|
|
(21), (22) Заявка: 2006105276/06, 20.02.2006
(24) Дата начала отсчета срока действия патента:
20.02.2006
(43) Дата публикации заявки: 27.09.2007
(46) Опубликовано: 10.02.2010
(56) Список документов, цитированных в отчете о поиске:
RU 2237866 C1, 10.05.2004. RU 92008320 A, 20.01.1995. RU 2217599 C2, 27.11.2003. RU 1540389 С, 30.05.1994. SU 1687804 A1, 30.10.1991. SU 1306216 A1, 23.04.1985. WO 01/09488 A1, 08.02.2001. EP 1013891 A1, 28.06.2000.
Адрес для переписки:
450006, г.Уфа, ул. Ленина, 61, Уфимский авиационный техникум, А.Н. Черепанову
|
(72) Автор(ы):
Черепанов Анатолий Нестерович (RU), Гололобов Владимир Константинович (RU), Иванов Валерий Генрихович (RU), Мусаваров Ренат Фаритович (RU), Николаев Константин Геннадиевич (RU), Султанов Артём Аслямович (RU), Шафиков Азат Аксанович (RU)
(73) Патентообладатель(и):
Уфимский авиационный техникум (УАТ) (RU)
|
(54) СПОСОБ ИЗМЕРЕНИЯ ПРОФИЛЯ ЛОПАТОК И РАДИАЛЬНОГО ЗАЗОРА В ТУРБИНЕ РАБОТАЮЩЕГО ГАЗОТУРБИННОГО ДВИГАТЕЛЯ
(57) Реферат:
Изобретение относится к способу измерения профиля лопаток и радиального зазора в турбине работающего газотурбинного двигателя. Техническим результатом является повышение эффективности и информативности способа. Технический результат достигается тем, что в способе измерения профиля лопаток и радиального зазора в турбине работающего газотурбинного двигателя, дополнительно формируют второй амплитудно-модулированный электрический сигнал, выделяют и измеряют сдвиг фаз и направление сдвига или временные интервалы между низкочастотными огибающими двух сигналов, по величине которых определяют изменение профиля от первоначальной формы и зазора от вершины лопаток при одновременной регистрации температуры, газодинамических и центробежных сил, вызывающих эти изменения, при этом измеряют диэлектрическую проницаемость, сравнивают указанные величины с величинами до испытаний и по величине которых судят об экологической и эксплуатационной безопасности и пригодности к летной эксплуатации. 2 ил.
Изобретение относится к машиностроению и может быть использовано при проведении стендовых и летных испытаниях газотурбинного двигателя, а также при проектировании новых силовых установок и доводки до летных испытаний и серийного выпуска.
Способ измерения профиля лопаток и радиального зазора в турбине работающего газотурбинного двигателя, заключающийся в сборке двигателя, измерении первоначального профиля формы и зазора между вершиной лопаток и корпусом по периметру, в проведении отладочных стендовых испытаний, в преобразовании зазора в амплитудно-модулированный электрический сигнал, выделении низкочастотной огибающей высокочастотного немодулированного сигнала, измерении глубины модуляции, по величине которой определяют радиальный зазор, выбранный в качестве аналога [1] (Заявка на изобретение 92008320. F02C 9/28. Розенберг С.А., Мурысев А.Н. Способ регулирования радиального зазора в турбине работающего газотурбинного двигателя. Дата публикации 1995.01.20).
Способ измерения профиля лопаток и радиального зазора в турбине работающего газотурбинного двигателя, заключающийся в сборке двигателя, измерении первоначального профиля формы и зазора между вершиной лопаток и корпусом по периметру, в проведении отладочных стендовых испытаний, в преобразовании зазора в амплитудно-модулированный электрический сигнал, выделении низкочастотной огибающей высокочастотного немодулированного сигнала, измерении глубины модуляции, по величине которой определяют радиальный зазор [2] ( 2237866, G01B 15/00, G01B 17/00. Оренстейн P.M. Способ и устройство для измерения зазора до вершин лопаток турбины. Дата публикации 2004.10.10), выбранный в качестве прототипа.
