|
(21), (22) Заявка: 2008110347/06, 08.08.2008
(24) Дата начала отсчета срока действия патента:
08.08.2008
(43) Дата публикации заявки: 27.06.2009
(46) Опубликовано: 10.02.2010
(56) Список документов, цитированных в отчете о поиске:
Габрианович Б.Н., Рухадзе В.К. Исследование межканального перемешивания теплоносителя в пучках гладких стержней с помощью фреонового метода. Сб. трудов межотраслевой конференции «Теплофизические исследования-76». М.: ВИМИ, 1977, с.23-33. RU 2003129705 А, 04.10.2005. SU 1091744 А, 30.01.1985. US 118461 A, 02.06.1992. EP 0380280 A2, 01.08.1990.
Адрес для переписки:
249033, Калужская обл., г. Обнинск, пл. Бондаренко, 1, ФГУП “ГНЦ РФ-ФЭИ”, Патентный отдел, пат.пов. В.Н.Дельнову
|
(72) Автор(ы):
Дельнов Валерий Николаевич (RU), Габрианович Борис Николаевич (RU)
(73) Патентообладатель(и):
Федеральное государственное унитарное предприятие “Государственный научный центр Российской Федерации-Физико-энергетический институт имени А.И. Лейпунского” (RU)
|
(54) СПОСОБ ОПРЕДЕЛЕНИЯ ОТНОСИТЕЛЬНОГО ЭФФЕКТИВНОГО КОЭФФИЦИЕНТА МЕЖКАНАЛЬНОГО МАССОПЕРЕНОСА В ПУЧКЕ СТЕРЖНЕЙ
(57) Реферат:
Изобретение относится к способам контроля теплоносителя ядерного реактора. Через каналы пучков идентичных и различных стержней прокачивают воздушный поток. Впускают газообразный химический трассер в каналы пучков стержней. Отбирают пробы из потока воздуха отборным зондом в различных точках по длине каналов пучков стержней. Определяют концентрации трассера в пробе и рассчитывают их относительные значения. Относительные длины характерных участков пучков стержней определяют по соотношениям с учетом относительной длины каналов пучка, на которой трассер из исходного канала пучка вторично попадает в исходный канал, и относительного шага периодического изменения ориентации поперечного сечения стержней. Вычисляют среднюю относительную концентрацию трассера в рядах каналов пучка для идентичных стержней и в исходном канале и двух смежных с ним для различных стержней, после чего определяют относительный эффективный коэффициент межканального массообмена в пределах характерного участка пучка стержней по приближенным соотношениям с учетом относительных концентраций трассера и расстояния от сечения впуска трассера в канал пучка соответственно до входного и выходного поперечных сечений характерного участка пучка. Изобретение направлено на расширение функциональных возможностей способа исследования процессов перемешивания потоков в пучках. 7 з.п. ф-лы.
Изобретение относится к измерительной технике и может быть использовано при определении относительного эффективного коэффициента межканального массопереноса в пучках стержней.
Известен способ определения эффективного коэффициента межканального массообмена в пучках витых труб [Дзюбенко Б.В., Ашмантис Л.-В., Сегаль М.Д. Моделирование стационарных и переходных теплогидравлических процессов в каналах сложной формы. Вильнюс. Pradai, 1994 г. С.101-112].
В указанном способе эффективный коэффициент межканального массообмена определяют при прокачке теплоносителя через экспериментальный участок методом диффузии тепла от группы витых труб, нагреваемых электрическим током. В поперечном сечении трубного пучка создают неравномерность поля энерговыделения или теплоотвода, которая формирует неравномерность поля температуры теплоносителя. Для параметров, реализованных в эксперименте, рассчитывают поля температур теплоносителя в выходном сечении и в том же сечении экспериментально термопарами измеряют поле температуры теплоносителя. Экспериментально определяют безразмерную температуру теплоносителя в различных точках выходного поперечного сечения пучка в ядре потока. На графики наносят экспериментальные поля температур теплоносителя и результаты расчета температур теплоносителя при различных безразмерных коэффициентах межканального массообмена. Эффективный коэффициент межканального массообмена определяют путем сопоставления расчетных и экспериментальных профилей температур в выходном сечении пучка стержней.
Недостатком способа является отсутствие возможности определения относительного эффективного коэффициента межканального массопереноса в пучках различных стержней.
Наиболее близким по технической сущности к заявляемому техническому решению является способ определения относительного коэффициента межканального массообмена в пучках круглых цилиндрических стержней с треугольной компоновкой [Габрианович Б.Н., Рухадзе В.К. Исследование межканального перемешивания теплоносителя в пучках гладких стержней с помощью фреонового метода. Сб. трудов межотраслевой конференции «Теплофизические исследования-76». г.Обнинск. 1977. М.: ВИМИ, 1977. С.23-33].
