|
|
(21), (22) Заявка: 2008128110/03, 09.07.2008
(24) Дата начала отсчета срока действия патента:
09.07.2008
(46) Опубликовано: 10.02.2010
(56) Список документов, цитированных в отчете о поиске:
ЦЫТОВИЧ Н.А. Механика грунтов. – М.: Высшая школа, 1979, с.222-226, рис.VI.4. RU 2079831 C1, 20.05.1997. SU 424045 A, 12.09.1974. SU 1057808 A, 30.11.1983. GB 1245295 A, 08.09.1971. Краткий политехнический словарь. – М.: Государственное издательство технико-теоретической литературы, 1955, с.280-281.
Адрес для переписки:
153582, г.Иваново, ул. Лежневская, 183, ОАО “Точприбор” (СКБ)
|
(72) Автор(ы):
Смушкович Бер Лейзерович (RU)
(73) Патентообладатель(и):
Открытое акционерное общество “Точприбор” (RU)
|
(54) ПРИБОР ДЛЯ ИСПЫТАНИЯ СТРОИТЕЛЬНЫХ МАТЕРИАЛОВ НА ПРОЧНОСТЬ
(57) Реферат:
Изобретение относится к испытательной технике, а именно к приборам для испытания строительных материалов на прочность. Прибор для испытания строительных материалов на прочность содержит узел установки образца, нагружающее устройство с приводом и устройство для измерения нагрузки, установленные на силовой раме. Последовательно с образцом установлены два упругих элемента с разной податливостью, причем один из них, например в виде пружины, установлен между образцом и деформирующим его с определенной скоростью приводом, а другой, датчик измерения нагрузки, с меньшей податливостью установлен между образцом и основанием силовой рамы. Технический результат состоит в повышении точности и воспроизводимости результатов испытаний, повышении производительности прибора и расширении области его применения. 3 ил.
Изобретение относится к испытательной технике, а именно к приборам для испытания строительных материалов на прочность.
Испытание на прочность многих строительных материалов (цемент, бетон и др.) согласно стандартам должно производиться в режиме мягкого нагружения, когда нормируется скорость возрастания нагрузки (напряжения), а не скорость деформирования.
Известны приборы для испытания строительных материалов на прочность, работающие в режиме мягкого нагружения, где необходимая скорость возрастания нагрузки на образец достигается путем равномерного во времени добавления массы груза, например, сыпучего (см. Материалы и изделия для строительства дорог. Справочник. Под редакцией профессора Н.В.Горелышева. М.: Транспорт, 1986, стр.108-109, рис.4.13).
Недостатками таких приборов являются невозможность реализации больших нагрузок, необходимость использования дозирующих массу устройств, низкая производительность и точность.
Наиболее близким по технической сути к заявляемому изобретению является принятый в качестве прототипа прибор для испытания образцов из цемента 2170П-6, содержащий узел установки образцов, нагружающее устройство с приводом и устройство для измерения нагрузки, установленные на силовой раме, причем нагрузка на образец по схеме двухопорного изгиба создается грузом, который с помощью электропривода перемещается по нагружающему рычагу с постоянной скоростью, а эта нагрузка определяется по положению груза на рычаге (см. Прибор для испытания образцов из цемента 2170П-6. Проспект ОАО «ТОЧПРИБОР», г.Иваново).
В этом приборе отмеченные выше недостатки частично устранены, но наличие подвижного груза обуславливает инерционные эффекты, искажающие результаты измерений, и, кроме того, определение действующей на образец нагрузки по положению груза на рычаге также снижает точность измерений.
Цель изобретения – повышение точности и воспроизводимости результатов испытаний, повышение производительности и расширение области применения прибора.
Указанная цель достигается тем, что в приборе для испытания строительных материалов на прочность, содержащем узел установки образца, нагружающее устройство с приводом и устройство для измерения нагрузки, установленные на силовой раме, в нагружающем устройстве, последовательно с образцом установлен упругий элемент, например пружина, воздействующий на образец и датчик измерения нагрузки.
Сопоставительный анализ с прототипом показывает, что заявляемый прибор отличается тем, что в нагружающем устройстве последовательно с образцом установлен упругий элемент, например пружина, воздействующий на образец и датчик измерения нагрузки.
На фиг.1 изображена схема прибора для случая прямого нагружения, на фиг.2 – его замещающая силовая схема, на фиг.3 представлена схема установки упругого элемента при нагружении через рычаг.
Испытываемый образец 1 (фиг.1) по схеме двухопорного изгиба установлен на опорах 2, размещенных на плите 3, которая закреплена на датчике измерения нагрузки 4. Датчик установлен на основании 5, которое вместе с ходовыми винтами 6, направляющими колоннами 7 и верхней неподвижной траверсой 8 образуют силовую раму прибора. Подвижная траверса 9 перемещается по колоннам 7 с помощью ходовых винтов 6, привод которых осуществляется от электродвигателя 10 и редукторов 11. На траверсе 9 закреплен стакан 12, в нем установлен упругий элемент 13 (например, пружина, скоба), который одним концом упирается в дно стакана, а другим – в поршень 14, связанный с наконечником (роликом) 15, непосредственно воздействующим на образец 1. Связанная через ходовые винты с приводом траверса с установленными на ней элементами 12, 13, 14 и 15 образует нагружающее устройство. Измерение деформации (прогиба) образца осуществляется с помощью датчика перемещения (индикатора) 16. Вторичная измерительная аппаратура на чертеже не показана.
При необходимости реализации больших нагрузок поршень 14 (фиг.3) может быть связан с наконечником 15 через передаточный механизм, например рычаг 17, установленный на подвижной траверсе 9.
Принцип работы прибора основан на следующем.
Данному прибору соответствует замещающая силовая схема (фиг.2), на которой каждому элементу (узлу) прибора соответствует свое упругое звено с податливостью Kj. Поскольку все эти звенья соединены последовательно, то общая податливость системы

