|
(21), (22) Заявка: 2009105417/09, 18.02.2009
(24) Дата начала отсчета срока действия патента:
18.02.2009
(46) Опубликовано: 10.02.2010
(56) Список документов, цитированных в отчете о поиске:
RU 72105 U1, 27.03.2008. RU 2308149 С2, 10.10.2007. WO 9014718 А1, 29.11.1990. US 4580288 A, 01.04.1986.
Адрес для переписки:
141006, Московская обл., г. Мытищи-6, ФГУ 16 ЦНИИИ МО РФ, Заместителю начальника института по научной работе, О.В. Смирнову
|
(72) Автор(ы):
Голубев Владимир Николаевич (RU), Балюков Валерий Михайлович (RU), Вергелис Николай Иванович (RU), Чумиков Эдуард Евгеньевич (RU)
(73) Патентообладатель(и):
Федеральное государственное учреждение 16 Центральный научно-исследовательский испытательный институт Министерства обороны Российской Федерации имени маршала войск связи А.И. Белова (RU)
|
(54) СПОСОБ РАДИОПРИЕМА В КОРОТКОВОЛНОВОМ ДИАПАЗОНЕ ВОЛН
(57) Реферат:
Изобретение относится к области радиосвязи и может быть использовано в радиоприемных устройствах, работающих в коротковолновом (KB) диапазоне волн. Целью изобретения является повышение помехозащищенности радиоприема. Сущность предлагаемого способа радиоприема в KB диапазоне волн состоит в следующем. Принятые радиосигналы KB диапазона волн фильтруются полосовым фильтром, в аттенюаторе осуществляется регулирование и ослабление уровней сигналов вне полосы рабочих частот, производится деление спектра принятого сигнала на более узкие полосы пропускания с помощью узкополосных фильтров, далее обеспечивается подавление второй и более высоких гармоник помех вне полосы каждого из узкополосных переключаемых фильтров, осуществляется согласование уровней сигналов, поступающих с выхода одного из n узкополосных фильтров, сигналы усиливаются и подвергаются аналого-цифровому преобразованию, на основании которого формируется цифровой код полезных сигналов и цифровой фильтр, сигналы с выхода которого используются для дальнейшей обработки. 1 ил.
Изобретение относится к области радиосвязи и может быть использовано в радиоприемных устройствах, работающих в коротковолновом (KB) диапазоне волн.
Известен целый ряд радиоприемных устройств с частотной модуляцией сигналов, в которых реализован способ радиоприема, включающий прием радиосигналов антенной, усиление сигналов высокой частоты (ВЧ), преобразование сигналов до промежуточной частоты (ПЧ), усиление сигналов ПЧ и детектирование сигналов ПЧ [1, 2, 3].
Недостатком известных радиоприемных устройств, в которых реализован указанный способ радиоприема, является их низкая помехоустойчивость из-за наличия в тракте приема преобразователей частоты, вносящих основной вклад в нелинейность тракта радиочастоты.
Одним из путей решения задачи повышения помехоустойчивости является исключение в способе радиоприема процессов преобразования частоты в высокочастотной части тракта приема и применение аналого-цифрового преобразования сигналов в узкой полосе частот.
Наиболее близким по технической сущности к предлагаемому изобретению является способ радиоприема, заключающийся в приеме антенной входных радиосигналов в широком диапазоне частот, в сужении полосы частот путем выделения спектра сигналов с помощью полосового фильтра, усилении сигналов с помощью широкополосного усилителя и последующем аналого-цифровом преобразовании принятых сигналов; структурная схема приемного тракта, в котором реализован указанный способ, приведена на с.55, рис.1 в [4].
Для реализации упомянутого способа использовано устройство, содержащее антенну, соединенную со входом полосового фильтра, выход которого через широкополосный усилитель соединен со входом аналого-цифрового преобразователя (АЦП), выход которого соединен со входом устройства обработки цифрового сигнала.
Недостатком известного способа радиоприема является недостаточная помехозащищенность тракта приема устройства по причине несогласования динамического диапазона входных сигналов и широкополосного усилителя совместно с АЦП.
Целью изобретения является повышение помехозащищенности радиоприема.
Поставленная цель достигается тем, что в способе радиоприема в коротковолновом (KB) диапазоне волн, заключающемся в приеме радиосигналов в широком диапазоне частот, в сужении этого диапазона частот путем выделения спектра сигналов KB диапазона волн, уровни выделенных радиосигналов спектра KB диапазона волн регулируются в полосе рабочих частот, затем из всего спектра KB диапазона волн выделяются сигналы одной из n узких полос частот, которые усиливаются и подвергаются аналого-цифровому преобразованию, на основании которого формируется цифровой код полезных сигналов и цифровой фильтр, сигналы с выхода которого используются для дальнейшей обработки.