В указанном способе для определения относительного коэффициента межканального массообмена воздушный поток прокачивают через каналы пучка стержней, фреоновый трассер подают в поток воздуха канала пучка стержней, с помощью отборного зонда отбирают пробу из различных точек по длине каналов пучка, подают пробу в систему анализа проб и прокачивают ее через датчик галоидного течеискателя, по показаниям измерительного блока галоидного течеискателя по градуировочной характеристике определяют концентрации трассера в воздушном потоке. Определяют относительные концентрации трассера в каналах пучка. Вычисляют средние относительные концентрации трассера в рядах идентичных каналов пучка, соответствующие идентичным поперечным сечениям его проточной части. Относительный коэффициент межканального массообмена определяют с использованием относительных концентраций трассера в исходном канале пучка и средних относительных концентраций трассера в рядах сходственных каналов по соотношению, полученному с использованием дифференциального уравнения межканального массообмена, записанного для пучка стержней с треугольной компоновкой.
Недостатком известного способа является отсутствие возможности определения относительного эффективного коэффициента межканального массопереноса в пучках различных стержней.
Технический результат изобретения состоит в расширении возможности способа исследования процессов перемешивания потоков в пучках различных стержней.
Для исключения указанного недостатка в способе определения относительного эффективного коэффициента межканального массопереноса в пучке стержней, включающем процедуру определения относительного эффективного коэффициента межканального массообмена в пучке идентичных стержней, прокачку воздушного потока через каналы пучка идентичных стержней, впуск газообразного химического трассера в канал пучка идентичных стержней, отбор пробы из потока воздуха отборным зондом в различных точках по длине каналов пучка идентичных стержней, подачу пробы в систему анализа проб и прокачку ее через датчик галоидного течеискателя, определение по показаниям измерительного блока галоидного течеискателя по градуировочной характеристике концентрации трассера в пробе, определение относительной концентрации трассера в каналах пучка идентичных стержней, вычисление средней относительной концентрации трассера в рядах идентичных каналов пучка идентичных стержней, соответствующей идентичным поперечным сечениям его проточной части, определение относительного эффективного коэффициента межканального массообмена в пучке идентичных стержней путем подстановки экспериментальных относительных концентраций химического трассера в приближенное соотношение, полученное из дифференциального уравнения межканального массообмена для случая впуска химического трассера в канал пучка с треугольной компоновкой стержней предлагается:
– относительный эффективный коэффициент межканального массообмена определять в пределах характерного участка пучка идентичных стержней;
– в качестве характерного участка выбирать участок, на котором в исходном канале и каналах первого ряда пучка идентичных стержней имеет место трассер, в исходном канале пучка идентичных стержней имеет место уменьшение концентрации трассера по ходу воздушного потока, в поперечных сечениях каналов пучка идентичных стержней относительная концентрация трассера в исходном канале пучка выше, чем в каналах первого ряда пучка, а в каналах первого ряда пучка концентрация трассера выше, чем в каналах второго ряда пучка;
– в результате сравнения друг с другом распределений относительной концентрации трассера в каналах пучка определять относительную продольную длину каналов пучка идентичных стержней, на которой трассер из одного канала пучка попадает в другой смежный с ним канал;
– при условии наличия трассера в исходном канале пучка идентичных стержней и каналах первого ряда пучка и отсутствия трассера в каналах второго ряда пучка относительный эффективный коэффициент межканального массообмена в пучке идентичных стержней определять по приближенному соотношению с учетом относительной концентрации трассера в исходном канале пучка идентичных стержней, средних относительных концентраций трассера в канале первого ряда пучка идентичных стержней, относительных расстояний от сечения впуска трассера в канал пучка идентичных стержней соответственно до входного и выходного поперечных сечений характерного участка пучка;
– при условии наличия трассера в исходном канале пучка идентичных стержней, каналах первого и второго рядов пучка и отсутствия трассера в каналах третьего ряда пучка относительный эффективный коэффициент межканального массообмена в пучке идентичных стержней определять по приближенному соотношению с учетом относительной концентрации трассера в исходном канале пучка идентичных стержней, средних относительных концентраций трассера соответственно в каналах первого и второго рядов пучка идентичных стержней, относительных расстояний от сечения впуска трассера в канал пучка идентичных стержней соответственно до входного и выходного поперечных сечений характерного участка пучка;
– определять относительную длину каналов пучка идентичных стержней, на которой трассер из исходного канала пучка вторично попадает в исходный канал по соотношению с учетом числа зазоров между идентичными стержнем и окружающими его стержнями в центральной части пучка идентичных стержней и относительной длины канала пучка идентичных стержней, на которой трассер из одного канала пучка попадает в другой смежный с ним канал;
– в пучке идентичных стержней, в которых относительный шаг периодического изменения ориентации поперечного сечения стержней больше, меньше или равен относительной длине канала пучка, на которой трассер из исходного канала пучка вторично попадает в исходный канал, относительную длину характерного участка пучка выбирать соответственно с учетом соотношений, учитывающих относительную длину каналов пучка идентичных стержней, на которой трассер из исходного канала пучка вторично попадает в исходный канал, и относительного шага периодического изменения ориентации поперечного сечения стержней;
– отсчет рядов каналов в пучке идентичных стержней начинать от исходного канала.
