|
|
(21), (22) Заявка: 2006115441/04, 28.09.2004
(24) Дата начала отсчета срока действия патента:
28.09.2004
(30) Конвенционный приоритет:
10.10.2003 DE 10347090.5
(43) Дата публикации заявки: 20.11.2007
(46) Опубликовано: 20.02.2010
(56) Список документов, цитированных в отчете о поиске:
WO 9931980 А2, 01.07.1998. WO 9931985 А1, 01.07.1999. ЕР 1214881 А1, 19.06.1997. WO 9708952 А1, 13.03.1997. WO 9739630 А1, 30.10.1997. WO 9963813 А2, 16.12.1999. WO 9808385 А1, 05.03.1998. WO 9710716 А1, 27.03.1987. ЕР 0545099 А2, 09.06.1993. ЕР 0589301 А1, 30.03.1994. RU 2002118334 А, 20.12.2003.
(85) Дата перевода заявки PCT на национальную фазу:
10.05.2006
(86) Заявка PCT:
EP 2004/010830 20040928
(87) Публикация PCT:
WO 2005/034628 20050421
Адрес для переписки:
105064, Москва, а/я 88, “Патентные поверенные Квашнин, Сапельников и партнеры”, пат.пов. В.П.Квашнину, рег. 4
|
(72) Автор(ы):
ВАХЕНДОРФФ-НОЙМАНН Ульрике (DE), ДАМЕН Петер (DE), ДУНКЕЛЬ Ральф (DE), ЭЛЬБЕ Ханс-Людвиг (DE), ЗУТИ-ХАЙНЦЕ Анне (DE), РИК Хайко (FR)
(73) Патентообладатель(и):
БАЙЕР КРОПСАЙЕНС АГ (DE)
|
(54) СИНЕРГИЧЕСКИЕ ФУНГИЦИДНЫЕ КОМБИНАЦИИ БИОЛОГИЧЕСКИ АКТИВНЫХ ВЕЩЕСТВ И ИХ ПРИМЕНЕНИЕ ДЛЯ БОРЬБЫ С НЕЖЕЛАТЕЛЬНЫМИ ФИТОПАТОГЕННЫМИ ГРИБАМИ
(57) Реферат:
Описываются синергические фунгицидные комбинации биологически активных веществ, которые содержат один карбоксамид общей формулы (I), (группа 1)
,
где
A, R1, R2 и R3 имеют значения, приведенные в формуле изобретения, и биологически активное вещество, выбранное из указанных в формуле изобретения групп (2)-(17) соединений. Технический результат – расширение ассортимента средств для борьбы с нежелательными фитопатогенными грибами. Описывается также применение указанного средства для борьбы с нежелательными фитопатогенными грибами. 2 н. и 6 з.п. ф-лы, 13 табл.
Данное изобретение относится к области борьбы с грибами, более конкретно к новым синергическим фунгицидным комбинациям биологически активных веществ, которые состоят, с одной стороны, из известных карбоксамидов и, с другой стороны, из других известных фунгицидных биологически активных веществ, и к их применению для борьбы с нежелательными фитопатогенными грибами.
Известно, что определенные карбоксамиды обладают фунгицидными свойствами. Так, например, известны N-(3 ,4 -дихлор-5-фтор-1,1 -бифенил-2-ил)-3-(дифторметил)-1-метил-1Н-пиразол-4-карбоксамид из DE-A 10215292, 3-(трифторметил)-N-{3 -фтор-4 -[(E)-(метоксиимино)метил]-1,1 -бифенил-2-ил}-1-метил-1Н-пиразол-4-карбоксамид из WO 02/08197, а также N-(3 ,4 -дихлор-1,1 -бифенил-2-ил)-5-фтор-1,3-диметил-1H-пиразол-4-карбоксамид из WO 00/14701. Эффективность у этих веществ хорошая, однако при малых расходных количествах в некоторых случаях недостаточна. Далее известно, что многочисленные триазоловые производные, анилиновые производные, дикарбоксимиды и другие гетероциклы могут быть использованы для борьбы с грибами (см. ЕР-А 0040345, DE-A 2201063, DE-A 2324010, Pesticide Manual, 9 издание (1991), стр.249 и 827, ЕР-А 0382375 и ЕР-А 0515901). Эффективность этих соединений при малых расходных количествах не всегда достаточна. Далее известно, что 1-(3,5-диметил-изоксазол-4-сульфонил)-2-хлор-6,6-дифтор-[1,3]-диоксоло-[4,5f]-бензимидазол обладает фунгицидными свойствами (см. WO 97/06171). Наконец, известно, что замещенные галоидпиримидины обладают фунгицидными свойствами (см. DE-A1-19646407, ЕР-В-712396).
Задачей изобретения является расширение ассортимента высокоактивных средств для борьбы с нежелательными фитопатогенными грибами.
Поставленная задача решается предлагаемыми синергическими фунгицидными комбинациями биологически активных веществ, которые содержат карбоксамид общей формулы (I) (группа – 1)

где
R1 означает водород или фтор,
R2 означает галоид,
R3 означает водород или галоид,
А означает один из следующих радикалов А1-А2:
 
R4 означает (С1-С3)-алкил,
R5 означает (С1-С3)-галоидалкил с 2 атомами фтора,
R6 означает водород,
R7 означает (С1-С3)-алкил,
R8 означает (С1-С3)-галоидалкил с 2 атомами фтора,
и биологически активное вещество, выбираемое из следующих групп соединений:
группа (2) стробилуринов общей формулы (II)

где
А1 означает одну из групп
  
А2 означает NH или О,
А3 означает N или СН,
L означает одну из групп
    
причем, химическая связь, обозначенная звездочкой (*), присоединена к фенильному кольцу,
R9 означает фенил, фенокси-группу или пиридинил, которые не замещены или замещены однократно или двукратно, одинаково или различно хлором, циано-группой, метилом или трифторметилом или означает 1-(4-хлорфенил)-пиразол-3-ил,
R10 означает водород или фтор;
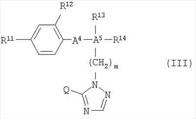
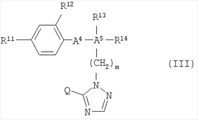
группа (3) триазолов общей формулы (III)

где
Q означает водород или SH,
m означает 0 или 1,
R11 означает водород, фтор, хлор или фенил,
R12 означает водород или хлор,
А4 означает простую химическую связь, -СН2-, -(СН2)2– или -О-,
А5 означает С,
R13 означает водород или гидрокси-группу,
R14 означает 1-хлорциклопропил, (С1-С4)-алкил или (С1-С6)-гидроксиалкил,
R13 и R14, кроме того, вместе означают -O-CH2-CH(R15)-O- или -O-СН(2-хлорфенил)-,
R15 означает (С1-С4)-алкил;
группа (4) сульфенамида формулы (IV)

где R16 означает метил;
группа (5) валинамидов, выбираемых из
(5-1) ипроваликарб,
(5-3) бентиаваликарб;
группа (6) карбоксамидов общей формулы (V)

где
X означает 2-хлор-3-пиридинил, 1-метилпиразол-4-ил, который замещен в 3-положении трифторметилом, 1-метилциклогексил или 3,4-дихлоризотиазол-5-ил,
Y означает простую химическую связь, или тиофендиил,
Z означает группу

или (С1-С6)-алкил,
А6 означает СН,
R17 означает водород, хлор, фенил, однократно замещенный хлором, или циано,
R18 означает водород или хлор,
R19 означает водород или гидрокси-группу,
группа (7) дитиокарбаматов. выбираемых из ряда, включающего
(7-1) манкозеб,
(7-2) пропинеб,
(7-3) зинеб,
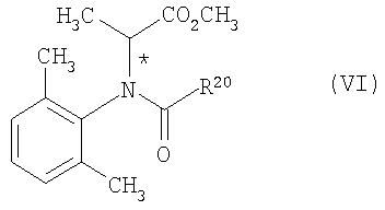
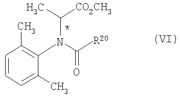
группа (8) ацилаланинов обшей формулы (VI)

где
* означает атом углерода в R- или S-конфигурации, предпочтительно в S-конфигурации,
R20 означает бензил или метоксиметил;
группа (9) анилино-пиримидинов общей формулы (VII)

где
R21 означает метил или циклопропил;
группа (10) бензимидазола формулы (VIII)

