|
|
(21), (22) Заявка: 2008146586/14, 25.11.2008
(24) Дата начала отсчета срока действия патента:
25.11.2008
(46) Опубликовано: 20.02.2010
(56) Список документов, цитированных в отчете о поиске:
RU 2326595 C1, 20.06.2008. RU 2336021 C1, 20.10.2008. МАСЛОВА О.И. и др. Применение текстовых компьютерных систем в диагностике когнитивных нарушений при синдроме дефицита внимания с гиперактивностью у детей школьного возраста. Медицинская техника, 2005, 1, с.7-13. ПЕТУХОВ И.В. и др. Способ и техническое обеспечение оценки времени реакции человекана движущийся объект. Вестник Казанского государственного университета им. А.Н.Туполева, 2008, 2.
Адрес для переписки:
424000, Республика Марий Эл, г.Йошкар-Ола, пл. Ленина, 3, ГОУ ВПО Марийский государственный технический университет, отдел интеллектуальной собственности
|
(72) Автор(ы):
Петухов Игорь Валерьевич (RU)
(73) Патентообладатель(и):
Государственное образовательное учреждение высшего профессионального образования Марийский государственный технический университет (RU)
|
(54) СПОСОБ ОПРЕДЕЛЕНИЯ СПОСОБНОСТИ К ПРЕДВИДЕНИЮ ХОДА СОБЫТИЙ
(57) Реферат:
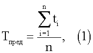
Изобретение относится к медицине. Предъявляют на экране видеомонитора окружность, на которой помещена метка и точечный объект. Точечный объект движется с заданной скоростью по окружности, за заданное время до достижения метки исчезает с экрана видеомонитора, при этом движение точечного объекта по окружности продолжается. В момент предполагаемого совпадения положения движущегося точечного объекта с меткой испытуемый нажатием кнопки «Стоп» останавливает движение точечного объекта по окружности и точечный объект снова появляется на экране видеомонитора, в том месте, где было остановлено его движение. Затем вычисляют ошибку несовпадения точечного объекта и метки – время ошибки запаздывания с положительным знаком или упреждения с отрицательным знаком, и через заданное время возобновляют движение точечного объекта по окружности. Описанную процедуру повторяют заданное число раз, после чего вычисляют способность к прогнозированию положения движущегося объекта относительно метки Тпрог как среднеарифметическое значение по формуле: 
где ti – i-я ошибка запаздывания с положительным знаком или упреждения с отрицательным знаком, мс; n – число остановок точечного объекта в области положения метки. Способ позволяет определить способность к прогнозированию положения движущегося объекта относительно метки. 1 ил.
Изобретение относится к медицине и предназначено для определения способности к предвидению хода событий.
Одним из методов повышения надежности и эффективности профессиональной деятельности человека является диагностика его функционального состояния и особенностей функционирования его нервной системы.
Предвидение хода событий является важным и необходимым условием деятельности человека-оператора и определяется индивидуальными особенностями его нервной системы.
Простым и достаточно точным психофизиологическим показателем функционального состояния является время реакции на движущийся объект (РДО) [1]. При этом время реакция на движущийся объект используется в качестве теста для определения уровня взаимоотношения процессов возбуждения и торможения в коре головного мозга, а также способности к саморегуляции и предвидению хода событий [2], что обусловливает необходимость точной его оценки.
Известен способ определения способности к предвидению хода событий посредством измерения РДО, согласно которому испытуемым предъявляют циферблат обычного стрелочного секундомера, одно деление которого равно 0,01 с. Испытуемые по команде «Можно» нажатием кнопки пускают секундомер и останавливают его в момент достижения стрелкой заданного деления на циферблате. Проводятся 13 измерений, три из которых считаются ориентировочными и при оценке времени реакции на движущийся объект не учитываются. Индикатором реакции на движущийся объект является средняя величина ошибок запаздывания и средняя величина ошибок упреждения. Для оценки средней величины ошибок запаздывания подсчитывается сумма отклонений с положительным знаком и количество ошибок такого рода. Деление суммарной величины ошибок на их количество дает искомую величину. Аналогичным образом вычисляется критерий, характеризующий среднюю величину ошибок упреждения. Сопоставление рассчитанных средних величин дает представление о преобладании средней величины ошибок запаздывания или упреждения, то есть о реакции на движущийся объект [3], характеризующем способность к предвидению хода событий.