Затем при определении относительного эффективного коэффициента межканального массопереноса в пучке различных стержней предлагается:
– прокачивать воздушный поток через каналы пучка различных стержней;
– впускать газообразный химический трассер в канал пучка различных стержней;
– отбирать пробу из потока воздуха отборным зондом в различных точках по длине каналов пучка различных стержней;
– подавать пробу в систему анализа проб и прокачивать ее через датчик галоидного течеискателя;
– определять по показаниям измерительного блока галоидного течеискателя по градуировочной характеристике концентрации трассера в пробе;
– определять относительную концентрацию трассера в каналах пучка различных стержней;
– относительный эффективный коэффициент межканального массопереноса в пучке различных стержней определять в пределах характерного участка пучка стержней;
– в качестве характерного участка пучка стержней выбирать участок, на котором в исходном канале пучка и двух смежных с ним каналах, сообщенных с ним соответственно через зазоры между идентичными и различными стержнями, имеет место трассер, в третьем канале пучка, смежном с исходным каналом и сообщенном с ним через зазор между различным стержнями, трассер отсутствует, в исходном канале пучка различных стержней имеет место уменьшение концентрации трассера по ходу воздушного потока, в поперечных сечениях каналов пучка различных стержней относительная концентрация трассера в исходном канале пучка выше, чем в смежных с ним каналах;
– в результате сравнения друг с другом распределений относительной концентрации трассера в каналах пучка различных стержней определять относительную длину каналов пучка, на которой трассер из одного канала пучка попадает в другой смежный с ним канал через зазор между различными стержнями;
– относительный эффективный коэффициент межканального массопереноса в пучке различных стержней определять по приближенному соотношению с учетом относительной концентрации трассера в исходном канале пучка различных стержней, относительных концентраций трассера в смежных с исходным каналом пучка каналах, сообщенных с ним соответственно через зазоры между идентичными и различными стержнями, относительного эффективного коэффициента межканального массообмена и относительных расстояний от сечения впуска трассера в канал пучка различных стержней соответственно до входного и выходного поперечных сечений характерного участка пучка;
– применительно к каждому стержню, образующему исходный канал пучка различных стержней, определять относительную длину каналов пучка различных стержней, в пределах которой трассер из исходного канала пучка вторично попадает в исходный канал, по соотношению с учетом числа зазоров между стержнем и окружающими его стержнями в центральной части пучка и относительной длины каналов пучка стержней, на которой трассер из одного канала пучка попадает в другой смежный с ним канал;
– в результате сравнения выбирать относительную минимальную длину каналов пучка различных стержней, на которой трассер из исходного канала пучка вторично попадает в исходный канал;
– в пучках различных стержней, в которых относительный шаг периодического изменения ориентации поперечного сечения стержней больше, меньше или равен относительной минимальной длине каналов пучка различных стержней, на которой трассер из исходного канала пучка вторично попадает в исходный канал, относительную длину характерного участка пучка различных стержней выбирать соответственно с учетом относительной минимальной длины каналов пучка различных стержней, на которой трассер из исходного канала пучка вторично попадает в исходный канал, или относительного шага периодического изменения ориентации поперечного сечения стержней;
– в качестве масштабного фактора при определении относительных эффективного коэффициента межканального массообмена, эффективного коэффициента межканального массопереноса, шага периодического изменения ориентации поперечного сечения стержней, длин и расстояний в пучках идентичных и различных стержней использовать характерный размер элементов их конструкции, а при определении относительной концентрации трассера – его характерную концентрацию.
В частных случаях реализации способа предлагается;
– в пучке круглых цилиндрических стержней с дистанционирующими спиральными ребрами на поверхности в качестве характерного размера использовать описанный диаметр, соответствующий положению наружных частей дистанционирующих ребер;
– в пучке стержней некруглого поперечного сечения с продольной осевой закруткой в качестве характерного размера использовать описанный диаметр стержней;
– в качестве химического трассера использовать газообразный фреон;
– в качестве характерной концентрации трассера использовать его максимальную концентрацию в канале, в который впускают трассер;
– в качестве характерной концентрации трассера использовать его среднесмешанную концентрацию в проточной части пучка;
– в пучках стержней некруглого поперечного сечения с продольной осевой закруткой в качестве шага периодического изменения ориентации поперечного сечения стержней использовать шаг их продольной осевой закрутки;
– в пучках круглых цилиндрических стержней со спиральными дистанционирующими ребрами на поверхности в качестве шага периодического изменения ориентации поперечного сечения стержней использовать шаг продольной спиральной навивки дистанционирующих ребер.
