Патент на изобретение №2383536
|
||||||||||||||||||||||||||
(54) ПРОИЗВОДНОЕ ТРИАЗОЛА
(57) Реферат:
Описываются новые производные триазола общей формулы (I)
где значения радикалов приведены в формуле изобретения, фармацевтическая композиция, их содержащая, и способ лечения аутоиммунных заболеваний. Соединения общей формулы (I) и их фармацевтически приемлемые соли обладают эффектом ингибирования связывания S1P и его рецептора Edg-1 (S1P1) и являются пригодными в качестве фармацевтического продукта. 7 н. и 36 з.п. ф-лы, 1 табл.
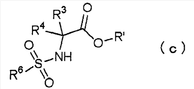
Область техники, к которой относится изобретение Данное изобретение относится к новым производным триазола, обладающим эффектом ингибирования связывания сфингозин-1-фосфата, осуществляющего различные физиологические функции, и Edg-1 (эндотелиального рецептора гена дифференциации типа-1, S1P1), который является одним из его рецепторов, и фармацевтическим продуктам, содержащим их в качестве активных ингредиентов. Уровень техники Сфингозин-1-фосфат (в последующем называемый S1P) представляет собой физиологически активный липид, который продуцируется в клетках при метаболизме сфинголипидов, представителем которых является сфингомиелин. Известно, что S1P обладает широким рядом активностей, включая индуцирующее действие на клеточную дифференциацию, стимулирующее действие на рост клеток, регуляцию клеточной подвижности и антиапоптозное действие, и проявляет физиологическое действие, такое как ангиогенез, индукция брадикардии, активация воспалительных клеток и активация тромбоцитов (непатентный документ 1). Сообщается о 5 подтипах, Edg-1 (S1P1), Edg-3 (S1P3), Edg-5 (S1P2), Edg-6 (S1P4) и Edg-8 (S1P5), в качестве рецепторов S1P (непатентный документ 2). Один из них, Edg-1 (S1P1), экспрессируется в больших количествах в иммунных клетках, таких как Т-клетки и дендриты, и сосудистых эндотелиальных клетках, и предполагается, что он вносит свой активный вклад в связанную с S1P миграцию Т-клеток (непатентный документ 3), миграцию тучных клеток (непатентный документ 4), эмиграцию Т-клеток и В-клеток из органов лимфатической системы (непатентный документ 5) и ангиогенез (непатентный документ 6), и вовлечен в аутоиммунные заболевания, такие как болезнь Крона, синдром раздражаемого кишечника, синдром Шегрена, рассеянный склероз и системная красная волчанка, и заболевания, такие как ревматоидный артрит, астма, атопический дерматит, реакция отторжения после трансплантации органа, злокачественное заболевание, ретинопатия, псориаз, остеоартроз и возрастная дегенерация желтого пятна сетчатки. Таким образом, лиганды Edg-1 (S1P1) рассматриваются в качестве эффективных для лечения или профилактики данных заболеваний. До сих пор сообщалось, что некоторые типы производных тиофена (непатентный документ 7), производные сложных фосфатных эфиров (патентный документ 1, патентный документ 2, непатентный документ 8) и производные тиазолидина (патентный документ 3) являются лигандами Edg-1 (S1P1). Однако не известны ингибиторы, имеющие структуру, близкую к структуре соединения по настоящему изобретению. Соединения, аналогичные по структуре соединению по настоящему изобретению, поставляются на рынок в качестве реагентов компанией Bionet, но их фармацевтические применения являются полностью неизвестными. Патентный документ 1: WO 02/18395. Патентный документ 2: публикация не проходившей экспертизу заявки на патент Японии No. 2003-137894. Патентный документ 3: публикация не проходившей экспертизу заявки на патент Японии No. 2002-332278. Непатентный документ 1: J. Biol. Chem., 2004, 279: 20555, FASEB J. 2002, 16: 625, Proceedings of Japanese Society of Immunology 2003, 33: 2-J-W30-20-P. Непатентный документ 2: Pharmacol. Res. 2003, 47: 401. Непатентный документ 3: FASEB J. 2002, 16: 1874. Непатентный документ 4: J. Exp. Med. 2004, 199: 959. Непатентный документ 5: Nature 2004, 427: 355. Непатентный документ 6: J. Clin. Inves. 2000, 106: 951, Biochim. Biophys. Acta 2002, 1582: 222. Непатентный документ 7: J. Biol. Chem. 2004, 279: 13839. Непатентный документ 8: Bioorg. Med. Chem. Lett. 2003, 13: 3401. Подробное описание изобретения Задачи, решаемые изобретением Целью настоящего изобретения является обеспечение соединения, которое обладает свойством ингибировать связывание S1P и его рецептора Edg-1 (S1P1) и является полезным в качестве фармацевтического продукта. Средства решения проблем Авторы изобретения провели тщательное исследование с попыткой изыскать соединения-лиганды для Edg-1 (S1P1). В результате было обнаружено, что с помощью некоторых типов производных триазола или их фармацевтически приемлемых солей можно достичь данной цели. Установление данного факта привело к осуществлению настоящего изобретения. То есть настоящее изобретение представляет собой соединение, имеющее формулу (I), приведенную ниже, или его фармацевтически приемлемую соль {где А представляет атом серы, атом кислорода, группу, имеющую формулу -SO-, или группу, имеющую формулу -SO2-, R1 представляет атом водорода, алкил, содержащий 1-16 атомов углерода, алкенил, содержащий 2-8 атомов углерода, алкинил, содержащий 2-8 атомов углерода, [алкил, содержащий 1-6 атомов углерода, который замещен фенилом, «фенилом, замещенным 1-5 группами, выбранными из фенила, циано, атома галогена, алкила, содержащего 1-6 атомов углерода, трифторметила, метоксикарбонила, алкилтио, содержащего 1-6 атомов углерода, диметиламино, нитро и ацетамидо», циклоалкилом, содержащим 3-8 атомов углерода, гидроксилом, алкилтио, содержащим 1-6 атомов углерода, алкокси, содержащим 1-6 атомов углерода, бензилокси, фенокси, трифторметилом, дифторметилом, бензолсульфонилом, нафтилом, трициклоалкилом, содержащим 7-10 атомов углерода, карбометокси(фенил)метилом, дифенилметилом, 1-фенилэтилом, имидазолилом, индолилом, пиридилом, оксетанилом, оксоранилом, метилпиперидинилом, бензилпиперидинилом, морфолино, 2-оксопирролидин-1-илом, 2-оксоимидазолидин-1-илом, группой, имеющей формулу -CO2R11, где R11 представляет атом водорода или алкил, содержащий 1-6 атомов углерода, группой, имеющей формулу
где R12 и R13 каждый представляет атом водорода или алкил, содержащий 1-6 атомов углерода, группой, имеющей формулу
где R14 и R15 каждый представляет атом водорода, алкил, содержащий 1-6 атомов углерода, фенил или 4-пиридилкарбонил, или группой, имеющей формулу -COR16, где R16 представляет алкил, содержащий 1-6 атомов углерода или фенил], алкенил, содержащий 2-8 атомов углерода, который замещен фенилом или бензилокси, алкинил, содержащий 2-8 атомов углерода, который замещен фенилом, циклоалкил, содержащий 3-8 атомов углерода, циклоалкил, содержащий 3-8 атомов углерода, конденсированный с бензольным кольцом, оксоранил, метилпиперидинил или группу, имеющую формулу
R2 представляет алкил, содержащий 1-6 атомов углерода, циклоалкил, содержащий 3-8 атомов углерода, фенил или [алкил, содержащий 1-6 атомов углерода, который замещен фенилом, алкокси, содержащий 1-6 атомов углерода, морфолино, пиперидино, группой, имеющую формулу где R21 представляет атом водорода или алкил, содержащий 1-6 атомов углерода, или группой, имеющей формулу
где R22 и R23 каждый представляет атом водорода или алкил, содержащий 1-6 атомов углерода], R3 представляет атом водорода или алкил, содержащий 1-6 атомов углерода, R4 представляет атом водорода, алкил, содержащий 1-6 атомов углерода, бензил, замещенный бензил, фенетил, «алкил, содержащий 1-6 атомов углерода, который замещен алкоксигруппой, содержащей 1-6 атомов углерода, атомом галогена или гидроксилом» или фенил, или R3 и R4 вместе образуют 3- до 6-членное насыщенное углеводородное кольцо, R5 представляет атом водорода или алкил, содержащий 1-6 атомов углерода, и Y представляет группу, имеющую формулу