Известен способ определения способности к предвидению хода событий посредством измерения РДО, при проведении которого испытуемому предъявляют на экране видеомонитора окружность, на которой помещены курсор и метка, обозначающая «Стоп». Для обеспечения движения курсора по окружности испытуемый удерживает щупом кнопку пульта управления в нажатом состоянии. В момент предполагаемого совпадения курсора с меткой испытуемый отжимает щупом кнопку пульта. По количеству опережающих, отстающих и точных реакций судят о соотношении процессов торможения и возбуждения в центральной нервной системе, то есть о времени реакции человека на движущийся объекта [4], являющейся оценкой способности к предвидению хода событий.
Наиболее близким по технической сущности является способ оценки времени реакции человека на движущийся объект путем предъявления испытуемому на экране видеомонитора окружности, на которой помещена метка и точечный объект, согласно которому точечный объект движется с заданной скоростью по окружности, в момент предполагаемого совпадения положения движущегося точечного объекта с меткой испытуемый нажатием кнопки «Стоп» останавливает движение точечного объекта по окружности, затем вычисляют ошибку несовпадения точечного объекта и метки – время ошибки запаздывания с положительным знаком или упреждения с отрицательным знаком, и через заданное время возобновляют движение точечного объекта по окружности, описанную процедуру повторяют заданное число раз, после чего вычисляют оценку времени реакции Тр человека на движущийся объект как среднеарифметическое значение по формуле:

где ti – i-я ошибка запаздывания с положительным знаком или упреждения с отрицательным знаком, мс; n – число остановок точечного объекта в области положения метки [5].
Оценка времени реакции Тр человека на движущийся объект характеризует его способность к предвидению хода событий.
Недостатком известных способов является недостоверное определение способности к предвидению хода событий, так как в известных способах положение движущегося точечного объекта относительно метки известно в любой момент времени. Предвидение же хода событий подразумевает прогнозирование положения движущегося точечного объекта относительно метки при отсутствии информации о его текущем положении.
Технический результат предлагаемого способа определения способности к предвидению хода событий заключается в повышении достоверности за счет устранения текущей информации о положении движущегося точечного объекта относительно метки.
Технический результат достигается тем, что испытуемому предъявляют на экране видеомонитора окружность, на которой помещена метка и точечный объект, точечный объект движется с заданной скоростью по окружности, в момент предполагаемого совпадения положения движущегося точечного объекта с меткой испытуемый нажатием кнопки «Стоп» останавливает движение точечного объекта по окружности, затем вычисляют ошибку несовпадения точечного объекта и метки – время ошибки запаздывания с положительным знаком или упреждения с отрицательным знаком, и через заданное время возобновляют движение точечного объекта по окружности, описанную процедуру повторяют заданное число раз, причем новым является то, что движущийся по окружности точечный объект за заданное время до достижения метки исчезает с экрана видеомонитора, при этом движение точечного объекта по окружности продолжается, при нажатии кнопки «Стоп» точечный объект снова появляется на экране видеомонитора, в том месте, где было остановлено его движение, способность к предвидению хода событий вычисляют как среднеарифметическое значение по формуле:

где ti – i-я ошибка запаздывания с положительным знаком или упреждения с отрицательным знаком, мс; n – число остановок точечного объекта в области положения метки.
На чертеже представлена окружность, предъявляемая испытуемому на экране видеомонитора, где 1 – метка, 2 – точечный объект, движущийся с заданной скоростью по окружности, 3 – место исчезновения точечного объекта 2 с экрана видеомонитора.
Предлагаемый способ определения способности к предвидению хода событий осуществляется следующим образом.
Испытуемому предъявляют на экране видеомонитора окружность, на которой помещена метка и точечный объект, движущийся по окружности.
Точечный объект, передвигаясь по окружности, за заданное время исчезает с экрана видеомонитора. Испытуемый, наблюдая за движением точечного объекта до момента его исчезновения, в момент предполагаемого совпадения положения движущегося точечного объекта с меткой нажатием кнопки «Стоп» останавливает движение точечного объекта по окружности, который после нажатия кнопки «Стоп» снова появляется на экране монитора, в том месте, где было остановлено его движение.
Затем вычисляют ошибку несовпадения точечного объекта и метки – время ошибки запаздывания или упреждения, и через заданное время возобновляют движение точечного объекта по окружности. Испытуемый выполняет описанную процедуру заданное число раз, после чего вычисляют оценку способности к предвидению хода событий Тпред по формуле (1).
Таким образом, заявляемый способ определения способности к предвидению хода событий обладает новыми свойствами, обусловливающими получение положительного эффекта.