Способ состоит из двух стадий, включающих процедуру определения относительного эффективного коэффициента межканального массообмена в пучке идентичных стержней и процедуру определения относительного эффективного коэффициента межканального массопереноса в пучке различных стержней.
При определении относительного эффективного коэффициента межканального массообмена в пучке идентичных стержней выполняют следующие операции.
Воздушный поток прокачивают через каналы пучка идентичных стержней. Газообразный химический трассер впускают в канал пучка идентичных стержней. В частном случае реализации способа в качестве химического трассера применяют газообразный фреон.
Пробу из потока воздуха отбирают отборным зондом в различных точках по длине каналов пучка идентичных стержней.
Отобранную пробу подают в систему анализа проб и прокачивают ее через датчик галоидного течеискателя.
По показаниям измерительного блока галоидного течеискателя по градуировочной характеристике определяют концентрацию трассера в пробе.
Определяют относительную концентрацию трассера в каналах пучка идентичных стержней.
Вычисляют среднюю относительную концентрацию трассера в рядах идентичных каналов пучка идентичных стержней, соответствующую идентичным поперечным сечениям его проточной части.
Относительный эффективный коэффициент межканального массообмена определяют в пределах характерного участка пучка идентичных стержней.
В качестве характерного участка пучка выбирают участок, который соответствует следующим условиям:
– в исходном канале и каналах первого ряда пучка идентичных стержней имеет место трассер;
– в исходном канале пучка идентичных стержней имеет место уменьшение концентрации трассера по ходу воздушного потока;
– в поперечных сечениях каналов пучка идентичных стержней относительная концентрация трассера в исходном канале пучка выше, чем в каналах первого ряда пучка;
– в каналах первого ряда пучка концентрация трассера выше, чем в каналах второго ряда пучка.
В результате сравнения друг с другом распределений относительной концентрации трассера в каналах пучка определяют относительную длину каналов пучка идентичных стержней, на которой трассер из одного канала пучка попадает в другой смежный с ним канал.
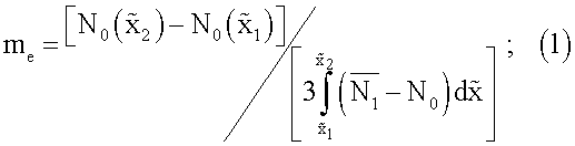
При условии наличия трассера в исходном канале пучка идентичных стержней и каналах первого ряда пучка и отсутствия трассера в каналах второго ряда пучка относительный эффективный коэффициент межканального массообмена в пучке идентичных стержней определяют по следующему приближенному соотношению:

При условии наличия трассера в исходном канале пучка идентичных стержней, каналах первого и второго рядов пучка и отсутствия трассера в каналах третьего ряда пучка относительный эффективный коэффициент межканального массообмена в пучке идентичных стержней определяют по следующему приближенному соотношению:

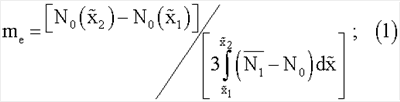
В соотношениях (1) и (2) приняты следующие обозначения: me – относительный эффективный коэффициент межканального массообмена; N0 – относительная концентрация трассера в исходном канале пучка идентичных стержней; и – средние относительные концентрации трассера соответственно в каналах первого и второго рядов пучка идентичных стержней; и – относительные расстояния от сечения впуска трассера в канал пучка идентичных стержней соответственно до входного и выходного поперечных сечений характерного участка пучка.
Затем определяют относительную длину каналов пучка идентичных стержней, на которой трассер из исходного канала пучка в результате прохождения вокруг стержня вторично попадает в исходный канал, по соотношению

где – относительная длина каналов пучка идентичных стержней, на которой трассер из исходного канала пучка вторично попадает в исходный канал, n1 – число зазоров между идентичными стержнем и окружающими его стержнями в центральной части пучка идентичных стержней; – относительная длина канала пучка идентичных стержней, на которой трассер из одного канала пучка попадает в другой смежный с ним канал.
Далее в пучке идентичных стержней, в которых относительный шаг периодического изменения ориентации поперечного сечения стержней больше, меньше или равен относительной длине канала пучка, на которой трассер из исходного канала пучка вторично попадает в исходный канал, относительную длину характерного участка пучка выбирают соответственно с учетом соотношений



где – относительная длина характерного участка пучка идентичных стержней; – относительная длина каналов пучка идентичных стержней, на которой трассер из исходного канала пучка вторично попадает в исходный канал; – относительный шаг периодического изменения ориентации поперечного сечения стержней.
Отсчет рядов каналов в пучке идентичных стержней начинают от исходного канала пучка.
На втором этапе при определении относительного эффективного коэффициента межканального массопереноса в пучке различных стержней выполняют следующие операции.
Прокачивают воздушный поток через каналы пучка различных стержней.
