Патент на изобретение №2381737
|
||||||||||||||||||||||||||
(54) УСТРОЙСТВО ДЛЯ НАБЛЮДЕНИЯ БИОЛОГИЧЕСКИХ ОБЪЕКТОВ
(57) Реферат:
Изобретение относится к области медицины. Устройство для наблюдения биологических объектов содержит секцию формирования цветового сигнала изображения, которая выполняет обработку сигналов либо над первым снятым сигналом изображения, для которого объект, подлежащий исследованию, подсвечиваемый белым подсвечивающим светом, снимают через цветной светофильтр, обладающий характеристикой пропускания множества длин волн в широком диапазоне, либо над вторым снятым сигналом изображения, для которого объект, подлежащий исследованию, снимают с освещением подсвечивающими световыми потоками с чередованием кадров, которые охватывают видимый диапазон спектра, и формирует цветовой сигнал изображения. Устройство для наблюдения биологических объектов содержит секцию формирования спектрального сигнала изображения, которая формирует спектральный сигнал изображения, соответствующий узкополосному сигналу изображения посредством обработки сигналов над цветовым сигналом изображения, исходя из первого или второго снятого сигнала изображения. Устройство для наблюдения биологических объектов содержит одну из секции изменения/установки характеристик для секции преобразования отображаемого цвета, которая выполняет преобразование отображаемых цветов, при осуществлении отображения спектрального сигнала изображения, или тому подобного, и интерфейсной секции для выполнения операции выдачи команд на переключение и/или подтверждение информации, содержащей изображение, подлежащее отображению, или тому подобное. Применение изобретения позволит повысить эффективность диагностики. 2 н. и 32 з.п. ф-лы, 63 ил.
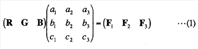
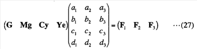
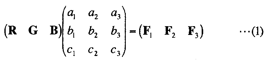
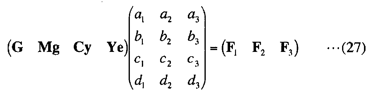
Область техники, к которой относится изобретение Настоящее изобретение относится к устройству для наблюдения биологических объектов, которое создает спектральный сигнал изображения, соответствующий квазиузкополосному фильтру, посредством обработки сигналов с использованием цветового сигнала изображения, получаемого съемкой изображения живого организма, и отображает спектральный сигнал изображения в виде спектрального изображения на мониторе. Уровень техники Традиционно, что эндоскопическое устройство, которое излучает подсвечивающий свет для получения эндоскопического изображения внутри полости тела, широко применяют в качестве устройства для наблюдения биологических объектов. Эндоскопическое устройство данного типа использует электронный эндоскоп, содержащий средство съемки изображения, которое направляет подсвечивающий свет от источника света в полость тела с использованием световода или подобного ему устройства и которое снимает изображение объекта исследования в свете, отраженном данным объектом, и выполнено так, что обработка сигналов над снятым сигналом изображения из средства съемки изображения выполняется видеопроцессором для отображения эндоскопического изображения на контрольном мониторе для рассмотрения наблюдаемой области, например, болезненной части. Один способ осуществления нормального наблюдения биологической ткани с использованием эндоскопического устройства заключается в том, что испускают белый свет в видимом диапазоне спектра из источника света, излучают свет чередующимися кадрами на объект исследования через вращающийся светофильтр, например вращающий цветной светофильтр RGB, и получают цветное изображение выполнением в видеопроцессоре синхронизации и обработки изображения над отраженным светом из света чередующихся кадров. Кроме того, другой способ осуществления нормального наблюдения биологической ткани с использованием эндоскопического устройства заключается в том, что устанавливают цветную микросхему с передней стороны плоскости съемки изображения средства съемки изображения эндоскопа, испускают белый свет в видимом диапазоне спектра из источника света, снимают изображения разделением света, отраженного из света чередующихся кадров, на цветной микросхеме по каждому цветовому компоненту и получают цветное изображение выполнением в видеопроцессоре обработки изображения. Для биологической ткани характеристики поглощения и характеристики рассеяния света различаются в соответствии с длиной волны излучаемого света. Например, в японском выложенном патенте JP 2002-95635 предлагается эндоскопическое устройство с узкополосным осветителем, которое излучает на биологическую ткань подсвечивающий свет в видимом диапазоне спектра в виде света чередующихся кадров в узкополосных компонентах RGB, обладающих дискретными спектральными характеристиками, для получения информации о ткани на участке биологической ткани на требуемой глубине. Кроме того, в японском выложенном патенте JP 2003-93336 предлагается эндоскопическое устройство с узкополосным осветителем, которое выполняет обработку сигналов над сигналом изображения, получаемым с подсвечивающим светом в видимом диапазоне спектра, для создания изображения с дискретным спектром и получения информации о ткани на участке биологической ткани на требуемой глубине. При использовании устройства, описанного в вышеупомянутом японском выложенном патенте JP 2003-93336, обработка для формирования спектрального сигнала изображения, например, сигнала, получаемого при использовании узкополосного фильтра, выполняется посредством арифметической обработки электрических сигналов способом вычисления матриц (соответствующим квазиузкополосному фильтру) над цветовым сигналом изображения (называемым также сигналом от живого организма), снятом в широком диапазоне длин волн без использования узкополосного светофильтра. Однако устройство, описанное в вышеупомянутом японском выложенном патенте JP 2003-93336, имеет недостатки, включая снижение точности сформированного спектрального сигнала изображения, например различие спектральных характеристик отражения, обусловленное отличием биологической ткани, подлежащей наблюдению, создает искажения в созданном спектральном изображении. Например, в случае, когда наблюдаемым предметом является слизистая оболочка пищевода или слизистые оболочки желудка или толстой кишки, различие типов слизистой ткани (например, слизистая оболочка пищевода представляет собой многослойный чешуйчатый эпителий, тогда как слизистая оболочка желудка представляет собой простой цилиндрический эпителий) порождает такие недостатки, как различие спектральных характеристик отражения, обусловленное различием слизистых тканей. Кроме того, устройство, описанное в вышеупомянутом японском выложенном патенте JP 2003-93336, имеет недостаток в том, что цветовые тона, при выводе/отображении спектрального сигнала изображения на средство отображения или устройство вывода изображения, изменять нельзя. Как можно видеть, хотя устройство, описанное в вышеупомянутом японском выложенном патенте JP 2003-93336, дает преимущество, выражающееся в том, что спектральный сигнал изображения можно формировать электрическим методом из цветового сигнала изображения, желательно, чтобы было обеспечено интерфейсное средство или подобное ему средство, допускающее дополнительные удобства применения, например, преобразование и отображение спектрального сигнала изображения в цветовом тоне, желательном для пользователя, или надлежащем цветовом тоне, или переключение и отображение цветового сигнала изображения (сигнала нормального изображения) и спектрального сигнала изображения. Кроме того, устройство, описанное в вышеупомянутом японском выложенном патенте JP 2003-93336, просто выводит полученное спектральное изображение на монитор. Поэтому в устройстве, описанном в вышеупомянутом японском выложенном патенте JP 2003-93336, не только существует риск, что изображение, отображаемое на мониторе, может не оказаться изображением с цветовыми тонами, подходящими для наблюдения информации о ткани на участке биологической ткани на требуемой глубине, но и осложняется выявление взаимосвязи с информацией о функции живого организма, содержащейся в живом организме, например содержании гемоглобина крови. Настоящее изобретение создано с учетом вышеизложенного, и его целью является создание устройства для наблюдения биологических объектов, выполняющего функцию формирования электрическими методами спектрального сигнала изображения из цветового сигнала изображения, который обеспечивает формирование спектрального сигнала изображения, который может соответственно отражать различия между биологическими тканями и т.п. и совершенствовать удобство применения в связи с наблюдением спектрального изображения и т.п. Другой целью является создание устройства для наблюдения биологических объектов, выполненного с возможностью вычисления информации о функции живого организма, относящейся к крови живого организма, по спектральному сигналу изображения, полученному обработкой сигналов, и, тем самым, дополнительное повышение эффективности диагностики. Описание изобретения Средства решения задачи Устройство для наблюдения биологических объектов в соответствии с первым вариантом осуществления настоящего изобретения содержит: секцию формирования цветового сигнала изображения, которая выполняет обработку сигналов либо над первым снятым сигналом изображения, для которого объект, подлежащий исследованию, подсвечиваемый белым подсвечивающим светом, снимают первым устройством съемки изображения, снабженным цветным светофильтром, обладающим характеристикой пропускания множества длин волн в широком диапазоне, либо над вторым снятым сигналом изображения, для которого объект, подлежащий исследованию, подсвечиваемый множеством взаимно отличающихся подсвечивающих световых пучков с чередованием кадров в широком диапазоне длин волн, который охватывает видимый диапазон спектра, снимают вторым устройством съемки изображения, и формирует цветовой сигнал изображения для отображения в виде цветного изображения на устройстве отображения; секцию формирования спектрального сигнала изображения, которая формирует, исходя из первого снятого сигнала изображения или второго снятого сигнала изображения, спектральный сигнал изображения, соответствующий узкополосному сигналу изображения, полученному при съемке изображения объекта, подлежащего исследованию, подсвечиваемого подсвечивающим светом в узком диапазоне длин волн, посредством обработки сигналов над цветовым сигналом, используемым для формирования цветового сигнала изображения, или посредством обработки сигналов над цветовым сигналом изображения; секцию преобразования отображаемых цветов, которая выполняет преобразование отображаемых цветов на спектральном сигнале изображения, при отображении сигнала в виде спектрального изображения на устройстве отображения; и, по меньшей мере, одну из секции установки характеристик, которая изменяет/устанавливает формирование характеристик спектрального сигнала изображения в секции формирования спектрального сигнала изображения, секции изменения/установки отображаемых цветов, которая изменяет/устанавливает отображаемый цвет секции преобразования отображаемых цветов, и интерфейсной секции для выполнения операций выдачи команд для переключения и/или подтверждения информации, содержащей изображения, отображаемые на устройстве отображения. Вышеописанная конфигурация обеспечивает функцию формирования электрическими методами спектрального сигнала изображения из цветового сигнала изображения и дополнительно допускает совершенствование удобства применения путем предоставления возможности для изменений отображаемого цвета спектрального изображения и изменений характеристик сформированного спектрального сигнала изображения в зависимости от биологической ткани и т.п., что обеспечивает подтверждение изображения, отображаемого на устройстве отображения или подобном ему устройстве. Устройство для наблюдения биологических объектов в соответствии со вторым вариантом осуществления настоящего изобретения содержит: секцию формирования сигнала нормального изображения, которая выполняет обработку сигналов либо над первым снятым сигналом изображения, для которого объект, подлежащий исследованию, подсвечиваемый белым подсвечивающим светом, снимают первым устройством съемки изображения, снабженным цветным светофильтром, обладающим характеристикой пропускания множества длин волн в широком диапазоне, либо над вторым снятым сигналом изображения, для которого объект, подлежащий исследованию, подсвечиваемый множеством взаимно отличающихся подсвечивающих световых пучков чередующихся кадров в широком диапазоне длин волн, который охватывает видимый диапазон, снимают вторым устройством съемки изображения, и формирует цветовой сигнал изображения для отображения в виде цветного изображения на устройстве отображения; секцию формирования спектрального сигнала изображения, которая формирует, исходя из первого снятого сигнала изображения или второго снятого сигнала изображения, спектральный сигнал изображения, соответствующий узкополосному сигналу изображения, полученному при съемке изображения объекта, подлежащего исследованию, подсвечиваемого подсвечивающим светом в узком диапазоне длин волн, посредством обработки сигналов над цветовым сигналом, используемым для формирования цветового сигнала изображения, или посредством обработки сигналов над цветовым сигналом изображения; и секцию вычисления информации о функциях живого организма, которая вычисляет в том случае, когда объект, подлежащий исследованию, является живым организмом, функции живого организма, связанные с кровью живого организма, по спектральному сигналу изображения. Вышеописанная конфигурация обеспечивает возможность вычисления информации о функциях живого организма, связанных с кровью живого организма, вместе со спектральным сигналом изображения. Краткое описание чертежей Фиг. 1 – концептуальная схема, представляющая прохождение сигналов при формировании спектрального сигнала изображения из цветового сигнала изображения в соответствии с первым вариантом осуществления настоящего изобретения; Фиг. 2 – концептуальная схема, представляющая вычисление с интегрированием спектрального сигнала изображения в соответствии с первым вариантом осуществления настоящего изобретения; Фиг. 3 – концептуальная схема, представляющая внешний вид электронного эндоскопического устройства в соответствии с первым вариантом осуществления настоящего изобретения; Фиг. 4 – блок-схема, представляющая конфигурацию электронного эндоскопического устройства, показанного на фиг. 3; Фиг. 5 – внешний вид обтюратора, показанного на фиг. 4; Фиг. 6 – схема, представляющая матрицу цветных светофильтров, расположенных в плоскости съемки изображения в CCD, показанном на фиг. 4; Фиг. 7 – схема, представляющая характеристики спектральной чувствительности цветных светофильтров, показанных на фиг. 6; Фиг. 8 – схема конфигурации, представляющая конфигурацию секции вычисления матриц, показанной на фиг. 4; Фиг. 9 – спектральная диаграмма, представляющая спектр источника света в соответствии с первым вариантом осуществления настоящего изобретения; Фиг. 10 – спектральная диаграмма, представляющая спектр отражения живого организма в соответствии с первым вариантом осуществления настоящего изобретения; Фиг. 11 – схема, изображающая слоистую структуру биологической ткани, подлежащей наблюдению электронным эндоскопическим устройством, показанным на фиг. 4; Фиг. 12 – схема, изображающая послойные уровни в биологической ткани, достигаемые подсвечивающим светом от электронного эндоскопического устройства, показанного на фиг. 4; Фиг. 13 – схема, представляющая спектральные характеристики соответствующих полос белого света; Фиг. 14 – первая схема, представляющая изображения в соответствующих полосах пропускания белого света, показанных на фиг. 13; Фиг. 15 – вторая схема, представляющая изображения в соответствующих полосах пропускания белого света, показанных на фиг. 13; Фиг. 16 – третья схема, представляющая изображения в соответствующих полосах пропускания белого света, показанных на фиг. 13; Фиг. 17 – схема, представляющая спектральные характеристики спектрального изображения, сформированные в секции вычисления матрицы, показанной на фиг. 8; Фиг. 18 – первая схема, представляющая соответствующие спектральные изображения, соответствующие фиг. 17; Фиг. 19 – вторая схема, представляющая соответствующие спектральные изображения, соответствующие фиг. 17; Фиг. 20 – третья схема, представляющая соответствующие спектральные изображения, соответствующие фиг. 17; Фиг. 21 – блок-схема, показывающая конфигурацию секции регулировки цвета, показанной на фиг. 4; Фиг. 22 – схема, описывающая операции секции регулировки цвета, показанной на фиг. 21; Фиг. 23 – блок-схема, представляющая конфигурацию модификации секции регулировки цвета, показанной на фиг. 4; Фиг. 24 – схема, представляющая спектральные характеристики первой модификации спектрального изображения, показанного на фиг. 17; Фиг. 25 – схема, представляющая спектральные характеристики второй модификации спектрального изображения, показанного на фиг. 17; Фиг. 26 – схема, представляющая спектральные характеристики третьей модификации спектрального изображения, показанного на фиг. 17; Фиг. 27 – блок-схема последовательности операции, представляющая операцию выполняемого вручную переключения коэффициентов, когда выполняется переключение в режим наблюдения спектрального изображения; Фиг. 28 – блок-схема, представляющая конфигурацию электронного эндоскопического устройства в модификации, в которой переключение коэффициентов возможно посредством централизованного контроллера или устройством голосового ввода; Фиг. 29 – блок-схема, представляющая конфигурацию электронного эндоскопического устройства в случае, когда в эндоскопе или подобном устройстве обеспечена ID- (идентификационная) память; Фиг. 30 – блок-схема последовательности операции для выполнения переключения коэффициентов комплексом на стороне устройства в случае конфигурации, показанной на фиг. 29; Фиг. 31 – блок-схема последовательности операции, представляющая участок операций в случае, когда, в ходе операции, показанной на фиг. 30, дополнительно включено отображение режимов наблюдения; Фиг. 32 – схема, представляющая пример, в котором, при отображении нормального изображения и спектрального изображения, также точно отображается режим наблюдения; Фиг. 33 – блок-схема последовательности операции также для изменения и установки параметра в связи с переключением режимов наблюдения в случае конфигурации, показанной на фиг. 29; Фиг. 34 – блок-схема последовательности операций для участка операций в модификации, показанной на фиг. 33; Фиг. 35 – блок-схема, представляющая конфигурацию периферического участка секции регулировки цвета в электронном эндоскопическом устройстве в соответствии со вторым вариантом осуществления настоящего изобретения; Фиг. 36 – блок-схема, представляющая конфигурацию периферического участка секции регулировки цвета в модификации второго варианта осуществления; Фиг. 37 – блок-схема, представляющая конфигурацию электронного эндоскопического устройства в соответствии с третьим вариантом осуществления настоящего изобретения; Фиг. 38 – блок-схема, представляющая конфигурацию секции вычисления матриц; Фиг. 39 – блок-схема последовательности операции для описания операций в третьем варианте осуществления; Фиг. 40 – блок-схема последовательности операций для участка операций в модификации третьего варианта осуществления; Фиг. 41 – блок-схема, представляющая конфигурацию электронного эндоскопического устройства в соответствии с четвертым вариантом осуществления настоящего изобретения; Фиг. 42 – блок-схема, представляющая пример конфигурации секции оценки цветового тона, показанной на фиг. 41; Фиг. 43 – блок-схема последовательности операций для участка операций в модификации четвертого варианта осуществления; Фиг. 44 – пояснительная схема, показывающая время накопления заряда электронным затвором CCD; Фиг. 45 – пояснительная схема, более подробно показывающая время накопления заряда электронным затвором CCD; Фиг. 46 – блок-схема, представляющая конфигурацию электронного эндоскопического устройства в соответствии с пятым вариантом осуществления настоящего изобретения; Фиг. 47 – схема, представляющая примеры отображения нормальных изображений и спектральных изображений на экранном мониторе в соответствии с пятым вариантом осуществления; Фиг. 48 – схема, представляющая примеры отображения нормальных изображений и спектральных изображений на экранном мониторе в соответствии с модификацией; Фиг. 49 – схема, представляющая матрицу цветных светофильтров в соответствии с шестым вариантом осуществления настоящего изобретения; Фиг. 50 – схема, представляющая характеристики спектральной чувствительности цветных светофильтров, показанных на фиг. 49; Фиг. 51 – блок-схема, представляющая конфигурацию электронного эндоскопического устройства в соответствии с седьмым вариантом осуществления настоящего изобретения; Фиг. 52 – схема конфигурации, представляющая конфигурацию секции вычисления матриц, показанной на фиг. 51; Фиг. 53 – блок-схема, представляющая конфигурацию секции регулировки цвета, показанной на фиг. 51; Фиг. 54 – блок-схема, представляющая конфигурацию модификации секции регулировки цвета, показанной на фиг. 51; Фиг. 55 – блок-схема, представляющая конфигурацию секции вычисления функции живого организма, показанной на фиг. 51; Фиг. 56 – схема, представляющая пример отображения на мониторе; Фиг. 57 – блок-схема, представляющая конфигурацию секции вычисления матриц в соответствии с восьмым вариантом осуществления настоящего изобретения; Фиг. 58 – блок-схема, представляющая конфигурацию электронного эндоскопического устройства в соответствии с девятым вариантом осуществления настоящего изобретения; Фиг. 59 – схема, показывающая время накопления заряда в CCD, показанном на фиг. 58; Фиг. 60 – схема, показывающая время накопления заряда в CCD в соответствии с десятым вариантом осуществления настоящего изобретения; Фиг. 61 – схема, представляющая матрицу цветных светофильтров в соответствии с одиннадцатым вариантом осуществления настоящего изобретения; Фиг. 62 – схема, представляющая характеристики спектральной чувствительности цветных светофильтров, показанных на фиг. 61; и Фиг. 63 – блок-схема последовательности операций во время вычисления матрицы в соответствии с модификацией настоящего изобретения. Предпочтительный вариант осуществления изобретения Ниже варианты осуществления настоящего изобретения описаны со ссылками на чертежи. (Первый вариант осуществления) Первый вариант осуществления настоящего изобретения описан ниже со ссылками на фиг. 1-34. Электронное эндоскопическое устройство в качестве устройства для наблюдения биологических объектов в соответствии с первым вариантом осуществления настоящего изобретения излучает подсвечивающий свет от источника подсвечивающего света на живой организм, который является объектом, подлежащим исследованию, принимает свет, отраженный от живого организма, при его подсветке подсвечивающим светом на твердотельное устройство съемки изображения, которое является секцией съемки изображения, и формирует широкополосный цветовой сигнал изображения из снятого сигнала фотоэлектрически преобразованного изображения, и формирует из цветового сигнала изображения, посредством обработки сигналов, спектральный сигнал изображения, соответствующий сигналу изображения, содержащего длины волн в узкополосном оптическом диапазоне. Перед изложением описания первого варианта осуществления настоящего изобретения ниже приведено описание способа вычисления матриц, который составляет основу настоящего изобретения. В данном случае, термин «матрица» относится к предварительно заданному коэффициенту, используемому при формировании спектрального сигнала изображения из цветового сигнала изображения, получаемого для формирования цветного изображения (именуемого далее нормальным сигналом). Кроме того, после описания матрицы, дано описание способа введения поправок для получения более точного спектрального сигнала изображения и способа повышения S/N (отношения сигнала к шуму), который повышает S/N сформированного спектрального сигнала изображения. Способ введения поправок и способ повышения S/N должны применяться по необходимости. Кроме того, в последующем описании векторы и матрицы должны обозначаться с использованием полужирных символов или <> (например, матрица A должна обозначаться как «полужирная A» или «»). Другие математические понятия должны обозначаться без выделения символов. (Способ вычисления матриц) На фиг. 1 приведена концептуальная схема, представляющая прохождение сигналов при формировании спектрального сигнала изображения для изображения, содержащего длины волн в узкополосном оптическом диапазоне, из цветового сигнала изображения (в данном случае, для простоты будет применен сигнал R/G/B, однако сигнал в комбинации G/Cy/Mg/Ye также можно использовать в случае с твердотельным устройством съемки изображения в дополнительных цветах, как в варианте осуществления, описанном в последующем). Во-первых, электронное эндоскопическое устройство преобразует соответствующие характеристики цветочувствительности R/G/B в числовые данные. В данном случае, характеристики цветочувствительности R/G/B относятся к выходным спектральным характеристикам, соответственно получаемым при использовании источника белого света для съемки изображения белого объекта исследования. Соответствующие характеристики цветочувствительности R/G/B отображаются с правой стороны от каждых данных изображения в виде упрощенного графика. Кроме того, здесь принимается, что соответствующие характеристики цветочувствительности R/G/B являются n-мерными векторами-столбцами Затем электронное эндоскопическое устройство преобразует в числовые данные характеристики узкополосных фильтров F1/F2/F3 для подлежащих выделению спектральных изображений (в качестве априорной информации, электронное эндоскопическое устройство содержит сведения о характеристиках фильтров, допускающих эффективное выделение структур; что касается характеристик фильтров, предполагается, что полосы пропускания соответствующих фильтров представляют собой диапазоны длин волн приблизительно от 590 нм до 610 нм, приблизительно от 530 нм до 550 нм и приблизительно от 400 нм до 430 нм). В данном случае, выражение «приблизительно» является понятием, которое содержит допуск около ±10 нм, когда имеют дело с длинами волн. Здесь принимается, что характеристики соответствующих фильтров являются n-мерными векторами-столбцами Решение представленной выше задачи оптимизации получают следующим образом. Если Поэтому задача, выраженная как формула 1, эквивалентна определению матрицы коэффициентов, которая удовлетворяет следующему выражению.
