|
|
(21), (22) Заявка: 2006129341/04, 31.12.2004
(24) Дата начала отсчета срока действия патента:
31.12.2004
(30) Конвенционный приоритет:
15.01.2004 DE 102004002044.2
(43) Дата публикации заявки: 20.02.2008
(46) Опубликовано: 10.03.2010
(56) Список документов, цитированных в отчете о поиске:
WO 0147919 А, 05.07.2001. SU 4024095 A3, 23.09.1988.
(85) Дата перевода заявки PCT на национальную фазу:
15.08.2006
(86) Заявка PCT:
EP 2004/014870 20041231
(87) Публикация PCT:
WO 2005/068456 20050728
Адрес для переписки:
105064, Москва, а/я 88, НИИР Канцелярия “Патентные поверенные Квашнин, Сапельников и партнеры”, пат.пов. В.П.Квашнину, рег. 4
|
(72) Автор(ы):
БЕРВЕ Матиас (DE), ТОМАС Кристиан (DE), РЕЗЕ Йоахим (DE), ГРОТЙОХАНН Дирк (DE)
(73) Патентообладатель(и):
Байер Шеринг Фарма Акциенгезельшафт (DE)
|
(54) СПОСОБ ПОЛУЧЕНИЯ 5-ХЛОР-N-({(5S)-2-ОКСО-3-[4-(3-ОКСО-4-МОРФОЛИНИЛ)-ФЕНИЛ]-1, 3-ОКСАЗОЛИДИН-5-ИЛ}-МЕТИЛ)-2-ТИОФЕНКАРБОКСАМИДА
(57) Реферат:
Изобретение относится к способу получения 5-хлор-N-({(5S)-2-оксо-3-[4-(3-оксо-4-морфолинил)-фенил]-1,3-оксазолидин-5-ил}-метил)-2-тиофенкарбоксамида путем взаимодействия 4-{4-[(5S)-5-(аминометил)-2-оксо-1,3-оксазолидин-3-ил]-фенил}-морфолин-3-она-гидрохлорида с 5-хлортиофен-2-карбонил-хлоридом, отличающийся тем, что взаимодействие осуществляют в растворителе, выбранном из группы простого эфира, спирта, кетона и воды или в смеси из них с использованием неорганического основания. Технический результат – разработан упрощенный способ получения указанного тиофенкарбоксамида с отказом от токсических растворителей. 12 з.п. ф-лы.
Данное изобретение касается способа получения 5-хлор-N-({(5S)-2-оксо-3-[4-(3-оксо-4-морфолинил)-фенил]-1,3-оксазолидин-5-ил}-метил)-2-тиофенкарбоксамида исходя из 2-[(2S)-2-оксиранилметил]-1Н-изоиндол-1,3-(2Н)-диона, 4-(4-аминофенил)-3-морфолинона и 5-хлортиофен-2-карбонилхлорида.
Соединение 5-хлор-N-({(5S)-2-оксо-3-[4-(3-оксо-4-морфолинил)-фенил]-1,3-оксазолидин-5-ил}-метил)-2-тиофенкарбоксамид известно из Международной заявки 01/47919 и отвечает формуле (I)
.
Соединение формулы (I) действует как ингибитор фактора свертывания крови Ха и может использоваться в качестве средства для профилактики и/или лечения тромбоэмболических заболеваний, в частности инфаркта миокарда, стенокардии (включая нестабильную стенокардию), повторных окклюзий и рестенозов после ангиопластики или аортокоронарного шунтирования, кровоизлияния в мозг, транзиторных ишемических приступов, периферических артериальных облитерирующих заболеваний, эмболии легочной артерии или глубоких венозных тромбозов.