Впускают газообразный химический трассер в канал пучка различных стержней.
Отбирают пробу из потока воздуха отборным зондом в различных точках по длине каналов пучка различных стержней.
Подают пробу в систему анализа проб и прокачивают ее через датчик галоидного течеискателя.
Определяют по показаниям измерительного блока галоидного течеискателя по градуировочной характеристике концентрации трассера в пробе.
Определяют относительную концентрацию трассера в каналах пучка различных стержней.
Относительный эффективный коэффициент межканального массопереноса в пучке различных стержней определяют в пределах характерного участка пучка стержней.
В качестве характерного участка пучка различных стержней выбирают участок, на котором
– в исходном канале пучка и двух смежных с ним каналах, сообщенных с ним соответственно через зазоры между идентичными и различными стержнями пучка, имеет место трассер;
– в третьем канале, смежном с исходным каналом и сообщенном с ним через зазор между различным стержнями, трассер отсутствует;
– в исходном канале пучка различных стержней имеет место уменьшение концентрации трассера по ходу воздушного потока;
– в поперечных сечениях каналов пучка различных стержней относительная концентрация трассера в исходном канале пучка выше, чем в смежных с ним каналах.
В результате сравнения друг с другом распределений относительной концентрации трассера в каналах пучка различных стержней определяют относительную длину каналов пучка, на которой трассер из одного канала пучка попадает в другой смежный с ним канал через зазор между различными стержнями.
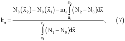
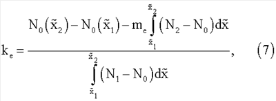
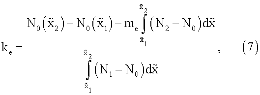
Относительный эффективный коэффициент межканального массопереноса в пучке различных стержней определяют по приближенному соотношению:

где ke – относительный эффективный коэффициент межканального массопереноса в пучке различных стержней; N0 – относительная концентрация трассера в исходном канале пучка различных стержней; N1 и N2 – относительные концентрации трассера в каналах пучка, смежных с исходным каналом и сообщенных с ним соответственно через зазоры между идентичными и различными стержнями; me – относительный эффективный коэффициент межканального массообмена;  и – относительные расстояния от сечения впуска трассера в канал пучка различных стержней соответственно до входного и выходного поперечных сечений характерного участка пучка.
Затем применительно к каждому стержню, образующему исходный канал пучка различных стержней, определяют относительную длину каналов пучка различных стержней, в пределах которой трассер из исходного канала пучка вторично попадает в исходный канал, по соотношению:

где – относительная длина каналов пучка различных стержней, на которой трассер из исходного канала пучка вторично попадает в исходный канал; n – число зазоров между стержнем и окружающими его стержнями в центральной части пучка; – относительная длина каналов пучка стержней, на которой трассер из одного канала пучка попадает в другой смежный с ним канал; индексы «1» и «2» соответствуют зазорам между идентичными и различными стержнями в пучке.
Далее в результате сравнения выбирают относительную минимальную длину каналов пучка различных стержней, на которой трассер из исходного канала пучка вторично попадает в исходный канал.
В пучках различных стержней, в которых относительный шаг периодического изменения ориентации поперечного сечения стержней больше, меньше или равен относительной минимальной длине каналов пучка различных стержней, на которой трассер из исходного канала пучка вторично попадает в исходный канал, относительную длину характерного участка пучка различных стержней выбирают соответственно с учетом соотношений:



где – относительная длина характерного участка пучка различных стержней; – относительная минимальная длина каналов пучка различных стержней, на которой трассер из исходного канала пучка вторично попадает в исходный канал; – относительный шаг периодического изменения ориентации поперечного сечения стержней.
Причем в качестве масштабного фактора при определении относительных эффективного коэффициента межканального массообмена, эффективного коэффициента межканального массопереноса, шага периодического изменения ориентации поперечного сечения стержней, длин и расстояний в пучках идентичных и различных стержней используют характерный размер элементов их конструкции, а при определении относительной концентрации трассера – его характерную концентрацию.
В частных случаях реализации способа имеют место следующие условия.
В пучке круглых цилиндрических стержней с дистанционирующими спиральными ребрами на поверхности в качестве характерного размера используют описанный диаметр, соответствующий положению наружных частей дистанционирующих ребер.
В пучке стержней некруглого поперечного сечения с продольной осевой закруткой в качестве характерного размера используют описанный диаметр стержней.
В качестве характерной концентрации трассера используют его максимальную концентрацию в канале, в который впускают трассер, или среднесмешанную концентрацию трассера в проточной части пучка.
В пучках стержней некруглого поперечного сечения с продольной осевой закруткой в качестве шага периодического изменения ориентации поперечного сечения стержней используют шаг их продольной осевой закрутки, а в пучках круглых цилиндрических стержней со спиральными дистанционирующими ребрами на поверхности – шаг продольной спиральной навивки дистанционирующих ребер.