В данном случае, поскольку n>3 справедливо для числа n точек в последовательности, например, спектральных данных, представляющих спектральные характеристики, то формулу 3 получают как решение линейным методом наименьших квадратов вместо системы линейных уравнений. Другими словами, достаточно вывести псевдообратную матрицу из формулы 3. Допуская, что транспонированная матрица от матрицы Поскольку <tCC> является квадратной матрицей n×n, формулу 4 можно рассматривать как систему уравнений на матрице коэффициентов, вследствие чего решение которой можно вычислить из: Преобразованием левой стороны формулы 3 относительно матрицы коэффициентов, заданной формулой 5, электронное эндоскопическое устройство способно аппроксимировать характеристики узкополосных фильтров F1/F2/F3, подлежащих получению. На этом завершается описание способа вычисления матриц, который составляет основу настоящего изобретения. С использованием матрицы, вычисленной таким образом, секция 436 вычисления матриц, подлежащая описанию впоследствии, формирует спектральный сигнал изображения по цветовому сигналу изображения. Посредством обработки сигналов, выполняемой секцией 436 вычисления матриц и т.п., как описано выше, сигналы, соответствующие узкополосным фильтрам F1/F2/F3, подлежащим вычислению (из широкополосного фильтра RGB), становятся спектральным сигналом изображения. Поэтому в нижеописанном варианте осуществления, F1/F2/F3 будут применяться как спектральные сигналы изображения. Кроме того, поскольку F1/F2/F3 как спектральные сигналы изображения соответствуют узкополосным фильтрам, сформированным при обработке электрических сигналов, то существуют ситуации, в которых применяют квазиузкополосный фильтр для точного назначения его характерных спектральных особенностей. (Способ введения поправок) Далее приведено описание способа введения поправок для получения более точного спектрального сигнала изображения. В представленном выше описании способа вычисления матриц способ безошибочно применим в случае, когда световой поток, принимаемый твердотельным устройством съемки изображения, например, CCD (прибором с зарядовой связью), является идеальным белым светом (интенсивности всех длин волн имеют одинаковое значение в видимом диапазоне спектра). Другими словами, оптимальная аппроксимация обеспечивается, когда соответствующие выходные сигналы R (красного), G (зеленого) и B (синего) одинаковы. Однако при эндоскопическом наблюдении в реальных условиях, поскольку подсвечивающий световой поток (световой поток от источника света) не является идеальным белым светом и спектр отражения живого организма также не равномерен, то световой поток, принимаемый твердотельным устройством съемки изображения, также не является белым светом (окрашивание предполагает, что значения R, G и B не одинаковы). Поэтому, при фактической обработке, для более точного решения задачи, выраженной формулой 3, желательно учитывать спектральные характеристики подсвечивающего света и характеристики отражения живого организма в дополнение к характеристикам цветочувствительности RGB. Предположим теперь, что характеристики цветочувствительности имеют вид соответственно R( С использованием данных коэффициентов можно определить поправочные коэффициенты kR/kG/kB из выражений: Матрицу поправочных коэффициентов чувствительности, обозначаемую Поэтому, что касается матрицы коэффициентов, введение поправки, представленной формулой 7, в формулу 5 дает следующий результат: Кроме того, при фактическом выполнении оптимизации, путем использования того, что 0 заменяет отрицательные по величине характеристики спектральной чувствительности целевых фильтров (F1/F2/F3 на фиг. 1) во время отображения изображения (другими словами, применяются только участки с положительными значениями чувствительности из характеристик спектральной чувствительности фильтров), вводится поправка для участков оптимизированного распределения чувствительности, становящихся отрицательными. Для формирования характеристик спектральной чувствительности в узких полосах спектра из характеристик спектральной чувствительности в широких полосах спектра электронное эндоскопическое устройство может формировать компоненту, которая аппроксимирует чувствительность в полосе прибавлением отрицательных характеристик чувствительности к целевым характеристикам фильтров F1/F2/F3, как показано на фиг. 1. (Способ повышения S/N) Ниже приведено описание способа повышения S/N и точности сформированного спектрального сигнала изображения. Благодаря введению вышеописанного способа обработки, способ повышения S/N дополнительно решает следующие проблемы. (i) Когда какой-либо из исходных сигналов (R/G/B) в вышеописанном способе вычисления матриц временно приходит в состояние насыщения, то не исключена возможность, что характеристики фильтров F1-F3 в способе обработки существенно отличаются от характеристик (идеальных характеристик) фильтра, допускающего эффективное выделение структуры участка наблюдаемого объекта (когда фильтры F1-F3 формируются только по двум сигналам из R/G/B, требуется, чтобы ни один из двух исходных сигналов не был насыщенным). (ii) Поскольку узкополосный фильтр формируется из широкополосного фильтра при преобразовании цветового сигнала изображения в спектральный сигнал изображения, то происходит ухудшение чувствительности, приводящее к формированию более слабой компоненты спектрального сигнала изображения и снижению отношения S/N. С использованием настоящего способа повышения отношения S/N, как показано на фиг. 2, подсвечивающий свет излучается в несколько этапов (например, n этапов, где n является целым числом, равным или большим чем 2) на протяжении 1 поля (1 кадра) нормального изображения (нормального цветного изображения) (интенсивность излучения можно изменять на каждом этапе; на фиг. 2 этапы обозначены позициями I0-In; данную процедуру можно целиком выполнить посредством управления подсвечивающим светом). Следовательно, электронное эндоскопическое устройство может снижать интенсивность подсветки на каждом этапе и, тем самым, подавлять возникновение насыщенных состояний в соответствующих сигналах R, G и B. Кроме того, сигналы изображения, разделенные по нескольким этапам, суммируются n раз после этапов. В результате, электронное эндоскопическое устройство способно усиливать компоненту сигнала для повышения отношения S/N. Как показано на фиг. 2, интегрирующие секции 438a-438c выполняют функцию секций коррекции качества изображения, которые повышают отношение S/N. На этом завершается описание способа вычисления матриц, который составляет основу настоящего изобретения, а также способа введения поправок для определения точного и исполнимого спектрального сигнала изображения и способа повышения отношения S/N сформированного спектрального сигнала изображения. Ниже приведено описание модификации вышеописанного способа вычисления матриц. (Модификация способа вычисления матриц) Предположим, что цветовые сигналы изображения обозначены как R, G, B, и спектральные сигналы изображения подлежат вычислению как F1, F2 и F3. Точнее, хотя цветовые сигналы R, G, B изображения и т.п. зависят от координат x, y в изображении и, поэтому, например, R следует обозначать как R(x,y), подобные обозначения в данном описании следует опускать. Цель состоит в оценке 3×3-матрицы , которая вычисляет F1, F2 и F3 из R, G и B. После оценки можно вычислять F1, F2 и F3 (F1, F2 и F3 в матричном представлении) из R, G, B с использованием нижеприведенной формулы 9. Ниже определяется система обозначения следующих данных. Спектральные характеристики объекта, подлежащего исследованию: H( где спектральные характеристики подсвечивающего света: S( характеристики спектральной чувствительности CCD: J( спектральные характеристики светофильтров, выполняющих цветоделение, в случае основных цветов R( G( B( Как показано формулой 10, Сигналы R, G, B изображения и спектральные сигналы F1, F2 и F3 можно матрично выразить следующим образом: Сигнал изображения можно вычислить с использованием следующей формулы: Далее, в предположении, что цветоделительный светофильтр для получения На этой стадии, в качестве первого важного предположения, если принять, что спектральную отражательную способность объекта, подлежащего исследованию, можно выразить в виде линейной суммы трех элементарных спектральных характеристик, то где Подстановка формулы 14 в формулу 12 дает следующее: где 3×3-матрица Аналогичным образом, при подстановке формулы 14 в формулу 13, получается: где, аналогично, 3×3-матрица В конечном итоге, при исключении где На этой стадии, в качестве второго важного предположения, при выполнении цветоделения с использованием полосового фильтра, целесообразно принять, что спектральные характеристики объекта, подлежащего исследованию, в полосе спектра можно аппроксимировать с использованием единственной числовой величины. Другими словами, Если предположение справедливо также при рассмотрении случая, когда полоса пропускания для цветоделения не является идеальной полосой пропускания и может обладать чувствительностью в других спектральных полосах, то, в конечном счете, можно оценить матрицу, аналогичную матрице, выраженной формулой 17, посредством принятия Далее, со ссылкой на фиг. 3, приведено описание специальной конфигурации электронного эндоскопического устройства в первом варианте осуществления устройства для наблюдения биологических объектов в соответствии с настоящим изобретением. Между прочим, другие варианты осуществления, описанные позднее, могут иметь сходную конфигурацию. Как показано на фиг. 3, электронное эндоскопическое устройство 100 содержит электронный эндоскоп (сокращенно, эндоскоп) 101, основную часть 105 эндоскопического устройства и монитор 106 отображения в качестве устройства отображения. Кроме того, эндоскоп 101, в основном, содержит: вводимый участок 102, подлежащий вводу в тело объекта, подлежащего исследованию; дистальный концевой участок 103, обеспеченный на дистальном конце вводимого участка 102; и секцию 104 углового управления, которая обеспечена на стороне, противоположной стороне дистального конца вводимого участка 102, и которая обеспечена для выполнения или выдачи команд на выполнение таких операций, как операции изгибания на стороне дистального концевого участка 103. Изображение внутренней области объекта, подлежащего исследованию, или подобного ему объекта, снимаемое эндоскопом 101, подвергается предварительно заданной обработке сигналов в основной части 105 эндоскопического устройства, и обработанное изображение отображается на мониторе 106 отображения. Ниже, со ссылкой на фиг. 4, приведено подробное описание основной части 105 эндоскопического устройства. На фиг. 4 представлена блок-схема электронного эндоскопического устройства 100. Как показано на фиг. 4, основная часть 105 эндоскопического устройства содержит: секцию 41 источника света, которая, в основном, выполняет функцию осветительной секции, которая генерирует подсвечивающий свет; секцию 42 управления, которая управляет секцией 41 источника света и нижеописанным устройством 43 обработки в основной части; и устройство 43 обработки в основной части, которое выполняет обработку сигналов для формирования нормального изображения и обработку сигналов для формирования спектрального изображения. Секция 42 управления и устройство 43 обработки в основной части управляют операциями секции 41 источника света и/или CDD 21, как секции съемки изображения, и составляют секцию управления обработкой сигналов, которая выводит снятый сигнал изображения на монитор 106 (монитор отображения), который является устройством отображения. В данном случае, применительно к настоящему варианту осуществления, хотя ниже описание приведено в предположении, что секция 41 источника света и устройство 43 обработки в основной части, которое выполняет обработку изображений, оборудованы внутри основной части 105 эндоскопического устройства, который представляет собой единый блок, данные секции могут иметь альтернативную конфигурацию в виде соединяемых и разъемных отдельных блоков. Кроме того, хотя устройство для наблюдения биологических объектов может иметь конфигурацию, образованную эндоскопом 101, секцией 41 источника света и устройством 43 обработки в основной части, настоящее изобретение не ограничено данной конфигурацией. Например, устройство для наблюдения биологических объектов может также иметь конфигурацию, образованную либо секцией 41 источника света и устройством 43 обработки в основной части, либо одним лишь устройством 43 обработки в основной части. Секция 41 источника света подсоединена к секции 42 управления и эндоскопу 101. Секция 41 источника света излучает белый свет (включая свет, который не является идеально белым) при количестве света, заданном по сигналу из секции 42 управления. Кроме того, секция 41 источника света содержит: лампу 15 в качестве источника белого света; обтюратор 16 для регулировки количества света; и секцию 17 привода обтюратора для приведения в движение обтюратора 16. Как показано на фиг. 5, обтюратор 16 выполнен в виде структуры, подобной диску, имеющей заданный радиус r относительно центральной точки 17a и имеющей вырезанные участки с заданными окружными длинами. Центральная точка 17a присоединена к вращающемуся валику, обеспеченному на секции 17 привода обтюратора. Другими словами, обтюратор 16 совершает вращательное движение вокруг центральной оси 17a. Кроме того, множество вырезанных участков оборудовано с интервалами заданных радиусов. На схеме, от радиуса r0 до радиуса ra, вырезанный участок имеет максимальную длину 2 Значения длины и ширины вырезанных участков обтюратора 16 являются всего лишь примерными и не ограничены настоящим вариантом осуществления изобретения. Кроме того, обтюратор 16 имеет выступающий участок 160a, который радиально проходит от приблизительного центра вырезанного участка. Секция 42 управления выполнена так, чтобы минимизировать интервалы излучения света до и после 1 кадра для сведения к минимуму смазывания, обусловленного движением объекта, подлежащего исследованию, переключением кадров, когда свет перекрывается выступающим участком 160a. Кроме того, секция 17 привода обтюратора выполнена так, чтобы допускать перемещение в направлении, обращенном к лампе 15, как указано стрелкой на фиг. 4. Другими словами, секция 42 управления может изменять расстояние R между центром 17a вращения обтюратора 16, изображенного на фиг. 5, и световым потоком (обозначенным пунктирным кругом) от лампы. Например, в состоянии, изображенном на фиг. 5, поскольку расстояние R является достаточно малым, количество подсвечивающего света является небольшим. Посредством увеличения расстояния R (перемещением секции 17 привода обтюратора от лампы 15) вырезанный участок, через который может проходить световой поток, становится длиннее, что продлевает время излучения и дает возможность секции 42 управления увеличить количество подсвечивающего света. Как описано выше, поскольку, при использовании электронного эндоскопического устройства, существует возможность, что отношение S/N вновь сформированного спектрального изображения является недостаточным и насыщение любого из необходимых сигналов RGB при формировании спектрального изображения дает ошибочный результат вычисления, то необходимо регулировать количество подсвечивающего света. Обтюратор 16 и секция 17 привода обтюратора отвечают за регулировку количества света. Кроме того, эндоскоп 101, разъемно соединенный с секцией 41 источника света через соединитель 11, снабжен: объективом 19, который формирует оптическое изображение, на дистальном концевом участке 103; и твердотельным устройством 21 съемки изображения, например, CCD, которое выполняет фотоэлектрическое преобразование (далее по тексту именуемое просто CCD), расположенным в месте формирования изображения объективом. CCD, применяемое в настоящем варианте осуществления изобретения, представляет собой одноплатное CCD (CCD, применяемое в синхронном электронном эндоскопе) и содержит цветной светофильтр для пропускания основных цветов (сокращенно называемый цветным светофильтром). На фиг. 6 показана матрица цветных светофильтров, расположенных в плоскости съемки изображения в конструкции CCD. Кроме того, на фиг. 7 показаны соответствующие характеристики спектральной чувствительности RGB цветных светофильтров, показанных на фиг. 6. Как показано на фиг. 7, цветные светофильтры RGB обладают спектральными характеристиками, которые соответственно передают области R, G и B длин волн видимого диапазона спектра в широком диапазоне спектра. Кроме того, как показано на фиг. 4, вводимый участок 102 содержит: световод 104, который направляет свет, излучаемый из секции 41 источника света к дистальному концевому участку 103; сигнальную линию для передачи изображения, полученного посредством CCD, с объекта, подлежащего исследованию, в устройство 43 обработки в основной части; и канал 28 для щипцов или подобного им инструмента для выполнения медицинской процедуры. В данном случае, окно 29 под щипцы для введения щипцов в канал 28 для щипцов обеспечено вблизи секции 104 управления. Кроме того, таким же образом, как секция 41 источника света, устройство 43 обработки в основной части соединено с эндоскопом 101 посредством соединителя 11. Устройство 43 обработки в основной части снабжено схемой 431 управления CCD для управления CCD 21. Кроме того, устройство 43 обработки в основной части содержит в качестве систем обработки сигналов: систему обработки сигнала яркости, которая формирует сигнал яркости; и систему обработки цветового сигнала, которая формирует широкополосный цветовой сигнал. Система обработки сигнала яркости содержит: секцию 432 коррекции контуров, которая соединена с CCD 21 и выполняет коррекцию контуров; и секцию 434 обработки сигнала яркости, которая формирует сигнал яркости по данным, скорректированным секцией 432 коррекции контуров. Кроме того, система обработки цветового сигнала содержит: схемы 433a-433c выборки и хранения (схемы S/H), которые соединены с CCD 21, выполняют выборку и т.п. над сигналом, полученным посредством CCD 21, и формируют сигнал RGB в виде широкополосного цветового сигнала (или цветового сигнала изображения); и секцию 435 обработки цветовых сигналов, которая соединена с выводами схем 433a-433c S/H и выполняет обработку над цветовым сигналом. Кроме того, устройство 43 обработки в основной части снабжено с секцией 437 формирования нормального изображения, которая формирует одно нормальное цветное изображение как цветное изображение, снятое в видимом диапазоне спектра, из выходных сигналов системы обработки сигнала яркости и системы обработки цветовых сигналов. Затем сигнал Y (яркости), сигнал R-Y («красный» цветоразностный) и сигнал B-Y («голубой» цветоразностный) передаются как нормальный цветовой сигнал изображения из секции 437 формирования нормального изображения в экранный монитор 106 через переключающую секцию 439. С другой стороны, секция 436 вычисления матриц, которая формирует спектральные сигналы F1, F2 и F3 изображений из выходных сигналов схем 433a-433c S/H, которые формируют вышеупомянутые сигналы RGB, обеспечена как система сигнальных цепей в виде средства формирования спектральных изображений, которое получает спектральные изображения. Секция 436 вычисления матриц выполняет заданное вычисление матриц над сигналами RGB. Вычисление матриц относится к аддитивной обработке цветовых сигналов изображения с использованием расчетного коэффициента, соответствующего матрице коэффициентов, и обработке, состоящей в умножении матрицы, полученной вышеописанным способом вычисления матриц (или модификацией данного способа). Секция 436 вычисления матриц формирует узкополосные спектральные сигналы F1, F2 и F3 изображения из цветовых сигналов R, G и B изображения. В настоящем варианте осуществления изобретения, хотя ниже, в качестве способа вычисления матриц, описан способ, использующий обработку в электронных схемах (обработку в аппаратуре, использующей электронную схему), вместо него возможно применение способа, использующего цифровую обработку данных (обработку программными средствами с использованием программы), например, в варианте осуществления изобретения, описанном впоследствии. Кроме того, в реализации возможно также применение комбинации упомянутых способов. На фиг. 8 представлена принципиальная схема секции 436 вычисления матриц. Сигналы RGB соответственно вводятся в усилители 32a-32c через резисторные группы 31-1a-31-1c, 31-2a-31-2c и 31-3a-31-3c и мультиплексоры 33-1a-33-1c, 33-2a-33-2c и 33-3a-33-3c. Резисторные группы 31-1a, 31-2a, Над мультиплексорами 33-1a, 33-2a, В данном случае, выбор режимов наблюдения (режимов визуализации изображения) включает в себя функцию для выбора изображения, отображаемого на экранном мониторе 106, а также функцию системы обработки сигналов устройства 43 обработки в основной части, и поэтому при обработке сигналов формируется, по меньшей мере, видеосигнал (сигнал изображения), соответствующий изображению. Другими словами, в случае когда в качестве режима наблюдения выбирают режим визуализации нормального цветного изображения (именуемого просто нормальным изображением), переключение переключающей секции 439 выполняют так, что на экранном мониторе 106 отображается нормальное изображение, и, одновременно, система обработки нормального изображения переключается в активное состояние, чтобы формировался нормальный сигнал изображения, соответствующий нормальному изображению. В данном случае, секция 432 коррекции контуров, секция 434 обработки сигнала яркости, секция 435 обработки цветовых сигналов и секция 437 формирования нормального изображения, показанные на фиг. 4, соответствуют системе обработки нормального изображения. Кроме того, в случае когда в качестве режима наблюдения выбирают режим визуализации спектрального изображения, переключение переключающей секции 439 выполняют так, что на экранном мониторе 106 отображается спектральное изображение, и, одновременно, система обработки спектрального изображения переключается в активное состояние для формирования спектрального сигнала изображения, соответствующего спектральному изображению. В данном случае, секция 442 управления коэффициентами, LUT (поисковая таблица) 443, секция 436 вычисления матриц, интегрирующие секции 438a – 438c и секция 440 регулировки цвета, показанные на фиг. 4, соответствуют системе обработки спектрального изображения. Рабочие состояния, общие для обоих режимов наблюдения, поддерживаются для схемы 431 управления CCD и схем 433a-433c S/H. Секция 42 управления может быть выполнена с возможностью выполнения управления так, чтобы в соответствии с вышеописанным выбором режима наблюдения в активное состояние переключалась система обработки сигналов, соответствующая выбранному режиму наблюдения. В альтернативном варианте можно постоянно поддерживать обе системы обработки сигналов в активных состояниях. В данном случае, операция выбора режима наблюдения достигает такого же результата, что и выбор изображения (изображения для наблюдения), подлежащего отображению на мониторе 106. Однако, как описано далее, существуют случаи, когда значения параметров (или искомые величины), при осуществлении регулирования количества света с доведением количества подсвечивающего света до требуемой величины, предпочтительно изменяют в связи с выбором (переключением) режимов наблюдения. Кроме того, пользователь может также выполнять операцию выбора посредством переключателя 141 эндоскопа, обеспеченного на секции управления эндоскопом 101. Переключатель 141 эндоскопа также образует средство установки/переключения коэффициентов, которое выполняет переключение коэффициентов, и интерфейсное средство, с помощью которого пользователь выполняет переключение (выбор) режимов наблюдения. Панель 441 управления или подобное ей устройство снабжена множеством селекторных переключателей (или кнопок переключения) 441a, соответствующих, например, типу объекта, подлежащего исследованию, наблюдаемой области, типу ткани биологической ткани (морфологическому типу ткани) и т.п. При управлении селекторным переключателем 441a пользователем селекторный переключатель 441a выдает командный сигнал, соответствующий типу объекта, подлежащего исследованию, наблюдаемой области, типу ткани биологической ткани и т.п., в секцию 442 управления коэффициентами. Как показано на фиг. 4, LUT 443, в качестве средства хранения расчетных коэффициентов, хранящего расчетные коэффициенты (именуемые далее просто коэффициентами), которые определяют характеристики вычисления матриц или результаты вычисления матриц в секции 436 вычисления матриц, подключается к секции 442 управления коэффициентами. В соответствии с сигналом управления от селекторного переключателя 441a панели 441 управления или подобного ей устройства секция 442 управления коэффициентами считывает коэффициент, соответствующий типу объекта, подлежащего исследованию, или подобному типу, из LUT 443 и передает коэффициент в секцию 436 вычисления матриц. Другими словами, в LUT 443 хранится множество коэффициентов 443a, соответствующих типам спектральных характеристик (спектральных характеристик отражения) объектов, подлежащих исследованию, или, в частности, типам спектральных характеристик отражения слизистых тканей живого организма, как объектов, подлежащих исследованию. Проще говоря, коэффициент 443a является коэффициентом живого организма, соответствующим типу слизистой ткани живого организма или подобному типу. Следовательно, секция 436 вычисления матриц выполняет вычисление матриц с использованием коэффициента 443a, считанного и переданного из LUT 443. Таким образом, вычисление для формирования спектрального сигнала изображения (квазиоптического спектрального сигнала изображения в процессе обработки сигналов) оказывается возможным, даже когда различаются типы объектов, подлежащих исследованию, типы тканей биологической ткани или подобных им типов, путем фактического применения оптического узкополосного светофильтра для подавления снижения точности по сравнению со снятым (полученным) оптическим узкополосным сигналом изображения или спектральным сигналом изображения. Как изложено выше, в настоящем варианте осуществления секция 436 вычисления матриц подключается через секцию 442 управления коэффициентами к LUT 443, которая хранит множество коэффициентов 443a. Выполнением операций на панели 441 управления или подобном ей устройстве пользователь может изменять и устанавливать (переключать и устанавливать) коэффициенты, фактически используемые при вычислении матриц секцией 436 вычисления матриц, посредством секции 442 управления коэффициентами, и изменять и устанавливать характеристики подлежащих формированию спектральных сигналов F1, F2 и F3 изображения. Другими словами, секция 442 управления коэффициентами и LUT 443 снабжены такими же функциями, что и средство изменения/установки характеристик, которое изменяет/устанавливает характеристику спектрального сигнала изображения, формируемого средством формирования спектрального сигнала изображения. Выходные сигналы секции 436 вычисления матриц соответственно вводятся в интегрирующие секции 438a-438c для выполнения соответствующего интегрирующего вычисления в интегрирующих секциях 438a-438c. В результате, формируются спектральные сигналы Следовательно, цветовой сигнал изображения (именуемый также сигналом живого организма) из секции 437 формирования нормального изображения или сигналы Rnbi, Gnbi и Bnbi изображения спектральных каналов из секции 440 регулировки цвета соответственно выводятся через переключающую секцию 439 в канал R, канал G и канал B (иногда сокращенно обозначаемые как Rch, Gch и Bch) экранного монитора 106 и отображаются в отображаемых цветах R, G и B на экранном мониторе 106. Поэтому секция 440 регулировки цвета снабжена функцией средства преобразования отображаемых цветов, которое преобразует отображаемые цвета, применяемые при квазицветном отображении спектральных сигналов Как изложено выше, обработка данных регулировки (отображаемых) цветов, включающая в себя преобразование отображаемых цветов, выполняемое над спектральными сигналами В настоящем варианте осуществления, при обеспечении средства регулировки цвета, включающего в себя вышеописанное преобразования цветов, становится возможным квазицветное отображение в цветовых тонах, которые желательны для пользователя. Кроме того, квазицветное отображение можно осуществлять с повышенной различимостью путем выполнения преобразования цветов или регулировки цвета. В данном случае, как очевидно из вышеприведенного описания, сигналы Rnbi, Gnbi и Bnbi изображения спектральных каналов используются для более четкой демонстрации того, что вывод осуществляется соответственно в канал R, канал G и канал B экранного монитора 106. Соответственно, данные сигналы следует совместно именовать спектральным сигналом изображения. При переключении фокусировки на квазицветное отображение, осуществляемое на стороне монитора, как в седьмом варианте осуществления, который описан впоследствии, сигналы Rnbi, Gnbi и Bnbi изображения спектральных каналов можно также именовать сигналами изображения в каналах цветности. Конфигурация секции 440 регулировки цвета описана далее. Секция 440 регулировки цвета подключена к панели 441 управления, снабженной функцией средства изменения/установки отображаемых цветов или интерфейсного средства, переключателю 141 эндоскопа и т.п. Секция 440 регулировки цвета выполнена так, что пользователь или другое лицо может выполнять операции по изменению/установке отображаемых цветов для регулировки цвета (в частности, операции переключения/установки коэффициентов) посредством панели 441 управления, переключателя 141 эндоскопа и т.