Патент на изобретение №2383330
|
||||||||||||||||||||||||||||||||||||||||||||
(54) ИНГИБИРОВАНИЕ БАКТЕРИАЛЬНОГО ОСАЖДЕНИЯ НА ПОВЕРХНОСТЯХ ПОЛОСТИ РТА
(57) Реферат:
Изобретение относится к области гигиены, более конкретно к композиции для орального приименения для ингибирования бактериального осаждения на поверхностях полости рта, содержащей бетаиновое поверхностно-активное вещество и гомо- или сополимер, содержащий мономер, представленный формулой (I):
Изобретение позволяет обеспечить ингибирование осаждения и/или прикрепления бактерий к поверхностям полости рта, а также стимуляцию и поддержание системного здоровья человека посредством снижения воспаления в полости рта. 4 н. и 16 з.п. ф-лы.
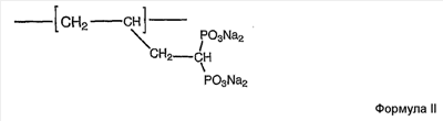
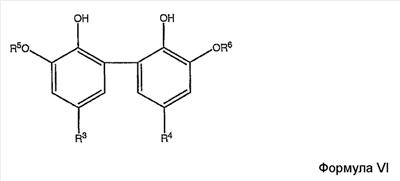
Ряд болезненных состояний вызваны действием бактерий в полости рта. Например, гингивит, воспаление в результате инфекции десен и альвеолярной кости, вызывается токсинами и другими веществами, секретируемыми бактериями, образующими бляшки, которые включают Actinomyces viscosus. Кроме того, бляшки образуют очаги для образования камней или плотных отложений на зубах. Периодонтит может развиваться, когда неудаленная бляшка отверждается в камень (плотное отложение), которые могут воздействовать на периодонтальные связки. По мере того, как бляшки и плотные отложения на зубах продолжают нарастать, десны начинают уменьшаться, что приводит к продолжающейся инфекции и потенциально к потере зубов. Для профилактики или лечения этих болезненных состояний в композиции для ухода за полостью рта, такие как зубные пасты и средства для полоскания полости рта, вводят антибактериальные средства. Ранее предлагалось и использовалось множество материалов для контроля за бляшками, камнями, отложениями на зубах, гингивитом и относящимися к ним болезненными состояниями. Эти общепринятые композиции могут быть эффективными. Однако, принимая во внимание несоизмеримые медицинские, терапевтические и экономические потребности пациентов по уходу за полостью рта, тем не менее является желательным предоставить композиции и способы, которые сходным образом являются эффективными против осаждения и присоединения бактерий на поверхностях полости рта, например, для профилактики или снижения образования бляшек и других заболеваний и нарушений, которым способствуют бактерии в полости рта. Изобретение направлено на пероральную композицию, которая содержит амфотерное поверхностно-активное вещество и гомо- или сополимер этиленового мономера. Этиленовый мономер включает фосфонатную группу. Мономер может быть представлен структурой Формулы (I): где один из А и A’ представляет собой водород, а другой выбирают из атома водорода или группы -(X)nRm; где n представляет собой число, выбранное из 0 или 1; при условии, что, когда n равно 0, m равно 1, а когда n равно 1, m представляет собой число от 1 до 3; Х выбирают из атома кислорода, атома серы, атома азота, атома фосфора и атома кремния; R независимо представляет собой атом водорода или органический радикал; L выбирают из связи и связывающей группы; M и M’ независимо выбирают из атома водорода, щелочного металла и иона аммония или вместе образуют щелочно-земельный металл или другой дивалентный элемент; и p равен 1 или 2, при условии, что, когда L представляет собой связь, p равно 1. Также включены способы ингибирования осаждения бактерий и способы стимуляции и поддержания системного здоровья посредством снижения воспаления в полости рта через применение пероральной композиции. ПОДРОБНОЕ ОПИСАНИЕ ИЗОБРЕТЕНИЯ Изобретение относится к композициям и способам для ингибирования бактериального осаждения на поверхностях полости рта. В частности, изобретение относится к применению композиций, включающих полимеры фосфоновой кислоты и/или сополимеры в сочетании с амфотерными поверхностно-активными веществами для ингибирования осаждений и/или прикрепления бактерий рта к поверхностям полости рта, таким образом ингибируя образование бляшек. Такие композиции могут быть нанесены на поверхности рта в чистом виде или могут включать другие активные средства во время или после нанесения. Изобретение предоставляет пероральную композицию, содержащую комбинацию амфотерного поверхностно-активного вещества и гомо- или сополимера, содержащего этиленовый мономер, который содержит фосфонатные группы. Композиция может принимать любую форму, пригодную для введения в полость рта, включая зубной порошок, средство для полоскания рта, лепешку, жевательную