где R6 представляет алкил, содержащий 1-10 атомов углерода, алкенил, содержащий 2-8 атомов углерода, «алкил, содержащий 1-10 атомов углерода, который замещен 1-5 группами, выбранными из фенила, замещенного фенила, циклоалкила, содержащего 3-8 атомов углерода, атома галогена, нафтила, гетероциклической группы и замещенной гетероциклической группы», «алкенил, содержащий 2-8 атомов углерода, который замещен 1-5 группами, выбранными из фенила, замещенного фенила, циклоалкила, содержащего 3-8 атомов углерода, атома галогена, нафтила, гетероциклической группы и замещенной гетероциклической группы», фенил, замещенный фенил, нафтил, нафтил, замещенный диметиламино, гетероциклическую группу или замещенную гетероциклическую группу, за исключением [соединения, где А представляет атом кислорода и R1 является атомом водорода], [соединения, где А представляет атом серы и R1 является атомом водорода], [соединения, где А представляет атом серы и R3 и R4 каждый одновременно является атомом водорода], [соединения, где А представляет атом серы и R2 является фенилом], [соединения, где А представляет атом серы, R2 является этилом, R3 и R5 каждый представляет атом водорода, R4 является бензилом, R6 представляет 4-фторфенил и R1 представляет 3-метоксибензил], [соединения, где А представляет атом серы, R2 является этилом, R3 и R5 каждый представляет атом водорода, R4 является бензилом, R6 представляет 4-фторфенил и R1 представляет 3-фторбензил], [соединения, где А представляет атом серы, R2 является этилом, R3 и R5 каждый представляет атом водорода, R4 является бензилом, R6 представляет 4-фторфенил и R1 представляет 2-пропенил], [соединения, где А представляет атом серы, R2 является этилом, R3 и R5 каждый представляет атом водорода, R4 является бензилом, R6 представляет 4-фторфенил и R1 представляет 4-трет-бутилбензил], [соединения, где А представляет атом серы, R2 является этилом, R3 и R5 каждый представляет атом водорода, R4 является бензилом, R6 представляет 4-фторфенил и R1 представляет метил], [соединения, где А представляет атом серы, R2 является этилом, R3 и R5 каждый представляет атом водорода, R4 является метилом, R6 представляет 4-хлорфенил и R1 представляет метил], [соединения, где А представляет атом серы, R2 является этилом, R3 и R5 каждый представляет атом водорода, R4 является метилом, R6 представляет 4-хлорфенил и R1 представляет 2-пропенил], [соединения, где А представляет атом серы, R2 является этилом, R3 и R5 каждый представляет атом водорода, R4 является метилом, R6 представляет 4-хлорфенил и R1 представляет 4-метоксибензил], [соединения, где А представляет атом серы, R2 является этилом, R3 и R5 каждый представляет атом водорода, R4 является метилом, R6 представляет 4-хлорфенил и R1 представляет 4-трет-бутилбензил], [соединения, где А представляет атом серы, R2 является этилом, R3 и R5 каждый представляет атом водорода, R4 является метилом, R6 представляет 4-хлорфенил и R1 представляет 3,4-дихлорбензил], [соединения, где А представляет атом серы, R2 является этилом, R3 и R5 каждый представляет атом водорода, R4 является метилом, R6 представляет 4-хлорфенил и R1 представляет 2-хлорбензил], [соединения, где А представляет атом серы, R2 является этилом, R3 и R5 каждый представляет атом водорода, R4 является метилом, R6 представляет 4-хлорфенил и R1 представляет 3-фторбензил], [соединения, где А представляет атом серы, R2 является метилом, R3 и R5 каждый представляет атом водорода, R4 является бензилом, R6 представляет 4-хлорфенил и R1 представляет 2-метил-2-пропенил], [соединения, где А представляет атом серы, R2 является метилом, R3 и R5 каждый представляет атом водорода, R4 является бензилом, R6 представляет 4-хлорфенил и R1 представляет 2-пропенил], [соединения, где А представляет атом серы, R2 является метилом, R3 и R5 каждый представляет атом водорода, R4 является бензилом, R6 представляет 4-хлорфенил и R1 представляет метоксикарбонилметил], [соединения, где А представляет атом серы, R2 является метилом, R3 и R5 каждый представляет атом водорода, R4 является бензилом, R6 представляет 4-хлорфенил и R1 представляет 4-трифторметилбензил], [соединения, где А представляет атом серы, R2 является метилом, R3 и R5 каждый представляет атом водорода, R4 является бензилом, R6 представляет 4-хлорфенил и R1 представляет 3,4-дихлорбензил], [соединения, где А представляет атом серы, R2 является метилом, R3 и R5 каждый представляет атом водорода, R4 является бензилом, R6 представляет 4-хлорфенил и R1 представляет 4-бромбензил] и [соединения, где А представляет атом серы, R2 является этилом, R3 и R5 каждый представляет атом водорода, R4 является бензилом, R6 представляет 4-фторфенил и R1 представляет 4-метилбензил]}. Другой аспект настоящего изобретения представляет фармацевтический продукт, содержащий соединение, имеющее формулу (I), представленную ниже, или его фармацевтически приемлемую соль в качестве активного ингредиента: {где А представляет атом серы, атом кислорода, группу, имеющую формулу -SO-, или группу, имеющую формулу -SO2-, R1 представляет атом водорода, алкил, содержащий 1-16 атомов углерода, алкенил, содержащий 2-8 атомов углерода, алкинил, содержащий 2-8 атомов углерода, [алкил, содержащий 1-6 атомов углерода, который замещен фенилом, «фенилом, замещенным 1-5 группами, выбранными из фенила, циано, атома галогена, алкила, содержащего 1-6 атомов углерода, трифторметила, метоксикарбонила, алкилтио, содержащего 1-6 атомов углерода, диметиламино, нитро и ацетамидо», циклоалкилом, содержащим 3-8 атомов углерода, гидроксилом, алкилтио, содержащим 1-6 атомов углерода, алкокси, содержащим 1-6 атомов углерода, бензилокси, фенокси, трифторметилом, дифторметилом, бензолсульфонилом, нафтилом, трициклоалкилом, содержащим 7-10 атомов углерода, карбометокси(фенил)метилом, дифенилметилом, 1-фенилэтилом, имидазолилом, индолилом, пиридилом, оксетанилом, оксоранилом, метилпиперидинилом, бензилпиперидинилом, морфолино, 2-оксопирролидин-1-илом, 2-оксоимидазолидин-1-илом, группой, имеющей формулу -CO2R11, где R11 представляет атом водорода или алкил, содержащий 1-6 атомов углерода, группой, имеющей формулу
где R12 и R13 каждый представляет атом водорода или алкил, содержащий 1-6 атомов углерода, группой, имеющей формулу
где R14 и R15 каждый представляет атом водорода, алкил, содержащий 1-6 атомов углерода, фенил или 4-пиридилкарбонил, или группой, имеющей формулу -COR16, где R16 представляет алкил, содержащий 1-6 атомов углерода или фенил], алкенил, содержащий 2-8 атомов углерода, который замещен фенилом или бензилокси, алкинил, содержащий 2-8 атомов углерода, который замещен фенилом, циклоалкил, содержащий 3-8 атомов углерода, циклоалкил, содержащий 3-8 атомов углерода, конденсированный с бензольным кольцом, оксоранил, метилпиперидинил или группу, имеющую формулу
R2 представляет алкил, содержащий 1-6 атомов углерода, циклоалкил, содержащий 3-8 атомов углерода, фенил или [алкил, содержащий 1-6 атомов углерода, который замещен фенилом, алкокси, содержащим 1-6 атомов углерода, морфолино, пиперидино, группой, имеющей формулу где R21 представляет атом водорода или алкил, содержащий 1-6 атомов углерода, или группой, имеющей формулу
где R22 и R23 каждый представляет атом водорода или алкил, содержащий 1-6 атомов углерода], R3 представляет атом водорода или алкил, содержащий 1-6 атомов углерода, R4 представляет атом водорода, алкил, содержащий 1-6 атомов углерода, бензил, замещенный бензил, фенетил, «алкил, содержащий 1-6 атомов углерода, который замещен алкоксигруппой, содержащей 1-6 атомов углерода, атомом галогена или гидроксилом» или фенил, или R3 и R4 вместе образуют 3- до 6-членное насыщенное углеводородное кольцо, R5 представляет атом водорода или алкил, содержащий 1-6 атомов углерода, и Y представляет группу, имеющую формулу
