вещества.
Предлагаемые в изобретении лекарственные средства помимо по меньшей мере одного спироциклического производного циклогексана согласно изобретению содержат при необходимости приемлемые добавки и/или вспомогательные вещества, в том числе носители, наполнители, растворители, разбавители, красители и/или связующие, и их можно применять в качестве жидких лекарственных форм в виде растворов для инъекций, капель или микстур, а также в качестве полутвердых лекарственных форм в виде гранулятов, таблеток, пилюль, бляшек, капсул, пластырей, в том числе пластырей, наносимых напылением, или аэрозолей. Выбор вспомогательных и иных веществ, а также применяемое их количество зависят от того, предназначено ли лекарственное средство для орального, перорального, парентерального, внутривенного, внутрибрюшинного, интрадермального, внутримышечного, интраназального, трансбуккального, ректального или местного применения, например, для нанесения на кожу, на слизистые оболочки или введения в глаза. Для орального применения пригодны композиции в виде таблеток, драже, капсул, гранулятов, капель, микстур и сиропов, а для парентерального, местного и ингаляционного применения пригодны растворы, суспензии, легко восстанавливаемые сухие композиции, а также спреи. Предлагаемые в изобретении спироциклические производные циклогексана в депо-форме, в растворенном виде или в заделанном в пластырь виде, необязательно с добавлением способствующих проникновению через кожу средств (активаторов чрескожного всасывания), пригодны также для чрескожного введения. Предназначенные для перорального или чрескожного введения лекарственные формы могут представлять собой ретард-формы, которые обеспечивают замедленное высвобождение предлагаемых в изобретении спироциклических производных циклогексана. Предлагаемые в изобретении спироциклические производные циклогексана могут применяться также в предназначенных для парентерального введения депо-формах пролонгированного действия, например, в имплантатах или имплантируемых насосах. В принципе в состав предлагаемых в изобретении лекарственных средств можно включать и иные, известные специалистам действующие вещества.
Назначаемое пациенту количество действующего вещества варьируется в зависимости от веса пациента, методики введения, показаний к применению и степени тяжести заболевания. Обычно по меньшей мере одно предлагаемое в изобретении спироциклическое производное циклогексана вводят в организм в дозе, составляющей от 0,00005 до 50 мг/кг, предпочтительно от 0,001 до 0,5 мг/кг веса тела.
В состав предлагаемых в изобретении лекарственных средств во всех их описанных выше формах наиболее предпочтительно помимо по меньшей мере одного спироциклического производного циклогексана включать также еще одно действующее вещество, прежде всего опиоид, предпочтительно сильнодействующий опиоид, в частности морфин, либо анестетик, предпочтительно гексобарбитал или галотан.
В одном из предпочтительных вариантов содержащееся в лекарственном средстве спироциклическое производное циклогексана по изобретению представлено в виде чистого диастереомера и/или энантиомера, в виде рацемата или в виде неэквимолярной либо эквимолярной смеси диастереомеров и/или энантиомеров.
Как уже указывалось выше при описании уровня техники, ORL1-рецептор был идентифицирован прежде всего при проявлении болевых ощущений. Поэтому предлагаемые в изобретении спироциклические производные циклогексана могут использоваться для получения лекарственного средства, предназначенного для лечения боли, прежде всего острой, невропатической или хронической боли.
Еще одним объектом изобретения в соответствии с этим является применение предлагаемого в нем спироциклического производного циклогексана для получения лекарственного средства, предназначенного для лечения боли, прежде всего острой, висцеральной, невропатической или хронической боли.
В ходе фармакологических исследований было установлено, что предлагаемые в изобретении соединения особенно пригодны для лечения состояний, связанных со злоупотреблением опиоидами, и могут применяться также в качестве миорелаксантов или анестетиков. Еще одним объектом изобретения в соответствии с этим является применение предлагаемого в нем спироциклического производного циклогексана для получения лекарственного средства, предназначенного для лечения абстиненции (синдрома отмены), злоупотребления алкоголем и/или наркотиками и/или медикаментами и/или алкогольной и/или наркотической и/или медикаментозной зависимости, в качестве миорелаксанта или анестетика, соответственно для совместного введения с используемым при лечении опиоидным анальгетиком или анестетиком, для лечения абстиненции и/или для снижения склонности к опиоидам.
Еще одним объектом изобретения является применение предлагаемого в нем спироциклического производного циклогексана для получения лекарственного средства, предназначенного для лечения состояний страха, стресса и связанных с ним синдромов, депрессий, эпилепсии, болезни Альцгеймера, старческого слабоумия, общих нарушений познавательной способности (когнитивных дисфункций), нарушений обучаемости и памяти (в качестве ноотропного средства), половых расстройств, сердечно-сосудистых заболеваний, гипотензии, гипертензии, ощущения шума в ушах, зуда, мигрени, тугоухости, недостаточной перистальтики кишечника, нарушений усвояемости пищи, анорексии, ожирения, нарушений локомоторных функций, диареи, кахексии, недержания мочи, соответственно в качестве противосудорожного средства, для диуреза или антинатрийуреза, анксиолиза, для модуляции двигательной активности, для модуляции выброса нейротрансмиттеров и лечения связанных с этим нейродегенеративных заболеваний.
При этом в одном из вариантов рассмотренного выше применения может оказаться предпочтительным использовать спироциклическое производное циклогексана в виде чистого диастереомера и/или энантиомера, в виде рацемата или в виде неэквимолярной либо эквимолярной смеси диастереомеров и/или энантиомеров.
Еще одним объектом настоящего изобретения является способ лечения, прежде всего при наличии симптомов одного из описанных выше заболеваний или болезненных состояний, млекопитающего или человека, которое, соответственно который нуждается в лечении болей, прежде всего хронических болей, заключающийся во введении в организм предлагаемого в изобретении спироциклического производного циклогексана в терапевтически эффективной дозе или предлагаемого в изобретении лекарственного средства.