резинку, конфету, суспензию, таблетку, порошок, пасту или гель. Иллюстративно, амфотерное поверхностно-активное вещество может представлять собой бетаиновое поверхностно-активное вещество, а гомо- или сополимер представляет собой сополимер винилфосфоновой кислоты. В предпочтительных вариантах осуществления композиции дополнительно содержат фенолсодержащее соединение. Гомо- или сополимер может представлять собой любой известный или разрабатываемый в данной области сополимер и включает полимеры, которые содержат этиленовые мономеры, содержащие фосфонатные группы (группу) (далее здесь Может быть предпочтительно, что ЕМР представляет собой структуру, представленную Формулой (I): В Формуле (I), по меньшей мере, один из А и A’ представляет собой водород, а другой является атомом водорода или группой -(X)nRm, где n независимо равен 0 или 1; при условии, что, когда n равно 0, m равно 1, а когда n равно 1, m независимо представляет собой число от 1 до 3. Группа, представленная L, может представлять собой связь или связывающую группу, предпочтительно алкиленовую группу (содержащую только алифатический углерод) или алкиленимино группу (содержащую алифатический азот в дополнение к алифатическому углероду). В некоторых вариантах осуществления может быть предпочтительным, что связывающая группа L содержит от 1 до 12 общих атомов углерода и атом азота; от 1 до 8 атомов углерода и атом азота, от 1 до 6 общих атомов углерода и атом азота. Группа, представленная p, равна 1 или 2, при условии, что, когда L является связью, р равно 1. Более предпочтительные гомо- или сополимеры для применения в композициях изобретения включают те, которые содержат множество фосфонатных групп. В одном варианте осуществления полимер представляет собой гомо- или сополимер, который содержит множество повторяющихся структурных единиц Формулы I. Например, полимер может быть выбран из замещенных или незамещенных углеводородных радикалов: алкила, циклоалкила, алкенила, ацила, алкокси, алкилтио, алкилсульфокси, алкилсульфонила, алкиламино, диалкиламино, диалкилфосфинила, диалкилфосфинокси триалкилсилильных радикалов; бензила, бензоила, бензилокси, бензилтио, бензилсульфокси, бензилсульфонила, бензиламино, бензоиламидо, фенила, фенокси, фенилтио, фенилсульфокси, фенилсульфонила, фениламино, фенилацетамидо, ксилила, пиридила и фуранила. В одном варианте осуществления полимер, где гомо- или сополимер содержит, по меньшей мере, один ЕМР Формулы (I), n может быть равен 0, а группы R могут независимо выбираться из водорода, С1-6 алкила, С3-6 циклоалкила, фенильного и бензильного радикалов. Иллюстративно, гомо- или сополимер представляет собой гомополимер, в котором А в формуле (I) представляет собой -(X)nRm, где n равно 0, m равно 1, и R представляет собой С1-6алкильную или фенильную группу, а А’ является водородом. Там, где R представляет собой метильную группу, такой гомополимер представляет собой поли(1-фосфонопропен) или его соль. Альтернативно, там, где R представляет собой фенильную группу, гомополимер представляет собой поли(в-стиролфосфоновую кислоту) или ее соль. ЕМР может присутствовать в форме его фосфоновой кислоты, где М и М’ каждый представляет собой водород, или в виде ее соли (включая частичную соль), где, по меньшей мере, в одном мономере, по меньшей мере, один из М и М’ представляет собой щелочной металл, типично натрий или калий или аммоний; или М и М’ вместе представляют собой щелочно-земельный элемент (такой, как кальций) или другой дивалентный элемент. В одном варианте осуществления ЕМР представляет собой гомополимер винилфосфоновой кислоты или его соль (включая частичную соль). Такое соединение описывается здесь как Полимер может иметь любую молекулярную массу и она может изменяться в пределах композиции в зависимости от природы конкретной готовой формы и ожидаемого положительного результата. Например, полимер может иметь среднюю молекулярную массу, равную, по меньшей мере, приблизительно 1000, предпочтительно приблизительно от 1000 до 100000, приблизительно от 5000 до 100000, приблизительно от 10000 до 100000, приблизительно от 15000 до 100000, приблизительно от 20000 до 100000, приблизительно от 25000 до 90000. В одном варианте осуществления средняя молекулярная масса составляет не менее чем приблизительно 22000, например приблизительно от 22000 до 90000, приблизительно от 22000 до 70000 или приблизительно от 25000 до 35000. В еще одном варианте осуществления средняя молекулярная масса составляет не более чем