|
(21), (22) Заявка: 2008141550/28, 20.10.2008
(24) Дата начала отсчета срока действия патента:
20.10.2008
(46) Опубликовано: 10.02.2010
(56) Список документов, цитированных в отчете о поиске:
ИЛЬИН Н.А. Техническая экспертиза зданий, поврежденных пожаром. Гл. 2. исследование огневого воздействия пожара на строительные конструкции зданий. – М.: Стройиздат, 1983, с.82-110. SU 1617349 A1, 30.12.1990. RU 2006107768 A1, 10.11.2007. RU 2281482 C2, 10.08.2006.
Адрес для переписки:
443001, г.Самара, ул. Молодогвардейская, 194, СГАСУ, патентный отдел
|
(72) Автор(ы):
Ильин Николай Алексеевич (RU), Ведерников Сергей Сергеевич (RU)
(73) Патентообладатель(и):
Государственное образовательное учреждение высшего профессионального образования “Самарский государственный архитектурно-строительный университет” (СГАСУ) (RU)
|
(54) СПОСОБ ОЦЕНКИ ПАРАМЕТРОВ ПОЖАРА В ЗДАНИИ
(57) Реферат:
Изобретение относится к области исследования материалов строительных конструкций. В способе технический осмотр здания дополняют изучением теплотехнических показателей бетона, инструментальным измерением геометрических размеров бетонных конструкций, оценкой условий обогрева их поперечных сечений и определением толщины слоев бетона с нарушенной структурой. Определяют длительность натурного пожара по зонам интенсивности, приведенного к тепловому воздействию стандартных огневых испытаний строительных конструкций. Технический результат – получение достоверной оценки основных параметров разрушительности прошедшего пожара, то есть длительности огневого воздействия и максимальной температуры, снижение трудоемкости и сокращение сроков проведения технического осмотра термоповрежденных бетонных конструкций здания. 9 з.п. ф-лы, 9 ил.
Изобретение относится к области исследования материалов строительных конструкций с помощью тепловых средств и предназначено для оценки параметров пожара путем изучения последствий огневого воздействия на армированные и неармированные бетонные конструкции здания, более конкретно для определения максимальной температуры и длительности натурного пожара, приведенного к стандартному (по ГОСТ 30 247.0 – 94. «Конструкции строительные. Методы испытания на огнестойкость. Общие требования». – М., 1986. – 11 c.)[1].
Известен способ оценки параметров пожара, включающий изготовление огневой «камеры-весы», предварительную установку в ней регистрирующей аппаратуры до начала огневых испытаний, заполнение камеры горючей загрузкой в виде брусков из древесины, сжигание ее, построение опытного графика изменения в камере средней температуры во времени (ton, °С- on, мин) и накладку на него графика стандартного пожара (tcт, °С- ст, мин), сопоставляя площади эпюр температуры; при этом площадь эпюры температуры опытного пожара ограничивают ординатой tmin=600°C, принимая ее за температуру окончания пожара ( ок, мин) (Огнестойкость зданий. / В.П.Бушев, В.А.Пчелинцев, В.С.Федоренко, А.И.Яковлев; гл. 2, п.4: Основные положения методики исследования температурных режимов пожаров; рис.5. – М.: Стройиздат, 1970, с.17-21) [2].
К причинам, препятствующим достижению указанного ниже технического результата при использовании известного способа, относятся следующие: каждый происшедший пожар в здании индивидуален, изготовление же огневой камеры (фрагмента здания), схожей со зданием, поврежденным огнем, требует больших материальных затрат и длительных сроков испытания, однако результаты опытного изучения тепловых режимов существенно разнятся с натурными пожарами; при использовании огневой «камеры-весы» возможно исследование развития пожара, в основном для жилых комнат, для разнообразных помещений другого назначения (производственные здания, склады и другие) известный способ оценки параметров пожара не распространяют, оценку интенсивности натурного пожара по зонам огневого воздействия не производят; график изменения температуры во времени в известном способе ограничен ординатой tmin=600°C (температура окончания пожара) – это для большинства случаев натурных пожаров недостоверно.
Известен способ оценки параметров пожара в помещениях зданий различного назначения, включающий определение интегральных теплотехнических параметров объемного свободно развивающегося пожара в помещении, выявляя вид стихийного горения (горение, регулируемое пожарной нагрузкой или вентиляцией); рассчитывают среднеобъемную температуру в помещении и среднюю температуру на обогреваемой поверхности перекрытия и/или стен; представляют математическое описание изменения среднеобъемной температуры при свободно развивающемся пожаре в зависимости от проектной пожарной нагрузки, приведенной к древесине, и длительность начальной стадии (ГОСТ Р 12.3.047-98 ССБТ. Пожарная безопасность технологических процессов. Общие требования. Методы контроля. Приложение К: «Методы расчета температурного режима в помещениях зданий различного назначения». – М.: Госстандарт России, 1998. С.33-38) [3].