где
R22 и R23 каждый означают водород,
R24 означает водород,
R25 означает метоксикарбониламино-группу;
группа (11) карбаматов общей формулы (IX)

где
R26 означает н- или изо-пропил,
R27 означает ди((С1-С2)-алкил)амино-(С2-С4)-алкил,
включая также соли этих соединений;
группа (12) дикарбоксимида, представляющего собой ипродион;
группа (13) имидазола, представляющего собой триазоксид;
группа (14) фосфоната, представляющего собой фосетил-Al:
группа (15) фунгицидов, выбираемых из соединений
(15-1) хлороталонил,
(15-2) спироксамин,
(15-3) фенамидон,
группа (16) производного мочевины, представляющего собой пенцикурон;
группа (17) триазолопиримидинов, представляющих собой
(17-1) 5-хлор-N-[(1S)-2,2,2-трифтор-1-метилэтил]-6-(2,4,6-трифторфенил)-[1,2,4]триазоло[1,5-а]пиримидин-7-амин,
(17-2) 5-хлор-N-[(1R)-1,2-диметилпропил]-6-(2,4,6-трифторфенил)[1,2,4]триазоло[1,5-а]пиримидин-7-амин.
Предпочтительны карбоксамиды формулы (I), где
R1 означает водород или фтор,
R2 означает хлор или бром,
R3 означает водород или хлор,
А означает А1 или А2:
R4 означает метил,
R5 означает дифторметил,
R6 означает водород,
R7 означает метил,
R8 означает дифторметил.
Формула (I) охватывает следующие предпочтительные соединения группы (1):
(1-1) N-(3 ,4 -дихлор-5-фтор-1,1 -бифенил-2-ил)-3-(дифторметил)-1-метил-1Н-пиразол-4-карбоксамид (известный из WO 03/070705),
(1-2) N-(4 -хлор-3 -фтор-1,1 -бифенил-2-ил)-2-метил-4-(трифторметил)-1,3-тиазол-5-карбоксамид (известный из WO 03/066609),
(1-3) N-(4 -хлор-1,1 -бифенил-2-ил)-4-(дифторметил)-2-метил-1,3-тиазол-5-карбоксамид (известный из WO 03/066610),
(1-4) N-(4 -бром-1,1 -бифенил-2-ил)-4-(дифторметил)-2-метил-1,3-тиазол-5-карбоксамид (известный из WO 03/066610),
(1-5) N-(4 -хлор-3 -фтор-1,1 -бифенил-2-ил)-4-(дифторметил)-2-метил-1,3-тиазол-5-карбоксамид (известный из WO 03/066610).
Предпочтительны комбинации биологически активных веществ согласно данному изобретению, которые, наряду с (1-1) N-(3 ,4 -дихлор-5-фтор-1,1 -бифенил-2-ил)-3-(дифторметил)-1-метил-1Н-пиразол-4-карбоксамидом (группа 1), содержат биологически активное вещество, которое выбирают из групп (2)-(17).
Предпочтительны комбинации биологически активных веществ, которые, наряду с (1-4) N-(4 -бром-1,1 -бифенил-2-ил)-4-(дифторметил)-2-метил-1,3-тиазол-5-карбоксамидом (группа 1), содержат биологически активное вещество, которое выбирают из групп (2) и (3).
Формула (II) охватывает следующие предпочтительные биологически активные вещества группы (2):
(2-1) азоксистробин (известный из ЕР-А 0382375) формулы

(2-2) флуоксастробин (известный из DE-A 19602095) формулы

(2-3) (2Е)-2-(2-{[6-(3-хлор-2-метилфенокси)-5-фтор-4-пиримидинил]окси}фенил)-2-(метоксиимино)-N-метилэтанамид (известный из DE-A 19646407, ЕР-В 0712396) формулы

(2-4) трифлоксистробин (известный из ЕР-А 0460575) формулы

(2-5) крезоксим-метил (известный из ЕР-А 0253213) формулы

(2-6) пикоксистробин (известный из ЕР-А 0278595) формулы

(2-7) пираклостробин (известный из DE-A 4423612) формулы

Формула (III) охватывает следующие предпочтительные биологически активные вещества группы (3):
(3-1) этаконазол (известный из DE-A 2551560) формулы

(3-2) пропиконазол (известный из DE-A 2551560) формулы

(3-3) гексаконазол (известный из DE-A 3042303) формулы

(3-4) эпоксиконазол (известный из ЕР-А 0196038) формулы

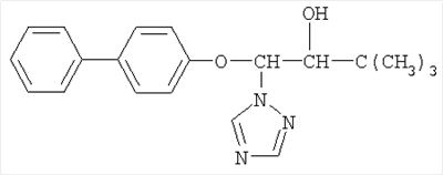
(3-5) протиоконазол (известный из WO 96/16048) формулы

(3-6) тебуконазол (известный из ЕР-А 0040345) формулы

(3-7) битертанол (известный из DE-A 2324010) формулы

(3-8) триадименол (известный из DE-A 2324010) формулы

Сульфенамид формулы (IV) известен из DE-A 1193498. Его название: толилфлуанид.
Ипроваликарб группы 5 (5-1) известен из DE-A 4026966. Он имеет формулу

Бентиаваликарб группы 5 (5-2) известен из WO 96/04252. Он имеет формулу

Формула (V) охватывает следующие предпочтительные биологически активные вещества группы (6):
(6-1) боскалид (известный из DE-A 19531813) формулы

(6-2) (3-п-толил-тиофен-2-ил)амид 1-метил-3-трифторметил-1Н-пиразол-4-карбоновой кислоты (известный из ЕР-А 0737682) формулы

(6-3) фенгексамид (известный из ЕР-А 0339418) формулы

(6-4) 3,4-дихлор-N-(2-цианофенил)изотиазол-5-карбоксамид (известный из WO 99/24413) формулы

(6-5) пентиопирад (известный из ЕР-А 0737682) формулы

(6-6) N-[2-(1,3-диметилбутил)фенил]-1-метил-4-(трифторметил)-1Н-пиррол-3-арбоксамид (известный из WO 02/38542) формулы

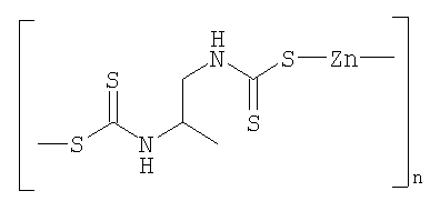
Манкозеб группы 7 (7-1) известен из DE-A 1234704. Его название согласно ЮПАК: марганец этиленбис(дитиокарбамат) (полимерный) комплекс с солью цинка,
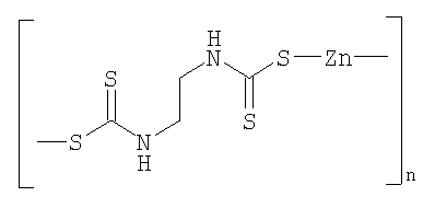
Пропинеб группы 7 (7-2) известен из GB 935981, имеет формулу

а зинеб группы 7 (7-3) известен из DE-A 1081446, имеет формулу

Формула (VI) охватывает следующие биологически активные вещества из группы (8):
(8-1) беналаксил (известный из DE-A 2903612) формулы

(8-2) металаксил (известный из DE-A 2515091) формулы

(8-3) металаксил-М (известный из WO 96/01559) формулы

(8-4) беналаксил-М формулы

Формула (VII) охватывает следующие биологически активные вещества группы (9):
(9-1) ципродинил (известный из ЕР-А 0310550) формулы

(9-2) пириметанил (известный из DD 151404) формулы

Формула (VIII) охватывает следующее билогически активное вещество из группы (10): карбендазим (известный из US 3010968) формулы

Формула (IX) охватывает следующие билогически активные вещества из группы (11): (11-1) пропамокарб (известный из US 3513241) формулы