приблизительно 20000, например приблизительно от 5000 до 20000 или приблизительно от 5000 до 15000. Альтернативно, полимер может представлять собой сополимер структурных блоков (а), имеющих молекулярную конфигурацию блоков, являющихся производными винилфосфоновой кислоты; и блоков (b), являющихся производными винилфосфонилфторида. Отношение блоков (а) к блокам (b), равное приблизительно от 2:1 до 25:1, является предпочтительным. Блоки (а) в сополимере могут быть изображены как имеющие структурную формулу: (а) n является числовым значением, представляющим количество блоков (a). Блоки (b) могут быть изображены как имеющие структурную формулу: m Блоки (а) и блоки (b) могут быть статистически распределены в молекуле сополимера и сополимер может также содержать минорные части, являющиеся производными от других этиленненасыщенных мономеров, которые по типу и количеству являются нетоксичными и предпочтительно не оказывают воздействия на желательные активности сополимера против бляшек и против гингивита. Другие такие мономеры могут, например, включать олефины, такие как этилен, пропилен, изопропилен, бутилен и изобутилен; простые эфиры винила и низших алкилов, такие как простые эфира винила и метила, этила и изобутила; альфа, бета-ненасыщенные карбоновые кислоты и их сложные эфиры с низшими алкилами и замещенными низшими алкилами, такие как акриловая, метакриловая, аконитовая, малеиновая и фумаровая кислоты и их метиловый, этиловый, изобутиловый и диметиламиноэтиловый сложные эфиры; аллиловый спирт и ацетат; винил- и винилиденгалогениды; сложные виниловые эфиры алканоевой кислоты, такие как винилацетат и бутират; акриламид и метакриламид и их N-низший алкил- и N,N-ди(низший алкил)-замещенные производные; другие винилфосфонилгалогениды и т.п. Сополимеры (а) и (b) данного изобретения должны предпочтительно иметь среднечисловую молекулярную массу, равную приблизительно от 2000 до 50000, более предпочтительно приблизительно от 3500 до 16000. Они могут быть получены полимеризацией смеси винилфосфонилхлорида в качестве предшественника блоков (а) и винилфосфонилфторида в качестве предшественника блоков (b), наряду с необязательными другими мономерами, в, по существу, безводных условиях в присутствии свободнорадикального катализатора, и далее смешиванием полученного в результате сополимера с водой для гидролитической конверсии блоков винилфосфонилхлорида в сополимере до блоков (а) винилфосфоновой кислоты. В еще одном варианте осуществления фосфонатные полимеры, применимые в композициях изобретения, содержат гомо- или сополимер винилфосфоновой кислоты. В предпочтительных вариантах осуществления, со- или гомополимер винилфосфоновой кислоты имеет молекулярную массу, равную приблизительно от 4000 до 9100, более предпочтительно приблизительно от 6000 до 8900, определяемую как среднечисловая молекулярная масса посредством гель-проникающей хроматографии. Подходящие полимеры получают в соответствии с известными способами полимеризацией винилфосфонилдихлорида в, по существу, безводных условиях в присутствии свободнорадикального катализатора. После полимеризации полученный в результате полимер промывают водой для гидролиза блоков винилфосфонилдихлорида до блоков фосфоновой кислоты. Полученный в результате полимер в виде свободной кислоты желательно переводят в солевую форму посредством нейтрализации, включая частичную нейтрализацию, основным веществом, содержащим перорально приемлемый катион, такой как щелочной металл, аммоний, органические амины, щелочные земли и т.д. Сополимеры, содержащие винилфосфоновые кислоты, могут также содержать минорные части, содержание которых предпочтительно составляет менее чем приблизительно 50 мас.%, более предпочтительно, менее чем приблизительно 10 мас.% и, более предпочтительно, менее чем приблизительно 2 мас.% повторяющихся блоков, являющихся производными других нефторированных этиленненасыщенных мономеров. Неограничивающие примеры таких нефторированных мономеров даны выше. В различных вариантах осуществления фосфонатные полимеры изобретения содержат повторяющиеся блоки Формулы I, где L представляет собой алкиленовую или алкиленимино соединяющую группу. Представительные полимеры, где L представляет собой алкилен, включают поли(бутен-4,4-дифосфонат) натрия, имеющий блоки формулы (II): Сходным образом, иллюстративный полимер, в котором L представляет собой алкиленимино, представляет собой поли(аллилбис(фосфоноэтил)амин), имеющий блоки формулы (III): Композиции изобретения также содержат