К причинам, препятствующим достижению указанного ниже технического результата при использовании известного способа, относятся следующие: невозможно определение изменения параметров пожара по зонам интенсивности огневого воздействия на строительные конструкции здания; недостоверна оценка теплотехнических параметров несвободно развивающегося пожара (например, с учетом различной тактики тушения).
Наиболее близким способом того же назначения к заявленному изобретению по совокупности признаков является способ оценки параметров пожара в здании путем изучения последствий огневого воздействия на строительные конструкции, включающий проведение технического осмотра бетонных конструкций, подвергшихся огневому воздействию натурного пожара; приближенное описание развития пожара и состояние строительных конструкций после него, очерчивая зоны разрушительности огневого воздействия по участкам здания; приближенное определение параметров теплового режима пожара и степени прогрева сечений бетонных конструкций (Н.А.Ильин. Техническая экспертиза зданий, поврежденных пожаром. Гл.2 «Исследование огневого воздействия пожара на строительные конструкции зданий». – М.: Стройиздат, 1983, с.82-110) [4] – взято за прототип.
К причинам, препятствующим достижению указанного ниже технического результата при использовании известного способа, относятся следующие: оценку основных параметров происшедшего пожара в здании любого назначения по степени разрушительности (интенсивности) огневого воздействия на обследуемые контрольные участки бетонных конструкций можно произвести приближенно, с большой погрешностью.
Сущность изобретения заключается в следующем.
Задача, на решение которой направленно изобретение, состоит в повышении точности и достоверности оценки параметров пожара (температура-время) путем изучения последствий огневого воздействия на бетонные конструкции здания, в снижении трудоемкости и сокращении сроков проведения технического осмотра и испытания материалов термически поврежденных конструкций.
Технический результат – получение достоверной оценки основных параметров прошедшего пожара в здании любого назначения по степени разрушительности (интенсивности) огневого воздействия на обследуемые контрольные участки бетонных конструкций; определение длительности натурного пожара, приведенного к стандартному тепловому испытанию бетонных конструкций; нахождение фактической тепловой нагрузки, действовавшей при пожаре на обследуемые контрольные участки бетонных конструкций здания; нахождение наибольших, максимально возможных, температур натурного пожара, действовавших на бетонные конструкции поврежденных участков зданий различного назначения; определение толщины деструктивного слоя бетона с учетом формы поперечного сечения бетонных конструкций, реальных схем обогрева, используя неразрушающие испытания и статистические расчеты; упрощение оценки показателей тепловой диффузии (температуропроводности) бетона и условий нагрева контрольных точек сечения бетонных конструкций; расшифровка данных, зафиксированных бетоном строительных конструкций, выступающим естественным термоиндикатором; снижение трудоемкости и сокращение сроков проведения технического осмотра, испытаний материалов термоповрежденных бетонных конструкций и материальных затрат на проведение аварийно-восстановительных работ в здании; упрощение камеральной обработки результатов исследования разрушительных параметров пожара.
Указанный технический результат при осуществлении изобретения достигается тем, что в известном способе оценки параметров пожара в здании, включающем проведение технического осмотра бетонных конструкций, подвергавшихся действию термического градиента в условиях пожара, определение вида бетона, его средней плотности, влажности, теплопроводности и теплоемкости, новым является то, что предварительно определяют контрольные участки бетонных конструкций здания, подвергшихся тепловому воздействию при пожаре различной интенсивности, технический осмотр дополняют инструментальными измерениями геометрических размеров бетонных конструкций, определяя толщину слоев бетона с нарушенной структурой с использованием результатов неразрушающих испытаний и статистических исчислений, выявляют формы бетонных конструкций, схемы обогрева их поперечных сечений, определяют показатели тепловой диффузии бетона строительных конструкций в условиях пожара, вычисляют показатели условий нагрева контрольных точек поперечного сечения бетонных конструкций и степень – меру – их тепловой защиты; определяют длительность огневого воздействия натурного пожара, приведенного к стандартному, фактическую пожарную – огневую – нагрузку и максимальные температуры пожара по контрольным участкам повреждения бетонных конструкций здания – по зонам интенсивности огневого воздействия.
Кроме этого, особенности способа оценки параметров пожара в здании заключаются в том, что длительность огневого воздействия на бетонные конструкции испытываемого участка здания, находившиеся под влиянием термического градиента в условиях натурного пожара, приведенного к стандартному тепловому испытанию,
ст, мин, определяют по формуле (1):