Наиболее близким к заявляемому способу является способ измерения профиля лопаток и радиального зазора в турбине работающего газотурбинного двигателя, заключающийся в сборке двигателя, измерении первоначального профиля формы и зазора между вершиной лопаток и корпусом по периметру, в проведении отладочных стендовых испытаний, в преобразовании зазора в амплитудно-модулированный электрический сигнал, выделении низкочастотной огибающей высокочастотного немодулированного сигнала, измерении глубины модуляции, по величине которой определяют радиальный зазор.
Недостатком данных способов [1, 2] является их низкая эффективность и информативность, связанная с измерением только одного параметра – измерение зазора, а также невозможности оценить газодинамические изменения при одновременном изменении профиля и зазора. Изменения условий истечения газодинамического потока перед турбиной может вызвать срывные процессы за компрессором и риск безопасной работы самого двигателя. Низкая эффективность способов связана и с тем, что не позволяют оценить эффективность организации горения перед турбиной, экологическую и эксплуатационную безопасность.
Техническим результатом является повышение эффективности и информативности способа измерения профиля лопаток и радиального зазора в турбине работающего газотурбинного двигателя, заключающегося в сборке двигателя, измерении первоначального профиля формы и зазора между вершиной лопаток и корпусом по периметру, в проведении отладочных стендовых испытаний, в преобразовании зазора в амплитудно-модулированный электрический сигнал, выделении низкочастотной огибающей высокочастотного немодулированного сигнала, измерении глубины модуляции, по величине которой определяют радиальный зазор, при этом дополнительно формируют второй амплитудно-модулированный электрический сигнал, выделяют и измеряют сдвиг фаз и направление сдвига или временные интервалы между низкочастотными огибающими двух сигналов, по величине которых определяют изменение профиля от первоначальной формы и зазора от вершины лопаток при одновременной регистрации температуры, газодинамических и центробежных сил, вызывающих эти изменения, при этом измеряют диэлектрическую проницаемость, в сравнении указанных величин с величинами до испытаний и суждении по величине которых об экологической и эксплуатационной безопасности и пригодности к летной эксплуатации.
В предлагаемом способе формируют первый и второй амплитудно-модулированный электрический сигнал, выделяют и измеряют сдвиг фаз и направление сдвига или временной интервал между низкочастотными огибающими двух сигналов, по величине которых определяют изменение профиля от первоначальной формы и зазора вершины лопаток при одновременной регистрации температуры, газодинамических и центробежных сил, вызывающих эти изменения, при этом измеряют диэлектрическую проницаемость, в сравнении указанных величин с величинами до испытаний и суждении по величине которых об экологической и эксплуатационной безопасности и пригодности к летной эксплуатации.
Лопатки в процессе эксплуатации, в какой-то степени изменяют свою форму и размеры, т.е. деформируются, при этом лопатки восстанавливают или не востанавливают свою форму и размеры после прекращения действия внешних сил. Измерение отклонений упругопластической или остаточной деформации позволяет оценить внутренние перенапряжения и по величине отклонений судить о пригодности к летной эксплуатации. Оперативность контроля и измерения особенно важна при разработке новых силовых установок и их доводки для перспективных летательных аппаратов. При этом снижается трудоемкость доводки и уменьшаются затраты времени на создание двигателя.
На фиг.1 представлена блок-схема, реализующая способ измерения зазора и профиля лопаток, фиг.2а, б – иллюстрация резонансных кривых изменения напряжения от немодулированной частоты Um=f( p)) в направлении изменения зазора Um=f(d) или профиля Um=f(S) в некоторые во времени (фиг.2в, г, д).