амфотерное поверхностно-активное вещество. Амфотерные поверхностно-активные вещества включают такие вещества, которые в зависимости от рН, приобретают либо отрицательный или положительный заряд. Подходящие амфотерные поверхностно-активные вещества включают без ограничения производные С8-20 алифатических вторичных или третичных аминов, имеющих ионную группу, такую как карбоксильная, сульфат, сульфонат, фосфат или фосфонат. Бетаиновые поверхностно-активные вещества могут быть предпочтительными. В одном варианте осуществления бетаиновые поверхностно-активные вещества являются производными триметилглицина (бетаина). Они могут быть характеризованы следующей структурой, представленной формулой (IV): где RI и RII независимо являются водородом или низшим алкилом, таким как С1-4 алкил, предпочтительно метилом. RIII представляет собой гидрофобную группу, содержащую 6 или более, предпочтительно 8 или более и, наиболее предпочтительно, 12 или более атомов углерода. В одном варианте осуществления RIII представляет собой алкильную группу, а амфотерное поверхностно-активное вещество представляет собой алкилбетаин. Нограничивающим примером является лаурилбетаин. В еще одном варианте осуществления RIII представляет собой алкамидоалкильную группу, а амфотерное поверхностно-активное вещество представляет собой амидоалкилбетаин. Неограничивающим примером является кокоамидопропилбетаин. В предпочтительных вариантах осуществления композиции дополнительно содержат одно или несколько фенол-содержащих соединений. В различных вариантах осуществления фенолсодержащие соединения могут функционировать в качестве ароматизаторов и/или антибактериальных средств. Они характеризуются как имеющие бензольное кольцо с непосредственно присоединенной гидроксильной группой. Другие положения фенольного цикла могут быть замещены разнообразными группами, такими как С1-4 алкил, гидроксил, алкокси и галоген. Фенолсодержащие соединения также включают галогенированные дифенилэфирные соединения, такие как триклозан и дифенольные вещества, такие как гонокиол и магнолол. Неограничивающие примеры фенолсодержащих соединений включают карватрол, эвгенол, 4-гексилрезорцин, бромхлорпропен, тимол и триклозан. Дополнительные неограничивающие примеры фенольных соединений включают фенол и его гомологи; моно- и полиалкил и ароматические галогенфенолы, резорцин и катехин, а также их производные; и бисфенольные соединения. Примеры ароматических галогенфенолов включают орто-хлорфенолы, пара-хлорфенолы, пара-бромфенолы и орто-бромфенолы. Дополнительное неограничивающее раскрытие индивидуальных фенолсодержащих соединений можно найти, например, в US 5296214, столбец 3, строка 10, по столбцу 4, строка 32, раскрытие которого включено в данное описание посредством ссылки. Бисфенольные соединения включают гонокиол, магнолол, дегидроэвгенол и их структурные аналоги. В одном варианте осуществления фенолсодержащее соединение имеет структуру, представленную формулой (V): где один из X и Y представляет собой -ОН, а другой является -Н, а R1 и R2 представляют собой независимо С1-8 алкил или С1-8 алкенил. Примеры включают магнолол, гонокиол и их аналоги. В еще одном варианте осуществления фенолсодержащее соединение имеет структуру, представленную формулой (VI): где R3 и R4 представляют собой независимо С1-8 алкил или С1-8 алкенил, а R5 и R6 представляют собой независимо С1-4 алкил, предпочтительно метил. Примеры включают дегидроэвгенол и структурные аналоги. Композиции изобретения содержат фосфонатный полимер, амфотерное поверхностно-активное вещество и, предпочтительно, фенолсодержащее соединение в количествах, эффективных для ингибирования прикрепления бактерий бляшек к поверхностям полости рта. В удобной модели действие ингибирования образования бляшек на зубах симулируется посредством измерения прикрепления Actinomyces viscosus на покрытые слюной гидроксильные аппетитные шарики в соответствии со стандартными способами. В различных вариантах осуществления пероральная композиция находится в форме, пригодной для нанесения на поверхность полости рта для предотвращения или ингибирования образования бактериальной пленки. Неограничивающие примеры пероральных композиций включают зубные пасты или зубные гели, зубные порошки, средства для промывания рта, средства для полоскания рта, лепешки для перорального приема, жевательные резинки, съедобные полоски и т.