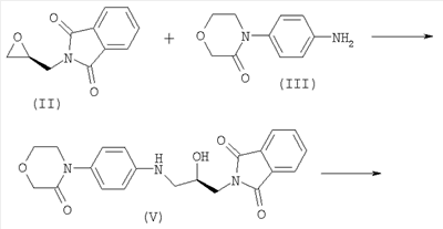
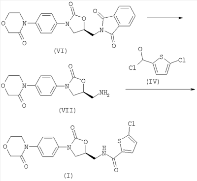
В Международной заявке 01/47919 описан также метод получения соединения формулы (I) в граммовых количествах исходя из таких же исходных соединений: 2-[(2S)-2-оксиранилметил]-1Н-изоиндол-1,3-(2Н)-диона (II), 4-(4-аминофенил)-3-морфолинона (III) и 5-хлортиофен-2-карбонилхлорида (IV):


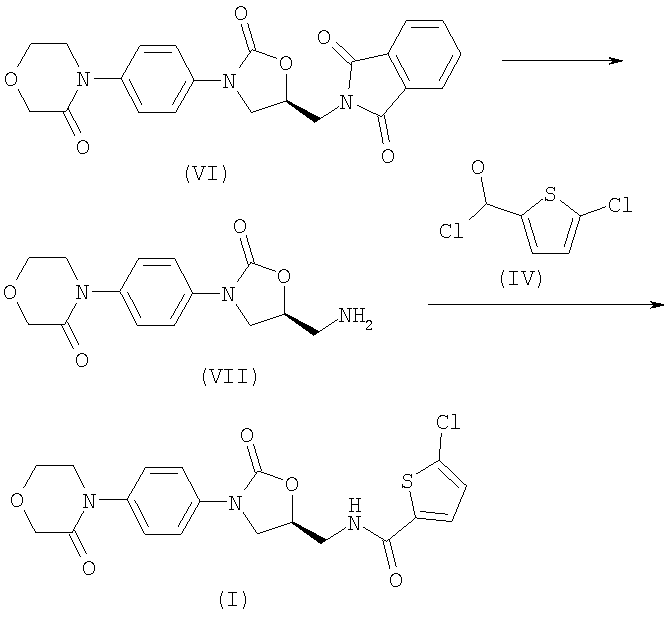
При этом взаимодействием 2-[(28)-2-оксиранилметил]-1Н-изоиндол-1,3-(2Н)-диона (II) с 4-(4-аминофенил)-3-мофолиноном (III) получают 2-((2R)-2-гидрокси-3-{[4-(3-оксо-4-морфолинил)фенил]амино} пропил)-1Н-изоиндол-1,3(2Н)-дион (V). Затем действием эквивалента фосгена превращают (V) в 2-({(5S)-2-оксо-3-[4-(3-оксо-4-морфолинил)фенил]-1,3-оксазолидин-5-ил}метил)-1Н-изоиндол-1,3(2Н)-дион (VI). Отщепление фталимидной защитной группы приводит к образованию 4-{4-[(5S)-5-(аминометил)-2-оксо-1,3-оксазолидин-3-ил]фенил}-морфолин-3-она (VII), взаимодействием которого в заключение с 5-хлор-тиофен-2-карбонилхлоридом (IV) получают 5-хлор-N-({(5S)-2-оксо-3-[4-(3-оксо-4-морфолинил)-фенил]-1,3-оксазолидин-5-ил}-метил)-2-тиофенкарбоксамид (I).
Однако этот способ, известный из Международной заявки 01/47919, имеет различные недостатки в проведении реакции, которые особенно неблагоприятно сказываются при получении соединения формулы (I) в промышленном масштабе.
