Патент на изобретение №2167146
|
||||||||||||||||||||||||||
(54) ДИМЕТИЛ(3-АРИЛБУТ-3-ЕНИЛ)АМИНОСОЕДИНЕНИЯ И СПОСОБЫ ИХ ПОЛУЧЕНИЯ
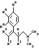
(57) Реферат: Описываются новые соединения – диметил(3-арилбут-3-енил)аминосоединения формулы I, в которой R1 является C1-C5-алкилом, a R2 означает Н либо C1-C5-алкил, или R1 и R2 оба вместе представляют собой – (CH2)2-4-, -(CH2)2-CHR7 либо – СН2-CHR7 – СН2-, R3 означает Н либо C1-C5-алкил, R4 означает Н, ОН, C1-C4-алкил, О-C1-C4-алкил, OR8, CF3, R5 представляет собой Н, ОН, C1-C4-алкил, -О-C1-C4-алкил, CHF2, СF3, OR8 и R6 означает Н, ОН, C1-C4-алкил, -О- C1-C4-алкил, СF3, OR8, при условии, что два из радикалов R4, R5 либо R6 являются Н, или R4 и R5 оба вместе означают – CH=C(R9)-S-, при условии, что R6 является Н, или R5 и R6 оба вместе означают -CH=CH-C(OR10)= CH-, при условии, что R4 является Н, R7 означает C1-C8-алкил, R8 означает СО-С6Н4-R11, R9 означает Н либо C1-C4-алкил, R10 означает Н, R11 означает ОС(O)-C1-C3-алкил, в ортоположении, в виде их оснований и/или солей физиологически приемлемых кислот, в форме энантиомеров или рацематов, при условии, что исключением является рацемат соединения формулы I, в которой R1 и R2 оба вместе представляют собой -(СН2)3-, R3, R4 и R3 означают Н и R5 является OCH3. Соединения обладают анальгезирующей активностью. Описывается также способ их получения. 3 с. и 3 з.п. ф-лы, 1 табл.
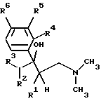
Настоящее изобретение относится к диметил(3-арилбут- 3-енил)аминосоединениям, к способу их получения и к применению этих соединений в лекарственных средствах. Лечение хронических и нехронических болезненных состояний играет в медицине важную роль. В настоящее время во всем мире существует большая потребность в дополнительном и не только за счет применения опиоидных препаратов высокоэффективном обезболивающем лечении. Настоятельная необходимость в осуществлении практических мер по целенаправленному, с учетом индивидуальных особенностей пациента лечению хронических и нехронических болезненных состояний, причем под этим следует понимать успешное и удовлетворительное для пациентов лечение их болезненных ощущений, находит свое отражение в появившихся в последнее время многочисленных научных публикациях, посвященных прикладной анальгетике, а также фундаментальным исследованиям по проблемам ноцицепции. Опиоиды применяют в течение многих лет для обезболивающего лечения, хотя они и вызывают целый ряд побочных эффектов, таких, например, как непреодолимое патологическое влечение и психическая зависимость, депрессия, дыхания, ингибирующее воздействие на желудочно-кишечный тракт и запоры. По этой причине их применение допустимо только лишь при соблюдении соответствующих мер предосторожности, в частности специальных предписаний, особенно в тех случаях, например, когда препараты назначают на длительный период времени или в высокой дозировке (см. Goodman, Gilman “The Pharmacological Basis of Therapeutics”, изд-во Pergamon Press, Нью-Йорк, 1990). Трамадолгидрохлорид, он же (1RS,2RS)-2-диметиламинометил -1-(3-метоксифенил)циклогексанол, гидрохлорид, занимает среди основных эффективных анальгетических средств особое место, поскольку это активное вещество обладает сильным обезболивающим действием, не вызывая в отличие от опиоидов известных побочных явлений (см. Journ. Pharmacol. Exptl. Ther. 267, 331 (1993)). Трамадол представляет собой рацемат и состоит из равных количеств (+)-и (-)-энантиомеров. In vivo это действующее вещество образует метаболит О-десметилтрамадол, также представленный в виде смеси энантиомеров. Проведенные исследования показали, что как энантиомеры трамадола, так и энантиомеры метаболитов трамадола способствуют достижению анальгетического эффекта (см. Journ. Pharmacol. Expti. Ther. 260. 275 (1992)). Положенная в основу изобретения задача состояла в разработке и создании обладающих анальгезирующим действием субстанций, предназначенных для лечения сильных болей и не вызывающих при этом побочных эффектов, типичных для опиоидов. Кроме того, создаваемые субстанции не должны были обладать свойствами, способствующими, как это наблюдается в ряде случаев при лечении трамадолом, проявлению побочных действий, таких, например, как тошнота и рвота. Было установлено, что требованиям, выдвинутым при создании новых субстанций, отвечают определенные диметил(3-арилбут-3-енил)амины. Эти субстанции отличаются ярко выраженным анальгетическим действием, существенно превышающим по своей эффективности трамадол. Предметом изобретения в соответствии с этим являются диметил(3-арилбут-3-енил)аминосоединения формулы I ![]() в которой R1 является C1-C5алкилом, a R2 означает H либо C1-C5алкил или R1 и R2 оба вместе представляют собой -(CH2)2-4-, -(CH2)2-CHR7 либо -CH2-, CH7R-CH2-, R3 означает H либо C1-C5алкил, R4 означает H, ОН, C1-C4алкил, O-C1-C4алкил, О-бензил, CF3, O-CF3, Cl, F либо OR8, R5 представляет собой H, ОН, C1-C4алкил, O-C1-C4алкил, O-бензил, CHF2 CF3, O-CF3, Cl, F либо OR8 и R6 означает H, ОН, C1-C4алкил, O-C1-C4алкил, O-бензил, CF3, O-CF3, Cl, F либо OR8, при условии, что два из радикалов R4, R5 либо R6 являются H, или R4 и R5 оба вместе означают -CH=C(R9)-O- либо -CH=C(R9)-S-, при условии, что R6 является H, или R5 и R6 оба вместе означают -CH=CH-C(OR10)=CH-, при условии, что R4 является H, R7 означает C1-C8алкил, C3-C8циклоалкил, O-C1-C4алкил, O-бензил, CF3, Cl либо F, R8 означает CO-C1-C5алкил, PO(O-C1-C4алкил)2, CO-C6H4-R11, CO(O-C1-C5алкил), CO-CHR12-NHR13, CO-NH-C6H3-(R14)2 либо представляет собой незамещенную или замещенную пиридиловую, тиениловую, тиазоиловую или фенильную группу, 9 означает H либо C1-C4алкил, R10 означает H либо C1-C3алкил, R11 означает OC(O)-C1-C3алкил в орто- положении либо CH2-N-(R15)2 в мета- или пара-положении, где R15 является C1-C4алкилом или оба радикала R15 вместе с N образуют 4-морфолиновый радикал, R12 и R13 являются идентичными либо различными и означают H, C1-C6алкил либо C3-C8циклоалкил или R12 и R13 оба вместе означают -(CH2)3-8-, R14 означает H, ОН, C1-C7алкил, O-C1-C7алкил, фенил, O-арил, CF3, Cl либо F, при условии, что оба радикала R14 являются идентичными или различными, в виде их оснований и/или солей физиологически приемлемых кислот, в форме энантиомеров или рацематов, при условии, что исключением является рацемат соединения формулы I, в которой R1 и R2 оба вместе представляют собой -(CH2)3-, R3, R4 и R6 означают H и R5 является OCH3. Предпочтительные диметил(3-арилбут-3-енил)аминосоединения соответствуют формуле