п. Как изложено далее, в соответствии с сигналом от панели 441 управления или подобного ей устройства, схему 61 3×3-матрицы коэффициентов, которая выполняет преобразование отображаемых цветов, можно переключать посредством схемы 64 изменения коэффициентов, составляющей секцию 440 регулировки цвета. В данном случае, переключающая секция 439 предусмотрена для переключения из нормального изображения в спектральное изображение и обратно, но допускает также переключение между спектральными изображениями и их отображение. Другими словами, при выполнении пользователем, например, оператором, операции выбора сигнала, подлежащего выводу на экранный монитор 106, из нормального сигнала изображения и сигналов Rnbi, Gnbi и Bnbi изображения спектральных каналов, переключающая секция 439 выбирает (включает) оперативно выбранный сигнал и выводит его на экранный монитор 106. Переключающая секция 439 соединена с панелью 441 управления и переключателем 141 эндоскопа, на которых работает пользователь, для удобного осуществления переключения или выбора нормальных изображений и спектральных изображений. Поэтому, в соответствии с настоящим вариантом осуществления, возможно усовершенствование удобства применения. В данном случае, как показано на фиг. 4, команда, вводимая на клавиатуре 451, компонуется для ввода в секцию 42 управления. Когда введенная команда является командой переключения, секция 42 управления осуществляет управление переключением и т.п. переключающей секции 439 в соответствии с командой переключения. Кроме того, возможна конфигурация, при которой на экранном мониторе 106 можно одновременно отображать, по меньшей мере, два любых изображения. Соответствующая конфигурация описана далее со ссылкой на фиг. 46 и т.п. В частности, в случае когда возможно одновременное отображение нормального изображения и изображения в спектральном канале (именуемого также спектральным изображением), традиционно наблюдаемое нормальное изображение и спектральное изображение можно легко сравнивать, и можно осуществлять наблюдение с учетом соответствующих особенностей упомянутых изображений (особенность нормальных изображений заключается в том, что их цветовые тона имеют близкое сходство с цветовыми тонами при наблюдении невооруженным глазом для удобства наблюдения; тогда как особенность спектральных изображений заключается в том, что можно наблюдать заданные кровеносные сосуды или тому подобное, что не заметно на нормальных изображениях), что чрезвычайно полезно при диагностике. Ниже, со ссылкой на фиг. 4, приведено подробное описание операций электронного эндоскопического устройства 100 в соответствии с настоящим вариантом осуществления изобретения. Далее описаны операции при наблюдении нормального изображения, после чего приведено описание операций при наблюдении спектрального изображения. Сначала будет приведено описание операций секции 41 источника света. По сигналу управления из секции 42 управления секция 17 привода обтюратора устанавливается в предварительно заданное положение и вращает обтюратор 16. Световой поток от лампы 15 проходит через вырезанный участок обтюратора 16 и собирается линзой объектива на торце падения световода 14, который представляет собой волоконно-оптический жгут, где упомянутый торец обеспечен внутри соединителя 11, расположенного на участке соединения эндоскопа 101 и секции 41 источника света. Собранный световой поток проходит по световоду 14 и излучается на тело объекта, подлежащего исследованию, из непоказанной осветительной оптической системы, обеспеченной на дистальном концевом участке 103. Излучаемый световой поток отражается изнутри объекта, подлежащего исследованию, и сигналы собираются посредством объектива 19 на CCD 21, снабженном цветными светофильтрами, по каждому цветному светофильтру, показанному на фиг. 6. Сигналы (снятые сигналы изображения), собранные посредством CCD 21 по цветному светофильтру, подаются параллельно в вышеописанные систему обработки сигнала яркости и систему обработки цветовых сигналов. Сигналы, собранные по цветному светофильтру, суммируются по пикселям и вводятся в секцию 432 коррекции контуров системы сигнала яркости и, после коррекции контуров, вводятся в секцию 434 обработки сигнала яркости. Сигнал яркости формируется в секции 434 обработки сигнала яркости и затем вводится в секцию 437 формирования нормального изображения. При этом сигналы, собранные посредством CCD 21 по цветному светофильтру, вводятся согласно светофильтрам в схемы 433a-433c S/H, и соответственно формируются сигналы R/G/B как множество широкополосных цветовых сигналов. Кроме того, после того, как сигналы R/G/B подвергаются обработке сигналов с формированием цветовых сигналов в секции 435 обработки цветовых сигналов, в секции 437 формирования нормального изображения формируются сигнал Y, сигнал R-Y и сигнал B-Y в качестве цветовых сигналов изображения из вышеупомянутых сигналов яркости и цветовых сигналов, и нормальное изображение объекта, подлежащего исследованию, отображается в цвете на экранном мониторе 106 посредством переключающей секции 439. В данном случае, как показано на фиг. 4, выходной сигнал из секции 437 формирования нормального изображения и выходной сигнал из секции 440 регулировки цвета может быть скомпонован для ввода в канал R, канал G и канал B экранного монитора 106 по совместно используемому выводу переключающей секции 439. В случае конфигурации с совместно используемым выводом достаточно включить в состав схему 439a преобразования (смотри фиг. 4), которая преобразует сигнал Y, сигнал R-Y и сигнал B-Y, которые являются выходными сигналами секции 437 формирования нормального изображения, в сигналы R, G и B, подаваемые в переключающую секцию 439. В альтернативной конфигурации, вместо включения в состав схемы 439a преобразования, выходной сигнал из секции 437 формирования нормального изображения подается на вход Y (яркостного)/цветоразностного сигнала экранного монитора 106, тогда как выходной сигнал из секции 440 регулировки цвета соответственно вводится в канал R, канал G и канал B экранного монитора 106. Ниже, для простоты описан случай, в котором даже выходной сигнал из секции 437 формирования нормального изображения подается на экранный монитор 106 по общему каналу R, общему каналу G и общему каналу B, после вывода из переключающей секции 439. Далее описаны операции при наблюдении спектрального изображения. В данном случае не приводится описание операций, аналогичных тем, которые выполняются при наблюдении нормального изображения. Оператор выдает команду для наблюдения спектрального изображения из режима нормального изображения манипулированием переключателем 141 эндоскопа, на клавиатуре 451 или подобном устройстве, подключенном к основной части 105 эндоскопического устройства. В этом момент секция 42 управления переключает состояние управления секции 41 источника света и устройства 43 обработки в основной части. В частности, при необходимости, секция 42 управления изменяет количество света, излучаемое из секции 41 источника света. Как описано выше, поскольку насыщение выходного сигнала из CCD 21 нежелательно, количество подсвечивающего света снижается по сравнению с наблюдением нормального изображения. Кроме того, в дополнение к такому регулированию количества света, при котором выходной сигнал из CCD 21 не достигает насыщения, секция 42 управления также может изменять количество подсвечивающего света в диапазоне, в котором насыщение не достигается. Кроме того, в качестве примера изменения содержания управления устройством 43 обработки в основной части посредством секции 42 управления, сигнал, выдаваемый из переключающей секции 439, переключается с выхода секции 437 формирования нормального изображения на выход секции 440 регулировки цвета, другими словами, на сигналы Rnbi, Gnbi и Bnbi изображения спектральных каналов. Кроме того, выходные сигналы схем 433a-433c S/H вводятся в секцию 436 вычисления матриц и подвергаются обработке, включающей в себя усиление/суммирование, в секции 436 вычисления матриц для формирования узкополосных спектральных сигналов F1, F2 и F3 изображения. Спектральные сигналы F1, F2 и F3 изображения выводятся в интегрирующие секции 438a-438c соответственно каждой полосе пропускания. Даже когда количество подсвечивающего света уменьшается обтюратором 16, запоминание и интегрирование интегрирующими секциями 438a-438c обеспечивает повышение интенсивности сигнала, как показано на фиг. 2. Кроме того, посредством интегрирующих секций 438a-438c можно получать интегрированные спектральные сигналы Далее приведено специальное описание матричной обработки, выполняемой секцией 436 вычисления матриц в соответствии с настоящим вариантом осуществления изобретения. В настоящем варианте осуществления изобретения, при попытке формирования полосовых фильтров (именуемых далее квазиполосовыми фильтрами), имеющих близкое сходство с идеальными узкополосными фильтрами F1-F3 (в данном случае, принято, что соответствующие диапазоны пропускания длин волн имеют значения F1: 590 нм-620 нм, F2: 520 нм-560 нм, и F3: 400 нм-440 нм), изображенными на фиг. 7, из характеристик спектральной чувствительности цветных светофильтров RGB, показанных сплошными линиями на фиг. 7, согласно информации, содержащейся в представленных выше формулах 1-5, оптимальной оказывается следующая матрица: Кроме того, при выполнении коррекции с использованием информации, содержащейся в формулах 6 и 7, получается следующий коэффициент: В данном случае, в вышеизложенном материале использована априорная информация, что спектр S( Поэтому обработка, выполняемая секцией 436 вычисления матриц, математически эквивалентна нижеприведенному вычислению матрицы. При выполнении вычисления матрицы получают характеристики квазифильтров (обозначенные как характеристики квази-F1 – квази-F3 на фиг. 7). Другими словами, вышеупомянутая матричная обработка предназначена для формирования спектрального сигнала изображения посредством применения квазиполосового фильтра (т.е. матрицы), созданного заранее, как описано выше, к цветовому сигналу изображения. Ниже описан пояснительный пример эндоскопического изображения, сформированного с использованием характеристик квазифильтров. Как показано на фиг. 11, ткань внутри полости 51 тела часто имеет распределенную структуру из поглощающих тел, например, кровеносных сосудов, которые различаются в направлении по глубине. Капилляры 52 в основном распределены вблизи поверхностных слоев слизистой оболочки, тогда как вены 53, более крупные чем капилляры, распределены вместе с капиллярами в промежуточных слоях, которые расположены глубже, чем поверхностные слои, и еще более крупные вены 54 распределены в еще более глубоких слоях. Кроме того, глубина, достигаемая для света в направлении по глубине ткани внутри полости 51 тела, зависит от длины волны света. Кроме того, как показано на фиг. 12, в случае со светом с короткой, например, синей (B) длиной волны подсвечивающий свет, содержащий спектр видимого диапазона, проникает лишь неглубоко от поверхностных слоев из-за характеристик поглощения и характеристик рассеяния биологической ткани. Следовательно, свет испытывает поглощение и рассеяние в зоне до данной глубины, и наблюдается свет, выходящий из поверхности. Кроме того, в случае с зеленым (G) светом, длина волны которого больше, чем длина волны синего (B) света, свет распространяется глубже зоны, доступной для синего (B) света. Следовательно, свет испытывает поглощение и рассеяние в его зоне, и наблюдается свет, выходящий из поверхности. Кроме того, красный (R) свет, длина волны которого больше, чем длина волны зеленого (G) света, распространяется до еще большей глубины. Как показано на фиг. 13, при применении света RGB во время нормального наблюдения ткани внутри полости 51 тела, поскольку соответствующие полосы длин волн перекрываются между собой в широкой полосе пропускания, то (1) снятый сигнал изображения, снятый посредством CCD 21 в свете полосы B, снимает изображение в полосе спектра, содержащее информацию о приповерхностных и промежуточных тканях, включая большое количество информации о приповерхностных тканях, например, информацию, представленную на фиг. 14; (2) снятый сигнал изображения, снятый посредством CCD 21 в свете полосы G, снимает изображение в полосе спектра, содержащее информацию о приповерхностных и промежуточных тканях, включая большое количество информации о промежуточных тканях, например, информацию, представленную на фиг. 15; и (3) снятый сигнал изображения, снятый посредством CCD 21 в свете полосы R, снимает изображение в полосе спектра, содержащее информацию о промежуточных и глубоких тканях, включая большое количество информации о глубоких тканях, например, информацию, представленную на фиг. 16. Кроме того, путем выполнения обработки сигналов над снятыми сигналами RGB изображения в основной части 105 эндоскопического устройства можно получить искомое эндоскопическое изображение или эндоскопическое изображение с естественным цветовоспроизведением. Матричная обработка, выполняемая вышеописанной секцией 436 вычисления матриц, предназначена для формирования спектрального сигнала изображения с использованием матрицы, которая обладает характеристиками квазиполосового фильтра и которая формируется заранее, как описано выше для цветового сигнала изображения. Кроме того, пользователь может изменять характеристики квазиполосового фильтра манипулированием на панели 441 управления и подобном устройстве, чтобы считать коэффициент 443a, хранимый в LUT 443, при посредстве секции 442 управления коэффициентами и изменить/установить характеристики вычисления матрицы, выполняемого секцией 436 вычисления матрицы. Например, изменением и установкой коэффициента 443a можно устанавливать характеристики квазиполосового фильтра, сформированного секцией 436 вычисления матрицы, для точного формирования характеристики на стороне приповерхностного слоя и исключения формирования характеристик других квазиполосовых фильтров. Другими словами, можно устанавливать (медианное) значение длины волны полосы для характеристик квазиполосового фильтра с помощью коэффициента 443a в соответствии с характеристическим параметром. Поэтому коэффициент 443a имеет функцию коэффициента характеристического параметра живого организма, которая формирует спектральный сигнал изображения, который выделяет характеристический параметр, например, сосудистую структуру, распределенную по глубинам от поверхности биологической ткани. Другими словами, средство формирования спектрального сигнала изображения и его секция изменения/установки характеристик в соответствии с настоящим вариантом осуществления изобретения обладают, в основном, двумя серьезными преимуществами, описанными ниже. При осуществлении изменения/установки (включая переключение) таким образом, что соответствующий коэффициент 443a (как коэффициент живого организма) применяется в соответствии со спектральными характеристиками отражения живого организма, пользователь может получать спектральные сигналы изображения с высокой точностью, касающейся биологической ткани, обладающей разными спектральными характеристиками отражения. Кроме того, когда желательно наблюдение участка живого организма, который, возможно, эффективнее наблюдать в конкретной узкой полосе (N) длин волн, пользователь может наблюдать участок живого организма в состоянии, в котором S/N является предпочтительным, осуществлением изменений/установок таким образом, что применяется коэффициент 443a, который выделяет и формирует спектральный сигнал изображения, соответствующий конкретной узкой полосе (N) длин волн (или подавляет спектральные сигналы изображения других узких полос длин волн). При этом спектральные сигналы F1-F3 изображения получаются при применении квазиполосовых фильтров F1-F3, которые обладают дискретными узкополосными спектральными характеристиками и допускают выделение искомой информации о глубоких тканях, как показано на фиг. 17. Как показано на фиг. 17, поскольку соответствующие диапазоны длин волн квазиполосовых фильтров F1-F3 не перекрываются между собой, то (4) изображение в полосе спектра, содержащее информацию о ткани в приповерхностном слое, например, изображение, представленное на фиг. 18, снимается в спектральном сигнале F3 изображения посредством квазиполосового фильтра F3; (5) изображение в полосе спектра, содержащее информацию о ткани промежуточного слоя, например, изображение, представленное на фиг. 19, снимается в спектральном сигнале F2 изображения посредством квазиполосового фильтра F2; и (6) изображение в полосе спектра, содержащее информацию о ткани глубокого слоя, например, изображение, представленное на фиг. 20, снимается в спектральном сигнале F1 изображения посредством квазиполосового фильтра F1. Затем, что касается спектральных сигналов Как показано на фиг. 21, секция 440 регулировки цвета образована схемой 440a обработки преобразования цвета, содержащей 3×3-матричную схему 61 в качестве средства преобразования отображаемого цвета; три группы LUT 62a, 62b, 62c, 63a, 63b и 63c, обеспеченных до и после 3×3-матричной схемы 61; и схему 64 изменения коэффициентов в качестве средства изменения/установки отображаемого цвета, которое изменяет данные таблиц LUT 62a, 62b, 62c, 63a, 63b и 63c или матричный коэффициент 3×3-матричной схемы 61. Спектральные сигналы F1-F3 изображения, введенные в схему 440a обработки преобразования цвета, подвергаются обратной Затем, после того, как в 3×3-матричной схеме 61 выполнено преобразование цвета, выполняется Данные таблиц LUT 62a, 62b, 62c, 63a, 63b и 63c или матричного коэффициента 3×3-матричной схемы 61 могут изменяться схемой 64 изменения коэффициентов, которая изменяет коэффициенты и т.п. Множество типов матричных коэффициентов 64a, подлежащих применению при выполнении вычисления матрицы в 3×3-матричной схеме 61, сохраняются как коэффициенты преобразования цветов (регулировки цветов) в схеме 64 изменения коэффициентов. При вычислении матрицы с использованием матричного коэффициента 64a, выбранного посредством схемы 64 изменения коэффициентов, 3×3-матричная схема 61 выполняет преобразование цветов, соответствующее применяемому матричному коэффициенту 64a. Изменение матричных коэффициентов в схеме 64 изменения коэффициентов основано на сигнале управления или сигнале переключения из панели 441 управления или от переключателя 141b установки коэффициентов (или переключателя изменения/установки цветового тона) (смотри фиг. 4) внутри переключателя 141 эндоскопа, обеспеченного, например, в секции управления эндоскопа 101. Кроме того, матричные коэффициенты 64a в схеме 64 изменения коэффициентов включают в себя, например, сосудистый матричный коэффициент 64b, который допускает отображение сосудистой структуры в легко различимом цветовом тоне в качестве характеристического параметра, поддерживаемый живым организмом, как описано ниже. Пользователь может выбрать сосудистый матричный коэффициент 64b из схемы 64 изменения коэффициентов манипулированием переключателем 141b установки коэффициентов. В данном случае, пользователь манипулированием переключателем 141b установки коэффициентов может выдавать сигнал управления на изменение данных таблицы LUT 62a, 62b, 62c, 63a, 63b и 63c в схему 64 изменения коэффициентов в дополнение к сигналу управления на изменение матричного коэффициента 64a, применяемого 3×3-матричной схемой 61. После приема сигнала управления схема 64 изменения коэффициентов считывает соответствующие данные из таких данных, как множество типов матричных коэффициентов 64a, предварительно сохраненных в секции 440 регулировки цвета, и записывает данные по текущему схемному коэффициенту. Далее приведено описание конкретного содержания обработки по преобразованию цветов. Формула 22 представляет пример уравнения преобразования цветов. Обработка, представленная формулой 22, является преобразованием цвета, при котором спектральные сигналы F1-F3 изображения распределяются в сигналы Rnbi, Gnbi и Bnbi изображения спектральных каналов (канал R, канал G и канал B, как указывается в изображении на экранном мониторе 106) в порядке увеличения длин волн. В случае наблюдения цветного изображения по сигналам Rnbi, Gnbi и Bnbi изображения спектральных каналов получается, например, изображение, показанное на фиг. 22. Спектральный сигнал F3 изображения отражается на крупной вене, находящейся в глубоком месте, и его отображаемый цвет дает синюю картину. Поскольку спектральный сигнал F2 изображения испытывает сильное отражение на сосудистой сети вблизи промежуточных слоев, его отображаемый цвет дает красную картину. Кроме того, из сосудистых сетей сети, находящиеся около поверхности слизистой оболочки, представляются в отображаемом цвете, составляющем зеленую картину. В частности, изменения картины вблизи поверхности слизистой оболочки важны для обнаружения и дифференциального диагноза заболеваний на ранних стадиях. Однако желтая картина обычно имеет слабый контраст относительно фоновой слизистой оболочки и поэтому слабо заметна. В связи с этим, для воспроизведения картин вблизи поверхности слизистой оболочки с более высокой различимостью эффективным становится преобразование, представленное формулой 23. Обработка, представляемая формулой 23, является примером преобразования, при котором спектральный сигнал F1 изображения смешивается со спектральным сигналом F2 изображения в определенном отношении, и сформированные данные вновь используются как сигнал Gnbi спектрального канала G. Применение указанного преобразования позволяет лучше прояснить тот факт, что поглощающие/рассеивающие тела, например сосудистая сеть, отличаются в соответствии с положениями по глубине. Поэтому с помощью регулировки матричного коэффициента 64a посредством схемы 64 изменения коэффициентов пользователь может регулировать отображаемые цвета так, чтобы обеспечивать предпочтительный результат отображения. Данная операция выполняется следующим образом. В связи с произведенной пользователем манипуляцией на панели 441 управления или переключателем 141c переключения режимов (см. фиг. 4) внутри переключателя 141 эндоскопа, обеспеченного в секции управления эндоскопа 101, матричный коэффициент 64a устанавливается на значение по умолчанию внутри секции 440 регулировки цвета (схемы 440a обработки преобразования цвета) из проходной операции. Проходной операцией в данном случае именуется состояние, в котором в 3×3-матричной схеме 61 установлена единичная матрица, и в LUT 62a, 62b, 62c, 63a, 63b и 63c установлена непреобразуемая таблица. Это означает, что, например, заданные значения Затем посредством манипуляции на панели 441 управления или переключателем 141b установки коэффициентов, обеспеченном в переключателе 141 эндоскопа, размещенном в секции управления эндоскопа 101, пользователь выбирает сосудистый матричный коэффициент 64b из схемы 64 изменения коэффициентов. Затем, что касается матричного коэффициента 3×3-матричной схемы 61, выполняется изменение/установка вышеупомянутых заданных значений из Хотя схема 440a обработки преобразования цвета в соответствии с настоящим вариантом осуществления изобретения поясняется на примере, в котором преобразование цветов выполняется блоком вычисления матрицы, образованным 3×3-матричной схемой 61, настоящее изобретение не ограничено данным примером. Вместо этого, средство обработки преобразования цвета может быть построено с использованием цифрового процессора (CPU) или LUT. Например, в вышеописанном варианте осуществления изобретения, хотя схема 440a обработки преобразования цвета поясняется на примере конфигурации, центрированной вокруг 3×3-матричной схемы 61, аналогичные операции и преимущества могут быть реализованы при замене схемы 440a обработки преобразования цвета трехмерными LUT 71, соответствующими каждой полосе пропускания, как показано на фиг. 23. В данном случае, по сигналу управления из панели 441 управления или от переключателя 141b установки коэффициентов, обеспеченного в переключателе 141 эндоскопа или подобном устройстве секции управления эндоскопа 101, схема 64 изменения коэффициентов выполняет операцию по изменению содержимого табличных данных 71a, хранимых в LUT 71 (хотя табличные данные 71a показаны в одной LUT 71 на фиг. 23, табличные данные 71a аналогично хранятся в других LUT 71). Затем схема 440a обработки преобразования цвета, показанная на фиг.23, выполняет обработку по преобразованию цвета, соответствующую измененным/установленным табличным данным 71a. В табличных данных 71a хранятся, например, данные о сосудах и слизистой оболочке живого организма, которые обуславливают отображение сосудистых структур, слизистых структур живого организма и т.п., как характеристических параметров живого организма в цветовых тонах с хорошей различимостью. В данном случае, характеристики фильтров квазиполосовых фильтров F1-F3 не ограничены видимым диапазоном спектра. В качестве первой модификации квазиполосовых фильтров F1-F3, характеристики фильтров можно скомпоновать как, например, дискретные узкополосные спектральные характеристики, например, характеристики, показанные на фиг. 24. Переход к подобным характеристикам фильтров может быть осуществлен пользователем посредством манипулирования селекторным переключателем 441a, обеспеченном на панели 441 управления, или подобным устройством для изменения вычислительного коэффициента секции 436 вычисления матриц. Спектральные сигналы F1-F3 изображения, сформированные секцией 436 вычисления матриц, показаны на фиг. 24 (а также на нижеописанных фиг. 25 и 26) в виде спектральных характеристик, аналогичных квазиполосовым фильтрам, показанным на фиг. 7. При установке F3 в ближнюю ультрафиолетовую область спектра и установке F1 в ближнюю инфракрасную область спектра для наблюдения нерегулярностей на поверхности живого организма и поглощающих тел вблизи очень глубоких слоев характеристики фильтров в первой модификации полезны для получения видеоинформации, не доступной для получения при нормальном наблюдении. Другими словами, как показано на фиг. 24, оптическая видеоинформация о живом организме со стороны глубоких слоев может быть получена при посредстве F1 в ближней инфракрасной области спектра, и видеоинформация о нерегулярных структурах на поверхности живого организма может быть получена при посредстве F3 в ближней ультрафиолетовой области спектра. Кроме того, во второй модификации квазиполосовых фильтров F1-F3, как показано на фиг. 25, квазиполосовой фильтр F2 может быть заменен двумя квазиполосовыми фильтрами F3a и F3b, обладающими характеристиками смежных фильтров в коротковолновом диапазоне спектра. Данная модификация использует преимущество, состоящее в том, что волны в диапазоне вблизи упомянутого диапазона спектра достигают глубин только вблизи самых верхних слоев живого организма, и пригодна для визуализации тонких различий характеристик светорассеяния, а не характеристик поглощения. С медицинской точки зрения, очевидна возможность использования при отличительной диагностике ранних стадий карциномы и других заболеваний, сопровождаемых нарушениями расположения клеток вблизи поверхности слизистой оболочки. Кроме того, в третьей модификации квазиполосовых фильтров F1-F3, как показано на фиг. 26, два квазиполосовых фильтра F2 и F3, которые обладают характеристиками сдвоенных узкополосных фильтров с дискретными спектральными характеристиками и которые могут извлекать требуемую информацию о слоистой ткани, могут быть сформированы секцией 436 вычисления матриц. В случае квазиполосовых фильтров F2 и F3, показанных на фиг. 26, для расцвечивания изображения во время наблюдения узкополосного спектрального изображения, секция 440 регулировки цвета выполняет преобразование цвета в последовательности: сигнал Rnbi изображения спектрального канала Другими словами, что касается спектральных сигналов F2 и F3 изображения, секция 440 регулировки цвета формирует спектральные сигналы (Rnbi, Gnbi and Bnbi) изображения, подлежащие выводу в три канала RGB экранного монитора 106 и отображению в цветах RGB на экранном мониторе 106, с использованием нижеследующей формулы 24. Предположим, например, что h11=1, h12=0, h21=0, h22=1,2, h31=0 и h32=0,8. Операции по переключению коэффициентов и т.п., выполняемые секцией 440 регулировки цвета в данном случае, описаны далее для второго варианта осуществления изобретения. Блок-схема последовательности операций для случая наблюдения поверхности живого организма, когда пользователь, например оператор, вручную выполняет установку коэффициентов (переключение коэффициентов) секции 436 вычисления матриц, которая формирует спектральные сигналы изображения, в соответствии с типом подлежащего наблюдению живого организма, характерными элементами и т.п., как изложено выше, и в соответствии с настоящим вариантом осуществления изобретения имеет вид, показанный на фиг. 27. После включения секция 42 управления и т.п. приходит в рабочее состояние и управляет соответствующими секциями так, что устанавливается рабочее состояние режима нормального наблюдения в качестве начальной установки, как показано на этапе S1. Затем устанавливается состояние ожидания команды на переключение режима наблюдения, как показано на этапе S2. Когда команда на переключение режима наблюдения выдается оператором с панели 441 управления или подобного устройства, секция 42 управления осуществляет управление по переключению в рабочее состояние в режиме спектрального наблюдения, как показано на этапе S3. Кроме того, при осуществлении управления по переключению в рабочее состояние в режиме спектрального наблюдения, как показано на этапе S4, секция 42 управления осуществляет управление так, чтобы отображать, например, информацию о наборе коэффициентов, как режиме наблюдения спектрального изображения, после включения экранного монитора 106. Что касается содержания отображаемой информации о коэффициентах во время переключения на этапе S4, например, то отображается информация о наборе коэффициентов в секции 436 вычисления матриц во время установки режима наблюдения спектрального изображения при переключении. В дальнейшем, на следующем этапе S5, секция 42 управления подтверждает пользователю, выполнено ли переключение (выбор) коэффициентов. Затем пользователь (оператор) определяет, выполнено ли переключение в соответствии с особенностями и типом объекта, фактически подлежащего исследованию, или, в частности, особенностями, типом или подобными характеристиками слизистой оболочки живого организма. В случае когда должно быть выполнено переключение, операция по ручному переключению коэффициента в соответствии с типом объекта, подлежащего исследованию, или, в частности, типом ткани или подобной характеристикой слизистой оболочки живого организма выполняется, как показано на этапе S6. Затем, наряду со случаем, когда переключение не выполняется, стандартная программа переходит к этапу S7. Как изложено выше, переключение может выполняться либо с учетом типа слизистой оболочки живого организма, которая фактически наблюдается, такого как название наблюдаемой области, включая слизистую оболочку пищевода, слизистую оболочку желудка и слизистую оболочку толстой кишки, либо с учетом спектральных характеристик отражения, типа или подобной характеристики целевого участка наблюдения, например, типов тканей (т.