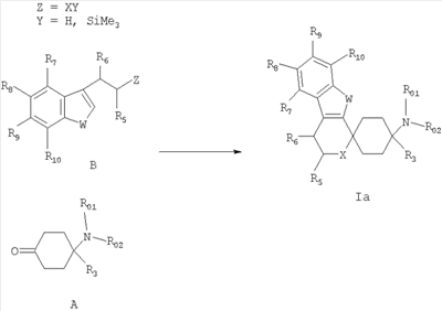
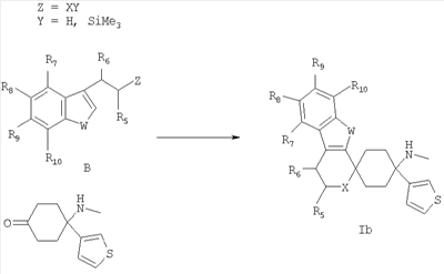
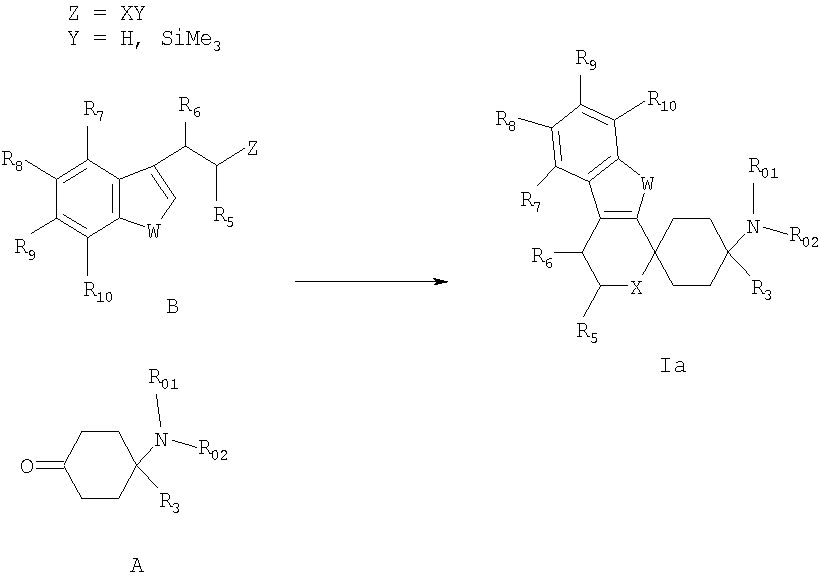
Еще одним объектом изобретения является способ получения предлагаемых в нем спироциклических производных циклогексана, рассматриваемый в последующей части описания и в примерах. Пригоден для этой цели прежде всего, называемый далее основным, способ получения предлагаемого в изобретении спироциклического производного циклогексана, проиллюстрированный на представленной ниже схеме, где X, W, R1, R2, R3, R5, R6, R7, R8, R9 и R10 имеют значения, указанные для предлагаемых в изобретении соединений формулы I, а R01 и R02 имеют значения, идентичные значениям R1 и R2, указанным для предлагаемых в изобретении соединений формулы I, и дополнительно независимо друг от друга могут представлять собой защитную группу, и предусматривающий (способ) проведение описанных ниже следующих стадий:

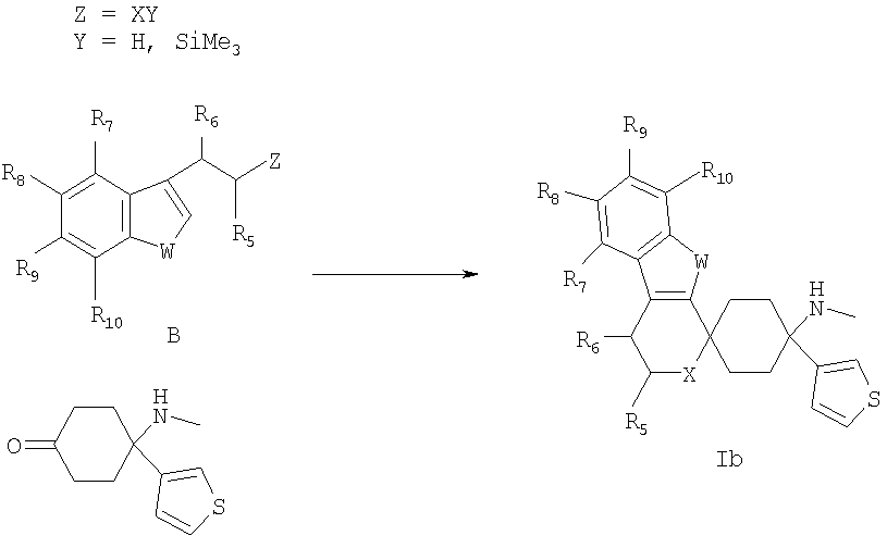
Для получения соединений общей формулы Ia кетоны общей формулы А подвергают взаимодействию с гетероароматическими соединениями общей формулы В при добавлении соответствующей кислоты или ее триметилсилилового эфира, например, триметилсилилового эфира трифторметансульфоновой кислоты, уксусной кислоты, фосфорной кислоты, метансульфоновой кислоты или трифторуксусной кислоты, в соответствующем растворителе, например, дихлорэтане, дихлорметане, хлороформе, ацетонитриле, диэтиловом эфире или нитрометане. Получение соответствующих 4-аминоциклогексанонов известно из литературы (Lednicer и др., J. Med. Chem. 23, 1980, c.424-430, WO 02/90317, US 4065573).
Другая возможность получения предлагаемых в изобретении соединений проиллюстрирована на приведенной ниже схеме, где X, W, R3, R5, R6, R7, R8, R9 и R10 имеют указанные для предлагаемых в изобретении соединений формулы I значения,
а R01 и R02 имеют значения, идентичные значениям R1 и R2, указанным для предлагаемых в изобретении соединений формулы I, и дополнительно независимо друг от друга могут представлять собой защитную группу.

Спироциклические производные циклогексана общей формулы I, в которых Х обозначает NR17, где R17 обозначает COR12 или SO2R12, можно получать взаимодействием спироциклических производных общей формулы I, в которых Х обозначает NH, с ангидридом или хлорангидридом кислоты при добавлении соответствующего основания, например триэтиламина. Эту реакцию предпочтительно проводить при СВЧ-излучении.
Спироциклические же производные циклогексана общей формулы I, в которых Х обозначает SO или SO2, можно получать взаимодействием спироциклических производных циклогексана общей формулы I, в которых Х обозначает S, с соответствующим окислителем, например, Н2О2.
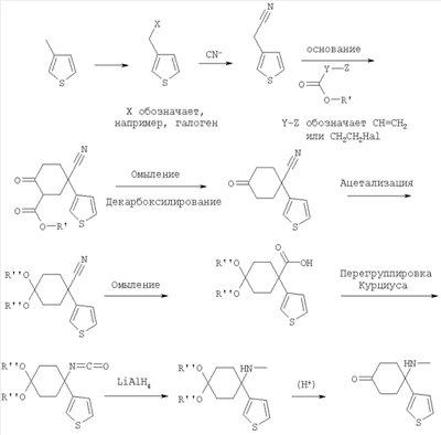
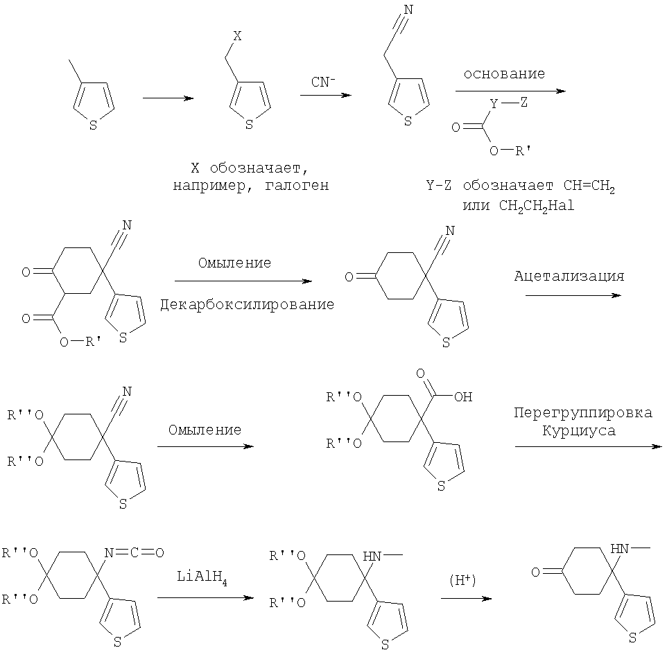
Спироциклические производные циклогексана, в которых R3 обозначает 3-тиенил, а R1 обозначает СН3 и R2 обозначает Н, можно получать согласно представленной ниже схеме, где R’ и R”’ независимо друг от друга обозначают защитную группу, с последующими пояснениями:


При осуществлении этого способа в метильную группу 3-метилтиофена по известным специалистам методам, например, путем бромирования с использованием N-бромсукцинимида в инертном растворителе, таком, в частности, как бензол, при добавлении инициатора, такого, например, как пероксид бензоила, и необязательно при нагревании вводят уходящую группу, такую, например, как галоген, предпочтительно бром.
Полученный таким путем продукт, например, 3-бромметилтиофен, при использовании источника цианида, такого, в частности, как цианид натрия, например, в присутствии четвертичной аммониевой соли, такой, например, как тетрабутиламмонийбромид, необязательно при нагревании, переводят в соответствующий нитрил.
Полученный таким путем тиофен-3-илацетонитрил в присутствии акрилового эфира или эфира 3-бромпропионовой кислоты, используемого в избытке, предпочтительно в количестве 2,3 мол. эквивалента, а также в присутствии соответствующего основания, например, амида натрия, подвергают, необязательно при нагревании, обменной реакции в апротонном растворителе, например толуоле.
Полученные таким путем эфиры 5-циано-2-оксо-5-тиофен-3-илциклогексанкарбоновой кислоты по известным специалистам методам можно омылять и декарбоксилировать, предпочтительно путем нагревания с обратным холодильником в смеси из концентрированной соляной кислоты и ледяной уксусной кислоты.
Кетогруппу полученного описанным путем 4-оксо-1-тиофен-3-илциклогексанкарбонитрила можно защищать по известной специалистам методике соответствующей защитной группой, предпочтительно путем ацетализации, особенно предпочтительно за счет преобразования в защитную этилендиоксигруппу, наиболее предпочтительно путем нагревания кетона в толуоле в присутствии этиленгликоля и кислотного катализатора, например, пара-толуолсульфоновой кислоты, при нагревании, предпочтительно с обратным холодильником.