где R6 представляет алкил, содержащий 1-10 атомов углерода, алкенил, содержащий 2-8 атомов углерода, «алкил, содержащий 1-10 атомов углерода, который замещен 1-5 группами, выбранными из фенила, замещенного фенила, циклоалкила, содержащего 3-8 атомов углерода, атома галогена, нафтила, гетероциклической группы и замещенной гетероциклической группы», «алкенил, содержащий 2-8 атомов углерода, который замещен 1-5 группами, выбранными из фенила, замещенного фенила, циклоалкила, содержащего 3-8 атомов углерода, атома галогена, нафтила, гетероциклической группы и замещенной гетероциклической группы», фенил, замещенный фенил, нафтил, нафтил, замещенный диметиламино, гетероциклическую группу или замещенную гетероциклическую группу}. Еще одним аспектом настоящего изобретения является соединение формулы (I) или его фармацевтически приемлемая соль по п.1, где фрагмент, соответствующий Y, представляет атом водорода, А представляет атом кислорода и R5 является атомом водорода, и оно является промежуточным соединением, пригодным для получения соединения формулы (I). В настоящем изобретении алкил, содержащий 1-16 атомов углерода, относится к алкилу с нормальной или разветвленной цепью, содержащей 1-16 атомов углерода. Его примерами являются метил, этил, н-пропил, изопропил, н-бутил, изобутил, трет-бутил, вторичный бутил, н-пентил, изопентил, неопентил, трет-пентил, н-гексил, н-гептил, н-октил и н-гексадецил. Алкил, содержащий 1-6 атомов углерода, относится к алкилу с нормальной или разветвленной цепью, содержащей 1-6 атомов углерода. Его примерами являются метил, этил, н-пропил, изопропил, н-бутил, изобутил, трет-бутил, вторичный бутил, н-пентил, изопентил, неопентил, трет-пентил и н-гексил. Алкил, содержащий 1-4 атомов углерода, относится к алкилу с нормальной или разветвленной цепью, содержащей 1-4 атомов углерода. Его примерами являются метил, этил, н-пропил, изопропил, н-бутил, изобутил, трет-бутил, вторичный бутил. Алкенил, содержащий 2-8 атомов углерода, относится к алкенилу с нормальной или разветвленной цепью, содержащей 2-8 атомов углерода. Его примерами являются винил, аллил, 1-пропенил, изопропенил, 1-бутенил, 2-бутенил, 3-бутенил, 1,3-бутадиенил, 2-метилаллил, 2-метилпропенил, 2-пентенил и 3-метилбут-2-енил. Алкенил, содержащий 3-5 атомов углерода, относится к алкенилу с нормальной или разветвленной цепью, содержащей 3-5 атомов углерода. Его примерами являются аллил, 1-пропенил, изопропенил, 1-бутенил, 2-бутенил, 3-бутенил, 1,3-бутадиенил, 2-метилаллил, 2-метилпропенил и 4-пентенил. Алкинил, содержащий 2-8 атомов углерода, относится к алкинилу с нормальной или разветвленной цепью, содержащей 2-8 атомов углерода. Его примерами являются этинил, 2-пропинил, 2-бутинил, 1-метилпроп-2-инил, 2-пентинил и 4-пентинил. Циклоалкил, содержащий 3-8 атомов углерода, относится к циклоалкилу, содержащему 3-8 атомов углерода, и его примерами являются циклопропил, циклобутил, циклопентил, циклогексил, циклогептил и циклооктил. Циклоалкил, содержащий 3-6 атомов углерода, относится к циклоалкилу, содержащему 3-6 атомов углерода, и его примерами являются циклопропил, циклобутил, циклопентил и циклогексил. Атом галогена относится к атому фтора, атому хлора, атому брома или атому йода. Алкилтио, содержащий 1-6 атомов углерода, относится к алкилтио с нормальной или разветвленной цепью, содержащей 1-6 атомов углерода. Его примерами являются метилтио, этилтио, пропилтио, изопропилтио, бутилтио, изобутилтио, пентилтио, гексилтио и аллилтио. Алкокси, содержащий 1-6 атомов углерода, относится к алкокси с нормальной или разветвленной цепью, содержащей 1-6 атомов углерода. Его примерами являются метокси, этокси, пропокси, изопропокси, бутокси, изобутокси, вторичный бутокси, трет-бутокси, пентилокси, гексилокси и аллилокси. Циклоалкил, содержащий 3-8 атомов углерода, относится к циклоалкилу, содержащему 3-8 атомов углерода, и его примерами являются циклопропил, циклобутил, циклопентил, циклогексил, циклогептил и циклооктил. Трициклоалкил, содержащий 7-10 атомов углерода, относится к трициклоалкилу, содержащему 7-10 атомов углерода, и он включает, например, адамантил. Циклоалкил, содержащий 3-8 атомов углерода, конденсированный с бензольным кольцом, включает, например, 1,2,3,4-тетрагидронафталенил и инданил. Замещенный бензил относится к бензилу, замещенному (1-2 группами, выбранными из фенила, атома галогена, метила, метокси, трифторметила или гидроксила). Его примерами являются 4-фенилбензил, 3,4-дихлорбензил, 4-метилбензил и 4-метоксибензил. В качестве 3-6-членного насыщенного углеводородного кольца можно назвать циклопропан, циклобутан, циклопентан и циклогексан. Алкил, содержащий 1-10 атомов углерода, относится к алкилу с нормальной или разветвленной цепью, содержащей 1-10 атомов углерода. Его примерами являются метил, этил, н-пропил, изопропил, н-бутил, изобутил, трет-бутил, вторичный бутил, н-пентил, изопентил, неопентил, трет-пентил, н-гексил, н-гептил и н-децил. Замещенный фенил относится к фенилу, замещенному 1-5 группами, выбранными, например, из фенила, метокси, фенила, замещенного ацетилом, оксазолила, пиразолила, метилпиримидинила, циано, атома галогена, алкила, содержащего 1-6 атомов углерода, трифторметила, гидроксила, алкокси, содержащего 1-6 атомов углерода, цианоэтокси, фенокси, фенокси, замещенного метокси, пиридинилокси, ацетила, бензоила, пиридинкарбонила, метоксикарбонила, метоксикарбонилэтила, алкилтио, содержащего 1-6 атомов углерода, диметиламино, нитро, ацетамидо, сульфамоила, метансульфонила, бензолсульфонила, пирролидинсульфонила, морфолинсульфонила, метилуреидо, бутилуреидо, метоксиэтилуреидо, триметилуреидо, морфолинкарбониламино и пиридинилэтоксикарбониламино. Гетероциклическая группа относится к насыщенной или ненасыщенной моноциклической или полициклической гетероциклической группе, содержащей 1-6 гетероатомов, таких как атом кислорода, атом серы и атом азота. Ее примерами являются имидазолил, пиразолил, тиазолил, оксазолил, изоксазолил, фурил, тиенил, пирролил, пиридил, пиримидинил, пиразинил, индолил, хинолил, изохинолил, бензофуранил, бензотиенил, дигидробензофуранил, кумаринил, 2,3-дигидробензо[1,4]диоксинил, 3,4-дигидро-2Н-бензо[b][1,4]диоксепинил, бензо[1,3]диоксолил, 2-оксо-2,3-дигидробензоксазолил, бензо[1,2,5]тиадиазолил, 4-метил-3,4-дигидро-2Н-бензо[1,4]оксазинил и фталимидо. Замещенная гетероциклическая группа относится к вышеуказанной гетероциклической группе, замещенной 1-5 заместителями, выбранными из атома галогена, алкила, содержащего 1-6 атомов углерода, метоксикарбонила, бензолсульфонила и оксазолила. Фармацевтически приемлемая соль относится к соли щелочного металла, щелочно-земельного металла, аммония, алкиламмония или тому подобное, или соли минеральной кислоты или органической кислоты. Ее примерами являются соль натрия, соль калия, соль кальция, соль аммония, соль алюминия, соль триэтиламмония, ацетат, пропионат, бутират, формиат, трифторацетат, малеат, тартрат, цитрат, стеарат, сукцинат, этилсукцинат, лактобионат, глюконат, глюкогептонат, бензоат, метансульфонат, этансульфонат, 2-гидроксиэтансульфонат, бензолсульфонат, п-толуолсульфонат, лаурилсульфат, малеат, аспартат, глутамат, адипат, соль цистеина, соль N-ацетилцистеина, гидрохлорид, гидробромид, фосфат, сульфат, гидройодид, никотинат, оксалат, пикрат, тиоцианат, ундеканоат, соль акрилового полимера и соль кабоксивинилового полимера. Соединение по настоящему изобретению может находиться в виде стереоизомера, такого как оптический изомер, диастереоизомер или геометрический изомер. Все указанные стереоизомеры и их смеси входят в соединения по настоящему изобретению. Соединение по настоящему изобретению можно синтезировать, например, способами, представленными ниже. 1) Соединение, имеющее следующую формулу (а) где R3 и R4 имеют значения, определенные выше, подвергают взаимодействию с соединением, имеющим формулу R’OH (где R’ представляет алкил, содержащий 1-6 атомов углерода), в присутствии реагента, такого как триметилсилилхлорид. Затем продукт подвергают взаимодействию с соединением, имеющим следующую формулу (b) где R6 имеет значения, определенные выше, в растворителе или в условиях без растворителя, в