I, где R1 является C1-C3алкилом, а R2 означает H либо C1-C3алкил или R1 и R2 оба вместе представляют собой -(CH2)2-4– либо -(CH2)2-CHR7, R3 означает H либо C1-C3алкил, R4 означает H, ОН, CF3, Cl, F либо OR8, R5 представляет собой H, ОН, C1-C4алкил, O-C1-C4алкил, O-бензил, CHF2, CF3, Cl, F либо OR8 и R6 означает H, ОН, O-C1-C4алкил, O-бензил, CF3, Cl, F либо OR8, при условии, что два из радикалов R4, R5 либо R6 являются H, или R4 и R5 оба вместе означают – CH=C(R9)-O- либо -CH=C(R9)-S-, при условии, что R6 является H, или R5 и R6 оба вместе означают -CH=CH-C(OR10)=CH-, при условии, что R4 является H, и R7 означает C1-C4алкил, CF3, Cl либо F. Особенно предпочтительны диметил(3-арилбут-3-енил)аминосоединения формулы I, в которой R1 является CH3 либо C3H7, а R2 представляет собой H, CH3 либо CH2CH3 или R1 и R2 оба вместе означают -(CH2)2-3– либо -(CH2)2-CHR7, R3 означает H, CH3 либо CH2CH3, R4 означает H либо ОН, R5 означает H, ОН, OCH3, CHF2 либо OR8 и R6 означает H, ОН либо CH3, при условии, что два из радикалов R4, R5 либо R6 являются H, или R4 и R5 оба вместе представляют собой -CH= C(CH3)-S-, при условии, что R6 является H, или R5 и R6 оба вместе означают -CH=CH-C(OH)=CH-, при условии, что R4 является H, и R8 представляет собой CO-C6H4-R11, где R11 означает OC(O)-C1-C3алкил в орто-положении. К наиболее предпочтительным относятся диметил(3-арилбут-3-енил) аминосоединения, где R1 является CH3, а R2 означает H либо CH3 или R1 и R2 оба вместе представляют собой -(CH2)2-3 либо -(CH2-CH(CH3)-, R3 означает H либо CH3, R4 означает H, R5 означает ОН либо OR8, R6 является H и R8 представляет собой CO-C6H4-R11, где R11 означает OC(О) -CH3 в орто-положении. Еще одним предметом изобретения является способ получения диметил(3-арилбут-3-енил)аминосоединений формулы I, в которой R1 является C1-C5алкилом, а R2 означает H либо C1-C5алкил или R1 и R2 оба вместе представляют собой -(CH2)2-4-, -(CH2)2-CHR7 либо -CH2-CHR7-CH2-, R3 означает H либо C1-C5алкил, R4 означает H, C1-C4алкил, O-C1-C4алкил, O-бензил, CF3, O-CF3, Cl либо F, R5 представляет собой H, C1-C4алкил, O-C1-C4алкил, O-бензил, CHF2, CF3, O-CF3, Cl либо F и R6 означает H, C1-C4алкил, O-C1-C4алкил, O-бензил, CF3, O-CF3, Cl либо F, при условии, что два из радикалов R4, R5 либо R6 являются H, или R4 и R5 оба вместе означают -CH=C(R9)-O- либо -CH=C(R9)-S-, при условии, что R6 является H, или R5 и R6 оба вместе означают -CH=CH-C(OR10)=CH-, при условии, что R4 является H, R7 означает C1-C8алкил, C3-C8циклоалкил, O-C1-C4алкил, O-бензил, CF3, Cl либо F, R9 означает H либо C1-C4алкил и R10 означает H либо C1-C3алкил, за исключением соединения формулы I, в которой R1 и R2 оба вместе означают -(CH2)3-, R3, R4 и R6 являются H и R5 представляет собой OCH3, отличающийся тем, что -диметиламинокетон формулы II![]() взаимодействием с металлоорганическим соединением формулы III ![]() в которой Z означает MgCl, MgBr, MgI или Li, трансформируют в третичный спирт формулы IV ![]() который затем дегидратируют с получением в результате соединения формулы I. Взаимодействие -диметиламинокетона с соединением Гриньяра формулы III, в которой Z означает MgCl, MgBr либо MgI, или с литийорганическим соединением формулы III может осуществляться в алифатическом простом эфире, например в диэтиловом эфире и/или тетрагидрофуране в диапазоне температур от -70oC до +60oC. Взаимодействие с соединением Гриньяра может проводиться с добавками либо без добавок проводника реакции, предпочтительно 1,2-дибромэтана. Литийорганические соединения формулы III могут быть получены взаимодействием соединения формулы III, в которой Z означает Cl, Br или J, например с раствором н-бутиллитий-гексан за счет обмена галоген-литий.
Полученные третичные спирты формулы IV можно дегидратировать с помощью кислот, прежде всего муравьиной кислоты либо соляной кислоты, при температурах в интервале от 0oC до 100oC.
Другим предметом изобретения является способ получения диметил(3-арилбут-3-енил)аминосоединений формулы I, в которой R1 является C1-C5алкилом, а R2 означает H либо C1-C5алкил или R1 и R2 оба вместе представляют собой -(CH2)2-4-, -(CH2)2-CHR7 либо -CH2-CHR7-CH2, R3 означает H либо C1-C5алкил, один из радикалов R4, R5 либо R6 означает ОН, а оба других радикала являются H, R7 означает C1-C8алкил, C3-C8циклоалкил, O-C1-C4алкил, O-бензил, CF3, Cl либо F, отличающийся тем, что соединение формулы I, в которой один из радикалов R4, R5 либо R6 означает O-CH3, а оба других радикала являются H, подвергают взаимодействию с гидридом диизобутилалюминия или соединение формулы I, в которой один из радикалов R4, R5 либо R6 означают O-бензил, а оба других радикала являются H, подвергают восстановительному дебензилированию.
Взаимодействие диметил(3-арилбут-3-енил)аминосоединения с гидридом диизобутилалюминия проводят обычно в ароматическом углеводороде, например в толуоле, при температурах в интервале от 60oC до 130oC (см. Synthesis 1975. 617; DE 2409990, DE 2409991; Chem. Abstr. 84, 59862 1974)).
Восстановительное дебензилирование соединения формулы I согласно изобретению, в которой один из радикалов R4, R5 либо R6 означает O-бензил, может осуществляться в присутствии платины или палладия на носителе, например на активированном угле, в присутствии водорода в растворителе, например в уксусной кислоте или C1-C4алкиловом спирте, при давлении от 1 до 100 бар и в диапазоне температур от 20oC до 100oC.
Диметил(3-арилбут-3-енил)аминосоединения общей формулы I, в которой один или несколько из ароматических заместителей 4, R5 и R6 означают OR8, а OR8 представляет собой фосфатную, карбонатную, карбаматную, карбоксилатную или арилокси – либо гетероарилоксигруппу, могут быть получены взаимодействием соответствующего диметил[3-(гидроксифенил)бут-3- енил]аминосоединения формулы I, в которой R4, R5 и/или R6 означают ОН-группу, в виде соли щелочного металла с диалкилхлорфосфатом, алкилхлорформиатом, арил – либо гетероарилизоцианатом, хлорангидридом карбоновой кислоты или арил – либо гетероарилгалогенидом. Указанные реакции проводят обычно в растворителе, например, в толуоле, дихлорметане, диэтиловом эфире и/или тетрагидрофуране, при температурах в интервале от -15oC до +110oC (см. Drugs of the Future 16, 443 (1991); Journ. Med. Chem. 30, 2008 (1989) и 32, 2503 (1989); Journ. Org. Chem. 43, 4797 (1978); Tetrahedron Lett. 1977. 1571; Journ. Pharm. Sci. 57, 774 (1968)). Взаимодействие с арил-, соответственно гетероарилгалогенидом осуществляют с добавками медного порошка и/или галогенида меди (1), служащего катализатором.
