|
|
(21), (22) Заявка: 2006138362/04, 19.03.2005
(24) Дата начала отсчета срока действия патента:
19.03.2005
(30) Конвенционный приоритет:
01.04.2004 DE 102004015981.5
(43) Дата публикации заявки: 10.05.2008
(46) Опубликовано: 10.03.2010
(56) Список документов, цитированных в отчете о поиске:
WO 0052010 A1, 08.09.2000. WO 0052009 A1, 08.09.2000. WO 0031077 A1, 02.06.2000. WO 0031076 A1, 02.06.2000. WO 0031075 A1, 02.06.2000. RU 2173318 C2, 10.09.2001. RU 2162468 C2, 27.01.2001. RU 98117814 A, 20.06.2000.
(85) Дата перевода заявки PCT на национальную фазу:
01.11.2006
(86) Заявка PCT:
EP 2005/002953 20050319
(87) Публикация PCT:
WO 2005/097789 20051020
Адрес для переписки:
105064, Москва, а/я 88, “Патентные поверенные Квашнин, Сапельников и партнеры”, пат.пов. В.П.Квашнину, рег. 4
|
(72) Автор(ы):
РАСТ Хуберт (DE), ХЕЕП Ирис (DE), ГРУНЕНБЕРГ Альфонс (DE), ХАЛЛЕНБАХ Вернер (DE), БЕННЕТ-БУХХОЛЬЦ Хорди (ES)
(73) Патентообладатель(и):
Байер Энимэл Хельс ГмбХ (DE)
|
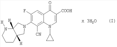
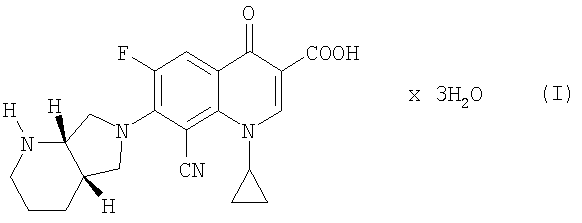
(54) ТРИГИДРАТ 8-ЦИАНО-1-ЦИКЛОПРОПИЛ-7-(1S, 6S-2,8-ДИАЗАБИЦИКЛО-[4.3.0]НОНАН-8-ИЛ)-6-ФТОР-1, 4-ДИГИДРО-4-ОКСО-3-ХИНОЛИНКАРБОНОВОЙ КИСЛОТЫ
(57) Реферат:
Настоящее изобретение относится к тригидрату 8-циано-1-циклопропил-7-(1S,6S-2,8-диазабицикло-[4.3.0]нонан-8-ил)-6-фтор-1,4-дигидро-4-оксо-3-
хинолинкарбоновой кислоты формулы (I)

Технический результат – получено новое соединение, являющееся термодинамически стабильным и обладающее антибактериальной активностью. 2 ил., 3 табл.
Настоящее изобретение относится к антибактериальным средствам на основе хинолинкарбоновой кислоты, более конкретно к тригидрату 8-циано-1-циклопропил-7-(1S,6S-2,8-диазабицикло-[4.3.0]нонан-8-ил)-6-фтор-1,4-дигидро-4-оксо-3-хинолинкарбоновой кислоты.
8-циано-1-циклопропил-7-(1S,6S-2,8-диазабицикло-[4.3.0]нонан-8-ил)-6-фтор-1,4-дигидро-4-оксо-3-хинолинкарбоновая кислота формулы (А)

далее будет называться прадофлоксацином, то есть будет носить международное тривиальное название, которое не подлежит регистрации (INN, International Nonproprietary Name).
Прадофлоксацин известен по заявке на международный патент 97/31001. В соответствии с заявкой его получают в результате взаимодействия 6-фтор-7-хлор-8-циано-1-циклопропил-1,4-дигидро-4-оксо-3-хинолинкарбоновой кислоты с (1S,6S-2,8-диазабицикло-[4.3.0]нонаном в смеси диметилформамида с ацетонитрилом в присутствии вспомогательного основания. После обработки водой прадофлоксацин экстрагируют из воды дихлорметаном и выделяют его после удаления экстракционного средства. При этом получают порошок, который не представлен какой-либо определенной кристаллической модификацией. Однако при получении лекарственных средств действует условие, в соответствии с которым для активного вещества, которое может существовать в различных кристаллических модификациях, должно быть однозначно указано, в какой из кристаллических модификаций оно используется для получения лекарственного средства.
Частично аморфный порошок, который получают по описанной вкратце методике, к тому же еще и гигроскопичен. Однако в галенофармацевтической практике трудно работать с аморфными твердыми веществами и тем более с гигроскопичными твердыми веществами, поскольку они, например, имеют небольшую насыпную плотность и недостаточно хорошую сыпучесть. Кроме того, для работы с гигроскопичными твердыми веществами нужно использовать специальные приемы работы и установки для того, чтобы можно было получать воспроизводимые результаты, например, в том, что касается содержания активного вещества или стабильности произведенных твердых лекарственных форм.