присутствии основания с получением соединения, имеющего следующую формулу (с) где R3, R4, R6 и R’ имеют значения, определенные выше. 2) Соединение, имеющее формулу (с), подвергают взаимодействию с гидразином в растворителе или в условиях без растворителя с получением соединения, имеющего следующую формулу (d) где R3, R4 и R6 имеют значения, определенные выше. 3) Полученное соединение (d) подвергают взаимодействию с соединением, имеющим следующую формулу (е) R2-N=C=S (e), где R2 имеет значения, определенные выше, в растворителе или в условиях без растворителя с получением соединения, имеющего следующую формулу (f) где R2, R3, R4 и R6 имеют значения, определенные выше. 4) Полученное соединение (f) подвергают циклизации с помощью основания в растворителе или в условиях без растворителя с получением соединения, имеющего следующую формулу (g) где R2, R3, R4 и R6 имеют значения, определенные выше. 5) Полученное соединение (g) подвергают взаимодействию с соединением, имеющим следующую формулу (h) R18-L (h), где R18 имеет аналогичное значение, как приведено для вышеуказанного R1, за исключением атома водорода, и L представляет уходящую группу, которая, например, представляет атом галогена, такой как атом хлора, атом брома или атом йода, или алкилсульфонилоксигруппу или арилсульфонилоксигруппу, такую как метансульфонилоксигруппу или п-толуолсульфонилоксигруппу, в растворителе или в условиях без растворителя, в присутствии основания, посредством чего можно получить соединение по настоящему изобретению, имеющее следующую формулу (i) где R18, R2, R3, R4 и R6 имеют значения, определенные выше. 6) Также соединение по настоящему изобретению, имеющее вышеуказанную формулу (i), подвергают взаимодействию с соединением, имеющим следующую формулу (j) R51-L (j) где R51 представляет алкил, содержащий 1-6 атомов углерода, и L имеет значения, определенные выше, в растворителе или в условиях без растворителя, в присутствии основания, посредством чего можно синтезировать другое соединение по настоящему изобретению, имеющее следующую формулу (k) где R18, R2, R3, R4, R51 и R6 имеют значения, определенные выше. 7) Далее соединение, имеющее формулу (i) или (k), подвергают взаимодействию с окислителем в растворителе, посредством чего можно синтезировать еще одно соединение по настоящему изобретению, имеющее следующую формулу (l) где R18, R2, R3, R4, R5 и R6 имеют значения, определенные выше. 8) Затем соединение, имеющее вышеуказанную формулу (l), подвергают взаимодействию с соединением, имеющим формулу (m) где А1 представляет атом серы или атом кислорода и R18 имеет значения, определенные выше, в растворителе или в условиях без растворителя, в присутствии основания, посредством чего можно синтезировать еще одно соединение по настоящему изобретению, имеющее следующую формулу (n) где А1, R18, R2, R3, R4, R5 и R6 имеют значения, определенные выше. Альтернативно соединение по настоящему изобретению можно синтезировать способом, представленным ниже. (2-1) Соединение, имеющее следующую формулу (о) где R подвергают взаимодействию с гидразином в растворителе или в условиях без растворителя с получением соединения, имеющего следующую формулу (р) где R3, R4 и R (2-2) Полученное соединение формулы (р) подвергают взаимодействию с соединением, имеющим следующую формулу (е) где R2 имеет значения, определенные выше, в растворителе или в условиях без растворителя с получением соединения, имеющего следующую формулу (q) где R2, R3, R4 и R (2-3) Полученное соединение формулы (q) подвергают циклизации в растворителе или в условиях без растворителя с получением соединения, имеющего формулу (r) где R2, R3, R4 и R (2-4) Полученное соединение формулы (r) подвергают взаимодействию с соединением, имеющим следующую формулу (h)
где R18 и L имеют значения, определенные выше, в растворителе или в условиях без растворителя, в присутствии основания с получением соединения, имеющего следующую формулу (s) где R18, R2, R3, R4 и R (2-5) Полученное соединение формулы (s) подвергают взаимодействию с окислителем в растворителе с получением соединения, имеющего формулу (t) где R18, R2, R3, R4 и R (2-6) Полученное соединение формулы (t) подвергают снятию защиты с аминогруппы в обычных условиях, таких как взаимодействие с кислотой, в растворителе с получением соединения, имеющего следующую формулу (u) где R18, R2, R3 и R4 имеют значения, определенные выше, или соли соединения. (2-7) Полученное соединение формулы (u) подвергают взаимодействию с соединением, имеющим следующую формулу (m) где А1 и R18 имеют значения, определенные выше, в растворителе или в условиях без растворителя в присутствии основания с получением соли там, где это подходит, с получением тем самым соединения, имеющего следующую формулу (v) где А1, R18, Х, R2, R3 и R4 имеют значения, определенные выше, или его фармацевтически приемлемой соли. (2-8) Полученное соединение формулы (v) подвергают взаимодействию с соединением, имеющим следующую формулу (b) где R6 имеет значения, определенные выше, в растворителе или в условиях без растворителя в присутствии основания с получением тем самым соединения по настоящему изобретению, имеющего следующую формулу (w) где А1, R18, R2, R3, R4 и R6 имеют значения, определенные выше. (2-9) Полученное соединение по настоящему изобретению, имеющее формулу (w), подвергают взаимодействию с соединением, имеющим следующую формулу (j) где R51 и L имеют значения, определенные выше, в растворителе или в условиях без растворителя, в присутствии основания с получением тем самым соединения по настоящему изобретению, имеющего следующую формулу (х) где А1, R18, R2, R3, R4, R51 и R6 имеют значения, определенные выше. Примерами основания, используемого в вышеприведенных реакциях, являются соли щелочных металлов, такие как карбонат натрия, карбонат калия, карбонат цезия, бикарбонат натрия, бикарбонат калия, гидроксид натрия, димсилнатрий, гидрид натрия, амид натрия и трет-бутилат калия, амины, такие как триэтиламин, диизопропиламин, пирролидин и пиперидин, ацетат натрия и ацетат калия. Примерами кислоты являются неорганические кислоты (например, хлористоводородная кислота, бромистоводородная кислота, йодистоводородная кислота, серная кислота и азотная кислота) и органические кислоты (например, трифторуксусная кислота, п-толуолсульфоновая кислота и метансульфоновая кислота). В качестве окислителя можно использовать, например, органические перкислоты, такие как м-перхлорбензойная кислота, моноперфталат магния гексагидрат, перуксусная кислота и пермуравьиная кислота, неорганические и органические пероксиды, такие как пероксид водорода, аддукт мочевины с пероксидом водорода/фталевый ангидрид, трет-бутилгидропероксид и гидропероксид кумена, периодат натрия, оксон (зарегистрированная торговая марка), N-бромсукцинимид, N-хлорсукцинимид, хлорамин-Т, трет-бутилгипохлорит, йодбензолдиацетат и комплексное соединение бром-1,4-диазабицикло[2,2,2,]октана. В качестве реакционного растворителя можно использовать, например, воду, спирты, такие как метанол, этанол, изопропиловый спирт и трет-бутиловый спирт, простые эфиры, такие как диоксан и тетрагидрофуран, и инертные растворители для реакций, такие как диметилформамид, N,N’-диметилацетамид, N,N’-диметилпропиленмочевина (DMPU), гексаметилфосфорамид (НМРА), диметилсульфоксид, пиридин, метиленхлорид, хлороформ, ацетон, уксусная кислота и бензол. Реакцию можно проводить при атмосферном давлении, под давлением, при микроволновом облучении и т.д. при соответствующей температуре, выбранной в пределах от -78°С до температуры кипения растворителя для реакции. Когда соединение по настоящему изобретению используют в качестве фармацевтического продукта, то, как правило, к соединению по настоящему изобретению добавляют носители, наполнители, регуляторы рН, солюбилизаторы и т.д., полученные смеси формуют в таблетки, гранулы, пилюли, капсулы, порошки, жидкости и растворы, суспензии, инъекционные препараты и т.