Диметил(3-арилбут-3-енил)аминосоединения формулы I, в которой OR8 представляет собой -аминокарбоксилатную группу, можно получить взаимодействием соответствующего диметил [3-(гидроксифенил)бут-3-енил]аминосоединения формулы I, в которой R4, R5 и/или R6 означает OH-группу, с соответствующей 2-трет-бутоксикарбониламинокарбоновой кислотой с использованием триэтиламина и реагентов сочетания, таких, как гексафторфосфат бензтриазол-1-илокситрипирролидинфосфония, в растворителе, например в дихлорметане.
Предлагаемые согласно изобретению соединения формулы I с помощью физиологически приемлемых кислот, таких, например, как соляная кислота, бромистоводородная кислота, серная кислота, метансульфоновая кислота, муравьиная кислота, уксусная кислота, щавелевая кислота, янтарная кислота, винная кислота, миндальная кислота, фумаровая кислота, молочная кислота, лимонная кислота, глутаминовая кислота и/или аспарагиновая кислота, могут переводиться по известной методике в их соли. Реакции солеобразования осуществляют предпочтительно в растворителе, например в диэтиловом эфире, диизопропиловом эфире, алкиловом эфире уксусной кислоты, ацетоне и/или 2-бутаноне. Для получения гидрохлоридов может использоваться, кроме того, триметилхлорсилан в водном растворе.
Предлагаемые согласно изобретению соединения обладают ярко выраженным анальгетическим эффектом и токсикологически совершенно безопасны. Их можно применять поэтому в качестве фармацевтических действующих веществ. Предметом изобретения в соответствии с этим является также применение диметил(3-арилбут-3-енил)аминосоединений формулы I в качестве действующих веществ в лекарственных средствах, предпочтительно в качестве таковых в анальгетиках.
Наряду по крайней мере с одним диметил(3-арилбут-3- енил)аминосоединением формулы I лекарственные средства по изобретению содержат также носители, наполнители, растворители, разбавители, красители и/или связующие вещества. Выбор этих вспомогательных веществ равно как и применяемые количества зависят от способов введения лекарственного средства, т.е. назначают ли его для орального, внутривенного, внутрибрюшинного, внутрикожного, внутримышечного, внутриназального, щечного или местного введения, например, при кожных инфекциях, поражениях слизистых оболочек и глаз. Для орального введения пригодны композиции в виде таблеток, драже, капсул, гранулятов, капель, микстур и сиропов; для парентерального, местного и ингаляционного введения могут применяться растворы, суспензии, легко реконструируемые сухие композиции, а также аэрозоли. В качестве примеров препаративных форм, предназначенных для чрескожного введения, можно назвать соединения по изобретению в депо в растворимой форме или в пластыре, при необходимости с добавками средств, способствующих кожной пенетрации. Из вводимых оральным путем или через кожу препаративных форм высвобождение соединений по изобретению может происходить постепенно.
Назначаемое пациенту количество действующих веществ варьируют в зависимости от веса пациента, от способа введения, от показания и степени тяжести заболевания. Обычно назначают дозировки от 10 до 500 мг по крайней мере одного диметил(3-арилбут-3-енил)аминосоединения формулы I.
ПримерыПолучение соединений согласно изобретению Термин “простой эфир” означает диэтиловый эфир. В качестве неподвижной фазы в хроматографии на колонках использовали силикагель 60 (0,040-0,063 мм) фирмы E.Merck, Дармштадт. Хроматографические исследования проводили с помощью пластинок для тонкослойной хроматографии высокого разрешения, силикагель 60 F 254 фирмы E.Merck, Дармштадт. Разделение рацематов осуществляли на колонке Chiracel OD фирмы Daicel Chemical Industries, LTD. Соотношения в смесях элюентов для всех хроматографических исследований указаны в отношении объема (объем/объем). Пример 1 (Z)-(RS)-[3-(метоксифенил)-2-метилпент-3-енил] диметиламин, гидрохлорид (1) Стадия 1 (2RS,3RS)-1-диметиламино-3-(3-метоксифенил)-2-метилпентан-3-ол, гидрохлорид (2) 27,0 г (1,11 моля) магниевой стружки перемешивали в 150 мл тетрагидрофурана и по каплям добавляли 207,6 г (1,11 моля) 1-бром-3-метоксибензола, растворенного в 400 мл тетрагидрофурана. Далее нагревали в течение одного часа с обратным холодильником и затем охлаждали до температуры 5-10oC. При этой температуре добавляли по каплям 128,30 г (0,89 моля) (RS)-1- диметиламино-2-метилпентан-3-она, растворенного в 400 мл тетрагидрофурана. Реакционную смесь оставляли стоять, после чего повторно охлаждали до температуры 5-10oC. После добавления 300 мл 20 мас.%-ного раствора хлористого аммония разбавляли 400 мл простого эфира. После разделения фаз дважды экстрагировали простым эфиром, сушили над сульфатом натрия и растворитель удаляли перегонкой. Полученный остаток растворяли в 3,2 л 2-бутанона и смешивали с 120,60 г (1,11 моля) триметилхлорсилана и 20 мл воды. Таким путем получили 121,5 г гидрохлорида (2) (38% от теории) с температурой плавления 198-199oC. Стадия 2 (Z)-(RS)-[3-(3-метоксифенил)-2-метилпент-3-енил] диметиламин, гидрохлорид (1) 200 г (0,69 моля) гидрохлорида (2) растворяли в одном литре концентрированной соляной кислоты и оставляли стоять при комнатной температуре. Соляную кислоту удаляли перегонкой под вакуумом. Остаток растворяли в 1 л ледяной воды и 10-молярным едким натром устанавливали значение pH 13. После экстракции простым эфиром, сушки органического экстракта и удаления перегонкой растворителя получили 162 г сырого продукта, который очищали путем перекристаллизации. В результате получили 79 г (42% от теории) гидрохлорида (1) с температурой плавления 169-170oC. Пример 2 (Z)-(RS)-3-[1-(2-диметиламино-1-метилэтил)пропенил] фенол, гидрохлорид (3) К 1,6 л 20 мас.%-ного раствора гидрида диизобутилалюминия в толуоле при комнатной температуре добавляли по каплям 182 г (Z)-(RS)-[3-(3-метоксифенил)-2-метилпент-3-енил] диметиламина, растворенного в 360 мл толуола. Затем в течение 11 ч нагревали с обратным холодильником. После охлаждения до 0oC по каплям добавляли при охлаждении 450 мл этанола. Далее перемешивали в течение 15 мин и разбавляли 1 л толуола. Затем при охлаждении добавляли по каплям 450 мл смеси этанол-вода (1:1). После перемешивания в течение одного часа при комнатной температуре выпавший в осадок гидроксид алюминия отфильтровывали и из органической фазы перегонкой удаляли растворители. Таким путем получали 167 г (97,6% от теории) сырого основания, которое растворяли в 1,67 л ацетона и смешивали с 65 мл концентрированной соляной кислоты. Таким путем в виде кристаллов получили 152 г (76% от теории) гидрохлорида (3) с температурой плавления 161-162oC. Пример 3 Энантиомеры соединения (3): (+)-(Z)-(S)-3-[1-(2-диметиламино-1-метилэтил)пропенил] фенол, гидрохлорид (+3) и (-)-(Z)-(R)-3-[1-(2-диметиламино-1-метилэтил)пропенил] фенол, гидрохлорид (-3) Из полученного аналогично примеру 2 гидрохлорида (3) с помощью дихлорметанводного раствора гидрокарбоната натрия высвобождали основание. После сушки раствора дихлорметан отгоняли под вакуумом. Затем рацемат разделяли на хиральной ЖХВД-колонке. Из полученных энантиомеров взаимодействием с концентрированной соляной кислотой в ацетоне выделяли гидрохлориды с температурой плавления 166-167oC. (+3): Выход: 42% от теории [ ]KDT = +3,6o (с=1,04; метанол)(-3): Выход: 44% от теории [ ]KDT = -3,6o (с=1,04; метанол).