Сопоставительный анализ с прототипом показывает, что заявляемый способ радиоприема в KB диапазоне волн отличается от известного наличием процессов регулирования уровней выделенных радиосигналов спектра KB диапазона волн в рабочем диапазоне частот, выделения из всего спектра KB диапазона волн сигналов одной из n узких полос частот, которые усиливаются и подвергаются аналого-цифровому преобразованию, на основании которого формируется цифровой код полезных сигналов и цифровой фильтр, а устройство для его реализации отличается наличием новых блоков: аттенюатора, первого и второго электронных коммутаторов, блока переключаемых фильтров, состоящего из n узкополосных фильтров, цифрового фильтра, выходного устройства и блока управления настройкой рабочих частот, а также изменениями связей между известными элементами схемы.
Таким образом, заявляемый способ радиоприема в KB диапазоне волн соответствует критерию изобретения “новизна”. Сравнение заявляемого решения по способу и устройству для реализации упомянутого способа с другими техническими решениями показывает, что введенные в устройство для реализации способа блоки широко известны [1, 2, 4,] и для их реализации не потребуется дополнительного технического творчества.
Сравнение заявленного способа радиоприема с известным способом показывает, что в предлагаемом способе радиоприема динамический диапазон линейности тракта приема изменяется вследствие сужения полосы частот полосовым фильтром и одним из узкополосных фильтров, сигналы с выхода которого через усилитель поступают на АЦП полосы частот для преобразования и последующего формирования цифрового кода полезных сигналов. Повышение динамического диапазона и согласование уровней сигналов приводит к повышению помехозащищенности тракта приема радиоприемного устройства.
Выполнение указанных операций и введение новых блоков в указанной связи с остальными элементами схемы в устройство для реализации заявляемого способа радиоприема в KB диапазоне волн приводит к повышению помехозащищенности тракта приема радиоприемного устройства. Это позволяет сделать вывод о соответствии предлагаемого способа радиоприема и технического решения по его реализации критерию “существенные отличия”.
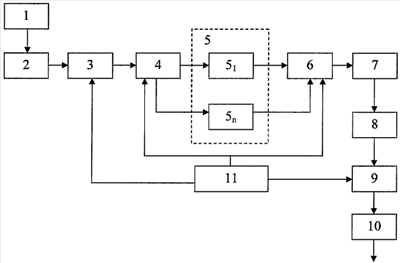
На чертеже представлена структурная электрическая схема устройства, реализующая способ радиоприема в KB диапазоне волн согласно изобретению.
Сущность предлагаемого способа радиоприема в KB диапазоне волн состоит в следующем. Принятые антенной радиосигналы KB диапазона волн фильтруются полосовым фильтром, при этом подавляются помехи вне диапазона волн полосовым фильтром. В аттенюаторе осуществляется регулирование уровней сигналов в полосе рабочих частот, производится деление спектра принятого сигнала на более узкие полосы пропускания с помощью узкополосных фильтров. Далее обеспечивается подавление второй и более высоких гармоник помех вне полосы каждого из узкополосных переключаемых фильтров, осуществляется преобразование аналогового сигнала в цифровой код и формирование цифрового фильтра с необходимой полосой пропускания. Управление регулируемой степенью ослабления уровней сигналов вне полосы рабочих частот и выбор одного из n переключаемых фильтров осуществляется под действием сформированных сигналов управления.
Устройство, реализующее предложенный способ радиоприема, содержит антенну 1, полосовой фильтр 2, аттенюатор 3, первый электронный коммутатор 4, блок 5 переключаемых фильтров, второй электронный коммутатор 6, широкополосный усилитель 7 высокой частоты (ВЧ), аналого-цифровой преобразователь (АЦП) 8 полосы частот, цифровой фильтр 9, выходное устройство 10 и блок 11 управления настройкой рабочих частот.
Выход антенны 1 через последовательно соединенные полосовой фильтр 2 и аттенюатор 3 подключен ко входу первого электронного коммутатора 4, первый выход которого соединен со входом первого узкополосного фильтра блока 5 переключаемых фильтров, выход которого соединен с первым входом второго электронного коммутатора 6. Второй и n-й выходы первого электронного коммутатора 4 подключены соответственно ко второму и n-му входам узкополосных фильтров блока 5 переключаемых фильтров, а выходы второго и n-го узкополосных фильтров блока 5 переключаемых фильтров подключены соответственно ко второму и n-му входам второго электронного коммутатора 6, выход которого через широкополосный усилитель ВЧ 7 соединен со входом АЦП полосы частот 8, выход которого соединен со входом цифрового фильтра 9, выход которого соединен со входом выходного устройства 10, сигналы с выхода которого подаются к оконечным устройствам обработки сигналов.