где ст – длительность огневого воздействия натурного пожара, приведенного к стандартному, мин,
С – интегральный параметр степени или меры тепловой защиты бетоном контрольных точек поперечного сечения конструкции, мм.
Интегральный параметр степени или меры тепловой защиты контрольных точек поперечного сечения бетонной конструкции С, мм, определяют по формуле (2):

где mo – показатель условий нагрева контрольной точки поперечного сечения бетонной конструкции (0,25÷1,0);
o,min – минимальная глубина залегания контрольной точки поперечного сечения по оси х или у, мм;
Dbm – интегральный показатель тепловой диффузии бетона, мм2/мин.
Интегральный показатель тепловой диффузии бетона Dbm, мм2/мин при усредненной температуре 450°С определяют экспериментально или находят из выражения (3):

где 0 и Со – соответственно коэффициент теплопроводности, Вт/(м·°С), и удельной теплоемкости бетона, кДж/(кг·°С), при tн=20°С;
b и d – термические коэффициенты теплопроводности и теплоемкости бетона при температуре 450°С;
с и – плотность бетона средняя в сухом состоянии, кг/м3, и его влажность, %, по массе.
Величину показателя условий нагрева контрольной точки поперечного прямоугольного сечения бетонной конструкции при ее симметричном расположении относительно биссектрисы угла сечения и 1-, 2-, 3- и 4-стороннем обогреве в условиях пожара принимают соответственно равным:
mо=1; 0,5; 0,33 и 0,25.
При несимметричном расположении контрольной точки относительно биссектрисы угла прямоугольного поперечного сечения бетонной конструкции величину показателя условий ее нагрева при 2-стороннем обогреве в условиях пожара вычисляют по формуле (4):

где x; у – соответственно глубина залегания контрольной точки поперечного сечения, измеряемая от обогреваемых граней бетонной конструкции по осям х и у, мм;
при у< х – в формуле (4) принимают обратное отношение величин глубины залегания контрольной точки, то есть x/ y.
Фактическую удельную пожарную нагрузку части выгоревшей в условиях пожара массы горючих веществ и материалов, приведенную к условному виду топлива – древесине, gi, МДж/м2, определяют по формуле (5):

где mcm=0,85 кг/(м2·мин) – средняя скорость выгорания условного топлива;
Qн,усл=16,5 МДж/кг – низшая теплота сгорания условного топлива;
cm, i – длительность пожара, приведенного к стандартному в контрольной зоне здания, мин.
Удельную огневую нагрузку на бетонные конструкции наиболее поврежденного участка здания – зоны очага горения – go, МДж/м2, вычисляют по формуле (6):

где Qпож – теплота пожара в зоне очага горения: при горении условного топлива
Qусл.пож=10 МДж/(м2/мин);
cm – длительность натурного пожара в зоне очага горения, приведенного к стандартному, мин.
Удельную огневую нагрузку на бетонные конструкции здания, примыкающие к зоне очага горения go,i МДж/м2, вычисляют по формуле (7):

где go – удельная огневая нагрузка в зоне очага горения, МДж/м2;
Ao; Ai – площади контрольных участков конструкций здания, расположенных соответственно в зоне очага горения и примыкающих к ней зонах, м2.
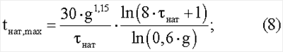
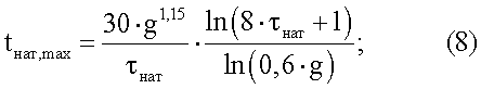
Наибольшую температуру среды tнат, mах, °С, окружающей бетонные конструкции в условиях натурного пожара на обследуемом участке здания – в зонах интенсивного огневого воздействия, – определяют по формуле (8):