Пример 43-[1-(2-диметиламино-1-метилэтил)пропенил] фениловый эфир (Z)-(RS)-2-ацетоксибензойной кислоты, гидрохлорид (4) Из полученного аналогично примеру 2 гидрохлорида (3) с помощью дихлорметан-водного раствора гидрокарбоната натрия высвобождали основание и после сушки раствора дихлорметан отгоняли под вакуумом. 0,67 г (3,0 ммоля) полученного основания растворяли в 7 мл сухого дихлорметана и при комнатной температуре смешивали с 0,6 г (3,24 ммоля) 2-ацетилбензоилхлорида, растворенного в 3 мл сухого дихлорметана. После 20-часового перемешивания при комнатной температуре реакционную смесь смешивали с 20 мл раствора гидрокарбоната натрия и водную фазу дважды экстрагировали 10 мл дихлорметана. Органические фазы объединяли и сушили над сульфатом натрия. После удаления перегонкой растворителя получили 1,1 г сырой смеси, которую подавали на колонку, заполненную силикагелем. После элюирования простым эфиром получили 0,68 г основания, из которого с помощью водного триметилхлорсилана в простом эфире получили 0,68 г (54% от теории) гидрохлорида (4) с температурой плавления 86-88oC. Пример 5 (E)-(RS)-[3-(3-метоксифенил)-2-метилпент-3-енил] диметиламин, гидрохлорид (5) 75 г (0,26 моля) (2RS,3RS)-1-диметиламино-3-(3-метоксифенил) -2-метилпентан-3-ола, гидрохлорида (1) из примера 1 (стадия 1), растворяли в одном литре концентрированной муравьиной кислоты и нагревали в течение 2 ч с обратным холодильником. Затем муравьиную кислоту отгоняли в водоструйном вакууме, остаток растворяли в ледяной воде и смешивали с едким натром -простым эфиром. После сушки органической фазы и удаления перегонкой растворителя получили 60 г (98% от теории) сырого основания ((Z)-изомер (2): (E)-изомер (5) = 6:4). Сырое основание подавали на колонку, заполненную силикагелем. После элюирования в системе диизопропиловый эфир-метанол = 7:1 получили 20 г основания, из которого с помощью водного триметилхлорсилана в 2-бутаноне получили 18,4 г (26% от теории) гидрохлорида (5) с температурой плавления 139-140oC. Пример 6 (E)-(RS)-3-[1-(2-диметиламино-1-метилэтил)пропенил] фенол, гидрохлорид (6) Из соединения (5), полученного аналогично примеру 5, с помощью дихлорметан-едкого натра высвобождали основание и после сушки раствора дихлорметан удаляли перегонкой. Из полученного основания в условиях, описанных в примере 2, получили гидрохлорид (6) с выходом 73% от теории и температурой плавления 80oC. Пример 7 Энантиомеры соединения (6): (+)-(E)-(R)-3-[1-(2-диметиламино-1-метилэтил)пропенил] фенол, гидрохлорид (+6) и (-)-(E)-(S)-3-[1-(2-диметиламино-1-метилэтил)пропенил] фенол, гидрохлорид (-6) Из полученного аналогично примеру 6 гидрохлорида (6) с помощью дихлорметан-водного раствора гидрокарбоната натрия высвобождали основание. После сушки раствора дихлорметан отгоняли под вакуумом. Затем рацемат разделяли на хиральной ЖХВД-колонке. Из полученных энантиомеров взаимодействием с концентрированной соляной кислотой в ацетоне выделяли гидрохлориды с температурой плавления 154-155oC. (+6): Выход: 42% от теории [ ]KDT = +36,3o (с=0,96; метанол)(-6): Выход: 44% от теории [ ]KDT = -33,7 (с=1,07; метанол).
Пример 8(Z)-(RS)-4-[1-(2-диметиламино-1-метилэтил)пропенил] фенол, гидрохлорид (7) Стадия 1 (Z)-(RS)-[3-(4-метоксифенил)-2-метилпент-3-енил]диметиламин (8) Исходя из (RS)-1-диметиламино-2-метилпентан-3-она и 1-бром-4- метоксибензола, в условиях, описанных в примере 1 (стадия 1), получили (2RS,3RS)-1-диметиламино-3-(4-метоксифенил)-2 – метилпентан-3-ол, гидрохлорид, с выходом 44% и температурой плавления 188-189oC, который в условиях, описанных в примере 1 (стадия 2), с помощью концентрированной соляной кислоты переводили в (Z)-(RS)-[3-(4-метоксифенил)-2-метилпент-3-енил] диметиламин (8). Соединение (8) получили в виде светло-желтого масла с выходом 46%. Стадия 2 (Z)-(RS)-4-[1-(2-диметиламино-1-метилэтил)пропенил] фенол, гидрохлорид (7) Из полученного на стадии 1 основания в условиях, описанных в примере 2, получили гидрохлорид (7) с выходом 79% от теории и температурой плавления 203oC. Пример 9 (Z)-(RS)-диметил(2-метил-3-м-толилпент-3- енил)амин, гидрохлорид (9) Исходя из (RS)-1-диметиламино-2-метилпентан-3-она и 3-бромтолуола, в условиях, описанных в примере 1 (стадия 1), получили (2RS,3RS)-1-диметиламино-2-метил-3-(м-толил)пентан-3-ол, гидрохлорид, с выходом 24% и температурой плавления 154-155oC, который в условиях, описанных в примере 1 (стадия 2), с помощью концентрированной соляной кислоты переводили в (Z)-(RS)-диметил(2-метил-3-м-толилпент-3-енил)aмин, гидрохлорид (9). Соединение (9) получили с выходом 36% (в пересчете на используемый спирт) и температурой плавления 172oC. Пример 10 (E)-(RS)-диметил(2-метил-3-м-толилпент-3-енил)амин, гидрохлорид (10) Исходя из (2RS, 3RS)-1-диметиламино-2-метил-3-(м-толил)пентан-3-ола, гидрохлорида, полученного аналогично примеру 9, в условиях, описанных в примере 5, получили гидрохлорид (10) с выходом 36% и температурой плавления 153oC. Пример 11 (Z)-(RS)-[3-(3-дифторметилфенил)-2-метилпент-3-енил] диметиламин, гидрохлорид (11) Стадия 1 (2RS, 3RS)-3-(3-дифторметилфенил)-1-диметиламино-2-метилпентан- 3-ол, гидрохлорид (12) 7,0 г (34 ммоля) 1-бром-З-дифторметилбензола, полученного из З-бром-бензальдегида и диэтиламиносульфотрифторида согласно Org. React. 35. 513 (1988), растворяли в 110 мл сухого тетрагидрофурана и охлаждали до -75oC. После добавления 34 ммолей 1,6-молярного раствора н-бутиллития в гексане перемешивали в течение одного часа при -75oC. Затем по каплям добавляли 4,8 г (34 ммоля) (2RS)-1- диметиламино-2-метилпентан-3-она, растворенного в 15 мл сухого тетрагидрофурана. В течение 2,5 ч реакционную смесь нагревали до комнатной температуры. Для дальнейшей переработки при охлаждении ледяной баней добавляли по каплям 65 мл 5%-ной соляной кислоты таким образом, чтобы внутренняя температура не превышала 15oC. После разделения фаз органическую фазу экстрагировали 40 мл 5%-ной соляной кислоты. Объединенные водные фазы дважды промывали 50 мл простого эфира. Для высвобождения основания смешивали с концентрированным едким натром и экстрагировали дихлорметаном. Таким путем получили 7,8 г сырого продукта, который подавали на колонку, заполненную силикагелем. После элюирования в системе этиловый эфир уксусной кислоты-метанол = 1:1 получили 4,89 г основания, из которого с помощью водного триметилхлорсилана в 2-бутаноне получили 4,6 г (44% от теории) гидрохлорида (12) с температурой плавления 194- 195oC. Стадия 2 (Z)-(RS)-[3-(3-дифторметилфенил)-2-метилпент-3-енил] диметиламин, гидрохлорид (11) 10 г (32 ммоля) (2RS,3RS)-3-(3-дифторметилфенил)-1-диметиламино-2-метилпентан-3-ола, гидрохлорида (12) из стадии 1, растворяли в 150 мл концентрированной муравьиной кислоты и в течение 2 ч нагревали с обратным холодильником. Затем муравьиную кислоту отгоняли в водоструйном вакууме, остаток растворяли в ледяной воде и смешивали с едким натром – простым эфиром. После сушки органической фазы и удаления перегонкой растворителя получили 9,1 г (97% от теории) сырого основания, которое подавали на колонку, заполненную силикагелем. После элюирования в системе диизопропиловый эфир-метанол=7:1 получили 3,0 г основания, из которого с помощью водного триметилхлорсилана в 2-бутаноне получили 2,3 г (24% от теории) гидрохлорида (11)с температурой плавления 160-161oC. Пример 12 (Z)-(RS)-6-[1-(2-диметиламино-1-метилэтил)пропенил] нафт-2-ол, гидрохлорид (13) Из (1RS, 2RS)-6-(3-диметиламино-1-этил-1-гидрокси-2-метилпропил) нафт-2-ола, гидрохлорида, полученного согласно Chirality 6, 389 (1994), в условиях, описанных в примере 1 (стадия 2), получили гидрохлорид (13) с 39%-ным выходом и температурой плавления 207-208oC. Пример 13 (E)-(RS)-[3-(3-метоксифенил) -2-метилгекс-3- енил] диметиламин, гидрохлорид (14) и (Z)-(RS)-[3-(3-метоксифенил)-2-метилгекс-3-енил] диметиламин, гидрохлорид (15) Исходя из (2RS)-3-диметиламино-1-(3-метоксифенил)-2-метилпропан-1-она и 1-бромпропана, в условиях, описанных в примере 1 (стадия 1), с использованием простого эфира в качестве растворителя получили (2RS,3SR)-1-диметиламино-3-(3-метоксифенил)-2-метилгексан-3-ол, гидрохлорид (16), с выходом 81% и температурой плавления 131-132oC. 30 г (0,1 моля) соединения (16) аналогично примеру 5 подвергали взаимодействию с 450 мл концентрированной муравьиной кислоты. Полученное таким путем сырое основание (28 г), состоявшее из смеси (Z)/(E)-изомеров, подавали на колонку, заполненную силикагелем. После элюирования в системе диизопропиловый эфир-метанол = 7:1 получили 7 г основания (E)-соединения (14) и 17 г основания (Z)- соединения (15). Оба основания с помощью водного триметилхлорсилана в 2-бутаноне были переведены в гидрохлориды. (14): Выход: 5,9 г (21% от теории), tпл: 154oC (15): Выход: 15,8 г (56% от теории), tпл: 110-112oC. Пример 14 (E)-(RS)-3-[1-(2-диметиламино-1-метилэтил)бут-1-енил] фенол, гидрохлорид (17) Из соединения (14), полученного аналогично примеру 13, с помощью дихлорметан-едкого натра высвобождали основание и после сушки раствора дихлорметан удаляли перегонкой. Из полученного таким путем основания в условиях, описанных в примере 2, получили гидрохлорид (17) с выходом 86% от теории и температурой плавления 214oC. Пример 15 (Z)-(RS)-3-[1-(2-диметиламино-1-метилэтил)бут-1-енил] фенол, гидрохлорид (18) Из соединения (15), полученного аналогично примеру 13, с помощью дихлорметан-едкого натра высвобождали основание и после сушки раствора дихлорметан удаляли перегонкой. Из полученного таким путем основания в условиях, описанных в примере 2, получили гидрохлорид (18)с выходом 86% от теории и температурой плавления 120-121oC. Пример 16 (RS)-[3-(3-метоксифенил)-2-пропилбут-3-енил] диметиламин, гидрохлорид (19) Исходя из (RS)-2-диметиламинометил-1-(3-метоксифенил) пентан-1-она и метилиодида, в условиях, описанных в примере 1 (стадия 1), с использованием простого эфира в качестве растворителя получили (2RS,3SR)-3-диметиламино-метил-2- (3-метоксифенил)гексан-2-ол, гидрохлорид (20), с выходом 76% и температурой плавления 137-138oC. 30 г (0,1 моля) соединения (20) аналогично примеру 5 подвергали взаимодействию с 300 мл концентрированной муравьиной кислоты. Полученное сырое основание подавали на колонку, заполненную силикагелем. После элюирования в системе диизопропиловый эфир-метанол = 7:1 получили 24 г основания, из которого с помощью водного триметилхлорсилана в 2-бутаноне получили 23,1 г (74% от теории) гидрохлорида (19) с температурой плавления 120-121oC. Пример 17 (RS)-3-[1-(2-диметиламино-1-метилэтил)винил]фенол, гидрохлорид (21) Стадия 1 (1RS,2SR)-3-(3-диметиламино-1-гидрокси-1,2-диметилпропил)фенол, гидрохлорид (22) Исходя из (RS)-3-диметиламино-1-(3-метоксифенил) -2-метилпропан-1-она и метилиодида, в условиях, описанных в примере 1 (стадия 1), с использованием простого эфира в качестве растворителя получили (2RS,3SR)-4-диметиламино-2-(3-метоксифенил)-3-метилбутан- 2-ол, гидрохлорид (23), с выходом 46% и температурой плавления 178-179oC. Из соединения (23) с помощью дихлорметан-едкого натра высвобождали основание. После сушки раствора дихлорметан отгоняли под вакуумом. 23,7 г (0,1 моля) основания аналогично примеру 2 подвергали взаимодействию с гидридом диизобутилалюминия. Таким путем получили 18,5 г (71% от теории) гидрохлорида (22) с температурой плавления 183-184oC. Стадия 2 (RS)-3-[1-(2-диметиламино-1-метилэтил)винил] фенол, гидрохлорид (21) 10 г (37 ммолей) гидрохлорида (22) из стадии 1 растворяли в 150 мл концентрированной муравьиной кислоты и в течение 2 ч нагревали с обратным холодильником. Затем муравьиную кислоту отгоняли в водоструйном вакууме, остаток растворяли в ледяной воде и смешивали с едким натром – простым эфиром. После сушки органической фазы и удаления перегонкой растворителя, получили 9,1 г сырого основания, из которого с помощью концентрированной соляной кислоты в ацетоне получили 7,5 г (83% от теории) гидрохлорида (21) с температурой плавления 228- 230oC. Пример 18 (RS)-3-[1-(2-диметиламино-1-метилэтил)-2-метилпропенил] фенол, гидрохлорид (24) Стадия 1 (RS)-[3-(3-метоксифенил)-2,4-диметилпент-3-енил]диметиламин (25) Исходя из (RS)-1-диметиламино-2,4-диметилпентан-3-она и 1-бром-3-метоксибензола, в условиях, описанных в примере 1 (стадия 1), получили (2RS, 3RS)-1-димeтилaминo-3-(3-мeтoкcифeнил)-2,4- димeтилпeнтaн-3-oл, гидрохлорид (26), с выходом 44% и температурой плавления 180-181oC. 30 г (0,1 моля) соединения (26) аналогично примеру 5 подвергали взаимодействию с 450 мл концентрированной муравьиной кислоты. Полученное сырое основание подавали на колонку, заполненную силикагелем. После элюирования в системе диизопропиловый эфир-метанол = 7:1 получили 19 г основания (77% от теории) в виде светло-желтого вязкого масла. Стадия 2 (RS)-3-[1-(2-диметиламино-1-метилэтил)-2-метилпропенил] фенол, гидрохлорид (24) Из полученного на стадии 1 основания в условиях, описанных в примере 2, получили гидрохлорид (24) с выходом 84% от теории и температурой плавления 176-177oC. Пример 19 (RS)-диметил[2-(4-трифторметилфенил)циклопент- 2-енилметил]амин, гидрохлорид (27) В условиях, описанных в примере 1 (стадия 1), подвергали взаимодействию (RS)-2-диметиламинометилциклопентанон и 1-бром-4-трифторметилбензол. 30 г полученного сырого продукта подавали на колонку, заполненную силикагелем. После элюирования в системе этиловый эфир уксусной кислоты-метанол=5:1 получили 11,6 г основания, которое с помощью водного триметилхлорсилана в 2-бутаноне переводили в 12,0 г (21% от теории) (1RS,2RS)-2-диметиламинометил -1-(4-трифторметилфенил)циклопентанола, гидрохлорида (28), с температурой плавления 213-214oC. 32,4 г (0,1 моля) гидрохлорида (28) аналогично примеру 5 подвергали взаимодействию с 450 мл концентрированной муравьиной кислоты. Полученное сырое основание подавали на колонку, заполненную силикагелем. После элюирования в системе диизопропиловый эфир-метанол = 7:1 получили 9,6 г основания, которое с помощью водного триметилхлорсилана в 2-бутаноне переводили в 8,9 г (29% от теории) гидрохлорида (27) с температурой плавления 219-220oC. Пример 20 Энантиомеры соединения (27): (+)-(S)-диметил [2-(4-трифторметилфенил)циклопент-2- енилметил] амин, гидрохлорид (+27) и (-)-(R)-диметил [2-(4-трифторметилфенил)циклопент-2- енилметил] амин, гидрохлорид (-27) Из соединения (27) с помощью дихлорметан-едкого натра высвобождали основание. После сушки раствора дихлорметан отгоняли под вакуумом. Рацемат затем разделяли на хиральной ЖХВД-колонке. Из полученных энантиомеров взаимодействием с концентрированной соляной кислотой в ацетоне получили гидрохлориды с температурой плавления 244-246oC. (+27): Выход: 42% от теории [ ]KDT = +33,8o (с=1,00; метанол)(-27): Выход: 44% от теории [ ]KDT = -34,3o (с=1,06; метанол).