д. с использованием обычных способов приготовления фармацевтических препаратов, и полученные препараты можно вводить перорально или в виде инъекционных средств или средств для местного применения. Соединение по настоящему изобретению можно вводить взрослому пациенту в ежедневной дозе от 1 до 1000 мг однократно или в нескольких разделенных дозах. Данную дозу можно увеличить или уменьшить соответственно в зависимости от типа заболевания, возраста, массы тела, проявления симптомов у пациента и т.д. Эффекты изобретения Было установлено, что соединение по настоящему изобретению является эффективным лигандом Edg-1 (S1P1), как показано в экспериментальных примерах, описанных ниже. Наилучший вариант осуществления изобретения Настоящее изобретение будет дополнительно описано последующими примерами и экспериментальными примерами. Пример 1 4-Хлор-N-[1-(5-меркапто-4-метил-4Н-1,2,4-триазол-3-ил)бутил]бензолсульфонамид (соединение 128) 1) Триметилхлорсилан (12,4 мл) добавляли при комнатной температуре к суспензии DL-норвалина (2,157 г) в метаноле (37 мл), смесь перемешивали в течение 2 суток при комнатной температуре и затем кипятили с обратным холодильником в течение 3 ч. Реакционную смесь охлаждали до комнатной температуры и затем растворитель выпаривали при пониженном давлении. Полученное светло-желтое твердое вещество растворяли в хлороформе (37 мл) и добавляли триэтиламин (10,3 мл) и 4-хлорбензолсульфонилхлорид (3,886 г) при 0°С с последующим перемешиванием смеси в течение 2 ч при комнатной температуре. Реакционную смесь добавляли к водному раствору (120 мл) хлористоводородной кислоты (2 моль/л) и смесь экстрагировали этилацетатом (200 мл) с последующим промыванием экстракта насыщенным водным раствором хлорида натрия (100 мл×2). Органический слой сушили над безводным сульфатом магния и затем растворитель выпаривали при пониженном давлении с получением метилового эфира 2-{[(4-хлорфенил)сульфонил]амино}пентановой кислоты (4,592 г) в виде светло-желтого маслянистого вещества. 1H ЯМР (300 МГц, CDCl3) 2) К раствору метилового эфира 2-{[(4-хлорфенил)сульфонил]амино}пентановой кислоты (4,590 г), полученного в примере 1-(1), в метаноле (50 мл) добавляли моногидрат гидразина (21,8 мл) при комнатной температуре и смесь перемешивали в течение 14 ч при комнатной температуре. Из реакционной смеси выпаривали растворитель при пониженном давлении и к остатку добавляли воду (150 мл). Смесь экстрагировали этилацетатом (200 мл) и промывали насыщенным водным раствором хлорида натрия (100 мл×2). Органический слой сушили над безводным сульфатом магния и затем растворитель выпаривали при пониженном давлении с получением 4-хлор-N-[1-(гидразинокарбонил)бутил]бензолсульфонамида (4,368 г). Т.пл. 120,0-120,5°С. 1H ЯМР (300 МГц, ДМСО-d6) 3) Метилизотиоцианат (683 мг) добавляли при комнатной температуре к раствору 4-хлор-N-[1-(гидразинокарбонил)бутил]бензолсульфонамида (2,596 г), полученного в примере 1-(2), в этаноле (85 мл). Смесь перемешивали в течение 30 мин и затем перемешивали в течение 2 ч при кипячении с обратным холодильником. Растворитель выпаривали из реакционной смеси с получением твердого вещества. Твердое вещество промывали хлороформом (100 мл) и затем сушили с получением карботиоамида 2-(2-{[(4-хлорфенил)сульфонил]амино}пентаноил)-N-метилгидразина (2,868 г). Т.пл. 191,0-195,0°С. 1H ЯМР (300 МГц, ДМСО-d6) 4) Водный раствор (8,5 мл) гидроксида натрия (1 моль/л) добавляли при комнатной температуре к раствору карботиоамида 2-(2-{[(4-хлорфенил)сульфонил]амино}пентаноил)-N-метилгидразина (2,157 г), полученного в примере 1-(3), в смеси метанола (9,5 мл) и диоксана (19 мл). Смесь перемешивали в течение 30 мин и затем перемешивали в течение 30 мин при 85°С. Растворитель выпаривали из реакционной смеси и к остатку добавляли водный раствор хлористоводородной кислоты (0,5 моль/л). Смесь экстрагировали этилацетатом (100 мл) и промывали насыщенным водным раствором (100 мл) хлорида натрия. Органический слой сушили над безводным сульфатом магния и затем растворитель выпаривали при пониженном давлении с получением соединения 128 (2,177 г). 1H ЯМР (300 МГц, CDCl3) Пример 2 N-{1-[(5-Аллилтио)-4-метил-4Н-1,2,4-триазол-3-ил]бутил}-4-хлорбензолсульфонамид (соединение 125) Диизопропиламин (0,407 мл) и аллилбромид (0,218 мл) добавляли при комнатной температуре к раствору 4-хлор-N-[1-(5-меркапто-4-метил-4Н-1,2,4-триазол-3-ил)бутил]бензолсульфонамида (соединение 128) (698 мг), полученного в примере 1-(4), в тетрагидрофуране (9,7 мл), и смесь перемешивали в течение ночи при комнатной температуре. Растворитель выпаривали из реакционной смеси при пониженном давлении. Полученный остаток растворяли в этилацетате (100 мл) и раствор последовательно промывали водным раствором (50 мл) хлористоводородной кислоты (1 моль/л) и насыщенным водным раствором (100 мл) хлорида натрия. Органический слой сушили над безводным сульфатом магния и затем растворитель выпаривали при пониженном давлении. Остаток перекристаллизовывали из смеси растворителей из гексана (20 мл) и этилацетата (15 мл) для очистки с получением соединения 125 (590 мг). Т.пл. 161,5-162,0°С. 1H ЯМР (300 МГц, CDCl3) Пример 3 N-{(1R)-1-[5-(Бензилтио)-4-этил-4Н-1,2,4-триазол-3-ил]этил}-4-хлорбензолсульфонамид (соединение 5) Мезилхлорид (25,8 мг) и триэтиламин (0,055 мл) добавляли к раствору бензилового спирта (16,2 мг) в хлороформе (0,9 мл) и смесь перемешивали в течение 3 ч при комнатной температуре. Реакционную смесь подвергали колоночной хроматографии на силикагеле NH-типа (Chromatorex, Fuji Silysia Chemical Ltd.) с использованием тетрагидрофурана в качестве растворителя с получением бензилового эфира метансульфоновой кислоты. К раствору бензилового эфира метансульфоновой кислоты в тетрагидрофуране (0,9 мл) добавляли 4-хлор-N-[(1R)-1-(4-этил-5-меркапто-4Н-1,2,4-триазол-3-ил)этил]бензолсульфонамид (соединение 90) (17,3 мг), полученный по методике, аналогичной применяемой в примере 1 с использованием соответствующих исходных веществ, и трет-бутилат калия (8,4 мг) с последующим перемешиванием смеси в течение 20 ч при 40°С. Добавляли PSA (амин на полимерной подложке) (0,15 мл) в реакционную смесь и полученную смесь перемешивали в течение 4 ч при комнатной температуре. Реакционную смесь элюировали смесью этилацетат-тетрагидрофуран и растворители выпаривали. Полученный остаток подвергали колоночной хроматографии на силикагеле NH-типа с использованием тетрагидрофурана в качестве растворителя и элюат очищали колоночной хроматографией на силикагеле с получением соединения 5 (2,3 мг). 1H ЯМР (300 МГц, ДМСО-d6) Пример 4 4-Хлор-N-{(1R)-1-[4-этил-5-(метилсульфинил)-4Н-1,2,4-триазол-3-ил]этил}бензолсульфонамид (соединение 180, соединение 181) К раствору 4-хлор-N-{(1R)-1-[4-этил-5-(метилтио)-4Н-1,2,4-триазол-3-ил]этил}бензолсульфонамида (соединение 1) (329 мг), полученного по методике, аналогичной применяемой в примерах 1 и 2 с использованием соответствующих исходных веществ, в хлороформе (18 мл) добавляли м-перхлорбензойную кислоту (157 мг) при охлаждении на льду. Смесь перемешивали в течение 30 мин при 0°С и затем перемешивали в течение ночи при комнатной температуре. Реакционный раствор промывали насыщенным водным раствором бикарбоната натрия (20 мл). Органический слой сушили над безводным сульфатом магния и затем растворитель выпаривали при пониженном давлении. Полученный остаток подвергали колоночной флэш-хроматографии на силикагеле с использованием смеси ацетон-этилацетат. Элюат дважды разделяли препаративной ТСХ (Merck, аналитическая пластинка для ТСХ, 20×20 см, пластинки Silicagel 60F254×4) с использованием этилацетата в качестве растворителя. Затем разделившиеся соединения элюировали с использованием смеси 5% метанол/хлороформ с получением соединения 180 (14 мг) с низкой полярностью и соединения 181 (21 мг) с высокой полярностью (соединение 180 и соединение 181: диастереоизомеры). Соединение 180 с низкой полярностью: 1H ЯМР (300 МГц, CDCl3) Соединение 181 с высокой полярностью: 1H ЯМР (300 МГц, CDCl3) Пример 5 4-Хлор-N-{(1R)-1-[4-этил-5-(метилсульфонил)-4Н-1,2,4-триазол-3-ил]этил}бензолсульфонамид (соединение 182) К раствору 4-хлор-N-{(1R)-1-[4-этил-5-(метилтио)-4Н-1,2,4-триазол-3-ил]этил}бензолсульфонамида (соединение 1) (520 мг), полученного по методике, аналогичной применяемой в примерах 1 и 2 с использованием соответствующих исходных веществ, в хлороформе (30 мл) добавляли м-перхлорбензойную кислоту (746 мг) при охлаждении на льду с последующим перемешиванием смеси в течение 1 ч при 0°С. К реакционной смеси добавляли насыщенный водный раствор бикарбоната натрия (100 мл) и полученную смесь экстрагировали хлороформом (50 мл). Органический слой сушили над безводным сульфатом магния и затем растворитель выпаривали при пониженном давлении. Полученный остаток очищали колоночной флэш-хроматографией на силикагеле с использованием смеси растворителей этилацетат-хлороформ с получением соединения 182 (481 мг). 