(11-2) пропамокарб-гидрохлорид (известный из US 3513241) формулы

(11-3) пропамокарб-фосетил формулы

Ипродион группы (12) известен из DE-A 2149923). Он имеет формулу

Триазоксид группы (13) известен из DE-A 2802488 и имеет формулу

Фосетил-Al группы (14) известен из DE-A 2456627 и имеет формулу

Хлороталонил (15-1) известен из US 3290353. Он имеет формулу

Спироксамин (15-2) известен из DE-A 3735555. Он имеет формулу

Фенамидон (15-3) известен из ЕР-А 0629616. Он имеет формулу

Пенцикурон (группа 16) известен из DE-A 2732257. Он имеет формулу

5-хлор-N-[(1S)-2,2,2-трифтор-1-метилэтил]-6-(2,4,6-трифторфенил)[1,2,4]триазоло[1,5-а]-пиримидин-7-амин (17-1) формулы
известен из US 5986135, а
5-хлор-N-[(1R)-1,2-диметилпропил]-6-(2,4,6-трифторфенил)-[1,2,4]триазоло[1,5-а]-пиримидин-7-амин (17-2) формулы
известен из WO 02/38565.
Комбинации биологически активных веществ согласно данному изобретению содержат, наряду с одним биологически активным веществом формулы (I), как минимум, одно биологически активное вещество из соединений, входящих в группы (2)-(17). Сверх того они могут содержать другие фунгицидно действующие примешиваемые компоненты.
Если биологически активные вещества в комбинациях биологически активных веществ согласно данному изобретению присутствуют в определенных весовых соотношениях, синергический эффект может проявляться особенно отчетливо. Однако весовые соотношения биологически активных веществ в комбинациях биологически активных веществ могут варьироваться в относительно широкой области. Вообще комбинации согласно данному изобретению содержат биологически активное вещество формулы (I) и биологически активные вещества из одной из групп (2)-(17) в соотношениях, которые в качестве примера приведены в таблице 1.
Соотношения при смешивании основываются на весовых соотношениях. Его следует понимать как соотношение биологически активное вещество формулы (I): примешиваемый компонент.
| Таблица 1 |
| Весовые соотношения при смешивании |
| Примешиваемый компонент |
Предпочтительное весовое соотношение |
Особенно предпочтительное весовое соотношение |
| Группа (2): стробилурины |
50:1 до 1:50 |
10:1 до 1:20 |
| Группа (3): триазолы без (3-5) |
50:1 до 1:50 |
20:1 до 1:20 |
| (3-5): протиоконазол |
50:1 до 1:50 |
10:1 до 1:20 |
| Группа (4): сульфенамид |
1:1 до 1:150 |
1:1 до 1:100 |
| Группа (5): валинамиды |
50:1 до 1:50 |
10:1 до 1:20 |
| Группа (6): карбоксамиды |
50:1 до 1:50 |
20:1 до 1:20 |
| Группа (7): дитиокарбаматы |
1:1 до 1:150 |
1:1 до 1:100 |
| Группа (8): ацилаланины |
10:1 до 1:150 |
5:1 до 1:100 |
| Группа (9): анилино-пиримидины |
5:1 до 1:50 |
1:1 до 1:20 |
| Группа (10): бензимидазол |
10:1 до 1:50 |
5:1 до 1:20 |
| Группа (11): карбаматы |
1:1 до 1:150 |
1:1 до 1:100 |
| Группа (12): ипродион |
5:1 до 1:50 |
1:1 до 1:20 |
| Группа (13): имидазол |
50:1 до 1:50 |
10:1 до 1:20 |
| Группа (14): фосфонат |
10:1 до 1:150 |
1:1 до 1:100 |
| (15-1): хлороталонил |
1:1 до 1:150 |
1:1 до 1:100 |
| Таблица 1: продолжение |
| Весовые соотношения при смешивании |
| Примешиваемый компонент |
Предпочтительное весовое соотношение |
Особенно предпочтительное весовое соотношение |
| (15-2): спироксамин |
50:1 до 1:50 |
10:1 до 1:20 |
| (15-3): фенамидон |
50:1 до 1:50 |
10:1 до 1:20 |
| Группа (16): пенцикурон |
50:1 до 1:50 |
10:1 до 1:20 |
| Группа (17): триазолопиримидины |
50:1 до 1:50 |
10:1 до 1:20 |
Весовые соотношения при смешивании в каждом случае следует выбирать такими, чтобы получалась смесь с синергическим действием. Весовые соотношения при смешивании одного соединения формулы (I) к одному соединению, взятому из групп (2)-(17), могут варьироваться и между отдельными соединениями одной группы.
Комбинации биологически активных веществ согласно данному изобретению обладают очень хорошими фунгицидными свойствами и могут применяться для борьбы с фитопатогенными грибами, такими как Plasmodiophoromycetes, Oomycetes, Chytridiomycetes, Zygomycetes, Ascomycetes, Basidiomycetes, Deuteromycetes и т.д.
Комбинации биологически активных веществ согласно данному изобретению особенно хорошо пригодны для борьбы с Erysiphe graminis, Pyrenophora teres и Leptosphaeria nodorum.
В качестве примера, но ни в коем случае не ограничивая, можно назвать некоторых возбудителей грибковых заболеваний, которые подпадают под перечисленные выше более широкие понятия:
Pythium-виды, такие как, например, Pythium ultimum; Phytophthora-виды, такие как, например, Phytophthora infestans; Pseudoperonospora-виды, такие как, например, Pseudoperonospora humuli или Pseudoperonospora cubensis; Plasmopara-виды, такие как, например, Plasmopara viticola; Bremia-виды, такие как, например, Bremia lactucae; Peronospora-виды, такие как, например, Peronospora pisi или P.brassicae; Erysiphe-виды, такие как, например, Erysiphe graminis; Sphaerotheca-виды, такие как, например, Sphaerotheca fuliginea; Podosphaera-виды, такие как, например, Podosphaera leucotricha; Venturia-виды, такие как, например, Venturia inaequalis; Pyrenophora-виды, такие как, например, Pyrenophora teres или P.graminea (конидиевая форма: Drechslera, син: гельминтоспориум); Cochliobolus-виды, такие как, например, Cochliobolus sativus (конидиевая форма: Drechslera, син: гельминтоспориум); Uromyces-виды, такие как, например, Uromyces appendiculatus; Puccinia-виды, такие как, например, Puccinia recondita; Sclerotinia-виды, такие как, например, Sclerotinia sclerotiorum; Tilletia-виды, такие как, например, Tilletia caries; Ustilago-виды, такие как, например, Ustilago nuda или Ustilago avenae; Pellicularia-виды, такие как, например, Pellicularia sasakii; Pyricularia-виды, такие как, например, Pyricularia oryzae; Fusarium-виды, такие как, например, Fusarium culmorum; Botrytis-виды, такие как, например, Botrytis cinerea; Septoria-виды, такие как, например, Septoria nodorum; Leptosphaeria-виды, такие как, например, Leptosphaeria nodorum; Cercospora-виды, такие как, например, Cercospora canescens; Alternaria-виды, такие как, например, Alternaria brassicae; Pseudocercosporella-виды, такие как, например, Pseudocercosporella herpotrichoides, Rhizoctonia-виды, такие как, например, Rhizoctonia solani.
Хорошая переносимость растениями комбинаций биологически активных веществ в концентрациях, необходимых для борьбы с болезнями растений, позволяет производить обработку всех частей растений (надземных частей растений и корней), семенного материала и рассады, а также почвы. Комбинации биологически активных веществ согласно данному изобретению могут использоваться для нанесения на листья, а также для протравливания семян.
Комбинации биологически активных веществ согласно данному изобретению пригодны также для увеличения размеров урожая. Кроме того, они обладают минимальной токсичностью и хорошо переносятся растениями.
Согласно данному изобретению можно обрабатывать растения целиком или части растений. При этом под растениями понимают все растения и популяции растений, такие как желательные и нежелательные дикие или культурные растения (включая встречающиеся в природе культурные растения). Культурными растениями могут быть растения, которые получены традиционными методами выращивания и оптимизирования или методами биотехнологии или генной инженерии, или комбинацией этих методов, включая трансгенные растения и включая сорта растений, защищенные или не защищенные юридически правом по защите сортов. Под частями растений следует понимать надземные и подземные части и органы растений, такие как побег (отросток), лист, цветок и корень, причем включаются, например, листья, иголки, стебли, цветы, плоды и семена, а также корни, клубни и корневища. К частям растений относят также товарный продукт урожая, а также вегетативный и генеративный материал для размножения, например, черенки, клубни, корневища, отводки и семена.