Пример 1
Испытуемому А., 20 лет, на экране видеомонитора персонального компьютера, совместимого с IBM PC, предъявили окружность, на которой помещена метка и точечный объект. Точечный объект двигался по окружности по часовой стрелке с заданной скоростью, а за заданное время 2 с до достижения метки исчез с экрана видеомонитора, при этом движение точечного объекта по окружности продолжалось. Испытуемый, наблюдая за движением точечного объекта по окружности, в момент предполагаемого совпадения положения точечного объекта с положением метки нажимал клавишу клавиатуры компьютера «Пробел», выполняющую функцию кнопки «Стоп». Компьютер в момент нажатия клавиши «Пробел» останавливал движение точечного объекта по окружности, отображал положение точечного объекта на экране видеомонитора, в том месте, где было остановлено его движение, вычислял ошибку несовпадения положений точечного объекта и метки – время ошибки запаздывания с положительным знаком или упреждения с отрицательным знаком, заносил значение времени ошибки с соответствующим знаком в запоминающее устройство и через 1 с продолжал движение точечного объекта по окружности.
Испытуемый в соответствии с рекомендациями [3] выполнил 13 остановок движения точечного объекта в области положения метки, первые три из которых при оценке способности к предвидению хода событий не учитывались. В результате тестирования получены следующие значения ошибок не совпадения положений точечного объекта и метки: 65; 34; 63; -41; -20; 4; 32; -51; 29; 73 мс.
Оценка способности к предвидению хода событий, вычисленная по формуле (1), равна 18,8 мс, что свидетельствует о запоздалом реагировании испытуемого и преобладании процессов торможения над процессами возбуждения в нервной системе испытуемого А.
Пример 2
Испытуемый Б., 20 лет, аналогично испытуемому А. выполнил тест по оценке способности к предвидению хода событий. В результате тестирования получены следующие значения ошибок несовпадения положений точечного объекта и метки: -45; -50; -68; -4; 49; -20; 83; 62; -34; -80 мс.
Оценка способности к предвидению хода событий, вычисленная по формуле (1), равна -10,7 мс, что свидетельствует о преждевременном реагировании и преобладании процессов возбуждения над процессами торможения в нервной системе испытуемого Б.
При этом способность к предвидению хода событий испытуемого Б. выше, чем у испытуемого А., на 75,7%.
Таким образом, установлено, что предложенный способ определения способности к предвидению хода событий позволяет повысить достоверность способа, за счет устранения текущей информации о положении движущегося точечного объекта относительно метки.
Положительный эффект предлагаемого способа определения способности к предвидению хода событий подтвержден результатами экспериментального исследования на группе из 10 испытуемых.
Таким образом, предлагаемый способ определения способности к предвидению хода событий позволяет повысить достоверность способа за счет устранения текущей информации о положении движущегося точечного объекта относительно метки.
Литература
4. – С.56-60.
4. – С.653-660.
3. Методы и портативная аппаратура для исследования индивидуально-психологических различий человека / Н.М.Пейсахов, А.П.Кашин, Г.Г.Баранов, Р.Г.Вагапов; Под ред. В.М.Шадрина. – Казань: Изд-во Казанск. ун-та. – 1976. – 238 с.
1. – С.7-13.
5. Патент РФ 2326595. Способ оценки времени реакции человека на движущийся объект / Песошин А.В., Петухов И.В., Роженцов В.В. БИ 17. – 17 с.
Формула изобретения
Способ определения способности к прогнозированию положения движущегося объекта относительно метки при отсутствии информации о текущем положении путем предъявления испытуемому на экране видеомонитора окружности, на которой помещена метка и точечный объект, точечный объект движется с заданной скоростью по окружности, в момент предполагаемого совпадения положения движущегося точечного объекта с меткой испытуемый нажатием кнопки «Стоп» останавливает движение точечного объекта по окружности, затем вычисляют ошибку несовпадения точечного объекта и метки – время ошибки запаздывания с положительным знаком или упреждения с отрицательным знаком, и через заданное время возобновляют движение точечного объекта по окружности, описанную процедуру повторяют заданное число раз, отличающийся тем, что движущийся по окружности точечный объект за заданное время до достижения метки исчезает с экрана видеомонитора, при этом движение точечного объекта по окружности продолжается, при нажатии кнопки «Стоп» точечный объект снова появляется на экране видеомонитора, в том месте, где было остановлено его движение, способность к прогнозированию положения движущегося объекта относительно метки вычисляют как среднеарифметическое значение по формуле:
 где ti – i-я ошибка запаздывания с положительным знаком или упреждения с отрицательным знаком, мс; n – число остановок точечного объекта в области положения метки.
РИСУНКИ
|
|