Управляющий вход аттенюатора 3 соединен с первым управляющим выходом блока 11 управления настройкой рабочих частот, вторые управляющие выходы которого подключены к управляющим входам первого 4 и второго 6 электронных коммутаторов, а третьи управляющие выходы блока 11 управления настройкой рабочих частот РПУ соединены с управляющими входами цифрового фильтра 9.
Антенна 1 предназначена для приема из эфира радиосигналов во всем диапазоне радиочастот.
Полосовой фильтр 2 осуществляет выделение из поступивших с выхода антенны 1 сигналов всего KB диапазона рабочих частот.
Аттенюатор 3 выполнен с регулируемой степенью ослабления и предназначен для ослабления уровней сигналов в полосе рабочих частот радиоприемного устройства.
Первый 4 и второй 6 электронные коммутаторы предназначены для коммутации соответственно входа и выхода одного из n узкополосных фильтров блока 5 на вход широкополосного усилителя ВЧ 7. При этом первый электронный коммутатор 4 имеет один вход и n выходов (по числу узкополосных фильтров), а второй электронный коммутатор 6 имеет n входов и один выход. Выбор конкретного (первого или n-го) узкополосного фильтра осуществляется под действием управляющих сигналов, поступающих одновременно на управляющие входы первого 4 и второго 6 электронных коммутаторов с выхода блока 11 управления настройкой рабочих частот РПУ. Для включения, например, первого узкополосного фильтра блока 5 первый выход первого электронного коммутатора 4 подключается ко входу первого узкополосного фильтра, а выход первого узкополосного фильтра соединяется с первым входом второго электронного коммутатора 6, выход которого соединяется со входом широкополосного усилителя ВЧ 7. Включение в работу других узкополосных фильтров блока 5 осуществляется аналогично.
Блок 5 переключаемых фильтров включает в себя n узкополосных фильтров и предназначен для повышения помехозащищенности радиоприема за счет дополнительного подавления внеполосных помех. Полосы пропускания каждого из n узкополосных фильтров и их число выбирается таким образом, чтобы обеспечить подавление второй и более высоких гармоник помех вне полосы каждого из переключаемых фильтров. Выделение части полосы пропускания из KB диапазона волн с помощью узкополосных фильтров осуществляется для уменьшения динамического диапазона уровней сосредоточенных помех, поступающих на вход АЦП полосы частот 8, и тем самым обеспечивается согласование этого диапазона с динамическим диапазоном АЦП 8.
Широкополосный усилитель ВЧ 7 предназначен для усиления и согласования уровней сигналов, поступающих с выхода одного из n узкополосных фильтров, с динамическим диапазоном АЦП полосы частот 8.
АЦП полосы частот 8 предназначен для преобразования аналоговых сигналов, поступивших с выхода широкополосного усилителя ВЧ 7, в цифровой код.
Цифровой фильтр 9 осуществляет формирование в цифровом виде с необходимой полосой пропускания спектра путем выбора одного из участков спектра сигналов, описываемого цифровым кодом, поступающего с выхода АЦП полосы частот 8.
Выходное устройство 10 предназначено для согласования цепей и уровня сигналов с оконечными устройствами обработки сигналов.
Блок управления 11 настройкой рабочих частот РПУ предназначен для формирования управляющих сигналов, посредством которых осуществляется регулирование уровней принимаемых сигналов и выбор одного из n узкополосных фильтров блока 5 переключаемых фильтров и формирования цифрового фильтра.
Блок 11 управления может включать в себя также контроллер, в память которого внесены характеристики графических зависимостей границы полос пропускания полосового фильтра 2, узкополосных фильтров блока 5 и частот побочных каналов приема (ПКП) в выбранных координатах отстроек в зависимости от частоты настройки радиоприемного устройства.
В качестве блока 11 управления настройкой рабочих частот РПУ может быть использован известный однокристальный 8-разрядный микроконтроллер КМ1816 ВЕ48, называемый для краткости МК 1816. Микроконтроллер МК 1816 представляет собой большую интегральную схему (БИС), имеющую в своем составе все атрибуты небольшой микроЭВМ: арифметико-логическое устройство, устройство управления, постоянное ЗУ программ, ОЗУ данных и интерфейсные схемы [5].