Пример 21(RS)-2-(6-диметиламинометилциклогекс-1-енил)фенол, гидрохлорид (29) Исходя из (RS)-2-диметиламинометилциклогексанона и 1-бром-2- метоксибензола, в условиях, описанных в примере 1 (стадия 1), при использовании простого эфира в качестве растворителя получили (1RS,2RS)-2-диметиламинометил-1-(2-метоксифенил)циклогексанол, гидрохлорид (30), с выходом 47%. Из соединения (30) с помощью дихлорметан-едкого натра высвобождали основание. После сушки раствора дихлорметан отгоняли под вакуумом. 30,0 г (0,1 моля) основания аналогично примеру 2 подвергали взаимодействию с гидридом диизобутилалюминия. Таким путем получили 22,7 г (78% от теории) (1RS,2RS)-2-(2-диметиламинометил-1- гидроксициклогексил)фенола, гидрохлорида (31), с температурой плавления 168-170oC. 28,6 г (0,1 моля) соединения (31) аналогично примеру 5 подвергали взаимодействию с 450 мл концентрированной муравьиной кислоты. Полученное сырое основание подавали на колонку, заполненную силикагелем, и элюировали в системе диизопропиловый эфир-метанол = 7:1. В результате получили 21 г основания, из которого с помощью концентрированной соляной кислоты в ацетоне получили 18,6 г (69% от теории) гидрохлорида (29) с температурой плавления 168oC. Пример 22 Энантиомеры соединения (29): (-)-(R)-2-(6-диметиламинометилциклогекс-1-енил)фенол, гидрохлорид (-29) и (+)-(S)-2-(6-диметиламинометилциклогекс-1-енил)фенол, гидрохлорид (+29) Из соединения (29) с помощью дихлорметан-водного раствора гидрокарбоната натрия высвобождали основание. После сушки раствора дихлорметан отгоняли под вакуумом. Затем рацемат разделяли на хиральной ЖХВД-колонке. Из полученных энантомеров взаимодействием с концентрированной соляной кислотой в ацетоне выделяли гидрохлориды с температурой плавления 271-272oC. (+29): Выход: 43% от теории [ ]KDT = +24,1o (с=0,96; метанол)(-29): Выход: 44% от теории [ ]KDT = -23,5o (с=0,94; метанол).
Пример 23(RS)-диметил[2-(4-трифторметилфенил)циклогекс-2-енилметил] амин, гидрохлорид (32) (RS)-2-диметиламинометилциклогексанон и 1-бром-4-трифторметилбензол подвергали взаимодействию в условиях, описанных в примере 1 (стадия 1). 30 г полученного сырого продукта подавали на колонку, заполненную силикагелем. После элюирования в системе этиловый эфир уксусной кислоты-метанол = 5:1 получили 18,9 г основания, которое с помощью водного триметилхлорсилана в 2- бутаноне переводили в 16,4 г (37% от теории) (1RS,2RS)-2-диметиламинометил-1-(4-трифторметилфенил) циклогексанола, гидрохлорида (33), с температурой плавления 234oC. 33,7 г (0,1 моля) гидрохлорида (33) аналогично примеру 5 подвергали взаимодействию с 450 мл концентрированной муравьиной кислоты. Полученное сырое основание подавали на колонку, заполненную силикагелем, и элюировали в системе диизопропиловый эфир-метанол = 7:1. Таким путем получили 12,3 г основания, которое с помощью водного триметилхлорсилана в 2-бутаноне переводили в 10,4 г (32,5% от теории) гидрохлорида (32) с температурой плавления 205-206oC. Пример 24 (RS)-диметил [2-(2-метилбензо[b]тиофен-4-ил)циклогекс-2- енилметил]амин, гидрохлорид (34) (RS)-2-диметиламинометилциклогексанон и 4-бром-2-метилбензо [b] тиофен подвергали взаимодействию в условиях, описанных в примере 1 (стадия 1), с использованием простого эфира в качестве растворителя и 1,2-дибромэтана в качестве проводника реакции. 25 г полученного сырого продукта подавали на колонку, заполненную силикагелем. После элюирования в системе этиловый эфир уксусной кислоты-метанол = 1:1 получили 12,6 г основания, которое с помощью водного триметилхлорсилана в 2- бутаноне переводили в 10,4 г (29% от теории) (1RS,2RS)-2- диметиламинометил-1-(2-метилбензо[b]тиофен-4-ил)циклогексанола, гидрохлорида (35), с температурой плавления 204oC. 34,0 г (0,1 моля) гидрохлорида (35) аналогично примеру 5 подвергали взаимодействию с 450 мл концентрированной муравьиной кислоты. Полученное таким путем сырое основание (28,4 г) подавали на колонку, заполненную силикагелем. После элюирования простым эфиром получили 17,5 г основания, которое с помощью водного триметилхлорсилана в 2-бутаноне переводили в 15,2 г (54,8% от теории) гидрохлорида (34) с температурой плавления 179-182oC. Пример 25 (-)-(3S,6R)-3-(6-диметиламинометил-3-метилциклогекс-1- енил)фенол, гидрохлорид (-36) и (+)-(3R, 6S)-3-(6-диметиламинометил-3-метилциклогекс-1-енил) фенол, гидрохлорид (+36) Стадия 1 (1RS, 2RS, 5SR)-2-диметиламинометил-1-(3- метоксифенил)-5-метилциклогексанол, гидрохлорид (37) 95 мл (750 ммолей) 1-бром-3-метоксибензола растворяли в 425 мл сухого тетрагидрофурана и охлаждали до -75oC. После добавления 750 ммолей 1,6-молярного раствора н-бутиллития в гексане перемешивали в течение одного часа при -75oC. Затем по каплям добавляли 82 г (484 ммоля) (2RS,5SR)-2-диметиламинометил-5-метилциклогексанона, полученного из 3-метилциклогексанона, диметиламингидрохлорида и пара-формальдегида в ледяном уксусе, растворенного в 120 мл сухого тетрагидрофурана. В течение 2,5 ч реакционную смесь нагревали до комнатной температуры. Для дальнейшей переработки по каплям добавляли при охлаждении ледяной баней 200 мл воды таким образом, чтобы внутренняя температура не превышала 15oC. После разделения фаз водную фазу трижды экстрагировали 50 мл этилового эфира уксусной кислоты. Объединенные органические фазы сушили над сульфатом натрия. После удаления перегонкой растворителя остаток растворяли в 700 мл ацетона и смешивали с водным триметилхлорсиланом. При 4-5oC в виде кристаллов выпадали 67 г (48% от теории) гидрохлорида (37) с температурой плавления 173-175oC. Стадия 2 Энантиомеры соединения (37): (+)-(1R, 2R,5S)-2-диметиламинометил-1-(3-метоксифенил) -5-метилциклогексанол, гидрохлорид (+37) и (-)-(1S, 2S,5R)-2-диметиламинометил-1-(3-метоксифенил) -5-метилциклогексанол, гидрохлорид (-37) Из соединения (37) с помощью дихлорметан-едкого натра высвобождали основание. После сушки раствора дихлорметан отгоняли под вакуумом. Затем рацемат разделяли на хиральной ЖХВД-колонке. Из полученных энантиомеров взаимодействием с водным триметилхлорсиланом в 2- бутаноне выделяли гидрохлориды с температурой плавления 151-153oC. (+ 37): Выходу 43% от теории [ ]KDT = +36,4o (с=1,01; метанол).