Обработка согласно данному изобретению растений или частей растений биологически активными веществами происходит непосредственно или путем воздействия на их окружающую среду, место обитания или складские помещения обычными методами обработки, например, путем окунания, опрыскивания, обработки паром, образования тумана, рассыпания, и нанесения, а в случае материала для размножения, в особенности семян, путем формирования на них однослойных и многослойных оболочек.
Как упомянуто выше, согласно изобретению можно обрабатывать все растения и части растений. В одном из предпочтительных вариантов изобретения обрабатывают виды растений и сорта растений, а также их части, которые встречаются в диком виде или получены обычными биологическими методами селекции, такими как скрещивание или фузия протопластов. В другом предпочтительном варианте изобретения обрабатывают трансгенные растения и сорта растений, которые получены методами генной технологии при необходимости в комбинации с обычно используемыми методами (генетически модифицированные организмы), и их части. Понятие растения”, соответственно, части растений” пояснено выше.
Более предпочтительно обрабатывают согласно данному изобретению имеющиеся в продаже или обычно используемые сорта растений.
В зависимости от видов растений, соответственно, сортов растений, места их размещения и условий роста (почвы, климат, вегетационный период, питание) при обработке согласно изобретению могут наблюдаться также сверхаддитивные ( синергические”) эффекты. Так, например, возможны уменьшение расходных количеств и/или расширение спектра действия, и/или усиление эффективности веществ и средств, применяемых согласно данному изобретению, лучший рост растений, повышенная толерантность к высоким или низким температурам, повышенная толерантность к сухости или к содержанию соли в воде или почве, повышение продуктивности цветения, облегчение уборки урожая, ускорение созревания, повышение размеров урожая, улучшенное качество и/или повышенная пищевая ценность продукта урожая, повышенная устойчивость при хранении и/или обрабатываемость продуктов урожая, которые превышают собственно ожидаемые эффекты.
К предпочтительным, обрабатываемым согласно данному изобретению трансгенным (полученным с помощью генно-инженерных технологий) растениям, соответственно, сортам растений относятся все растения, которые получены путем генно-инженерных модификаций генетического материала, что придало этим растениям особенно выгодные ценные свойства ( Traits”). Примерами таких свойств являются лучший рост растений, повышенная толерантность к высоким или низким температурам, повышенная толерантность к сухости или к содержанию солей в воде и почве, повышенная продуктивность цветения, облегчение уборки урожая, ускорение созревания, повышение размеров урожая, улучшенное качество и/или повышенная пищевая ценность продукта урожая, повышенная устойчивость при хранении и/или обрабатываемость продуктов урожая. Другими и особенно выдающимися примерами таких свойств являются повышенная защита растений от животных и микробных вредителей, таких как насекомые, клещи, фитопатогенные грибы, бактерии и/или вирусы, а также повышенная толерантность растений по отношению к определенным гербицидным биологически активным веществам. В качестве примера трансгенных растений упоминаются важные культурные растения, такие как зерновые культуры (пшеница, рис), кукуруза, соя, картофель, хлопчатник, рапс, а также фруктовые растения (с такими фруктами, как яблоки, груши, цитрусовые фрукты и виноград), причем кукуруза, соя, картофель, хлопчатник и рапс более предпочтительны. В качестве свойств ( Traits”) особенно подчеркивается повышенная защита растений от насекомых с помощью токсинов, образующихся в растениях, особенно таких, которые продуцируются в растениях посредством генетического материала из Bacillus Thuringiensis (например, через гены CryIA(a), CryIA(b), CryIA(c), CryIIA, CryIIIA, CryIIIB2, Cry9c Cry2Ab, Cry3Bb и CryIF, а также их комбинаций (далее Bt растения”). В качестве свойств ( Traits”) особенно подчеркивается также повышенная толерантность растений по отношению к определенным гербицидным биологически активным веществам, например, имидазолинонам, сульфонилмочевинам, глифосате или фосфинотрицину (например РАТ”-ген). Гены, придающие соответствующие желаемые свойства ( Traits”) в трансгенных растениях могут встречаться в комбинации друг с другом. В качестве примеров Bt растений” следует назвать сорта кукурузы, хлопчатника, сои и картофеля, которые продаются под торговыми названиями YIELD GARD® (например, кукуруза, хлопчатник, соя), KnockOut® (например, кукуруза), StarLink® (например, кукуруза), Bollgard® (хлопчатник), Nucotn® (хлопчатник) и NewLeaf® (картофель). В качестве примера толерантных к гербицидам растений следует назвать сорта кукурузы, хлопчатника и сои, которые продаются под торговыми названиями Roundup Ready® (толерантность к глифосате, например, кукуруза, хлопок, соя), Liberty Link® (толерантность к фосфинотрицину, например, рапс), IMI® (толерантность к имидазолинону) и STS® (толерантность к сульфонилмочевинам, например, кукуруза). В качестве резистентных к гербицидам растений (обычно выращенных на толерантности к гербицидам) следует также упомянуть сорта, которые продаются под названием Clearfield® (например, кукуруза). Само собой разумеется, эти высказывания действительны для сортов, которые будут разработаны в будущем, соответственно, появятся в будущем на рынке сортов растений с этими или новыми, разработанными в будущем свойствами ( Traits”).
Комбинации биологически активных веществ согласно данному изобретению в зависимости от их физических и/или химических свойств могут быть переведены в обычные препараты, такие как растворы, эмульсии, суспензии, порошки, средства для распыления, пены, пасты, растворимые порошки, грануляты, аэрозоли, суспензионно-эмульсионные концентраты, пропитанные биологически активным веществом природные и синтетические вещества, а также микрокапсулы в полимерных веществах и покровные материалы для посевного материала, а также препараты в ультра малых объемах для образования холодного и теплого тумана.
Эти препараты получают известным способом, например, при смешивании биологически активных веществ, соответственно, комбинаций биологически активных веществ с наполнителями, то есть жидкими растворителями, сжиженными газами, находящимися под давлением, и/или твердыми носителями, при необходимости с использованием поверхностно-активных средств, то есть эмульгирующих средств и/или диспергирующих средств, и/или пенообразующих веществ.
В случае использования воды в качестве наполнителя могут использоваться также органические растворители в качестве вспомогательных для растворения веществ. В качестве жидких растворителей имеются в виду по существу следующие: ароматические соединения, такие как ксилол, толуол или алкилнафталины, хлорированные ароматические или хлорированные алифатические углеводороды, такие как хлорбензол, хлорэтилен и метиленхлорид, насыщенные углеводороды, такие как циклогексан или парафины, например, фракции нефтей и минеральные и растительные масла, спирты, такие как бутанол или гликоль, а также их простые и сложные эфиры, кетоны, такие как ацетон, метилэтилкетон, метилизобутилкетон или циклогексанон, сильно полярные растворители, такие как диметилформамид и диметилсульфоксид, а также вода.