Полученный таким путем 8-тиофен-3-ил-1,4-диоксаспиро[4.5]декан-8-карбонитрил по известной специалистам методике за счет омыления нитрильной группы можно переводить в соответствующую карбоновую кислоту, например, в щелочной среде, предпочтительно с помощью гидроксида натрия в этиленгликоле, с использованием обратного холодильника.
Полученную таким путем 8-тиофен-3-ил-1,4-диоксаспиро[4.5]декан-8-карбоновую кислоту по известной специалистам методике можно переводить в соответствующий изоцианат, предпочтительно с помощью реакций, протекающих по типу перегруппировки Курциуса. Предпочтительно при этом переводить карбоновую кислоту в изоцианат с использованием дифенилового эфира азидофосфорной кислоты в присутствии триэтиламина в анизоле, при нагревании с обратным холодильником.
Полученный таким путем 8-изоцианато-8-тиофен-3-ил-1,4-диоксаспиро[4.5]декан можно переводить, например, с помощью алюмогидрида лития в апротонном растворителе, предпочтительно тетрагидрофуране, в соответствующее метиламиносоединение.
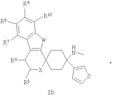
Полученный таким путем метил-(8-тиофен-3-ил-1,4-диоксаспиро[4.5]дец-8-ил)амин можно при кислотном катализе за счет удаления защитной группы сначала превращать в 4-метиламино-4-тиофен-3-илциклогексанон и затем, например, взаимодействием с соединениями общей формулы В превращать в спироциклические производные циклогексана.
Примеры
Приведенные ниже примеры служат для более подробного пояснения изобретения, не ограничивая, однако, его объем.
Выход получаемых в примерах соединений не оптимизирован.
Все температуры указаны в виде нескорректированных значений.
Понятием “простой эфир” обозначается диэтиловый эфир, сокращением “ЭА” обозначается этилацетат, сокращением “ДХМ” обозначается дихлорметан, сокращением “ДМФ” обозначается диметилформамид, сокращением “ДМСО” обозначается диметилсульфоксид, а сокращением “ТГФ” обозначается тетрагидрофуран. Под понятием “эквиваленты” имеются в виду эквивалентные количества веществ, сокращением “tпл” обозначается температура плавления, соответственно интервал температур плавления, сокращением “КТ” обозначается комнатная температура, сокращением “об.%” обозначаются объемные проценты, сокращением “мас.%” обозначаются массовые проценты, а понятием “молярный” обозначается концентрация в молях/л.
В качестве неподвижной фазы при колоночной хроматографии использовали силикагель 60 (0,040-0,063 мм) фирмы Е.Merck, Дармштадт.
При анализе тонкослойной хроматографией (ТСХ) использовали готовые пластины для ТСХ высокого разрешения (ТСХВР) типа силикагель 60 F 254 фирмы Е.Merck, Дармштадт.
Соотношения между количествами растворителей, смеси которых использовали при хроматографических анализах, во всех случаях указаны в объемных соотношениях (об./об.),
Пример 1: 1,1-[3-диметиламино-3-(пиридин-2-ил)пентаметилен]-3,4-дигидро-1Н-2,9-диазафлуорен, смесь диастереоизомеров
4-диметиламино-4-пиридин-2-илциклогексанон (4,37 г, 20 ммолей) и 2-(1Н-индол-3-ил)этиламин (“триптамин”, 3,2 г, 20 ммолей) растворяли в атмосфере аргона в сухом МеОН (200 мл). По истечении 24 ч, в течение которых протекала реакция, МеОН отгоняли, желтый маслянистый остаток суспендировали в 1,2-дихлорэтане (200 мл), затем добавляли трифторуксусную кислоту (20 мл) и в течение 2 ч перемешивали при КТ. Для последующей переработки смесь разбавляли водой (100 мл) и с помощью NaOH (5 молей/л) значение рН устанавливали на 11. После добавления ЭА (50 мл) в осадок при перемешивании выпадало белое твердое вещество, которое отделяли вакуум-фильтрацией через фритту. Твердое вещество промывали водой (3×25 мл) и сушили в вакууме. 1,1-(3-диметиламино-3-(пиридин-2-ил)пентаметилен)-3,4-дигидро-1Н-2,9-диазафлуорен получили в виде смеси диастереоизомеров (4,9 г белого твердого вещества, tпл 122-125°С).
Пример 2: 2-ацетил-1,1-[3-диметиламино-3-(пиридин-2-ил)пентаметилен]-3,4-дигидро-1Н-2,9-диазафлуорен
Полученный аналогично примеру 1 1,1-(3-диметиламино-3-(пиридин-2-ил)пентаметилен)-3,4-дигидро-1Н-2,9-диазафлуорен (200 мг, 0,56 ммоля) растворяли в пиридине (5 мл), затем по каплям добавляли ацетангидрид (484 мкл, 5,6 ммоля) и в течение 5 дней перемешивали при КТ. Для последующей переработки пиридин отгоняли с помощью роторного испарителя, остаток разбавляли водой (10 мл), с помощью 5-молярного NaOH значение рН устанавливали на 11 и экстрагировали ЭА (3×10 мл). Из объединенных органических экстрактов выпадало твердое вещество, которое отделяли вакуум-фильтрацией и сушили. В результате получили 160 мг белого твердого вещества в виде чистого диастереоизомера. 150 мг (0,37 ммоля) этого твердого вещества растворяли в горячем этаноле (10 мл) и смешивали также с горячим раствором лимонной кислоты (72 мг, 0,37 ммоля) в этаноле (1 мл). После охлаждения до примерно 5°С смесь оставляли стоять в течение 4 ч, после чего концентрировали досуха. Таким путем цитрат 2-ацетил-1,1-(3-диметиламино-3-(пиридин-2-ил)пентаметилен)-3,4-дигидро-1Н-2,9-диазафлуорена получили с выходом 222 мг (белое пенистое вещество, tпл 108-112°С).
Пример 3: Цитрат 1,1-[3-диметиламино-3-(пиридин-2-ил)пентаметилен1-3,4-дигидро-1Н-2-окса-9-тиафлуорена
В атмосфере аргона 4-диметиламино-4-пиридин-2-илциклогексанон (218 мг, 1 ммоль) и 2-бензо[b]тиофен-2-илэтанол (178 мг, 1 ммоль) растворяли в абсолютном ДХМ (5 мл), затем добавляли метансульфоновую кислоту (3 мл) и смесь перемешивали в течение 3 дней при КТ. Для последующей переработки реакционную смесь смешивали со льдом (5 г) и водой (30 мл). После нейтрализации гидрокарбонатом натрия (4,4 г, 52 ммоля) и добавления 5-молярного NaOH (1 мл) добавляли ДХМ (10 мл), органическую фазу отделяли, а водную фазу экстрагировали ДХМ (2×30 мл). Объединенные органические фазы после сушки концентрировали и остаток (375 мг) отделяли хроматографией на силикагеле (45 г, элюент: ЭА/метанол, первый раз в соотношении 10:1, вторично в соотношении 4:1, затем только метанол). Сырой продукт получили с выходом 143 мг (0,377 ммоля) в виде белого твердого вещества (tпл 155-168°С), далее это твердое вещество растворяли в этаноле (10 мл) при 50°С, смешивали с лимонной кислотой (72 мг, 0,377 ммоля), растворенной в теплом этаноле (3 мл), перемешивали в течение 2 ч при КТ и концентрировали до объема 5 мл. Выпавшее при этом в осадок твердое вещество отделяли вакуум-фильтрацией и промывали этанолом (2×1 мл). Цитрат 1,1-[3-диметиламино-3-(пиридин-2-ил)пентаметилен]-3,4-дигидро-1Н-2-окса-9-тиафлуорена получили с выходом 179 мг (белое твердое вещество, tпл 189-191°C).