е. наименования и типа эпителия, составляющего подлежащую наблюдению слизистую оболочку живого организма). Например, эпителиальная ткань слизистой оболочки пищевода представляет собой многослойный чешуйчатый эпителий, тогда как слизистая оболочка желудка и слизистая оболочка толстой кишки покрыта простым цилиндрическим эпителием. Это означает, что их основные спектральные характеристики различаются. Поэтому маловероятно, чтобы применение матрицы оценки спектрального изображения, вычисленной с использованием основных спектральных характеристик, рассчитанных по набору данных о спектральном отражении слизистой оболочки пищевода, дало искомые результаты при исследовании толстой кишки. Для получения точных спектральных изображений необходимо выполнять вычисление матриц с использованием основных спектральных характеристик, соответствующих типу или типу ткани слизистой оболочки живого организма. Даже при фактическом наблюдении, желательно применять подходящее вычисление матрицы. Соответственно, в настоящем варианте осуществления изобретения оператор манипулирует селекторным переключателем 441b (смотри фиг. 4) как средством установки/переключения коэффициентов, которое обеспечено на, например, панели 441 управления или подобном устройстве и которое выполняет переключение коэффициентов или выбор коэффициентов секции 436 вычисления матриц. В результате операции, коэффициент 443a, соответствующий спектральным характеристикам объекта наблюдения, считывается из LUT 443, и переключение выполняется так, что выполняется соответствующее вычисление матрицы с использованием коэффициента 443a. На этапе S7 секция 42 управления входит в состояние ожидания команды на переключение режима наблюдения. Затем, когда оператор выполняет операцию выдачи команды на переключение, секция 42 управления возвращается на этап S1 и переключается в режим наблюдения нормального изображения. После этого повторяется вышеописанная обработка. В данном случае, при переключении коэффициентов на вышеописанном этапе S5, позиции переключения (выбора) в соответствии с типом подлежащего исследованию объекта, позиции переключения (выбора) в соответствии с особенностями живого организма или тому подобного могут отображаться, чтобы пользователь мог выбирать данные позиции для еще более удобного выполнения переключения/установки коэффициента, соответствующего спектральным характеристикам, которые допускают более удобное наблюдение типа слизистой оболочки живого организма, кровеносного сосуда или тому подобного. Как можно видеть, в соответствии с настоящим вариантом осуществления квазиузкополосный фильтр формируется методом электрической обработки сигналов с использованием цветового сигнала изображения нормального электронно-эндоскопического изображения (нормального изображения). Соответственно, настоящий вариант осуществления позволяет подходящим образом получать спектральное изображение, содержащее искомую информацию о тканях глубоких участков, например, картину сосудов, посредством установки коэффициентов, переключения коэффициентов или подобного действия при помощи средства установки/переключения коэффициентов, без обязательного использования оптического узкополосного фильтра для спектральных изображений, и, одновременно, коэффициент преобразования цвета секции 440 регулировки цвета можно подходящим образом устанавливать соответственно спектральному изображению. Кроме того, настоящее изобретение позволяет реализовать способ отображения, который целиком использует характерную особенность, которой является информация о достижимой глубине в информации узкополосного спектрального изображения, и, в результате, позволяет реализовать эффективное разделение и визуальное подтверждение информации о ткани на искомой глубине вблизи поверхности биологической ткани или, в частности, картинах сосудов или тому подобного. Кроме того, в частности, в случае спектрального изображения в трех полосах спектра, при настройке секции 440 регулировки цвета, соответственно, на распределение изображения, соответствующего, например, 415 нм, в канал Bch цветности экранного монитора 106, изображения, соответствующего, например, 445 нм, в канал Gch цветности и изображения, соответствующего, например, 500 нм, в канал Rch цветности, можно получить нижеследующие преимущества в изображении в соответствии с настоящим вариантом осуществления. (a) Высокая различимость (видимость) капилляров в самом верхнем слое биологической ткани достигается воспроизведением эпителия в самом верхнем слое или слизистой оболочке в цвете, имеющем низкую цветонасыщенность, воспроизведением капилляров в самом верхнем слое с низкой яркостью или, другими словами, в виде темных линий. (b) В то же время, поскольку кровеносные сосуды, расположенные глубже, чем капилляры, воспроизводятся с изменением на синий в направлении цветовых тонов, их еще легче отличать от капилляров в самом верхнем слое. В данном случае, в соответствии с вышеописанным способом распределения по каналам, остатки и желчь, которые наблюдаются в желтом тоне при нормальном наблюдении во время эндоскопического исследования толстой кишки, воспроизводятся в красном тоне. Кроме того, при наличии секции 440 регулировки цвета в соответствии со вторым вариантом осуществления изобретения, описание которого приведено далее, по существу, такие же преимущества можно получить в случае спектрального изображения в двух полосах спектра. Электронное эндоскопическое устройство 100 в соответствии с первой модификацией настоящего варианта осуществления представлено на фиг. 28. Хотя электронное эндоскопическое устройство 100 в соответствии с первым вариантом осуществления скомпоновано так, что переключением/установкой коэффициентов секции 436 вычисления матриц можно управлять с панели 441 управления или подобного устройства, настоящая модификация составлена так, что операцию можно выполнять с централизованного контроллера 461, выполняющего роль интерфейсного средства, соединенного с секцией 42 управления. Кроме того, в настоящей модификации микрофон 462, который принимает от пользователя речевую команду на переключение коэффициентов в виде электрического сигнала, соединен с основной частью 105, и, при этом, в основной части 105 обеспечена схема 463 распознавания речи. Соответственно, голосовой сигнал от пользователя, вводимый через микрофон 462, проходит распознавание речи в секции 463 распознавания речи, и результат распознавания речи в данной секции вводится в секцию 42 управления. В дальнейшем, в соответствии с командным сигналом, например на переключение коэффициентов, от пользователя через централизованный контроллер 461 или голосом через микрофон 462, секция 42 управления надлежащим образом выполняет вычисление матрицы посредством секции 436 вычисления матриц в соответствии с коэффициентом 443a, хранимым в LUT 443. В данном случае, в настоящей модификации (а также в следующей модификации), показано, что секция 42 управления должна иметь такую конфигурацию, чтобы сочетать функции секции 442 управления коэффициентами, показанной на фиг. 4. Нет необходимости упоминать, что переключение коэффициентов может быть построено по схеме выполнения с секции 42 управления посредством секции 442 управления коэффициентами. Кроме того, централизованный контроллер 461 или подобный компонент может быть построен по схеме использования в качестве интерфейса, выполняющего операцию переключения режимов наблюдения или операцию выбора режима наблюдения, подлежащего включению с включением питания. В дополнение к этому, возможно обеспечение такого интерфейса, как непоказанный педальный переключатель. Кроме того, электронное эндоскопическое устройство 100 в качестве примера устройства для наблюдения биологических объектов может быть выполнено в конфигурации, аналогичной второй модификации, показанной на фиг. 29. В электронном эндоскопическом устройстве 100 в соответствии со второй модификацией, показанной на фиг. 29, обеспечена ID- (идентификационная) память 161, например, в соединителе 11 в составе эндоскопа 101 и обеспечена ID-память 162, например, в секции 41 источника света основной части 105. Идентификационная (ID-) информация, соответственно хранимая в ID-памяти 161 и ID-памяти 162, вводится в секцию 42 управления после, например, включения питания. В соответствии с компонентами электронного эндоскопического устройства 100, например эндоскопа 101, которые фактически объединены в составе электронного эндоскопического устройства 100, секция 42 управления выполняет управление таким образом, чтобы переключение/установка коэффициентов секцией 436 вычисления матриц автоматически осуществлялась в надлежащий параметр установки, соответствующий компонентам на стороне электронного эндоскопического устройства 100. Операции для данного случая являются такими, как показано на блок-схеме последовательности операций, представленной на фиг. 30. Операции, изображенные на фиг. 30, в сущности, являются операциями, изображенными на фиг. 27, но, в данном случае, обеспеченными по такой схеме, что обработка, представленная этапом S8, выполняется между этапами S3 и S4. После переключения в режим наблюдения спектрального изображения на этапе S3, на следующем этапе S8 секция 42 управления считывает информацию из ID-памяти 161 эндоскопа 101 и ID-памяти 162 секции 41 источника света. Затем, с учетом характеристик съемки цветного изображения, заложенных в CCD 21, применяемом в эндоскопе 101, типа или волновых характеристик (спектральных характеристик) излучения лампы 15 в секции 41 источника света или подобных данных из соответствующей информации, секция 42 управления считывает коэффициент, который подходит для вычисления в секции 436 вычисления матриц, из LUT 443. Затем секция 42 управления пересылает коэффициент в секцию 436 вычисления матриц и выполняет автоматическое переключение/установку коэффициентов. В данном случае (в дополнение к коэффициенту 443a, показанному на фиг. 4), LUT 443, показанная на фиг. 29, хранит множество коэффициентов 443b, соответствующих характеристикам съемки цветного изображения, заложенным в CCD 21, типу или волновым характеристикам (спектральным характеристикам) излучения лампы 15 в секции 41 источника света или подобным данным. Затем стандартная программа переходит к обработке этапа S4′, который соответствует следующему этапу S4 на фиг. 27. На этапе S4′ секция 42 управления выполняет управление так, что отображается информация о наборе коэффициентов соответственно объекту наблюдения, который устанавливается (по умолчанию или посредством предварительного выбора) во время переключения. Обработка после этапа S4′ является такой же, как в случае, показанном на фиг. 27. В соответствии с настоящей модификацией, даже в случае, когда спектральные характеристики цветных светофильтров в CCD 21, смонтированном в эндоскопе 101, который следует фактически подсоединять и применять, различаются в зависимости от типа и индивидуальных отличительных признаков эндоскопа 101 или в зависимости от типа (например, такого типа, как тип галогенной лампы, ксеноновой лампы или подобной лампы, которые обладают разными спектральными характеристиками излучения) или индивидуальных отличительных признаков лампы 15 в качестве источника света в секции 41 источника света, влияние подобных отличительных признаков можно ослабить и можно получать спектральное изображение с большей надежностью. Между прочим, в случае, когда ID-память 161 или подобное устройство не обеспечено, переключение/установку в подходящий коэффициент можно выполнять вручную. Кроме того, возможно обеспечение варианта с выбором пользователем режима, в котором переключение/установка коэффициента выполняется автоматически, и режима, в котором переключение/установка коэффициента выполняется вручную, чтобы выполнять переключение/установку коэффициента независимо от наличия ID-памяти 161 или подобного устройства. Кроме того, в настоящей модификации, хотя описан режим с установкой коэффициента, применяемого при выполнении вычисления матрицы секцией 436 вычисления матриц, коэффициент, применяемый при выполнении регулировки цвета или преобразования цвета секцией 440 регулировки цвета, может автоматически устанавливаться аналогичным образом. Данная компоновка допускает автоматическую установку в одно и то же состояние цветового тона в случае, когда комбинация эндоскопа 101 и тому подобное, что составляет электронное эндоскопическое устройство 100, является одной и той же. Кроме того, соответствующие коэффициенты могут быть составлены по схеме для автоматической установки в секции 436 вычисления матриц и секции 440 регулировки цвета с учетом ID-информации из ID-памяти 161 и 162 или подобного устройства. В случае когда секция 41 источника света встроена в основную часть 105 эндоскопического устройства, секция 42 управления может быть выполнена с возможностью выполнения автоматической установки коэффициентов только по ID-информации на стороне эндоскопа 101. Нет необходимости упоминать, что даже в случае, когда секция 41 источника света встроена в основную часть 105 эндоскопического устройства, коэффициент, применяемый при выполнении вычисления матрицы секцией 436 вычисления матриц, может быть составлен по схеме для автоматической установки, с одновременным учетом также спектральных характеристик лампы 15 в секции 41 источника света. Когда установка или переключение/установка режима наблюдения выполняется, как показано на фиг. 31, при обработке, показанной на фиг. 27 или 30, можно дополнительно обеспечить отображение режима наблюдения. В примере, показанном на фиг. 31, на первом этапе S1′, секция 42 управления устанавливает режим наблюдения нормального изображения таким же образом, как на этапе S1. Кроме того, секция 42 управления выполняет управление так, чтобы явно отображать режим наблюдения. Например, как показано на фиг. 32A, секция 42 управления выполняет управление так, что обозначение «NI», которое явно указывает, что текущий режим является режимом наблюдения нормального изображения или что отображается нормальное изображение, отображается, например, под областью просмотра нормального изображения, отображаемого на экранном мониторе 106. Секция 42 управления может выполнять управление так, что отображается фраза «нормальная визуализация», «нормальное изображение» или тому подобное, вместо отображения символьной информации с использованием «NI». Кроме того, аналогично, на этапе S3′, соответствующем этапу S3, когда выполняется переключение в режим наблюдения спектрального изображения, секция 42 управления дополнительно явно отображает режим наблюдения. Например, секция 42 управления выполняет управление так, что обозначение «NBI», которое явно указывает на спектральное изображение, отображается, например, под областью просмотра спектрального изображения, как показано на фиг. 32B. Секция 42 управления может выполнять управление так, что отображается фраза «узкополосная визуализация», «спектральное изображение» или тому подобное вместо отображения «NBI». Данная компоновка позволяет пользователю надежнее подтверждать режим наблюдения, который фактически установлен. Кроме того, в случае нормального изображения, например изображения, показанного на фиг. 32C, управление может осуществляться так, что «NI» или подобное обозначение не отображается, тогда как «NBI» отображается только в случае спектрального изображения. Кроме того, хотя на фиг. 32A-32C представлены примеры, в которых режим наблюдения указан явно на экранном мониторе 106, возможно исполнение интерфейсного средства, которое допускает явное отображение режима наблюдения на панели 441 управления, и, при этом, пользователь может подтверждать состояние режима наблюдения. Например, как показано на фиг. 32D, на панели 441 управления обеспечен LED (светоизлучающий диод) 91 для явного отображения режима наблюдения (в данном случае, режима наблюдения спектрального изображения). Секция 42 управления управляет LED 91 так, что LED 91 выключен в течение режима наблюдения нормального изображения и включен в течение режима наблюдения спектрального изображения. Еще лучше, если вблизи LED 91 отображаются символы «NBI» или подобного обозначения, которые указывают, представляет ли включенное/выключенное состояние LED 91 или не представляет режим наблюдения спектрального изображения. Кроме того, в примере, показанном на фиг. 32E, на панели 441 управления обеспечен LED 92, на котором высвечиваются сами буквы «NBI» или краевые участки букв. Соответственно, секция 42 управления может управлять LED 92 так, что LED 92 выключен в течение режима наблюдения нормального изображения и включен в течение режима наблюдения спектрального изображения, как описано выше. Кроме того, в примере, показанном на фиг. 32F, на панели обеспечен LED 93, на котором высвечиваются сами буквы «NBI» или краевые участки букв. Соответственно, секция 42 управления может управлять LED 93 так, что LED 93 высвечивается (отображается) разными цветами соответственно режиму наблюдения, например, в случае, когда LED 93 высвечивается в зеленом цвете в течение режима наблюдения нормального изображения для указания выключенного состояния и высвечивается в белом свете в течение режима наблюдения спектрального изображения. Между прочим, хотя выше описаны примеры, в которых информация, касающаяся режима наблюдения или изображения для наблюдения, отображается на панели 441 управления, как на интерфейсном средстве, информация, касающаяся режима наблюдения, или подобная информация может быть составлена для отображения на клавиатуре или другом интерфейсном средстве. В случае конфигурации, аналогичной конфигурации, представленной на фиг. 29, установка коэффициентов, подходящая для каждого режима наблюдения, может быть построена по схеме выполнения в связи с переключением режимов наблюдения с использованием информации, записанной в ID-памяти 161 или подобном устройстве эндоскопа 101, как показано на фиг. 33. После включения питания, на первом этапе S11, секция 42 управления считывает информацию из ID-памяти 161 эндоскопа 101 и ID-памяти 162 секции 41 источника света. На следующем этапе S12 секция 42 управления решает, установлен ли режим наблюдения, который должен включаться при включении питания. Информация об установке режима наблюдения сохраняется, например, в непоказанной энергонезависимой памяти в секции 42 управления. В данном случае, когда режим наблюдения, подлежащий включению при включении питания, устанавливается пользователем с клавиатуры 451, секция 42 управления сохраняет установочную информацию в энергонезависимой памяти. Затем секция 42 управления считывает установочную информацию и включает запрограммированный режим наблюдения. Кроме того, когда установка не выполняется, включается, например, режим наблюдения нормального изображения. Поэтому на этапе S12, когда секция 42 управления решает, что режим наблюдения, который должен включаться при включении питания, установлен, на следующем этапе S13, секция 42 управления решает, был ли установлен режим наблюдения нормального изображения. Затем, когда установлен режим наблюдения нормального изображения или когда на этапе S12 не установлен режим наблюдения при включении питания, стандартная программа переходит к этапу S14a, на котором секция 42 управления устанавливает электронное эндоскопическое устройство 100 в режим наблюдения нормального изображения и производит включение. Кроме того, когда был установлен режим наблюдения нормального изображения, секция 42 управления устанавливает параметр (коэффициент), соответствующий режиму наблюдения. Другими словами, как указано на этапе S15a, установка выполняется в связи с параметром, соответствующим режиму наблюдения. Например, хотя секция 42 управления выполняет регулирование количества света из секции 41 источника света в соответствии с режимом наблюдения, при этом секция 42 управления изменяет искомую величину (эталонную величину) для регулирования количества света или параметр, регулируемым образом устанавливает искомую величину так, что значение освещенности становится подходящим для режима наблюдения. В связи с этим, в случае когда регулирование количества света можно равным образом осуществлять с использованием либо среднего значения, либо максимального значения яркости, регулирование количества света можно построить так, что пользователь может выбирать подлежащий использованию тип для регулирования количества света. Кроме того, секция 42 управления также сохраняет раздельно для наблюдения нормального изображения и для наблюдения спектрального изображения, в энергонезависимой памяти или подробном устройстве данной секции, такую информацию, как устанавливаемые значения различных параметров, включая тип подчеркивания контуров, тип преобразования тона, тип цветового окрашивания. При переключении режима, секция 42 управления также автоматически переключает условия установки параметров, отличающихся от параметров, необходимых для режима наблюдения. Данные операции управления, выполняемые секцией 42 управления, обеспечивают возможность отображения нормальных изображений с подходящей яркостью, в цветовых тонах, подходящих для диагностики, с точным состоянием контуров и т.п. После установки параметров, на этапе S16a, секция 42 управления переходит в состояние ожидания команды на переключение режима наблюдения. После выдачи команды на переключение режима наблюдения, стандартная программа переходит к этапу S14b. Кроме того, на этапе S13, когда режим наблюдения, устанавливаемый при включении питания, не является режимом наблюдения нормального изображения, стандартная программа переходит к этапу S14b, на котором секция 42 управления устанавливает режим наблюдения в режим наблюдения спектрального изображения. Кроме того, как указано на следующем этапе S15b, секция 42 управления выполняет установку в связи с параметром, соответствующим режиму наблюдения. В данном случае, секция 42 управления выполняет регулирование количества света так, чтобы обеспечивать искомую величину, подходящую для режима наблюдения спектрального изображения, и, при этом, как указано на этапе S8 на фиг. 30, выполняет переключение/установку коэффициента вычисления матрицы секцией 436 вычисления матриц в соответствии со спектральными характеристиками цветных светофильтров в CCD 21 или подобном устройстве. В данном случае, искомая величина для режима наблюдения спектрального изображения устанавливается на значение, которое ниже, чем искомая величина для режима наблюдения нормального изображения. Затем секция 42 управления выполняет регулирование количества света с использованием параметров типа вышеупомянутой искомой величины так, что в секцию 436 вычисления матриц вводятся ненасыщенные сигналы R, G и B для обеспечения надлежащего вычисления спектрального сигнала изображения, и, при этом выполняет переключение коэффициентов так, что секция 436 вычисления матриц может соответственно вычислять спектральный сигнал изображения в соответствии со спектральными характеристиками цветных светофильтров и т.п. Другими словами, секция 42 управления обеспечивает надлежащее выполнение обработки сигналов. Кроме того, секция 42 управления может быть выполнена также с возможностью установки других параметров для вышеупомянутого подчеркивания контуров и т.п. на значения, подходящие для наблюдения спектрального изображения. После установки параметров на этапе S16b секция 42 управления переходит в состояние ожидания команды на переключение режима наблюдения. После выдачи команды на переключение режима наблюдения стандартная программа переходит к этапу S14a. В соответствии с настоящей модификацией, режим наблюдения, подлежащий включению при включении питания, может быть установлен в режим наблюдения в соответствии с параметрами, установленными пользователем. Кроме того, установки различных параметров можно выполнять плавно в связи с переключением режимов наблюдения так, чтобы отображение изображения и обработка сигналов выполнялись в состоянии, подходящем для включаемого режима наблюдения, при сокращении до минимума операций установки пользователем. Поэтому в соответствии с настоящей модификацией удобство применения совершенствуется. Хотя в данном случае, при описании операций, представленных на фиг. 33, использован пример, в котором режим наблюдения, подлежащий включению при включении питания, устанавливается с использованием информации, заданной пользователем до включения питания, однако режим наблюдения, подлежащий включению при включении питания, можно устанавливать выполнением специального клавишного ввода, например, после включения питания, как описано ниже. Часть операции в данном случае изображена на блок-схеме последовательности операций, показанной на фиг. 34. Например, когда включается питание, секция 42 управления выполняет такую же обработку, как на этапе S11 на фиг. 33. Затем, как представлено этапом S18, секция 42 управления выполняет оценку в течение заданного периода времени, выполнена ли заданная операция заданного клавишного ввода, которая запрограммирована на выбор режима наблюдения, подлежащего включению при включении питания. Когда пользователь желает выбрать режим наблюдения, подлежащий включению при включении питания, пользователь манипулирует запрограммированной заданной клавишей на клавиатуре 451 или подобном устройстве для осуществления клавишного ввода. Когда оценка показывает, что заданный клавишный ввод выполнен, как показано этапом S19, секция 42 управления осуществляет управление так, что отображается экран выбора для выбора режима наблюдения, подлежащего включению при включении питания. Секция 42 управления предписывает отображение экрана выбора, который запрашивает, например, следует ли включать режим наблюдения нормального изображения или режим наблюдения спектрального изображения, и запрашивает от пользователя выполнение выбора. В дальнейшем, приблизительно таким же образом, как на этапе S13 на фиг. 33, секция 42 управления выполняет оценку, является ли выбранный режим наблюдения режимом нормального изображения. С другой стороны, когда оценка при обработке для получения оценки на этапе S18 сообщает, что заданный клавишный ввод не произведен, стандартная программа переходит к этапу S14a на фиг. 33. Последующая обработка аналогична обработке на фиг. 33. В соответствии с настоящей модификацией, пользователь имеет возможность выполнять выбор/установку режима наблюдения при включении питания. Хотя выбор режима наблюдения построен по схеме его осуществления путем выполнения вышеупомянутой операции с клавишей, однако в качестве модификации упомянутого выбора возможно построение схемы с заданием режима наблюдения, подлежащего включению при включении питания, посредством предварительного манипулирования клавишей. Для вышеописанного первого варианта осуществления изобретения (включая его модификации) было представлено описание конфигурации, в которой вычисление матрицы секцией 436 вычисления матриц для расчета спектральных изображений переключается соответствующим образом. Однако в случае второго варианта осуществления изобретения, описанного далее, возможно построение схемы с надлежащим переключением расчетного коэффициента средства регулировки цвета. (Второй вариант осуществления) Далее, со ссылкой на фиг. 35, описан второй вариант осуществления настоящего изобретения. На фиг. 35 представлена конфигурация периферического участка секции регулировки цвета в электронном эндоскопическом устройстве в соответствии со вторым вариантом осуществления изобретения. Настоящий вариант осуществления изобретения является наглядным примером, в котором регулировка цвета секцией 440 регулировки цвета надлежащим образом выполняется с использованием, например, двух спектральных сигналов В настоящем варианте осуществления изобретения, в качестве наглядного примера способа соответствующего переключения расчетного коэффициента средства регулировки, цветное отображение спектрального изображения осуществляется с использованием двух спектральных сигналов Например, с использованием спектральных изображений (изображений в спектральных каналах), для которых центральные длины волн равны приблизительно 415 нм и приблизительно 540 нм, и при слизистой оболочке пищеварительного тракта в качестве объекта, подлежащего исследованию, спектральное изображение отображается как квазицветное изображение на экранном мониторе 106. Что касается способа распределения спектральных изображений в каналы цветности (экранного монитора 106), то, с учетом различимости на экранном мониторе 5, следует понимать, что предпочтительный пример предусматривает выполнение на выходе регулировки изображения 540-нм спектрального канала для канала R экранного монитора 106 и изображения 415-нм спектрального канала для каналов B и G перед отображением. В данном случае, путем фиксации выходного сигнала (коэффициента усиления сигнала) канала R и регулировки выходного сигнала (коэффициента усиления сигнала) каналов G и B, цвет спектрального сигнала цветности можно регулировать в соответствии с типом эпителиальной ткани биологической ткани подлежащих исследованию объектов, обладающих разными спектральными характеристиками отражения, например слизистой оболочки пищевода и слизистой оболочки толстой кишки. Конфигурация секции 440 регулировки цвета в данном случае показана на фиг. 35 как пример, использующий три усилителя Ar, Ag и Ab с регулируемыми коэффициентами усиления. Например, если выходные сигналы для каналов R, G и B экранного монитора 106 обозначены как R, G, B, изображение 415-нм спектрального канала как b и изображение 540-нм спектрального канала как g, то установка выполняется так, что R=k1*g, G=k2*b и B=k3*b, где k1, k2 и k3 являются весовыми коэффициентами. Например, весовые коэффициенты установлены так, что k1>k2>k3 при наблюдении слизистой оболочки толстой кишки и k1>k2′>k3′ и k2>k2′ при наблюдении слизистой оболочки пищевода. В примере, показанном на фиг. 35, данные управления коэффициентом усиления, соответствующие коэффициенту, который заранее регулирует коэффициент усиления усилителей Ar, Ag и Ab с регулируемыми коэффициентами усиления согласно типу слизистой оболочки живого организма, подлежащей наблюдению, сохраняются в LUT 191. Когда данные управления коэффициентом усиления, выданные из LUT 191, подаются на ввод управления коэффициентом усиления, осуществляется управление коэффициентом усиления усилителей Ar, Ag и Ab с регулируемыми коэффициентами усиления, в которые подаются данные управления коэффициентом усиления. Как показано на фиг. 35, например, данные управления коэффициентом усиления для толстых кишок 191a, данные управления коэффициентом усиления для пищевода 191b и т.