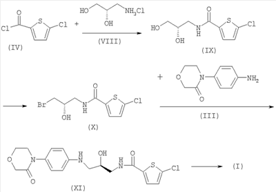
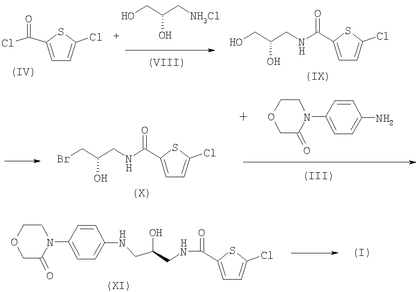
В патенте ФРГ 10300111.5 сообщается об альтернативном способе синтеза соединения формулы (I) исходя из 5-хлортиофен-2-карбонилхлорида (IV), гидрохлорида (2S)-3-аминопропан-1,2-диола (VIII) и 4-(4-аминофенил)-3-мофолинона (III):

При этом 5-хлортиофен-2-карбонилхлорид (IV) реакцией с гидрохлоридом (2S)-3-аминопропан-1,2-диола (VIII) превращают в ((S)-2,3-дигидроксипропил)-амид 5-хлортиофен-2-карбоновой кислоты (IX). Затем (IX) превращают в ((S)-3-бром-2-гидроксипропил)-амид 5-хлортиофен-2-карбоновой кислоты (X), из которого далее взаимодействием с 4-(4-аминофенил)-3-морфолиноном (III) синтезируют {(R)-2-гидрокси-3-[4-(3-оксоморфолин-4-ил)-фениламино]-пропил}-амид 5-хлортиофен-2-карбоновой кислоты (XI). В заключение (XI) реакцией с фосгеном или эквивалентом фосгена превращают в 5-хлор-N-({(5S)-2-оксо-3-[4-(3-оксо-4-морфолинил)фенил]-1,3-оксазолидин-5-ил}-метил)-2-тиофен-карбоксамид (I).
Этот альтернативный синтез позволяет осуществлять способ в промышленном масштабе, однако частично используют токсичные растворители или реагенты.
Это является само по себе недостатком, кроме этого, эти токсичные вещества следует удалять из конечного продукта (I) до уровня ниже допустимого в каждом случае, что означает дополнительные затраты.
Отсюда вытекает задача данного изобретения – разработать упрощенный способ получения соединения (I) в промышленном масштабе с отказом от токсических растворителей или реагентов, особенно на последних стадиях процесса.
В настоящее время неожиданно было найдено, что соединение формулы (I) можно получать даже в повышенных количествах с высокими выходом и чистотой путем модификации некоторых реакционных параметров синтеза, известного из Международной заявки 01/47919.
Таким образом, объектом данного изобретения является способ получения 5-хлор-N-({(5S)-2-оксо-3-[4-(3-оксо-4-морфолинил)-фенил]-1,3-оксазолидин-5-ил}-метил)-2-тиофенкарбоксамида формулы (I) путем взаимодействия 4-{4-[(5S)-5-(аминометил)-2-оксо-1,3-оксазолидин-3-ил]фенил}-морфолин-3-она (VII) гидрохлорида с 5-хлортиофен-2-карбонилхлоридом (IV), отличающийся тем, что превращение осуществляют в растворителе, выбранном из группы: простой эфир, спирт, кетон и вода, или в их смеси с использованием неорганического основания.
В качестве пригодных растворителей следует, например, и предпочтительно, назвать: простые эфиры, такие как тетрагидрофуран, диоксан, диизопропиловый или метил-трет-бутиловый эфиры; спирты, такие как метанол, этанол, изопропанол, н-пропанол, н-бутанол, изобутанол, втор-бутанол или трет-бутанол; кетоны, такие как метилэтилкетон, метил-изобутилкетон или ацетон, либо вода или смеси из двух или более приведенных растворителей.
Особенно предпочтительными в качестве растворителей являются кетоны или смеси кетонов с водой, в частности ацетон или предпочтительно смеси ацетона с водой.
В качестве пригодных неорганических оснований следует, например, и предпочтительно, назвать: гидроксиды щелочных (например, натрий и калий) и щелочно-земельных (например, кальций и магний) металлов, карбонаты или гидрокарбонаты щелочных и щелочно-земельных металлов.
Особенно предпочтительными в качестве неорганических оснований являются гидроксид, карбонат или гидрокарбонат натрия, в частности карбонат натрия.
Взаимодействие аминометилоксазолидинона (VII) гидрохлорида с хлорангидридом хлортиофенкарбоновой кислоты (IV) предпочтительно осуществляют в смеси ацетон/вода в качестве растворителя с использованием карбоната натрия в качестве основания.