Пример 4: Гемицитрат 1,1-[3-диметиламино-3-(пиридин-2-ил)пентаметилен]-1,3,4,9-тетрагидропирано[3,4-b]индола, неполярный диастереоизомер
4-диметиламино-4-пиридин-2-илциклогексанон (654 мг, 3 ммоля) и 2-(1Н-индол-3-ил)этанол (“триптофол”, 483 мг, 3 ммоля) предварительно помещали в ДХМ (50 мл), затем в течение 3 мин добавляли метансульфоновую кислоту (400 мкл, 6,2 ммоля) и перемешивали в течение 70 ч при КТ. Для последующей переработки реакционную смесь смешивали с 2-молярным NaOH (15 мл), перемешивали в течение 20 мин, после чего органическую фазу отделяли, а оставшуюся водную фазу выделяли путем встряхивания с дихлорметаном (3×20 мл). Объединенные органические фазы промывали водой (2×30 мл), сушили, фильтровали и концентрировали. Образовавшийся остаток хроматографировали на силикагеле и основание неполярного диастереоизомера целевого продукта получили с выходом 123 мг. 108 мг (0,3 ммоля) этого основания растворяли в горячем этаноле (15 мл), смешивали также с горячим этанольным раствором лимонной кислоты (58 мг, 0,3 ммоля в 1 мл) и смесь оставляли на 12 ч при 5°С. Образовавшееся твердое вещество отделяли вакуум-фильтрацией. Таким путем гемицитрат неполярного диастереоизомера 1,1-[3-диметиламино-3-(пиридин-2-ил)пентаметилен]-1,3,4,9-тетрагидропирано[3,4-b]индола получили с выходом 79 мг (белое твердое вещество, tпл 255-260°С).
Пример 5: Цитрат 1,1-[3-диметиламино-3-(пиридин-2-ил)пентаметилен]-1,3,4,9-тетрагидропирано[3,4-b]индола, полярный диастереоизомер
Аналогично примеру 4 получили также 415 мг полярного диастереоизомера 1,1-[3-диметиламино-3-(пиридин-2-ил)пентаметилен]-1,3,4,9-тетрагидропирано[3,4-b]индола. 400 мг (1,1 ммоля) этого диастереоизомера растворяли в горячем этаноле (12 мл) и затем добавляли горячий этанольный раствор лимонной кислоты (в общей сложности 211 мг, 1,1 ммоля в 2 мл). Смесь оставляли на 2 ч при 5°С, после чего концентрировали досуха. Таким путем цитрат полярного диастереоизомера 1,1-[3-диметиламино-3-(пиридин-2-ил)пентаметилен]-1,3,4,9-тетрагидропирано[3,4-b]индола получили с выходом 612 мг (стекловидное твердое вещество белого цвета, tпл 96-100°С).
Примеры 6 и 7: Диметансульфонат 1,1-[3-диметиламино-3-(2-тиенил)пентаметилен]-1,3,4,9-тетрагидропирано[3,4-b]индола (пример 6) и цитрат 1,1-[3-диметиламино-3-(2-тиенил)пентаметилен]-1,3,4,9-тетрагидропирано[3,4-b]индола (пример 7)
4-диметиламино-4-(2-тиенил)циклогексанон (223 мг, 1 ммоль) и 2-(1Н-индол-3-ил)этанол (161 мг, 1 ммоль) растворяли в абсолютном ДХМ и затем добавляли метансульфоновую кислоту (0,071 мл, 1,1 ммоля). Далее перемешивали в течение 16 ч при КТ, при этом полярный диастереомер 1,1-[3-диметиламино-3-(2-тиенил)пентаметилен]-1,3,4,9-тетрагидропирано[3,4-b]индола выпадал в осадок в виде диметансульфоната (пример 6). В результате получили светло-серое твердое вещество с выходом 25% (117 мг, tпл 132°С).
Фильтрат смешивали с 1-молярным NaOH (20 мл) и в течение 16 ч перемешивали при КТ. Органическую фазу отделяли, водную фазу экстрагировали и объединенные органические фазы концентрировали. При этом получили смесь веществ, которую разделяли посредством хроматографии [силикагель G (20 г), ЭА/метанол в соотношении 8:1]. Таким путем неполярный диастереоизомер 1,1-[3-диметиламино-3-(2-тиенил)пентаметилен]-1,3,4,9-тетрагидропирано[3,4-b]индола получили с выходом 54% (196 мг, tпл 235-238°С), а полярный диастереоизомер с выходом 10% (38 мг).
Для получения цитрата неполярный диастереоизомер 1,1-[3-диметиламино-3-(2-тиенил)пентаметилен]-1,3,4,9-тетрагидропирано[3,4-b]индола (170 мг, 0,46 ммоля) растворяли при нагревании в этаноле (50 мл) и смешивали с лимонной кислотой (98 мг, 0,51 ммоля) в этаноле (5 мл). Далее перемешивали в течение 1 ч при КТ. Цитрат (пример 7) получили в виде бесцветного соединения с выходом 60% (153 мг, tпл 222-225°С).
Примеры 8 и 9: Гемицитрат 1,1-[3-диметиламино-3-(3-тиенил)пентаметилен]-1,3,4,9-тетрагидропирано[3,4-b]индола (пример 8) и цитрат 1,1-[3-диметиламино-3-(3-тиенил)пентаметилен]-1,3,4,9-тетрагидропирано[3,4-b]индола (пример 9)
4-диметиламино-4-(3-тиенил)циклогексанон (223 мг, 1 ммоль) и 2-(1Н-индол-3-ил)этанол (161 мг, 1 ммоль) растворяли в абсолютном ДХМ (50 мл) и смешивали с метансульфоновой кислотой (0,13 мл, 2,0 ммоля). Смесь в течение 2 дней перемешивали при КТ, при этом часть полярного диастереоизомера 1,1-[3-диметиламино-3-(3-тиенил)пентаметилен]-1,3,4,9-тетрагидропирано[3,4-b]индола выпадала в осадок в виде метансульфоната. Твердое вещество отделяли вакуум-фильтрацией, промывали ДХМ и получили его с выходом 12% (55 мг). Фильтрат смешивали с 0,5-молярным NaOH (20 мл) и перемешивали в течение 2 ч при КТ. При этом неполярный диастереоизомер 1,1-[3-диметиламино-3-(3-тиенил)пентаметилен]-1,3,4,9-тетрагидропирано[3,4-b]индола выпадал в осадок в виде бесцветного твердого вещества и после фильтрации его получили с выходом 38% (138 мг) с tпл 291-294°С. Органическую фазу фильтрата отделяли, а водную фазу экстрагировали ДХМ (2×20 мл). Из объединенных органических фаз получили смесь диастереоизомеров (184 мг, 50%). После смешения с метанолом (10 мл) растворялся только полярный диастереоизомер 1,1-[3-диметиламино-3-(3-тиенил)пентаметилен]-1,3,4,9-тетрагидропирано[3,4-b]индола (45 мг, 12%, tпл 235-238°C), а остаток представлял собой неполярный диастереоизомер.
Для получения цитрата неполярный диастереоизомер 1,1-[3-диметиламино-3-(3-тиенил)пентаметилен]-1,3,4,9-тетрагидропирано[3,4-b]индола (111 мг, 0,3 ммоля) суспендировали при нагревании при 50°С в этаноле (35 мл) и смешивали с лимонной кислотой (60 мг, 0,31 ммоля) в этаноле (5 мл). Затем перемешивали в течение 16 ч при КТ. Выпавший в осадок гемицитрат (пример 8) отделяли вакуум-фильтрацией и промывали этанолом (2×5 мл). В результате получили бесцветное соединение с выходом 79% (110 мг, tпл 246-250°С).
Полярный диастереоизомер (81 мг, 0,22 ммоля) растворяли в этаноле (20 мл), смешивали с лимонной кислотой (46 мг, 0,24 ммоля) в этаноле (3 мл) и в течение 16 ч перемешивали при КТ. Прозрачную смесь концентрировали до объема 3 мл, смешивали с диэтиловым эфиром (40 мл) и в течение 15 мин перемешивали при комнатной температуре. Полярный цитрат выпадал в осадок в виде бесцветного твердого вещества, выход которого составил 63% (77 мг, tпл 245-248°С).