где Ку – податливость упругого элемента 13
Ко – податливость образца 1.
Сумму податливостей силовой рамы прибора Кср и датчика измерения нагрузки Kд можно рассматривать как податливость собственно прибора
Kп=Kcp+Kд
При необходимости можно учесть также податливости и других присоединенных элементов. Податливость (или обратную ей величину – жесткость) всех элементов можно определить расчетным путем (например, на стадии проектирования) или экспериментально известными методами.
При постоянной величине скорости привода Vo и линейных звеньях скорость нагружения образца постоянна и равна

Из приведенных формул видно, что если в составе прибора имеется специальный деформируемый упругий элемент, установленный последовательно с образцом, то соответствующим выбором величины его податливости Ку можно обеспечить необходимую скорость Vp возрастания нагрузки на образец, т.е. осуществить режим заданного или мягкого нагружения.
Из соотношений

найдем скорость наконечника 15

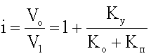
т.е. скорость наконечника 15 по отношению к скорости привода (в данном случае траверса 9) уменьшается в i раз, где

Это позволяет безударно испытывать образцы с малой величиной деформации, в том числе из хрупких материалов, таких как стекло, керамика и другие. Для увеличения i необходимо, чтобы Ку>(Ко+Кп) и соответственно всегда Ку>Кд.
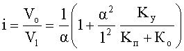
Для прибора по схеме фиг.3

где – передаточное число рычага 17.
Прибор работает следующим образом.
На опоры 2 (фиг.1) устанавливают образец 1. При включении электродвигателя 10 траверса 9 перемещается и, упираясь наконечником 15 в образец 1, деформирует упругий элемент 13, создавая в нем нагрузку Р, передающуюся через наконечник 15 на образец 1.
Нагрузка Р измеряется с помощью датчика измерения нагрузки 4, а деформация образца – датчиком перемещения 16.
Работа прибора по схеме фиг.3 аналогична, только нагрузка на образец 1 от упругого элемента 13 передается через рычаг 17 и наконечник 15.
Эффективность работы прибора определяется наличием в конструкции двух упругих элементов разной жесткости (Ку>Кд), установленных последовательно с образцом, один из которых (упругий элемент 13) деформируется с помощью привода, создавая за счет этого нагрузку Р на образец 1, а другой (датчик измерения нагрузки 4) воспринимает и измеряет эту нагрузку.
Такое разделение функций позволяет в пределах рабочего диапазона датчика измерения нагрузки 4 делать упругий элемент 13 сменным и не предъявлять жестких требований к его метрологическим параметрам, одновременно обеспечивая необходимую точность измерений за счет соответствующего выбора параметров датчика измерения нагрузки.
Конструкция предлагаемого прибора не содержит инерционных гравитационных масс, что исключает возникновение динамических эффектов, искажающих результаты испытаний.
На приборе возможно испытание различных материалов, включая хрупкие, при разных схемах нагружения, таких как изгиб, сжатие, сдвиг, растяжение и другие. При этом меняется только схема установки и закрепления образца, например, между двух плит при сжатии (на чертежах не показано).
Важным преимуществом изобретения является возможность его применения с использованием существующего лабораторного оборудования, в частности разрывных машин и прессов, включая гидравлические, с их собственными приводами и системами измерения. При этом силовая рама прибора может иметь и другую конфигурацию, например [-образную.
Формула изобретения
Прибор для испытания строительных материалов на прочность, содержащий узел установки образца, нагружающее устройство с приводом и устройство для измерения нагрузки, установленные на силовой раме, отличающийся тем, что последовательно с образцом установлены два упругих элемента с разной податливостью, причем один из них, например в виде пружины, установлен между образцом и деформирующим его с определенной скоростью приводом, а другой, датчик измерения нагрузки, с меньшей податливостью установлен между образцом и основанием силовой рамы.
РИСУНКИ
|
|