При этом соотношение ацетон/вода может варьироваться в широких пределах, предпочтительно оно составляет 0,5 до 1,5 (объемное соотношение), в частности 0,9 до 1,1 (объемное соотношение).
Таким образом, можно, во-первых, отказаться от канцерогенного пиридина, который используют в качестве растворителя и основания в способе, описанном в Международной заявке 01/47919. Кроме того, согласно изобретению избегают технически дорогостоящей хроматографической очистки продукта (I).
При осуществлении способа согласно изобретению предпочтительно загружают водный раствор карбоната натрия, в который сначала вносят ацетон, потом – аминометилоксазолидинон (VII) гидрохлорид и затем – хлорангидрид хлортиофенкарбоновой кислоты (IV). Добавление реагентов предпочтительно происходит при температуре между 0 и 20°С, в частности между 10 и 15°С. После произведенной добавки реакционную смесь затем дополнительно перемешивают при температуре между 40 и 55°С, предпочтительно при температуре около 50°С. После охлаждения до комнатной температуры продукт можно затем выделять простым способом путем фильтрации.
В предпочтительной форме осуществления данного изобретения сырой продукт соединения формулы (I), полученный при описанной выше фильтрации, на последующей стадии перекристаллизовывают из уксусной кислоты для дополнительной очистки.
Как уже показано также в Международной заявке 01/47919, получение аминометилоксазолидинона (VII) происходит путем отщепления от оксазолидинонметилфталимида (VI) фталимидной защитной группы метиламином в этаноле в качестве растворителя. Однако после осуществленного превращения, в отличие от описанного в Международной заявке 01/47919, к реакционной смеси при повышенной температуре подают еще водную соляную кислоту до рН между 1 и 4, предпочтительно между 2 и 3. Добавление происходит при повышенной температуре, предпочтительно при температуре между 50 и 60°С. Таким образом, аминометилоксазолидинон (VII) выделяют простым способом, в чистом виде, в форме гидрохлорида, который при этом выпадает в виде кристаллов и хорошо фильтруется.
Способ согласно Международной заявке 01/47919, при котором полученный после концентрирования реакционной смеси сырой продукт, аминометилоксазолидинон (VII), непосредственно используют в дальнейшей реакции с хлорангидридом хлортиофенкарбоновой кислоты (IV), имеет, напротив, тот недостаток, что побочные продукты этой реакции, которые содержатся в неочищенном продукте аминометилоксазолидинона (VII), мешают последующему получению конечного продукта (I) и дополнительно его загрязняют.В противоположность этому, использование выделенного, согласно изобретению, в виде гидрохлорида в чистом виде аминометилоксазолидинона (VII) в следующем взаимодействии с хлорангидридом хлортиофенкарбоновой кислоты (IV) делает возможным усовершенствованное проведение реакции, причем избегают нежелательных побочных реакций и получают чистый продукт, избегая таким образом дорогостоящей хроматографической очистки.
Получение оксазолидинонметилфталимида (VI) осуществляют, как также уже показано в Международной заявке 01/47919, путем циклизации гидроксиамино-соединения (V) с эквивалентом фосгена, например, и предпочтительно, с N,N-карбонилдиимидазолом. Но в отличие от описанных в Международной заявке 01/47919 условий реакции, вместо присутствия диметиламинопиридина в качестве катализатора и тетрагидрофурана в качестве растворителя, согласно изобретению, превращение осуществляют без катализатора в N-метил-пирролидоне или толуоле, предпочтительно в толуоле в качестве растворителя. Благодаря этому также возможно образующийся оксазолидинонметилфталимид (VI) выделять простой фильтрацией вместо дорогостоящей хроматографической очистки.