Под сжиженными газообразными наполнителями или носителями понимают такие жидкости, которые при нормальной температуре и нормальном давлении являются газообразными, например, несущие газы аэрозолей, такие как бутан, пропан, азот и двуокись углерода.
В качестве твердых носителей имеются в виду: например, аммониевые соли и помолы природных горных пород, такие как каолины, глины, тальк, мел, кварц, аттапульгит, монтмориллонит или диатомовая земля и помолы синтетических камней, такие как высокодисперсная кремниевая кислота, оксид алюминия и силикаты. В качестве твердых носителей для гранулятов имеются в виду, например, измельченные и фракционированные природные каменные породы, такие как кальцит, мрамор, пемза, сепиолис, доломит, а также синтетические грануляты из помолов неорганических и органических веществ, а также грануляты из органического материала, такого как древесные опилки, скорлупа кококсовых орехов, кукурузные кочерыжки и стебли табака. В качестве эмульгаторов и пенообразующих средств подходят: например, неионогенные и анионные эмульгаторы, такие как эфиры полиоксиэтилена с жирной кислотой, эфиры полиоксиэтилена с жирным спиртом, например, алкиларилполигликолевый эфир, алкилсульфонаты, алкилсульфаты, арилсульфонаты, а также гидролизаты яичного белка. В качестве диспергирующих средств имеют в виду: например, лигнин-сульфитовые щелоки и метилцеллюлозу.
В препаратах могут использоваться адгезионные средства, такие как карбоксиметилцеллюлоза, природные и синтетические порошкообразные, зернистые или в латексной форме полимеры, такие как гуммиарабик, поливиниловый спирт, поливинилацетат, а также природные фосфолипиды, такие как кефалины и лецитины, и синтетические фосфолипиды. Другими добавками могут быть природные или растительные масла.
Могут использоваться красители, такие как неорганические пигменты, например оксид железа, оксид титана, ферроциан синий и органические красители, такие как ализариновые, азо- и металлфталоцианиновые красители, следовые количества питательных веществ, таких как соли железа, марганца, бора, меди, кобальта, молибдена и цинка.
Содержание биологически активного вещества в готовых к применению формах, приготовленных из имеющихся в продаже препаратов, может варьироваться в широких пределах. Концентрация биологически активных веществ в готовых для применения формах для борьбы с животными вредителями, такими как насекомые и акариды может составлять от 0,0000001 до 95 вес. процентов биологически активного вещества, предпочтительно от 0,0001 до 1 вес. процента. Применение обычно осуществляют способом, приспособленным к виду препарата, готового для применения.
Препараты для борьбы с нежелательными фитопатогенными грибами содержат, как правило, от 0,1 до 95 вес. процентов биологически активного вещества, предпочтительно от 0,5 до 90 вес. процентов.
Комбинации биологически активных веществ согласно данному изобретению могут применяться как сами по себе, в виде их препаратов, так и в виде приготовленных из них готовых для применения форм, таких как готовые к применению растворы, эмульгируемые концентраты, эмульсии, суспензии, порошки для опрыскивания, растворимые порошки, распыляемые средства и грануляты. Применение осуществляют обычным способом, например, поливанием (смачиванием), капельным орошением, разбрызгиванием, распылением, рассыпанием, распылением, покрытием пеной, нанесением, намазыванием, сухим протравливанием, влажным протравливанием, мокрым протравливанием, протравливанием в шламе, образованием корки и т.д.
Комбинации биологически активных веществ согласно данному изобретению могут находиться как в виде препаратов, имеющихся в продаже, так и в виде готовых для применения форм, приготовленных из этих препаратов в смеси с другими биологически активными веществами, такими как инсектициды, аттрактанты, стерилянты, бактерициды, акарициды, нематициды, фунгициды, вещества, регулирующие рост растений, или гербициды.
При применении комбинаций биологически активных веществ согласно данному изобретению расходные количества в зависимости от способа нанесения могут варьироваться в широких пределах. При обработке частей растений расходные количества комбинаций биологически активных веществ составляют, как правило, от 0,1 до 10000 г/га, предпочтительно от 10 до 1000 г/га. При обработке семенного материала расходные количества комбинаций биологически активных веществ составляют, как правило, от 0,001 до 50 г на килограмм семенного материала, предпочтительно от 0,01 до 10 г на килограмм семенного материала. При обработке почвы расходные количества комбинаций биологически активных веществ составляют, как правило, от 0,1 до 10000 г/га, предпочтительно от 1 до 5000 г/га.
Комбинации биологически активных веществ могут применяться как сами по себе, в виде концентратов, или в виде общепринятых препаратов, таких как порошки, грануляты, растворы, суспензии, эмульсии или пасты.
Названные виды препаратов могут быть получены известными способами, например при смешивании биологически активных веществ с как минимум одним растворителем, соответственно, разбавителем, эмульгатором, диспергирующим и/или связующим средством или с фиксирующим средством, репеллентом воды, при необходимости сиккативом или стабилизатором в ультра-малых объемах и при необходимости с красителями и пигментами, а также с другими вспомогательными для переработки веществами.
Хорошая фунгицидная активность комбинаций биологически активных веществ согласно данному изобретению видна из примеров, приведенных ниже. В то время как отдельные биологически активные вещества обнаруживают слабую фунгицидную активность, комбинации проявляют активность, которая превышает простое суммирование активностей.
Синергический эффект присутствует у фунгицидов всегда в том случае, если фунгицидная активность комбинации биологически активных веществ больше, чем сумма эффективностей отдельно взятых биологически активных веществ.
Ожидаемая фунгицидная активность для заданной комбинации двух биологически активных веществ согласно Колби (S.R.Colby Calculating Synergistic and Antagonistic Responses of Herbicide Combinations”, Weeds, 1967, 15, 20-22) рассчитывается следующим образом:
если
X означает эффективность при применении биологически активного вещества А с расходным количеством m г/га,
Y означает эффективность при применении биологически активного вещества В с расходным количеством n г/га и
Е означает эффективность при применении биологически активных веществ А и В с расходными количествами m и n г/га,
то .
При этом эффективность определяется в процентах. Эффективность 0% соответствует эффективности контроля, тогда как эффективность 100% означает, что не происходит поражение растений.
Если фактическая фунгицидная активность выше, чем рассчетная, то комбинация сверхаддитивна по своему действию, то есть присутствует синергический эффект. В этом случае фактически наблюдаемая эффективность должна быть выше ожидаемого значения эффективности (Е), рассчитанного по формуле, приведенной выше. Изобретение поясняется с помощью следующих примеров, в которых испытывают комбинации, содержащие карбоксамиды (1-1) или (1-4) формул
 