где tнат, max, – наибольшая температура среды, окружающей обследуемые бетонные конструкции, которые расположены в контрольной зоне пожара, °С;
g – удельная пожарная нагрузка от части выгоревшей массы горючих веществ и материалов, приведенная к условному виду топлива – древесине, МДж/м2;
нaт – длительность теплового воздействия на бетонные конструкции обследуемого участка здания – зоны натурного пожара, мин.
ln – натуральный логарифм.
На чертежах представлено:
на фиг.1 изображены совмещенные графики изменения температуры во времени стандартного (кривая 1) и эквивалентного ему натурного пожара (ломаная линия 2):
A1 и А2 – площади эпюры температуры соответственно стандартного и эквивалентному ему натурного пожара при условии A1=A2, у.е.;
1; 2 и 3 – периоды развития, интенсивного горения и затухания натурного пожара, мин;
tнат, max – наибольшая температура (°С) среды натурного пожара при горении различных материалов в зависимости от величины горючей нагрузки, приведенной к условному топливу – древесине;
tmin – условная температура (°С) окончания натурного пожара, характеризующая прекращение прироста температуры на поверхности бетонного элемента
(tmin 0,5·tнат, max,°C);
нат; ок и ст – длительность соответственно натурного, эквивалентного и стандартного пожара, мин;
на фиг.2 изображены испытуемые участки и места вырубки деструктивного слоя бетона сжатого бетонного элемента-колонны:
I-I; II-II; III-III – участки вырубания борозд в характерных сечениях колонны по ее высоте;
3, 4, 5, 6 – места вырубания борозд по граням поперечного сечения колонны;
узел I – вырубание борозд вдоль продольной оси бетонного элемента между стержнями поперечной арматуры;
на фиг.3 изображена схема измерения толщины деструктивного слоя бетона с помощью линейки или штангенциркуля: 7 – борозда глубиною h= , где – толщина деструктивного слоя бетона, мм; 8 – фиксирующая линейка; 9 – измерительная металлическая линейка или штангенциркуль с линейкой для измерения глубины типа ЩП – 1;
на фиг.4 изображена схема определения толщины , мм, деструктивного слоя бетона путем простукивания и пальпации:
m1, m2, m3, m4 – места ударов (простукивания) и их направления в поперечном сечении элемента;
n1, n2, n3, n4 – места расположения пальцев испытателя;
на фиг.5 изображена схема определения толщины деструктивного слоя бетона путем замера величины лучей (Аx и Ау, мм) откалывающегося угла бетонного элемента и отрезка биссектрисы (В, мм) этого угла;
на фиг.6 изображены схемы размещения точек забивок стальных стержней в зависимости от ширины испытываемого элемента:
10 – участки для испытания бетона бетонного элемента различной ширины: а) 300÷450; б) 450÷550; в) св. 550, мм;
11 – намеченные точки для забивки дюбеля в испытываемый элемент;
на фиг.7 изображена схема проникновения дюбеля в бетон эталонного (а) и испытываемого (б) участка бетонного элемента:
12 – дюбель; 13 – бетон эталонного участка; 14 – бетон, не поврежденный температурным градиентом; 15 – деструктивный слой бетона;
на фиг.8 изображена схема для определения глубины проникновения стального стержня – керна в поверхностный слой бетона испытываемого участка элемента: 16 – линейка – упор толщиной о, мм; 17 – керн; 18 – место нанесения ударов равной энергии; 19 – свободная часть керна, измеряемая при испытании lо, мм; 20 – выколотая часть бетона; 21 -глубина проникновения керна h, мм; 22 – деструктивный слой бетона 0, мм; 23 – бетон, не поврежденный термическим градиентом;
на фиг.9 изображена схема для определения толщины слоя бетона с нарушенной структурой:
24 и 25 – линии аппроксимации опытных данных испытания бетонного элемента соответственно с тонким и толстым слоем деструктивного бетона;
26 и 27 – касательные к линиям 24 и 25;
1 и 2 – толщина слоя бетона с нарушенной структурой, определяемые пересечениями касательных к кривым линиям 24 и 25 с осью ординат, мм.