Получение гидроксиамина (V) происходит, как уже описано в Международной заявке 01/47919, путем взаимодействия (S)-эпоксифталимида (II) с анилино-морфолиноном (III) в водном этаноле в качестве растворителя при температуре реакции 60°С. В отличие от Международной заявки 01/47919, где соотношение этанол/вода (объемное соотношение) составляет 9:1, согласно изобретению, оно составляет 1:1 до 1:3, предпочтительно 1:2 (объемное соотношение), и более нет необходимости в дополнительной дозированной подаче исходного продукта (II). Вместо этого реакционную смесь перемешивают в течение периода времени между 24 и 48 часами, предпочтительно около 36 часов, при температуре между 55 и 65°С.
В предпочтительной форме осуществления данного изобретения после протекания реакции в течение 1-2 часов реакционную смесь смешивают с затравочными кристаллами продукта реакции (V) таким образом, что продукт реакции начинает выкристаллизовываться.
В особенно предпочтительной форме осуществления данного изобретения реакционную смесь к окончанию времени реакции нагревают при кипении, при этом суспензия продолжает сохраняться, и затем снова охлаждают до температуры реакции между 55 и 65°С.
Это нагревание при кипении, при необходимости, повторяют, предпочтительно нагревают, в общей сложности, дважды.
Синтез исходного соединения, (S)-эпоксифталимида (II), описан, например, в [A.Gutcait и др. Tetrahedron Asym. 1996, 7, 1641]. Кроме того, вещество является товарным продуктом, например, фирмы Daiso Ltd., Япония.
Синтез исходного соединения, анилиноморфолинона (III), подробно описан, например, в Международной заявке 01/47919, стр.55-57 или в патенте ФРГ 10342570.5.
Отдельные стадии способа согласно изобретению можно осуществлять при нормальном, повышенном или при пониженном давлении (например, от 0,5 до 5 бар). Если ничего другого не указано, работают обычно при нормальном давлении.
Изобретение более подробно поясняют ниже с помощью предпочтительного примера осуществления, которым оно, однако, не ограничивается. Если не указано ничего другого, все количественные данные относятся к массовым процентам.
Синтез 5-хлор-N-({(5S)-2-оксо-3-[4-(3-оксо-4-морфолинил)-фенил]-1,3-оксазолидин-5-ил}-метил)-2-тиофенкарбоксамида (I)
а) 2-((2R)-2-гидрокси-3-{[4-(3-оксо-4-морфолинил)фенил]амино}пропил)-1Н-изоиндол-1,3(2Н)-дион (V)
При 20°С смешивают 1173 г 2-[(2S)-2-оксиранилметил]-1Н-изоиндол-1,3-(2Н)-диона (II) и 4-(4-аминофенил)-3-морфолинона (III) с 6,7 л воды и 14,1 л этанола. Суспензию нагревают до 58-60°С и образующийся раствор продолжают перемешивать 36 часов. Через 2 часа реакционную смесь смешивают с 5 г кристаллического 2-((2R)-2-гидрокси-3-{[4-(3-оксо-4-морфолинил)фенил]амино}-пропил)-1Н-изоиндол-1,3(2Н)-диона (V), после чего начинается кристаллизация продукта. После охлаждения до 26°С выпавший продукт реакции отсасывают, промывают этанолом и затем сушат. Выход 1522 г (81,4% от теории). Т.пл. 215°С.
б) 2-({(5S)-2-оксо-3-[4-(3-оксо-4-морфолинил)фенил]-1,3-оксазолидин-5-ил}-метил)-1Н-изоиндол-1,3(2Н)-дион (VI)
Суспендируют 2641 г 2-((2R)-2-гидрокси-3-{[4-(3-оксо-4-морфолинил)фенил]-амино}-пропил)-1Н-изоиндол-1,3(2Н)-диона (V) в 22 л толуола и при 19°С смешивают с 1300 г N,N-карбонилдиимидазола. После этого реакционную смесь нагревают 1 час при кипении и затем при 60°С смешивают с 4,5 л этанола. После охлаждения до 25-30°С выпавший продукт реакции отсасывают, промывают этанолом и затем сушат. Выход 2756 г (97,9% от теории). Т.пл. 220,5°С.