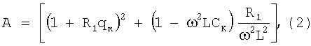
Устройство содержит ВЧ генератор 1, резистор связи 2, первый 3 и второй 4 измерительный контур, содержащий катушку индуктивности 5, конденсатор 6 емкостью Со для настройки контура на резонансную частоту с параллельно включенным емкостным датчиком 7, состоящий из последовательного соединения конденсатора СД 8 и модулирующего конденсатора СМ 9, одной из обкладок является вершина лопатки 10, другой – неподвижные пластины 11 и 12, установленные на корпусе двигателя 13, турбину 14, первый и второй демодулятор 15, первый и второй амплитудный детектор 16, измерительно-вычислительный комплекс 17, дисплей 18, датчик температуры 19, датчик давления 20, многоканальную систему связи 21. Сущность способа состоит в преобразовании величины изменения зазора и профиля лопатки от первоначальной формы в амплитудно-модулированный сигнал и в выделении низкочастотной огибающей ВЧ напряжения, в преобразовании параметров сигналов в форму, удобную для обработки и определения величины изменение зазора и профиля относительно первоначальной величины. С высокочастотного генератора 1 через резистор 2 напряжение поступает на измерительный LC контур 3. Амплитуда напряжения UИК на измерительном контуре 3 и 4 определяется модулем коэффициента передачи А, являющимся функцией параметров измерительной схемы (системы) 3, эквивалентной потерям в протекающем газодинамическом потоке через зазоры в конденсаторах С1М и С2М, образованном между вершиной лопатки и корпусом двигателя. Модуль коэффициента передачи А определяется по формуле 
где Z – полное сопротивление измеряемой нагрузки 3, R – сопротивление резистора 2, UГ, UИК – соответственно амплитуда сигнала генератора и на измерительном контуре; или 
где L – индуктивность катушки 5 и СК=(СД1М)+Со – полная емкость контура нагрузки, 6 и 7, СД – емкость конденсатора с изоляционным диэлектрическим слоем 8, С1М – емкость первого модулирующего конденсатора 9 [А.А.Брандт. Исследование диэлектриков на сверхвысоких частотах. М.: Физматгиз, 1963 г. С.15-21]. СК=Сизм+С0, где Сизм – полная емкость измерительного емкостного датчика – 7, определяемая по формуле
где  0 – электрическая постоянная в вакууме; ПС – диэлектрическая постоянная продуктов сгорания; Д – диэлектрическая проницаемость диэлектрика; d3 – воздушный зазор; dД – толщина диэлектрического слоя; СД – емкость конденсатора, образованного диэлектрическим слоем между неподвижной обкладкой 10 и См; СМ – емкость модулирующего конденсатора, образованная между подвижным электродом (торцом лопатки и СД; S – площадь обкладки конденсатора форма торца лопатки).
Турбина – модулятор 14 при числе оборотов, соответственно nT (об/мин) и числе лопаток NT модулирует напряжение UИК на частоте на измерительном контуре 3, на котором формируется первый амплитудно-модулированный сигнал вида 
где UИК(t) – мгновенное значение напряжения; UM – амплитуда немодулированного напряжения; m – коэффициент амплитудной модуляции; – угловая частота немодулированной несущей, – частота модуляции, определяемая по формуле
.
В процессе работы ГТД на лопатки ротора турбины ГТД воздействуют высокотемпературный газовый поток и центробежные силы, при этом изменяется радиальный зазор и возможно профиль лопаток от первоначальной формы. При достаточной надежности лопаток зазор должен быть постоянный и равномерный по периметру.
Вследствие зависимости лопаток от температуры газового потока, частоты вращения ротора турбины изменяется емкость С1М модулирующего конденсатора 9 от изменения зазора и формы лопаток. При этом изменяется амплитуда и глубина модуляции – m. При наличие индуктивной и емкостной связи контуров на измерительном контуре 4 также появится напряжение, модулированное по амплитуде с фазовым сдвигом. Демодуляторами 15 выделяется низкочастотная огибающая немодулированного сигнала огибающей ВЧ напряжение 
Если изменение емкости модулирующих конденсаторов C1M и C2M удовлетворяет условию то амплитуда модуляции ВЧ сигнала на контуре 3 и 4 пропорциональна первой производной модуля коэффициента передачи , где CK – полная емкость измерительного контура, равная сумме С0 и (CMД) емкостей.