1H ЯМР (300 МГц, CDCl3) Пример 6 N-{(1R)-1-[5-(Аллилтио)-4-этил-4Н-1,2,4-триазол-3-ил]этил}-4-хлор-N-метилбензолсульфонамид (соединение 99) К раствору N-{(1R)-1-[5-(аллилтио)-4-этил-4Н-1,2,4-триазол-3-ил]этил}-4-хлорбензолсульфонамида (соединение 3) (200 мг), полученного по методике, аналогично применяемой в примерах 1 и 2 с использованием соответствующих исходных веществ, в диметилформамиде (2 мл) добавляли карбонат калия (120 мг) и метилйодид (0,040 мл) при комнатной температуре с последующим перемешиванием смеси в течение 3 ч при комнатной температуре. К реакционной смеси добавляли этилацетат и полученную смесь последовательно промывали водным раствором хлористоводородной кислоты 1 моль/л и насыщенным водным раствором хлорида натрия. Органический слой сушили над безводным сульфатом магния и затем растворитель выпаривали при пониженном давлении. Полученный остаток очищали колоночной флэш-хроматографией на силикагеле с использованием смеси растворителей этилацетат-гексан. Затем элюат перекристаллизовывали с использованием смеси растворителей этилацетат-гексан для очистки с получением соединения 98 (112 мг). Т.пл. 142,0-143,0°С. 1H ЯМР (200 МГц, ДМСО-d6) Пример 7 4-Хлор-N-[(1R)-1-(4-этил-5-пропокси-4Н-1,2,4-триазол-3-ил)этил]бензолсульфонамид (соединение 183) Гидрид натрия (12 мг) добавляли при охлаждении на льду к раствору 4-хлор-N-{(1R)-1-[4-этил-5-(метилсульфонил)-4Н-1,2,4-триазол-3-ил]этил}бензолсульфонамида (соединения 182) (47 мг), полученного в примере 5, в диметилформамиде (1,2 мл) и н-пропанолу (0,027 мл). Смесь перемешивали в течение 30 мин при комнатной температуре и затем перемешивали в течение 2 ч при 100°С. После охлаждения реакционной смеси до комнатной температуры ее добавляли к насыщенному водному раствору хлорида аммония (5 мл). Смесь экстрагировали этилацетатом (20 мл×2) и промывали насыщенным водным раствором хлорида натрия (20 мл). Органический слой сушили над безводным сульфатом магния и затем растворитель выпаривали при пониженном давлении. Полученный остаток очищали колоночной флэш-хроматографией на силикагеле с использованием смеси растворителей метанол-хлороформ с получением соединения 183 (35 мг). 1H ЯМР (300 МГц, CDCl3) Пример 8 (1R)-1-(4-Этил-5-метокси-4Н-[1,2,4] триазол-3-ил)этиламин (соединение 519) 1) Моногидрат гидразин (30 мл) добавляли к раствору метилового эфира N-(трет-бутоксикарбонил)-D-аланина (41,8 г) в метаноле (180 мл) и смесь перемешивали в течение 12 ч при комнатной температуре. Реакционную смесь концентрировали и полученные неочищенные кристаллы промывали смесью растворителей гексан-эилацетат (1:1, 300 мл). Затем промытые кристаллы сушили с получением трет-бутилового эфира (R)-(1-гидразинокарбонил-2-этил)карбаминовой кислоты в виде бесцветного порошка (32,6 г). 1H ЯМР (300 МГц, ДМСО-d6) 2) Этилизотиоцианат (14,6 мл) добавляли к раствору трет-бутилового эфира (R)-(1-гидразинокарбонил-2-этил)карбаминовой кислоты (30,8 г), полученного в примере 8-(1), в EtOH (152 мл) и смесь нагревали в течение 2 ч при кипячении с обратным холодильником. После охлаждения смеси до комнатной температуры выпавшие кристаллы отфильтровывали. Фильтрат концентрировали и полученный остаток очищали хроматографией на силикагеле с использованием смеси растворителей этилацетат-хлороформ, с получением (R)-2-(N-(трет-бутоксикарбонил)амино)пропионил)-N-этилгидразинкарботиоамида в виде бесцветного аморфного вещества (43,2 г). 1H ЯМР (300 МГц, ДМСО-d6) 3) Водный раствор (218 мл) гидроксида натрия (1 моль/л) добавляли к раствору (R)-2-(N-(трет-бутоксикарбонил)амино)пропионил)-N-этилгидразинкарботиоамида (42,1 г), полученного в примере 8-(2), в смеси растворителей метанола (120 мл) и диоксана (240 мл) с последующим нагреванием смеси в течение 3 ч при кипячении с обратным холодильником. Реакционную смесь концентрировали и добавляли водный раствор (100 мл) хлористоводородной кислоты (2 моль/л). Смесь экстрагировали смесью растворителей этилацетат-CHCl3-MeOH (10:10:1, 500 мл) и органический слой сушили над безводным сульфатом магния. Затем растворитель выпаривали при пониженном давлении и полученный остаток промывали смесью растворителей гексан-этилацетат (1:1, 300 мл) с последующей сушкой с получением трет-бутилового эфира [(R)-1-(4-этил-5-меркапто-4Н-[1,2,4]триазол-3-ил)этил]карбаминовой кислоты в виде белого твердого вещества (29,22 г). 1H ЯМР (300 МГц, ДМСО-d6) 4) Диизопропиламин (17,4 мл) и йодометан (7,7 мл) добавляли к раствору трет-бутилового эфира [(R)-1-(4-этил-5-меркапто-4Н-[1,2,4]триазол-3-ил)этил]карбаминовой кислоты (28,12 г), полученного в примере 8-(3), в тетрагидрофуране (200 мл). Смесь перемешивали в течение 1 ч при комнатной температуре и затем выпавшие кристаллы отфильтровывали. Фильтрат концентрировали и полученные неочищенные кристаллы промывали смесью растворителей гексан-этилацетат (3:1, 200 мл) с последующей сушкой с получением трет-бутилового эфира [(R)-1-(4-этил-5-метилсульфанил-4Н-[1,2,4]триазол-3-ил)этил]карбаминовой кислоты в виде белого порошка (29,5 г). 1H ЯМР (300 МГц, ДМСО-d6) 5) К раствору трет-бутилового эфира [(R)-1-(4-этил-5-метилсульфанил-4Н-[1,2,4]триазол-3-ил)этил]карбаминовой кислоты (21,0 г), полученного в примере 8-(4), в хлороформе (293 мл) добавляли м-перхлорбензойную кислоту (43,0 г) четырьмя порциями при охлаждении на льду. Смесь перемешивали в течение 3 ч при комнатной температуре и затем перемешивали в течение 1 ч при 40°С. К реакционной смеси добавляли Na2S2O3 (12,9 г) и водный раствор (300 мл) гидроксида натрия (1 моль/л). Органический слой отделяли и промывали насыщенным водным раствором хлорида натрия. Органический слой сушили над безводным сульфатом магния и затем растворитель выпаривали при пониженном давлении. Полученный остаток очищали колоночной флэш-хроматографией на силикагеле с использованием смеси растворителей гексан-этилацетат. Затем очищенное вещество перекристаллизовывали с использованием смеси гексан-хлороформ с получением трет-бутилового эфира [(R)-1-(4-этил-5-метансульфонил-4Н-[1,2,4]триазол-3-ил)этил]карбаминовой кислоты в виде белого порошка (17,2 г). 1H ЯМР (300 МГц, CDCl3) 6) Трифторуксусную кислоту (121 мл) добавляли к трет-бутиловому эфиру [(R)-1-(4-этил-5-метансульфонил-4Н-[1,2,4]триазол-3-ил)этил]карбаминовой кислоты (100,0 г), полученному в примере 8-(5), и смесь перемешивали в течение 2 ч при комнатной температуре. Реакционную смесь концентрировали при пониженном давлении с получением (R)-1-(4-этил-5-метансульфонил-4Н-[1,2,4]триазол-3-ил)этиламина трифторацетата в виде белого порошка (103,8 г). 