Причинно-следственная связь между совокупностью признаков и техническим результатом заключена в следующем.
Разработка методики оценки тепловой (огневой, пожарной) нагрузки, действовавшей на бетонные конструкции, позволяет получить более точную и достоверную оценку основных параметров температурного режима прошедшего пожара и, как следствие, степень разрушительности огневого воздействия на обследуемые участки здания.
Нахождение фактической тепловой нагрузки на бетонные конструкции позволяет определить наибольшую температуру, действовавшую на контрольные участки, а также длительность натурного пожара, приведенного к стандартному тепловому испытанию элементов конструкций по зонам огневого воздействия здания.
Контрольные участки конструкций назначают по результатам технического осмотра здания, поврежденного пожаром, который предполагает обнаружение и фиксацию очага поражения и прилегающие к нему участки повреждения конструкций, отыскание термосвидетелей, характеризующих температурные режимы огневого воздействия на участках тяжелых, средних и слабых термических повреждений конструкций.
Определение в процессе технического осмотра толщины деструктивного слоя бетона , мм, показателей условий нагрева контрольных точек поперечного сечения бетонной конструкции moi и показателя тепловой диффузии бетона Dbm, мм2/мин, позволяет достоверно оценить величину интегрального параметра меры тепловой защиты контрольных точек поперечного сечения конструкции С, мм.
Определение толщины деструктивного слоя бетона после воздействия градиента высоких температур проводят путем простукивания конструкции, забивки стальных стержней и/или послойного сверления; в процессе простукивания конструкций оценивают способность сопротивляться отколам и образованию вмятин при ударах по их поверхности острым обушком пожарного топорика; в процессе забивки стальных стержней определяют свойство бетона количественно увеличивать сопротивляемость проникновению стального стержня – дюбеля – в глубину конструкции, неравномерно поврежденной термическим воздействием.
Упрощение оценки показателей тепловой диффузии бетона обеспечивают, применяя полуэмпирический метод решения нестационарной теплопроводности тел.
Расшифровка данных, зафиксированных бетоном строительной конструкции, выступающим естественным термоиндикатором, заключается в измерении толщины деструктивного слоя бетона, в определении показателя тепловой диффузии бетона и показателей условий нагрева поперечного сечения, по которым оценивают интегральную меру тепловой защиты контрольных точек сечения бетонных конструкций по зонам огневого воздействия в здании. Получив искомую меру тепловой защиты бетоном контрольных точек поперечного сечения конструкций, по аналитической зависимости (1) определяет длительность пожара, приведенного к стандартному.
Снижение трудоемкости и сокращение сроков проведения технического осмотра, испытания материалов термоповрежденных бетонных конструкций и снижение материальных затрат на проведение аварийно-восстановительных работ возможны при использовании предлагаемого способа оценки параметров пожара в здании.
Упрощение камеральной обработки результатов исследования пожара возможно при использовании предлагаемого способа оценки длительности и наибольших температур пожара по представительным аналитическим зависимостям (9)÷(12).
Пример 1. Даны результаты осмотра, простукивания и измерения отколов бетона угла поперечного сечения колонны после пожара длительностью нат=60 мин: бетон тяжелый на известковом щебне, показатель тепловой диффузии бетона Dbm=19,4 мм2/мин; размеры лучей отколов бетона смежных граней (см. фиг.5): Ax=26 мм; Ау=36 мм.
Требуется определить длительность и наибольшую температуру среды натурного пожара и эквивалентного ему стандартного огневого воздействия.
Решение
1) Толщину деструктивного слоя бетона по граням колонны вычислим по формуле (9):