В соотношениях (4)-(6) и (9)-(11) при выборе минимальных значений и исходили из того условия, что, начиная с поворота положения ориентации поперечного сечения стержней на 60°, обеспечивается попадание трассера из одного канала пучка в другой смежный канал в результате межканального массопереноса. Только при этом условии можно определять относительный эффективный коэффициент межканального массопереноса. При выборе максимальных значений и в указанных соотношениях исходили из того, что на длине характерного участка пучка стержней трассер из исходного канала пучка в результате процессов межканального массообмена и массопереноса не должен вторично попадать в исходный канал.
Пример конкретного выполнения способа
Через каналы пучков идентичных и различных цилиндрических стержней овального поперечного сечения с продольной осевой закруткой прокачивают по очереди воздушный поток.
Пучки стержней обоих типов имеют следующие конструктивные характеристики:
– число стержней – 37;
– отношение длины стержня в пучках к его описанному диаметру – 130;
– отношение шага расположения стержней в треугольной решетке к описанному диаметру стержня – 1;
– отношение шага продольной осевой закрутки стержня к диаметру его описанной окружности – 6,8;
– во входном сечении пучка торцевые части стержней имеют идентичную ориентацию.
В пучке различных стержней последние отличаются друг от друга направлением продольной осевой закрутки. Причем стержни в пределах каждого ряда в пучке имеют одинаковое направление продольной осевой закрутки, а в смежных рядах – противоположное направление закрутки.
В каналах пучков с идентичными и различными стержнями имеют место следующие гидродинамические характеристики потока:
– среднесмешанная концентрация газообразного фреона – 0,943·102;
– число Рейнольдса в проточной части пучка – 8484.
Газообразный фреон впускают через капилляр в каналы, расположенные в центральных частях обоих типов пучков.
Отборным зондом, наружный диаметр которого составляет 1,5 мм, в пучке идентичных стержней производят отбор проб из воздушного потока по длине исходного канала, каналов первого, второго и третьего рядов пучка, а в пучке различных стержней – в исходном канале и трех смежных с ним каналах. В обоих типах пучков в каждом канале после впускного капилляра по ходу потока с равномерным шагом по длине пучка производят по 20 отборов пробы.
Пробу из каналов каждого типа пучка поочередно подают в систему анализа проб и прокачивают ее через датчик галоидного течеискателя. По показаниям амперметра галоидного течеискателя по градуировочной характеристике, учитывающей взаимосвязь показаний измерительного блока с концентрацией трассера, определяют концентрацию трассера в отобранной пробе.
Относительную концентрацию трассера в каналах обоих типов пучков определяют, используя в качестве масштабного фактора максимальную концентрацию трассера в потоке воздуха в канале, в который впускают трассер.
В пучке идентичных стержней вычисляют среднюю относительную концентрацию трассера в первом и втором рядах каналов пучка. Для указанного пучка стержней относительную длину каналов пучка идентичных стержней, на которой трассер из исходного канала пучка в результате прохождения вокруг стержня вторично попадает в исходный канал, определяют по соотношению (3). В данном соотношении для треугольной компоновки стержней в пучке n1=6, х1=2,5. Полученное по соотношению (3) значение относительной длины каналов . В исследуемом пучке стержней относительный шаг продольной осевой закрутки стержней меньше относительной длины каналов пучка идентичных стержней, на которой трассер из исходного канала пучка в результате прохождения вокруг стержня вторично попадает в исходный канал. В соответствии с этим относительную длину характерного участка пучка стержней определяют с учетом соотношения (5).
При условии наличия трассера в исходном канале и смежных с ним каналах, сообщенных с ним через зазор между идентичными стержнями, относительный эффективный коэффициент межканального массообмена в пучке идентичных стержней ( ) определяют по приближенному соотношению (1). Полученный коэффициент 
Для пучка различных стержней определяют относительную длину каналов пучка , на которой трассер из исходного канала попадает в смежный канал пучка, сообщенный с ним через зазор между различными стержнями. Значение относительной длины Для треугольной компоновки различных стержней n1=2, а n2=4. Применительно к каждому стержню, образующему исходный канал пучка различных стержней, по соотношению (8) определяют относительную длину каналов пучка различных стержней , на которой трассер из исходного канала пучка вторично попадает в исходный канал, и выбирают минимальное значение указанной длины Значение относительной длины В исследуемом пучке стержней относительный шаг продольной осевой закрутки стержней меньше относительной длины каналов пучка идентичных стержней, на которой трассер из исходного канала пучка в результате прохождения вокруг стержня вторично попадает в исходный канал. В соответствии с этим относительную длину характерного участка пучка стержней определяют с учетом соотношения (10). Относительный эффективный коэффициент межканального массопереноса в пучке различных стержней ( ) определяют в пределах характерного участка по приближенному соотношению (7). Полученный коэффициент 
В качестве масштабного фактора при определении относительных эффективных коэффициентов межканального массообмена и массопереноса, шага продольной осевой закрутки стержней, длин и расстояний в пучке используют описанный диаметр стержня.