и биологически активное вещество, которое выбирают из группы (2)-(17).
Пример А
Тест на Pyrenophora teres (ячмень)/лечебный
| Растворитель: |
50 вес. частей N,N-диметилацетамида. |
| Эмульгатор: |
1 вес. часть алкиларилполигликолевого эфира. |
Для получения целесообразного готового к применению препарата биологически активных веществ смешивают 1 вес. часть биологически активного вещества или комбинации биологически активных веществ с приведенными количествами растворителя и эмульгатора и разбавляют концентрат водой до необходимой концентрации.
Для испытания лечебной активности молодые растения инокулируют суспензией конидий Pyrenophora teres. Растения оставляют в инкубационной кабине на 48 часов при температуре 20°С и относительной влажности 100%. В заключение растения опрыскивают приведенным расходным количеством препарата биологически активного вещества.
Растения помещают в теплицу при температуре около 20°С и относительной влажности воздуха около 80%.
Спустя 12 дней после инокуляции происходит оценка. При этом 0% означает эффективность, которая соответствует эффективности контроля, в то время как эффективность 100% означает, что не наблюдается никакого поражения.
Из приведенной ниже таблицы однозначно следует, что наблюдаемая эффективность комбинации биологически активных веществ согласно данному изобретению больше расчетной, то есть присутствует синергический эффект.
Пример В
Тест на Erysiphe (ячмень)/защитный
| Растворитель: |
50 вес. частей N,N-диметилацетамида. |
| Эмульгатор: |
1 вес. часть алкиларилполигликолевого эфира. |
Для получения целесообразного готового препарата биологически активных веществ смешивают 1 вес. часть биологически активного вещества или комбинации биологически активных веществ с приведенными количествами растворителя и эмульгатора и разбавляют концентрат водой до необходимой концентрации.
Для испытания защитной активности молодые растения опрыскивают указанным расходным количеством препарата биологически активного вещества. После высыхания налета от опрыскивания растения инокулируют спорами Erysiphe graminis f.sp.hordei.
Растения помещают в теплицу при температуре около 20°С и относительной влажности воздуха около 80%, для того чтобы создать благоприятные условия для развития пустул мучнистой росы.
Спустя 6 дней после инокуляции происходит оценка. При этом 0% означает эффективность, которая соответствует эффективности контроля, в то время как эффективность 100% означает, что не наблюдается никакого поражения.
Из приведенной ниже таблицы однозначно следует, что наблюдаемая эффективность комбинации биологически активных веществ согласно данному изобретению больше расчетной, то есть присутствует синергический эффект.
Пример С
Тест на Puccinia (пшеница)/лечебный
| Растворитель: |
50 вес. частей N,N-диметилацетамида. |
| Эмульгатор: |
1 вес. часть алкиларилполигликолевого эфира. |
Для получения целесообразного готового препарата биологически активных веществ смешивают 1 вес. часть биологически активного вещества или комбинации биологически активных веществ с приведенными количествами растворителя и эмульгатора и разбавляют концентрат водой до необходимой концентрации.
Для испытания защитной активности молодые растения инокулируют суспензией конидий Puccinia recondita. Растения оставляют на 48 часов в инкубационной кабине при температуре около 20°С и относительной влажности 100%.
В заключение растения обрабатывают указанным расходным количеством препарата биологически активного вещества.
Растения помещают в теплицу при температуре около 20°С и относительной влажности воздуха около 80%, для того чтобы создать благоприятные условия для развития пустул ржавчины.
Спустя 8 дней после инокуляции происходит оценка. При этом 0% означает эффективность, которая соответствует эффективности контроля, в то время как эффективность 100% означает, что не наблюдается никакого поражения.
Из приведенной ниже таблицы однозначно следует, что наблюдаемая эффективность комбинации биологически активных веществ согласно данному изобретению больше расчетной, то есть присутствует синергический эффект.
| Таблица С: |
| Тест на Puccinia (пшеница)/лечебный |
| Биологически активные вещества |
Расходные количества биологически активных веществ в г/га |
Эффективность в процентах |
| Обн.* |
Рас.** |
| (1-1) |
62,5 |
22 |
 |
| (15-2) Спироксамин |
62,5 |
0 |
 |
| (6-5) Пентиопирад |
62,5 |
44 |
 |
| (6-4) Карбоксамид вышеуказанной формулы |
62,5 |
0 |
 |
| (2-6) Пикоксистробин |
62,5 |
78 |
 |
| (1-1)+(15-2) Спироксамин (1:1) |
62,5+62,5 |
100 |
22 |
| (1-1)+(6-5) Пентиопирад (1:1) |
62,5+62,5 |
67 |
57 |
| (1-1)+(6-4) Карбоксамид (1:1) |
62,5+62,5 |
44 |
22 |
| Таблица С: |
| Тест на Puccinia (пшеница)/лечебный |
| Биологически активные вещества |
Расходные количества биологически активных веществ в г/га |
Эффективность в процентах |
| (1-1)+(2-6) Пикоксистробин (1:1) |
62,5+62,5 |
89 |
83 |
| Обн.* = обнаруженная эффективность. |
| Рас.** = эффективность, рассчитанная по формуле Колби. |
Пример D
Тест на Gibberella zeae (ячмень)/лечебный
| Растворитель: |
50 вес. частей N,N-диметилацетамида. |
| Эмульгатор: |
1 вес. часть алкиларилполигликолевого эфира. |
Для получения целесообразного готового препарата биологически активных веществ смешивают 1 вес. часть биологически активного вещества или комбинации биологически активных веществ с приведенными количествами растворителя и эмульгатора и разбавляют концентрат водой до необходимой концентрации.
Для испытания лечебной активности молодые растения инокулируют суспензией конидий Gibberella zeae. Растения оставляют на 24 часа в инкубационной кабине при температуре 22°С и относительной влажности воздуха 100%. В заключение растения опрыскивают готовым к применению препаратом биологически активного вещества указанными расходными количествами. После высыхания налета от опрыскивания растения помещают в теплицу под инкубационные колпаки, пропускающие свет, при температуре около 22°С и относительной влажности воздуха около 100%.
Спустя 6 дней после инокуляции происходит оценка. При этом 0% означает эффективность, которая соответствует эффективности контроля, в то время как эффективность 100% означает, что не наблюдается никакого поражения.
Из приведенной ниже таблицы однозначно следует, что наблюдаемая эффективность комбинации биологически активных веществ согласно данному изобретению больше расчетной, то есть присутствует синергический эффект.
Пример Е
Тест на Sphaerotheca fuliginea (огурцы)/защитный
| Растворитель: |
24,5 вес. частей ацетона, |
| 24,5 вес. частей |
диметилацетамида. |
| Эмульгатор: |
1 вес. часть алкиларилполигликолевого эфира. |
Для получения целесообразного готового препарата биологически активных веществ смешивают 1 вес. часть биологически активного вещества или комбинации биологически активных веществ с приведенными количествами растворителя и эмульгатора и разбавляют концентрат водой до необходимой концентрации.
Для испытания защитной активности молодые растения опрыскивают указанным расходным количеством препарата биологически активного вещества. После высыхания налета от опрыскивания растения инокулируют водной суспензией спор Sphaerotheca fuliginea.
Растения помещают в теплицу при температуре около 23°С и относительной влажности воздуха около 70%.
Спустя 7 дней после инокуляции происходит оценка. При этом 0% означает эффективность, которая соответствует эффективности контроля, в то время как эффективность 100% означает, что не наблюдается никакого поражения.
Из приведенной ниже таблицы однозначно следует, что наблюдаемая эффективность комбинации биологически активных веществ согласно данному изобретению больше расчетной, то есть присутствует синергический эффект.
| Таблица Е: |
| Тест на Sphaerotheca fuliginea (огурцы)/защитный |
| Биологически активные вещества |
Расходные количества биологически активных веществ в г/га |
Эффективность в процентах |
| (1-1)+(2-1) Азоксистробин (1:1) |
0,5+0,5 |
87 |
20 |
| (1-4)+(2-1) Азоксистробин (1:1) |
0,5+0,5 |
63 |
20 |
| (1-1)+(2-2) Флуоксастробин (1:1) |
1+1 |
95 |
16 |
| (1-4)+(2-2) Флуоксастробин (1:1) |
1+1 |
92 |
0 |
| (1-1)+(2-4) Трифлоксистробин (1:1) |
2+2 |
57 |
42 |
| (1-4)+(2-4) Трифлоксистробин (1:1) |
2+2 |
93 |
10 |
| (1-1)+(2-7) Пираклостробин (1:1) |
2+2 |
53 |
36 |
| (1-1)+(3-5) Протиоконазол (1:1) |
1+1 |
70 |
52 |
| (1-1)+(3-6) Тебуконазол (1:1) |
1+1 |
90 |
24 |
| (1-1)+(3-7) Битертанол (1:1) |
1+1 |
50 |
16 |
| (1-1)+(4-1) Толилфлуанид (1:10) |
2+20 |
98 |
36 |
| (1-1)+(6-3) Фенгексамид (1:10) |