Определенные кристаллические формы прадофлоксацина уже известны: модификация А (заявка на международный патент 00/31075), модификация В (заявка на международный патент 00/31076), модификация С (заявка на международный патент 00/52009) и модификация D (заявка на международный патент 00/52010), а также полугидрохлорид (заявка на международный патент 00/31077).
Активные вещества для лекарственных средств должны быть представлены формами, которые стабильны даже в таких неблагоприятных условиях хранения, как повышенная температура и влажность воздуха. Изменения, например кристаллической структуры, нежелательны, поскольку при этом часто изменяются также такие важные свойства, как, например, растворимость в воде. Поэтому самое серьезное внимание уделяют поиску термодинамически стабильных кристаллических форм активного вещества.
В соответствии с изложенным в основу изобретения поставлена задача расширить ассортимент антибактериальных средств на основе термодинамически стабильных и высокоактивных производных хинолинкарбоновой кислоты.
Поставленная задача решается предлагаемым тригидратом 8-циано-1-циклопропил-7-(1S,6S-2,8-диазабицикло-[4.3.0]нонан-8-ил)-6-фтор-1,4-дигидро-4-оксо-3-хинолинкарбоновой кислоты формулы (I)

Тригидрат прадофлоксацина, т.е. производного хинолинкарбоновой кислоты формулы (I), имеет рентгеновскую дифрактограмму в порошке с приведенными в таблице 1 положениями пиков (2 тета) высокой и средней интенсивности (>30% относительной интенсивности).
| Таблица 1 |
 |
| Положения пиков средней и высокой интенсивности (Iотн>30%) для тригидрата прадофлоксацина. |
 |
2 (2 тета) |
 |
| 10,6230 |
 |
| 14,1386 |
 |
| 18,4032 |
 |
| 20,9422 |
 |
| 22,5604 |
 |
| 22,8420 |
 |
| 24,5165 |
 |
| 25,8426 |
 |
| 26,4972 |
 |
| 26,8759 |
 |
| 27,1231 |
 |
Картина рентгеновской дифрактограммы порошка тригидрата прадофлоксацина представлена на фиг.1.
Тригидрат прадофлоксацина был также охарактеризован рентгеноструктурным анализом его монокристалла. Характеристические данные представлены далее.
Структура кристаллической решетки представлена на фиг.2.
Тригидрат прадофлоксацина может быть получен описанными далее способами.
Раствор прадофлоксацина в полярном апротонном растворителе нагревают до температуры 50°С или выше и после этого прибавляют воду, содержащую затравочные кристаллы тригидрата прадофлоксацина.
В предпочтительном случае к раствору в полярном апротонном растворителе прибавляют не менее чем равный объем воды, в особо предпочтительном случае прибавляют от двух- до четырехкратного объема. В предпочтительном случае можно продолжать нагревание полученной смеси при температуре в пределах от 50°С до температуры кипения.
Используемый полярный растворитель должен достаточно хорошо смешиваться с водой; примерами, которым отдается предпочтение, служат диметилформамид, ацетонитрил, пропионитрил и, в частности, N-метилпирролидон. Могут быть также использованы смеси этих растворителей.
В альтернативном случае прадофлоксацин можно нагревать в воде с небольшим количеством тригидрата прадофлоксацина, в предпочтительном случае в температурном интервале от 50 до 100°С.
Кроме того, тригидрат прадофлоксацина можно также получить переосаждением из его солей, причем в целесообразном случае при нейтрализации прибавляют затравочные кристаллы тригидрата прадофлоксацина.
В предпочтительном случае при переосаждении растворяют прадофлоксацин в подходящей для этого кислоте в присутствии воды. После этого нейтрализуют прибавлением основания до рН 7 и прибавляют затравочные кристаллы.
Во всех случаях тригидрат прадофлоксацина выпадает – в соответствующих случаях после охлаждения (например до комнатной температуры) – в виде твердого вещества.
Затравочные кристаллы, если они нужны, получают при длительном выдерживании пробы прадофлоксацина в модификации В при влажности воздуха не менее 97%, обычно это превращение происходит при комнатной температуре.