При определении относительной концентрации трассера используют максимальную концентрацию трассера в исходных каналах различных типов пучков.
Полученные с помощью известного ранее способа относительные эффективные коэффициенты межканального массоопереноса имели относительно большой разброс значений.
Использование предложенного способа позволяет повысить точность определения относительного эффективного коэффициента межканального массопереноса в пучке стержней.
Формула изобретения
1. Способ определения относительного эффективного коэффициента межканального массопереноса в пучке стержней, включающий процедуру определения относительного эффективного коэффициента межканального массообмена в пучке идентичных стержней, прокачку воздушного потока через каналы пучка идентичных стержней, впуск газообразного химического трассера в канал пучка идентичных стержней, отбор пробы из потока воздуха отборным зондом в различных точках по длине каналов пучка идентичных стержней, подачу пробы в систему анализа проб и прокачку ее через датчик галоидного течеискателя, определение по показаниям измерительного блока галоидного течеискателя по градуировочной характеристике концентрации трассера в пробе, определение относительной концентрации трассера в каналах пучка идентичных стержней, вычисление средней относительной концентрации трассера в рядах идентичных каналов пучка идентичных стержней, соответствующей идентичным поперечным сечениям его проточной части, определение относительного эффективного коэффициента межканального массообмена в пучке идентичных стержней путем подстановки экспериментальных относительных концентраций химического трассера в приближенное соотношение, полученное из дифференциального уравнения межканального массообмена для случая впуска химического трассера в канал пучка с треугольной компоновкой стержней, отличающийся тем, что относительный эффективный коэффициент межканального массообмена определяют в пределах характерного участка пучка идентичных стержней, в качестве характерного участка выбирают участок, на котором в исходном канале и каналах первого ряда пучка идентичных стержней имеет место трассер, в исходном канале пучка идентичных стержней имеет место уменьшение концентрации трассера по ходу воздушного потока, в поперечных сечениях каналов пучка идентичных стержней относительная концентрация трассера в исходном канале пучка выше, чем в каналах первого ряда пучка, а в каналах первого ряда пучка концентрация трассера выше, чем в каналах второго ряда пучка, в результате сравнения друг с другом распределений относительной концентрации трассера в каналах пучка определяют относительную длину каналов пучка идентичных стержней, на которой трассер из одного канала пучка попадает в другой, смежный с ним канал, при условии наличия трассера в исходном канале пучка идентичных стержней и каналах первого ряда пучка и отсутствия трассера в каналах второго ряда пучка и при условии наличия трассера в исходном канале пучка идентичных стержней, каналах первого и второго рядов пучка и отсутствия трассера в каналах третьего ряда пучка относительный эффективный коэффициент межканального массообмена в пучке идентичных стержней определяют соответственно по следующим приближенным соотношениям:

 где me – относительный эффективный коэффициент межканального массообмена; N0 – относительная концентрация трассера в исходном канале пучка идентичных стержней;
и – средние относительные концентрации трассера соответственно в каналах первого и второго рядов пучка идентичных стержней;
и – относительные расстояния от сечения впуска трассера в канал пучка идентичных стержней соответственно до входного и выходного поперечных сечений характерного участка пучка, затем определяют относительную длину каналов пучка идентичных стержней, на которой трассер из исходного канала пучка в результате прохождения вокруг стержня вторично попадает в исходный канал, по соотношению
 где – относительная длина каналов пучка идентичных стержней, на которой трассер из исходного канала пучка вторично попадает в исходный канал, n1 – число зазоров между идентичными стержнем и окружающими его стержнями в центральной части пучка идентичных стержней;
– относительная длина канала пучка идентичных стержней, на которой трассер из одного канала пучка попадает в другой, смежный с ним канал, далее в пучке идентичных стержней, в которых относительный шаг периодического изменения ориентации поперечного сечения стержней больше, меньше или равен относительной длине канала пучка, на которой трассер из исходного канала пучка вторично попадает в исходный канал, относительную длину характерного участка пучка выбирают соответственно с учетом соотношений


 где – относительная длина характерного участка пучка идентичных стержней;
– относительная длина каналов пучка идентичных стержней, на которой трассер из исходного канала пучка вторично попадает в исходный канал;