п. сохраняются в LUT 191. Путем манипулирования селекторным переключателем 441a панели 441 управления или подобного устройства пользователь может подавать сигнал выбора (сигнал управления), который выбирает данные управления коэффициентом усиления для толстых кишок 191a или данные управления коэффициентом усиления для пищевода 191b, в LUT 191. LUT 191 построена по схеме для подачи, на основании сигнала выбора, соответствующих данных управления коэффициентом усиления в усилители Ar, Ag и Ab с регулируемыми коэффициентами усиления. В соответствии с настоящим вариантом осуществления с вышеописанной конфигурацией, когда требуется наблюдение слизистой оболочки пищевода, выбор данных управления коэффициентом усиления для пищевода 191b дает возможность воспроизводить многослойный чешуйчатый эпителий в белом свете, что дает, в результате, подходящую различимость капилляров в эпителии. Кроме того, когда требуется наблюдение слизистой оболочки толстой кишки, выбор данных управления коэффициентом усиления для толстых кишок 191a допускает отображение полипов и детальных картин на слизистых поверхностях с подходящей различимостью. Поэтому, в соответствии с настоящим изобретением, возможно отображение с подходящей различимостью характеристических параметров живого организма, подлежащего использованию в качестве объекта наблюдения, например, детальной структуры на слизистых поверхностях. С другой стороны, когда требуется воспроизведение кровеносных сосудов в глубоком участке слизистой оболочки с еще более высоким контрастом, возможный вариант заключается в добавлении спектральных изображений g, которые отражают кровеносные сосуды в спектральные изображения b в постоянном отношении, или чем-то подобном и воспроизведении кровеносных сосудов в канале G. Участок примерной конфигурации для данного случая показан на фиг. 36. На фиг. 36 представлена конфигурация, в которой, в дополнение к конфигурации, показанной на фиг. 35, спектральные изображения g вводятся также в усилитель Ag с регулируемым коэффициентом усиления через умножитель 192. Кроме того, в умножитель 192 вводится множитель из LUT 191. В данном случае, например, множитель установлен равным 0 (тогда достигается такой же эффект, как в схеме на фиг. 35) для вышеупомянутых данных управления коэффициентом усиления для толстых кишок 191a в LUT 191, и множитель установлен равным, например, m (0 Соответственно, когда пользователь выбирает, посредством сигнала выбора, данные управления коэффициентом усиления для толстых кишок 191a, можно наблюдать капилляры и детальные картины толстых кишок в хорошо различимом состоянии или, другими словами, в режиме с повышенной четкостью детальных картин, и когда выбираются данные управления коэффициентом усиления для толстых кишок 191a’, можно наблюдать кровеносные сосуды на стороне глубокого участка слизистой оболочки в хорошо различимом состоянии с высоким контрастом или, другими словами, в режиме повышения четкости кровеносных сосудов в глубоких слоях. Как можно видеть, при подготовке множества режимов средства регулировки цвета, которое выполняет переключение регулировки цветов, и при переключении и использовании режимов посредством заданного пользовательского интерфейса возможное цветное отображение (т.е. подходящее квазицветное отображение) спектрального изображения в хорошо различимом состоянии. В данном случае, хотя настоящий вариант осуществления изобретения описан выше на наглядном примере, в котором два спектральных сигнала (Третий вариант осуществления) Далее, со ссылкой на фиг. 37-40, описан третий вариант осуществления настоящего изобретения. Настоящий вариант осуществления выполнен по такой схеме, что когда удовлетворяется заданное условие в течение режима наблюдения спектрального изображения, в котором наблюдается спектральное изображение, управление осуществляется таким образом, что выполняется форсированное переключение в режим наблюдения нормального изображения. В частности, когда яркость спектрального изображения достигает или падает ниже заданного порога, чтобы различать темные изображения, секция 42 управления переключает переключающую секцию 439 для осуществления управления для переключения в режим наблюдения нормального изображения. Электронное эндоскопическое устройство 100, показанное на фиг. 37, в соответствие с третьим вариантом осуществления представляет собой электронное эндоскопическое устройство 100, показанное на фиг. 4, выполненное в такой конфигурации, что, например, спектральные сигналы F1, F2 и F3 изображения, выдаваемые из секции 436 вычисления матриц, вводятся в секцию 171 оценки яркости, и сигнал результата сравнения (результата оценки) при сравнении с запрограммированным порогом Vth уровня яркости выводится в секцию 42 управления. Например, секция 171 оценки яркости выполняет условную оценку (сравнительную оценку) касательно того, равен или оказался ли ниже порога Vth, установленного для различения состояний темных изображений сигнал суммы абсолютных значений трех спектральных сигналов изображения, соответствующих одному кадру. Затем секция 171 оценки яркости выдает сигнал результата сравнения в секцию 42 управления. Когда условие удовлетворяется, секция 42 управления управляет переключением переключающей секции 439 и выполняет управления для формированного переключения режима наблюдения в режим наблюдения нормального изображения. Кроме того, тогда как в первом варианте осуществления изобретения секция 436 вычисления матриц выполнена в аппаратной конфигурации с использованием резисторной группы 31-1a и т.п., как показано на фиг. 8, то в настоящем варианте осуществления, например, выполняется цифровая обработка данных вычисления матрицы (обработка с использованием программы из программного обеспечения), как показано на фиг. 38. Секция 436 вычисления матриц, показанная на фиг. 38, содержит память 50 изображений для хранения соответствующих цветовых сигналов R, G и B изображения. Кроме того, предусмотрен регистр 151 коэффициентов, в котором в виде цифровых данных хранятся соответствующие значения матрицы , выражаемой формулой 21.‘> Регистр 151 коэффициентов и память 50 изображений соединены с умножителями 53a-53i; умножители 53a, 53d и 53g соединены с умножителем 54a; и выходной сигнал умножителя 54a вводится в интегрирующую секцию 438a, показанную на фиг. 4. Кроме того, умножители 53b, 53e и 53h соединены с умножителем 54b, и его выходной сигнал вводится в интегрирующую секцию 438b. Кроме того, умножители 53c, 53f и 53i соединены с умножителем 54c, и его выходной сигнал вводится в интегрирующую секцию 438c. Что касается операций в настоящем варианте осуществления изобретения, вводимые данные изображений RGB временно сохраняются в памяти 50 изображений. Затем вычислительная программа, хранимая в заданном запоминающем устройстве (не показанном), предписывает, чтобы каждый коэффициент матрицы из регистра 151 коэффициентов был перемножен в умножителе с данными изображений RGB, хранимыми в памяти 50 изображений.‘> В данном случае, на фиг. 38 представлен пример, в котором сигнал R умножается на каждый матричный коэффициент в умножителях 53a-53c. В дополнение, как показано на той же схеме, сигнал G умножается на каждый матричный коэффициент в умножителях 53d-53f, тогда как сигнал B умножается на каждый матричный коэффициент в умножителях 53g-53i. Что касается данных, соответственно умноженных на матричный коэффициент, выходные сигналы умножителей 53a, 53d и 53g умножаются в умножителе 54a, выходные сигналы умножителей 53b, 53e и 53h умножаются в умножителе 54d, и выходные сигналы умножителей 53c, 53f и 53i умножаются в умножителе 54c. Выходной сигнал умножителя 54a передается в интегрирующую секцию 438a. Кроме того, выходные сигналы умножителей 54b и 54c соответственно передаются в интегрирующие секции 438b и 438c. Кроме того, регистр 151 коэффициентов соединен с секцией 442 управления коэффициентами, показанной на фиг. 4. Когда выполняется выбор наблюдаемой области, матричный коэффициент, соответствующий наблюдаемой области, считывается из секции 442 управления коэффициентами и из LUT 443 и сохраняется в регистре 151 коэффициентов. Затем с использованием матричного коэффициента, выполняется обработка по вычислению матрицы для наблюдаемой области при посредстве регистра 151 коэффициентов, и формируются спектральные сигналы F1, F2 и F3 изображения. Также в случае секции 436 вычисления матриц, спектральное изображение, допускающее четко отображение сосудистого рисунка, можно получать таким же образом, как в первом варианте осуществления изобретения. Кроме того, поскольку в настоящем варианте осуществления матричная обработка выполняется с использованием программного обеспечения, без использования аппаратуры, как в случае первого варианта осуществления изобретения, например, изменения каждого матричного коэффициента или подобные изменения можно выполнять без обязательных изменений в аппаратуре. Кроме того, в случае когда матричные коэффициенты сохраняются только в результирующих значениях или, другими словами, не сохраняются в виде матрицы , а сохраняются в соответствии с S( Далее, со ссылкой на фиг. 39, приведено описание операции по переключению режимов наблюдения на основании результатов оценки секции 171 оценки яркости в соответствии с настоящим вариантом осуществления. После включения питания секция 42 управления и т.п. приходят в рабочее состояние и управляют соответствующими секциями так, что рабочее состояние в режиме наблюдения нормального изображение принимается как исходная установка, как показано на этапе S21. Затем задается состояние ожидания команды на переключение режима наблюдения, как показано на этапе S22. Когда команда на переключение режима наблюдения выдается пользователем, например оператором, с панели 441 управления или подобного устройства, секция 42 управления выполняет управление по переключению в рабочее состояние в режиме наблюдения спектрального изображения, как показано на этапе S23. В результате, формируются спектральные сигналы F1, F2 и F3 изображения, зависящие от вычисления матрицы в секции 436 вычисления матрицы. Спектральные сигналы F1, F2 и F3 изображения интегрируются интегрирующими секциями 438a-438c, видоизменяются в сигналы Rnbi, Gnbi и Bnbi изображений спектральных каналов после регулировки цветового тона секцией 440 регулировки цвета, подаваемые в каналы R, G и B экранного монитора 106 посредством переключающей секции 439, и, тем самым, спектральное изображение отображается в цвете на экране отображения экранного монитора 106. В режиме наблюдения спектрального изображения выходной сигнал из секции 436 вычисления матриц вводится в секцию 171 оценки яркости, которая оценивает яркость. Как представлено этапом S24, секция 171 оценки яркости выполняет операцию по оценке, достигло спектральное изображение или оказалось ли ниже установленного порога Vth. Когда условие не удовлетворяется, на следующем этапе S25 секция 42 управления оценивает, выдана ли команда на переключение режима наблюдения. Тогда, в случае, если не было выдано команды на переключение режима наблюдения, то стандартная программа возвращается к этапу S24, на котором выполняется обработка для оценки яркости. С другой стороны, на этапе S25, в случае когда команда на переключение режима наблюдения выдана, как представлено этапом S6, секция 42 управления осуществляет управление по переключению в рабочее состояние в режиме нормального наблюдения. Кроме того, в настоящем варианте осуществления изобретения, когда оценка, полученная обработкой для получения оценки на этапе S24, показывает, что яркость, обнаруженная секцией 171 оценки яркости, достигла или стала ниже порога Vth, стандартная программа переходит к этапу S26. Тогда, на этапе S26, даже в случае, если команда на переключение режима наблюдения не выдана, секция 42 управления осуществляет управление по переключению в рабочее состояние в режиме нормального наблюдения. После осуществления управления по переключению в режим нормального наблюдения стандартная программа возвращается к обработке этапа S22, чтобы продолжать вышеописанную обработку. Как описано выше, когда яркость, соответствующая одному кадру каждого изображения, равна или становится ниже порога Vth в режиме наблюдения спектрального изображения, различение сосудистой структуры или подобной структуры в спектральном изображении становится затруднительным. Поэтому, посредством форсированного переключения в нормально наблюдаемое изображение на стороне устройства, в изображение можно внести изменение, которое делает его легко наблюдаемым, и операция переключения пользователем становится необязательной. Поэтому, в соответствии с настоящим вариантом осуществления, совершенствуется удобство применения. В данном случае, для модификации настоящего варианта осуществления изобретения можно создать средство установки/переключения коэффициентов, которое выполнено с возможностью переключения, например, коэффициента цветового тона секции 440 регулировки цвета в соответствии с яркостью экрана (сцены) в случае, если яркость, по оценке секции 171 оценки яркости, выше порога Vth и не достаточно слаба, чтобы форсировать переключение в режим наблюдения нормального изображения. Часть операций в данном случае показана на фиг. 40. Хотя ниже, просто для примера, описан случай двух уровней яркости, равных или выше, чем порог Vth, настоящую модификацию можно аналогично применить к случаям с, по меньшей мере, тремя уровнями яркости. Предположим, порог, разделяющий две яркости, равен Vth2. На этапе S24, показанном на фиг. 39, когда яркость равна или выше, чем порог Vth, как представлено на этапе S27, секция 171 оценки яркости дополнительно оценивает, равна ли яркость или ниже, чем второй порог Vth2. Затем, когда яркость выше, чем порог Vth2, как в случае на фиг. 39, стандартная программа переходит к этапу S25 (в данном случае, для простоты принято, что соответствующий цветовой тон установлен, когда яркость выше, чем порог Vth2). С другой стороны, когда текущая яркость ниже, чем порог Vth2, как представлено этапом S28, секция 42 управления отображает запрос о том, следует ли производить переключение на коэффициент, соответствующий яркости, и ожидает оценки пользователя относительно того, следует ли производить переключение. Затем, когда выбирается решение о переключении, как показано на этапе S29, секция 42 управления производит переключение коэффициента для включения коэффициента цветового тона, соответствующего яркости, и после этого переходит к этапу S25. Кроме того, стандартная программа переходит к этапу S25, даже когда переключение не выбрано. Остальная обработка сходна с примером, показанным на фиг. 39. В соответствии с настоящей модификацией, отображение может осуществляться в подходящем цветовом тоне, соответствующем яркости сцены. Например, в затененном состоянии переключение коэффициента осуществляется так, что цветонасыщенность возрастает по сравнению с более ярким состоянием. В результате, даже при снижении яркости можно сохранять функцию усиления различимости характеристического параметра живого организма на основании цветового тона яркого состояния. В данном случае, настоящую модификацию можно выполнить в такой конфигурации, что выбирается режим цветового тона, в котором отображение осуществляется переключением коэффициентов цветового тона заранее, в соответствии с величиной яркости сцены, в соответствии с чем, когда пользователем выбирается режим цветового тона, коэффициенты цветового тона автоматически переключаются в соответствии с величиной яркости сцены для осуществления отображения. Кроме того, хотя настоящий вариант осуществления выполнен в такой конфигурации, что яркость спектрального изображения оценивается по спектральному изображению, яркость спектрального изображения можно оценивать по нормальному изображению, в соответствии с чем, переключение в режим нормального наблюдения производится, когда яркость равна некоторому порогу или становится ниже указанного порога. Хотя настоящий вариант осуществления изобретения выполнен так, что переключение в режим нормального наблюдения выполняется, когда яркость спектрального изображения равна или становится ниже заданной величины, соответствующей состоянию темного изображения, настоящий вариант осуществления изобретения можно выполнить аналогично нижеописанному четвертому варианту осуществления изобретения. (Четвертый вариант осуществления изобретения) Далее, со ссылкой на фиг. 41-43, описан четвертый вариант осуществления настоящего изобретения. На фиг. 41 представлена конфигурация электронного эндоскопического устройства 100 в соответствии с четвертым вариантом осуществления настоящего изобретения. Электронное эндоскопическое устройство 100 в соответствии с настоящим вариантом осуществления выполнено в конфигурации, как на фиг. 37, но, при этом, вместо секции 171 оценки яркости обеспечена секция 172 оценки цветового тона, которая оценивает цветовой тон. Кроме того, в настоящем варианте осуществления обеспечена секция 41B источника света по типу чередующихся кадров вместо секции 41 источника света последовательного типа, применяемого в первом варианте осуществления изобретения или подобных вариантах. При использовании секции 41B источника света с передней стороны лампы 15 обеспечена диафрагма 25, и с передней стороны диафрагмы 25 дополнительно обеспечен светофильтр 23 RGB. Кроме того, диафрагма 25 соединена с секцией 24 управления диафрагмой. По управляющему сигналу из секции 24 управления диафрагмой секция 41B источника света ограничивает световой поток, подлежащий пропусканию из светового потока, излучаемого лампой 15, для изменения количества света. Кроме того, вращающий цветной светофильтр 23 RGB соединен с секцией 26 управления вращающимся цветным светофильтром RGB и вращается с предварительно заданной частотой вращения. Что касается операций секции 41B источника света в соответствии с настоящим вариантом осуществления, световой поток, исходящий из лампы 15, ограничивается до заданного количества света диафрагмой 25. Световой поток, пропускаемый через диафрагму 25, проходит сквозь светофильтр RGB и выводится в виде соответствующих подсвечивающих световых потоков R/G/B, или, другими словами, в виде подсвечивающих световых потоков, или, другими словами, световых потоков кадров R/G/B на предварительно заданных интервалах времени из секции 41B источника света. Кроме того, световые потоки последовательных кадров R/G/B излучаются внутри объекта, подлежащего исследованию, световодом 14, вследствие чего его отраженный свет принимается на CCD 21. В данном случае, CCD 21 представляет собой монохромный CCD 21, который не снабжен цветным светофильтром. Сигналы (снятые сигналы изображения), полученные в CCD 21, разделяются согласно времени излучения переключающей секцией (не показанной), обеспеченной в основной части 105 эндоскопического устройства, для соответствующего ввода в схемы 433a-433c S/H. Другими словами, когда излучается подсвечивающий свет R через светофильтр R из секции 41 источника света, сигнал, полученный в CCD 21, вводится в схему 433a S/H. В данном случае, если применяется CCD 21, снабженный цветным светофильтром, возможно применение секции 41 источника света одновременного типа, например секции, показанной на фиг. 37. Кроме того, как показано на фиг. 42, вышеупомянутая секция 172 оценки цветового тона содержит: (первую) секцию 173 установки цветового оттенка/цветонасыщенности, которая устанавливает диапазон цветовых тонов, соответствующий цветовому тону, подлежащему опознаванию; и секцию 174 оценки цветового оттенка/цветонасыщенности, которая оценивает, обеспечено ли условие диапазона цветовых тонов, установленного секцией 173 установки цветового оттенка/цветонасыщенности. В данном случае, диапазон цветовых тонов, устанавливаемый секцией 173 установки цветового оттенка/цветонасыщенности, вводится посредством секции 42 управления с клавиатуры 451 или подобного устройства и может устанавливаться пользователем или подобным образом. Кроме того, в секцию 174 оценки цветового оттенка/цветонасыщенности вводятся спектральные сигналы F1, F2 и F3 изображения из секции 436 вычисления матрицы. Тогда, секция 174 оценки цветового оттенка/цветонасыщенности оценивает, находятся ли сигналы в диапазоне цветовых тонов, установленном секцией 173 установки цветового оттенка/цветонасыщенности, и выдает соответствующий результат оценки в секцию 42 управления. На основании результата оценки, секция 42 управления осуществляет управление, например переключение переключающей секции 439. Например, когда цветовой тон текущего спектрального сигнала изображения, подаваемого в секцию 172 оценки цветового тона, находится в диапазоне цветовых тонов, согласно распознаванию и оценке секцией 174 оценки цветового оттенка/цветонасыщенности в составе секции 172 оценки цветового тона, для заданной или большей площади в одном кадре, секция 174 оценки цветового оттенка/цветонасыщенности выдает в секцию 42 управления сигнал оценки в том смысле, что условие диапазона цветовых тонов выполнено. В ответ на данный сигнал секция 42 управления форсированно переключает рабочий режим в режим наблюдения нормального изображения, а также переключает переключающую секцию 439 для осуществления управления таким образом, что на экранный монитор 106 выводится сигнал цветовой сигнал изображения, соответствующий нормальному изображению. Кроме того, в настоящем варианте осуществления изобретения предусмотрена вторая секция 175 установки цветового оттенка/цветонасыщенности в секции 172 оценки цветового тона. Цветовые тона, подлежащие распознаванию, через секцию 42 управления с клавиатуры 451 или подобного устройства записываются во второй секции 175 установки цветового оттенка/цветонасыщенности. Кроме того, допускается также запись/установка диапазона цветовых тонов, соответствующего цветовому тону, подлежащему распознаванию из фактически загруженных данных спектрального сигнала изображения. Другими словами, когда типичные данные спектрального сигнала изображения, подлежащие распознаванию, существуют, на основании инструкции, загруженной с клавиатуры 451 или подобного устройства, данные изображения загружаются во вторую секцию 175 установки цветового оттенка/цветонасыщенности через секцию 42 управления. В данном случае, можно также обрабатывать данные, при необходимости, и устанавливать диапазон цветовых тонов для распознавания похожего цветового тона. Пользователь может также предписать выполнение оценки цветового тона, в диапазоне цветовых тонов, подлежащему приоритетному назначению в (первой) секции 173 установки цветового оттенка/цветонасыщенности или второй секции 175 установки цветового оттенка/цветонасыщенности. Таким образом, вторая секция 175 установки цветового оттенка/цветонасыщенности выполнена так, что в ней можно записывать различные цветовые тона. Ниже описаны операции в случае настоящей модификации. В настоящей модификации, вместо выполнения оценки, является ли яркость, найденная на этапе S24 на фиг. 39, равной порогу Vth или ниже его, выполняется оценка, обнаружен ли цветовой тон, распознанный секцией 172 оценки цветового тона, в пределах заданного диапазона цветовых тонов, для заданной или большей площади в одном кадре. Затем, когда найдено, что цветовой тон обнаружен в предварительно заданном диапазоне цветовых тонов для некоторого значения или более, секция 42 управления осуществляет управление по форсированному переключению из режима наблюдения спектрального изображения в режим нормального наблюдения. Другие операции являются такими же, как операции, описанные со ссылкой на фиг. 39. В соответствии с настоящим вариантом осуществления изобретения, когда обеспечивается заданный цветовой тон, для которого режим наблюдения нормального изображения более желателен, чем режим наблюдения спектрального изображения, может быть выполнена форсированная установка в режим наблюдения нормального изображения. Например, в цветном изображении спектрального сигнала, в случае колоноскопии, когда остается так называемый остаток, например пищевые остатки или экскременты, подобный остаток отображается в красном цвете, напоминающем цвет кровотечения. Это обусловлено тем фактом, что остаток сильно поглощает синий цвет и сильно отражает зеленый свет. Обычно, экскременты и т.п. удаляют очисткой при подготовке перед колоноскопией. Однако в зависимости от состояния толстых кишок существуют случаи, когда остаток вычищается не полностью или когда остается значительное количество остатка. В подобных случаях, поддерживание спектрального цветного изображения может затруднить обеспечение поля зрения в состоянии, подходящем для исследования, и тогда желательно форсированно восстановить режим наблюдения нормального изображения, в котором отображаются знакомые нормальные изображения. В настоящем варианте осуществления изобретения, в подобном случае обеспечено средство распознавания цветового тона, например, вышеописанное или, в частности, например, средство для распознавания цветового оттенка и цветонасыщенности, в составе средства управления обработкой сигналов. Соответственно, когда определяется, что остаток занимает некоторую или большую площадь экрана, осуществляется управление для восстановления (или переключения) средства переключения режима наблюдения в режим нормального наблюдения. В данном случае, в качестве модификации настоящего варианта осуществления изобретения в вышеупомянутой второй секции 175 установки цветового оттенка/цветонасыщенности возможна установка множества цветовых тонов или объектов, подлежащих распознаванию, и когда один из цветовых тонов или объектов распознается в режиме наблюдения спектрального изображения, секция 42 управления может быть выполнена так, чтобы осуществлять управление по восстановлению режима нормального наблюдения. В дополнение к вышеописанному остатку форсированное восстановление режима наблюдения нормального изображения желательно в случае, если присутствует большое количество желчи, и слизистую оболочку биологической ткани нельзя удобно наблюдать как спектральное изображение, или в случае, если, из-за дисперсии пигмента, цветовой тон пигмента оказывает значительное влияние на спектральное изображение. Участок операций для данного случая показан на фиг. 43. На фиг. 43 представлена обработка, при которой изменен участок обработки для получения оценки этапа S24, показанного на фиг. 39. В данном случае, перед началом операции пользователь посредством операции выдачи команды с клавиатуры 451 или подобного устройства записывает данные цветового тона, относящиеся к окрашенным пигментам, обусловленным, например, остатком, желчью и дисперсией обычных пигментов, как цветовые тона, подлежащие распознаванию, во вторую секцию 175 установки цветового оттенка/цветонасыщенности. Предполагается, что пользователь выбрал режим установки, который восстанавливает режим нормального наблюдения, когда обнаруживается заданное или большее значение цветовых тонов, обусловленных чем-нибудь из остатка, желчи и пигмента. После того, как переключение в режим наблюдения спектрального изображения произведено таким же образом, как на этапе S23 на фиг. 39, секция 172 оценки цветового тона входит в состояние контроля того, реализуется ли заданный цветовой тон. Другими словами, как представлено этапом 24a, выполняется оценка того, является ли цветовой тон текущего спектрального изображения цветовым тоном остатка. Когда получена оценка, что некоторая или большая площадь занята цветовым тоном остатка, как представлено этапом S26, секция 42 управления форсированно переключается в режим наблюдения нормального изображения. Кроме того, когда цветовой тон текущего спектрального изображения не является цветовым тоном остатка, стандартная программа переходит к этапу S24b для оценки, занята ли некоторая или большая площадь цветовым тоном желчи. Когда получена оценка, что некоторая или большая площадь занята цветовым тоном желчи, как представлено этапом S26, секция 42 управления форсированно переключается в режим наблюдения нормального изображения. Кроме того, когда цветовой тон текущего спектрального изображения не является цветовым тоном желчи, стандартная программа переходит к этапу S24c для оценки, является ли цветовой тон тоном, окрашенным пигментом. Когда получена оценка, что некоторая или большая площадь занята цветовым тоном, окрашенным пигментом, как представлено этапом S26, секция 42 управления форсированно переключается в режим наблюдения нормального изображения. Кроме того, когда цветовой тон текущего спектрального изображения не является цветовым тоном, окрашенным пигментами, стандартная программа переходит к этапу S25, на котором секция 42 управления входит в состояние ожидания команды на переключение режима наблюдения. В соответствии с настоящей модификацией, форсированное переключение в режим наблюдения нормального изображения может быть произведено, когда создается цветовой тон, который не пригоден для постоянного наблюдения в режиме наблюдения спектрального изображения, что позволяет пользователю не заботиться о выполнении переключения. Поэтому, в соответствии с настоящей модификацией, удобство применения совершенствуется. Кроме того, в вышеописанном варианте осуществления изобретения выполняется регулирование/настройка количества подсвечивающего света (количеством света от источника света) для исключения насыщения цветовых сигналов R/G/B. И, наоборот, существует способ, по которому регулируется (применяется) электронный затвор CCD. Заряды