Примеры 10 и 11: Гемицитрат 1,1-[3-диметиламино-3-(2-тиенил)пентаметилен]-1,3,4,9-тетрагидропирано[3,4-b]-6-фториндола (пример 10) и цитрат 1,1-[3-диметиламино-3-(2-тиенил)пентаметилен]-1,3,4,9-тетрагидропирано[3,4-b]-6-фториндола (пример 11)
4-диметиламино-4-(2-тиенил)циклогексанон (223 мг, 1 ммоль) и 5-фтор-2-(1Н-индол-3-ил)этанол (179 мг, 1 ммоль) предварительно помещали в абсолютный ДХМ (50 мл) и смешивали с метансульфоновой кислотой (0,13 мл, 2,0 ммоля). Смесь в течение 20 ч перемешивали при КТ, затем смешивали с 0,5-молярным NaOH (20 мл) и в течение 2 ч перемешивали при КТ. Органическую фазу отделяли, а водную фазу экстрагировали ДХМ. Из органических фаз получали смесь диастереоизомеров 1,1-[3-диметиламино-3-(2-тиенил)пентаметилен]-1,3,4,9-тетрагидропирано[3,4-b]-6-фториндола (382 мг). Затем эту смесь перекристаллизовывали из пропан-2-ола (70 мл). При этом в осадок выпадал неполярный диастереоизомер (165 мг, 43%). Из фильтрата после концентрирования выделяли смесь диастереоизомеров (211 мг). После разделения этой смеси хроматографией [силикагель G (40 г), ЭА/циклогексан в соотношении 1:1 (400 мл), ЭА (400 мл), ЭА/метанол в соотношении 4:1 (300 мл)] получили неполярный диастереоизомер (67 мг, 17%, tпл 225-230°С) и полярный диастереоизомер (110 мг, 29%, tпл 197-202°С) в виде бесцветных твердых веществ.
Для получения цитрата неполярный диастереоизомер (165 мг, 0,43 ммоля) суспендировали при нагревании в этаноле (50 мл) и смешивали с лимонной кислотой (93 мг, 0,48 ммоля) в этаноле (5 мл). Затем перемешивали в течение 30 мин при 50°С и в течение 16 ч при КТ. Гемицитрат отделяли вакуум-фильтрацией и промывали этанолом. Бесцветное соединение получили с выходом 54% (111 мг, tпл 199-201°С) (пример 10).
Полярный диастереоизомер (91 мг, 0,236 ммоля) растворяли в этаноле (15 мл) при 40°С, смешивали с лимонной кислотой (52 мг, 0,27 ммоля) в этаноле (5 мл) и в течение 2 ч перемешивали при КТ. Затем раствор концентрировали до объема 3 мл, смешивали с простым эфиром (40 мл) и в течение 16 ч перемешивали при КТ. В результате полярный гемицитрат выпадал в осадок в виде бесцветного твердого вещества, выход которого составлял 93% (106 мг, tпл 137-140°С) (пример 11).
Примеры 12 и 13: Диметансульфонат 1,1-[3-диметиламино-3-(3-тиенил)пентаметилен]-1,3,4,9-тетрагидропирано[3,4-b]-6-фториндола (пример 12) и гемицитрат 1,1-[3-диметиламино-3-(3-тиенил)пентаметилен]-1,3,4,9-тетрагидропирано[3,4-b]-6-фториндола (пример 13)
4-диметиламино-4-(3-тиенил)циклогексанон (446,6 мг, 2 ммоля) и 5-фтор-2-(1Н-индол-3-ил)этанол (394,4 мг, 2 ммоля) растворяли в абсолютном 1,2-дихлорэтане (30 мл) и смешивали с метансульфоновой кислотой (0,13 мл, 2 ммоля). Затем смесь в течение 20 ч перемешивали при КТ. Выпавший в осадок метансульфонат полярного диастереоизомера отделяли вакуум-фильтрацией и промывали 1,2-дихлорэтаном. Светло-серое твердое вещество получили с выходом 76% (733 мг, tпл 143-145°C) (пример 12).
Фильтрат смешивали с 1-молярным NaOH (30 мл) и в течение 2 ч перемешивали при КТ. При этом неполярный диастереоизомер выпадал в осадок в виде бесцветного твердого вещества, выход которого составлял 8% (58,5 мг). Фазы фильтрата разделяли и водную фазу экстрагировали ДХМ. Объединенные органические фазы содержали смесь диастереоизомеров (300,3 мг).
Для получения цитрата смесь диастереоизомеров (126 мг, 0,33 ммоля) суспендировали при нагревании при 50°С в этаноле (100 мл) и смешивали с лимонной кислотой (69,2 мг, 0,36 ммоля) в этаноле (5 мл). Затем в течение 2 ч перемешивали при КТ и выдерживали в течение ночи при 10°С. Выпавший в осадок гемицитрат неполярного диастереоизомера отделяли вакуум-фильтрацией. Бесцветное соединение получили с выходом 60% (94 мг, tпл 227-229°С) (пример 13).
Пример 14: Цитрат 1,1-[3-метиламино-3-(2-тиенил)пентаметилен]-1,3,4,9-тетрагидропирано[3,4-b]индола
4-метиламино-4-тиофен-2-илциклогексанон (418,6 мг, 2,0 ммоля) и 2-(1Н-индол-3-ил)этанол (322,4 мг, 2,0 ммоля) растворяли в 50 мл ДХМ и быстро смешивали с трифторметансульфоновой кислотой (0,18 мл, 2,03 ммоля). После 20-часового перемешивания при КТ смесь в течение 20 мин перемешивали вместе с добавленными 20 мл 2-молярного NaOH. Затем органическую фазу отделяли, а водную фазу экстрагировали ДХМ. Объединенные органические фазы концентрировали в вакууме досуха и образовавшийся остаток суспендировали в 25 мл метанола. Бесцветное твердое вещество отделяли вакуум-фильтрацией и таким путем с выходом 363 мг (51%) получили 1,1-[3-метиламино-3-(2-тиенил)пентаметилен]-1,3,4,9-тетрагидропирано[3,4-b]индол.
Для получения цитрата этот 1,1-[3-метиламино-3-(2-тиенил)пентаметилен]-1,3,4,9-тетрагидропирано[3,4-b]индол (352 мг, 1,0 ммоль) растворяли в горячем этаноле (30 мл) и смешивали с лимонной кислотой (200 мг, 1,04 ммоля) в горячем этаноле (5 мл). Затем смесь оставляли стоять в течение 15 ч при 5°С. Выпавший в осадок цитрат отделяли вакуум-фильтрацией, получив его в виде бесцветного соединения с выходом 69% (377 мг, tпл 201-203°С) (пример 14).
Пример 15: Цитрат 1,1-[3-метиламино-3-(2-тиенил)пентаметилен]-1,3,4,9-тетрагидропирано[3,4-b]-6-фториндола
4-метиламино-4-тиофен-2-илциклогексанон (418,6 мг, 2,0 ммоля) и 2-(5-фтор-1Н-индол-3-ил)этанол (358,3 мг, 2,0 ммоля) растворяли в 50 мл ДХМ и быстро смешивали с трифторметансульфоновой кислотой (0,18 мл, 2,03 ммоля). После 20-часового перемешивания при КТ смесь в течение 20 мин перемешивали вместе с добавленными 20 мл 2-молярного NaOH. Затем органическую фазу отделяли, а водную фазу экстрагировали ДХМ. Объединенные органические фазы концентрировали в вакууме досуха и образовавшийся остаток суспендировали в метаноле. Бесцветное твердое вещество отделяли вакуум-фильтрацией и таким путем с выходом 697 мг (94%) получили 1,1-[3-метиламино-3-(2-тиенил)пентаметилен]-1,3,4,9-тетрагидропирано[3,4-b]-6-фториндол.
Для получения цитрата простой спироциклический эфир (680 мг, 1,84 ммоля) растворяли в горячем этаноле (50 мл) и смешивали с лимонной кислотой (384 мг, 2,0 ммоля) в горячем этаноле (10 мл). Затем смесь оставляли стоять в течение 15 ч при 5°С. Выпавший в осадок цитрат отделяли вакуум-фильтрацией, получив его в виде бесцветного соединения с выходом 67% (694 мг, tпл 207-209°С) (пример 15).
3-бромметилтиофен
N-бромсукцинимид (35,6 г, 0,20 моля) и бензоилпероксид (0,4 г, 0,0013 моля) в течение 90 мин при 90°С порциями добавляли к смеси 3-метилтиофена (22 г, 0,203 моля) и бензоилпероксида (0,4 г, 0,0013 моля) в сухом бензоле. После полного завершения реакции (контроль с помощью тонкослойной хроматографии) смесь охлаждали до 0°С и фильтровали. Фильтрат концентрировали в вакууме. В результате получили 34 г 3-бромметилтиофена (красно-бурая жидкость).
Тиофен-3-илацетонитрил
Цианид натрия (12,03 г, 0,25 моля) и каталитические количества бромида тетра-н-бутиламмония добавляли к смеси 3-бромметилтиофена (29 г, 0,16 моля) в дихлорметане (175 мл) и воде (50 мл). Реакционную смесь перемешивали с использованием обратного холодильника. После полного завершения реакции (контроль с помощью тонкослойной хроматографии) органическую фазу отделяли и промывали водой (3×500 мл), сушили над сульфатом натрия и концентрировали в вакууме. После хроматографической очистки (силикагель, 3%-ный эфир уксусной кислоты в н-гексане) получили 9 г тиофен-3-илацетонитрила (44%, красно-бурая жидкость).