– относительный шаг периодического изменения ориентации поперечного сечения стержней, причем отсчет рядов каналов в пучке идентичных стержней начинают от исходного канала пучка, затем при определении относительного эффективного коэффициента межканального массопереноса в пучке различных стержней прокачивают воздушный поток через каналы пучка различных стержней, впускают газообразный химический трассер в канал пучка различных стержней, отбирают пробу из потока воздуха отборным зондом в различных точках по длине каналов пучка различных стержней, подают пробу в систему анализа проб и прокачивают ее через датчик галоидного течеискателя, определяют по показаниям измерительного блока галоидного течеискателя по градуировочной характеристике концентрации трассера в пробе, определяют относительную концентрацию трассера в каналах пучка различных стержней, относительный эффективный коэффициент межканального массопереноса в пучке различных стержней определяют в пределах характерного участка пучка стержней, в качестве характерного участка пучка различных стержней выбирают участок, на котором в исходном канале пучка и двух смежных с ним каналах, сообщенных с ним соответственно через зазоры между идентичными и различными стержнями пучка, имеет место трассер, в третьем канале, смежном с исходным каналом и сообщенном с ним через зазор между различным стержнями, трассер отсутствует, в исходном канале пучка различных стержней имеет место уменьшение концентрации трассера по ходу воздушного потока, в поперечных сечениях каналов пучка различных стержней относительная концентрация трассера в исходном канале пучка выше, чем в смежных с ним каналах, в результате сравнения друг с другом распределений относительной концентрации трассера в каналах пучка различных стержней определяют относительную длину каналов пучка, на которой трассер из одного канала пучка попадает в другой, смежный с ним канал через зазор между различными стержнями, относительный эффективный коэффициент межканального массопереноса в пучке различных стержней определяют по приближенному соотношению
 где ke – относительный эффективный коэффициент межканального массопереноса в пучке различных стержней; N0 – относительная концентрация трассера в исходном канале пучка различных стержней; N1 и N2 – относительные концентрации трассера в каналах, смежных с исходным каналом и сообщенных с ним соответственно через зазоры между идентичными и различными стержнями; me – относительный эффективный коэффициент межканального массообмена;
и – относительные расстояния от сечения впуска трассера в канал пучка различных стержней соответственно до входного и выходного поперечных сечений характерного участка пучка, затем применительно к каждому стержню, образующему исходный канал пучка различных стержней, определяют относительную длину каналов пучка различных стержней, в пределах которой трассер из исходного канала пучка вторично попадает в исходный канал, по соотношению
 где – относительная длина каналов пучка различных стержней, на которой трассер из исходного канала пучка вторично попадает в исходный канал; n – число зазоров между стержнем и окружающими его стержнями в центральной части пучка;
– относительная длина каналов пучка стержней, на которой трассер из одного канала-пучка попадает в другой, смежный с ним канал; индексы «1» и «2» соответствует зазорам между идентичными и различными стержнями в пучке, далее в результате сравнения выбирают относительную минимальную длину каналов пучка различных стержней, на которой трассер из исходного канала пучка вторично попадает в исходный канал, в пучках различных стержней, в которых относительный шаг периодического изменения ориентации поперечного сечения стержней больше, меньше или равен относительной минимальной длине каналов пучка различных стержней, на которой трассер из исходного канала пучка вторично попадает в исходный канал, относительную длину характерного участка пучка различных стержней выбирают соответственно с учетом соотношений


 где – относительная длина характерного участка пучка различных стержней;
– относительная минимальная длина каналов пучка различных стержней, на которой трассер из исходного канала пучка вторично попадает в исходный канал;
– относительный шаг периодического изменения ориентации поперечного сечения стержней, причем в качестве масштабного фактора при определении относительных эффективного коэффициента межканального массообмена, эффективного коэффициента межканального массопереноса, шага периодического изменения ориентации поперечного сечения стержней, длин и расстояний в пучках идентичных и различных стержней используют характерный размер элементов их конструкции, а при определении относительной концентрации трассера – его характерную концентрацию.
2. Способ по п.1, отличающийся тем, что в пучке круглых цилиндрических стержней с дистанционирующими спиральными ребрами на поверхности в качестве характерного размера используют описанный диаметр, соответствующий положению наружных частей дистанционирующих ребер.
3. Способ по п.1, отличающийся тем, что в пучке стержней некруглого поперечного сечения с продольной осевой закруткой в качестве характерного размера используют описанный диаметр стержней.
4. Способ по п.1, отличающийся тем, что в качестве химического трассера используют газообразный фреон.
5. Способ по п.1, отличающийся тем, что в качестве характерной концентрации трассера используют его максимальную концентрацию в канале, в который впускают трассер.
6. Способ по п.1, отличающийся тем, что в качестве характерной концентрации трассера используют его среднесмешанную концентрацию в проточной части пучка.
7. Способ по п.1, отличающийся тем, что в пучках стержней некруглого поперечного сечения с продольной осевой закруткой в качестве шага периодического изменения ориентации поперечного сечения стержней используют шаг их продольной осевой закрутки.
8. Способ по п.1, отличающийся тем, что в пучках круглых цилиндрических стержней со спиральными дистанционирующими ребрами на поверхности в качестве шага периодического изменения ориентации поперечного сечения стержней используют шаг продольной спиральной навивки дистанционирующих ребер.
|