в CCD накапливаются пропорционально интенсивности света, падающего в данный период времени, и, тем самым, величина заряда принимается как сигнал. Компонент, согласующий время накопления заряда, в течение которого накапливается заряд, называется электронным затвором. Путем регулировки времени накопления заряда электронным затвором можно регулировать накопленную величину заряда или, иначе говоря, величину сигнала. Другими словами, как показано на фиг. 44, при получении цветных изображений R/G/B в состоянии, в котором последовательно изменяется время накопления заряда, можно получить спектральное изображение, аналогичное изображению в случае регулирования количества подсвечивающего света. В этой связи, случай подсветки чередующимися кадрами показан на фиг. 44. В данном случае, сверху представлены состояния подсветки R, G и B, тогда как снизу представлено время накопления заряда, обусловленное электронным затвором. Другими словами, регулирование количества подсвечивающего света применяют для получения нормального изображения, и, при получении спектрального изображения, можно исключить насыщение цветных изображений R/G/B посредством изменения времени накопления заряда благодаря электронному затвору. В данном случае, электронный затвор можно также применить в случае подсветки одновременного типа. Кроме того, настоящую модификацию также можно модифицировать, как описано ниже. В модификации применяется способ чередующихся кадров аналогично четвертому варианту осуществления изобретения, и используются его характерные особенности. При умножении значений времени накопления заряда на весовые коэффициенты путем управления электронным затвором в модификации можно упростить формирование данных спектральных изображений. Другими словами, в настоящей модификации обеспечена схема 431 управления CCD, допускающая изменение времени накопления заряда в CCD 21. Что касается операций в настоящей модификации, то, как показано на фиг. 45, когда соответствующие подсвечивающие световые потоки излучаются сквозь вращающийся светофильтр 23 RGB, время накопления заряда, обусловленное электронным затвором в CCD 21, изменяется. Здесь целесообразно принять, что соответствующие времена накопления заряда в CCD 21 для подсвечивающих световых потоков R/G/B равны tdr, tdg и tdb (в данном случае, поскольку время накопления для цветового сигнала изображения B не обеспечивается, то tdb в схеме отсутствует). Например, при осуществлении вычисления матрицы, представленного формулой 21, поскольку вычисление, подлежащее выполнению по изображению с квазифильтром F3, можно определить по изображениям RGB, полученным нормальным эндоскопом, в виде то установка времени накопления заряда в результате управления электронным затвором соответственно RGB, как показано на фиг. 43, в отношении: должна быть достаточной. Кроме того, в матричной части добавляются сигнал, в котором инвертированы только компоненты R и G, а также компонента B. В результате, можно получить спектральное изображение, аналогичное изображению в третьем варианте осуществления изобретения. В соответствии с настоящей модификацией, таким же образом, как в четвертом варианте осуществления изобретения, можно получить спектральное изображение, на котором четко отображаются сосудистые рисунки. Кроме того, настоящий вариант осуществления изобретения использует метод чередующихся кадров для формирования цветовых сигналов изображения таким же образом, как в четвертом варианте осуществления, и время накопления зарядов можно изменять с помощью электронного затвора для каждого цветового сигнала изображения. Следовательно, секция 436 вычисления матрицы должна выполнять только суммирующую и вычитающую обработку, что позволяет упростить обработку. (Пятый вариант осуществления изобретения) Далее, со ссылкой на фиг. 46-48, описан четвертый вариант осуществления настоящего изобретения. На фиг. 46 представлено электронное эндоскопическое устройство 100 в соответствии с пятым вариантом осуществления настоящего изобретения. Электронное эндоскопическое устройство 100 в соответствии с настоящим вариантом осуществления представляет собой, например, электронное эндоскопическое устройство 100, показанное на фиг. 4, выполненное в такой конфигурации, что нормально наблюдаемое изображение и спектральное изображение могут отображаться одновременно на, например, экранном мониторе 106 благодаря изменению участка конфигурации устройства 43 обработки в основной части. Как поясняется ниже, обеспечено средство управления состоянием отображения или средство управления отображением, которое не только переключает изображения для отображения одного из изображений, но также отображает оба изображения посредством, например, изменения их размеров. Как показано на фиг. 46, цветовые сигналы R’, G’ и B’, выдаваемые, например, из секции 435 обработки цветовых сигналов, вводятся в совмещающую секцию 181. Цветовые сигналы R’, G’ и B’ совмещаются в совмещающей секции 181 с выходными сигналами В данном случае, на фиг. 46, хотя выходные сигналы Сигналы Rwb, Gwb и Bwb вводятся в схему 183 Сигнал Y яркости преобразуется в сигнал Yeh яркости с подчеркнутыми контурами схемой 185 повышения качества и затем вводится вместе с цветоразностными сигналами R-Y и B-Y во вторую схему 186 преобразования цвета для преобразования цвета с формированием цветовых сигналов R, G и B. Цветовые сигналы R, G и B подаются в соответствующие каналы R, G и B экранного монитора 106, на котором отображается соответствующее изображение. Например, совмещающая секция 181 в соответствии с настоящим вариантом осуществления содержит встроенную избирательную схему, которая выбирает и выдает только один из сигналов, и встроенную схему 181a увеличения/уменьшения, которая выполняет увеличение/уменьшение. Соответственно, в ответ на сигнал управления отображением, введенный пользователем с клавиатуры 451 или подобного устройства, схема 42 управления предписывает вывод только одного из сигналов из совмещающей секции 181. Следовательно, на экранном мониторе 106 отображается выбранное изображение. Кроме того, в ответ на сигнал управления отображением совмещающая секция 181 выполняет настройку для увеличения/уменьшения размеров изображений от цветовых сигналов R’, G’ и B’, выходящих из секции 435 обработки цветовых сигналов, или выходных сигналов Например, экранный монитор 106, показанный на фиг. 46, представляет пример, в котором как нормальное изображение от цветовых сигналов R’, G’ и B’, выдаваемых из секции 435 обработки цветовых сигналов, так и спектральное изображение от выходных сигналов Кроме того, как показано на фиг. 47 и 48, настоящий вариант осуществления выполнен так, что обозначение для подтверждения отображается в явном виде вблизи изображения, фактически отображаемого на экранном мониторе 106, чтобы можно было осуществлять подтверждение, является ли изображение нормальным изображением или спектральным изображением. Другими словами, обеспечено средство отображения режима наблюдения, которое, при отображении изображения, соответствующего каждому режиму наблюдения, отображает режим наблюдения или тип изображения вблизи изображения, соответствующего режиму наблюдения. В данном случае, функции секции 442 управления коэффициентами и LUT 443, показанных на фиг. 4, встроены в секцию 436′ вычисления матрицы (на фиг. 46 сокращенно обозначенной как секция вычисления MX) в соответствии с настоящим вариантом осуществления. Другие компоненты аналогичны компонентам, показанным на, например, фиг. 4. Хотя выше, со ссылкой на фиг. 32, описан случай, в котором переключение режимов наблюдения вызывает альтернативный выбор одного из режимов наблюдения, однако настоящий вариант осуществления может также обеспечивать случай, в котором два режима наблюдения выбираются одновременно, и изображения, полученные в двух режимах наблюдения, отображаются одновременно. На фиг. 47 показан пример отображения изображения на экранном мониторе 106 посредством осуществляемого пользователем управления выбором режимов отображения или способов отображения. На фиг. 47A и 47B соответственно изображены случаи, в которых только нормальное изображение или только спектральное изображение отображается на экранном мониторе 106. В данных случаях, применяются такие же режимы отображения, как, например, на фиг. 32A и 32B. Кроме того, на фиг. 47C изображен случай, в котором нормальное изображение отображается с большим размером, и спектральное изображение отображается с малым размером, при этом оба изображения совмещаются и затем отображаются. Другими словами, представлен пример с отображением рисунка в рисунке, когда нормальное изображение отображается как основное изображение, и спектральное изображение как подчиненное изображение. На фиг. 47D изображен случай, в котором размеры нормального изображения и спектрального изображения, показанных на фиг. 47C, изменены на обратные. Как можно видеть, благодаря созданию возможности одновременного отображения нормального изображения и спектрального изображения, настоящий вариант осуществления изобретения предлагает более широкий диапазон возможностей для пользователя и поэтому совершенствует удобство применения. Кроме того, поскольку настоящий вариант осуществления выполнен так, что, даже когда отображается только одно из изображений, изображение можно увеличивать и отображать в соответствии с разрешением или подобной характеристикой экранного монитора 106, изображения можно отображать с подходящими размерами, даже когда изменяется разрешение или подобная характеристика экрана отображения экранного монитора 106. Кроме того, отображается режим наблюдения изображения или тип изображения, например, под каждым изображением, для создания возможности удобного подтверждения пользователем. В данном примере случай нормального изображения явно указан символами «NI», и случай спектрального изображения – символами «NBI». Хотя, со ссылкой на фиг. 47, описан случай обычного экранного монитора 106, вместо него отображение может осуществляться на, например, экранном мониторе, имеющем горизонтально ориентированный экран отображения. На фиг. 48A представлена ситуация, в которой нормальное изображение и спектральное изображение одновременно отображаются на экранном мониторе 106, имеющем горизонтально ориентированный экран отображения. К тому же, путем регулировки размеров отображения можно осуществлять отображение с относительно большими размерами, как показано на фиг. 48A. Кроме того, как показано на фиг. 48B, можно оборудовать два экранных монитора 106A и 106B, чтобы соответственно отображать нормальное изображение и спектральное изображение. К тому же, отображение также можно поочередно заменять. Кроме того, подлежащее отображению спектральное изображение можно выбирать из изображений на одной длине волны или, как в случае второго варианта осуществления изобретения или подобном случае, можно осуществлять квазицветное отображение вместо использования двух или трех спектральных изображений. Кроме того, хотя выше, для примера отображения режима наблюдения в соответствии с настоящим вариантом осуществления изобретения, представлено описание примера, предназначенного для удобного подтверждения даже в ситуации, когда отображаются оба изображения в двух режимах наблюдения, схему, показанную на фиг. 32D-32F, можно применять при отображении изображения только в одном из режимов наблюдения. В данном случае, конфигурация в случае одновременного отображения нормального изображения и спектрального изображения не ограничена конфигурацией, показанной на фиг. 46. Например, что касается конфигурации, показанной на фиг. 4, приблизительно такие же результаты и преимущества можно получить применением совмещающей секции 181, показанной на фиг. 46, которая осуществляет выбор одного из изображений и синтез (совмещение) обоих изображений, вместо переключающей секции 439, которая выбирает одно из изображений. (Шестой вариант осуществления изобретения) Фиг. 49 и 50 относятся к шестому варианту осуществления настоящего изобретения, где на фиг. 49 изображена схема, представляющая матрицу цветных светофильтров, и на фиг. 50 изображена схема, представляющая характеристики спектральной чувствительности цветных светофильтров, показанных на фиг. 49. Поскольку шестой вариант осуществления почти идентичен первому варианту осуществления изобретения, далее приведено описание только различий между данными вариантами осуществления. Сходные компоненты обозначены одинаковыми позициями, и их описания опущены. Настоящий вариант осуществления отличается от первого варианта осуществления изобретения, главным образом, цветными светофильтрами, обеспеченными на CCD 21. В отличие от первого варианта осуществления, в котором применялись цветные светофильтры основных цветов RGB, как показано на фиг. 6, в настоящем варианте осуществления изобретения применяются цветные светофильтры дополнительного типа. Как показано на фиг. 49, матрица цветных светофильтров дополнительного типа образована соответствующими элементами G, Mg, Ye и Cy. В данном случае, соответствующие элементы цветных светофильтров основных цветов и соответствующие элементы цветных светофильтров дополнительного типа формируют зависимости вида Mg = R+B, Cy=G+B и Ye=R+G. В данном случае будут выполняться считывание всех пикселей с CCD 21 и обработка сигналов или обработка изображений над изображениями от соответствующих цветных светофильтров. Кроме того, путем преобразования формул 1-8 и 19-21, которые приспособлены под цветные светофильтры основных цветов, до соответствия фильтрам цветным светофильтрам дополнительного типа, выведены представленные ниже формулы 27-33. Следует отметить, что искомые характеристики узкополосных фильтров являются такими же. Кроме того, на фиг. 50 представлены спектральные характеристики чувствительности при использовании цветных светофильтров дополнительного типа, искомых полосовых фильтров и характеристики квазиполосового фильтра, рассчитанные по вышеприведенным формулам 27-33. Нет необходимости добавлять, что при использовании цветных светофильтров дополнительного типа схемы S/H, показанные на фиг. 4, соответственно применяются к G/Mg/Cy/Ye вместо R/G/B. Кроме того, даже при использовании цветных светофильтров дополнительного типа применим способ расчета матриц, отраженный формулами 9-18. В данном случае, когда число цветных светофильтров дополнительного типа равно 4, часть допущения, принятого в формуле 14, что спектральное отражение живого организма можно аппроксимировать с использованием трех основных спектральных характеристик, в данном случае, меняется на четыре, или четыре, или менее. Поэтому, соответственно, размерность для вычисления матрицы оценки изменяется с 3 на 4. В соответствии с настоящим вариантом осуществления, спектральное изображение, на котором четко отображаются сосудистые рисунки, можно получать таким же образом, как в первом варианте осуществления изобретения. Кроме того, настоящий вариант осуществления изобретения допускает получение в полном объеме преимущества применения цветных светофильтров дополнительного типа. В данном случае, при использовании настоящего изобретения, возможны различные комбинации и дополнительное применение вышеописанных вариантов осуществления. Кроме того, возможно осуществление различных модификаций, не выходящих за пределы объема настоящего изобретения. Например, для всех ранее описанных вариантов осуществления изобретения оператор может формировать новый квазиполосовой фильтр в ходе клинической практики или в другое время и использовать фильтр при клиническом применении. Другими словами, применительно к первому варианту осуществления изобретения, возможно обеспечение расчетной секции (не показанной), допускающей вычисление/расчет матричных коэффициентов, в секции 42 управления, показанной на фиг. 4. Соответственно, квазиполосовой фильтр, пригодный для получения спектрального изображения, необходимого оператору, может быть построен по схеме, допускающей его разработку заново путем введения условия с клавиатуры 451, обеспеченной на основной части 105 эндоскопического устройства, показанной на фиг. 4. В данном случае, возможно немедленное клиническое применение путем установки окончательного матричного коэффициента (согласованного с соответствующими элементами матрицы в формулах 21 и 33), выведенного применением поправочного коэффициента (согласованного с соответствующими элементами матрицы Кроме того, для вышеописанных вариантов осуществления изобретения и т.п., хотя случай формирования спектрального сигнала изображения описан, в основном, применительно к случаю, когда сигналы RGB, которые называются также цветовыми сигналами, формируются как цветовые сигналы изображения из снятого сигнала изображения, полученного посредством CCD 21, спектральный сигнал изображения в альтернативном варианте может также формироваться из цветового сигнала изображения, образованного сигналом яркости и цветоразностного сигнала. Вышеописанные варианты осуществления изобретения и т.п. пояснялись на примере, в котором объект, подлежащий исследованию, например, биологическая ткань или подобный объект, подсвечивается посредством направления подсвечивающего света из секции 31 источника света по светопроводу 14 эндоскопа 101 и излучением (направленным) подсвечивающего света на объект, подлежащий исследованию, из дистального концевого торца световода 14. Настоящее изобретение не ограничено настоящим примером, и, например, светоизлучающий диод (сокращенно, LED) можно смонтировать в положении на дистальном концевом участке 103 эндоскопа 101, и, тем самым, объект, подлежащий исследованию, подсвечивается подсвечивающим светом, излучаемым из LED. Другими словами, секция источника света или осветительная секция в данном случае обеспечена в эндоскопе 101. (Седьмой вариант осуществления изобретения) Далее, со ссылкой на фиг. 1-3, фиг. 51, фиг. 5-7, фиг. 52, фиг. 9-20, фиг. 53, фиг. 22 и фиг. 54-56, описан седьмой вариант осуществления настоящего изобретения. На фиг. 51 приведена блок-схема, представляющая конфигурацию электронного эндоскопического устройства, показанного на фиг. 3; на фиг. 52 приведена схема конфигурации, представляющая конфигурацию секции вычисления матриц, показанной на фиг. 51; на фиг. 53 приведена блок-схема, представляющая конфигурацию секции регулировки цвета, показанной на фиг. 51; на фиг. 54 приведена блок-схема, представляющая конфигурацию модификации секции регулировки цвета, показанной на фиг. 51; на фиг. 55 приведена блок-схема, представляющая конфигурацию секции вычисления функции живого организма; и на фиг. 56 приведена схема, представляющая пример отображения на мониторе. Целью настоящего варианта осуществления изобретения является создание устройства для наблюдения биологических объектов, способного отображать информацию о функции живого организма, относящуюся к информации о тканях на целевой глубине биологической ткани, исходя из спектрального изображения, полученного посредством обработки сигналов, и, тем самым, дополнительно повышать эффективность диагностики. Поскольку фиг. 1 и 2 иллюстрируют способ вычисления матриц, способ введения поправок и способ повышения S/N, и модификацию способа вычисления матриц, имеющие отношение к настоящему седьмому варианту осуществления и были описаны относительно первого варианта осуществления, далее их описания отсутствуют. Далее внешняя конфигурация электронного эндоскопического устройства в соответствии с седьмым вариантом осуществления настоящего изобретения является такой же, как конфигурация, показанная, например, на фиг. 3. Как показано на фиг. 3, электронное эндоскопическое устройство 100 содержит электронный эндоскоп 101, основную часть 105 эндоскопического устройства и экранный монитор 106. Кроме того, эндоскоп 101, в основном, содержит: вводимый участок 102, подлежащий вводу в тело объекта, подлежащего исследованию; дистальный концевой участок 103, обеспеченный на дистальном конце вводимого участка 102; и секцию 104 углового управления, которая обеспечена на стороне, противоположной стороне дистального конца вводимого участка 102, и которая обеспечена для выдачи команд на такие операции, как операции изгибания дистального концевого участка 103. Изображение объекта, подлежащего исследованию, снимаемое эндоскопом 101, подвергается заданной обработке сигналов в основной части 105 эндоскопического устройства, и обработанное изображение отображается на экранном мониторе 106. Далее подробное описание основной части 105 эндоскопического устройства приведено со ссылкой на фиг. 51. На фиг. 51 представлена блок-схема синхронного электронного эндоскопического устройства 100. Как показано на фиг. 51, основная часть 105 эндоскопического устройства содержит секцию 41 источника света, которая, в основном, выполняет функцию осветительной секции, секцию 42 управления и устройство 43 обработки в основной части. Секция 42 управления и устройство 43 обработки в основной части управляют операциями секции 41 источника света и/или CDD 21, как секции съемки изображения, и составляют секцию управления обработкой сигналов, которая выводит видеосигнал на экранный монитор 106, который является устройством отображения. Настоящий вариант осуществления изобретения выполнен так, что отсутствуют панель 441 управления, секция 442 управления коэффициентами, LUT 443 клавиатура 451, присутствующие в первом варианте осуществления изобретения, показанном на фиг. 4, и вместо них обеспечена секция 450 вычисления функции живого организма. Секция 450 вычисления функции живого организма принимает как входные сигналы выходные сигналы из интегрирующих секций 438a, 438b и 438c, формирует информацию об индикаторах, представляющих функции живого организма, и выдает информацию в переключающую секцию 439. Далее подробно описана конфигурация основной части 105 эндоскопического устройства. В данном случае, применительно к настоящему варианту осуществления, хотя ниже описание приведено в предположении, что секция 41 источника света и устройство 43 обработки в основной части, которое выполняет обработку изображений и т.п., обеспечены внутри основной части 105 эндоскопического устройства, который представляет собой единый блок, секция 41 источника света и устройство 43 обработки в основной части могут иметь альтернативную конфигурацию в виде соединяемого и разъемного блока, который является отдельным от основной части 105 эндоскопического устройства. Секция 41 источника света соединена с секцией 42 управления и эндоскопом 101, и излучает белый свет (включая свет, который не является идеально белым), при количестве света, заданном по сигналу из секции 42 управления. Кроме того, секция 41 источника света содержит: лампу 15 в качестве источника белого света; обтюратор 16 для регулировки количества света; и секцию 17 привода обтюратора для приведения в движение обтюратора 16. Обтюратор 16 выполнен в конфигурации, показанной на фиг. 5, и поскольку его конфигурация и операции уже описаны в первом варианте осуществления изобретения, их описание далее опущено. В данном случае, секция 41 источника света может быть выполнена с возможностью регулировки количества света посредством регулировки тока лампы 15, вместо регулировки количества света обтюратором. Другими словами, обеспечено устройство регулировки тока, которое осуществляет регулировку тока лампы 15, вследствие чего, по команде из секции 42 управления, устройство регулировки тока регулирует ток, протекающий через лампу 15 так, что ни один из цветовых сигналов R, G и B изображения не достигает насыщенного состояния. Следовательно, поскольку ток, используемый лампой 15 для излучения, регулируется, количество света от лампы изменяется в соответствии с магнитудой тока. Как можно видеть, даже в случае электронного эндоскопического устройства, использующего регулировку тока лампы 15, возможно получение спектрального изображения, которое четко отображает сосудистый рисунок или тому подобное. Способ регулирования количества света посредством регулировки тока лампы 15 более предпочтителен, чем способ регулирования количества света с помощью обтюратора в том, что он обеспечивает более простой способ регулирования. Кроме того, эндоскоп 101, соединенный с секцией 41 источника света через соединитель 11 содержит: объектив 19 на дистальном концевом участке 103; и твердотельное устройство 21 съемки изображения, например, CCD или подобное устройство (далее по тексту именуемое просто CCD). В настоящем варианте осуществления изобретения применяется CCD одноплатного типа (CCD, применяемое в синхронном электронном эндоскопе) для съемки в основных цветах. На фиг. 6 показана матрица цветных светофильтров, расположенных в плоскости съемки изображения в конструкции CCD. Кроме того, на фиг. 7 показаны соответствующие характеристики спектральной чувствительности RGB цветных светофильтров, показанных на фиг. 6. Кроме того, как показано на фиг. 51, вводимый участок 102 содержит: световод 104, который направляет свет, излучаемый из секции 41 источника света к дистальному концевому участку 103; сигнальную линию для передачи изображения, полученного посредством CCD, с объекта, подлежащего исследованию, в устройство 43 обработки в основной части; и канал 28 для щипцов или подобного им инструмента для выполнения медицинской процедуры. В данном случае, окно 29 под щипцы для введения щипцов в канал 28 для щипцов обеспечено вблизи секции 104 управления. Кроме того, таким же образом, как секция 41 источника света, устройство 43 обработки в основной части соединено с эндоскопом 101 посредством соединителя 11. Устройство 43 обработки в основной части снабжено схемой 431 управления CCD для управления CCD 21. Кроме того, устройство 43 обработки в основной части снабжено системой обработки сигнала яркости и системой обработки цветового сигнала в качестве систем сигнальных цепей для получения нормального изображения. Система обработки сигнала яркости содержит: секцию 432 коррекции контуров, которая соединена с CCD 21 и выполняет коррекцию контуров; и секцию 434 обработки сигнала яркости, которая формирует сигнал яркости по данным, скорректированным секцией 432 коррекции контуров. Кроме того, система обработки цветового сигнала содержит: схемы 433a-433c выборки и хранения (схемы S/H), которые соединены с CCD 21, выполняют выборку и т.