п. В зависимости от физической формы пероральные композиции содержат общепринятые ингредиенты в дополнение к фосфонатному полимеру, амфотерному поверхностно-активному веществу и, предпочтительно, фенольному соединению. В дополнение к биологически приемлемому носителю, пероральные композиции изобретения предпочтительно содержат эффективное количество соединения или соединений, которые ингибируют рост бактерий в полости рта. В некоторых вариантах осуществления такое соединение представляет собой фенолсодержащее соединение, как описано выше. Альтернативно, пероральные композиции содержат антибактериальные соединения, отличные от фенолсодержащего соединения. В различных вариантах осуществления антибактериальное эффективное количество составляет приблизительно от 0,001% до 10% в расчете от полной массы пероральной композиции, например от 0,01% до приблизительно 5% или приблизительно от 0,1% до 2%. Эффективное количество будет изменяться в зависимости от формы пероральной композиции. Например, в зубных пастах, зубных гелях и зубных порошках эффективное количество обычно составляет, по меньшей мере, приблизительно 0,01% и более предпочтительно, по меньшей мере, приблизительно 0,05%. В некоторых предпочтительных вариантах осуществления антибактериальное соединение присутствует в зубной пасте, геле или порошке на уровне 0,1% или более для достижения требуемого уровня антибактериальной активности. Обычно антибактериальное соединение формулируют при 5% или менее, предпочтительно приблизительно 2% или менее и, более предпочтительно, приблизительно 1% или менее в расчете от общей массы композиции. Могут применяться концентрации верхнего конца этих пределов, но они иногда являются менее предпочтительными по экономическим причинам. В различных вариантах осуществления оптимальная эффективность достигается при приблизительно от 0,1% до 1%, особенно приблизительно от 0,1% до 0,5% или приблизительно от 0,1% до 0,3%, где все процентные содержания приведены в расчете от общей массы пероральной композиции. Количества, применяемые в зубных гелях, зубных порошках, резинках, съедобных полосках и т.п., сравнимы с количествами, применяемыми в зубных пастах. В средствах для промывания и полоскания рта антибактериальное количество обычно находится на нижней стороне вышеуказанных интервалов. Типично, антибактериальное соединение применяют на уровне приблизительно от 0,001% (или 10 частей на миллион) до 1% или менее, предпочтительно, приблизительно 0,5% или менее или приблизительно 0,2% или менее. Предпочтительно оно составляет 0,01% (100 чнм) или выше. В различных вариантах осуществления пероральные композиции содержат приблизительно от 0,03 до 0,12 мас.% антибактериального соединения. В дополнение к антибактериальному соединению, в различные композиции изобретения включены некоторые количества активных ингредиентов и функциональных материалов. Такие материалы включают, без ограничения, абразивы, увлажнители, поверхностно-активные вещества, антикалькулезные средства, загустители, модификаторы вязкости, средства против кариеса, ароматизаторы, красители, дополнительные антибактериальные средства, антиоксиданты, противовоспалительные компоненты и т.д. Их добавляют к пастам, ополаскивающим средствам, резинкам, лепешкам, полоскам и другим формам пероральных композиций изобретения в соответствии с известными способами. В различных вариантах осуществления пероральная композиция предпочтительно содержит приемлемый для стоматологии абразивный материал, который служит либо для полировки зубной эмали или обеспечения отбеливающего эффекта. Неограничивающие примеры включают абразивы оксида кремния, такие как силикагели и осажденные оксиды кремния. Примышленные варианты осуществления включают ZEODENT® 115, поставляемый на рынок J. Huber и SYLODENT® XWA, SYLODENT® 783 или SYLODENT® 650 XWA от Davison Chemical Division W.R. Grace & Co. Другие применимые абразивы зубных порошков включают, без ограничения, метафосфат натрия, метафосфат калия, трикальцийфосфат, дигидратированный дикальцийфосфат, силикат алюминия, кальцинированный оксид алюминия, бентонит или другие содержащие кремний материалы или их комбинации. Композиция изобретения может содержать увлажнитель, применимый, например, для предотвращения отверждения зубной пасты под воздействием воздуха. Может применяться любой перорально приемлемый увлажнитель, включая, без ограничения, многоатомные спирты, такие как глицерин, сорбит, ксилит и PEG (полиэтиленгликоли) с низкой молекулярной массой. Большинство увлажнителей функционируют в качестве заменителей сахара. Один или несколько увлажнителей