Этиловый эфир 5-циано-2-оксо-5-тиофен-3-илциклогексанкарбоновой кислоты
К тиофен-3-илацетонитрилу (27,5 г, 0,22 моля), растворенному в 350 мл толуола, добавляли этиловый эфир 3-бромпропионовой кислоты (96,14 г, 0,53 моля). Затем в течение 1 ч при температуре в интервале от 0 до 10°С порциями добавляли амид натрия (74,03 г, 1,9 моля). После этого реакционную смесь примерно в течение 1 ч перемешивали с использованием обратного холодильника. После полного завершения реакции (контроль с помощью тонкослойной хроматографии) избыточный амид натрия разлагали при 0-5°С смесью уксусной кислоты и воды (500 мл, в соотношении 2:1). Органическую фазу отделяли и нейтрализовали раствором гидрокарбоната натрия (300 мл), сушили над сульфатом натрия и концентрировали в вакууме. В результате получили 40 г этилового эфира 5-циано-2-оксо-5-тиофен-3-илциклогексанкарбоновой кислоты (желтая жидкость).
4-оксо-1-тиофен-3-илциклогексанкарбонитрил
Этиловый эфир 5-циано-2-оксо-5-тиофен-3-илциклогексанкарбоновой кислоты (40 г, 0,14 моля), растворенный в смеси из концентрированной соляной кислоты (200 мл) и ледяной уксусной кислоты (400 мл), нагревали при перемешивании с обратным холодильником примерно в течение 4 ч. После полного завершения реакции (контроль с помощью тонкослойной хроматографии) добавляли воду (100 мл) и нейтрализовали водным едким натром, а затем экстрагировали эфиром уксусной кислоты (2×400 мл). Органическую фазу промывали раствором гидрокарбоната натрия (200 мл) и водой (100 мл), сушили над сульфатом натрия и концентрировали в вакууме. После очистки посредством колоночной хроматографии (силикагель, 25%-ный эфир уксусной кислоты в н-гексане) получили 12,5 г 4-оксо-1-тиофен-3-илциклогексанкарбонитрила (42%, твердое вещество бледно-желтого цвета).
8-тиофен-3-ил-1,4-диоксаспиро[4.5]декан-8-карбонитрил
К 4-оксо-1-тиофен-3-илциклогексанкарбонитрилу (22 г, 0,107 моля), растворенному в толуоле (500 мл), добавляли каталитические количества пара-толуолсульфоновой кислоты и этиленгликоля (13,3 г, 0,21 моля). Затем реакционную смесь в течение примерно 2 ч перемешивали с использованием обратного холодильника. После полного завершения реакции (контроль с помощью тонкослойной хроматографии) толуольную фазу отделяли, промывали раствором гидрокарбоната натрия (200 мл), сушили над сульфатом натрия и концентрировали в вакууме. В результате получили 25 г 8-тиофен-3-ил-1,4-диоксаспиро[4.5]декан-8-карбонитрила (95%, бесцветное твердое вещество).
8-тиофен-3-ил-1,4-диоксаспиро[4.5]декан-8-карбоновая кислота
К 8-тиофен-3-ил-1,4-диоксаспиро[4.5]декан-8-карбонитрилу (25 г, 0,095 моля), растворенному в этиленгликоле (226 мл), добавляли гидроксид калия (28 г, 0,5 моля). Затем реакционную смесь в течение примерно 12 ч перемешивали с использованием обратного холодильника. После полного завершения реакции (контроль с помощью тонкослойной хроматографии) значение рН смеси разбавленной соляной кислотой устанавливали на приблизительно 1. Образовавшийся осадок отфильтровывали и сушили. В результате получили 15 г 8-тиофен-3-ил-1,4-диоксаспиро[4.5]декан-8-карбоновой кислоты (55%, твердое вещество бледно-желтого цвета).
8-изоцианато-8-тиофен-3-ил-1,4-диоксаспиро[4.5]декан
К 8-тиофен-3-ил-1,4-диоксаспиро[4.5]декан-8-карбоновой кислоте (15 г, 56 ммолей), растворенной в анизоле (160 мл), добавляли дифениловый эфир азидофосфорной кислоты (15,4 г, 56 ммолей) и триэтиламин (5,66 г, 55 ммолей). Затем реакционную смесь нагревали до 90-100°C с выдержкой при этой температуре в течение 2 ч. После полного завершения реакции (контроль с помощью тонкослойной хроматографии) очищали колоночной хроматографией (силикагель, 10%-ный эфир уксусной кислоты в н-гексане). В результате получили 6 г 8-изоцианато-8-тиофен-3-ил-1,4-диоксаспиро[4.5]декана (41%, бесцветная жидкость).
Метил(8-тиофен-3-ил-1,4-диоксаспиро[4.5]дец-8-ил)амин
К 8-изоцианато-8-тиофен-3-ил-1,4-диоксаспиро[4.5]декану (6 г, 22,6 ммоля), растворенному в сухом ТГФ (70 мл), при температуре в интервале от 0 до 5°С порциями добавляли алюмогидрид лития (1,7 г). Затем реакционную смесь в течение примерно 1,5 ч перемешивали с использованием обратного холодильника. После полного завершения реакции (контроль с помощью тонкослойной хроматографии) избыточный алюмогидрид лития разлагали насыщенным водным раствором сульфата натрия (20 мл). Образующийся осадок отфильтровывали через целлит. Фильтрат концентрировали, а затем экстрагировали эфиром уксусной кислоты (3×100 мл). Органическую фазу отделяли, сушили над сульфатом натрия и концентрировали в вакууме. После очистки колоночной хроматографией (силикагель, 50%-ный эфир уксусной кислоты в н-гексане) получили 2,5 г метил(8-тиофен-3-ил-1,4-диоксаспиро[4.5]дец-8-ил)амина (43%, белое твердое вещество с низкой температурой плавления).
Пример 16: Цитрат 1,1-[3-метиламино-3-(3-тиенил)пентаметилен]-1,3,4,9-тетрагидропирано[3,4-b]индола
Указанное в заголовке соединение получили аналогично примеру 14 из 4-метиламино-4-тиофен-3-илциклогексанона и 2-(1Н-индол-3-ил)этанола.
Пример 17: Цитрат 1,1-[3-метиламино-3-(3-тиенил)пентаметилен]-1,3,4,9-тетрагидропирано[3,4-b]-6-фториндола
Указанное в заголовке соединение получили аналогично примеру 15 из 4-метиламино-4-тиофен-3-илциклогексанона и 2-(5-фтор-1Н-индол-3-ил)этанола.
Исследования эффективности предлагаемых в изобретении соединений
Определение связывания с ORL1-рецептором
Производные циклогексана общей формулы I исследовали в опыте по связыванию с рецептором с использованием 3Н-ноцицептина/орфанина FQ и мембран рекомбинантных клеток CHO-ORL1. Этот эксперимент проводили по методу, описанному у Ardati и др. (Mol. Pharmacol., 51, 1997, c.816-824). 3Н-ноцицептин/орфанин FQ использовали в этих опытах в концентрации 0,5 нМ. При проведении анализов по связыванию с рецептором протеин клеточной мембраны использовали из расчета по 20 мкг на 200 мкл смеси, содержавшей 50 мМ Hepes (N-2-гидроксиэтилпиперазин-N’-2-этансульфоновая кислота) с рН 7,4, 10 мМ MgCl2 и 1 мМ ЭДТК. Связывание с ORL1-рецептором определяли добавлением к каждому анализируемому образцу по 1 мг покрытых агглютинином из проростков пшеницы шариков для SPA-анализа (Scintillation Proximity Assay) (фирма Amersham-Pharmacia, Фрейбург), инкубацией смеси в течение часа при комнатной температуре и проведением последующих измерений в сцинтилляционном счетчике типа Trilux (фирма Wallac, Финляндия). Степень аффинности указана в таблице 1 в виде наномолярного значения Ki или в виде выраженной в процентах степени ингибирования при с = 1 мкМ.