в) 4-{4-[(5S)-5-(Аминометил)-2-оксо-1,3-оксазолидин-3-ил]фенил}-морфолин-3-он (VII)
Суспендируют 1360 г 2-({(5S)-2-оксо-3-[4-(3-оксо-4-морфолинил)фенил]-1,3-оксазолидин-5-ил}-метил)-1Н-изо-индол-1,3(2Н)-дион (VI) при 22°С в 10,2 л этанола и смешивают с 1103 г раствора метиламина (40%-ный раствор в воде). Затем реакционную смесь нагревают до 60-63°С и образующийся раствор перемешивают 2 часа при этой температуре. После охлаждения до 55-60°С смешивают, в общей сложности, с 2348 г раствора соляной кислоты (20%-ный раствор в воде) до рН 2,7, после чего начинается кристаллизация продукта. После охлаждения до 20°С выпавший продукт реакции отсасывают, промывают метанолом и затем сушат. Выход 875 г (82,7% от теории). Т.пл.: разложение при температуре выше 280°С.
1Н-ЯМР (300 МГц, d6-диметилсульфоксид): =3.25 (м., 2Н), 3.72 (м., 2Н), 3.98 (м., 3Н), 4.42 (м., 3Н), 4.97 (м., 1Н), 7.42 (д., 2Н, J=9.0 Гц), 7.57 (д., 2Н, J=9.0 Гц), 8.44 (с.(ш.), 3Н).
г) 5-хлор-N-({(5S)-2-оксо-3-[4-(3-оксо-4 -морфолинил)-фенил]-1,3-оксазолидин-5-ил}-метил)-2- тиофенкарбоксамид (I)
1. Стадия: 5-хлортиофен-2-карбонилхлорид (IV)
Суспендируют 3,00 кг 5-хлортиофен-2-карбоновой кислоты (товарный продукт) в 8,48 кг толуола и нагревают до 75-80°С. При этой температуре прибавляют по каплям в течение 85 минут 2,63 кг тионилхлорида, после чего перемешивают 30 минут при 75-80°С и затем – при температуре кипения до окончания выделения газа. После охлаждения реакционную смесь при пониженном давлении и постепенно возрастающей внутри температуре (максимально до 60°С) освобождают дистилляцией от избыточного тионилхлорида и толуола до образования приблизительно 30%-ного раствора хлорангидрида кислоты в толуоле.
2. Стадия: 5-хлор-N-({(5S)-2-оксо-3-[4-(3-оксо-4-морфолинил)-фенил]-1,3-оксазолидин-5-ил}-метил)-2-тиофенкарбоксамид (I) – сырой продукт
К раствору 464 г карбоната натрия в 5,95 л воды прибавляют постепенно при 10°С 1160 г 4-{4-[(5S)-5-(аминометил)-2-оксо-1,3-оксазолидин-3-ил]фенил}-морфолин-3-она (VII) гидрохлорида, 350 мл воды и 2,7 л ацетона. При 8-12°С прибавляют 2535 г 5-хлортиофен-2-карбонилхлорида (IV) (30%-ный раствор в толуоле) и дополнительные 517 мл ацетона. Затем реакционную массу нагревают до 50°С, смешивают с 2700 мл ацетона и продолжают перемешивать еще 30 минут при 50-53°С. После охлаждения до 26°С выпавший продукт реакции отсасывают и промывают водой и ацетоном. Выход 1998 г содержащего растворитель сырого продукта. Определена остаточная влажность, составляющая 24,3%, что соответствует рассчитанной сухой массе 1505 г или 98,7% от теории.