необязательно присутствуют в общем количестве, равном приблизительно от 1% до 70%, например приблизительно от 1% до 50%, приблизительно от 2% до 25% или приблизительно от 5% до 15% от общей массы композиции. Композиция может содержать поверхностно-активные вещества, отличные от амфотерных поверхностно-активных веществ, которые обеспечивают синергитический эффект против бляшек. Могут применяться любые перорально приемлемые поверхностно-активные вещества, большинство из которых являются анионными, неионными или амфотерными. Пригодные анионные поверхностно-активные вещества включают без ограничения водорастворимые соли С8-20 алкилсульфатов, сульфонированные моноглицериды С8-20 жирных кислот, саркозинаты, таураты и т.п. Иллюстративные примеры этих и других классов включают лаурилсульфат натрия, моноглицеридсульфонат натрия кокосового ореха, лаурилсаркозинат натрия, лаурилизотионат натрия, лауреткарбоксилат натрия и додецилбензолсульфонат натрия. Пригодные неионные поверхностно-активные вещества включают без ограничения полоксамеры, сложные эфиры полиоксиэтиленсорбитана, этоксилаты жирных спиртов, алкилфенолэтоксилаты, оксиды третичных аминов, оксиды третичных фосфинов и диалкилсульфоксиды. Пригодные амфотерные поверхностно-активные вещества включают без ограничения производные С8-20 алифатических вторичных и третичных аминов, имеющих анионную группу, такую как карбоксилат, сульфат, сульфонат, фосфат или фосфонат. Подходящим примером является кокоамидопропилбетаин. Одно или несколько поверхностно-активных веществ необязательно присутствуют в общем количестве, равном приблизительно от 0,01% до 10%, например приблизительно от 0,05% до 5% или приблизительно от 0,1% до 2% от общей массы композиции. Антикулькулезное средство может представлять собой любое средство из известных или разрабатываемых в данной области. Могут присутствовать одно или несколько таких средств. Пригодные антикалькулезные средства включают без ограничения фосфаты и полифосфаты (например, пирофосфаты), полиаминопропансульфоновую кислоту (AMPS), тригидрат цитрата цинка, полипептиды, такие как полиаспарагиновая и полиглутаминовая кислоты, полиолефинсульфонаты, полиолефинфосфаты, дифосфонаты, такие как азациклоалкан-2,2-дифосфонаты (например, азациклогептан-2,2-дифосфоновая кислота), N-метилазациклопентан-2,3-дифосфоновую кислоту, этан-1-гидрокси-1,1-дифосфоновую кислоту (EHDP) и этан-1-амино-1,1-дифосфонат, фосфоноалканкарбоновые кислоты и соли любых из этих средств, например их соли щелочных металлов и аммония. Применимые соли неорганических фосфатов и полифосфатов иллюстративно включают моноосновные, диосновные и трехосновные фосфаты натрия, триполифосфат натрия (STPP), тетраполифосфат, пирофосфаты моно-, ди-, три- и тетранатрия, дигидропирофосфат динатрия, триметафосфат натрия, гексаметафосфат натрия и т.п., в которых натрий может необязательно быть замещен калием или аммонием. Другие применимые антикалькулезные средства включают поликарбоксилатные полимеры. Эти полимеры включают полимеры или сополимеры мономеров, которые содержат группы карбоновой кислоты, такой как акриловая кислота, метакриловая кислота и малеиновая кислота или ее ангидрид. Неограничивающие примеры включают сополимеры поливинилметилового эфира/малеинового ангидрида (PVME/MA), такие как те, что доступны на рынке под торговой маркой GantrezTM от ISP, Wayne, NJ. Еще другие применимые антикалькулезные средства включают связывающие средства, включающие гидроксикарбоновые кислоты, такие как лимонная, фумаровая, яблочная, глутаровая и щавелевая кислоты и их соли и аминополикарбоновые кислоты, такие как этилендиаминтетрауксусная кислота (EDTA). Одно или несколько антикалькулезных средств необязательно присутствуют в композиции в антикалькулезном эффективном общем количестве, типично равном приблизительно от 0,01% до 50%, например приблизительно от 0,05% до 25% или приблизительно от 0,1 до 15 мас.%. В еще одном варианте осуществления композиция содержит перорально приемлемый источник фторидных ионов. Могут присутствовать один или несколько таких источников. Подходящие источники фторидных ионов включают фторид, монофторфосфатные и фторсиликатные соли и фториды аминов, включающие олафлур (N’-октадецилтриметилендиамин-N,N,N’-трис(2-этанол)-дигидрофторид). Может применяться любая такая соль, которая является перорально приемлемой, включая без ограничения соли щелочных металлов (например, калия, натрия), аммония, олова и индия. Типично применяются водорастворимые фторидвысвобождающие соли. Одна или несколько фторидвысвобождающих солей необязательно присутствуют в количестве, обеспечивающем приблизительно от 100 до 20000 чнм (частей на миллион), приблизительно от 200 до 5000 чнм или приблизительно от 500 до 2500 чнм фторидных ионов. Там, где фторид натрия является единственной присутствующей фторидвысвобождающей солью, в композиции может присутствовать иллюстративно количество, равное приблизительно от 0,01% до 5%, приблизительно от 0,05% до 1% или приблизительно от 0,1 до 0,5 мас.