Неожиданно оказалось, что тригидрат прадофлоксацина стабилен и не переходит в другие кристаллические формы даже при длительном хранении. Кроме того, тригидрат прадофлоксацина не проявляет тенденции к поглощению большего количества воды из воздуха. Его можно также легко очищать перекристаллизацией. На основании этого он прекрасно подходит для получения лекарственных форм из этого лекарственного средства, в частности таких лекарственных форм, в которых активное вещество находится в твердом виде. Благодаря его стабильности он обеспечивает таким лекарственным формам желательную стабильность при хранении в течение длительного времени. В соответствии с этим на основе тригидрата прадофлоксацина можно направленно получать составы с прадофлоксацином с определенной стабильностью.
Тригидрат прадофлоксацина проявляет очень высокую эффективность по отношению к патогенным бактериям в области медицины человека и в ветеринарной медицине. Действие тригидрата прадофлоксацина и вместе с тем его широкая область применения соответствует тому, что известно для прадофлоксацина.
Рентгеновская дифрактограмма порошка, характеризующая тригидрат прадофлоксацина, получена на трансмиссионном дифрактометре STADI-P (CuK -излучение) с детектором локальной чувствительности (PSD2) фирмы Stoe.
Рентгеноструктурный анализ монокристалла проведен на дифрактометре Siemens P4, снабженном плоскостным детектором SMART-CCD-1000, вращающимся анодом (MAC-Science Co) с MoK-излучением, графитным монохроматором и низкотемпературным устройством Siemens LT2 (Т=-120°С).
Следующие далее примеры иллюстрируют изобретение, не ограничивая объем притязаний. Особое предпочтение отдается условиям, которые используются в следующих далее примерах.
Примеры
Пример А
Перекристаллизация из N-метилпирролидона и воды
A.1. В 960 мл свободного от пероксидов N-метилпирролидона нагревают до 75°С 120 г прадофлоксацина. Этот раствор приливают через складчатый фильтр к 2880 мл воды, которая содержит затравки тригидрата прадофлоксацина. Без перемешивания дают температуре опуститься до комнатной и оставляют на один день при комнатной температуре. Твердое вещество отсасывают, два раза промывают 100 мл воды и сушат на воздухе.
Выход 115,73 г или 84,9% от теории.
А.2. В 90 мл свободного от пероксидов N-метилпирролидона нагревают до 75°С 20 г прадофлоксацина. После этого прибавляют 270 мл воды и нагревают далее до 100°С. Образовавшийся раствор выдерживают еще 15 минут при этой температуре, затем немного охлаждают и вносят затравки тригидрата прадофлоксацина. Оставляют на ночь для кристаллизации, твердое вещество отсасывают, два раза промывают небольшим количеством воды и сушат на воздухе.
Выход 20,44 г или 89,9% от теории.
Во всех случаях по данным рентгеновской дифракции на порошке получен тригидрат прадофлоксацина.
Пример Б
Нагревание в чистой воде
К указанному количеству воды прибавляют 5 г прадофлоксацина и 100 мг тригидрата прадофлоксацина и три часа нагревают при указанной температуре.
| Таблица 2 |
| Изменение модификации при нагревании в воде |
| Опыт |
Выход |
Количество воды |
Условия |
| Б.1 |
91% |
25 мл |
85°С |
| Б.2 |
93% |
50 мл |
85°С |
| Б.3 |
92% |
100 мл |
85°С |
Во всех случаях по данным рентгеновской дифракции на порошке получен тригидрат прадофлоксацина.
Пример В
Переосаждение из соли
| Таблица 3 |
| Переосаждение прадофлоксацина |
| Опыт |
Кислота |
Количество (ммолей) |
Выход в % |
Примечание |
| B.1 |
Серная кислота |
6 |
93,5 |
Осадок в кислой среде |
| В.2 |
Уксусная кислота |
6 |
92 |
 |
| В.3 |
Муравьиная кислота |
6 |
81,7 |
 |
| В.4 |
Серная кислота |
3 |
94,2 |
Осадок в кислой среде |
| В.5 |
Уксусная кислота |
6 |
89,8 |
Осаждают при 60°С и 2 часа выдерживают при этой температуре |
Указанное в каждом отдельном случае количество кислоты растворяют в 12 мл воды, прибавляют 2,4 г (6 ммолей) прадофлоксацина, 15 минут перемешивают и после этого нейтрализуют раствором концентрированного аммиака до рН 7,0. При появлении мути сразу прибавляют затравочные кристаллы тригидрата прадофлоксацина. Оставляют при перемешивании при комнатной температуре на ночь, затем отсасывают и сушат на воздухе.
Во всех случаях по данным рентгеновской дифракции на порошке получен тригидрат прадофлоксацина.
Формула изобретения
Тригидрат 8-циано-1-циклопропил-7-(1S,6S-2,8-диазабицикло-[4.3.0]нонан-8-ил)-6-фтор-1,4-дигидро-4-оксо-3-хинолинкарбоновой кислоты формулы (I)

РИСУНКИ
|
|