п. над сигналом, полученным посредством CCD 21, и формируют сигнал RGB; и секцию 435 обработки цветовых сигналов, которая соединена с выводами схем 433a-433c S/H и формирует цветовые сигналы. Кроме того, обеспечена секция 437 формирования нормального изображения, которая формирует одно нормальное цветное изображение из выходных сигналов системы обработки сигнала яркости и системы обработки цветовых сигналов, и, вследствие этого, сигнал Y, сигнал R-Y и сигнал B-Y передаются из секции 437 формирования нормального изображения в экранный монитор 106 через переключающую секцию 439. С другой стороны, секция 436 вычисления матриц, которая получает на вход выходные сигналы (сигналы RGB) схем 433a-433c S/H и выполняет заданное вычисление матриц над сигналами RGB, обеспечена как система сигнальных цепей для получения спектральных изображений. Вычисление матриц относится к аддитивной обработке цветовых сигналов изображения и обработке умножением матрицы, полученной вышеописанным способом вычисления матриц (или модификацией данного способа). В настоящем варианте осуществления изобретения, хотя ниже, в качестве способа вычисления матриц, описан способ, использующий обработку в электронных схемах (обработку в аппаратуре, использующей электронную схему), вместо него возможно применение способа, использующего цифровую обработку данных (обработку программными средствами с использованием программы), например, в варианте осуществления, описанном впоследствии. Кроме того, при исполнении, возможно также применение комбинации способов. На фиг. 52 представлена принципиальная схема секции 436 вычисления матриц. Сигналы RGB соответственно вводятся в усилители 32a-32c через резисторные группы 31a-31c. Соответствующие резисторные группы содержат множество резисторов, к которым соответственно подключаются сигналы RGB, и величины сопротивлений соответствующих резисторов являются величинами, соответствующими матричному коэффициенту. Другими словами, коэффициенты усиления сигналов RGB регулируются соответствующими резисторами и суммируются (или вычитаются) усилителями. Соответствующие выходные сигналы усилителей 32a-32c становятся выходными сигналами секции 436 вычисления матриц. Другими словами, секция 436 вычисления матриц выполняет аддитивную обработку с, так называемым, взвешиванием. В данном случае, величины сопротивлений соответствующих резисторов, использованных здесь, могут допускать их регулирование. Выходные сигналы секции 436 вычисления матриц соответственно вводятся в интегрирующие секции 438a-438c, и, после осуществления над ними интегрирующего вычисления, соответствующие спектральные сигналы Секция 440 регулировки цвета выполняет вычисление для регулировки цвета, как описано ниже, над спектральными сигналами Кроме того, исходя из спектральных сигналов В данном случае, обеспечена переключающая секция 439 для выполнения переключений режимов отображения нормального изображения, спектрального изображения и изображения функции живого организма 106, а также допускается переключение/отображение спектральных изображений. Иначе говоря, оператор может производить выбор нормального изображения, сигналов Rnbi, Gnbi и Bnbi изображения спектральных каналов или изображения функции живого организма и предписывать отображение изображения. Кроме того, переключающую секцию 439 также можно выполнить так, чтобы можно было одновременно отображать два или более изображений на экранном мониторе 106. В частности, в случае, когда нормальное изображение, изображение в спектральном канале и изображение функции живого организма можно одновременно отображать на экранном мониторе 106, пользователь в состоянии удобно сравнивать изображение в спектральном канале и изображение функции живого организма с обычно наблюдаемым нормальным изображением. Кроме того, пользователь в состоянии осуществлять наблюдение нормальных изображений и изображений в спектральных каналах с учетом их соответствующих характерных особенностей (характерной особенностью нормальных изображений является то, что их цветовые тона близко сходны с цветовыми тонами при наблюдении невооруженным глазом для удобства наблюдения; характерной особенностью изображений в спектральных каналах является то, что возможно наблюдение заданных кровеносных сосудов или тому подобного, что невозможно наблюдать на нормальных изображениях). Поэтому настоящий вариант осуществления очень полезен для диагностики. Ниже, со ссылкой на фиг. 51, приведено подробное описание операций электронного эндоскопического устройства 100 в соответствии с настоящим вариантом осуществления изобретения. Далее, сначала описаны операции при наблюдении нормального изображения, после чего приведено описание операций при наблюдении спектрального изображения. Сначала, в ходе описываемых операций секции 41 источника света, по сигналу управления из секции 42 управления секция 17 привода обтюратора устанавливается в заданное положение и вращает обтюратор 16. Световой поток от лампы 15 проходит через вырезанный участок обтюратора 16 и собирается коллективной линзой на торце падения световода 14, который представляет собой волоконно-оптический жгут, обеспеченный внутри соединителя 11, расположенного на участке соединения эндоскопа 101 и секции 41 источника света. Собранный световой поток проходит по световоду 14 и излучается на тело объекта, подлежащего исследованию, из непоказанной осветительной оптической системы, обеспеченной на дистальном концевом участке 103. Излучаемый световой поток отражается внутри объекта, подлежащего исследованию, и сигналы собираются через объектив 19 на CCD 21 соответственно каждому цветному светофильтру, показанному на фиг. 6. Собранные сигналы параллельно вводятся в вышеописанные систему обработки сигнала яркости и систему обработки цветового сигнала. Сигналы, собранные по цветному светофильтру, суммируются по пикселям и вводятся в секцию 432 коррекции контуров системы сигнала яркости, и, после коррекции контуров, вводятся в секцию 434 обработки сигнала яркости. Сигнал яркости формируется в секции 434 обработки сигнала яркости, откуда сформированный сигнал яркости вводится в секцию 437 формирования нормального изображения. При этом сигналы, собранные посредством CCD 21, вводятся согласно фильтрам в схемы 433a-433c S/H и соответственно формируются сигналы R/G/B. Кроме того, после того, как сигналы R/G/B подвергаются обработке сигналов с формированием цветовых сигналов в секции 435 обработки цветовых сигналов, в секции 437 формирования нормального изображения формируются сигнал Y, сигнал R-Y и сигнал B-Y из вышеупомянутых сигналов яркости и цветовых сигналов. Сигнал Y, сигнал R-Y и сигнал B-Y выводятся на экранный монитор 106 через переключающую секцию 439, и на экранном мониторе 106 отображается нормальное изображение объекта, подлежащего исследованию. Далее описаны операции при наблюдении спектрального изображения. В данном случае не приводится описание операций, аналогичных тем, которые выполняются при наблюдении нормального изображения. Оператор выдает команду для наблюдения спектрального изображения из режима нормального изображения операциями клавиатуре, обеспеченной на основной части 105, манипулированием переключателем, обеспеченным на секции 104 управления эндоскопом 101, или подобным органом управления. В этом момент секция 42 управления переключает состояние управления секции 41 источника света и устройства 43 обработки в основной части. В частности, при необходимости, секция 42 управления изменяет количество света, излучаемое из секции 41 источника света. Как описано выше, поскольку насыщение выходного сигнала из CCD 21 нежелательно, во время наблюдения спектрального изображения секция 41 источника света уменьшает количество подсвечивающего света, по сравнению с наблюдением нормального изображения. Кроме того, в дополнение к управлению таким образом, что выходной сигнал из CCD не достигает насыщения, секция 42 управления также может изменять количество подсвечивающего света в диапазоне, в котором насыщение не достигается. Кроме того, что касается изменения управления устройством 43 обработки в основной части посредством секции 42 управления, сигнал, выдаваемый из переключающей секции 439, переключается с выхода секции 437 формирования нормального изображения на выход секции 440 регулировки цвета. Кроме того, выходные сигналы схем 433a-433c S/H подвергаются обработке усилением/суммированием в секции 436 вычисления матриц, выдаются соответственно каждой полосе спектра в интегрирующие секции 438a-438c и, после обработки интегрированием, выводятся в секцию 440 регулировки цвета. Даже когда количество подсвечивающего света уменьшается обтюратором 16, запоминание и интегрирование интегрирующими секциями 438a-438c дает возможность повышать интенсивность сигнала, как показано на фиг. 2, и можно получать спектральное изображение с повышенным S/N. Далее приведено специальное описание матричной обработки, выполняемой секцией 436 вычисления матриц в соответствии с настоящим вариантом осуществления изобретения. В настоящем варианте осуществления, при попытке формирования полосовых фильтров (именуемых далее квазиполосовыми фильтрами), имеющих близкое сходство с идеальными узкополосными фильтрами F1-F3 (в данном случае, принято, что соответствующие диапазоны пропускания длин волн имеют значения F1: 590 нм-620 нм, F2: 520 нм-560 нм, и F3: 400 нм-440 нм), изображенными на фиг. 7, из характеристик спектральной чувствительности цветных светофильтров RGB, показанных сплошными линиями на фиг. 7, согласно информации, содержащейся в представленных выше формулах 1-5, оптимальной оказывается следующая матрица. Кроме того, при выполнении коррекции с использованием информации, представленной формулами 6 и 7, получается следующий коэффициент. В данном случае, в вышеизложенном материале использована априорная информация, что спектр S( Поэтому обработка, выполняемая секцией 436 вычисления матриц, математически эквивалентна нижеприведенному вычислению матрицы. При выполнении вычисления матрицы получают характеристики квазифильтров (обозначенные как характеристики квази-F1 – квази-F3 на фиг. 7). Другими словами, вышеупомянутая матричная обработка предназначена для формирования спектрального сигнала изображения посредством применения квазиполосового фильтра (т.е. матрицы), созданного заранее, как описано выше, к цветовому сигналу изображения. Ниже описан пример эндоскопического изображения, сформированного с использованием характеристик квазифильтров. Как показано на фиг. 11, ткань внутри полости 51 тела часто имеет распределенную структуру из поглощающих тел, например, кровеносных сосудов, которые различаются в направлении по глубине. Капилляры 52 в основном распределены вблизи поверхностных слоев слизистой оболочки, тогда как вены 53, более крупные, чем капилляры, распределены вместе с капиллярами в промежуточных слоях, которые расположены глубже, чем поверхностные слои, и еще более крупные вены 54 распределены в еще более глубоких слоях. С другой стороны, глубина, достижимая для света в направлении по глубине ткани внутри полости 51 тела, зависит от длины волны света. Как показано на фиг. 12, в случае со светом с короткой, например, синей (B) длиной волны, подсвечивающий свет, содержащий спектр видимого диапазона, проникает лишь неглубоко от поверхностных слоев из-за характеристик поглощения и характеристик рассеяния биологической ткани. Следовательно, свет испытывает поглощение и рассеяние в зоне до данной глубины, и наблюдается свет, исходящий из поверхности. Кроме того, в случае с зеленым (G) светом, длина волны которого больше чем длина волны синего (B) света, свет распространяется глубже зоны, доступной для синего (B) света. Следовательно, свет испытывает поглощение и рассеяние в его зоне, и наблюдается свет, исходящий из поверхности. Кроме того, красный (R) свет, длина волны которого больше, чем длина волны зеленого (G) света, распространяется до еще большей глубины. Как показано на фиг. 13, при применении света RGB во время нормального наблюдения ткани внутри полости 51 тела, поскольку соответствующие полосы длин волн перекрываются между собой: (1) снятый сигнал изображения, снятый посредством CCD 21 в свете полосы B, снимает изображение в полосе спектра, содержащее информацию о приповерхностных и промежуточных тканях, включая большое количество информации о приповерхностных тканях, например, информацию, представленную на фиг. 14; (2) снятый сигнал изображения, снятый посредством CCD 21 в свете полосы G, снимает изображение в полосе спектра, содержащее информацию о приповерхностных и промежуточных тканях, включая большое количество информации о промежуточных тканях, например, информацию, представленную на фиг. 15; и (3) снятый сигнал изображения, снятый посредством CCD 21 в свете полосы R, снимает изображение в полосе спектра, содержащее информацию о промежуточных и глубоких тканях, включая большое количество информации о глубоких тканях, например, информацию, представленную на фиг. 16. Кроме того, путем выполнения обработки сигналов над снятыми сигналами RGB изображения в основной части 105 эндоскопического устройства сейчас можно получить целевое эндоскопическое изображение или эндоскопическое изображение с естественным цветовоспроизведением. Матричная обработка, выполняемая вышеописанной секцией 436 вычисления матриц, предназначена для формирования спектрального сигнала изображения с использованием квазиполосового фильтра (матрицы), сформированного заранее, как описано выше, на цветовом сигнале изображения. Например, спектральные сигналы F1-F3 изображения получаются при применении квазиполосовых фильтров F1-F3, которые обладают дискретными узкополосными спектральными характеристиками и допускают выделение искомой информации о глубоких тканях, как показано на фиг. 17. Как показано на фиг. 17, поскольку соответствующие диапазоны длин волн квазиполосовых фильтров F1-F3 не перекрываются между собой, (4) изображение в полосе спектра, содержащее информацию о ткани в приповерхностном слое, например, изображение, представленное на фиг. 18, снимается в спектральном сигнале F3 изображения посредством квазиполосового фильтра F3; (5) изображение в полосе спектра, содержащее информацию о ткани промежуточного слоя, например, изображение, представленное на фиг. 19, снимается в спектральном сигнале F2 изображения посредством квазиполосового фильтра F2; и (6) изображение в полосе спектра, содержащее информацию о ткани глубокого слоя, например, изображение, представленное на фиг. 20, снимается в спектральном сигнале F1 изображения посредством квазиполосового фильтра F1. Затем, что касается спектральных сигналов Как показано на фиг. 53, секция 440 регулировки цвета образована схемой 440a обработки преобразования цвета, содержащей: 3×3-матричную схему 61; три группы LUT 62a, 62b, 62c, 63a, 63b и 63c, обеспеченных до и после 3×3-матричной схемы 61; и схему 64 изменения коэффициентов, которая изменяет данные таблиц LUT 62a, 62b, 62c, 63a, 63b и 63c или коэффициента 3×3-матричной схемы 61. Спектральные сигналы F1-F3 изображения, введенные в схему 440a обработки преобразования цвета, подвергаются обратной Затем, после того, как в 3×3-матричной схеме 61 выполнено преобразование цвета, выполняется Данные таблиц LUT 62a, 62b, 62c, 63a, 63b и 63c или матричного коэффициента 3×3-матричной схемы 61 могут изменяться схемой 64 изменения коэффициентов. Изменения выполняются схемой 64 изменения коэффициентов по сигналу управления из (непоказанного) переключателя преобразования обработки, обеспеченного на секции управления эндоскопа 101, или подобного устройства. После приема сигнала управления схема 64 изменения коэффициентов считывает соответствующие данные из данных коэффициентов, предварительно сохраненных в секции 440 регулировки цвета, и записывает данные по текущему коэффициенту схемы. Далее приведено описание конкретного содержания обработки по преобразованию цветов. Формула 22 представляет пример уравнения преобразования цветов. Обработка, представленная формулой 22, является преобразованием цвета, при котором спектральные сигналы F1-F3 изображения распределяются в сигналы Rnbi, Gnbi и Bnbi изображения спектральных каналов, которые соответственно выводятся в канал R, канал G и канал B экранного монитора 106 в порядке увеличения длин волн. Таким образом, при наблюдении изображений в спектральных каналах, соответствующих сигналам Rnbi, Gnbi и Bnbi изображения спектральных каналов, как цветных изображений, получается, например, изображение, показанное на фиг. 22. Спектральный сигнал F3 изображения отражается на крупной вене, находящейся в глубоком месте, и его отображаемый цвет дает синюю картину. Поскольку спектральный сигнал F2 изображения испытывает сильное отражение на сосудистой сети вблизи промежуточных слоев, его отображаемый цвет (цветное изображение) дает красную картину. Из сосудистых сетей сети, находящиеся около поверхности слизистой оболочки, представляются как желтая картина. Хотя схема 440a обработки преобразования цвета выполнена по схеме для выполнения преобразования цветов в блоке вычисления матрицы, образованном 3×3-матричной схемой 61, настоящее изобретение не ограничено данной схемой. Вместо этого, средство обработки преобразования цвета может быть построено с использованием цифрового процессора (CPU) или LUT. Например, в вышеописанном варианте осуществления изобретения, хотя схема 440a обработки преобразования цвета поясняется на примере конфигурации, основой которой является 3×3-матричная схема 61, аналогичные операции и преимущества могут быть реализованы при замене схемы 440a обработки преобразования цвета трехмерными LUT 71, соответствующими каждой полосе пропускания, как показано на фиг. 54. В данном случае, схема 64 изменения коэффициентов выполняет операцию по изменению содержимого таблицы на основании сигнала управления из (непоказанного) переключателя преобразования обработки, обеспеченного на секции управления эндоскопа 101, или подобного устройства. С другой стороны, применительно к изображению в спектральном канале, которое является изображением для наблюдения, когда оператор выдает команду на вычисление в секцию 450 вычисления функции живого организма операциями клавиатуре, обеспеченной на основной части 105, манипулированием переключателем, обеспеченным на секции 104 управления эндоскопом 101, или подобным органом управления, значение IHb вычисляется в секции 450a вычисления значения IHb, показанной на фиг. 55, с использованием видеоинформации в полосах спектра двух спектральных сигналов изображения из спектральных сигналов F1-F3 изображения. Обычно, при вычислении значения IHb применяется формула 34, которая использует тот факт, что изображение в полосе G эффективно отражает информацию о крови. При этом, при сужении полосы фильтра, поверхностные капилляры эффективно отражаются на изображении B. Поэтому глубины, на которых присутствует кровь, различаются для изображений B и G, причем, B отражает приповерхностную информацию, и G отражает информацию о более глубоких местах. Следовательно, секция 450 вычисления функции живого организма обрабатывает спектральный сигнал F1 изображения, соответствующий полосе R, как сигнал R, спектральный сигнал F2 изображения, соответствующий полосе G, как сигнал G, и спектральный сигнал F3 изображения, соответствующий полосе B, как сигнал B. Затем, посредством выполнения переключающих операций коммутатором 451, обеспеченным в схеме 450a вычисления значения IHb, по команде из управляющего переключателя или подобного устройства, секция 450 вычисления функции живого организма переключается и вычисляет значение IHb для промежуточных слоев слизистой оболочки на основании информации G с использованием формулы 34 и значение IHb для поверхностных слоев слизистой оболочки на основании информации B с использованием формулы 35. Соответственно, пользователь в состоянии отделять и подтверждать информацию о ткани на целевой глубине вблизи поверхности ткани биологической ткани. В частности, как показано на фиг. 55, секция 450a вычисления значения IHb содержит коммутатор 451, делитель 452, секцию 453 логарифмического преобразователя и умножитель 454. Спектральный сигнал F1 изображения в качестве сигнала R, и либо спектральный сигнал F2 изображения в качестве сигнала G, либо спектральный сигнал F3 изображения в качестве сигнала B, выбранные коммутатором 451, вводятся в делитель 452, и затем в делителе 452 вычисляются либо R/G, либо R/B. Выходной сигнал делителя 452 подается на вход секции 453 логарифмического преобразователя, и, тем самым, в секции 453 логарифмического преобразователя выполняется логарифмическое преобразование с использованием таблицы преобразований, хранимой в ROM или подобном устройстве. Логарифмически преобразованный сигнал подвергается перемножению с заданным коэффициентом в умножителе 454, и, в результате, вычисляются значения IHb по пикселям. В последующем, формируется квазицветное или подобное изображение, исходя из вычисленных по пикселям значений IHb, и квазицветное или подобное изображение выводится в экранный монитор 106 через переключающую секцию 439. Например, как показано на фиг. 56, нормальное цветное изображение 106A отображается с левой стороны экрана на экранном мониторе 106, изображение 106B для наблюдения из изображения в спектральном канале отображается с правой стороны экрана, и изображение 106C функции живого организма, базирующееся на значениях IHb, отображается под изображением 106B для наблюдения. Как можно видеть, нормальное изображение, изображение для наблюдения, преобразованное по цвету в цветовой тон, подходящий для наблюдения информации о ткани на искомой глубине, и изображение функции живого организма, базирующееся на значениях IHb ткани, соответствующей изображению для наблюдения, одновременно отображаются на экранном мониторе 106. Кроме того, в соответствии с настоящим вариантом осуществления, можно повысить эффективность диагностики оператором. Например, посредством обработки по преобразованию цветов, представленной формулой 22, спектральный сигнал F2 изображения распределяется в сигнал Gnbi изображения спектрального канала (канала G экранного монитора 106), сосудистая сеть вблизи промежуточных слоев отображается изображением для наблюдения красного рисунка, и, в то же время значения IHb промежуточных слоев слизистой оболочки, основанные на информации G в спектральных сигналах F1 и F2 изображения, вычисляются для отображения изображения функции живого организма. По текущей отображаемой картине оператор в состоянии легко замечать изменения гемодинамики, обусловленные распределением гемоглобина. При этом, поскольку сосудистые сети, присутствующие около поверхности слизистой оболочки, отображаются в виде желтого рисунка в изображении для наблюдения, желтый рисунок характеризуется слабым контрастом на фоне слизистой оболочки и, поэтому, слабой различимостью. Изменения рисунка вблизи поверхности слизистой оболочки особенно важны для обнаружения и дифференциальной диагностики заболеваний на ранних стадиях. В этой связи, для воспроизведения картины вблизи поверхности слизистой оболочки с более сильной различимостью в изображении для наблюдения целесообразно выполнять преобразование, выражаемое приведенной ниже формулой 23, и одновременно вычислять значение IHb в поверхностном слое слизистой оболочки на основании информации B из спектральных сигналов F1 и F3 изображения для отображения изображения функции живого организма. Обработка, представляемая формулой 23, является примером преобразования, при котором спектральный сигнал F1 изображения смешивается со спектральным сигналом F2 изображения в некотором отношении, и сформированные данные вновь применяются как сигнал Gnbi спектрального канала и позволяют лучше прояснить тот факт, что поглощающие/рассеивающие тела, например сосудистая сеть, отличаются в зависимости от положения по глубине. Поэтому, с помощью регулировки матричного коэффициента посредством схемы 64 изменения коэффициентов, пользователь может регулировать отображаемые цвета. Что касается операций, в связи с (непоказанным) переключателем переключения режимов, обеспеченным в секции управления эндоскопа 101, матричный коэффициент устанавливается на значение по умолчанию из проходной операции в средстве обработки изображения. Проходной операцией в данном случае именуется состояние, в котором в 3×3-матричной схеме 61 установлена единичная матрица, и в LUT 62a, 62b, 62c, 63a, 63b и 63c установлена таблица без преобразования. Это означает, что, например, заданные значения Затем, посредством управления секцией управления эндоскопа 101 или тому подобным, пользователь производит регулировку так, что коэффициент становится равным, например, В данном случае, в дополнение к секции 450a вычисления значений IHb, секцию 450 вычисления функции живого организма можно снабдить вычислительной секцией, которая вычисляет такие характеристические параметры, как например, среднее значение IHb по всему изображению, стандартное отклонение IHb и крутость IHb, вследствие чего данные значения могут отображаться на экране экранного монитора 106 вместе с изображением функции живого организма, основанном на значении IHb. Как можно видеть, в соответствии с настоящим вариантом осуществления изобретения, посредством формирования квазиузкополосного фильтра с использованием цветового сигнала изображения для формирования нормального электронно-эндоскопического изображения (нормального изображения) можно получать спектральное изображение, содержащее целевую информацию о тканях глубоких участков, например, картину сосудов, без обязательного использования оптического узкополосного фильтра для спектральных изображений. Кроме того, в соответствии с настоящим вариантом осуществления изобретения, посредством установки параметра схемы 440a обработки по преобразованию цвета секции 440 регулировки цвета в зависимости от спектрального изображения, теперь можно реализовать способ представления, который целиком использует характерную особенность, которой является информация о достижимой глубине в информации узкополосного спектрального изображения, и, в результате, позволяет реализовать эффективное разделение и визуальное подтверждение информации о ткани на искомой глубине вблизи поверхности биологической ткани. Кроме того, в соответствии с настоящим вариантом осуществления, при одновременном отображении изображения для наблюдения, обладающего цветовым тоном, подходящим для наблюдения, и информации о функции живого организма, основанной на значении IHb, например квазиизображения, в дополнение к нормальному цветному изображению, на одном экранном мониторе, теперь можно легко заметить, например, застойное состояние. Поэтому настоящий вариант осуществления позволяет легко сравнивать соответствующие изображения без частого переключения различных изображений, что обычно необходимо, и обеспечить полезное повышение эффективности диагностики. (Восьмой вариант осуществления изобретения) На фиг. 57 показана блок-схема, представляющая конфигурацию секции вычисления матриц в соответствии с восьмым вариантом осуществления настоящего изобретения. Поскольку восьмой вариант осуществления изобретения почти идентичен седьмому варианту осуществления изобретения, далее описаны только различия между ними. Сходные компоненты обозначены одинаковыми позициями, и их описания опущены. Настоящий вариант осуществления изобретения отличается от седьмого варианта осуществления изобретения, главным образом, в секции 436 вычисления матриц. В то время, как седьмой вариант осуществления изобретения выполнен так, что вычисление матрицы выполняется посредством так называемой аппаратной обработки с использованием электронной схемы, в настоящем варианте осуществления изобретения вычисление матрицы выполняется методом цифровой обработки данных (обработкой программными средствами с использованием программы). Специальная конфигурация секции 436 вычисления матриц в соответствии с настоящим вариантом осуществления показана на фиг. 57. Настоящая секция 436 вычисления матриц содержит память 50 изображений для хранения соответствующих цветовых сигналов R, G и B изображения. Кроме того, обеспечен регистр 151 коэффициентов, в котором в виде цифровых данных хранятся соответствующие значения матрицы , выражаемой формулой 21.‘> Регистр 151 коэффициентов и память 50 изображений соединены с умножителями 53a-53i; умножители 53a, 53d и 53g соединены с умножителем 54a; и выходной сигнал умножителя 54a вводится в интегрирующую секцию 438a, показанную на фиг. 51. Кроме того, умножители 53b, 53e и 53h соединены с умножителем 54b, и его выходной сигнал вводится в интегрирующую секцию 438b. Кроме того, умножители 53c, 53f и 53i соединены с умножителем 54c, и его выходной сигнал вводится в интегрирующую секцию 438c. Что касается операций в настоящем варианте осуществления изобретения, вводимые данные изображений RGB временно сохраняются в памяти 50 изображений. Затем вычислительная программа, хранимая в заданном запоминающем устройстве (не показанном), предписывает, чтобы каждый коэффициент матрицы из регистра 151 коэффициентов был перемножен в умножителе с данными изображений RGB, хранимыми в памяти 50 изображений.‘> В данном случае, на фиг. 57 представлен пример, в котором сигнал R умножается на каждый матричный коэффициент в умножителях 53a-53c. В дополнение, как показано на той же схеме, сигнал G умножается на каждый матричный коэффициент в умножителях 53d-53f, тогда как сигнал B умножается на каждый матричный коэффициент в умножителях 53g-53i. Что касается данных, соответственно умноженных на матричный коэффициент, выходные сигналы умножителей 53a, 53d и 53g умножаются в умножителе 54a, выходные сигналы умножителей 53b, 53e и 53h умножаются в умножителе 54d, и выходные сигналы умножителей 53c, 53f и 53i умножаются в умножителе 54c. Выходной сигнал умножителя 54a передается в интегрирующую секцию 438a. Кроме того, выходные сигналы умножителей 54b и 54c соответственно передаются в интегрирующие секции 438b и 438c. В соответствии с настоящим вариантом осуществления изобретения, так же как в седьмом варианте осуществления изобретения, можно получать спектральное изображение для наблюдения, допускающее четкое отображение сосудистой картины, и одновременно можно отображать информацию о функциях живого организма, связанную со спектральным изображением для наблюдения. Кроме того, поскольку в настоящем варианте осуществления изобретения матричная обработка выполняется с использованием программного обеспечения, без использования аппаратуры, как в случае с седьмым вариантом осуществления изобретения, например, изменения каждого матричного коэффициента или подобные изменения можно выполнять быстрее. Кроме того, в случае когда матричные коэффициенты сохраняются только в результирующих значениях или, другими словами, не сохраняются в виде матрицы , а сохраняются в соответствии с S( (Девятый вариант осуществления изобретения) Фиг. 58 и 59 относятся к девятому варианту осуществления настоящего изобретения, где фиг. 58 является блок-схемой, представляющей конфигурацию электронного эндоскопического устройства, и фиг. 59 является схемой, показывающей времена накопления заряда в CCD 21, показанном на фиг. 58. Поскольку девятый вариант осуществления изобретения почти идентичен седьмому варианту осуществления изобретения по конфигурации, далее описаны только различия между ними. Сходные компоненты обозначены одинаковыми позициями, и их описания опущены. Настоящий вариант осуществления изобретения отличается от седьмого варианта осуществления изобретения, главным образом, в секции 41 источника и CCD 21. В седьмом варианте осуществления изобретения CCD 21 снабжен цветными светофильтрами, показанными на фиг. 6, и является CCD, так называемого, синхронного типа, который формирует цветное снятое изображение с использованием цветных светофильтров. Однако в настоящем варианте осуществления изобретения применяется CCD 21 по типу, так называемых, чередующихся кадров, который формирует цветное снятое изображение при освещении подсвечивающим светом в порядке R, G и B. Как показано на фиг. 58, секция 41 источника света в соответствии с настоящим вариантом осуществления изобретения снабжена диафрагмой 25 с передней стороны лампы 15, и с передней стороны диафрагмы 25 дополнительно обеспечен светофильтр 23 RGB. Кроме того, диафрагма 25 соединена с секцией 24 управления диафрагмой, и, в ответ на управляющий сигнал из секции 24 управления диафрагмой, диафрагма 25 ограничивает световой поток, подлежащий пропусканию из светового потока, излучаемого лампой 15, для изменения количества света. Кроме того, вращающий цветной светофильтр 23 RGB соединен с секцией 26 управления вращающимся цветным светофильтром RGB и вращается с заданной частотой вращения. Что касается операций секции 41 источника света в соответствии с настоящим вариантом осуществления, то световой поток, исходящий из лампы 15, ограничивается до заданного количества света диафрагмой 25. Световой поток, пропускаемый через диафрагму 25, проходит сквозь светофильтр RGB и выводится в виде соответствующих подсвечивающих световых потоков R/G/B с заданными интервалами времени из секции 41 источника света. Кроме того, соответствующие подсвечивающие световые потоки отражаются внутри объекта, подлежащего исследованию, и принимаются на CCD 21. Сигналы, полученные в CCD 21, разделяются соответственно времени излучения переключающей секцией (не показанной), обеспеченной в основной части 105 эндоскопического устройства, и соответственно подаются в схемы 433a-433c S/H. Другими словами, при излучении подсвечивающего свет через светофильтр R из секции 41 источника света, сигнал, полученный в CCD 21, вводится в схему 433a S/H. В данном случае, поскольку другие операции являются такими же, как операции в седьмом варианте осуществления изобретения, их описание далее не приводится. В соответствии с настоящим вариантом осуществления изобретения, таким же образом, как в седьмом варианте осуществления, можно получить спектральное изображение для наблюдения, допускающее четкое отображение сосудистого рисунка, и одновременно можно отображать информацию о функциях живого организма, связанную со спектральным