% фторида натрия. Другие компоненты включают без ограничения ароматизаторы, красители и другие активные ингредиенты, такие как антиоксиданты и противовоспалительные средства. Компоненты формулируют в пероральные композиции в соответствии с известными методиками. Зубные пасты и гели содержат основные количества увлажнителей и обычно абразивное соединение или соединения для чистки зубов. Их формулируют вместе с различными активными ингредиентами, такими как средства против кариеса, соединение против бляшек, противовоспалительные средства и т.п., в дополнение к антибактериальному соединению I. Средства для полоскания рта и средства для промывания рта содержат активное соединение I в жидком носителе, таком как вода или смесь вода/этанол. В целом, композиции содержат основное количество растворителя до 98 или 99 мас.%. Активное соединение I необязательно формулируют вместе с поверхностно-активными средствами, красителями, ароматизаторами и другими активными ингредиентами. В еще одном варианте осуществления изобретение предоставляет способ ингибирования образования бляшек на поверхности полости рта у животного. Способ включает в себя нанесение на поверхность полости рта пероральной композиции, которая содержит амфотерное поверхностно-активное вещество в сочетании с этиленовым полимерным материалом, содержащим множество фосфонатных групп. Этиленовый полимерный материал в различных вариантах осуществления включает фосфонатные полимеры, описанные выше. Композиция предпочтительно содержит бетаиновое поверхностно-активное вещество и дополнительно содержит фенолсодержащее соединение. В различных вариантах осуществления наблюдают, что композиция при нанесении на поверхность полости рта, такую как зубы, ингибирует образование бляшек на поверхности в большей степени, чем композиции, в которых отсутствуют либо полимерный материал или амфотерные поверхностно-активные вещества. Способ может осуществляться на людях или пациентах, не являющихся людьми. В еще одном варианте осуществления изобретение предоставляет способ улучшения или поддержания системного здоровья пациента. Способ включает в себя нанесение в полости рта пациента пероральной композиции, содержащей перорально приемлемый носитель, бетаиновое поверхностно-активное вещество, полимер, содержащий множество фосфонатных групп и антибактериальную фенольную композицию. Нанесение композиции в полости рта снижает уровень бактерий. В различных вариантах осуществления полимер содержит любой из фосфонатных полимеров, описанных выше. ПРИМЕРЫ Пример 1 – готовая форма средства для полоскания рта
Вышеуказанные ингредиенты объединяют в средство для полоскания рта, которое может применяться дважды в день. Пример 2 – готовая форма зубной пасты
Вышеуказанные ингредиенты формулируют в зубную пасту, которую можно применять дважды в день. Пример 3 Формулу средства для полоскания рта Примера I тестируют на предмет процента ингибирования бляшек в клиническом испытании на людях. Ее сравнивают со сходной готовой формой, но с такой, в которой отсутствует бетаин и фенолсодержащее соединение. Для средства полоскания рта Примера 1 наблюдают 36% ингибирования бляшек. Для сравнительного средства полоскания рта без бетаина и фенолсодержащего соединения наблюдают 21% ингибирования бляшек. Пример 4 Различные готовые формы средства для полоскания рта сравнивают со средством для полоскания рта Примера 1. Как и в Примере 6, средство для полоскания рта Примера 1 показывает 36% ингибирования бляшек. Сравнительный пример подобно Примеру 1, но содержащий 0,03 триклозана вместо PVPA, показывает 26% снижение бляшек. Средство для полоскания рта как в Примере 1, но без PVPA и фенольного ароматизатора показывает 19% ингибирования бляшек. Средство для полоскания рта как в Примере 1, но в котором отсутствуют тегобетаин и фенольный ароматизатор, показывает 21% ингибирования бляшек. Средство для полоскания рта как в Примере 1, но в котором отсутствует PVPA, показывает 13% ингибирования бляшек.