2) При двухстороннем обогреве контрольной точки сечения колонны коэффициент условий обогрева ее вычислим по формуле (4):
mo2=0,5·( y/ x)0,5=0,5·(18/13)0,5=0,59.
3) Интегральную степень тепловой защиты контрольной точки сечения определим по формуле (3):
C=12·mo2· o,min/D0,8 bm=12·0,59·13/19,40,8=8,6 мм.
4) Длительность натурного пожара, приведенного к стандартному, вычислим по формуле (1):
ст=5·C0,85=5·8,60,85=31 мин.
5) Наибольшую температуру стандартного пожара вычислим по формуле (10):

6) Удельную пожарную нагрузку на испытуемый участок конструкций здания определим по формуле (6):
go=14· cm=14·31=434 МДж/м2.
7) Наибольшую температуру среды натурного пожара вычислим по формуле (8):

Пример 2. Длительность натурного пожара, приведенного к стандартному, ст=31 мин; наибольшая температура среды натурного пожара tнат,max=600°C; температура окончания эквивалентного пожара tmin=0,5·tmax=0,5·600=300°C; время тушения пожара после его локализации 1,туш=45 мин; период свободного развития пожара св=15 мин; показатель условий тушения пожара с момента локализации до его ликвидации k= 1,туш/ св=45/15=3.
Определим параметры теплового режима натурного пожара.
Решение
1) Вычислим длительность фазы развития пожара 1, мин, из выражения (11):

отсюда найдем величину
ln· 1=tнат,max/150-ln8=600/150-2,1=1,9.
Потенцируя уравнение
ln 1=1,9,
находим длительность фазы развития пожара:
1=e1,9=6,7 7 мин.
2) Площадь эпюры температуры стандартного пожара вычислим по формуле (12):

3) Длительность фазы затухания пожара 3, мин, определим по формуле (13):

4) Длительность фазы интенсивности горения 2, мин, натурного пожара определим из уравнения (14):

при A1=A2, получаем
A2/tнат,mах=(0,5+0,375·k)· 1+ 2; 22 830/600=(0,5+0,375·3)·7+ 2;
38,05=11,4+ 2;
отсюда длительность фазы интенсивного горения 2 27 мин.
5) Длительность эквивалентного пожара вычислим по формуле (15):

6) Длительность натурного пожара вычислим по формуле (16):