изображением для наблюдения. Кроме того, в отличие от седьмого варианта осуществления, настоящий вариант осуществления допускает получение в полном объеме преимуществ, так называемого, способа чередующихся кадров. Упомянутые преимущества включают в себя преимущества, предлагаемые десятым вариантом осуществления изобретения, который описан далее. Кроме того, в вышеописанном варианте осуществления изобретения выполняется регулирование/настройка количества подсвечивающего света (количества света от источника света) для исключения насыщения цветовых сигналов R/G/B. И, наоборот, существует способ, по которому регулируется электронный затвор CCD. Заряды в CCD накапливаются пропорционально интенсивности света, падающего в данный период времени, и, тем самым, величина заряда принимается как сигнал. Компонент, согласующий время накопления заряда, в течение которого накапливается заряд, называется электронным затвором. Путем регулировки электронного затвора можно регулировать накопленную величину заряда или, иначе говоря, величину сигнала. Поэтому, как показано на фиг. 59, путем получения цветных изображений R/G/B в состоянии, в котором время накопления заряда последовательно изменяется, возможно получение спектрального изображения, аналогичного изображению в случае регулирования количества подсвечивающего света. В частности, в каждом из вышеописанных вариантов осуществления регулирование количества подсвечивающего света можно применять для получения нормального изображения, и, при получении спектрального изображения, возможно предотвращение насыщения цветных изображений R/G/B посредством регулирования электронного затвора. (Десятый вариант осуществления изобретения) На фиг. 60 представлена схема, показывающая время накопления заряда в CCD в соответствии с десятым вариантом осуществления настоящего изобретения. Поскольку десятый вариант осуществления почти идентичен девятому варианту осуществления по конфигурации, далее описаны только различия между ними. Сходные компоненты обозначены одинаковыми позициями, и их описания опущены. Настоящий вариант осуществления изобретения аналогичен девятому варианту осуществления изобретения, главным образом, применением способа чередующихся кадров и использует преимущество его характерных особенностей. При умножении значений времени накопления заряда на весовые коэффициенты путем управления электронным затвором в соответствии с девятым вариантом осуществления изобретения настоящий вариант осуществления изобретения способен упростить формирование данных спектральных изображений. Другими словами, в настоящем варианте осуществления изобретения обеспечена схема 431 управления CCD, допускающая изменение времени накопления заряда в CCD 21. В данном случае, поскольку другие компоненты идентичны компонентам в девятом варианте осуществления изобретения, их описания далее не приводятся. Что касается операций в настоящем варианте осуществления изобретения, как показано на фиг. 60, когда соответствующие подсвечивающие световые потоки излучаются сквозь вращающийся светофильтр 23 RGB, схема 431 управления CCD изменяет время накопления заряда, обусловленное электронным затвором в CCD 21. Здесь целесообразно принять, что соответствующие времена накопления заряда в CCD 21 для подсвечивающих световых потоков R/G/B равны tdr, tdg и tdb (в данном случае, так как время накопления для цветового сигнала изображения B не обеспечивается, то tdb в схеме отсутствует). Например, при осуществлении вычисления матрицы, представленного формулой 21, поскольку вычисление, подлежащее выполнению по изображению с квазифильтром F3, можно определить по изображения RGB, полученным нормальным эндоскопом, в виде: то установка времени накопления заряда в результате управления электронным затвором соответственно RGB, как показано на фиг. 60, в отношении: должна быть достаточной. Кроме того, в матричной части добавляются сигнал, в котором инвертированы только компоненты R и G, а также компонента B. В результате, можно получить спектральное изображение, аналогичное изображению в вариантах осуществления от седьмого по девятый. В соответствии с настоящим вариантом осуществления изобретения, таким же образом, как в девятом варианте осуществления изобретения, можно получить спектральное изображение для наблюдения, допускающее четкое отображение сосудистого рисунка, и одновременно можно отображать информацию о функциях живого организма, связанную со спектральным изображением для наблюдения. Кроме того, настоящий вариант осуществления использует способ чередующихся кадров для формирования цветовых сигналов изображения таким же образом, как в девятом варианте осуществления изобретения, и времена накопления зарядов можно изменять с помощью электронного затвора для каждого цветового сигнала изображения. Следовательно, секция 436 вычисления матрицы должна выполнять только суммирующую и вычитающую обработку, что позволяет упростить обработку. (Одиннадцатый вариант осуществления изобретения) Фиг. 61 и 62 относятся к одиннадцатому варианту осуществления настоящего осуществления, где фиг. 61 является схемой, представляющей матрицу цветных светофильтров, и фиг. 62 является схемой, представляющей характеристики спектральной чувствительности цветных светофильтров, показанных на фиг. 61. Поскольку одиннадцатый вариант осуществления изобретения почти идентичен седьмому варианту осуществления изобретения, далее описаны только различия между ними. Сходные компоненты обозначены одинаковыми позициями, и их описания опущены. Настоящий вариант осуществления изобретения отличается от седьмого варианта осуществления, главным образом, цветными светофильтрами, обеспеченными в CCD 21. В отличие от седьмого варианта осуществления изобретения, в котором применяются цветные светофильтры основных цветов RGB, как показано на фиг. 6, в настоящем варианте осуществления изобретения применяются цветные светофильтры дополнительного типа. Как показано на фиг. 61, матрица цветных светофильтров дополнительного типа образована соответствующими элементами G, Mg, Ye и Cy. В данном случае, соответствующие элементы цветных светофильтров основных цветов и соответствующие элементы цветных светофильтров дополнительного типа формируют зависимости вида Mg=R+B, Cy=G+B и Ye=R+G. В данном случае основная часть 105 эндоскопического устройства выполняет считывание всех пикселей с CCD 21 и обработку сигналов или обработку изображений над изображениями от соответствующих цветных светофильтров. Кроме того, путем преобразования формул 1-8 и 19-21, которые приспособлены под цветные светофильтры основных цветов, до соответствия фильтрам цветным светофильтрам дополнительного типа, выведены представленные ниже формулы 27-33. Следует отметить, что целевые характеристики узкополосных фильтров являются такими же. Кроме того, на фиг. 62 представлены спектральные характеристики чувствительности при использовании цветных светофильтров дополнительного типа, целевых полосовых фильтров и характеристики квазиполосового фильтра, рассчитанные по вышеприведенным формулам 27-33. Нет необходимости добавлять, что при использовании цветных светофильтров дополнительного типа схемы S/H, показанные на фиг. 51, соответственно применяются к G/Mg/Cy/Ye вместо R/G/B. Кроме того, даже при использовании цветных светофильтров дополнительного типа применим способ расчета матриц, отраженный формулами 9-18. В данном случае, когда число цветных светофильтров дополнительного типа равно 4, часть допущения, принятого в формуле 14, что спектральное отражение живого организма можно аппроксимировать с использованием трех основных спектральных характеристик, в данном случае, меняется на четыре или четыре или менее. Поэтому, соответственно, размерность для вычисления матрицы оценки изменяется с 3 на 4. В соответствии с настоящим вариантом осуществления изобретения, таким же образом, как в седьмом варианте осуществления изобретения, можно получить спектральное изображение для наблюдения, допускающее четкое отображение сосудистого рисунка, и одновременно можно отображать информацию о функциях живого организма, связанную со спектральным изображением для наблюдения. Кроме того, настоящий вариант осуществления допускает получение в полном объеме преимущества применения цветных светофильтров дополнительного типа. Выше описаны различные варианты осуществления в соответствии с настоящим изобретением, однако настоящее изобретение допускает использование различных комбинаций вышеописанных вариантов осуществления изобретения. Кроме того, возможна реализация модификаций, не выходящих за пределы объема изобретения. Например, для всех вышеописанных вариантов осуществления изобретения оператор может формировать новый квазиполосовой фильтр в ходе клинической практики или в другое время и использовать фильтр при клиническом применении. Другими словами, применительно к седьмому варианту осуществления изобретения, возможно обеспечение расчетной секции (не показанной), допускающей вычисление/расчет матричных коэффициентов в секции 42 управления, показанной на фиг. 51. Соответственно, квазиполосовой фильтр, пригодный для получения спектрального изображения, требующегося оператору, может быть построен по схеме, допускающей его разработку заново путем введения условия с клавиатуры, обеспеченной на основной части 105 эндоскопического устройства, показанной на фиг. 3. Соответственно, возможно немедленное клиническое применение путем установки окончательного матричного коэффициента (согласованного с соответствующими элементами матрицы в формулах 21 и 33), выведенного применением поправочного коэффициента (согласованного с соответствующими элементами матрицы На фиг. 63 показано завершение последовательности операций при клиническом применении. Для описания последовательности операций специальными терминами сначала оператор вводит информацию (например, полосу длин волн или что-то подобное) об целевом полосовом фильтре с клавиатуры или подобного устройства. В ответ на этот ввод вычисляется матрица вместе с характеристиками источника света, цветных светофильтров в CCD или подобными характеристиками, сохраняемыми заранее в заданном запоминающем устройстве или подобном устройстве, и, как показано на фиг. 61, характеристики целевого полосового фильтра, а также результат вычисления (квазиполосовой фильтр) посредством матрицы , отображаются на мониторе в виде спектральных диаграмм.‘>’> После подтверждения результата вычисления оператор производит соответствующие установки при использовании вновь сформированной матрицы , и фактическое эндоскопическое изображение формируется с использованием матрицы . В то же время вновь сформированная матрица сохраняется в заданном запоминающем устройстве и может быть повторно применена в ответ на заданное действие оператора.‘>’>’> В результате, независимо от существующей матрицы , оператор может формировать новый полосовой фильтр, исходя из личного опыта и т.п. Данный подход особенно эффективен при использовании в исследовательских целях.‘> Настоящее изобретение не ограничено вышеописанными вариантами осуществления и допускает осуществление различных изменений и модификаций, не выходящих за пределы объема настоящего изобретения. Промышленная применимость Путем формирования спектрального сигнала изображения (спектрального сигнала) из цветового сигнала изображения (сигнала от живого организма) посредством обработки электрических сигналов и путем дополнительного обеспечения средства регулировки цветового тона и средства переключения коэффициентов можно обеспечивать состояние высокой надежности, даже когда требуется наблюдать отличающуюся биологическую ткань, и можно осуществлять отображение изображения в благоприятном состоянии удобного применения. Настоящая заявка основана на японской патентной заявке JP
Формула изобретения
1. Устройство для наблюдения биологических объектов, содержащее секцию формирования цветового сигнала изображения, которая выполняет обработку сигналов либо над первым снятым сигналом изображения, для которого объект, подлежащий исследованию, подсвечиваемый белым подсвечивающим светом, снимают первым устройством съемки изображения, снабженным цветным светофильтром, обладающим характеристикой пропускания в широком диапазоне совокупности длин волн, либо над вторым снятым сигналом изображения, для которого объект, подлежащий исследованию, подсвечиваемый совокупностью взаимно отличающихся подсвечивающих световых потоков с чередованием кадров в широком диапазоне длин волн, который охватывает видимый диапазон, снимают вторым устройством съемки изображения, и формирует цветовой сигнал изображения для отображения в виде цветного изображения на устройстве отображения; секцию формирования спектрального сигнала изображения, которая формирует, исходя из первого снятого сигнала изображения или второго снятого сигнала изображения, спектральный сигнал изображения, соответствующий узкополосному сигналу изображения, полученному при съемке изображения объекта, подлежащего исследованию, с использованием совокупности узкополосных цветных светофильтров, каждый из которых имеет характеристику пропускания только в частичном диапазоне длин волн указанного цветного светофильтра, имеющего характеристику пропускания совокупности длин волн в широком диапазоне, или спектральный сигнал изображения соответствующий узкополосному сигналу изображения, полученному при съемке изображения объекта, подлежащего исследованию, подсвечиваемого подсвечивающим светом в узкополосных диапазонах области длин волн, при этом каждый диапазон имеет характеристику пропускания только в частичном диапазоне длин волн в совокупности широкополосных областей длин волн, посредством обработки сигналов над цветовым сигналом изображения, используемым для формирования цветового сигнала изображения; секцию преобразования отображаемых цветов, которая выполняет преобразование цветов на спектральном сигнале изображения при отображении сигнала в виде спектрального изображения на устройстве отображения; по меньшей мере, одну из секции изменения/установки характеристик, которая изменяет/устанавливает формирование характеристик спектрального сигнала изображения в секции формирования спектрального сигнала изображения, секции изменения/установки отображаемых цветов, которая изменяет/устанавливает отображаемый цвет секции преобразования отображаемых цветов, и интерфейсной секции для выполнения операций выдачи команд на переключение и/или подтверждение информации, содержащей изображения, отображаемые на устройстве отображения; и секцию оценки яркости, которая оценивает, является или нет яркость в спектральном сигнале изображения равной или ниже, чем пороговое значение, и выводит сигнал оценки, когда яркость равна или ниже, чем пороговое значение, при этом под воздействием переключает изображение, отображаемое на устройстве отображения, из спектрального изображения в цветное изображение исходя из сигнала оценки. 2. Устройство для наблюдения биологических объектов по п.1, в котором секция изменения/установки отображаемых цветов содержит секцию хранения коэффициентов, которая хранит множество коэффициентов преобразования для изменения характеристик преобразования отображаемых цветов; и секцию переключения/установки коэффициента, которая переключает и устанавливает коэффициент преобразования для преобразования отображаемого цвета секцией преобразования отображаемых цветов. 3. Устройство для наблюдения биологических объектов по п.1, содержащее секцию источника света, которая испускает подсвечивающий свет, используемый для съемки изображений первым устройством съемки изображения или вторым устройством съемки изображения. 4. Устройство для наблюдения биологических объектов по п.1, в котором первое устройство съемки изображения или второе устройство съемки изображения обеспечено в эндоскопе и содержащее соединительную секцию, к которой разъемно подсоединяется эндоскоп. 5. Устройство для наблюдения биологических объектов по п.1, в котором секция изменения/установки характеристик автоматически или в ручном режиме изменяет/устанавливает характеристики формирования секции изменения/установки характеристик на основании информации, соответствующей, по меньшей мере, одному из первого устройства съемки изображения или второго устройства съемки изображения и секции источника света, которая испускает подсвечивающий свет, используемый для съемки изображений первым устройством съемки изображения или вторым устройством съемки изображения. 6. Устройство для наблюдения биологических объектов по п.1, в котором секция формирования спектрального сигнала изображения содержит секцию хранения коэффициентов, которая хранит множество коэффициентов, которые изменяют характеристики формирования спектральных сигналов изображения; и секция изменения/установки характеристик представляет собой секцию переключения/установки коэффициента, которая переключает/устанавливает коэффициент, подлежащий использованию для изменения/установки характеристик формирования, относительно секции хранения коэффициентов. 7. Устройство для наблюдения биологических объектов по п.6, в котором множество коэффициентов, хранимых в секции хранения коэффициентов, содержит множество биологических коэффициентов, соответствующих типу, соответствующему спектральной характеристике отражения живого организма как объекта, подлежащего исследованию, или названию искомой области наблюдения в живом организме, или типу слизистой ткани живого организма. 8. Устройство для наблюдения биологических объектов по п.6, в котором множество коэффициентов, хранимых в секции хранения коэффициентов, содержит множество коэффициентов характеристических параметров, которые изменяют характеристики формирования спектрального сигнала изображения в соответствии с множеством различных характеристических параметров живого организма как объекта, подлежащего исследованию. 9. Устройство для наблюдения биологических объектов по п.2, в котором множество коэффициентов преобразования, хранимых в секции хранения коэффициентов, содержит коэффициент характеристических параметров, соответствующий множеству характеристических параметров, содержащих различные спектральные характеристики отражения живого организма как объекта, подлежащего исследованию. 10. Устройство для наблюдения биологических объектов по п.8, в котором коэффициент характеристических параметров установлен на сосудистый коэффициент, который формирует спектральный сигнал изображения для наблюдения сосудистой структуры, распределенной в направлении по глубине от поверхности живого организма. 11. Устройство для наблюдения биологических объектов по п.9, в котором коэффициент характеристических параметров установлен на сосудистый коэффициент, который устанавливает отображаемый цвет спектрального сигнала изображения для наблюдения сосудистой структуры, распределенной в направлении по глубине от поверхности живого организма. 12. Устройство для наблюдения биологических объектов по п.1, дополнительно содержащее секцию оценки яркости, которая оценивает, является ли яркость в спектральном сигнале изображения равной или ниже, чем опорное значение, и переключает характеристики формирования спектрального сигнала изображения в соответствии с результатом оценки в секции оценки яркости. 13. Устройство для наблюдения биологических объектов по п.1, дополнительно содержащее секцию оценки цветового тона, которая оценивает, соответствует ли спектральный сигнал изображения предварительно заданному значению цветового тона, и переключает характеристики формирования спектрального сигнала изображения в соответствии с результатом оценки в секции оценки цветового тона. 14. Устройство для наблюдения биологических объектов по п.1, дополнительно содержащее секцию определения конкретного значения цветового тона, которая определяет конкретное значение цветового тона для цветового тона спектрального сигнала изображения, когда, по меньшей мере, одно из красящего вещества, остатков содержимого толстого кишечника присутствует в объекте, подлежащем исследованию, и когда конкретное значение цветового тона, определяемое секцией определения конкретного значения цветового тона, равно или больше, чем предварительно заданное значение, спектральное изображение, подлежащее отображению на устройстве отображения, под воздействием переключается на цветное изображение. 15. Устройство для наблюдения биологических объектов по п.3, в котором секция изменения/установки характеристик содержит секцию определения типа/спектральной характеристики источника света, которая определяет, по меньшей мере, либо тип источника света, установленного в секции источника света, которая испускает подсвечивающий свет, либо отличие его спектральной характеристики, и изменяет характеристики формирования спектрального сигнала изображения в соответствии с результатом определения в секции определения типа/спектральной характеристики источника света. 16. Устройство для наблюдения биологических объектов по п.1, в котором интерфейсная секция содержит секцию управления состоянием отображения, которая управляет состоянием отображения, по меньшей мере, либо цветного изображения, либо спектрального изображения, подлежащего отображению на устройстве отображения. 17. Устройство для наблюдения биологических объектов по п.16, в котором секция управления состоянием отображения содержит секцию выбора отображения, которая выбирает, по меньшей мере, либо одновременное отображение как цветного изображения, так и спектрального изображения, подлежащих отображению на устройстве отображения, либо отображение только одного из изображений. 18. Устройство для наблюдения биологических объектов по п.16, в котором секция управления состоянием отображения содержит секцию изменения размера изображения, которая изменяет размер изображения для цветного изображения и/или спектрального изображения, при отображении на устройстве отображения, и цветное изображение и/или спектральное изображение с размером изображения, измененным секцией изменения размера изображения, выводится в устройство отображения. 19. Устройство для наблюдения биологических объектов по п.1, содержащее секцию установки режима изображения для наблюдения, содержащую секцию выбора изображения для наблюдения, которая выполняет выбор для назначения отображения одного из: цветного изображения и спектрального изображения на устройстве отображения в качестве изображения для наблюдения, подлежащего наблюдению пользователем; и секцию управления, которая осуществляет управление так, что секция формирования цветового сигнала изображения или секция формирования спектрального сигнала изображения входит в активное состояние так, что формируется, по меньшей мере, изображение, выбранное секцией выбора изображения для наблюдения. 20. Устройство для наблюдения биологических объектов по п.19, в котором секция установки режима изображения для наблюдения устанавливает изображение для наблюдения, подлежащее отображению на устройстве отображения при включении питания устройства для наблюдения биологических объектов, либо в цветное изображение, либо в спектральное изображение на основании операции выбора в секции выбора изображения для наблюдения. 21. Устройство для наблюдения биологических объектов по п.19, в котором секция установки режима изображения для наблюдения переключает, в связи с выбором цветного изображения или спектрального изображения, параметр, по меньшей мере, либо секции обработки сигналов, которая содержит секцию формирования цветового сигнала изображения и секцию формирования спектрального сигнала изображения, которые применяются при выводе либо цветного изображения, либо спектрального изображения в устройство отображения, либо секции источника света, которая генерирует подсвечивающий свет. 22. Устройство для наблюдения биологических объектов по п.19, в котором секция установки режима изображения для наблюдения содержит секцию отображения информации об изображении для наблюдения, которая отображает информацию, касающуюся изображения для наблюдения, подлежащего отображению на устройстве отображения. 23. Устройство для наблюдения биологических объектов по п.22, в котором секция отображения информации об изображении для наблюдения отображает на устройстве отображения, что изображение для наблюдения, отображаемое на устройстве отображения, является либо цветным изображением, либо спектральным изображением. 24. Устройство для наблюдения биологических объектов по п.22, в котором секция отображения информации об изображении для наблюдения отображает на интерфейсной секции, обеспеченной на устройстве для наблюдения биологических объектов для того, чтобы пользователь выполнял операции по вводу команд, что изображение для наблюдения, отображаемое на устройстве отображения, является либо цветным изображением, либо спектральным изображением. 25. Устройство для наблюдения биологических объектов, содержащее секцию формирования сигнала цветного изображения, которая выполняет обработку сигналов либо над первым снятым сигналом изображения, для которого объект, подлежащий исследованию, подсвечиваемый белым подсвечивающим светом, снимают первым устройством съемки изображения, снабженным цветным светофильтром, обладающим характеристикой пропускания множества длин волн в широком диапазоне, либо над вторым снятым сигналом изображения, для которого объект, подлежащий исследованию, подсвечиваемый множеством взаимно отличающихся подсвечивающих световых потоков чередующихся кадров в широком диапазоне длин волн, который охватывает видимый диапазон, снимают вторым устройством съемки изображения, и формирует сигнал цветного изображения для отображения в виде цветного изображения на устройстве отображения; секцию формирования спектрального сигнала изображения, которая формирует, исходя из первого снятого сигнала изображения или второго снятого сигнала изображения, спектральный сигнал изображения, соответствующий узкополосному сигналу изображения, полученному при съемке изображения объекта, подлежащего исследованию, с использованием совокупности узкополосных цветных светофильтров, каждый имеющий характеристику пропускания только частичного диапазона длин волн указанного цветного фильтра, имеющего характеристику пропускания множества длин волн широкого диапазона, или спектрального сигнала изображения соответствующего узкополосному сигналу изображения, полученному при съемке изображения объекта, подлежащего исследованию, подсвечиваемого подсвечивающим светом в совокупности диапазонов в узком диапазоне длин волн, каждый диапазон имеет характеристику пропускания только частичного диапазона длин волн в совокупности диапазонов длин волн широкого диапазона, посредством обработки сигнала цветного изображения, используемого для формирования цветного изображения; и секцию вычисления информации о функциях живого организма, которая вычисляет, в том случае, когда объект, подлежащий исследованию, является живым организмом, информацию о функции живого организма, связанную с кровью живого организма, по спектральному сигналу изображения; и секцию оценки яркости, которая оценивает, является или нет яркость в спектральном сигнале изображения равной или ниже, чем пороговое значение, и выводит сигнал оценки, когда яркость равна или ниже, чем пороговое значение, при этом под воздействием переключает изображение, отображаемое на устройстве отображения, из спектрального изображения в цветное изображение, исходя из сигнала оценки. 26. Устройство для наблюдения биологических объектов по п.25, в котором секция вычисления информации о функциях живого организма выводит вычисленную информацию о функции живого организма в устройство отображения. 27. Устройство для наблюдения биологических объектов по п.25, дополнительно содержащее секцию регулировки цвета, которая выполняет регулировку отображаемых цветов, когда спектральный сигнал изображения отображается на устройстве отображения в виде спектрального изображения. 28. Устройство для наблюдения биологических объектов по п.25, содержащее секцию источника света, которая испускает подсвечивающий свет, используемый для съемки изображений первым устройством съемки изображения или вторым устройством съемки изображения. 29. Устройство для наблюдения биологических объектов по п.25, в котором первое устройство съемки изображения или второе устройство съемки изображения обеспечено в эндоскопе, и содержащее соединительную секцию, к которой разъемно подсоединяется эндоскоп. 30. Устройство для наблюдения биологических объектов по п.25, в котором информация о функции живого организма представляет собой гемоглобиновый индекс в качестве индикатора, который отражает концентрацию гемоглобина, содержащегося в крови. 31. Устройство для наблюдения биологических объектов по п.27, в котором информация о функции живого организма представляет собой гемоглобиновый индекс в качестве индикатора, который отражает концентрацию гемоглобина, содержащегося в крови. 32. Устройство для наблюдения биологических объектов по п.30, в котором гемоглобиновый индекс вычисляется по логарифму отношения между спектральным сигналом изображения в полосе спектра красных длин волн и спектральным сигналом изображения в полосе спектра зеленых длин волн. 33. Устройство для наблюдения биологических объектов по п.30, в котором гемоглобиновый индекс вычисляется по логарифму отношения между спектральным сигналом изображения в полосе спектра красных длин волн и спектральным сигналом изображения в полосе спектра синих длин волн. 34. Устройство для наблюдения биологических объектов по п.30, в котором секция вычисления информации о функциях живого организма формирует видеоинформацию о гемоглобиновом индексе по спектральному сигналу изображения и выводит сформированную видеоинформацию на устройство отображения.
РИСУНКИ
|
||||||||||||||||||||||||||

364




), G(



H(








r×
0 градусов/360 градусов и ширину r0-ra. Аналогичным образом, вырезанный участок выполнен так, чтобы обладать, от радиуса ra до радиуса rb, максимальной длиной 2
F1-


-коррекции, нелинейному преобразованию контраста и т.п. по данным в каждой полосе спектра посредством LUT 62a, 62b и 62c.

G=0,2,
спектральный сигнал F2 изображения; сигнал Gnbi изображения спектрального канала 


, G






































