Первая производная модуля А по емкости СК измерительного контура (крутизна характеристики) определяется выражением
или 
где СК – значение емкости контура, соответствующее резонансу при исходном зазоре, С – значение емкости контура, соответствующее отклонению от резонансной частоты при изменении зазора или профиля лопатки.
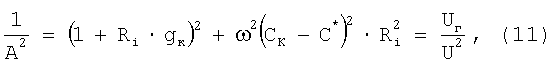
Из уравнений (1), (7), (8) получаем выражение, связывающее отклонение СК емкости измерительного контура от резонансного значения в моменты изменения зазора с напряжением на выходах демодулятора 15 U1M; U2M и амплитудного детектора 16 (U1MAX; U1MIN) и (U2MAX; U2MIN).
,
где S – крутизна преобразования, .
При неправильной организации горения топлива с заданным расходом GK в воздухе GB и изменяется полнота сгорания, изменяется диэлектрической проницаемости ГП продуктов сгорания. Уравнение (2) можно записать в виде откуда 
с учетом выражения (9) получаем выражение для проводимости gK, эквивалентной потерям в газовом потоке продуктов сгорания на выходе турбины
.
Сигналы, пропорциональные gK, формируются напряжениями на контуре 3 и 4, поступающие в измерительно-вычислительный комплекс 17, в котором функционально объединены с помощью многоканальной системы средства измерений 19, 20, 21. Программное обеспечение ИВК17 в соответствующей последовательности выполняет все математические операции, пропорциональные Uм/U3. Учитывая, что мнимая составляющая ” диэлектрической проницаемости, связана с проводимостью gк соотношением где С* – рабочий диапазон измерительного датчика 9, определяемый изменением зазора и профиля относительно первоначальной величины:  .
Таким образом предлагаемый способ с помощью устройства на фиг.1 позволяет измерить диэлектрические характеристики продуктов сгорания ‘ и ” и изменение зазора и профиля относительно первоначальной величины между лопаткой и корпусом:
1) – величину изменения зазора, величину относительного изменения и (фиг.2.в, г),
2) изменение профиля лопатки (см. фиг.2) по изменению площадей перекрытия обкладок конденсатора 9: и ,
где S1M, S2M – изменение площади перекрытия вытекает из условия геометрического смысла выпуклости или вогнутости лопатки, удвоенной площади конденсаторов C1M и C2M, где 1, h – основание и высота треугольника (фиг.2д, е)
 
3) по величине оценить экологическую безопасность.
Формула изобретения
Способ измерения профиля лопаток и радиального зазора в турбине работающего газотурбинного двигателя, заключающийся в сборке двигателя, измерении первоначального профиля формы и зазора между вершиной лопаток и корпусом по периметру, в проведении отладочных стендовых испытаний, в преобразовании зазора в амплитудно-модулированный электрический сигнал, выделении низкочастотной огибающей высокочастотного немодулированного сигнала, измерении глубины модуляции, по величине которой определяют радиальный зазор, отличающийся тем, что дополнительно формируют второй амплитудно-модулированный электрический сигнал, выделяют и измеряют сдвиг фаз и направление сдвига или временной интервал между низкочастотными огибающими двух сигналов, по величине которых определяют изменение профиля от первоначальной формы и зазор от вершины лопаток при одновременной регистрации температуры, газодинамических и центробежных сил, вызывающих эти изменения, при этом измеряют диэлектрическую проницаемость, сравнивают указанные величины с величинами до испытаний и по величине которых судят об экологической, эксплуатационной безопасности и пригодности к летной эксплуатации.
РИСУНКИ
MM4A – Досрочное прекращение действия патента СССР или патента Российской Федерации на изобретение из-за неуплаты в установленный срок пошлины за поддержание патента в силе
Дата прекращения действия патента: 09.11.2009
Извещение опубликовано: 20.08.2010 БИ: 23/2010
|
|