Данные исследования натурных пожаров, приведенных к стандартному, были использованы при оценке разрушительности огневого воздействия на армированные бетонные конструкции элеватора, промздания ОАО «Завод авиаподшипников», учебно-лабораторного корпуса СГАСУ, административного здания ЗАО «Аверс» и других случаев пожаров (г.Самара).
Источники информации
1. ГОСТ 30 247.0 – 94. «Конструкции строительные. Методы испытания на огнестойкость. Общие требования». – М., 1986. – 11 с.
2. Огнестойкость зданий. /В.П.Бушев, В.А.Пчелинцев, В.С.Федоренко, А.И.Яковлев; гл. 2, п.4: Основные положения методики исследования температурных режимов пожаров; рис.5. – М.: Стройиздат, 1970, с.17-21.
3. ГОСТ Р 12.3.047-98 ССБТ. Пожарная безопасность технологических процессов. Общие требования. Методы контроля. Приложение К: «Методы расчета температурного режима в помещениях зданий различного назначения». – М.: Госстандарт России, 1998. С.33-38.
4. Ильин, Н.А. Техническая экспертиза зданий, поврежденных пожаром. / Гл.2 «Исследование огневого воздействия пожара на строительные конструкции зданий». – М.: Стройиздат, 1983, с.82-110.
Формула изобретения
1. Способ оценки параметров пожара в здании, включающий проведение технического осмотра бетонных конструкций, подвергавшихся действию термического градиента в условиях пожара, определение вида бетона, его средней плотности, влажности, теплопроводности и теплоемкости, отличающийся тем, что предварительно определяют контрольные участки бетонных конструкций здания, подвергшихся тепловому воздействию при пожаре различной интенсивности, технический осмотр дополняют инструментальными измерениями геометрических размеров бетонных конструкций, определяя толщину слоев бетона с нарушенной структурой с использованием результатов неразрушающих испытаний и статистических исчислений, выявляют формы бетонных конструкций, схемы обогрева их поперечных сечений, определяют показатели тепловой диффузии бетона строительных конструкций в условиях пожара, вычисляют показатели условий нагрева контрольных точек поперечного сечения бетонных конструкций и степень – меру – их тепловой защиты; определяют длительность огневого воздействия натурного пожара, приведенного к стандартному, фактическую пожарную – огневую – нагрузку и максимальные температуры пожара по контрольным участкам повреждения бетонных конструкций здания – по зонам интенсивности огневого воздействия.
2. Способ по п.1, отличающийся тем, что длительность огневого воздействия на бетонные конструкции испытываемого участка здания, находившиеся под влиянием термического градиента в условиях натурного пожара, приведенного к стандартному тепловому испытанию, ст мин, определяют по формуле (I)
 где ст – длительность огневого воздействия натурного пожара, приведенного к стандартному, мин; С – интегральный параметр степени или меры тепловой защиты бетоном контрольных точек поперечного сечения конструкции, мм.
3. Способ по п.1, отличающийся тем, что интегральный параметр степени или меры тепловой защиты контрольных точек поперечного сечения бетонной конструкции С, мм, определяют по формуле (2)
 где mо – показатель условий нагрева контрольной точки поперечного сечения бетонной конструкции (0,25÷1,0);
o.min – минимальная глубина залегания контрольной точки поперечного сечения по оси х или у, мм; Dbm – интегральный показатель тепловой диффузии бетона, мм2/мин.
4. Способ по п.1, отличающийся тем, что интегральный показатель тепловой диффузии бетона Dbm мм2/мин при осредненной температуре 450°С определяют экспериментально или находят из выражения (3)
 где о и Со – соответственно коэффициент теплопроводности, Вт/(м·°С), и удельной теплоемкости бетона, кДж/(кг·°С) при tн=20°С; b и d – термические коэффициенты теплопроводности и теплоемкости бетона при температуре 450°С;
с и – плотность бетона средняя в сухом состоянии, кг/м3, и его влажность, % по массе.
5. Способ по п.1, отличающийся тем, что величину показателя условий нагрева контрольной точки поперечного прямоугольного сечения бетонной конструкции при ее симметричном расположении относительно биссектрисы угла сечения и 1-, 2-, 3- и 4-стороннем обогреве в условиях пожара принимают соответственно равным: mо=1; 0,5; 0,33 и 0,25.
6. Способ по п.1, отличающийся тем, что при несимметричном расположении контрольной точки относительно биссектрисы угла прямоугольного поперечного сечения бетонной конструкции величину показателя условий ее нагрева при 2-стороннем обогреве в условиях пожара вычисляют по формуле (4)
 где х; у – соответственно глубина залегания контрольной точки поперечного сечения, измеряемая от обогреваемых граней бетонной конструкции по осям х и у, мм; при у< х – в формуле (4) принимают обратное отношение величин глубины залегания контрольной точки, то есть х/ у.
7. Способ по п.1, отличающийся тем, что фактическую удельную пожарную нагрузку части выгоревшей в условиях пожара массы горючих веществ и материалов, приведенную к условному виду топлива – древесине, gi, МДж/м2, определяют по формуле (5)
 где mcm=0,85 кг/(м2·мин) – средняя скорость выгорания условного топлива; Qн.усл=16,5 МДж/кг – низшая теплота сгорания условного топлива;
cm.i – длительность пожара, приведенная к стандартному в контрольной зоне здания, мин.
8. Способ по п.1, отличающийся тем, что удельную огневую нагрузку на бетонные конструкции наиболее поврежденного участка здания – зоны очага горения – go, МДж/м2, вычисляют по формуле (6)
 где Qпож – теплота пожара в зоне очага горения: при горении условного топлива Qусл.пож=10 МДж/(м2/мин);
cm – длительность натурного пожара в зоне очага горения, приведенного к стандартному, мин.
9. Способ по п.1, отличающийся тем, что удельную огневую нагрузку на бетонные конструкции здания, примыкающие к зоне очага горения, go,i, МДж/м2, вычисляют по формуле (7)
 где go – удельная огневая нагрузка в зоне очага горения, МДж/м2; Aо; Ai – площади контрольных участков конструкций здания, расположенных соответственно в зоне очага горения и примыкающих к ней зонах, м2.
10. Способ по п.1, отличающийся тем, что наибольшую температуру среды tнат.mах, °С, окружающей бетонные конструкции в условиях натурного пожара на обследуемом участке здания – в зонах интенсивного огневого воздействия, определяют по формуле (8):
 где tнат.max – наибольшая температура среды, окружающей обследуемые бетонные конструкции, которые расположены в контрольной зоне пожара, °С; g – удельная пожарная нагрузка от части выгоревшей массы горючих веществ и материалов, приведенная к условному виду топлива – древесине, МДж/м2;
нат – длительность теплового воздействия на бетонные конструкции обследуемого участка здания – зоны натурного пожара, мин; In – натуральный логарифм.
РИСУНКИ
|