2+20 |
85 |
36 |
| (1-1)+(6-5) Пентиопирад (1:1) |
4+4 |
82 |
30 |
| (1-1)+(7-1) Манкозеб (1:10) |
2+20 |
93 |
36 |
| (1-1)+(7-2) Пропинеб (1:10) |
2+20 |
65 |
43 |
| (1-1)+(9-2) Пириметанил (1:10) |
2+20 |
96 |
36 |
| (1-1)+(12) Ипродион (1:10) |
2+20 |
74 |
36 |
| (1-1)+(15-1) Хлороталонил (1:10) |
2+20 |
91 |
36 |
| Таблица Е: |
| Тест на Sphaerotheca fuliginea (огурцы)/защитный |
| Биологически активные вещества |
Расходные количества биологически активных веществ в г/га |
Эффективность в процентах |
| Обн.* |
Рас.** |
| (1-1)+(15-2) Спироксамин (1:10) |
2+20 |
100 |
36 |
| (1-1)+(17-1) (1:1) |
2+2 |
67 |
43 |
| (1-1)+(17-2) (1:1) |
1+1 |
94 |
34 |
| Обн.* = обнаруженная эффективность. |
| Рас.** = эффективность, рассчитанная по формуле Колби. |
Пример F
Тест на Alternaria solani (помидоры)/защитный
| Растворитель: |
24,5 вес. частей ацетона, |
| 24,5 вес. частей |
диметилацетамида. |
| Эмульгатор: |
1 вес. часть алкиларилполигликолевого эфира. |
Для получения целесообразного готового препарата биологически активных веществ смешивают 1 вес. часть биологически активного вещества или комбинации биологически активных веществ с приведенными количествами растворителя и эмульгатора и разбавляют концентрат водой до необходимой концентрации.
Для испытания защитной активности молодые растения опрыскивают указанным расходным количеством препарата биологически активного вещества. После высыхания налета от опрыскивания растения инокулируют водной суспензией спор Alternaria solani.
Растения помещают после этого в инкубационную кабину при температуре около 20°С и относительной влажности воздуха около 100%.
Спустя 3 дня после инокуляции происходит оценка. При этом 0% означает эффективность, которая соответствует эффективности контроля, в то время как эффективность 100% означает, что не наблюдается никакого поражения.
Из приведенной ниже таблицы однозначно следует, что наблюдаемая эффективность комбинации биологически активных веществ согласно данному изобретению больше расчетной, то есть присутствует синергический эффект.
| Таблица F: |
| Тест на Alternaria solani (помидоры)/защитный |
| Биологически активные вещества |
Расходные количества биологически активных веществ в г/га |
Эффективность в процентах |
| Обн.* |
Рас.** |
| (1-1) |
1 |
61 |
 |
 |
0,5 |
42 |
 |
| (1-4) |
1 |
63 |
 |
 |
0,5 |
28 |
 |
| (2-3) |
0,5 |
22 |
 |
| (3-2) Пропиконазол |
0,5 |
3 |
 |
| (5-2) Бентиаваликарб |
1 |
5 |
 |
| (8-3) Металаксил-М |
0,5 |
7 |
 |
| (8-4) Беналаксил-М |
0,5 |
14 |
 |
| (1-4)+(2-3) (1:1) |
0,5+0,5 |
67 |
44 |
| (1-4)+(3-2) Пропиконазол (1:1) |
0,5+0,5 |
56 |
30 |
| (1-1)+(5-2) Бентиаваликарб (1:1) |
1+1 |
77 |
63 |
| Таблица F: |
| Тест на Alternaria solani (помидоры)/защитный |
| (1-1)+(8-3) Металаксил-М (1:1) |
0,5+0,5 |
62 |
46 |
| (1-1)+(8-4) Беналаксил-М (1:1) |
0,5+0,5 |
67 |
50 |
| Обн.* = обнаруженная эффективность. |
| Рас.** = эффективность, рассчитанная по формуле Колби. |
Пример G
Тест на Phytophthora infestans (помидоры)/защитный
| Растворитель: |
24,5 вес. частей ацетона, |
| 24,5 вес. частей |
диметилацетамида. |
| Эмульгатор: |
1 вес. часть алкиларилполигликолевого эфира. |
Для получения целесообразного готового препарата биологически активных веществ смешивают 1 вес. часть биологически активного вещества или комбинации биологически активных веществ с приведенными количествами растворителя и эмульгатора и разбавляют концентрат водой до необходимой концентрации.
Для испытания защитной активности молодые растения опрыскивают указанным расходным количеством препарата биологически активного вещества. После высыхания налета от опрыскивания растения инокулируют водной суспезией спор Phytophthora infestans. Растения помещают после этого в инкубационную кабину при температуре около 20°С и относительной влажности воздуха около 100%. Спустя 3 дня после инокуляции происходит оценка. При этом 0% означает эффективность, которая соответствует эффективности контроля, в то время как эффективность 100% означает, что не наблюдается никакого поражения.
Из приведенной ниже таблицы однозначно следует, что наблюдаемая эффективность комбинации биологически активных веществ согласно данному изобретению больше расчетной, то есть присутствует синергический эффект.
Пример Н
Тест на Botrytis cinerea (фасоль)/защитный
| Растворитель: |
24,5 вес. частей ацетона, |
| 24,5 вес.частей |
диметилацетамида. |
| Эмульгатор: |
1 вес. часть алкиларилполигликолевого эфира. |
Для получения целесообразного готового препарата биологически активных веществ смешивают 1 вес. часть биологически активного вещества или комбинации биологически активных веществ с приведенными количествами растворителя и эмульгатора и разбавляют концентрат водой до необходимой концентрации.
Для испытания защитной активности молодые растения опрыскивают указанным расходным количеством препарата биологически активного вещества. После высыхания налета после опрыскивания на каждый листок кладут два небольших кусочка агара, которые обросли Botrytis cinerea. Инокулированные растения помещают в затемненную камеру при температуре около 20°С и относительной влажности воздуха около 100%.
Спустя 2 дня после инокуляции происходит оценка по размерам пятен поражения на листьях. При этом 0% означает эффективность, которая соответствует эффективности контроля, в то время как эффективность 100% означает, что не наблюдается никакого поражения.
Из приведенной ниже таблицы однозначно следует, что наблюдаемая эффективность комбинации биологически активных веществ согласно данному изобретению больше расчетной, то есть присутствует синергический эффект.
Пример I
Тест на Alternaria mali (in vitro)/микротитровальные пластинки
Микротест проводят с пластинками для микротитрования с картофельно-декстрозной питательной средой в качестве жидкой среды для испытаний. Применение биологически активных веществ осуществляют в виде технических а.и. (активный ингредиент), растворенных в ацетоне.
Для инокуляции используют суспензию спор Alternaria mali. После 5 дней инкубации в темноте и при постоянном встряхивании (10 Гц) на спектрофотометре определяют светопроницаемость каждой заполненной кавитационной полости пластинок для микротитрования.
При этом 0% означает эффективность, которая соответствует росту грибов в случае контроля, в то время как эффективность 100% означает, что не наблюдается никакого роста грибов.
Из приведенной ниже таблицы однозначно следует, что наблюдаемая эффективность комбинации биологически активных веществ согласно данному изобретению больше расчетной, то есть присутствует синергический эффект.
| Таблица I |
| Тест на Alternaria mali (in vitro)/микротитровальные пластинки |
| Биологически активные вещества |
Расходные количества биологически активных веществ в млн.долях |
Эффективность в процентах |
| Обн.* |
Рас.** |
| (1-1) |
0,03 |
51 |
 |
| 0,003 |
25 |
 |
| (10-1) Карбендазим |
0,03 |
15 |
 |
| (15-3) Фенамидон |
0,003 |
2 |
 |
| (16) Пенцикурон |
0,003 |
11 |
 |
| (1-1)+(10-1) Карбендазим (1:1) |
0,03+0,03 |
79 |
59 |
| (1-1)+(15-3) Фенамидон (1:1) |
0,003+0,003 |
35 |
27 |
| (1-1)+(16) Пенцикурон (1:1) |
0,003+0,003 |
67 |
33 |
| Обн.* = обнаруженная эффективность. |
| Рас.** = эффективность, рассчитанная по формуле Колби. |
Пример J
Тест на Rhizoctonia solani (in vitro)/микротитровальные пластинки
Микротест проводят с пластинками для микротитрования с картофельно-декстрозной питательной средой в качестве жидкой среды для испытаний. Применение биологически активных веществ осуществляют в виде технических а.и., растворенных в ацетоне.
Для инокуляции используют суспензию мицел Rhizoctonia solani. После 5 дней инкубации в темноте при постоянном встряхивании (10 Гц) на спектрофотометре определяют светопроницаемость каждой заполненной кавитационной полости пластинок для микротитрования.
При этом 0% означает эффективность, которая соответствует росту грибов в случае контроля, в то время как эффективность 100% означает, что не наблюдается никакого роста грибов.
Из приведенной ниже таблицы однозначно следует, что наблюдаемая эффективность комбинации биологически активных веществ согласно данному изобретению больше расчетной, то есть присутствует синергический эффект.
Пример K
Тест на Septoria tritici (in vitro)/микротитровальные пластинки
Микротест проводят с пластинками для микротитрования с картофельно-декстрозной питательной средой (PDB) в качестве жидкой среды для испытаний. Применение биологически активных веществ осуществляют в виде технических а.и. (активный ингредиент), растворенных в ацетоне.