(-37): Выход: 44% от теории[ ]KDT = -37,7o (с= 1,01; метанол).
Стадия 3(-)-(1R, 4S)-[2-(3-метоксифенил)-4-метилциклогекс-2-енилметил] диметиламин, гидрохлорид (-38) и (+)-(1S, 4R)-[2-(3-метоксифенил)-4-метилциклогекс-2-енилметил] диметиламин, гидрохлорид (+38) Метоксисоединения (-37) и (+37) из стадии 2 в условиях, описанных в примере 5, переводили в гидрохлориды (+38) и (-38) с выходом 87% от теории и температурой плавления 122-123oC. Стадия 4 (-)-(3S,6R)-3-(6-диметиламинометил-3-метилциклогекс-1- енил)фенол, гидрохлорид (-36) и (+)-(3R,6S)-3-(6-диметиламинометил-3-метилциклогекс-1-енил) фенол, гидрохлорид (+36) Из полученных на стадии 3 оснований в условиях, описанных в примере 2, взаимодействием с гидридом диизобутилалюминия и последующим осаждением гидрохлоридов с помощью водного триметилхлорсилана в 2-бутаноне получили гидрохлориды (-36) и (+36) с выходом 79% от теории и температурой плавления 131-133oC. (-36): [ ]KTD/ = -75,5o (с=0,96; метанол)(+36): [ ]KDT = +77,7o (с=1,08; метанол).
Пример 26(-)-(R)-3-(6-диметиламинометилциклогекс-1-енил)фенол, гидрохлорид (-39) 28,8 г (0,1 моля) (+)-(1R,2R)-3-(2- диметиламинометил-1-гидроксициклогексил) фенола, гидрохлорида, растворяли в 450 мл концентрированной муравьиной кислоты и в течение 2 ч нагревали с обратным холодильником. Затем муравьиную кислоту отгоняли в водоструйном вакууме и из остатка с помощью дихлорметан-водного раствора карбоната натрия высвобождали основание, из которого с помощью концентрированной соляной кислоты в ацетоне получили 21,8 г (81,4% от теории) гидрохлорида (-39) с температурой плавления 216-217oC. (-39): [ ]KDT = -96,6o (с=1,04; метанол).
Пример 27(+)-(S)-3-(6-диметиламинометилциклогекс-1-енил)фенол, гидрохлорид (+39) В условиях, описанных в примере 26, из 28,8 г (0,1 моля) (-)-(1S,2S)-3-(2-диметиламинометил-1-гидроксициклогексил) фенола, гидрохлорида, получили 21,8 г (81,4% от теории) гидрохлорида (+39) с температурой плавления 216-217oC. (+39): [ ]KDT = +89,0 (с=0,99; метанол).
Фармакологические исследованияИспытания анальгезии на мышах в тесте на болевой синдром Исследования анальгетической эффективности проводили на мышах в тесте на болевой синдром, индуцированный фенилхиноном (модифицированный метод I.C. Hendershot, J. Forsaith, Journ. Pharmacol. Exp. Ther. 125, 237-240 (1959)). В этих целях использовали мужских особей мышей линии NMRI весом 25-30 г. Группам по 10 животных в каждой, предназначенным для испытания одной дозы субстанции, через 10 мин после внутривенной инъекции соединения согласно изобретению в дозировке 0,3 мл/мышь вводили внутрибрюшинно 0,02%-ный водный раствор фенилхинона (фенилбензохинон, фирма Sigma, Дейзенхофен; приготовление раствора с добавками 5% этанола и выдержкой в водяной бане при 45oC). Подопытных животных помещали поодиночке в специальные клетки для наблюдения и с помощью кнопочного счетчика в интервалы времени от 5 до 20 мин после введения фенилхинона подсчитывали число индуцированных болевых разгибательных движений (так называемые реакции на болевой синдром, т.е. прогибание тела с вытягиванием задних конечностей). Исходя из зависимого от дозировки уменьшения числа реакций на болевой синдром по сравнению с таковыми у тестируемых одновременно контрольных групп, которым не вводили соединений по изобретению, посредством регрессионного анализа (обрабатывающая программа Martens EDV Service, Эккенталь) рассчитывали значения ED50 реакций на болевой синдром. Все прошедшие экспериментальную проверку соединения по изобретению проявили ярко выраженное анальгетическое действие, существенно превосходящее по своей эффективности трамадол. Полученные результаты представлены в таблице. Формула изобретения
![]() в которой R1 является С1-С5-алкилом, а R2 означает Н либо С1-С5-алкил, или R1 и R2 оба вместе представляют собой -(СН2)2-4-, -(СН2)2-СНR7 либо -СН2-СНR7-СН2-; R3 означает Н либо С1-С5-алкил; R4 означает Н, ОН, С1-С4-алкил, О-С1-С4-алкил, CF3 либо OR8; R5 представляет собой Н, ОН, С1-С4-алкил, О-С1-С4-алкил, CHF2, CF3, О-либо OR8; R6 означает Н, ОН, С1-С4-алкил, О-С1-С4-алкил, CF3 либо OR8, при условии, что два из радикалов R4, R5 либо R6 являются Н, или R4 и R5 оба вместе означают -СН=С(R9)-S-, при условии, что R6 является Н, или R5 и R6 оба вместе означают -СН=СН-С(ОR10)=СН-, при условии, что R4 является Н; R7 означает С1-С8-алкил; R8 означает СО-С6Н4-R11; R9 означает Н либо С1-С4-алкил; R10 означает Н; R11 означает ОС(О)-С1-С3-алкил в ортоположении, в виде их оснований и/или солей физиологически приемлемых кислот, в форме энантиомеров или рацематов, при условии, что исключением является рацемат соединения формулы I, в которой R1 и R2 оба вместе представляют собой -(СН2)3-, R3, R4 и R6 означают Н и R5 является ОСН3. 2. Диметил(3-арилбут-3-енил)аминосоединения по п.1, отличающиеся тем, что R1 является С1-С3-алкилом, а R2 означает Н либо С1-С3-алкил или R1 и R2 оба вместе представляют собой -(СН2)2-4– либо -(СН2)2-СНR7, R3 означает Н либо С1-С3-алкил, R4 означает Н, ОН, CF3 либо OR8, R5 представляет собой Н, ОН, С1-С4-алкил, О-С1-С4-алкил, СНF2, CF3 либо OR8 и R6 означает Н, ОН, О-С1-С4-алкил, CF3 либо OR8, при условии, что два из радикалов R4, R5 либо R6 являются Н, или R4 и R5 оба вместе означают -СН=С(R9)-S-, при условии, что R6 является Н, или R5 и R6 оба вместе означают -СН=СН-С(OR10)=CH-, при условии, что R4 является Н, и R7 означает С1-С4-алкил. 3. Диметил(3-арилбут-3-енил)аминосоединения по п.1 или 2, отличающиеся тем, что R1 является СН3 либо С3Н7, а R2 представляет собой Н, СН3 либо СН2СН3 или R1 и R2 оба вместе означают -(СН2)2-3 – либо -(СН2)2-СНR7, R3 означает Н, СН3 либо СН2СН3, R4 означает Н либо ОН, R5 означает Н, ОН, ОСН3, CHF2 либо OR8 и R6 означает Н, ОН либо CF3, при условии, что два из радикалов R4, R5 либо R6 являются Н, или R4 и R5 оба вместе представляют собой -СН= С(СН3)-S-, при условии, что R6 является Н, или R5 и R6 оба вместе означают -СН=СН-С(ОН)=СН-, при условии, что R4 является Н, и R8 представляет собой СО-С6Н4-R11, где R11 означает ОС(О)-С1-С3-алкил в ортоположении. 