3. Стадия: 5-Хлор-N-({(5S)-2-оксо-3-[4-(3-оксо-4-морфолинил)-фенил]-1,3-оксазолидин-5-ил}-метил)-2-тиофенкарбоксамид (I) – перекристаллизация
Суспендируют 2120 г сырого продукта, содержащего растворитель (остаточная влажность 9,4%), в 12 кг уксусной кислоты и нагревают до 110-115°C. Образующийся раствор перемешивают 2 часа при этой температуре и затем, после осветления, охлаждают до 20°С. Выпавший продукт отсасывают, промывают уксусной кислотой и водой и затем сушат. Выход 1818 г (94,7% от теории), (считая на сухую массу сырого продукта. Т.пл. 230°С.
Формула изобретения
1. Способ получения 5-хлор-N-({(5S)-2-оксо-3-[4-(3-оксо-4-морфолинил)-фенил]-1,3-оксазолидин-5-ил}-метил)-2-тиофенкарбоксамида путем взаимодействия 4-{4-[(5S)-5-(аминометил)-2-оксо-1,3-оксазолидин-3-ил]-фенил}-морфолин-3-она-гидрохлорида с 5-хлортиофен-2-карбонил-хлоридом, отличающийся тем, что взаимодействие осуществляют в растворителе, выбранном из группы простого эфира, спирта, кетона и воды или в смеси из них с использованием неорганического основания.
2. Способ по п.1, отличающийся тем, что взаимодействие осуществляют в кетоне или смеси кетона и воды в качестве растворителя.
3. Способ по п.1, отличающийся тем, что взаимодействие осуществляют с гидроксидом, карбонатом или гидрокарбонатом натрия в качестве неорганического основания.
4. Способ по п.1, отличающийся тем, что взаимодействие осуществляют в смеси ацетон-вода в качестве растворителя с использованием в качестве основания карбоната натрия.
5. Способ по п.1, отличающийся тем, что в качестве основания используют водный раствор карбоната натрия, к которому прибавляют реагенты при температуре между 10 и 15°С, после чего реакционную смесь перемешивают при 50°С.
6. Способ по п.1, отличающийся тем, что полученный сырой 5-хлор-N-({(5S)-2-оксо-3-[4-(3-оксо-4-морфолинил)-фенил]-1,3-оксазолидин-5-ил}-метил)-2-тиофенкарбоксамид на последующей стадии перекристаллизовывают из уксусной кислоты.
7. Способ по одному из пп.1-6, отличающийся тем, что 4-{4-[(5S)-5-(аминометил)-2-оксо-1,3-оксазолидин-3-ил]-фенил}-морфолин-3-он-гидрохлорид получают отщеплением фталимидной защитной группы от оксазолидинонметилфталимида формулы (VI)
 метиламином в этаноле в качестве растворителя с получением 4-{4-[(5S)-5-(аминометил)-2-оксо-1,3-оксазолидин-3-ил]-фенил}-морфолин-3-она и с последующим его переводом в гидрохлорид и выделением.
8. Способ по п.7, отличающийся тем, что после произведенного превращения оксазолидинонметилфталимида (VI) с метиламином к реакционной смеси прибавляют водную соляную кислоту при температуре между 50 и 60°С до рН между 2 и 3.
9. Способ по п.7, в котором оксазолидинонметилфталимид (VI) получают циклизацией гидроксиаминосоединения (V)
 с эквивалентом фосгена, отличающийся тем, что реакцию осуществляют в толуоле в качестве растворителя.
10. Способ по п.9, отличающийся тем, что оксазолидинонметилфталимид (VI) выделяют фильтрацией.
11. Способ по п.9, в котором гидроксиаминосоединение (V) получают взаимодействием (S)-эпоксифталимида формулы (II)
 с анилиноморфолиноном (III)
 в водном этаноле в качестве растворителя, отличающийся тем, что соотношение этанол/вода составляет 1:2.
12. Способ по п.11, отличающийся тем, что через 1-2 ч протекания реакции реакционную смесь смешивают с затравочными кристаллами гидроксиаминосоединения (V).
13. Способ по п.12, отличающийся тем, что реакционную смесь к концу времени реакции дважды нагревают с обратным холодильником, после чего в каждом случае снова охлаждают до реакционной температуры между 55 и 65°С.
|
|