Устройство работает следующим образом.
Радиосигналы в широком диапазоне частот с выхода антенны 1 поступают на вход полосового фильтра 2, который выделяет весь спектр частот KB диапазона волн и подает его на вход аттенюатора 3, в котором осуществляется регулирование и ослабление уровней сигналов вне полосы рабочих частот радиоприемного устройства, необходимое для согласования с динамическим диапазоном АЦП полосы частот 8.
С выхода аттенюатора 3 сигналы спектра KB диапазона волн через первый электронный коммутатор 4 поступают на входы одного из n узкополосных фильтров блока 5 переключаемых фильтров. Сигналы с выхода одного из n узкополосных фильтров блока 5 поступают на один из входов второго электронного коммутатора 6, причем одновременно задействуется только один из n узкополосных фильтров блока 5 переключаемых фильтров и, соответственно, сигналы проходят, например, с выхода первого узкополосного фильтра блока 5 переключаемых фильтров на первый вход второго электронного коммутатора 6, а сигналы с выхода второго узкополосного фильтра блока 5 поступают на второй вход второго электронного коммутатора 6 и т.д.
Сигналы с выхода второго электронного коммутатора 6 поступают на вход широкополосного усилителя ВЧ 7, который осуществляет усиление спектра сигналов, выделенных каждым из n узкополосных фильтров блока 5 переключаемых фильтров, и подачу усиленного блоком 7 спектра сигналов на вход АЦП полосы частот 8. АЦП полосы частот 8 осуществляет аналого-цифровое преобразование поступившего спектра сигналов в цифровой код полезных сигналов, который поступает на вход цифрового фильтра 9. В блоке 9 производится формирование цифрового фильтра на основании образованного в АЦП 8 цифрового кода, сигналы с выхода цифрового фильтра 9 через выходное устройство 10 поступают на оконечные устройства для дальнейшей обработки.
Техническая эффективность от предлагаемого способа радиоприема в коротковолновом диапазоне волн заключается в повышении помехозащищенности приема сигналов, достигаемого за счет ослабления внеполосных помех полосовым фильтром и дополнительного подавления внеполосных помех с помощью узкополосных фильтров, включая подавление второй и более высоких гармоник помех вне полосы пропускания каждого из переключаемых фильтров.
Реализация предлагаемого способа радиоприема в коротковолновом диапазоне волн и устройства для его реализации в радиоприемных устройствах приводит к технической и экономической выгодам, поскольку за счет выполнения полосового фильтра и узкополосных фильтров с использованием миниатюрных элементов с сосредоточенными параметрами и улучшенными показателями по надежности достигается существенное сокращение массогабаритных характеристик радиоприемного устройства в целом и снижение финансовых затрат на производство РПУ.
Источники информации
1. Чистяков Н.И. и др. Радиоприемные устройства. – М.: Связьиздат, 1959, с.16-17.
2. Арсланов М.З., Рябков В.Ф. Радиоприемные устройства. – М.: Советское радио, 1973, с.328, рис.12.2, с.364, рис.13.1.
3. USA патент 3011023, кл. Н04L 27/14, 1961.
4. Антенны. Научно-технический и теоретический журнал 12 (139), 2008 г., с.55-58, рис.1 (прототип).
5. Каган Б.М., Сташин В.В. Основы проектирования микропроцессорных устройств автоматики. – М.: Энергоатомиздат, 1987.
Формула изобретения
Способ радиоприема в коротковолновом (KB) диапазоне волн, заключающийся в приеме радиосигналов в широком диапазоне частот, в сужении этого диапазона частот путем выделения спектра сигналов КВ-диапазона волн, регулировании уровней выделенных радиосигналов спектра KB-диапазона волн в полосе рабочих частот, затем из всего спектра KB-диапазона волн выделяются сигналы одной из n узких полос частот, которые усиливаются и подвергаются аналого-цифровому преобразованию, отличающийся тем, что дополнительно осуществляют подавление внеполосных помех за счет подавления второй и более высоких гармоник помех вне полосы каждого из переключаемых фильтров с более узкими полосами пропускания, а также осуществляют согласование уровней сигналов, поступающих с выхода одного из n узкополосных фильтров, с динамическим диапазоном АЦП полосы частот, на основании преобразованных сигналов одной из n более узких полос частот формируется цифровой код сигналов и цифровой фильтр, сигналы с выхода которого используются для дальнейшей обработки.
РИСУНКИ
|