Формула изобретения
1. Композиция для орального применения для ингибирования бактериального осаждения на поверхностях полости рта, содержащая: 2. Композиция по п.1, выбранная из группы, состоящей из зубного порошка, средства для полоскания рта, лепешки и жевательной резинки. 3. Композиция по п.1, в которой полимер представляет собой сополимер винилфосфоновой кислоты. 4. Композиция по п.1, дополнительно содержащая фенолсодержащее соединение. 5. Композиция по п.1, в которой полимер представляет собой поливинилфосфоновую кислоту. 6. Композиция по п.4, в которой фенолсодержащее соединение выбрано из карватрола, эвгенола, 4-гексилрезорцина, бромхлорпропена, тимола, триклозана, резорцина, катехина, ортохлорфенолов, парахлорфенолов, парабромфенолов, ортобромфенолов, гонокиола, магнолола, дегидроэвгенола и их смесей. 7. Композиция по п.1, где L представляет собой связывающую группу, выбранную из алкиленового радикала или алкиленимино радикала. 8. Композиция по п.1, в которой полимер имеет среднечисловую молекулярную массу, по меньшей мере, приблизительно 1000. 9. Композиция по п.6, где L представляет собой связь. 10. Композиция по п.6, где n равно 0. 11. Композиция для орального применения для ингибирования бактериального осаждения на поверхностях полости рта, содержащая: 12. Композиция по п.11, в которой гомо- или сополимер содержит мономер поливинилфосфоновой кислоты. 13. Композиция по п.11, дополнительно содержащая фенолсодержащее соединение. 14. Композиция по п.13, в которой фенолсодержащее соединение выбрано из карватрола, эвгенола, 4-гексилрезорцина, бромхлорпропена, тимола, триклозана, резорцина, катехина, ортохлорфенолов, парахлорфенолов, парабромфенолов, ортобромфенолов, гонокиола, магнолола, дегидроэвгенола и их смесей. 15. Способ ингибирования адгезии бактерий на поверхности зубов, включающий нанесение на поверхность полости рта композиции для орального применения, содержащей 16. Способ по п.15, в котором полимер композиции представляет собой сополимер винилфосфоновой кислоты. 17. Способ по п.15, в котором композиция дополнительно включает фенолсодержащее соединение. 18. Способ по п.15, в котором полимер композиции представляет собой полимер поливинилфосфоновой кислоты. 19. Способ по п.17, в котором фенолсодержащее соединение, выбрано из карватрола, эвгенола, 4-гексилрезорцина, бромхлорпропена, тимола, триклозана, резорцина, катехина, ортохлорфенолов, парахлорфенолов, парабромфенолов, ортобромфенолов, гонокиола, магнолола, дегидроэвгенола и их смесей. 20. Способ стимуляции или улучшения системного здоровья человека, включающий нанесение на поверхность полости рта пероральной композиции, содержащей
|
||||||||||||||||||||||||||||||||||||||||||||

517

EMP
) только, или которые содержат EMP, которые сополимеризуются с другими мономерами. При таких обстоятельствах является предпочтительным, что сополимер содержит ЕМР и другие мономер(ы) в соотношении, равном приблизительно 1:1, 2:1, 5:1 или 10:1. Иллюстративно, гомо- или сополимер включает сополимер винилфосфоновой кислоты и до 50% моль одного или нескольких нефторированных ненасыщенных мономеров, отличных от винилфосфоновой кислоты.