4. Диметил(3-арилбут-3-енил)аминосоединения по одному или нескольким пп. 1-3, отличающиеся тем, что R1 является СН3, а R2 означает Н либо СН3 или R1 и R2 оба вместе представляют собой -(СН2)2-3 – либо -(СН2)2-СН(СН3)-, R3 означает Н либо СН3, R4 означает Н, R5 означает ОН либо OR8, R6 является Н и R8 представляет собой СО-С6Н4-R11, где R11 означает ОС(О)-СН3 в ортоположении. 5. Способ получения диметил(3-арилбут-3-енил)аминосоединений формулы I ![]() где R1 является С1-С5-алкилом, а R2 означает Н либо С1-С5-алкил, или R1 и R2 оба вместе представляют собой -(СН2)2-4-, -(СН2)2-СНR7 либо -СН2-СНR7-СН2-; R3 означает Н либо С1-С5-алкил; R4 означает Н, С1-С4-алкил, О-С1-С4-алкил либо CF3; R5 представляет сбой Н, С1-С4-алкил, О-С1-С4-алкил, CHF2 либо CF3, и R6 означает Н, С1-С4-алкил, О-С1-С4-алкил либо CF3, при условии, что два из радикалов R4, R5 либо R6 являются Н, или R4 и R5 оба вместе означают -СН= С(R9)-S-, при условии, что R6 является Н, или R5 и R6 оба вместе означают -СН=СН-С(OR10)=СН-, при условии, что R4 является Н; R7 означает С1-С8-алкил; R9 означает Н либо С1-С4-алкил; R10 означает Н, причем исключением является соединение формулы I, в которой R1 и R2 оба вместе означают -(СН2)3-, R3, R4 и R6 являются Н, а R5 представляет собой ОСН3, отличающийся тем, что -диметиламинокетон формулы II![]() взаимодействием с металлоорганическим соединением формулы III ![]() в которой Z означает MgCl, MgBr, MgI или Li, трансформируют в третичный спирт формулы IV ![]() который затем дегидратируют с получением в результате соединения формулы I. 6. Способ получения диметил(3-арилбут-3-енил)аминосоединения формулы I ![]() в которой R1 является С1-С5-алкилом, а R2 означает Н либо С1-С5-алкил, или R1 и R2 оба вместе означают -(СН2)2-4-, -(СН2)2-CHR7 либо -СН2-CHR7-CH2-; R3 означает Н либо С1-С5-алкил; один из радикалов R4, R5 либо R6 означает ОН, а оба других радикала являются Н; R7 означает С1-С8-алкил, отличающийся тем, что соединение формулы I, в которой один из радикалов R4, R5 либо R6 означает О-СН3, а оба других радикала являются Н, подвергают взаимодействию с гидридом диизобутилалюминия. РИСУНКИ
MM4A Досрочное прекращение действия патента из-за неуплаты в установленный срок пошлины за
Дата прекращения действия патента: 13.03.2010
Дата публикации: 27.03.2011
|
||||||||||||||||||||||||||


-диметиламинокетон формулы II


-аминокарбоксилатную группу, можно получить взаимодействием соответствующего диметил [3-(гидроксифенил)бут-3-енил]аминосоединения формулы I, в которой R4, R5 и/или R6 означает OH-группу, с соответствующей 2-трет-бутоксикарбониламинокарбоновой кислотой с использованием триэтиламина и реагентов сочетания, таких, как гексафторфосфат бензтриазол-1-илокситрипирролидинфосфония, в растворителе, например в дихлорметане.
Предлагаемые согласно изобретению соединения формулы I с помощью физиологически приемлемых кислот, таких, например, как соляная кислота, бромистоводородная кислота, серная кислота, метансульфоновая кислота, муравьиная кислота, уксусная кислота, щавелевая кислота, янтарная кислота, винная кислота, миндальная кислота, фумаровая кислота, молочная кислота, лимонная кислота, глутаминовая кислота и/или аспарагиновая кислота, могут переводиться по известной методике в их соли. Реакции солеобразования осуществляют предпочтительно в растворителе, например в диэтиловом эфире, диизопропиловом эфире, алкиловом эфире уксусной кислоты, ацетоне и/или 2-бутаноне. Для получения гидрохлоридов может использоваться, кроме того, триметилхлорсилан в водном растворе.
Предлагаемые согласно изобретению соединения обладают ярко выраженным анальгетическим эффектом и токсикологически совершенно безопасны. Их можно применять поэтому в качестве фармацевтических действующих веществ. Предметом изобретения в соответствии с этим является также применение диметил(3-арилбут-3-енил)аминосоединений формулы I в качестве действующих веществ в лекарственных средствах, предпочтительно в качестве таковых в анальгетиках.
Наряду по крайней мере с одним диметил(3-арилбут-3- енил)аминосоединением формулы I лекарственные средства по изобретению содержат также носители, наполнители, растворители, разбавители, красители и/или связующие вещества. Выбор этих вспомогательных веществ равно как и применяемые количества зависят от способов введения лекарственного средства, т.е. назначают ли его для орального, внутривенного, внутрибрюшинного, внутрикожного, внутримышечного, внутриназального, щечного или местного введения, например, при кожных инфекциях, поражениях слизистых оболочек и глаз. Для орального введения пригодны композиции в виде таблеток, драже, капсул, гранулятов, капель, микстур и сиропов; для парентерального, местного и ингаляционного введения могут применяться растворы, суспензии, легко реконструируемые сухие композиции, а также аэрозоли. В качестве примеров препаративных форм, предназначенных для чрескожного введения, можно назвать соединения по изобретению в депо в растворимой форме или в пластыре, при необходимости с добавками средств, способствующих кожной пенетрации. Из вводимых оральным путем или через кожу препаративных форм высвобождение соединений по изобретению может происходить постепенно.
Назначаемое пациенту количество действующих веществ варьируют в зависимости от веса пациента, от способа введения, от показания и степени тяжести заболевания. Обычно назначают дозировки от 10 до 500 мг по крайней мере одного диметил(3-арилбут-3-енил)аминосоединения формулы I.
Примеры