Определение связывания с µ-рецептором
Степень аффинности к опиатному µ-рецептору человека определяли с использованием гомогенной смеси в титрационных микропланшетах. С этой целью каждое из тестируемых спироциклических производных циклогексана в течение 90 мин инкубировали при КТ в серийных разведениях с препаратом содержащих рецептор мембран (15-40 мкг протеина на 250 мкл инкубационной смеси) СНО-K1-клеток, экспрессирующих опиатный µ-рецептор человека (препарат содержащих RB-HOM-рецептор мембран фирмы NEN, Zaventem, Бельгия), в присутствии [3Н]-налоксона в качестве радиоактивного лиганда (NET719, фирма NEN, Zaventem, Бельгия) в концентрации 1 нмоль/л и 1 мг покрытых агглютинином из проростков пшеницы шариков для SPA-анализа фирмы Amersham/Pharmacia, Фрейбург, Германия) общим объемом 250 мкл. В качестве инкубационного буфера использовали трис-HCl в концентрации 50 ммолей/л, дополненный 0,05 мас.% азида натрия и 0,06 мас.% бычьего сывороточного альбумина. Для определения неспецифического связывания дополнительно добавляли налоксон в концентрации 25 мкмолей/л. После 90-минутной инкубации титрационные микропланшеты в течение 20 мин центрифугировали при 1000 g и измеряли радиоактивность в сцинтилляционном -счетчике (тип Microbeta-Trilux, фирма Perkin Elmer Wallac, Фрейбург, Германия). Далее в процентном выражении определяли степень вытеснения радиоактивного лиганда из сайта его связывания с опиатным µ-рецептором человека при концентрации анализируемых соединений 1 мкмоль/л и полученные значения выражали в виде относительной степени ингибирования (% ингибирования) специфического связывания. Исходя из выраженной в процентах степени вытеснения, обусловленной различной концентрацией тестируемых соединений общей формулы I, частично рассчитывали концентрации ингибирования (IC50-значения), обеспечивающие 50%-ную степень вытеснения радиоактивного лиганда. Путем соответствующего пересчета с помощью уравнения Ченга-Прусоффа получали значения Ki для анализируемых соединений.
Пример  |
ORL1 Ki [нМ] или % ингибирования |
ORµ-NaI Ki [нМ] или % ингибирования |
| 1 |
1,60 |
2,80 |
| 3 |
49% |
140,00 |
| 4 |
0,49 |
0,08 |
| 5 |
29% |
210,00 |
| 6 |
37% |
47% |
| 7 |
0,56 |
0,27 |
| 8 |
0,26 |
0,12 |
| 10 |
0,66 |
0,09 |
| 11 |
41% |
53% |
| 12 |
59% |
150,00 |
| 13 |
0,61 |
0,08 |
Исследование анальгетической эффективности в опыте на мышах с отдергиванием хвоста
Каждую из мышей по отдельности помещали в клетку для опытов и на основание хвоста направляли сфокусированный тепловой луч от электрической лампы (Tail-flick-Typ 50/08/1.bc, Labtec, Dr. Bess). Интенсивность испускаемого лампой излучения настраивали с таким расчетом, чтобы промежуток времени, проходящего с момента включения лампы до момента внезапного отдергивания хвоста (латентный период развития боли), составлял у необработанных мышей от 3 до 5 с. Подобные предварительные опыты с мышами проводили дважды в течение пяти минут до введения им растворов, содержащих одно из предлагаемых в изобретении соединений, соответственно одного из сравнительных растворов, и полученное при этих измерениях среднее значение рассчитывали как среднее значение предварительного опыта.
После этого мышам внутривенно вводили растворы предлагаемых в изобретении соединений общей формулы I, а также сравнительные растворы. Измерения по определению периода времени, проходящего до момента появления реакции (отдергивание хвоста) на болевой раздражитель (тепловой луч), проводили соответственно через 10, 20, 40 и 60 мин после внутривенного введения мышам исследуемых растворов. Анальгетическое действие рассчитывали как увеличение продолжительности латентного периода развития боли (% максимально возможного антиноцицептивного эффекта) по следующей формуле:

В этой формуле время Т0 обозначает длительность латентного периода до введения содержащего действующее вещество препарата, время T1 обозначает длительность латентного периода после введения содержащего комбинацию действующих веществ препарата, а время Т2 обозначает максимальную длительность воздействия тепловым лучом (равную 12 с).
Пример  |
Отдергивание хвоста (мышь, внутривенно) ED50 |
| 7 |
3,5 мкг/кг |
| 10 |
0,028 мг/кг |
| 13 |
0,027 мг/кг |
Соединение из примера 7 характеризовалось в опытах на мышах дополнительным действием, проявлявшемся в мышечной релаксации и наркотическом эффекте.
В отличие от чистых µ-опиоидов (таких как морфин) соединение из примера 7 обладает сниженным показателем “place preference” (см. Tzschentke, Т.М., Prog. Neurobiol. 56, 1998, c.613-672).
Опыт на мышах с подпрыгиванием как проявление синдрома отмены
Опыт по исследованию поведенческой реакции, проявляющейся в соответствующих движениях, в данном случае в подпрыгивании, проводили на мышах по методу Saelens и др., 1971.
Тестируемые соединения вводили животным внутрибрюшинно в течение двух дней в общей сложности 7 раз. 5 раз их вводили в первый день в 9,00, 10,00, 11,00, 13,00 и 15,00 ч, а во второй день – в 9,00 и 11,00 ч. Первые три раза соединения вводили в возрастающих дозах (схема дозирования), а затем в дозе, равной третьей дозе. Проявление синдрома отмены инициировали через 2 ч после последнего введения с помощью налоксона 30 мг/кг (внутрибрюшинно). Непосредственно после этого животных поодиночке помещали для наблюдения за ними в прозрачные ящики (высотой 40 см и диаметром 15 см) и в течение 15 мин подсчитывали количество прыжков, совершаемых животными в каждый из 5-минутных промежутков времени. Морфин в описанных опытах использовали в одной и той же дозе в качестве сравнения или стандарта.
Синдром отмены количественно оценивают, подсчитывая количество прыжков, совершаемых животными в течение 0-10 мин после введения налоксона. При этом определяют количество животных в каждой группе, совершивших более 10 прыжков в течение 10 мин, и относят их к животным с положительной реакцией (“% положительных животных”). Кроме того, определяют среднюю частоту прыжков в каждой группе животных. В каждой группе используют по 12 животных.
Степень выраженности индуцированного налоксоном синдрома отмены, проявляющегося в подпрыгивании мышей, в зависимости от введенной дозы соединения из примера 7 в графическом виде показана на прилагаемом к описанию чертеже.
Полученные результаты свидетельствуют о полном подавлении синдрома отмены, проявляющегося в подпрыгивании.
Формула изобретения
1. Спироциклические производные циклогексана общей формулы I
 в которой R1 и R2 независимо друг от друга обозначают Н или насыщенный, разветвленный или неразветвленный, незамещенный С1-С5алкил, или остатки R1 и R2 совместно образуют группу (СН2)3-6, R3 обозначает гетероарил, выбранный из пиридила, тиенила, тиазолила и имидазолила, каждый из которых является незамещенным или однозамещен атомом F, Cl, Br, I или насыщенным, разветвленным или неразветвленным, незамещенным С1-С5алкилом, W обозначает NR4, О или S, где R4 обозначает Н, R5 обозначает Н, R6 обозначает Н или насыщенный, разветвленный или неразветвленный, незамещенный С1-С5алкил, R7, R8, R9 и R10 независимо друг от друга обозначают Н, F, Cl, Br, I или OR13, где R13 обозначает Н, насыщенный, разветвленный или неразветвленный, незамещенный С1-С5алкил, или присоединенный через C1-С3алкил незамещенный фенил, и Х обозначает О или NR17, где R17 обозначает Н, COR12 или SOR12, где R12 обозначает насыщенный, разветвленный или неразветвленный, незамещенный С1-С5алкил; незамещенный фенил; незамещенный или однозамещенный атомом Cl бензотиенил; насыщенный, незамещенный С3-С8циклоалкил; присоединенный через насыщенный или ненасыщенный, разветвленный или неразветвленный C1-С3алкил, незамещенный или одно- либо многозамещенный атомом F, атомом Cl или насыщенным, разветвленным или неразветвленным, незамещенным ОС1-С5алкилом фенил; присоединенный через насыщенный, разветвленный или неразветвленный C1-С3алкил насыщенный незамещенный С3-С8циклоалкил; присоединенный через насыщенный, разветвленный или неразветвленный C1-С3алкил незамещенный тиенил; или NR14R15, где R14 и R15 независимо друг от друга обозначают Н или присоединенный через насыщенный, разветвленный или неразветвленный C1-С3алкил и незамещенный или одно- либо многозамещенный атомом Cl фенил, в виде смесей энантиомеров или диастереомеров либо в виде одного отдельного диастереомера, а также в виде солей физиологически совместимых кислот.