1H ЯМР (300 МГц, ДМСО-d6) 7) NaOMe (18 мл, 2,0 н. раствор в МеОН) добавляли к трифторацетату (R)-1-(4-этил-5-метансульфонил-4Н-[1,2,4]триазол-3-ил)этиламина (3,0 г), полученному в примере 8-(6), и смесь нагревали в течение 1 ч при кипячении с обратным холодильником. Реакционную смесь охлаждали до комнатной температуры и добавляли Et2O (100 мл). После охлаждения смеси до 0°С выпавшие кристаллы отфильтровывали. Фильтрат концентрировали и полученный неочищенный продукт очищали хроматографией на NH-силикагеле с использованием смеси растворителей Et2O-МеОН с получением указанного в заголовке соединения (соединение 519) в виде бесцветного маслянистого вещества (1,55 г). 1H ЯМР (300 МГц, CDCl3) Пример 9 [(1R)-1-(4-Этил-5-метокси-4Н-[1,2,4]триазол-3-ил)этил]бензолсульфонамид (соединение 376) Раствор бензолсульфонилхлорида (31 мг) в тетрагидрофуране (0,9 мл) добавляли при комнатной температуре к соединению (20 мг), полученному в примере 8-(7). Затем добавляли триэтиламин (0,040 мл) и смесь перемешивали в течение 3 ч при комнатной температуре. Реакционную смесь подвергали колоночной хроматографии на силикагеле NH-типа с использованием тетрагидрофурана в качестве растворителя и затем элюат концентрировали с получением указанного в заголовке соединения (36,5 мг). 1H ЯМР (200 МГц, CDCl3) Пример 10 Используемые способы, аналогично используемым в примерах 1-9, получали соли там, где это подходит, с получением соединений, представленных в таблице ниже. Как и соединения 89, 104, 136 и 137, использовали соединения производства Bionet. Соединения, полученные в вышеописанных примерах 1-9, также представлены в таблице наряду с другими соединениями. Пример испытания 1 (тест связывания с клеточной системой) С использованием линии клеток НЕК-293 с перенесенным человеческим геном Edg-1 (S1P1) (проявляющей связывание Kd=6,4±2,1 нМ, Вмакс=160±94 фмоль/105 клеток с [3H]-S1P), которую получали с использованием метода, описанного в литературе (Science 1998, 279-1552), исследовали ингибирующее в отношении связывания Edg-1 (S1P1) действие соединения по настоящему изобретению согласно методу, описанному в литературе. Клетки (1×105 клеток/лунка), полученные как описано выше, высевали в 96-луночные планшеты, покрытые поли-L-лизином (Corning Incorporated) и затем инкубировали в термостате в атмосфере 5% двуокиси углерода в течение 12 ч при 37°С с использованием среды МЕМ (Invitrogen Corporation), содержащей 100 Е/мл пенициллина, 100 мкг/мл стрептомицина, 1% раствора заменимых аминокислот МЕМ и 10% FCS. Культивированные клетки дважды промывали буфером (20 мМ Трис-HCl, рН 7,4, 100 мМ NaCl, 15 мМ NaF, 2 мМ дезоксипиридоксина, 4 мг/мл не содержащего жирных кислот BSA) и затем обрабатывали 100 мкл буфера, содержащего [3H]-S1P (производства ARC, конечная концентрация 10 нМ), и раствором тестируемого соединения в ДМСО (конечная концентрация соединения 10-5М, конечная концентрация ДМСО 0,1%) в течение 1 ч при 4°С. После отмывки клеток дважды буфером их солюбилизировали 100 мкл реагента Opti Phase Supermix (производства Perkin-Elmer) и определяли радиоактивность с помощью счетчика Micro Beta (производства Perkin-Elmer). На основе данных по радиоактивности рассчитывали количество (А) связанного [3H]-S1P при добавлении соединения. Тот же тест проводили при отсутствии тестируемого соединения и рассчитывали количество (В) связанного [3H]-S1P. Кроме того, тот же тест проводили при отсутствии тестируемого соединения с использованием клеток НЕК-293, в которые ген Edg-1 (S1P1) не был перенесен, и рассчитывали фоновое количество (С) связанного [3H]-S1P. Коэффициент ингибирования связывания Edg-1 (S1P1) под действием соединения, рассчитанный по следующему уравнению, представлен в таблице. Коэффициент ингибирования (%)=[1-(А-С)/(В-С)]×100. Пример испытания 2 (тест связывания с мембранной системой) С использованием мембранной фракции линии клеток НЕК-293, с перенесенным человеческим геном Edg-1 (S1P1) исследовали ингибирующее в отношении связывания Edg-1 (S1P1) действие соединения по настоящему изобретению согласно методу, описанному в литературе (Science 2002, 296-346) (проявляющего связывание Kd=0,15 нМ, Вмакс=2,5 фмоль/мкг с [33Р]-S1P). Мембранную фракцию получали обработкой клеток солюбилизирующим буфером (1 мМ Трис-HCl, рН 7,2) в течение 10 мин на льду, центрифугированием системы (1000×g, 5 мин) для удаления нерастворимых фракций и затем центрифугированием системы (40000×g, 30 мин, 4°С). Полученную мембранную фракцию растворяли в буфере для связывания (20 мМ Трис-HCl, рН 7,4, 100 мМ NaCl, 15 мМ NaF, 2 мМ дезоксипиридоксина, 4 мг/мл не содержащего жирных кислот BSA) и затем добавляли [33Р]-S1P (производства ARC, конечная концентрация 0,1 нМ) и раствор тестируемого соединения в ДМСО (конечная концентрация соединения 10-5М, конечная концентрация ДМСО 0,1%) с последующим перемешиванием смеси и обработкой в течение 1 ч при 30°С. С использованием коллектора клеток мембранную фракцию собирали на унифильтр-96GF/фильтр С (производства Perkin-Elmer). Затем фильтр с мембранной фракцией промывали 4 раза буфером для связывания и фильтр сушили. На фильтр наносили 25 мкл сцинтилляционной жидкости Microscint (производства Perkin-Elmer) и определяли радиоактивность аналитической системы с помощью счетчика Top Count NXT (Packard). На основе данных по радиоактивности рассчитывали количество (А) связанного с мембранной фракцией [33Р]-S1P при добавлении соединения. Аналогичные методики применяли при отсутствии тестируемого соединения и рассчитывали количество (В) связанного [33Р]-S1P. Кроме того, аналогичные методики применяли при отсутствии тестируемого соединения с использованием клеток НЕК-293, в которые ген Edg-1 (S1P1) не был перенесен, и рассчитывали фоновое количество (С) связанного [33Р]-S1P. Коэффициент ингибирования связывания Edg-1 (S1P1) под действием соединения, рассчитанный по следующему уравнению, представлен в таблице. Коэффициент ингибирования (%)=[1-(А-С)/(В-С)]×100. Промышленная применимость Соединение по настоящему изобретению представляет собой эффективный лиганд EDG-1(S1P1). Следовательно, оно пригодно в качестве средства для лечения или профилактики аутоиммунных заболеваний, таких как болезнь Крона, синдром раздраженного кишечника, синдром Шегрена, рассеянный склероз и системная красная волчанка, и заболеваний, таких как ревматоидный артрит, астма, атопический дерматит, реакция отторжения после трансплантации органа, злокачественное заболевание, ретинопатия, псориаз, остеоартроз и возрастная дегенерация желтого пятна сетчатки. Таблица 1-1 Таблица 1-2 Таблица 1-3 Таблица 1-4 Таблица 1-5 Таблица 1-6 Таблица 1-7 Таблица 1-8 Таблица 1-9 Таблица 1-10 Таблица 1-11 Таблица 1-12 Таблица 1-13 Таблица 1-14 Таблица 1-15 Таблица 1-16 Таблица 1-17 Таблица 1-18 Таблица 1-19 Таблица 1-20 Таблица 1-21 Таблица 1-22 Таблица 1-23 Таблица 1-24 Таблица 1-25 Таблица 1-26 Таблица 1-27 Таблица 1-28 Таблица 1-29 Таблица 1-30 Таблица 1-31 Таблица 1-32 Таблица 1-33 Таблица 1-34 Таблица 1-35 Таблица 1-36 Таблица 1-37 Таблица 1-38 Таблица 1-39 Таблица 1-40 Таблица 1-41 Таблица 1-42 Таблица 1-43 Таблица 1-44 Таблица 1-45 Таблица 1-46 Таблица 1-47 Таблица 1-48 Таблица 1-49 Таблица 1-50 Таблица 1-51 Таблица 1-52 Таблица 1-53 Таблица 1-54 Таблица 1-55 Таблица 1-56 Таблица 1-57 Таблица 1-58 Таблица 1-59 Таблица 1-60 Таблица 1-61 Таблица 1-62 Таблица 1-63 Таблица 1-64 Таблица 1-65 Таблица 1-66 Таблица 1-67 Таблица 1-68 Таблица 1-69 Таблица 1-70 Таблица 1-71 Таблица 1-72 Таблица 1-73 Таблица 1-74 Таблица 1-75 Таблица 1-76 Таблица 1-77 Таблица 1-78 Таблица 1-79 Таблица 1-80 Таблица 1-81 Таблица 1-82 Таблица 1-83 Таблица 1-84 Таблица 1-91 Таблица 1-92 Таблица 1-93 Таблица 1-94 Таблица 1-95
Формула изобретения