Для инокуляции используют суспензию спор Septoria tritici. Через 7 дней инкубации в темноте при постоянном встряхивании (10 Гц) на спектрофотометре определяют светопроницаемость каждой заполненной кавитационной полости пластинок для микротитрования.
При этом 0% означает эффективность, которая соответствует росту грибов в случае контроля, в то время как эффективность 100% означает, что не наблюдается никакого роста грибов.
Из приведенной ниже таблицы однозначно следует, что наблюдаемая эффективность комбинации биологически активных веществ согласно данному изобретению больше рассчетной, то есть присутствует синергический эффект.
| Таблица K |
| Тест на Septoria tritici-Test (in vitro)/микротитровальные пластинки |
| Биологически активные вещества |
Расходные количества биологически активных веществ в млн.долях |
Эффективность в процентах |
| Обн.* |
Рас.** |
| (1-1) |
0,01 |
15 |
 |
| (13) Триазоксид |
0,01 |
29 |
 |
| (1-1)+(13) Триазоксид (1:1) |
0,01+0,01 |
69 |
40 |
| Обн.* = обнаруженная эффективность. |
| Рас.** = эффективность, рассчитанная по формуле Колби. |
Пример L
Тест на Sphaerotheca fuliginea (корнишон)/защитный
Для приготовления целесообразного готового препарата биологически активного вещества испытуемое вещество гомогенизируют в смеси ацетон/полисорбат типа Твин/вода. Суспензию разбавляют водой до необходимой концентрации.
Растения корнишона (Vert petit de Paris) высевают в стартовые чашки на 50/50 субстрат торфяной почвы – пуццолановой земли и выращивают при температурах около 20°С/23°С. На стадии роста 2-листьев растения опрыскивают готовым к применению препаратом биологически активных веществ приведеными расходными количествами.
Для испытания защитной активностий растений спустя 24 часа инокулируют водной суспензией спор Sphaerotheca fuliginea (100000 спор/мл). После этого растения оставляют при температуре 20°С/25°С и относительной влажности воздуха 60/70%.
Спустя 21 день после инокуляции происходит оценка. При этом 0% означает эффективность, которая соответствует контролю, в то время как эффективность 100% означает, что не наблюдается никакого поражения.
Из приведенной ниже таблицы однозначно следует, что наблюдаемая эффективность комбинации биологически активных веществ согласно данному изобретению больше рассчетной, то есть присутствует синергический эффект.
| Таблица L |
| Тест на Sphaerotheca fuliginea (корнишон)/защитный |
| Биологически активные вещества |
Расходные количества биологически активных веществ в млн.долях |
Эффективность в процентах |
| Обн.* |
Рас.** |
| (1-1) |
8 |
60 |
 |
| (6-1) Боскалид |
8 |
50 |
 |
| (1-1)+(6-1) Боскалид (1:1) |
8+8 |
98 |
80 |
| Обн.* = обнаруженная эффективность. |
| Рас.** = эффективность, рассчитанная по формуле Колби. |
Формула изобретения
1. Синергические фунгицидные комбинации биологически активных веществ, которые содержат один карбоксамид общей формулы (I) (группа 1)
, где R1 – водород или фтор, R2 – галоид, R3 – водород или галоид, А – один из следующих радикалов A1-А2:
  где R4 – (C1-C3)-алкил, R5 – (С1-С3)-галоидалкил с 2 атомами фтора, R6 – водород, R7 – (С1-С3)-алкил, R8 – (С1-С3)-галоидалкил с 2 атомами фтора, и биологически активное вещество, выбираемое из следующих групп соединений: группа (2) стробилуринов общей формулы (II)
 где А1 – одна из групп
   А2 – NH или О, А3 – N или СН, L – одна из групп
     причем химическая связь, обозначенная звездочкой (*), присоединена к фенильному кольцу, R9 означает фенил, феноксигруппу или пиридинил, которые могут быть замещены однократно или двукратно различными остатками из группы, включающей хлор, циано, метил или трифторметил, или означает 1-(4-хлорфенил)-пиразол-3-ил, R10 – водород или фтор; группа (3) триазолов общей формулы (III)
 где Q – водород или SH, m = 0 или 1, R11 – водород, фтор, хлор или фенил, R12 – водород или хлор, А4 – простая химическая связь, -СН2-, -(СН2)2 или -О-, А5 означает С, R13 – водород, гидрокси, R14 – 1-хлорциклопропил, (С1-C4)-алкил, (С1-С6)-гидроксиалкил, R13 и R14, кроме того, вместе означают -O-CH2-CH(R15)-O- или -О-СН(2-хлорфенил)-, R15 – (С1-С4)-алкил; группа (4) сульфенамида общей формулы (IV)
 где R16 – метил; группа (5) валинамидов, выбираемых из соединений (5-1) ипроваликарб, (5-2) бентиаваликарб; группа (6) карбоксамидов общей формулы (V)
 где X – 2-хлор-3-пиридинил, 1-метилпиразол-4-ил, который замещен в 3-положении трифторметилом, 1-метил-циклогексил или 3,4-дихлоризотиазол-5-ил, Y – простая химическая связь или тиофендиил, Z – группа
 или (С1-С6)-алкил, А6 – СН, R17 – водород, хлор, фенил, однократно замещенный хлором, или циано, R18 – водород или хлор, R19 – водород или гидроксигруппа, группа (7) дитиокарбаматов, выбираемых из ряда, включающего соединения (7-1) манкозеб, (7-2) пропинеб, (7-3) зинеб группа (8) ацилаланинов общей формулы (VI)
 где * означает атом углерода в R- или S-конфигурации, предпочтительно в S-конфигурации, R20 – бензил или метоксиметил; группа (9) анилино-пиримидинов общей формулы (VII)
 где R21 – метил, циклопропил; группа (10) бензимидазола общей формулы (VIII)
 где R22 и R23 каждый означает водород, R24 – водород, R25 – метоксикарбониламиногруппа; группа (11) карбаматов общей формулы (IX)
 где R26 – н- или изо-пропил, R27 – ди-((С1-С2)-алкил)амино-(С2-С4)-алкил, включая также соли этих соединений; группа (12) дикарбоксимида, представляющего собой ипродион; группа (13) имидазола, представляющего собой триазоксид; группа (14) фосфоната, представляющего собой фосетил-А1; группа (15) фунгицидов, выбираемых из соединений (15-1) хлороталонил, (15-2) спироксамин, (15-3) фенамидон; группа (16) производного мочевины, представляющего собой пенцикурон; группа (17) триазолопиримидинов, представляющих собой (17-1) 5-хлор-N-[(1S)-2,2,2-трифтор-1-метилэтил]-6(2,4,6-трифторфенил)-[1,2,4]триазоло[1,5-а]пиримидин-7-амин, (17-2) 5-хлор-N-[(1R)-1,2-диметилпропил]-6-(2,4,6-трифторфенил)[1,2,4]триазоло[1,5-а]пиримидин-7-амин.
2. Комбинации биологически активных веществ по п.1, которые содержат карбоксамид общей формулы (I) по п.1 (группа 1), где R1 – водород или фтор, R2 – хлор или бром, R3 – водород или хлор, А – А1 или А2, R4 – метил, R5 – дифторметил, R6 – водород, R7 – метил, R8 – дифторметил.
3. Комбинации биологически активных веществ по п.1, в которых биологически активные вещества групп (2)-(17) выбраны из следующего ряда соединений: (2-1) азоксистробин, (2-2) флуоксастробин, (2-3) (2E)-2-(2-{[6-(3-хлор-2-метилфенокси)-5-фтор-4-пиримидинил]окси}фенил)-2-(метоксиимино)-N-метилэтанамид, (2-4) трифлоксистробин, (2-5) крезоксим-метил, (2-6) пикоксистробин, (2-7) пираклостробин, (3-2) пропиконазол, (3-4) эпоксиконазол, (3-5) протиоконазол, (3-6) тебуконазол, (3-7) битертанол, (4-1) толилфлуанид, (5-1) ипроваликарб, (6-1) боскалид, (6-3) фенгексамид, (6-4) 3,4-дихлор-N-(2-цианофенил)изотиазол-5-карбоксамид, (6-5) пентиопирад, (7-1) манкозеб, (7-2) пропинеб, (8-3) металаксил-М, (8-4) беналаксил-М, (9-2) пириметанил, (10-1) карбендазим, (11-1) пропамокарб, (11-2) пропамокарб-гидрохлорид, (12) ипродион, (13) триазоксид, (14) фосетил-А1, (15-1) хлороталонил, (15-2) спироксамин, (16) пенцикурон, (17-1) 5-хлор-N-[(1S)-2,2,2-трифтор-1-метилэтил]-6-(2,4,6-трифторфенил)[1,2,4]триазоло[1,5-а]-пиримидин-7-амин, (17-2) 5-хлор-N-[(1R)-1,2-диметилпропил]-6-(2,4,6-трифторфенил)[1,2,4]триазоло[1,5-а]пиримидин-7-амин.
4. Комбинации биологически активных веществ по п.1, которые содержат карбоксамид (1-1) N-(3 ,4 -дихлор-5-фтор-1,1 -бифенил-2-ил)-3-(дифторметил)-1-метил-1Н-пиразол-4-карбоксамид (группа 1) и биологически активное вещество, которое выбирают из групп (2)-(17) по п.1.
5. Комбинации биологически активных веществ по п.1, которые содержат карбоксамид (1-1) N-(3 ,4 -дихлор-5-фтор-1,1 -бифенил-2-ил)-3-(дифторметил)-1-метил-1Н-пиразол-4-карбоксамид (группа 1) и биологически активное вещество, которое выбирают из групп (2)-(17) по п.3.
6. Комбинации биологически активных веществ по п.1, которые содержат карбоксамид (1-4) N-(4 -бром-1,1 -бифенил-2-ил)-4-(дифторметил)-2-метил-1,3-тиазол-5-карбоксамид (группа 1) и биологически активное вещество, которое выбирают из групп (2) и (3) по п.1.
7. Комбинации биологически активных веществ по п.1, которые содержат карбоксамид (1-4) N-(4 -бром-1,1 -бифенил-2-ил)-4-(дифторметил)-2-метил-1,3-тиазол-5-карбоксамид (группа 1) и биологически активное вещество, которое выбирают из групп (2) и (3) по п.3.
8. Применение комбинаций биологически активных веществ по п.1 для борьбы с нежелательными фитопатогенными грибами.
|
|