2. Спироциклические производные циклогексана по п.1, отличающиеся тем, что R1 и R2 независимо друг от друга обозначают Н или СН3, при этом R1 и R2 одновременно не обозначают Н.
3. Спироциклические производные циклогексана по п.1, отличающиеся тем, что W обозначает NR4, a Х обозначает О, R1 и R2 независимо друг от друга обозначают Н, разветвленный или неразветвленный, незамещенный С1-С4алкил, R3 обозначает незамещенный пиридил или тиенил, R4 обозначает Н, R5 и R6 обозначают Н и/или R7, R8, R9 и R10 независимо друг от друга обозначают Н, F, Cl, Br или I.
4. Спироциклические производные циклогексана по п.1, отличающиеся тем, что R1 и R2 обозначают СН3, а R3 обозначает тиенил или пиридил.
5. Спироциклические производные циклогексана по п.1, отличающиеся тем, что W обозначает NR4, Х обозначает О, а R4 обозначает Н.
6. Спироциклические производные циклогексана по одному из пп.1-5, выбранные из группы, включающей 1,1-[3-диметиламино-3-(пиридин-2-ил)пентаметилен]-3,4-дигидро-1Н-2,9-диазафлуорен, 2-ацетил-1,1-[3-диметиламино-3-(пиридин-2-ил)пентаметилен]-3,4-дигидро-1Н-2,9-диазафлуорен, 1,1-[3-диметиламино-3-(пиридин-2-ил)пентаметилен]-3,4-дигидро-1Н-2-окса-9-тиафлуорен, гемицитрат 1,1-[3-диметиламино-3-(пиридин-2-ил)пентаметилен]-1,3,4,9-тетрагидропирано[3,4-b]индола, неполярный диастереоизомер, цитрат 1,1-[3-диметиламино-3-(пиридин-2-ил)пентаметилен]-1,3,4,9-тетрагидропирано[3,4-b]индола, полярный диастереоизомер, диметансульфонат 1,1-[3-диметиламино-3-(2-тиенил)пентаметилен]-1,3,4,9-тетрагидропирано[3,4-b]индола, полярный диастереомер, цитрат 1,1-[3-диметиламино-3-(2-тиенил)пентаметилен]-1,3,4,9-тетрагидропирано[3,4-b]индола, неполярный диастереомер, гемицитрат 1,1-[3-диметиламино-3-(3-тиенил)пентаметилен]-1,3,4,9-тетрагидропирано[3,4-b]индола, неполярный диастереомер, цитрат 1,1-[3-диметиламино-3-(3-тиенил)пентаметилен]-1,3,4,9-тетрагидропирано[3,4-b]индола, полярный диастереомер, гемицитрат 1,1-[3-диметиламино-3-(2-тиенил)пентаметилен]-1,3,4,9-тетрагидропирано[3,4-b]-6-фториндола, неполярный диастереомер, цитрат 1,1-[3-диметиламино-3-(2-тиенил)пентаметилен]-1,3,4,9-тетрагидропирано[3,4-b]-6-фториндола, полярный диастереомер, диметансульфонат 1,1-[3-диметиламино-3-(3-тиенил)пентаметилен]-1,3,4,9-тетрагидропирано[3,4-b]-6-фториндола, полярный диастереомер, гемицитрат 1,1-[3-диметиламино-3-(3-тиенил)пентаметилен]-1,3,4,9-тетрагидропирано[3,4-b]-6-фториндола, неполярный диастереомер, цитрат 1,1-[3-метиламино-3-(2-тиенил)пентаметилен]-1,3,4,9-тетрагидропирано [3,4-b]индола, цитрат 1,1-[3-метиламино-3-(2-тиенил)пентаметилен]-1,3,4,9-тетрагидропирано[3,4-b]-6-фториндола, цитрат 1,1-[3-метиламино-3-(3-тиенил)пентаметилен]-1,3,4,9-тетрагидропирано[3,4-b]индола, цитрат 1,1-[3-метиламино-3-(3-тиенил)пентаметилен]-1,3,4,9-тетрагидропирано[3,4-b]-6-фториндола, а также при определенных условиях их смеси.
7. Способ получения спироциклических производных циклогексана по одному из пп.1-6, отличающийся тем, что аддукт общей формулы А
 где остатки R01 и R02 имеют указанные для R2 значения, подвергают при добавлении кислоты, например трифторметансульфоновой кислоты, метансульфоновой кислоты или трифторуксусной кислоты, в соответствующем растворителе, например дихлорэтане, дихлорметане, взаимодействию с аддуктом общей формулы В
 в которой остатки R5-R10 и W имеют указанные в п.1 значения, a Z обозначает XY, где Y представляет собой Н, а Х представляет собой О или NH.
8. Способ получения спироциклических производных циклогексана по п.1, в которых Х обозначает NR17, а R17 обозначает COR12, отличающийся тем, что спироциклическое производное циклогексана, в котором Х обозначает NH, при добавлении основания, например пиридина, подвергают взаимодействию с ангидридом.
9. Способ получения спироциклических производных циклогексана общей формулы Ib
 отличающийся тем, что тиофен-3-ил-ацетонитрил подвергают взаимодействию с эфиром 3-бромпропионовой кислоты, омыляют, декарбоксилируют нитрильную группу путем омыления переводят в карбоновую кислоту, а затем в изоцианат далее подвергают взаимодействию с восстановителем, например алюмогидридом лития, и при добавлении кислоты, например трифторметансульфоновой кислоты или метансульфоновой кислоты, в соответствующем растворителе, например дихлорэтане, дихлорметане, подвергают взаимодействию с аддуктом общей формулы В
 в которой Z обозначает XY, где Y представляет собой Н, а Х представляет собой О и W обозначает NH, а остатки R5-R10 имеют указанный в п.1 значения.
10. Лекарственное средство, содержащее по меньшей мере одно спироциклическое производное циклогексана по одному из пп.1-6, в виде смесей энантиомеров или диастереомеров, либо в виде одного отдельного диастереомера, а также в виде солей физиологически совместимых кислот, необязательно содержащее соответствующие добавки и/или вспомогательные вещества, и предназначено для лечения абстиненции (синдрома отмены) или боли.
11. Применение спироциклического производного циклогексана по одному из пп.1-6, в виде смесей энантиомеров или диастереомеров, либо в виде одного отдельного диастереомера, а также в виде солей физиологически совместимых кислот, для получения лекарственного средства, предназначенного для лечения боли, прежде всего острой, невропатической боли.
12. Применение спироциклического производного циклогексана по одному из пп.1-6 для получения лекарственного средства, предназначенного для лечения злоупотребления алкоголем и/или наркотиками, и/или медикаментами, и/или алкогольной, и/или наркотической, и/или медикаментозной зависимости, в качестве миорелаксанта или анестетика, соответственно для совместного введения с используемым при лечении опиоидным анальгетиком или анестетиком, для лечения абстиненции (синдрома отмены) и/или для снижения склонности к опиоидам.
13. Применение спироциклического производного циклогексана по одному из пп.1-16 для получения лекарственного средства, предназначенного для лечения состояний страха, стресса и связанных с ним синдромов, депрессий, эпилепсии, болезни Альцгеймера, старческого слабоумия, общих нарушений познавательной способности (когнитивных дисфункций), нарушений обучаемости и памяти (в качестве ноотропного средства), половых расстройств, сердечно-сосудистых заболеваний, гипотензии, гипертензии, ощущения шума в ушах, зуда, мигрени, тугоухости, недостаточной перистальтики кишечника, нарушений усвояемости пищи, анорексии, ожирения, нарушений локомоторных функций, диареи, кахексии, недержания мочи, соответственно в качестве противосудорожного средства, для диуреза или антинатрийуреза, анксиолиза, для модуляции двигательной активности, для модуляции выброса нейротрансмиттеров и лечения связанных с этим нейродегенеративных заболеваний.
РИСУНКИ
|
|