1. Соединение, имеющее следующую формулу (I), или его фармацевтически приемлемая соль 2. Фармацевтическая композиция для лечения или профилактики заболеваний, опосредованных связыванием S1P и Edg-1, содержащая соединение, имеющее следующую формулу (I), или его фармацевтически приемлемую соль в качестве активного ингредиента: 3. Фармацевтическая композиция по п.2, где заболевание представляет собой аутоиммунные заболевания, такие как болезнь Крона, синдром раздраженного кишечника, синдром Шегрена, рассеянный склероз или системная красная волчанка, или ревматоидный артрит, астму, атопический дерматит, реакцию отторжения после трансплантации органа, злокачественное заболевание, ретинопатию, псориаз, остеоартроз и возрастную дегенерацию желтого пятна сетчатки. 4. Соединение, имеющее следующую формулу (I), или его фармацевтически приемлемая соль 5. Соединение или его фармацевтически приемлемая соль по п.4, где в формуле (I) R5 представляет атом водорода. 6. Соединение или его фармацевтически приемлемая соль по п.5, где в формуле (I) А представляет атом кислорода. 7. Соединение или его фармацевтически приемлемая соль по п.6, где в формуле (I) R2 представляет алкил, содержащий 1-4 атомов углерода, циклоалкил, содержащий 3-6 атомов углерода, или «алкил, содержащий 1-4 атомов углерода, который замещен метоксигруппой или морфолиногруппой». 8. Соединение или его фармацевтически приемлемая соль по п.6, где в формуле (I) R2 представляет метил, этил, изопропил или циклопропил. 9. Соединение или его фармацевтически приемлемая соль по п.6, где в формуле (I) R3 представляет атом водорода. 10. Соединение или его фармацевтически приемлемая соль по п.9, где в формуле (I) 11. Соединение или его фармацевтически приемлемая соль по п.9, где в формуле (I) 12. Соединение или его фармацевтически приемлемая соль по п.11, где в формуле (I) R2 представляет метил, этил, изопропил или циклопропил. 13. Соединение или его фармацевтически приемлемая соль по п.9, где в формуле (I) 14. Соединение или его фармацевтически приемлемая соль по п.9, где в формуле (I) 15. Соединение или его фармацевтически приемлемая соль по п.14, где в формуле (I) R4 представляет метил, бензил или «бензил, моно- и дизамещенный заместителем, выбранным из атома галогена и метила». 16. Соединение или его фармацевтически приемлемая соль по п.15, где в формуле (I) R2 представляет метил, этил, изопропил или циклопропил. 17. Соединение или его фармацевтически приемлемая соль по п.9, где в формуле (I) 18. Соединение или его фармацевтически приемлемая соль по п.9, где в формуле (I) 19. Соединение или его фармацевтически приемлемая соль по п.18, где в формуле (I) R1 представляет метил, этил, пропил, изопропил, циклобутил, циклопентил, циклопропилметил или 3-метоксипропил. 20. Соединение или его фармацевтически приемлемая соль по п.19, где в формуле (I) R4 представляет метил, бензил или «бензил, моно- и дизамещенный заместителем, выбранным из атома галогена и метила». 21. Соединение или его фармацевтически приемлемая соль по п.20, где в формуле (I) R2 представляет метил, этил, изопропил или циклопропил. 22. Соединение или его фармацевтически приемлемая соль по п.5, где в формуле (I) А представляет атом серы, и R3 представляет атом водорода. 23. Соединение или его фармацевтически приемлемая соль по п.22, где в формуле (I) R2 представляет метил, этил, изопропил или циклопропил. 24. Соединение или его фармацевтически приемлемая соль по п.22, где в формуле (I) R4 представляет метил, бензил или «бензил, моно- и дизамещенный заместителем, выбранным из атома галогена и метила». 25. Соединение или его фармацевтически приемлемая соль по п.24, где в формуле (I) R2 представляет метил, этил, изопропил или циклопропил. 26. Соединение или его фармацевтически приемлемая соль по п.22, где в формуле (I) R1 представляет алкил, содержащий 1-6 атомов углерода, алкенил, содержащий 3-5 атомов углерода, 2-пропинил, циклоалкил, содержащий 3-6 атомов углерода или, «алкил, содержащий 1-6 атомов углерода, который замещен циклоалкилом, содержащим 3-6 атомов углерода, трифторметилом, фенилом, гидроксилом, метокси, диметиламино или морфолиногруппой». 27. Соединение или его фармацевтически приемлемая соль по п.22, где в формуле (I) R1 представляет метил, этил, пропил, изопропил, циклобутил, циклопентил, циклопропилметил или 3-метоксипропил. 28. Соединение или его фармацевтически приемлемая соль по п.27, где в формуле (I) R4 представляет метил, бензил или «бензил, моно- и дизамещенный заместителем, выбранным из атома галогена и метила». 29. Соединение или его фармацевтически приемлемая соль по п.28, где в формуле (I) R2 представляет метил, этил, изопропил или циклопропил. 30. Соединение или его фармацевтически приемлемая соль по п.22, где в формуле (I) R6 представляет фенил, «фенил, замещенный 1-2 группами, выбранными из атома галогена, метила, трифторметила, метокси и трифторметокси», 2-нафтил, 2-бензотиенил или 2-бензофуранил. 31. Соединение или его фармацевтически приемлемая соль по п.22, где в формуле (I) R1 представляет метил, этил, пропил, изопропил, циклобутил, циклопентил, циклопропилметил или 32. Соединение или его фармацевтически приемлемая соль по п.31, где в формуле (I) R4 представляет метил, бензил или «бензил, моно- и дизамещенный заместителем, выбранным из атома галогена и метила». 33. Соединение или его фармацевтически приемлемая соль по п.32, где в формуле (I) R2 представляет метил, этил, изопропил или циклопропил. 34. Соединение, имеющее следующую формулу (I), или его фармацевтически приемлемая соль 35. Соединение, имеющее следующую формулу (I), или его фармацевтически приемлемая соль 36. Соединение или его фармацевтически приемлемая соль по п.35, где в формуле (I) R2 представляет метил, этил, изопропил или циклопропил. 37. Соединение или его фармацевтически приемлемая соль по п.34, где в формуле (I) R4 представляет метил, бензил или «бензил, моно- и дизамещенный заместителем, выбранным из атома галогена и метила» и R2 представляет метил, этил, изопропил или циклопропил. 38. Соединение или его фармацевтически приемлемая соль по п.34, где в формуле (I) R1 представляет алкил, содержащий 1-6 атомов углерода, алкенил, содержащий 3-5 атомов углерода, 2-пропинил, циклоалкил, содержащий 3-6 атомов углерода, или «алкил, содержащий 1-6 атомов углерода, который замещен циклоалкилом, содержащим 3-6 атомов углерода, трифторметилом, фенилом, гидроксилом, метокси, диметиламино или морфолиногруппой». 39. Соединение или его фармацевтически приемлемая соль по п.34, где в формуле (I) R1 представляет метил, этил, пропил, изопропил, циклобутил, циклопентил, циклопропилметил или 3-метоксипропил. 40. Соединение или его фармацевтически приемлемая соль по п.39, где в формуле (I) R4 представляет метил, бензил или «бензил, моно- и дизамещенный заместителем, выбранным из атома галогена и метила». 41. Соединение или его фармацевтически приемлемая соль по п.40, где в формуле (I) R2 представляет метил, этил, изопропил или циклопропил. 42. Способ лечения аутоиммунного заболевания, такого как болезнь Крона, синдром раздраженного кишечника, синдром Шегрена, рассеянный склероз или системная красная волчанка, или ревматоидного артрита, астмы, атопического дерматита, реакции отторжения после трансплантации органа, злокачественного заболевания, ретинопатии, псориаза, остеоартроза и возрастной дегенерации желтого пятна сетчатки, соединением формулы (I) или его фармацевтически приемлемой солью 43. Применение следующего соединения формулы (I) или его фармацевтически приемлемой соли для получения средства для лечения аутоиммунного заболевания, такого как болезнь Крона, синдром раздраженного кишечника, синдром Шегрена, рассеянный склероз или системная красная волчанка, или ревматоидного артрита, астмы, атопического дерматита, реакции отторжения после трансплантации органа, злокачественного заболевания, ретинопатии, псориаза, остеоартроза и возрастной дегенерации желтого пятна сетчатки,
|
||||||||||||||||||||||||||





;


















представляет защитную группу для аминогруппы, такую как трет-бутоксикарбонил или бензилоксикарбонил, и R3, R4 и R’ имеют значения, определенные выше,














м.д.: 0,89 (т, J=7,3 Гц, 3H), 1,20-1,80 (м, 4H), 3,52 (с, 3H), 3,87-3,98 (м, 1H), 5,11 (д, J=9,5 Гц, 1H), 7,47 (д, J=8,9 Гц, 2H), 7,77 (д, J=8,9 Гц, 2H).







































































































